Положение ЦБ РФ от 04.03.2021 N 755-П

"О единой методике определения размера расходов на восстановительный ремонт в отношении поврежденного транспортного средства"
Редакция от 31.05.2022 — Не действует Перейти в действующую
Показать изменения

Зарегистрировано в Минюсте России 10 июня 2021 г. N 63845


ЦЕНТРАЛЬНЫЙ БАНК РОССИЙСКОЙ ФЕДЕРАЦИИ

ПОЛОЖЕНИЕ
от 4 марта 2021 г. N 755-П

О ЕДИНОЙ МЕТОДИКЕ ОПРЕДЕЛЕНИЯ РАЗМЕРА РАСХОДОВ НА ВОССТАНОВИТЕЛЬНЫЙ РЕМОНТ В ОТНОШЕНИИ ПОВРЕЖДЕННОГО ТРАНСПОРТНОГО СРЕДСТВА

(в ред. Указания ЦБ РФ от 31.05.2022 N 6144-У)

Настоящее Положение на основании пункта 3 статьи 12.1 Федерального закона от 25 апреля 2002 года N 40-ФЗ "Об обязательном страховании гражданской ответственности владельцев транспортных средств" (Собрание законодательства Российской Федерации, 2002, N 18, ст. 1720; 2019, N 18, ст. 2212) устанавливает единую методику определения размера расходов на восстановительный ремонт в отношении поврежденного транспортного средства.

Глава 1. Общие положения

1.1. Настоящее Положение содержит единые требования к определению размера расходов на восстановительный ремонт в отношении поврежденного транспортного средства в рамках договора обязательного страхования гражданской ответственности владельцев транспортных средств.

1.2. Требования настоящего Положения являются обязательными для применения страховщиками или их представителями, если они самостоятельно проводят осмотр транспортного средства, определяют размер расходов на восстановительный ремонт транспортного средства и выплачивают страховое возмещение в соответствии с Федеральным законом от 25 апреля 2002 года N 40-ФЗ "Об обязательном страховании гражданской ответственности владельцев транспортных средств" (Собрание законодательства Российской Федерации, 2002, N 18, ст. 1720; 2020, N 50, ст. 8074) (далее - Федеральный закон "Об обязательном страховании гражданской ответственности владельцев транспортных средств"), экспертами-техниками, экспертными организациями при проведении независимой технической экспертизы транспортных средств в соответствии с пунктом 1 статьи 12.1 Федерального закона "Об обязательном страховании гражданской ответственности владельцев транспортных средств", судебными экспертами при проведении судебной экспертизы транспортных средств, назначаемой в соответствии с законодательством Российской Федерации в целях определения размера страхового возмещения потерпевшему и (или) стоимости восстановительного ремонта транспортного средства в рамках договора обязательного страхования гражданской ответственности владельцев транспортных средств.

Глава 2. Идентификация транспортного средства и порядок установления наличия и характера повреждений транспортного средства, в отношении которых определяются расходы на восстановительный ремонт

2.1. Идентификация поврежденного транспортного средства, представленного на осмотр (далее - транспортное средство), должна проводиться с целью установления:

идентификационного номера транспортного средства (VIN);

номеров узлов и агрегатов (кузова, рамы, кабины, двигателя) и их соответствия сведениям, указанным в паспорте транспортного средства, регистрационных документах на транспортное средство, документах о дорожно-транспортном происшествии;

типа, марки, модели, даты (года) изготовления (выпуска) транспортного средства (или его комплектующих, если они заменялись в период эксплуатации);

типа коробки передач (автоматическая, механическая);

цвета и типа лакокрасочного покрытия;

основных технических характеристик и комплектации транспортного средства.

В случае если в процессе идентификации установлено несоответствие идентификационных номеров транспортного средства, номеров узлов и агрегатов (кузова, рамы, кабины, двигателя) сведениям, указанным в паспорте транспортного средства, регистрационных документах на транспортное средство, документах о дорожно-транспортном происшествии, или обнаружены следы изменений идентификационных номеров транспортного средства, номеров узлов и агрегатов (кузова, рамы, кабины, двигателя), указанное обстоятельство должно быть отражено в акте осмотра транспортного средства (далее - акт осмотра), указанном в абзаце третьем пункта 2.2 настоящего Положения, и (или) экспертном заключении, составленном по результатам проведения независимой технической экспертизы транспортного средства в соответствии с пунктом 1 статьи 12.1 Федерального закона "Об обязательном страховании гражданской ответственности владельцев транспортных средств" (далее - экспертное заключение), и (или) заключении, составленном по результатам проведения судебной экспертизы транспортного средства, назначаемой в соответствии с законодательством Российской Федерации в целях определения размера страхового возмещения потерпевшему и (или) стоимости восстановительного ремонта транспортного средства в рамках договора обязательного страхования гражданской ответственности владельцев транспортных средств.

2.2. Первичное установление наличия и характера повреждений транспортного средства, в отношении которых определяются расходы на восстановительный ремонт, должно производиться во время осмотра транспортного средства.

Осмотр транспортного средства является этапом исследования, проводимым непосредственно экспертом-техником или страховщиком (представителем страховщика) с использованием его специальных знаний.

Результаты осмотра транспортного средства должны фиксироваться актом осмотра. Акт осмотра должен включать в себя следующие сведения:

основание для проведения осмотра транспортного средства;

дату осмотра транспортного средства (в том числе время начала и окончания проведения осмотра);

место и условия проведения осмотра транспортного средства;

данные регистрационных документов транспортного средства;

сведения о владельце транспортного средства (фамилию, имя, отчество (последнее при наличии) физического лица или полное наименование юридического лица);

сведения о соответствии (несоответствии) идентификационных номеров транспортного средства, номеров узлов и агрегатов (кузова, рамы, кабины, двигателя) сведениям, указанным в паспорте транспортного средства, регистрационных документах на транспортное средство, документах о дорожно-транспортном происшествии;

дату повреждения транспортного средства;

информацию о пробеге транспортного средства с указанием источника данной информации;

дату (год) изготовления (выпуска) транспортного средства;

дату начала эксплуатации транспортного средства;

сведения о комплектации транспортного средства;

информацию о повреждениях транспортного средства (характеристиках поврежденных элементов с указанием расположения, вида и объема повреждения);

информацию о дефектах эксплуатации транспортного средства, повреждениях аварийного характера, не относящихся к заявляемому событию, следах ранее проведенного ремонта;

данные по определению технического состояния транспортного средства либо его остатков;

информацию о возможных скрытых повреждениях транспортного средства (повреждениях, которые не могут быть выявлены органолептическим методом, без использования средств технического диагностирования) с указанием примерного места расположения и характера таких повреждений;

информацию о пробах материала и об элементах транспортного средства, взятых для исследования (с описанием причины, вида и цели исследования);

фамилию, имя, отчество (последнее при наличии), подпись лица, осуществившего осмотр транспортного средства;

фамилии, имена, отчества (последнее при наличии), замечания (при наличии) и подписи лиц, присутствовавших при осмотре транспортного средства;

дату составления акта осмотра транспортного средства.

Обязательным приложением к акту осмотра транспортного средства являются фотоматериалы. Фотографирование поврежденного транспортного средства должно осуществляться в соответствии с требованиями, установленными в приложении 1 к настоящему Положению. Дополнительным приложением к акту осмотра является видеоматериал (при наличии).

При первичном осмотре повреждения транспортного средства фиксируются по результатам внешнего осмотра органолептическим методом, без проведения демонтажных работ.

В случае необходимости при первичном осмотре транспортного средства применяются инструментальные методы с использованием технических средств измерения и контроля или диагностического оборудования в соответствии с технической документацией и инструкциями по эксплуатации и применению указанных технических средств и оборудования, а также осуществляется проведение демонтажных работ.

С целью определения причин повреждений узлов, агрегатов, систем пассивной и активной безопасности, мультимедийных, электронных устройств, электронных блоков управления системами транспортного средства и их соответствия заявленным обстоятельствам должны применяться инструментальные методы с использованием диагностического оборудования.

2.3. В случаях, когда осмотр транспортного средства невозможен (например, если транспортное средство находится в отдаленном или труднодоступном месте), установление повреждений транспортного средства допускается без его непосредственного осмотра - на основании представленных потерпевшим фотоматериалов (видеоматериалов - при их наличии), на которых зафиксированы повреждения транспортного средства, и документов, указанных в абзаце третьем пункта 2.1 настоящего Положения, при наличии письменного согласия потерпевшего и страховщика. В указанном случае в экспертном заключении должно быть указано, что транспортное средство не осматривалось (с указанием причин), а определение повреждений проводилось по представленным потерпевшим материалам (документам), с указанием их перечня и источника получения, полным описанием процедуры установления повреждений и их причин.

2.4. Для характеристики повреждений деталей кузова транспортного средства должны использоваться следующие показатели, в зависимости от которых определяются методы и трудоемкость устранения повреждений:

площадь повреждения либо отношение площади повреждения к общей площади части, детали (в процентном соотношении или частях) и (или) глубина (объем) повреждения, в отдельных случаях - длина повреждения (количественные показатели);

вид (характеристика) деформации детали транспортного средства в зоне повреждения (качественные показатели) с учетом типовых характеристик повреждений транспортного средства согласно приложению 2 к настоящему Положению;

конструктивные характеристики детали транспортного средства в зоне повреждения;

локализация (место расположения) повреждений транспортного средства для определения доступности ремонтного воздействия.

2.5. Для характеристики повреждений лакокрасочного покрытия транспортного средства должны использоваться следующие показатели, в зависимости от которых определяются методы, технология и трудоемкость устранения повреждений:

тип лакокрасочного покрытия;

размерные характеристики повреждения (в единицах измерения или по отношению к размерам части, детали);

характеристика послойных повреждений лакокрасочного покрытия (повреждение лака, наружный слой, до грунта, до материала);

материал окрашенной части, узла, агрегата или детали транспортного средства (пластик, сталь, алюминий и тому подобное).

Определение цвета, типа лакокрасочного покрытия транспортного средства должно производиться с учетом:

размещения рекламы на наружных поверхностях транспортного средства;

цветографических схем, опознавательных знаков и надписей на наружных поверхностях транспортного средства;

наличия изображений, в том числе пленок, автомобильной аэрографии и тому подобного (указываются способ нанесения, примерное содержание изображения, размеры и место его расположения).

2.6. В ходе осмотра транспортного средства должно проводиться описание повреждений исходя из следующих положений.

При наименовании в акте осмотра частей, узлов, агрегатов и деталей должен использоваться следующий порядок: наименование, расположение относительно стороны транспортного средства (например, дверь задняя левая). При наличии возможности нумерации (кодирования) частей, узлов, агрегатов и деталей производится такая нумерация (такое кодирование) с указанием источника информации (печатного издания или расчетно-программного комплекса).

По каждому повреждению должны фиксироваться следующие данные: вид повреждения в соответствии с типовыми характеристиками повреждений транспортного средства, приведенными в приложении 2 к настоящему Положению, место расположения и объем. Объем повреждения определяется линейными размерами (глубиной, шириной, длиной) либо отношением площади поврежденной части к общей площади детали (в процентном соотношении или частях). При фиксации повреждений подушек и ремней безопасности должны быть сфотографированы номера и маркировочные обозначения указанных сработавших элементов (при их наличии).

2.7. Для каждой поврежденной детали (узла, агрегата) транспортного средства должны определяться и указываться в экспертном заключении вид и объем ремонтного воздействия и (или) категория окраски.

Необходимый и достаточный набор (комплекс) работ по восстановительному ремонту транспортного средства должен устанавливаться в зависимости от характера и степени повреждения отдельных частей, узлов, агрегатов и деталей на основе технологии завода-изготовителя, сертифицированных ремонтных технологий с учетом особенностей конструкции деталей (узлов, агрегатов), подвергающихся ремонтным воздействиям, выполнения в необходимом и достаточном объеме вспомогательных и сопутствующих работ по разборке/сборке, регулировке, подгонке, окраске, антикоррозийной обработке и так далее для обеспечения доступа к заменяемым и ремонтируемым частям, узлам, агрегатам и деталям, сохранности сопряженных частей, узлов, агрегатов и деталей и соблюдения требований безопасности работ.

Требования завода-изготовителя транспортных средств в части норм, правил и процедур ремонта транспортных средств являются приоритетными при выборе ремонтных воздействий.

В случае выявления повреждений дорогостоящих комплектующих изделий (части, детали, механизмы, узлы и агрегаты стоимость которых с учетом износа превышает 5 процентов от стоимости транспортного средства на момент дорожно-транспортного происшествия), а также двигателя, коробки передач, раздаточной коробки (коробки отбора мощности), ведущих мостов, межосевых дифференциалов, колесных редукторов, рулевого механизма, гидроусилителя руля, топливного насоса высокого давления, мультимедийных, электронных устройств, электронных блоков управления системами транспортного средства, систем безопасности, блоков предохранителей, а для специализированного транспорта - выявления повреждений агрегатов и механизмов, размещенных на шасси базового транспортного средства, относящихся к рассматриваемому дорожно-транспортному происшествию, в акте осмотра должна делаться запись о необходимости инструментальной диагностики или диагностики и дефектовки с разборкой при наличии технически обоснованных показателей (признаков). Наличие механических повреждений только в виде царапин, задиров и сколов на корпусе к таким признакам не относится и не является основанием для замены узла в сборе, так как не влияет на его эксплуатационные характеристики.

Замена жгута электропроводов должна назначаться только в случае, если его ремонт технологически невозможен. При наличии ремонтного комплекта разъема жгута электропроводов, повреждение такого разъема не является основанием для замены жгута электропроводов в сборе.

Замена кузова, кабины транспортного средства должна назначаться в случае, если их ремонт, восстановление технически невозможны либо экономически нецелесообразны.

Необходимость и объем работ по устранению перекосов должны определяться по результатам замеров либо наличию информативных признаков, свидетельствующих о наличии перекоса. Предельное время по устранению перекосов должно определяться с учетом укрупненных показателей трудозатрат на выполнение работ по кузовному ремонту и устранению перекосов проемов и кузова, приведенных в приложении 3 к настоящему Положению, за исключением случаев установления соответствующих нормативов изготовителем транспортного средства или организациями, занимающимися нормированием технологий ремонта транспортных средств.

При отсутствии визуально фиксируемых повреждений деталей (узлов) подвески решение о замене элемента должно приниматься по результатам инструментального контроля либо дополнительного осмотра после выполнения полного восстановления геометрических параметров кузова (рамы) транспортного средства, по результатам измерений углов установки колес с их последующей регулировкой, при условии выхода параметров углов установки колес за предельно допустимые значения.

При назначении замены поврежденных стекол, приборов освещения (электрооборудования) либо частей, узлов, агрегатов и деталей с ресурсом меньшим, чем ресурс транспортного средства (например, аккумуляторная батарея, шины, ремни), или при наличии повреждений и дефектов, не характерных для транспортных средств с аналогичными параметрами, должны быть отдельно зафиксированы их марка (изготовитель), дата (год) изготовления (выпуска), состояние.

Решение о замене деталей, изготовленных из пластиковых материалов, должно приниматься в случае, если изготовитель транспортного средства не регламентирует их ремонт при установленных повреждениях либо если их ремонт и окраска, включая текстурированные поверхности, технически невозможны или экономически нецелесообразны. Решение о замене приборов освещения транспортного средства в случае разрушения их креплений без нарушения работоспособности должно приниматься в случае невозможности ремонта их креплений (отсутствия ремонтных комплектов для ремонта креплений).

Окрасочные работы должны назначаться в минимально допустимом технологией изготовителя объеме, позволяющем восстановить доаварийные свойства транспортного средства. При значительном объеме окрашиваемых деталей эксперт-техник должен проверить экономическую целесообразность проведения наружной окраски кузова в совокупности с окраской внутренних поверхностей деталей, подлежащих ремонтным воздействиям, в случае если таковая предусмотрена технологией изготовителя транспортного средства.

В случае если на момент дорожно-транспортного происшествия на детали имелась сквозная коррозия либо площадь повреждения лакокрасочного покрытия детали превышала 25 процентов общей площади наружной поверхности детали, либо цвет окраски поврежденной детали не соответствовал основному цвету кузова транспортного средства (за исключением случаев специального цветографического оформления), окраска такой детали не назначается.

2.8. В случае когда в ходе осмотра транспортного средства сделано заключение о полной гибели такого транспортного средства по техническим показателям или предположение об экономической нецелесообразности проведения его восстановительного ремонта, в акте осмотра (или в приложении к нему) должны быть отражены перечень и состояние неповрежденных деталей (узлов, агрегатов) транспортного средства в целях определения их стоимости в качестве годных остатков и зафиксированы эти показатели для определения стоимости транспортного средства до дорожно-транспортного происшествия.

Глава 3. Порядок расчета размера расходов на материалы, запасные части, оплату работ, связанных с восстановительным ремонтом поврежденного транспортного средства

3.1. Целью расчета расходов на восстановительный ремонт является установление наиболее вероятной величины затрат, необходимых для приведения транспортного средства в состояние, в котором оно находилось до дорожно-транспортного происшествия.

3.2. Размер расходов на восстановительный ремонт должен определяться в отношении повреждений транспортного средства, возникших в результате дорожно-транспортного происшествия. Перечень повреждений может уточняться (дополняться) при проведении дополнительных осмотров.

3.3. Размер расходов на восстановительный ремонт должен определяться на дату дорожно-транспортного происшествия с учетом условий и границ региональных товарных рынков (экономических регионов), соответствующих месту дорожно-транспортного происшествия.

3.4. Относительная потеря стоимости комплектующих изделий (деталей, узлов и агрегатов) транспортного средства, снижение их функциональных характеристик и ресурса в процессе эксплуатации характеризуются показателем износа.

В соответствии с абзацем вторым пункта 19 статьи 12 Федерального закона "Об обязательном страховании гражданской ответственности владельцев транспортных средств" (Собрание законодательства Российской Федерации, 2002, N 18, ст. 1720; 2020, N 22, ст. 3382) размер расходов на запасные части (за исключением случаев возмещения причиненного вреда в порядке, предусмотренном пунктами 15.1 - 15.3 статьи 12 Федерального закона "Об обязательном страховании гражданской ответственности владельцев транспортных средств") определяется с учетом износа комплектующих изделий (деталей, узлов и агрегатов), подлежащих замене при восстановительном ремонте.

Размер расходов на восстановительный ремонт должен определяться исходя из стоимости ремонтных работ (работ по восстановлению, в том числе окраске, контролю, диагностике и регулировке, сопутствующих работ), стоимости деталей (узлов, агрегатов) и материалов, используемых в процессе восстановления транспортного средства взамен поврежденных.

Размер расходов по восстановлению поврежденного транспортного средства должен определяться без учета дополнительных расходов, вызванных улучшением и модернизацией транспортного средства.

Расчет размера расходов (в рублях) на восстановительный ремонт производится по формуле:

,

где:

Сер - стоимость ремонта (расходы на восстановительный ремонт);

- расходы на проведение работ по ремонту транспортного средства;

- расходы на материалы;

- расходы на запасные части, используемые взамен поврежденных деталей (узлов, агрегатов).

Результат расчета расходов на восстановительный ремонт при формировании выводов исследования округляется до сотен рублей.

В отношении транспортных средств, зарегистрированных на территориях иностранных государств и временно используемых на территории Российской Федерации, расчет расходов на восстановительный ремонт и действительной стоимости транспортного средства на день наступления страхового случая не отличается от таких расчетов, установленных в отношении транспортных средств, зарегистрированных на территории Российской Федерации.

3.5. Расхождение в результатах расчетов размера расходов на восстановительный ремонт в отношении транспортного средства, выполненных различными специалистами, следует признавать находящимся в пределах статистической достоверности за счет использования различных технологических решений и погрешностей расчета, если оно не превышает 10 процентов при совпадающем перечне поврежденных деталей (за исключением крепежных элементов, деталей разового монтажа). Предел погрешности рассчитывается как отношение разницы между результатами первичной и повторной экспертизы (в случае проведения повторной экспертизы), к результату первичной экспертизы.

Предел погрешности не может применяться в случае проведения расчета размера расходов с использованием замены деталей на бывшие в употреблении.

3.6. Расчет размера расходов на запасные части должен осуществляться следующим образом.

3.6.1. Количество и перечень деталей (узлов и агрегатов), подлежащих замене при восстановительном ремонте транспортного средства, должно определяться по результатам его осмотра с учетом норм, правил и процедур ремонта транспортных средств, установленных изготовителем транспортного средства, ремонтных технологий, установленных производителями оборудования, материалов для ремонта и окраски транспортных средств, и экономической целесообразности. Если такие нормы, процедуры и правила изготовителя транспортного средства не установлены, должны использоваться ремонтные технологии или нормы, процедуры и правила, установленные для ближайшего аналога.

3.6.2. Определение перечня деталей (узлов, агрегатов), подлежащих замене, и установление размера расходов на запасные части должно проводиться с учетом характеристик и ограничений товарных рынков запасных частей (например, поставка только в комплекте, поставка отдельных элементов только в сборе, продажа агрегатов только при условии обмена на ремонтный фонд с зачетом их стоимости, продажа запасных частей только под срочный заказ (поставку).

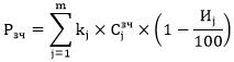
3.6.3. Размер расходов на запасные части должен рассчитываться по следующей формуле:

,

где:

- расходы на запасные части (рублей);

m - количество наименований деталей (узлов, агрегатов), подлежащих замене;

- количество единиц детали (узла, агрегата) j-го наименования, подлежащих замене;

- стоимость детали (узла, агрегата) j-го наименования, установка которой назначается взамен детали (узла, агрегата) j-го наименования, подлежащего замене (рублей);

- износ детали (узла, агрегата) j-го наименования, подлежащего замене (процентов).

3.6.4. Определение размера расходов на запасные части должно проводиться с учетом следующих условий:

наименование детали (узла, агрегата) приводится на русском языке и должно содержать полное наименование, указанное в каталоге запасных частей для этой марки (модели, модификации) транспортного средства, составленном изготовителем транспортного средства, или в электронной базе данных стоимостной информации в отношении деталей (узлов, агрегатов), а при отсутствии таких источников - в программно-расчетном комплексе или прайс-листе поставщика соответствующей детали (узла, агрегата), и ее (его) уникальный номер, присвоенный изготовителем транспортного средства (поставщиком детали (узла, агрегата) или программно-расчетным комплексом);

при замене детали (узла, агрегата) на новую деталь (узел, агрегат) такая замена не должна ухудшать безопасность транспортного средства и должна соответствовать обязательным требованиям, если такие требования установлены изготовителем транспортного средства или законодательством Российской Федерации о безопасности дорожного движения;

в случаях, предусмотренных технологической документацией, при замене отдельных деталей (узлов, агрегатов) должна быть учтена необходимость их замены с учетом ремонтного комплекта, включающего не только заменяемые комплектующие изделия, а также детали, полностью обеспечивающие устранение повреждения.

Крепежные элементы, детали одноразового использования, применение которых необходимо при выполнении ремонта транспортного средства, в расчет не включаются. Их совокупная стоимость применяется в размере 2 процентов от общей стоимости заменяемых деталей, рассчитанной без износа.

3.6.5. Определение стоимости запасной части, установка которой назначается взамен подлежащего замене комплектующего изделия (детали, узла, агрегата), должна осуществляться путем применения справочника средней стоимости запасных частей, сформированного и утвержденного в порядке, предусмотренном главой 6 настоящего Положения (далее - Справочник средней стоимости запасных частей).

В случае отсутствия в Справочнике средней стоимости запасных частей стоимостной информации определение средней стоимости запасной части должно проводиться методом статистического наблюдения среди хозяйствующих субъектов (продавцов), действующих в пределах границ субъекта Российской Федерации, в котором произошло дорожно-транспортное происшествие.

3.7. Расчет размера расходов на материалы должен осуществляться следующим образом.

3.7.1. Расчет размера расходов на материалы должен проводиться в отношении материалов, на которые осуществляется воздействие в процессе восстановительного ремонта транспортного средства (основные материалы, например: шпатлевки, краски, лаки, герметики, технологические жидкости), материалов, которые в процессе восстановительного ремонта в соответствии с его технологией изменяют физическое или химическое состояние основных материалов и применение которых предусмотрено технологией изготовителя основного материала (расходные и вспомогательные материалы, например: отвердители, растворители, разбавители).

К материалам также должны относиться утраченные вследствие повреждения транспортного средства и необходимые в процессе ремонта хладагенты, тормозные и охлаждающие жидкости. При этом следует учитывать, что если такие эксплуатационные материалы не утрачены, то их расход учитывается только по нормативам на доливку, при условии, что составные части ремонтируются, а не заменяются.

Расчет размера расходов на материалы для окраски должен производиться с применением систем, содержащихся в программных автоматизированных комплексах, применяемых для расчета.

3.7.2. В случае отсутствия возможности проведения расчета с применением систем, содержащихся в программных автоматизированных комплексах, и при условии наличия в экспертном заключении информации, подтверждающей отсутствие такой возможности, размер расходов на материалы должен рассчитываться по следующей формуле:

,

где:

- расходы на материалы (рублей);

n - количество видов материалов;

- стоимость одной единицы материала i-го вида (рублей);

- удельная норма расхода материала i-го вида (ремонтных единиц);

- количество ремонтных единиц (например, количество деталей, узлов, агрегатов, килограммов, метров, квадратных метров), подвергаемых восстановительному ремонту с использованием материала i-го вида.

При этом стоимость одной единицы материала i-го вида должна определяться с использованием справочника средней стоимости материалов, сформированного и утвержденного в порядке, предусмотренном главой 6 настоящего Положения (далее - Справочник средней стоимости материалов). В случае отсутствия в Справочнике средней стоимости материалов стоимостной информации определение стоимости материала должно осуществляться методом статистического наблюдения, проводимого среди хозяйствующих субъектов (продавцов), действующих в пределах субъекта Российской Федерации, в котором произошло дорожно-транспортное происшествие.

Удельная норма расхода материала i-го вида должна рассчитываться как среднее значение, определенное по данным изготовителей такого материала, представленных на товарном рынке этого материала.

Количество ремонтных единиц (например, количество деталей, узлов, агрегатов, килограммов, метров, квадратных метров), подвергаемых восстановительному ремонту с использованием материала i-го вида, должно определяться по результатам осмотра транспортного средства.

3.8. Расчет размера расходов на оплату работ, связанных с восстановительным ремонтом транспортного средства, должен осуществляться следующим образом.

3.8.1. Размер расходов на оплату работ, связанных с восстановительным ремонтом транспортного средства, должен рассчитываться как произведение трудоемкости работ (соответствующего вида работ) на среднюю стоимость одного нормо-часа работ по ремонту транспортного средства, включая необходимые арматурные, слесарные, рихтовочные, сварочные, окрасочные, вспомогательные и другие виды работ, требуемые для проведения восстановительного ремонта, с учетом исключения пересекающихся операций.

При определении трудоемкости работ по ремонту повреждений кузова и оперения, а также других узлов, агрегатов и систем транспортного средства должны использоваться нормативы, установленные изготовителем транспортного средства, а в случае их отсутствия - организациями, занимающимися нормированием технологий ремонта транспортных средств. При отсутствии такой документации используются укрупненные показатели трудозатрат на выполнение работ по кузовному ремонту и устранению перекосов проемов и кузова, приведенные в приложении 3 к настоящему Положению.

Определение стоимости одного нормо-часа работ должно осуществляться путем применения справочника средней стоимости нормо-часа работ, сформированного и утвержденного в порядке, предусмотренном главой 6 настоящего Положения (далее - Справочник средней стоимости нормо-часа работ).

В случае отсутствия в Справочнике средней стоимости нормо-часа работ стоимостной информации определение стоимости нормо-часа работ должно проводиться методом статистического наблюдения, проводимого среди хозяйствующих субъектов (авторемонтных организаций), действующих в пределах субъекта Российской Федерации, в котором произошло дорожно-транспортное происшествие.

3.8.2. Стоимость устранения повреждений и дефектов путем ремонтных воздействий (например, рихтовки, сварки) при восстановлении кузова транспортного средства не может превышать суммарной стоимости новых запасных частей (без учета износа) и стоимости комплекса работ по замене деталей кузова или стоимости замены кузова в сборе. Аналогичное правило действует в отношении ремонтных воздействий в отношении комплектующих изделий (деталей, узлов, агрегатов). В целом величина затрат на проведение восстановительного ремонта не должна превышать стоимости транспортного средства до дорожно-транспортного происшествия или аналогичного ему транспортного средства.

Глава 4. Порядок расчета размера износа подлежащих замене комплектующих изделий (деталей, узлов, агрегатов)

4.1. Износ комплектующих изделий (деталей, узлов, агрегатов) должен рассчитываться по следующей формуле:

,

где:

- износ комплектующего изделия (детали, узла, агрегата) (процентов);

е - основание натурального логарифма (е 2,72);

- коэффициент, учитывающий влияние на износ комплектующего изделия (детали, узла, агрегата) его срока эксплуатации;

- срок эксплуатации комплектующего изделия (детали, узла, агрегата) (лет);

- коэффициент, учитывающий влияние на износ комплектующего изделия (детали, узла, агрегата) величины пробега транспортного средства с этим комплектующим изделием (деталью, узлом, агрегатом);

- пробег транспортного средства на дату дорожно-транспортного происшествия (тысяч километров).

При этом на указанные комплектующие изделия (детали, узлы, агрегаты) не может начисляться износ свыше 50 процентов их стоимости.

Значения коэффициентов и для различных категорий и марок транспортных средств приведены в приложении 4 к настоящему Положению.

При этом на комплектующие изделия (детали, узлы, агрегаты), которые находятся в заведомо худшем состоянии, чем общее состояние транспортного средства в целом и его основных частей, вследствие влияния факторов, не учтенных при расчете износа (например, проведение ремонта с нарушением технологии, неустранение значительных повреждений лакокрасочного покрытия), может начисляться дополнительный индивидуальный износ в соответствии с приложением 5 к настоящему Положению. В приложении 5 к настоящему Положению также приведены факторы, при которых значение износа комплектующих изделий (деталей, узлов, агрегатов) может быть уменьшено.

4.2. Для комплектующих изделий (деталей, узлов, агрегатов), при неисправности которых в соответствии с законодательством Российской Федерации о безопасности дорожного движения запрещается движение транспортного средства, а также для раскрывающихся элементов подушек безопасности и удерживающих устройств (ремней безопасности) транспортного средства должно приниматься нулевое значение износа.

Номенклатура комплектующих изделий (деталей, узлов, агрегатов), для которых устанавливается нулевое значение износа при расчете размера расходов на запасные части при восстановительном ремонте транспортного средства, приведена в приложении 6 к настоящему Положению.

4.3. Срок эксплуатации комплектующего изделия (детали, узла, агрегата) транспортного средства, подлежащего замене, должен рассчитываться в годах (с точностью до первого десятичного знака после запятой) от даты (года) изготовления (выпуска) транспортного средства либо от даты замены такого комплектующего изделия (детали, узла, агрегата).

При невозможности установления календарной даты изготовления должна применяться дата выпуска транспортного средства, определяемая по модельному году изготовления, с последующей корректировкой дня и месяца изготовления.

В этом случае возможна корректировка дня и месяца изготовления, которая должна производиться по календарной дате первого документального подтверждения любого действия с транспортным средством, указанного в сопроводительных документах или используемых экспертом базах данных: даты продажи (передачи), даты оформления таможенных документов, даты первой регистрации транспортного средства и тому подобное, если эта дата совпадает с модельным годом выпуска транспортного средства или меньше его не более чем на 1 год.

В случае отсутствия данных о календарной дате первого документального подтверждения любого действия с транспортным средством или возникновения сомнений относительно ее достоверности, а также если установленный по VIN-коду модельный год изготовления не совпадает с годом выпуска транспортного средства, указанным в свидетельстве о регистрации (паспорте транспортного средства), и превышает его, но не более чем на 1 год, за дату изготовления должно приниматься 1 июля указанного в регистрационных документах года либо первое число месяца начала модельного года транспортного средства.

Во всех остальных случаях при невозможности определить календарную дату изготовления и отсутствии даты первого документального подтверждения любого действия с транспортным средством за дату изготовления (выпуска) должно приниматься 1 января модельного года изготовления.

В случае если по результатам осмотра установлено или имеется документальное подтверждение (например, запись в паспорте транспортного средства, оплаченный заказ-наряд авторемонтной организации, маркировка изготовителем даты (года) изготовления (выпуска) детали) того, что комплектующее изделие (деталь, узел, агрегат) установлено при замене, произведенной до даты дорожно-транспортного происшествия, его возраст должен приниматься равным разности между датой дорожно-транспортного происшествия и датой предыдущей замены, а пробег транспортного средства с этим комплектующим изделием должен приниматься равным разности между пробегом транспортного средства на дату дорожно-транспортного происшествия и пробегом на дату замены комплектующего изделия.

Пробег транспортного средства должен определяться по одометру. Если одометр неисправен, заменялся или его состояние не соответствует установленным требованиям либо значение пробега по одометру явно не соответствует состоянию транспортного средства и среднегодовому пробегу, пробег с начала эксплуатации определяется расчетным путем в соответствии со справочными данными, приведенными в приложении 7 к настоящему Положению.

4.4. При наличии на поврежденной в дорожно-транспортном происшествии и подлежащей замене детали сквозной коррозии износ такой детали должен устанавливаться по максимально допустимому значению независимо от расчетных показателей (к указанному случаю не относится определение наличия сквозной коррозии по ее следам).

4.5. Износ шины транспортного средства должен рассчитываться по следующей формуле:

,

где:

- износ шины (процентов);

- высота рисунка протектора новой шины (миллиметров);

- фактическая высота рисунка протектора шины (миллиметров);

- минимально допустимая остаточная глубина рисунка протектора шины (миллиметров) в соответствии с пунктом 5.1 приложения к Основным положениям по допуску транспортных средств к эксплуатации и обязанностям должностных лиц по обеспечению безопасности дорожного движения, утвержденным постановлением Правительства Российской Федерации от 23 октября 1993 года N 1090 "О Правилах дорожного движения" (Собрание актов Президента и Правительства Российской Федерации, 1993, N 47, ст. 4531; 2017, N 30, ст. 4666). Износ шины дополнительно увеличивается для шин с возрастом от 3 до 5 лет на 15 процентов, свыше 5 лет - на 25 процентов.

Глава 5. Порядок расчета стоимости годных остатков в случае полной гибели транспортного средства

5.1. Комплектующие изделия (детали, узлы, агрегаты или иные части транспортного средства в сборе, если их замена технологически осуществима) поврежденного транспортного средства, исправные и годные к дальнейшей эксплуатации, которые можно демонтировать с поврежденного транспортного средства в случае его полной гибели (либо высвобождение которых предлагается в процессе ремонта) и реализовать (годные остатки транспортного средства), должны отвечать следующим условиям:

комплектующие изделия (детали, узлы, агрегаты или иные части транспортного средства в сборе, если их замена технологически осуществима) не должны иметь повреждений, нарушающих их целостность и товарный вид, а узлы или агрегаты должны находиться в работоспособном состоянии;

комплектующие изделия (детали, узлы, агрегаты или иные части транспортного средства в сборе, если их замена технологически осуществима) не должны иметь изменений конструкции, формы, целостности и геометрии, не предусмотренных изготовителем транспортного средства (например, дополнительные отверстия и вырезы для крепления несерийного оборудования). К таким изменениям не относятся отверстия, следы среза и иные технологические следы, не препятствующие установке изделия и не ухудшающие его внешнего вида и эксплуатационных качеств.

5.2. При соответствии условиям, предусмотренным пунктом 5.1 настоящего Положения, к годным остаткам относятся:

рама (подрамники), навесные составные части кузова в сборе: капот, двери, крышка багажника (дверь задка), детали оперения (крылья съемные), а также бамперы (передний и задний), стекло проемов окон;

составные части привода и ходовой части (например, двигатель, коробка передач, мосты) транспортного средства;

шины пневматические в комплекте на два или четыре колеса, эксплуатация которых допускается действующими нормами и правилами, колеса в сборе;

приборы и оборудование транспортного средства.

Узлы, агрегаты, приборы и оборудование должны считаться работоспособными при выполнении нижеперечисленных условий, если иное не будет установлено их диагностикой или дефектовкой:

они расположены вне зоны аварийного контакта;

они не имеют следов аварийного контакта и ремонтных воздействий;

отсутствуют признаки технической неисправности или неработоспособности, например, в виде подтеков рабочих жидкостей, ощутимых недопустимых люфтов в соединении.

К годным остаткам не могут быть отнесены составные части:

демонтаж которых требует работ, связанных с применением механического, газосварочного и электродугового резания, а также работ, изменяющих размеры составной части в результате демонтажа;

имеющие изменения конструкции, формы, нарушения целостности, не предусмотренные изготовителем транспортного средства (например, дополнительные отверстия и вырезы для крепления несерийного оборудования);

подвергавшиеся ранее ремонтным воздействиям (например, правке, рихтовке, шпатлеванию и так далее);

влияющие на безопасность дорожного движения (номенклатура таких составных частей приведена в приложении 6 к настоящему Положению;

имеющие коррозионные повреждения;

требующие ремонта.

Стоимость годных остатков не определяется, если транспортное средство не подлежит разборке на запасные части по техническому состоянию.

5.3. В случае когда страховщик по согласованию с потерпевшим организовал и оплатил замену деталей, к годным остаткам должны быть отнесены детали (узлы), которые поставляются только в комплекте и которые подлежат оплате страховщиком в качестве комплекта, из которого только часть подлежит использованию при восстановительном ремонте, а также комплектующие изделия (детали, узлы, агрегаты), которые в условиях ремонтной организации, проводящей ремонт, не могут быть отремонтированы, но технологии ремонта которых существуют на рынке. Такие комплектующие переходят в распоряжение страховщика. Расчет стоимости таких комплектующих изделий (деталей, узлов, агрегатов) должен производиться на основании отдельного письменного поручения заказчика (страховщика, потерпевшего) в случае письменного обращения потерпевшего с заявлением о передаче ему этих комплектующих.

5.4. Стоимость годных остатков транспортного средства (стоимость, по которой они могут быть реализованы, учитывая затраты на их демонтаж, дефектовку, ремонт, хранение и продажу) должна определяться по данным специализированных торгов, осуществляющих реализацию поврежденных транспортных средств без их разборки и вычленения годных остатков. В отсутствие специализированных торгов допускается применение расчетных методов: использование и обработка данных универсальных площадок (сайтов в информационно-телекоммуникационной сети "Интернет" (далее - сеть "Интернет") по продаже подержанных транспортных средств либо определение стоимости годных остатков в соответствии с требованиями глав 3 и 4 настоящего Положения.

5.5. Расчет стоимости годных остатков расчетными методами не производится в случаях, если:

транспортное средство может быть оценено или реализовано на специализированных торгах (аукционах) в срок, не превышающий 15 дней;

транспортное средство не подлежит разборке на запасные части по техническому состоянию.

Расчетные методы применяются при условии невозможности определения их стоимости иными методами, предусмотренными настоящим Положением.

5.6. Стоимость годных остатков с учетом затрат на их демонтаж, дефектовку, хранение и продажу должна определяться по формуле:

,

где:

Ц - стоимость транспортного средства в неповрежденном виде на момент определения стоимости годных остатков;

- коэффициент, учитывающий затраты на дефектовку, разборку, хранение, продажу;

- коэффициент, учитывающий срок эксплуатации транспортного средства на момент повреждения и спрос на его неповрежденные детали;

- коэффициент, учитывающий объем (степень) механических повреждений транспортного средства;

- процентное соотношение (вес) стоимости неповрежденных элементов к стоимости транспортного средства;

n - количество неповрежденных элементов (деталей, узлов, агрегатов).

5.7. Коэффициент рекомендуется принимать равным 0,7 для легковых автомобилей, малотоннажных грузовых автомобилей и мототехники и равным 0,6 для грузовых автомобилей, автобусов, специальной техники.

5.8. Величина коэффициента должна определяться в соответствии с приложением 8 к настоящему Положению.

5.9. Величина коэффициента определяется в соответствии с приложением 9 к настоящему Положению.

5.10. Процентное соотношение (вес) стоимости неповрежденных элементов к стоимости транспортного средства определяется в соответствии с приложением 10 к настоящему Положению.

5.11. Стоимость не подлежащих дальнейшему использованию по назначению остатков транспортного средства определяется произведением стоимости 1 тонны негабаритного стального лома и собственной массы транспортного средства. При этом не учитываются вес цветных металлов и неметаллических материалов.

Глава 6. Порядок формирования и утверждения справочников средней стоимости запасных частей, материалов и нормо-часа работ при определении размера расходов на восстановительный ремонт в отношении поврежденного транспортного средства с учетом установленных границ региональных товарных рынков (экономических регионов)

6.1. Справочники средней стоимости запасных частей, материалов и нормо-часа работ при определении размера расходов на восстановительный ремонт в отношении поврежденного транспортного средства должны формироваться в виде электронных баз данных (далее при совместном упоминании - Справочники).

Справочники формируются и утверждаются профессиональным объединением страховщиков, созданным в соответствии с Федеральным законом "Об обязательном страховании гражданской ответственности владельцев транспортных средств" (далее - профессиональное объединение страховщиков), с учетом установленных границ региональных товарных рынков (экономических регионов), под которыми в настоящем Положении понимается территория субъекта Российской Федерации.

6.2. Справочники должны формироваться исходя из следующих подходов и принципов.

6.2.1. В отношении запасных частей исследование в части формирования Справочника средней стоимости запасных частей должно включать в себя следующие обязательные этапы:

формирование номенклатуры запасных частей и установление номеров взаимозаменяемых деталей разных изготовителей;

определение сертифицированной запасной части, используемой в качестве аналога "оригинальной" запасной части в Справочнике средней стоимости запасных частей;

исследование стоимостной информации (базовых цен) на запасные части;

определение региональных коэффициентов;

установление цен в проекте Справочника средней стоимости запасных частей;

публикация проекта Справочника средней стоимости запасных частей;

корректировка цен на запасные части в проекте Справочника средней стоимости запасных частей по результатам анализа поступивших замечаний и предложений.

6.2.1.1. При формировании номенклатуры запасных частей профессиональное объединение страховщиков должно использовать данные о номерах запасных частей, содержащихся в каталогах изготовителей транспортных средств, кросс-таблицах изготовителей баз данных взаимозаменяемых запасных частей и прайс-листах торговых организаций, осуществляющих поставки и (или) продажи запасных частей в Российской Федерации.

Марка транспортного средства должна включаться в номенклатуру запасных частей, если число договоров обязательного страхования гражданской ответственности владельцев транспортных средств, заключенных в отношении данной марки транспортного средства за предшествующий год, составляет не менее 15 000 (пятнадцати тысяч). Должна обрабатываться информация по всем ценам на запасные части на модели транспортных средств, содержащимся в прайс-листах торговых организаций (официальных дилеров, изготовителей транспортных средств), осуществляющих поставки и (или) продажи запасных частей в Российской Федерации.

Номенклатура запасных частей должна формироваться для каждой марки транспортного средства и включать в себя номера оригинальных (составные части конструкции транспортного средства, имеющие упаковку, торговое обозначение изготовителя и установленный им идентификационный номер, поставляемые на сборочное производство транспортных средств и (или) в качестве сменных (запасных) частей для транспортных средств, находящихся в эксплуатации) запасных частей, номера сертифицированных (не имеющих упаковки, торгового обозначения изготовителя транспортного средства либо установленного им идентификационного номера) запасных частей, соответствующих оригинальным запасным частям изготовителей транспортных средств и наименованиям изготовителей запасных частей.

6.2.1.2. Для установления взаимозаменяемости оригинальных и сертифицированных запасных частей могут использоваться любые доступные источники этой информации (например, информация от изготовителей баз данных взаимозаменяемых запасных частей (кросс-таблиц).

6.2.1.3. Сбор информации о базовых ценах на запасные части проводится в пределах административных границ города Москвы и Московской области по следующим источникам:

прайс-листы изготовителей транспортных средств (максимальные цены перепродажи);

прайс-листы официальных дилеров с оптовыми и розничными ценами (организации, уполномоченные изготовителем транспортных средств на реализацию его продукции) (розничные цены дилеров);

прайс-листы торговых организаций с оптовыми и розничными ценами, осуществляющих поставки и (или) продажи запасных частей в Российской Федерации.

6.2.1.4. Приведение оптовых цен к розничным должно осуществляться применением к прайс-листам с оптовыми ценами розничного коэффициента, размер которого для каждого прайс-листа с оптовыми ценами должен рассчитываться следующим образом.

Цены в оптовом прайс-листе должны ранжироваться в порядке возрастания и разбиваться на 10 равных по количеству запасных частей групп.

В случае если количество позиций в прайс-листе с оптовыми ценами не может быть разделено на 10 равных по количеству позиций групп, количество позиций, вошедших в группу с самыми низкими ценами, может отличаться от количества позиций в остальных группах.

В каждой группе должны выбираться следующие запасные части:

запасная часть, находящаяся первой в перечне запасных частей в группе (с минимальной ценой);

запасная часть, находящаяся последней в перечне запасных частей в группе (с максимальной ценой);

запасная часть, находящаяся в середине перечня запасных частей в группе. Номер позиции, на которой находится середина группы, рассчитывается по формулам:

, если в группу входит нечетное число запасных частей;
, если в группу входит четное число запасных частей,

где N - номер позиции, на которой находится последняя запасная часть в группе (с максимальной ценой).

Для каждой запасной части в группе, выбранной в соответствии с указанной процедурой, должны подбираться все имеющиеся предложения с розничной ценой, из которых для определения розничного коэффициента цена должна выбираться следующим образом:

если найдена только одна цена, то принимается эта цена;

если найдено только две розничные цены, то принимается минимальная из этих цен;

если найдено более двух розничных цен, то принимается наиболее близкая к минимальной цене, но не минимальная.

В случае если розничная цена для запасной части составляет менее 75 процентов или более 200 процентов от оптовой цены данной запасной части, эта розничная цена не применяется для формирования розничного коэффициента.

В случае если для запасной части, выбранной из группы, не найдены розничные цены, из группы должна быть выбрана другая запасная часть:

в случае с минимальной ценой в группе - цена следующей за ней запасной части;

в случае с максимальной ценой в группе - цена предшествующей ей запасной части;

в случае с ценой детали в середине группы - цена следующей за ней запасной части.

Расчет розничного коэффициента для каждой из групп должен осуществляться для минимальной, средней и максимальной цены из группы посредством расчета розничного коэффициента, равного отношению розничной цены данной запасной части к ее оптовой цене.

Розничный коэффициент для отдельной группы запасных частей из оптового прайс-листа должен устанавливаться равным среднему арифметическому значению описанных выше трех розничных коэффициентов.

Розничный коэффициент для оптового прайс-листа должен устанавливаться равным среднему арифметическому значению розничных коэффициентов, определенных для каждой из групп.

6.2.1.5. Процедура формирования базовой стоимости запасной части должна состоять из следующих этапов:

формируется перечень цен на оригинальную запасную часть. При отсутствии стоимостной информации (базовых цен) на оригинальную запасную часть перечень цен на такую оригинальную запасную часть не формируется; (в ред. Указания ЦБ РФ от 31.05.2022 N 6144-У)

в случае если перечень цен на оригинальную запасную часть сформирован, из указанного перечня выбирается минимальная (если в перечне имеются только две позиции) или наиболее близкая к минимальной, но не минимальная (если в перечне имеются три и более позиции) цена (далее - вторая снизу цена оригинальной запасной части); (в ред. Указания ЦБ РФ от 31.05.2022 N 6144-У)

формируется перечень цен на сертифицированные запасные части, являющиеся взаимозаменяемыми с указанной оригинальной запасной частью;

из указанного перечня исключаются цены на сертифицированные запасные части, превышающие вторую снизу цену оригинальной запасной части, и цены на сертифицированные запасные части заведомо низкого качества, то есть запасные части, цена которых составляет менее 20 процентов от второй снизу цены оригинальной запасной части. В случае если в соответствии с абзацем вторым настоящего подпункта перечень цен на оригинальную запасную часть не сформирован, из указанного в настоящем абзаце перечня исключается наиболее высокая цена на сертифицированную запасную часть, а также цены на сертифицированные запасные части, составляющие менее 20 процентов от цены на сертифицированную запасную часть, следующей после исключенной наиболее высокой цены на сертифицированную запасную часть; (в ред. Указания ЦБ РФ от 31.05.2022 N 6144-У)

из второй снизу цены оригинальной запасной части и оставшихся в перечне цен на сертифицированные запасные части составляется ценовая выборка, которая затем упорядочивается (ранжируется) по убыванию;

за базовую стоимость запасной части принимается варианта из ранжированной ценовой выборки, отвечающая одному из определенных условий:

в случае если ценовая выборка состоит только из одной варианты - значение этой варианты;

в случае если ценовая выборка состоит только из одной варианты, встречающейся более одного раза, - значение этой варианты;

в случае если ценовая выборка состоит из двух отличных вариант - значение медианы данной выборки. В случае если середине вариационного ряда соответствуют две цены, выбирается меньшая из этих двух цен;

в случае если ценовой ряд состоит из трех встречающихся однократно вариант или нечетного количества встречающихся однократно вариант - значение варианты, делящей вариационный ряд пополам (медиана ряда);

в случае если ценовой ряд состоит из четырех однократно встречающихся вариант или четного количества встречающихся однократно вариант, когда середине вариационного ряда соответствуют две цены, - меньшая из этих двух цен;

в случае если в ценовом ряде одна или несколько вариант встречаются неоднократно - наиболее часто встречающаяся варианта (мода ряда);

в случае если в ценовом ряде только две варианты встречаются неоднократно и одинаковое количество раз - меньшая из этих вариант;

в случае если в ценовом ряде три и более варианты встречаются неоднократно и одинаковое количество раз - середина вариационного ряда. Если середине вариационного ряда соответствуют две цены, то выбирается меньшая из этих двух цен.

6.2.1.6. Процедура формирования региональных коэффициентов для каждого субъекта Российской Федерации по каждой из марок транспортных средств должна состоять из следующих этапов:

по каждой из марок транспортных средств профессиональное объединение страховщиков формирует перечень оригинальных запасных частей, необходимый для расчета регионального коэффициента, на основании статистических данных о наиболее часто повреждаемых запасных частях, полученных по результатам урегулирования страховых случаев по договорам обязательного страхования гражданской ответственности владельцев транспортных средств. Перечень оригинальных запасных частей, необходимый для расчета регионального коэффициента, публикуется на официальном сайте профессионального объединения страховщиков в информационно-телекоммуникационной сети "Интернет";

по каждой запасной части из указанного перечня выбираются цены не менее чем в пяти интернет-магазинах (часть торговой организации или торговая организация, предназначенная для предоставления покупателю посредством сети "Интернет" сведений, необходимых при совершении покупки, в том числе об ассортименте товаров, о ценах, продавце, способах и об условиях оплаты и доставки, для приема от покупателей посредством сети "Интернет" сообщений о намерении приобрести товары, а также для обеспечения возможности доставки товаров продавцом либо его подрядчиком по указанному покупателем адресу либо до пункта самовывоза) с учетом доставки в пределах административных границ города Москвы в срок, не превышающий 14 календарных дней;

определяется базовая цена оригинальной запасной части для регионального исследования как третья минимальная цена среди указанных выше цен из не менее чем пяти интернет-магазинов.

В случае если в рамках исследования найдено менее пяти, но более двух цен, то средняя цена запасной части должна определяться как вторая минимальная цена из найденных цен. Если найдено только две цены, то должны быть исследованы цены в дополнительном количестве интернет-магазинов. Если исследование дополнительного количества интернет-магазинов не дало результатов и всего (по всем интернет-магазинам) найдено две цены, то средняя цена запасной части должна определяться как минимальная из найденных цен; если найдена одна цена - должна приниматься эта цена. Если не найдено ни одной цены, то для данной запасной части средняя стоимость не формируется.

В каждом субъекте Российской Федерации должны учитываться марки транспортных средств, в отношении которых в данном субъекте Российской Федерации за 12 месяцев, предшествующих формированию Справочников, было заключено не менее 500 договоров обязательного страхования гражданской ответственности владельцев транспортных средств.

Для каждой запасной части, отобранной по указанным критериям, должны собираться цены не менее чем в пяти интернет-магазинах для условий доставки в административные центры каждого субъекта Российской Федерации в срок, не превышающий 14 календарных дней. Для субъекта Российской Федерации, в котором административный центр не установлен, должны собираться цены для доставки в населенный пункт с максимальной численностью населения среди всех населенных пунктов, входящих в состав данного субъекта Российской Федерации.

В случае если полученная цена для запасной части составляет менее 50 процентов или более 200 процентов от базовой цены оригинальной запасной части, данная цена не принимается для формирования регионального коэффициента.

Средняя цена запасной части в субъекте Российской Федерации должна определяться как третья минимальная цена среди указанных выше цен из не менее чем пяти интернет-магазинов. В случае если в рамках исследования найдено менее пяти цен, но более двух цен, средняя цена запасной части должна определяться как вторая минимальная цена из найденных цен. Если найдено только две цены, то должны быть исследованы цены в дополнительном количестве интернет-магазинов. Если исследование дополнительного количества интернет-магазинов не дало результатов и всего (по всем интернет-магазинам) найдено две цены, то средняя цена запасной части должна определяться как минимальная из найденных цен; если найдена одна цена, то должна приниматься эта цена. Если не найдено ни одной цены запасной части, то данная запасная часть не участвует в формировании регионального коэффициента.

По каждой запасной части из перечня для субъекта Российской Федерации должно рассчитываться отношение средней цены запасной части в данном субъекте Российской Федерации к базовой цене оригинальной запасной части для регионального исследования.

Региональный коэффициент для марки транспортного средства для субъекта Российской Федерации должен определяться как среднее арифметическое значение указанных отношений цен для запасных частей, указанных в перечне.

Для марок транспортных средств, по которым в связи с недостаточным количеством договоров обязательного страхования гражданской ответственности владельцев транспортных средств или невозможностью сбора цен, отвечающих критериям, указанным в абзаце седьмом настоящего подпункта, в субъекте Российской Федерации не была выполнена процедура формирования региональных коэффициентов, а средние стоимости запасных частей для данных марок транспортных средств подлежат внесению в Справочник средней стоимости запасных частей, региональный коэффициент для такого субъекта Российской Федерации должен рассчитываться как среднее арифметическое значение региональных коэффициентов, определенных для указанного субъекта Российской Федерации для марок транспортных средств, по которым выполнена процедура формирования регионального коэффициента. (в ред. Указания ЦБ РФ от 31.05.2022 N 6144-У)

6.2.1.7. В Справочник средней стоимости запасных частей для каждого субъекта Российской Федерации для каждой запасной части должна включаться средняя стоимость, определенная как произведение базовой стоимости запасной части и регионального коэффициента, рассчитанного для каждого субъекта Российской Федерации.

В случае если в качестве базовой стоимости запасной части, определенной в соответствии с подпунктом 6.2.1.3 настоящего пункта, выбрана установленная изготовителем транспортных средств данной марки максимальная цена перепродажи (рекомендованная розничная цена), для такой запасной части региональный коэффициент не применяется и в Справочник средней стоимости запасных частей должна включаться данная базовая стоимость для всех субъектов Российской Федерации.

6.2.2. В отношении стоимости единицы по выполнению работ - нормо-часа Справочник средней стоимости нормо-часа работ должен формироваться исходя из следующего:

первичными источниками стоимости должны являться данные страховщиков и авторемонтных организаций, которые находятся в открытом доступе или получение которых возможно по запросу разработчика Справочника средней стоимости нормо-часа работ;

должна собираться информация из всех доступных источников по ценам на выполнение работ основных марок транспортных средств по списку, установленному профессиональным объединением страховщиков для проведения исследования. Должны обрабатываться данные по стоимости каждого вида работ при восстановительном ремонте транспортных средств (транспортных средств иностранного производства - в разрезе кузовных (окрасочных) работ), информация о которых есть в первичных источниках;

все стоимостные показатели, полученные в результате сбора массива цен, составляют общую выборку по каждому субъекту Российской Федерации, подлежащую обработке математическими и статистическими методами. В выборке объемом более 10 значений при наличии трех и более повторяющихся цен должна выбираться наиболее часто встречающаяся цена. При отсутствии повторяющихся цен должна выбираться цена, соответствующая середине вариационного ряда. При четном числе наблюдений, когда медиане соответствуют две цены, должна выбираться меньшая. При наличии двух групп повторяющихся цен должна выбираться меньшая. При наличии нескольких групп повторяющихся цен должна выбираться ближайшая к середине вариационного ряда (если их две, то меньшая). Если объем выборки включает менее 10 значений, то должно проводиться дополнительное исследование. Если дополнительное исследование по выборке, содержащей менее 10 значений, не дало результата или в выборке по отдельной марке транспортного средства содержится менее трех значений цены, выборка должна дополняться данными по стоимости работ в ближайшем субъекте Российской Федерации. Указанное правило не распространяется на Калининградскую область, по которой выборка считается состоявшейся при количестве позиций более пяти;

сбор и анализ договорных цен страховщиков и авторемонтных организаций должен проводиться по анкетным данным страховщиков в разрезе марок транспортных средств, по которым они имеют договоры и могут гарантированно обеспечить проведение восстановительного ремонта транспортных средств в рамках обязательного страхования гражданской ответственности владельцев транспортных средств. В обработку должны приниматься только действующие договоры, по которым выдаются направления и имеются оплаченные счета;

должна проводиться проверка среднего значения стоимости нормо-часа работ, полученного по результатам обработки выборки, на соответствие уровню договорных цен страховщиков и авторемонтных организаций, фактически оплаченным счетам, экспертным заключениям, отчетам об оценке затрат на проведение восстановительного ремонта. В случае отклонения значения стоимости более чем на 25 процентов от средней стоимости нормо-часа работ по имеющимся для проверки источникам должно приниматься решение о необходимости корректировки Справочника средней стоимости нормо-часа работ либо проведении дополнительного исследования стоимости нормо-часа для конкретной марки.

6.2.3. В отношении средней стоимости материалов для ремонта транспортных средств Справочник средней стоимости материалов должен формироваться исходя из следующего:

Справочником средней стоимости материалов должна устанавливаться средняя стоимость основных и вспомогательных материалов для обработки и окраски деталей при проведении ремонта транспортных средств. Стоимость на единицу материала должна устанавливаться исходя из розничной цены официальных поставщиков (представительств изготовителей) на территории Российской Федерации. При отсутствии официального представителя изготовителя материала или наличии нескольких официальных поставщиков в качестве средней должна приниматься минимальная рекомендованная розничная цена;

уровень цен должен подтверждаться передачей прайс-листов (баз данных) на официальные запросы профессионального объединения страховщиков либо получением их из других источников (например, из информационных баз данных, находящихся в открытом доступе);

средняя стоимость в Справочнике средней стоимости материалов должна формироваться с учетом применения скидки к рекомендованной розничной цене в размере до 35 процентов. Размер скидки для Справочника средней стоимости материалов должен определяться выборочным исследованием в торговых точках по городу Москве и Московской области и анализом оплаченных счетов (заказ-нарядов) по восстановительному ремонту транспортных средств;

в Справочник средней стоимости материалов должны включаться материалы для окраски максимально доступного для исследования номенклатурного перечня запасных частей (деталей, узлов, агрегатов). Итоговый перечень материалов, включаемых в Справочник средней стоимости материалов, должен определяться по информации официальных поставщиков (представительств изготовителей) таких материалов.

6.3. С целью обеспечения достоверности информации, внесенной в очередную актуализированную версию Справочников, профессиональное объединение страховщиков до даты утверждения указанной версии Справочников должно организовать ее проверку путем размещения не позднее чем за 20 (двадцать) рабочих дней до даты утверждения указанной версии Справочников на своем официальном сайте в сети "Интернет", включающей следующие сведения:

перечень сведений о стоимости запасных частей;

проект Справочника средней стоимости нормо-часа работ;

проект Справочника средней стоимости материалов;

сообщение, содержащее информацию о начале сбора замечаний и предложений по проекту новой версии Справочников и перечню сведений о стоимости запасных частей и о сроке их сбора.

Перечень сведений в отношении запасных частей должен формироваться на основании статистических данных о наиболее часто повреждаемых запасных частях, полученных по результатам урегулирования страховых случаев по договорам обязательного страхования гражданской ответственности владельцев транспортных средств. Указанный перечень должен содержать стоимостную информацию по всем маркам транспортных средств, представленных в Справочнике средней стоимости запасных частей, и должен быть сформирован для каждого субъекта Российской Федерации.

Количество позиций по каждой марке транспортных средств должно определяться исходя из сведений о количестве договоров обязательного страхования гражданской ответственности владельцев транспортных средств и составлять:

не менее 3000 позиций, если доля договоров обязательного страхования гражданской ответственности владельцев транспортных средств, заключенных в отношении данной марки транспортного средства за год, предшествующий дате размещения указанного перечня, составляет не менее одного процента от общего количества договоров обязательного страхования гражданской ответственности владельцев транспортных средств;

не менее 1 000 позиций, если указанная доля договоров обязательного страхования гражданской ответственности владельцев транспортных средств, заключенных в отношении данной марки транспортного средства за год, предшествующий дате размещения указанного перечня, составляет менее одного процента от общего количества договоров.

Сведения в отношении запасных частей в обязательном порядке должны содержать следующую информацию:

наименование марки транспортного средства;

наименование субъекта Российской Федерации;

номер оригинальной запасной части;

номер сертифицированной запасной части, определенный в соответствии с подпунктом 6.2.1.3 пункта 6.2 настоящего Положения, если в качестве базовой стоимости запасной части выбрана цена на сертифицированную запасную часть;

базовую стоимость;

региональный коэффициент;

среднюю стоимость запасной части, указанную в проекте Справочника средней стоимости запасных частей.

Проект Справочника средней стоимости нормо-часа работ в обязательном порядке должен содержать следующую информацию:

наименование марки транспортного средства и его типа;

наименование субъекта Российской Федерации;

среднюю стоимость нормо-часа работ, указанную в проекте Справочника средней стоимости нормо-часа работ.

Проект Справочника средней стоимости материалов в обязательном порядке должен содержать следующую информацию:

наименование производителя материала;

наименование и марку материала;

единицу измерения материала;

среднюю стоимость за единицу измерения, указанную в проекте Справочника средней стоимости материалов.

Профессиональное объединение страховщиков должно предоставить возможность направления замечаний и предложений по стоимости запасных частей, материалов и нормо-часа работ посредством своего официального сайта в сети "Интернет" неограниченному кругу лиц (далее - заявитель). В составе замечаний и предложений заявителем должны указываться:

по замечаниям в отношении запасных частей:

наименование марки транспортного средства;

наименование субъекта Российской Федерации;

номер оригинальной запасной части;

номер сертифицированной запасной части;

средняя стоимость запасной части, указанная в перечне сведений о стоимости запасных частей;

предложенная средняя стоимость запасной части;

источник стоимостной информации, на основании которого предложена средняя стоимость запасной части;

по замечаниям в отношении нормо-часа работ:

наименование марки транспортного средства и его типа;

наименование субъекта Российской Федерации;

средняя стоимость нормо-часа работ, указанная в проекте Справочника средней стоимости нормо-часа работ;

предложенная средняя стоимость нормо-часа работ;

источник стоимостной информации, на основании которого предложена средняя стоимость нормо-часа работ;

по замечаниям в отношении материалов:

наименование производителя материала;

наименование и марка материала;

единица измерения материала;

средняя стоимость за единицу измерения, указанная в проекте Справочника средней стоимости материалов;

предложенная средняя стоимость за единицу измерения материала;

источник стоимостной информации, на основании которого предложена средняя стоимость за единицу измерения.

По решению заявителя в составе каждого замечания и предложения указываются пояснения, комментарии, материалы, поясняющие позицию заявителя.

Профессиональное объединение страховщиков не учитывает при рассмотрении направленные заявителем замечания или предложения, если предложенная заявителем средняя стоимость отличается от указанной в проекте Справочников менее чем на 10 процентов.

Прием замечаний и предложений от заявителей должен прекращаться за 14 календарных дней до даты утверждения очередной версии Справочников. По итогам рассмотрения замечаний и предложений заявителей профессиональное объединение страховщиков должно составить отчет с указанием сведений об их учете или причинах отклонения и не позднее 10 календарных дней со дня окончания срока направления замечаний и предложений разместить его на своем официальном сайте в сети "Интернет".

6.4. Профессиональное объединение страховщиков должно осуществлять актуализацию Справочников не реже одного раза в течение трех месяцев.

6.5. Профессиональное объединение страховщиков должно обеспечивать возможность использования Справочников в программных автоматизированных комплексах, применяемых для расчета расходов на восстановительный ремонт страховщиками или экспертами-техниками (экспертными организациями), и доступ заявителям к информации из Справочников по индивидуальным запросам через сеть "Интернет".

При направлении ответов на индивидуальные запросы об информации из Справочника средней стоимости запасных частей через сеть "Интернет" профессиональным объединением страховщиков должна предоставляться следующая информация:

дата, на которую запрошены сведения;

субъект Российской Федерации;

марка транспортного средства;

номер оригинальной запасной части;

номер сертифицированной запасной части, определенный в соответствии с подпунктом 6.2.1.3 пункта 6.2 настоящего Положения, если в качестве базовой стоимости запасной части выбрана цена на сертифицированную запасную часть;

базовая стоимость запасной части;

региональный коэффициент;

средняя стоимость запасной части, установленная в Справочнике средней стоимости запасных частей.

При направлении ответов на индивидуальные запросы об информации из Справочника средней стоимости нормо-часа работ через сеть "Интернет" профессиональным объединением страховщиков должна предоставляться следующая информация:

дата, на которую запрошены сведения;

субъект Российской Федерации;

марка транспортного средства;

тип транспортного средства;

средняя стоимость нормо-часа работ, установленная в Справочнике средней стоимости нормо-часа.

При направлении ответов на индивидуальные запросы об информации из Справочника средней стоимости материалов через сеть "Интернет" профессиональным объединением страховщиков должна предоставляться следующая информация:

дата, на которую запрошены сведения;

наименование материала;

единица измерения материала;

средняя стоимость единицы измерения материала, установленная в Справочнике средней стоимости материалов.

6.6. Профессиональное объединение страховщиков не позднее 10 календарных дней со дня утверждения Справочников должно разместить на своем официальном сайте в сети "Интернет" отчеты о проведении исследования цен на запасные части, материалы и нормо-часы работ. В отчете должна содержаться следующая информация:

период проведения исследования цен;

перечень источников, цены которых на запасные части, материалы и нормо-часы работ использовались при проведении исследования.

Глава 7. Заключительные положения

7.1. Настоящее Положение подлежит официальному опубликованию и в соответствии с решением Совета директоров Банка России (протокол заседания Совета директоров Банка России от 12 февраля 2021 года N ПСД-2) вступает в силу по истечении 90 дней после дня его официального опубликования.

7.2. Настоящее Положение применяется при определении размера расходов на восстановительный ремонт транспортных средств в связи с дорожно-транспортными происшествиями, имевшими место после дня его вступления в силу.

7.3. Действующие на дату вступления в силу настоящего Положения Справочники подлежат актуализации не позднее шести месяцев с даты их последней актуализации.

7.4. Со дня вступления в силу настоящего Положения признать утратившим силу Положение Банка России от 19 сентября 2014 года N 432-П "О единой методике определения размера расходов на восстановительный ремонт в отношении поврежденного транспортного средства", зарегистрированное Министерством юстиции Российской Федерации 3 октября 2014 года N 34245.

Председатель Центрального банка
Российской Федерации
Э.С. НАБИУЛЛИНА

Приложение 1
к Положению Банка России
от 4 марта 2021 года N 755-П
"О единой методике определения
размера расходов на восстановительный
ремонт в отношении поврежденного
транспортного средства"

ТРЕБОВАНИЯ
К ПРОВЕДЕНИЮ ФОТОГРАФИРОВАНИЯ ПОВРЕЖДЕННОГО ТРАНСПОРТНОГО СРЕДСТВА

При проведении осмотра поврежденного транспортного средства необходимо провести фотографирование аппаратом с установленной датой (временем) исходя из следующих требований.

1. Рекомендуемое расстояние для проведения обзорного снимка (снимок транспортного средства спереди (слева - справа) и сзади (слева - справа) под углом около 45 градусов к продольной оси транспортного средства, на котором должен быть ясно различим регистрационный знак транспортного средства в привязке к общему виду поврежденных частей, узлов, агрегатов, деталей) легкового автомобиля около 5 м (рис. 1).

Необходимо при одной зоне повреждений делать не менее 2 снимков.

Рис. 1. Схема выполнения фотосъемки поврежденного транспортного средства (общего вида)

2. Снимок идентификационного номера транспортного средства (VIN), при его отсутствии - номера кузова или рамы.

Фотографирование регистрационных документов транспортного средства и документов о дорожно-транспортном происшествии выполняется в обязательном порядке.

3. Снимки видимых границ зоны повреждения с охватом основных поврежденных комплектующих изделий (деталей, узлов и агрегатов) (далее - узловые снимки) (пример приведен на рис. 2).

Рис. 2. Схема выполнения фотосъемки поврежденной левой передней двери

При съемке измерительный инструмент - масштабная линейка (рейка) устанавливается вертикально на опорную поверхность вплотную к снимаемой (снимаемому) части, узлу, агрегату, детали так, чтобы не закрывать имеющиеся повреждения. Оптическая ось объектива фотоаппарата должна располагаться перпендикулярно масштабной линейке (рейке). На узловом снимке должно быть видно основание, на которое установлено начало шкалы измерительного инструмента.

С целью более подробного запечатления объема повреждения целесообразно произвести фотосъемку под различными углами.

4. Детальные (масштабные) снимки фиксируют отдельные (локальные) повреждения транспортного средства с близкого расстояния, выполняются по тем повреждениям, характер или объем которых недостаточно четко определяется по узловому снимку.

На снимках должны быть зафиксированы все повреждения, отраженные в акте осмотра, с возможностью определения их вида и объема.

Рекомендуется выполнять несколько детальных снимков под разными углами с целью получения наиболее четкого и информативного изображения. При использовании обозначений поврежденных деталей кузова номерами они должны совпадать с номерами, присвоенными деталям в акте осмотра.

5. При выполнении снимков рекомендуется делать их последовательно, находясь на одной линии под неизменным углом по отношению к оси транспортного средства, то есть сначала выполнить обзорный, узловой снимки, затем приблизиться к транспортному средству и сделать под тем же углом детальный снимок.

6. При фотосъемке вертикально расположенных поверхностей оптическая ось объектива должна располагаться горизонтально и быть направлена в центр снимаемой зоны (части, узла, агрегата, детали).

7. Комплектующие изделия (детали, узлы и агрегаты), поврежденные в дорожно-транспортном происшествии, но отсутствующие на транспортном средстве, фотографируются отдельно, по возможности, рядом с нарушенным креплением к транспортному средству.

8. Повреждения, не имеющие причинно-следственной связи с рассматриваемым дорожно-транспортным происшествием (в том числе включенные в справку о дорожно-транспортном происшествии), фотографируются с учетом обеспечения возможности проведения трасологической экспертизы (с обязательным использованием средств измерения).

9. На фотографиях должны быть зафиксированы общий вид зоны повреждений и отдельные повреждения с привязкой по месторасположению и возможностью визуализации размеров повреждений, с фиксацией основных характеристик (динамические или статические, например, направленность, глубина проникновения, наличие наслоений).

10. При оформлении фототаблицы рекомендуется нанести пояснительные надписи и указатели, в том числе с использованием графического редактора.

Фотографии в фототаблице нумеруются и удостоверяются подписью эксперта-техника или специалиста, проводящего осмотр. Рекомендуемое количество фотографий в фототаблице на листе формата A4 должно быть не более четырех.

Фотографии в электронной форме размещаются на электронном носителе и прилагаются к заключению. Электронные файлы фотографий должны оформляться в виде файлов с расширением *.pdf, *.jpg, *.jpeg, *.bmp, *.png, *.tif, *.gif. Фотоматериал должен содержать дату и время. Размеры изображения по горизонтали и вертикали должны быть не менее 1280 x 720 пикселей. Изображение в градациях серого цвета или в черно-белом формате не допускается.

Наличие приложения с электронным носителем не освобождает эксперта-техника или специалиста, проводящего осмотр, от обязанности оформить и приложить к акту (экспертному заключению) фототаблицу.

Приложение 2
к Положению Банка России
от 4 марта 2021 года N 755-П
"О единой методике определения
размера расходов на восстановительный
ремонт в отношении поврежденного
транспортного средства"

ТИПОВЫЕ ХАРАКТЕРИСТИКИ ПОВРЕЖДЕНИЙ ТРАНСПОРТНОГО СРЕДСТВА

N п/п Вид повреждения Характеристика вида повреждения
1 2 3
1 Биение Отклонение от правильного взаимного расположения поверхностей во вращающихся (колеблющихся) цилиндрических деталях машин и механизмов
2 Вздутие Изменение геометрии лакокрасочного покрытия и пластичных конструктивных материалов в виде выпуклости
3 Вибрация Нарушение режима работы агрегатов и узлов транспортного средства, характеризующееся звуком с достаточно постоянной частотой и повышенным уровнем громкости относительно допустимого уровня
4 Вмятина Изменение геометрии конструктивного элемента транспортного средства по части или всей площади его поверхности в виде углубления круглой или овальной формы со сглаженными краями без разрывов поверхности элемента (вдавленное место)
5 Выпадение Нарушение соединения одной детали (как правило, более мелкой) с другой деталью (как правило, более крупной), сопровождающееся выпадением первой детали с места посадки, расположенного на второй детали
6 Выпуклость Изменение геометрии конструктивного элемента по части или полной площади его поверхности в виде сферически выгнутой наружу формы со сглаженными краями без разрывов поверхности элемента
7 Вырыв Полное отделение (с отрывом) от узла, агрегата, детали его фрагмента
8 Задир Одностороннее без отрыва отделение поверхностного слоя части, детали с образованием, например, заусениц или полосок
9 Заклинивание Полная потеря подвижности движущихся во время рабочих процессов деталей узлов и агрегатов, вызванная взаимным смещением деталей в пространстве от конструктивно заданного положения
10 Залом Изменение геометрии конструктивного элемента в виде его сгибания вверх, вниз или назад
11 Изгиб Вид деформации конструктивного элемента транспортного средства, характеризующийся дугообразным искривлением (изменением кривизны) оси симметрии элемента либо его части или поверхности. Основные виды изгибов: поперечный, продольный, продольно-поперечный
12 Коробление Искривление и (или) сгибание поверхности конструктивного элемента с появлением неровностей
13 Надрез Несквозное повреждение конструктивного элемента небольшой глубины с ровными краями без отделения части материала, длина которого превышает его ширину
14 Наслоение Связанное с процессом следообразования перенесение материала одного объекта на следовоспринимающую поверхность другого. (При дорожно-транспортном происшествии встречаются наслоения краски, пластика, резины или других конструктивных материалов с одного транспортного средства на другом)
15 Обгорание Частичное уничтожение конструктивного элемента транспортного средства в результате температурных воздействий, в том числе с обугливанием его оставшейся части
16 Отрыв Отделение фрагмента конструктивного элемента
17 Отслаивание Разделение многослойных материалов, из которых изготовлены конструктивные элементы, на несколько слоев
18 Перекос Взаимное смещение конструктивных элементов транспортного средства (например, каркаса кузова, кабины, салона, платформы, проемов дверей, капота, крышки багажника, ветрового и заднего стекла, лонжеронов, рамы) в пространстве от конструктивно заданного положения с нарушением допустимых пределов местоположения контрольных (базовых) точек
19 Разрушение Разделение конструктивного элемента на несколько мелких частей или полная потеря им формы и свойств
20 Прокол Сквозное отверстие малой величины, как правило, круглой формы
21 Разрез Сквозное или несквозное узкое повреждение в основном линейной формы, длина которого превышает его ширину, в мягких материалах (например, резина, ткани)
22 Разрыв Сквозное повреждение конструктивного элемента неправильной формы с неровными краями без отделения части материала (длина повреждения превышает его ширину)
23 Риска Повреждение поверхностного слоя конструктивного элемента в виде линии незначительной глубины и длины
24 Сквозная коррозия Разрушение металла по всей толщине детали в результате химического или физико-химического взаимодействия с окружающей средой
25 Скол Полное отделение незначительного по площади фрагмента основного материала от поверхности детали. Особым видом скола является скол лакокрасочного покрытия - незначительное по площади отделение фрагмента лакокрасочного покрытия без повреждения материала детали
26 Складка Изменение геометрии конструктивного элемента с образованием неровности в виде волнообразного или прямолинейного сгиба
27 Скручивание Изменение формы конструктивного элемента в виде деформации вокруг воображаемой оси
28 След сквозной коррозии Признак, косвенно указывающий на наличие сквозной коррозии (например, разрушение лакокрасочного покрытия металлической детали изнутри, без повреждения его поверхностного слоя, подтеки ржавчины)
29 Смещение Нарушение взаимного положения конструктивных элементов, не предусмотренное его конструкцией
30 Стук при движении Нарушение режима работы агрегатов и узлов транспортного средства, характеризующееся звуком в виде ударных нагрузок и повышенным уровнем громкости относительно допустимого уровня
31 Течь Частичное или полное вытекание топливно-смазочных материалов и специальных жидкостей через образовавшиеся трещины и щели
32 Трещина Узкое сквозное или несквозное повреждение конструктивного элемента транспортного средства, длина которого превышает его ширину

Приложение 3
к Положению Банка России
от 4 марта 2021 года N 755-П
"О единой методике определения
размера расходов на восстановительный
ремонт в отношении поврежденного
транспортного средства"

УКРУПНЕННЫЕ ПОКАЗАТЕЛИ ТРУДОЗАТРАТ НА ВЫПОЛНЕНИЕ РАБОТ ПО КУЗОВНОМУ РЕМОНТУ И УСТРАНЕНИЮ ПЕРЕКОСОВ ПРОЕМОВ И КУЗОВА ТРАНСПОРТНЫХ СРЕДСТВ

N п/п Площадь повреждения (кв. м) Необходимое время (нормо-час) (приведено без учета подготовительно-заключительных работ)
1 категория сложности 2 категория сложности 3 категория сложности
1 2 3 4 5
1 0,01 0,6 0,8 1,1
2 0,02 0,7 1,0 1,3
3 0,03 0,8 1,1 1,5
4 0,04 0,9 1,3 1,7
5 0,05 1,0 1,7 2,0
6 0,06 1,1 1,9 2,4
7 0,07 1,2 2,3 2,7
8 0,08 1,3 2,4 2,9
9 0,09 1,4 2,5 3,3
10 0,10 1,6 2,8 3,5
11 0,11 1,7 2,9 3,8
12 0,12 1,9 3,1 3,9
13 0,13 2,0 3,3 4,1
14 0,14 2,2 3,5 4,4
15 0,15 2,4 3,6 4,6
16 0,16 2,5 3,7 4,8
17 0,17 2,7 3,8 5,0
18 0,18 2,9 4,0 5,2
19 0,19 3,0 4,2 5,4
20 0,20 3,1 4,3 5,6
21 0,21 3,3 4,4 5,7
22 0,22 3,4 4,5 5,8
23 0,23 3,5 4,7 6,0
24 0,24 3,7 4,8 6,3
25 0,25 3,8 5,0 6,5
26 0,26 3,9 5,1 6,7
27 0,27 4,0 5,2 6,9
28 0,28 4,1 5,3 7,1
29 0,29 4,2 5,4 7,2
30 0,30 4,4 5,5 7,5
31 Кузов
устранение перекоса
Несложного (проем)
2,0
Среднего (более одного проема; проем плюс лонжероны)
4,5
Сложного (каркас кузова - более двух проемов с панелями пола, крыши или лонжеронами)
8,0

Примечания.

1 категория сложности - несложные деформации на простых (несложно профилированных) поверхностях.

2 категория сложности - сложные деформации с образованием складок, вытяжкой металла либо несложные деформации на профилированных поверхностях.

3 категория сложности - сложные деформации с изломом ребер жесткости (при нецелесообразности замены, применении реставрации или вставки).

Категория сложности не связана с нормированием ремонтов транспортных средств российских изготовителей (ремонт N 1, 2, 3) и зависит от степени повреждения.

Приложение 4
к Положению Банка России
от 4 марта 2021 года N 755-П
"О единой методике определения
размера расходов на восстановительный
ремонт в отношении поврежденного
транспортного средства"

ЗНАЧЕНИЯ КОЭФФИЦИЕНТОВ И , УЧИТЫВАЮЩИХ ВЛИЯНИЕ НА ИЗНОС КОМПЛЕКТУЮЩЕГО ИЗДЕЛИЯ (ДЕТАЛИ, УЗЛА, АГРЕГАТА) ВЕЛИЧИНЫ ПРОБЕГА И СРОКА ЭКСПЛУАТАЦИИ ТРАНСПОРТНОГО СРЕДСТВА ДЛЯ РАЗЛИЧНЫХ КАТЕГОРИЙ (ВИДОВ) И МАРОК ТРАНСПОРТНЫХ СРЕДСТВ

N п/п Категория (вид) транспортного средства Марка транспортного средства
1 2 3 4 5
1 Легковые автомобили ВАЗ (Lada), ГАЗ, ЗАЗ, ТагАЗ, УАЗ, ИЖ, АЗЛК 0,057 0,0030
Brilliance, BYD, Chery, Changan, Derways, Daewoo, Doninvest (Донинвест), FAW, Geely, Great Wall, Hafei, Haima, Lifan, Luxgen, Xin Kai, Dacia, Iran Khodro 0,057 0,0029
    Alfa Romeo, Audi, Aston Martin, Bentley, BMW, Bugatti, Ferrari, Jaguar, Maserati, Porsche, Mercedes-Benz, Mini, Rover, Citroen, Fiat, Ford, Opel, Peugeot, Renault, Saab, SEAT, Skoda, Volkswagen, Volvo, Land Rover 0,042 0,0023
    Acura, Buick, Cadillac, Chevrolet, Chrysler, Dodge, Hummer, Infiniti, Jeep, Lexus, Lincoln, Mercury, Pontiac 0,045 0,0024
    Hyundai, Kia, Ssang Yong, Chevrolet Niva 0,052 0,0026
    Daihatsu, Datsun, Honda, Isuzu, Mazda, Mitsubishi, Nissan, Subaru, Suzuki, Toyota 0,044 0,0025
    Прочие легковые автомобили 0,055 0,0028
    Производства СССР, России и стран СНГ (за исключением иностранных изготовителей) 0,077 0,0023
2 Грузовые автомобили (бортовые автомобили, фургоны, самосвалы, тягачи) Иностранных изготовителей, кроме стран СНГ, независимо от марки 0,072 0,0017
3 Грузовые автомобили (бортовые автомобили, фургоны, самосвалы, тягачи) Независимо от марки 0,113 0,0008
4 Автобусы Независимо от марки 0,098 0,0008
5 Троллейбусы и вагоны трамваев Независимо от марки 0,09 0
6 Прицепы и полуприцепы для грузовых автомобилей Независимо от марки 0,06 0
7 Прицепы для легковых автомобилей и жилых автомобилей (типа автомобиль-дача) Независимо от марки 0,07 0
8 Мотоциклы Независимо от марки 0,09 0
9 Скутеры, мопеды, мотороллеры Независимо от марки 0,15 0
10 Сельскохозяйственные тракторы, самоходная сельскохозяйственная, пожарная, коммунальная, погрузочная, строительная, дорожная, землеройная техника и иная техника на базе автомобилей и иных самоходных базах Независимо от марки 0,04 0
11 Велосипеды Независимо от марки 0,04 0

Приложение 5
к Положению Банка России
от 4 марта 2021 года N 755-П
"О единой методике определения
размера расходов на восстановительный
ремонт в отношении поврежденного
транспортного средства"

КОЭФФИЦИЕНТЫ ДЛЯ ОПРЕДЕЛЕНИЯ ДОПОЛНИТЕЛЬНОГО ИНДИВИДУАЛЬНОГО ИЗНОСА НА КОМПЛЕКТУЮЩИЕ ИЗДЕЛИЯ (ДЕТАЛИ, УЗЛЫ, АГРЕГАТЫ)

N п/п Наименование и характеристика основания для определения дополнительного индивидуального износа Значение коэффициента, %
1 2 3
Факторы дополнительного повышения износа
1 Наличие следов повышенной коррозии, не характерной для аналогичных деталей транспортного средства 25,0
2 Неустраненные повреждения деталей кузова и облицовки, не относящиеся к рассматриваемому дорожно-транспортному происшествию, объемом более 10% площади поверхности детали 30,0
3 Визуально фиксируемые следы ремонтных воздействий, проведенных с нарушением технологии, влияющие на эксплуатационные характеристики и качество детали 40,0
4 Неустраненные повреждения и дефекты лакокрасочного покрытия (без повреждения защищаемой поверхности) объемом более 10% площади поверхности детали 25,0
5 Наличие ремонтных вставок, врезок при частичной реставрации детали 40,0
6 Сколы, трещины, потертости элементов остекления и светотехнических приборов объемом более 10% площади их поверхности 45,0
7 Повреждение внешней текстуры (фактуры) неокрашенных частей пластиковой детали (не в зоне повреждения в дорожно-транспортном происшествии) 40,0
Факторы дополнительного понижения износа
1 Отсутствие коррозионных повреждений кузовных составных частей транспортного средства со сроком эксплуатации свыше 12 лет 12,0
2 Для кузовных составных частей транспортного средства со сроком эксплуатации более 12 лет факт выполнения капитального ремонта кузова с полной окраской не более чем за три года до даты экспертизы 15,0
3 Для кузовных составных частей транспортного средства со сроком эксплуатации более 12 лет факт замены кузова на новый не более чем за пять лет до даты экспертизы 30,0
4 Для составных частей двигателя транспортного средства со сроком эксплуатации более 12 лет факт проведения капитального ремонта двигателя не более чем за 1 год до даты экспертизы 15,0

Приложение 6
к Положению Банка России
от 4 марта 2021 года N 755-П
"О единой методике определения
размера расходов на восстановительный
ремонт в отношении поврежденного
транспортного средства"

НОМЕНКЛАТУРА КОМПЛЕКТУЮЩИХ ИЗДЕЛИЙ (ДЕТАЛЕЙ, УЗЛОВ, АГРЕГАТОВ), ДЛЯ КОТОРЫХ УСТАНАВЛИВАЕТСЯ НУЛЕВОЕ ЗНАЧЕНИЕ ИЗНОСА ПРИ РАСЧЕТЕ РАЗМЕРА РАСХОДОВ НА ЗАПАСНЫЕ ЧАСТИ ПРИ ВОССТАНОВИТЕЛЬНОМ РЕМОНТЕ ТРАНСПОРТНОГО СРЕДСТВА

1. Подушки безопасности (устройства, устанавливаемые на транспортном средстве, которые в случае удара транспортного средства автоматически раскрывают эластичный компонент, предназначенный для поглощения энергии удара, посредством сжатия содержащегося в нем газа). Для комплектующих изделий (деталей, узлов, агрегатов), которые поставляются только в сборе с подушками безопасности, также принимается нулевое значение износа.

2. Ремни безопасности, включая замки крепления, устройства натяжения и ограничения усилий, детские удерживающие устройства.

3. Баллоны конденсационные пневматической системы тормозов.

4. Влагоотделители пневматической системы тормозов.

5. Воздухораспределители пневматической системы тормозов.

6. Головки соединительные пневматической системы тормозов.

7. Датчики пневматической системы тормозов.

8. Камеры тормозные пневматической системы тормозов.

9. Клапаны перепускные пневматической системы тормозов.

10. Клапаны защитные пневматической системы тормозов.

11. Клапаны ускорительные пневматической системы тормозов.

12. Клапаны управления тормозами прицепа пневматической системы тормозов.

13. Компрессоры пневматической системы тормозов.

14. Краны тормозные пневматической системы тормозов.

15. Краны разобщительные пневматической системы тормозов.

16. Краны управления тормозами прицепа пневматической системы тормозов.

17. Манометры пневматической системы тормозов.

18. Регуляторы давления пневматической системы тормозов.

19. Регуляторы тормозных сил пневматической системы тормозов

20. Редукторы пневматической системы тормозов.

21. Ресиверы (баллоны воздушные) пневматической системы тормозов.

22. Трубопроводы пневматической системы тормозов.

23. Фильтры воздушные пневматической системы тормозов.

24. Измерительные устройства электронно-пневматических тормозных систем.

25. Электронные блоки управления электронно-пневматических тормозных систем.

26. Исполнительные механизмы электронно-пневматических тормозных систем.

27. Бачки расширительные главного тормозного цилиндра гидравлической системы тормозов.

28. Клапаны выпуска воздуха гидравлической системы тормозов.

29. Регуляторы тормозных сил гидравлической системы тормозов.

30. Насосы вакуумные гидравлической системы тормозов.

31. Трубопроводы гидравлической системы тормозов.

32. Усилители гидравлической системы тормозов.

33. Цилиндры главные тормозные гидравлической системы тормозов.

34. Цилиндры рабочие тормозные гидравлической системы тормозов.

35. Аккумуляторы давления антиблокировочной тормозной системы.

36. Блоки управления антиблокировочной тормозной системы.

37. Датчики скорости вращения колеса антиблокировочной тормозной системы.

38. Насосы антиблокировочной тормозной системы.

39. Реле гидравлического насоса антиблокировочной тормозной системы.

40. Реле магнитного клапана антиблокировочной тормозной системы.

41. Барабаны тормозные.

42. Датчики износа тормозных колодок.

43. Датчики положения педали тормоза.

44. Диски тормозные.

45. Индикаторы неисправности тормозной системы.

46. Кронштейны крепления педали тормоза.

47. Колодки тормозные.

48. Колодочный тормоз трамвая.

49. Механизмы тормозные в сборе.

50. Накладки тормозные.

51. Педали тормоза.

52. Пружины педали тормоза.

53. Пружины тормозных колодок.

54. Пылезащитные чехлы тормозной системы.

55. Регулировочные механизмы барабанного тормоза.

56. Регуляторы давления тормозной системы.

57. Рельсовый тормоз трамвая.

58. Рычаги поворотные тормозного механизма.

59. Рычаги (ручки) ручного тормоза мотоциклов.

60. Суппорты.

61. Тяги педали тормоза.

62. Аккумуляторы давления рулевого управления.

63. Бачки расширительные насоса гидроусилителя рулевого управления.

64. Валы рулевого привода.

65. Картеры рулевого механизма.

66. Клапаны управления гидравлического усилителя руля.

67. Колеса рулевые.

68. Колонки рулевого управления.

69. Кулаки поворотные рулевого управления.

70. Манжеты рулевого механизма.

71. Механизмы рулевые в сборе.

72. Наконечники рулевой тяги.

73. Насосы гидроусилителя рулевого управления.

74. Опоры промежуточные рулевого привода.

75. Радиаторы масляные гидравлического усилителя рулевого управления.

76. Распределитель рулевого усилителя.

77. Шестерни рулевого механизма.

78. Рейки рулевые.

79. Ремни насоса гидравлического усилителя руля.

80. Сошки.

81. Трубопроводы гидроусилителя рулевого управления.

82. Тяги рулевые.

83. Усилители гидравлические рулевого управления.

84. Усилители электрические рулевого управления.

85. Цилиндры силовые рулевых усилителей.

86. Шарниры рулевого управления.

87. Рули мотоциклетного типа.

88. Демпферы руля мотоциклов.

89. Тросы управления тормоза мотоциклов.

90. Брусы тяговые сцепных устройств.

91. Головки сцепные.

92. Кронштейны тяговых сцепных устройств.

93. Крюки запорные сцепных устройств.

94. Опорно-сцепные устройства.

95. Подушки резиновые сцепных устройств.

96. Пружины сцепных устройств.

97. Сцепные устройства крючкового типа.

98. Тяги сцепные.

99. Фланцы соединительные сцепных устройств.

100. Шаровые наконечники сцепных устройств.

101. Шкворни сцепные.

102. Сцепные устройства трамвая.

103. Датчики и блоки управления систем безопасности (SRS).

104. Спиральные контакты и электропроводка систем безопасности (SRS).

105. Траверсы и несущие амортизаторы передней вилки мототехники.

Приложение 7
к Положению Банка России
от 4 марта 2021 года N 755-П
"О единой методике определения
размера расходов на восстановительный
ремонт в отношении поврежденного
транспортного средства"

СПРАВОЧНЫЕ ДАННЫЕ О СРЕДНЕГОДОВЫХ ПРОБЕГАХ ТРАНСПОРТНЫХ СРЕДСТВ

(тыс. км)

N п/п Территория преимущественного использования транспортного средства Легковые транспортные средства физических лиц Легковые транспортные средства юридических лиц (кроме такси) и ведомственные автобусы Грузовые транспортные средства Легковые транспортные средства - такси, микроавтобусы и автобусы
1 2 3 4 5 6
1 Республика Адыгея (Адыгея) 14,0 22,0 55,0 80,0
2 Республика Алтай        
2.1 Горно-Алтайск 14,0 22,0 55,0 80,0
2.2 Прочие города и населенные пункты 12,0 20,0 55,0 70,0
3 Республика Башкортостан        
3.1 Благовещенск, Октябрьский, Ишимбай, Кумертау, Салават, Стерлитамак, Туймазы 14,0 22,0 55,0 80,0
3.2 Уфа 18,0 26,0 60,0 80,0
3.3 Прочие города и населенные пункты 12,0 20,0 55,0 70,0
4 Республика Бурятия        
4.1 Улан-Удэ 14,0 22,0 55,0 80,0
4.2 Прочие города и населенные пункты 10,0 15,0 40,0 60,0
5 Республика Дагестан        
5.1 Буйнакск, Дербент, Каспийск, Махачкала, Хасавюрт 14,0 22,0 55,0 80,0
5.2 Прочие города и населенные пункты 12,0 20,0 55,0 70,0
6 Республика Ингушетия        
6.1 Малгобек, Назрань 14,0 22,0 55,0 80,0
6.2 Прочие города и населенные пункты 12,0 20,0 55,0 70,0
7 Кабардино-Балкарская Республика        
7.1 Нальчик, Прохладный 14,0 22,0 55,0 80,0
7.2 Прочие города и населенные пункты 12,0 20,0 55,0 70,0
8 Республика Калмыкия        
8.1 Элиста 16,0 24,0 55,0 80,0
8.2 Прочие города и населенные пункты 12,0 20,0 55,0 70,0
9 Карачаево-Черкесская Республика 16,0 24,0 55,0 80,0
10 Республика Карелия        
10.1 Петрозаводск 16,0 24,0 55,0 80,0
10.2 Прочие города и населенные пункты 12,0 20,0 55,0 70,0
11 Республика Коми        
11.1 Сыктывкар, Ухта 16,0 24,0 55,0 80,0
11.2 Прочие города и населенные пункты 10,0 15,0 40,0 60,0
12 Республика Крым        
12.1 Симферополь 16,0 22,0 50,0 80,0
12.2 Прочие города и населенные пункты 10,0 15,0 40,0 60,0
13 Республика Марий Эл        
13.1 Йошкар-Ола, Волжск 16,0 24,0 55,0 80,0
13.2 Прочие города и населенные пункты 12,0 20,0 55,0 70,0
14 Республика Мордовия        
14.1 Саранск, Рузаевка 16,0 24,0 55,0 80,0
14.2 Прочие города и населенные пункты 12,0 20,0 55,0 70,0
15 Республика Саха (Якутия)        
15.1 Якутск, Нерюнгри 16,0 24,0 55,0 70,0
15.2 Прочие города и населенные пункты 10,0 15,0 40,0 50,0
16 Республика Северная Осетия - Алания        
16.1 Владикавказ 16,0 24,0 55,0 80,0
16.2 Прочие города и населенные пункты 12,0 20,0 55,0 70,0
17 Республика Татарстан (Татарстан)        
17.1 Альметьевск, Зеленодольск, Нижнекамск, Бугульма, Лениногорск, Чистополь, Елабуга 18,0 24,0 50,0 80,0
17.2 Казань, Набережные Челны 18,0 26,0 55,0 80,0
17.3 Прочие города и населенные пункты 12,0 20,0 50,0 70,0
18 Республика Тыва        
18.1 Кызыл 12,0 20,0 55,0 70,0
18.2 Прочие города и населенные пункты 10,0 15,0 40,0 60,0
19 Удмуртская Республика        
19.1 Ижевск, Глазов, Сарапул, Воткинск 16,0 24,0 55,0 80,0
19.2 Прочие города и населенные пункты 12,0 20,0 55,0 70,0
20 Республика Хакасия        
20.1 Абакан, Саяногорск, Черногорск 16,0 24,0 55,0 75,0
20.2 Прочие города и населенные пункты 12,0 20,0 55,0 70,0
21 Чеченская Республика 16,0 24,0 55,0 80,0
22 Чувашская Республика - Чувашия        
22.1 Чебоксары, Новочебоксарск, Канаш 16,0 24,0 55,0 80,0
22.2 Прочие города и населенные пункты 12,0 20,0 55,0 70,0
23 Алтайский край        
23.1 Барнаул, Бийск, Заринск, Новоалтайск, Рубцовск 16,0 24,0 55,0 80,0
23.2 Прочие города и населенные пункты 12,0 20,0 55,0 70,0
24 Забайкальский край        
24.1 Чита, Краснокаменск 16,0 24,0 55,0 80,0
24.2 Прочие города и населенные пункты 12,0 20,0 55,0 70,0
25 Камчатский край        
25.1 Петропавловск-Камчатский 14,0 20,0 50,0 65,0
25.2 Прочие города и населенные пункты 12,0 20,0 50,0 50,0
26 Краснодарский край        
26.1 Краснодар, Новороссийск 18,0 26,0 55,0 80,0
26.2 Белореченск, Ейск, Кропоткин, Крымск, Курганинск, Лабинск, Славянск-на-Кубани, Тимашевск, Тихорецк, Армавир, Сочи, Туапсе, Анапа, Геленджик 16,0 24,0 55,0 80,0
26.3 Прочие города и населенные пункты 12,0 22,0 55,0 70,0
27 Красноярский край        
27.1 Красноярск 18,0 26,0 60,0 80,0
27.2 Ачинск, Зеленогорск, Канск, Лесосибирск, Минусинск, Назарово, Железногорск, Норильск 16,0 24,0 55,0 80,0
27.3 Прочие города и населенные пункты 12,0 20,0 55,0 70,0
28 Пермский край        
28.1 Пермь, Березники, Краснокамск, Соликамск 16,0 24,0 55,0 80,0
28.2 Прочие города и населенные пункты 12,0 20,0 55,0 70,0
29 Приморский край        
29.1 Владивосток, Арсеньев, Артем, Находка, Спасск-Дальний, Уссурийск 16,0 24,0 55,0 80,0
29.2 Прочие города и населенные пункты 12,0 20,0 55,0 70,0
30 Ставропольский край        
30.1 Ставрополь, Кисловодск, Михайловск, Буденновск, Георгиевск, Ессентуки, Минеральные воды, Невинномысск, Пятигорск 16,0 24,0 55,0 80,0
30.2 Прочие города и населенные пункты 12,0 20,0 55,0 70,0
31 Хабаровский край        
31.1 Хабаровск, Комсомольск-на-Амуре, Амурск 16,0 24,0 55,0 80,0
31.2 Прочие города и населенные пункты 12,0 20,0 55,0 70,0
32 Амурская область        
32.1 Благовещенск, Белогорск, Свободный 16,0 24,0 55,0 80,0
32.2 Прочие города и населенные пункты 10,0 15,0 40,0 60,0
33 Архангельская область        
33.1 Архангельск, Котлас, Северодвинск 16,0 24,0 55,0 80,0
33.2 Прочие города и населенные пункты 10,0 15,0 40,0 60,0
34 Астраханская область        
34.1 Астрахань 16,0 24,0 55,0 80,0
34.2 Прочие города и населенные пункты 12,0 20,0 55,0 70,0
35 Белгородская область        
35.1 Белгород, Губкин, Старый Оскол 16,0 24,0 55,0 80,0
35.2 Прочие города и населенные пункты 12,0 20,0 55,0 70,0
36 Брянская область        
36.1 Брянск, Клинцы 16,0 24,0 55,0 80,0
36.2 Прочие города и населенные пункты 12,0 20,0 55,0 70,0
37 Владимирская область        
37.1 Владимир, Гусь-Хрустальный, Муром 16,0 24,0 55,0 80,0
37.2 Прочие города и населенные пункты 12,0 20,0 55,0 70,0
38 Волгоградская область        
38.1 Волгоград, Волжский, Камышин, Михайловка 18,0 26,0 60,0 80,0
38.2 Прочие города и населенные пункты 12,0 20,0 55,0 70,0
39 Вологодская область        
39.1 Вологда, Череповец 16,0 24,0 55,0 80,0
39.2 Прочие города и населенные пункты 12,0 20,0 55,0 70,0
40 Воронежская область        
40.1 Борисоглебск, Лиски, Россошь 16,0 24,0 55,0 80,0
40.2 Воронеж 18,0 26,0 55,0 80,0
40.3 Прочие города и населенные пункты 12,0 20,0 55,0 70,0
41 Ивановская область        
41.1 Иваново, Кинешма, Шуя 16,0 24,0 55,0 80,0
41.2 Прочие города и населенные пункты 12,0 20,0 55,0 70,0
42 Иркутская область        
42.1 Иркутск, Ангарск, Братск, Тулун, Усть-Илимск, Усть-Кут, Черемхово, Усолье-Сибирское, Шелехов 16,0 24,0 55,0 80,0
42.2 Прочие города и населенные пункты 12,0 20,0 55,0 70,0
43 Калининградская область        
43.1 Калининград 16,0 24,0 55,0 80,0
43.2 Прочие города и населенные пункты 12,0 20,0 55,0 70,0
44 Калужская область        
44.1 Калуга, Обнинск 16,0 24,0 55,0 80,0
44.2 Прочие города и населенные пункты 12,0 20,0 55,0 70,0
45 Кемеровская область - Кузбасс        
45.1 Белово, Березовский, Междуреченск, Осинники, Прокопьевск, Анжеро-Судженск, Киселевск, Юрга 16,0 24,0 55,0 80,0
45.2 Кемерово, Новокузнецк 18,0 24,0 55,0 80,0
45.3 Прочие города и населенные пункты 12,0 20,0 55,0 70,0
46 Кировская область        
46.1 Киров, Кирово-Чепецк 16,0 24,0 55,0 80,0
46.2 Прочие города и населенные пункты 12,0 20,0 55,0 70,0
47 Костромская область        
47.1 Кострома 16,0 24,0 55,0 80,0
47.2 Прочие города и населенные пункты 12,0 20,0 55,0 70,0
48 Курганская область        
48.1 Курган, Шадринск 16,0 24,0 55,0 80,0
48.2 Прочие города и населенные пункты 12,0 20,0 55,0 70,0
49 Курская область        
49.1 Железногорск, Курск 16,0 24,0 55,0 80,0
49.2 Прочие города и населенные пункты 12,0 20,0 55,0 70,0
50 Ленинградская область 16,0 24,0 55,0 80,0
51 Липецкая область        
51.1 Елец, Липецк 16,0 24,0 55,0 80,0
51.2 Прочие города и населенные пункты 12,0 20,0 55,0 70,0
52 Магаданская область        
52.1 Магадан 14,0 24,0 55,0 70,0
52.2 Прочие города и населенные пункты 10,0 15,0 40,0 60,0
53 Московская область 18,0 24,0 60,0 85,0
54 Мурманская область        
54.1 Мурманск, Североморск, Апатиты, Мончегорск 16,0 24,0 55,0 80,0
54.2 Прочие города и населенные пункты 10,0 15,0 40,0 60,0
55 Нижегородская область        
55.1 Нижний Новгород 18,0 26,0 65,0 90,0
55.2 Арзамас, Выкса, Саров, Балахна, Бор, Дзержинск, Кстово 16,0 24,0 55,0 80,0
55.3 Прочие города и населенные пункты 12,0 20,0 55,0 70,0
56 Новгородская область        
56.1 Великий Новгород, Боровичи 16,0 24,0 55,0 80,0
56.2 Прочие города и населенные пункты 12,0 20,0 55,0 70,0
57 Новосибирская область        
57.1 Бердск, Искитим, Куйбышев 16,0 24,0 55,0 80,0
57.2 Новосибирск 18,0 26,0 65,0 90,0
57.3 Прочие города и населенные пункты 12,0 20,0 55,0 70,0
58 Омская область        
58.1 Омск 18,0 26,0 60,0 85,0
58.2 Прочие города и населенные пункты 12,0 20,0 55,0 70,0
59 Оренбургская область        
59.1 Оренбург, Бугуруслан, Бузулук, Новотроицк, Орск 16,0 24,0 55,0 80,0
59.2 Прочие города и населенные пункты 12,0 20,0 55,0 70,0
60 Орловская область        
60.1 Орел, Ливны, Мценск 16,0 24,0 55,0 80,0
60.2 Прочие города и населенные пункты 12,0 20,0 55,0 70,0
61 Пензенская область        
61.1 Пенза, Заречный, Кузнецк 16,0 24,0 55,0 80,0
61.2 Прочие города и населенные пункты 12,0 20,0 55,0 70,0
62 Псковская область        
62.1 Псков, Великие Луки 16,0 24,0 55,0 80,0
62.2 Прочие города и населенные пункты 12,0 20,0 55,0 70,0
63 Ростовская область        
63.1 Азов, Батайск, Волгодонск, Гуково, Каменск-Шахтинский, Новочеркасск, Новошахтинск, Сальск, Таганрог, Шахты 16,0 24,0 55,0 80,0
63.2 Ростов-на-Дону 18,0 26,0 65,0 90,0
63.3 Прочие города и населенные пункты 12,0 20,0 55,0 70,0
64 Рязанская область        
64.1 Рязань 16,0 24,0 55,0 80,0
64.2 Прочие города и населенные пункты 12,0 20,0 55,0 70,0
65 Самарская область        
65.1 Самара, Новокуйбышевск, Сызрань, Тольятти, Чапаевск 16,0 24,0 55,0 80,0
65.2 Прочие города и населенные пункты 12,0 20,0 55,0 70,0
66 Саратовская область        
66.1 Саратов, Балаково, Балашов, Вольск, Энгельс 16,0 24,0 55,0 80,0
66.2 Прочие города и населенные пункты 12,0 20,0 55,0 70,0
67 Сахалинская область        
67.1 Южно-Сахалинск 16,0 18,0 50,0 50,0
67.2 Прочие города и населенные пункты 10,0 15,0 40,0 50,0
68 Свердловская область        
68.1 Екатеринбург 18,0 26,0 60,0 85,0
68.2 Асбест, Ревда, Березовский, Верхняя Пышма, Новоуральск, Первоуральск, Верхняя Салда, Полевской 16,0 24,0 55,0 80,0
68.3 Прочие города и населенные пункты 12,0 20,0 55,0 70,0
69 Смоленская область        
69.1 Смоленск, Вязьма, Рославль, Сафоново, Ярцево 18,0 24,0 55,0 80,0
69.2 Прочие города и населенные пункты 16,0 22,0 60,0 75,0
70 Тамбовская область        
70.1 Тамбов, Мичуринск 16,0 24,0 55,0 80,0
70.2 Прочие города и населенные пункты 12,0 20,0 55,0 70,0
71 Тверская область        
71.1 Тверь, Вышний Волочек, Кимры, Ржев 16,0 24,0 55,0 80,0
71.2 Прочие города и населенные пункты 12,0 20,0 55,0 70,0
72 Томская область        
72.1 Томск, Северск 16,0 24,0 55,0 80,0
72.2 Прочие города и населенные пункты 12,0 20,0 55,0 70,0
73 Тульская область        
73.1 Тула, Алексин, Ефремов, Новомосковск, Узловая, Щекино 16,0 24,0 55,0 80,0
73.2 Прочие города и населенные пункты 12,0 20,0 55,0 70,0
74 Тюменская область        
74.1 Тюмень 18,0 26,0 65,0 85,0
74.2 Тобольск 16,0 24,0 55,0 80,0
74.3 Прочие города и населенные пункты 12,0 20,0 55,0 70,0
75 Ульяновская область        
75.1 Ульяновск, Димитровград 16,0 24,0 55,0 80,0
75.2 Прочие города и населенные пункты 12,0 20,0 55,0 70,0
76 Челябинская область        
76.1 Челябинск, Магнитогорск 18,0 26,0 65,0 90,0
76.2 Златоуст, Миасс, Копейск, Сатка, Чебаркуль 16,0 24,0 55,0 80,0
76.3 Прочие города и населенные пункты 12,0 20,0 55,0 70,0
77 Ярославская область        
77.1 Ярославль 16,0 24,0 55,0 80,0
77.2 Прочие города и населенные пункты 12,0 20,0 55,0 70,0
78 Москва 18,0 28,0 65,0 95,0
79 Санкт-Петербург 18,0 26,0 65,0 95,0
80 Севастополь 16,0 22,0 50,0 80,0
81 Еврейская автономная область        
81.1 Биробиджан 16,0 24,0 55,0 80,0
81.2 Прочие города и населенные пункты 12,0 20,0 55,0 70,0
82 Ненецкий автономный округ 10,0 15,0 40,0 60,0
83 Ханты-Мансийский автономный округ - Югра        
83.1 Сургут, Нефтеюганск, Нягань, Нижневартовск, Ханты-Мансийск 16,0 24,0 55,0 80,0
83.2 Прочие города и населенные пункты 10,0 15,0 40,0 60,0
84 Чукотский автономный округ 10,0 15,0 40,0 60,0
85 Ямало-Ненецкий автономный округ        
85.1 Новый Уренгой, Ноябрьск 16,0 24,0 55,0 80,0
85.2 Прочие города и населенные пункты 10,0 15,0 40,0 60,0

Приложение 8
к Положению Банка России
от 4 марта 2021 года N 755-П
"О единой методике определения
размера расходов на восстановительный
ремонт в отношении поврежденного
транспортного средства"

ЗНАЧЕНИЯ КОЭФФИЦИЕНТА , УЧИТЫВАЮЩЕГО СРОК ЭКСПЛУАТАЦИИ ТРАНСПОРТНОГО СРЕДСТВА НА МОМЕНТ ПОВРЕЖДЕНИЯ И СПРОС НА ЕГО НЕПОВРЕЖДЕННЫЕ ЧАСТИ, УЗЛЫ, АГРЕГАТЫ И ДЕТАЛИ

N п/п Срок эксплуатации транспортного средства (лет) Легковые транспортные средства, малотоннажные грузовые транспортные средства на базе легковых и мототехника Грузовые транспортные средства, автобусы, специальная техника
1 2 3 4
1 0 - 5 (включительно) 0,80 0,80
2 6 - 10 (включительно) 0,65 0,60
3 11 - 15 (включительно) 0,55 0,50
4 16 - 20 (включительно) 0,40 0,35
5 21 и более 0,35 0,30

Приложение 9
к Положению Банка России
от 4 марта 2021 года N 755-П
"О единой методике определения
размера расходов на восстановительный
ремонт в отношении поврежденного
транспортного средства"

ЗНАЧЕНИЯ КОЭФФИЦИЕНТА , УЧИТЫВАЮЩЕГО ОБЪЕМ (СТЕПЕНЬ) МЕХАНИЧЕСКИХ ПОВРЕЖДЕНИЙ ТРАНСПОРТНОГО СРЕДСТВА

Объем механических повреждений транспортного средства Соотношение стоимости неповрежденных элементов к стоимости транспортного средства (), % Значение коэффициента, учитывающего объем механических повреждений
1 2 3
Незначительный 80 - 100 0,9 - 1
60 - 80 0,8 - 0,9
Средний 40 - 60 0,7 - 0,8
20 - 40 0,6 - 0,7
Значительный 0 - 20 0,5 - 0,6

Приложение 10
к Положению Банка России
от 4 марта 2021 года N 755-П
"О единой методике определения
размера расходов на восстановительный
ремонт в отношении поврежденного
транспортного средства"

ПРОЦЕНТНОЕ СООТНОШЕНИЕ СТОИМОСТИ НЕПОВРЕЖДЕННЫХ ЭЛЕМЕНТОВ ЛЕГКОВЫХ АВТОМОБИЛЕЙ, А ТАКЖЕ МАЛОТОННАЖНЫХ ГРУЗОВЫХ АВТОМОБИЛЕЙ НА БАЗЕ ЛЕГКОВЫХ К СТОИМОСТИ ТРАНСПОРТНОГО СРЕДСТВА В НЕПОВРЕЖДЕННОМ ВИДЕ

Таблица 1

Наименование составной части Процентное соотношение (вес) стоимости неповрежденных составных частей транспортного средства к стоимости транспортного средства в неповрежденном виде ()
все транспортные средства, кроме указанных в графах 3, 4, 5 транспортные средства с кузовом, имеющим 2 двери Транспортные средства рамной конструкции (универсал 3 двери) транспортные средства рамной конструкции (универсал 5 дверей)
1 2 3 4 5
Кузовные детали, экстерьер, интерьер, в том числе: 50 45 41,4 45,8
Передняя часть: 14 14 11,6 11,6
Капот 1,9 1,9 1,9 1,9
Крыло переднее (за 1 шт.) 0,8 0,8 0,8 0,8
Бампер передний (в сборе с усилителем, накладками и молдингами, спойлером) 1,9 1,9 1,9 1,9
Решетка (облицовка) радиатора 0,8 0,8 0,8 0,8
Лонжерон передний (за 1 шт.) 0,8 0,8 0,4 0,4
Брызговик крыла (за 1 шт.) 1,4 1,4 0,8 0,8
Стекло ветрового окна 1,7 1,7 1,7 1,7
Рамка радиатора 1,4 1,4 1,0 1,0
Щиток передка 0,3 0,3 0,3 0,3
Задняя часть: 12 14 13,4 11,4
Бампер задний 1,6 1,6 1,6 1,6
Крыло заднее (боковина) в сборе с арками (за 1 шт.) 2,1 3,1 3,1 2,1
Стекло окна задка 1,9 1,9 1,9 1,9
Панель задка 0,8 0,8 0,6 0,6
Пол багажника 0,8 0,8 0,4 0,4
Облицовки багажника 1,1 1,1 1,1 1,1
Крышка багажника (дверь задка) 1,6 1,6 1,6 1,6
Средняя часть: 24 17 16,4 22,8
Передняя стойка боковины (за 1 шт.) 1,4 1,4 1,1 1,1
Средняя стойка боковины с порогом и частью пола (за 1 шт.) 1,4 0 0 1,1
Облицовки стоек боковины, порогов, уплотнители, центральная консоль, противосолнечные козырьки, плафоны освещения, коврики пола, зеркало заднего вида 2,5 2,1 2,1 2,5
Двери в сборе с арматурой (за 1 шт.) 1,9 1,9 1,9 1,9
в том числе арматура дверей (за 1 дверной комплект) 0,5 0,5 0,5 0,5
Сиденья (все) 1,1 1,1 1,1 1,1
Панель крыши в сборе с обивкой, поперечинами и верхними частями стоек 3,5 3,5 3,5 3,5
в том числе обивка панели крыши 0,8 0,8 0,8 0,8
Панель приборов в сборе с щитком приборов, решетками, вещевым ящиком, карманами и так далее 2,5 2,5 2,5 2,5
Ремень безопасности передний (за 1 шт.) 0,3 0,3 0,3 0,3
Подушка безопасности пассажирская 0,6 0,6 0,6 0,6
Рама 0 0 4 4
Прочие элементы конструкции:
Двигатель, навесное оборудование, составные части системы охлаждения, впускная и выпускная системы
Двигатель в сборе с навесным оборудованием без турбонаддува с турбонаддувом
10,7 12,7
Двигатель в сборе без навесного оборудования 4,9 4,9
в том числе клапанная крышка 0,5 0,5
в том числе масляный поддон 0,5 0,5
в том числе блок цилиндров 2,2 2,2
Дроссельный узел в сборе с заслонкой, клапаном и датчиком 1,4 1,4
Генератор 0,8 0,8
Коллектор впускной 0,5 0,5
Коллектор выпускной 0,5 0,5
Радиатор охлаждения в сборе с кожухами, вентилятором 0,8 0,8
Стартер 0,5 0,5
Короб воздушного фильтра с патрубками 0,5 0,5
Выпускной тракт в сборе 0,8 0,8
Турбокомпрессор (турбонагнетатель) 0 1,4
Интеркулер 0 0,6
Топливная система 2,5
Бак топливный 0,7
Система подачи топлива 1,8
Трансмиссия 4,5
Усредненный показатель с учетом всех возможных вариантов трансмиссии 4,5
Подвеска передний/задний привод полный привод
10 10
Подвеска передняя в сборе с поперечиной 5,5 4,5
Подвеска задняя в сборе с поперечиной 4,5 5,5
Рулевое управление 3
Рулевая колонка в сборе с валом 0,5
Насос гидравлического усилителя руля 0,8
Рулевой механизм 1,2
Рулевое колесо в сборе с подушкой безопасности 0,5
в том числе подушка безопасности водительская 0,3
Тормозная система 3,5
Главный тормозной цилиндр 0,5
Тормозные механизмы (за все колесные узлы) 2
Ручной (ножной) тормоз 0,3
Блок управления антиблокировочной системы (АБС) 0,7
Электрооборудование 13,6
Провода свечные с катушками (комплект) 0,5
Монтажный блок 0,5
Блок управления двигателем 1
Фонари задние (за 1 шт.) 0,5
Зеркала заднего вида боковые (за 1 шт.) 0,8
Блок отопителя салона в сборе (корпус, двигатель, радиаторы) 2,1
Насос кондиционера 0,5
Конденсатор в сборе с осушителем, кожухом, вентилятором, трубками 0,6
Фары (за 1 шт.) 1,1
Жгут проводов двигателя 0,9
Жгут проводов панели приборов 0,8
Остальные жгуты проводов (все) 0,3
Фара противотуманная (за 1 шт.) 0,8
Прочее, транспортное средство без турбонаддува: 2,2 7,2 6,8 2,4
Прочее, транспортное средство с турбонаддувом: 0,2 5,2 4,8 0,4
К годным остаткам не относятся составные части "Рулевое управление" и "Тормозная система", а также иные составные части, указанные в абзацах одиннадцатом - шестнадцатом пункта 5.2 настоящего Положения

Таблица 2

Процентное соотношение стоимости неповрежденных деталей грузовых автомобилей к стоимости транспортного средства в неповрежденном виде

N п/п Наименование составной части Процентное соотношение стоимости неповрежденных элементов к стоимости транспортного средства в неповрежденном виде, %
Тип транспортного средства
бортовой автомобиль фургон самосвал рефрижератор кран-манипулятор седельный тягач
1 2 3 4 5 6 7 8
1 Кабина в металле, внешнее и внутреннее оборудование и облицовка кабины, бампер 24
(26 <1>)
23
(25 <1>)
22
(24 <1>)
21
(23 <1>)
19
(21 <1>)
26
(28 <1>)
1.1 Бампер передний 1 1 0,9 0,9 0,8 1
1.2 Капот 1,3
3,3 <1>)
1,2
(3,2 <1>)
1,2
(3,2 <1>)
1,1
(3,1 <1>)
1,0
(3,0 <1>)
1,2
(3,2 <1>)
1.3 Решетка (облицовка) радиатора 0,4 0,4 0,4 0,4 0,4 0,4
1.4 Стекло ветрового окна 0,6 0,5 0,5 0,5 0,4 0,5
1.5 Блок подрулевых переключателей 0,5 0,5 0,5 0,5 0,4 0,5
1.6 Стекло окна задка 0,3 0,3 0,3 0,3 0,3 0,3
1.7 Отопитель кабины в сборе 0,9 0,8 0,8 0,7 0,6 0,8
1.8 Спойлеры, накладки, облицовка кабины наружная 2,8 2,6 2 5 2,3 2,0 2,6
1.9 Внутренняя облицовка стоек боковины, порогов, уплотнители, центральная консоль, противосолнечные козырьки, плафоны освещения, коврики пола, зеркало заднего вида 0,6 0,6 0,6 0,6 0,5 0,6
1.10 Двери в сборе с арматурой (за 1 шт.) 2,1 2,0 1,9 1,8 1,6 2,1
1.10.1 Стеклоподъемник 0,5 0,5 0,5 0,5 0,5 0,5
1.11 Сиденья (все) 0,8 0,8 0,8 0,8 0,7 0,8
1.12 Панель приборов в сборе со щитком приборов, с решетками, вещевым ящиком, карманами и так далее 1,3 1,2 1,2 1,1 1,0 1,2
1.12.1 Щиток приборов 0,6 0,6 0,6 0,6 0,6 0,6
1.13 Зеркала заднего вида основные (за 1 шт.) 0,7 0,7 0,6 0,6 0,5 0,7
1.14 Опора кабины (за 1 шт.) 0,3 0,3 0,3 0,3 0,3 0,3
1.15 Стеклоочистители ветрового окна (мотор, привод, рычаги и щетки) 0,2 0,2 0,2 0,2 0,2 0,2
1.16 Фара основная (за 1 шт.) 0,6 0,6 0,6 0,5 0,5 0,6
1.17 Фонари габаритные, стоп-сигнала, указателя поворота, противотуманные (за 1 шт.) 0,2 0,2 0,2 0,2 0,2 0,2
1.18 Подножка кабины (за 1 шт.) 0,6 0,6 0,5 0,5 0,5 0,6
1.19 Жгут проводов кабины, блоки реле, датчики, предохранители 2,5 2,3 2,1 2,0 1,7 2,3
2 Двигатель в сборе с навесным оборудованием, системой охлаждения, впускной и выпускной системами 34 33 31 31 29 36
2.1 Двигатель в сборе без навесного оборудования 21 20 18 18 16 23
2.1.1 Клапанная крышка 1 1 1 1 1 1
2.1.2 Масляный поддон 1 1 1 1 1 1
2.1.3 Блок цилиндров 14 13 11 11 9 16
2.2 Генератор 1,1 1,1 1,1 1,1 1,1 1,1
2.3 Коллектор впускной 0,5 0,5 0,5 0,5 0,5 0,5
2.4 Коллектор выпускной 0,5 0,5 0,5 0,5 0,5 0,5
2.5 Система селективной каталитической нейтрализации выхлопных газов (бак, змеевик, насосы, форсунка, блок управления) 0,9 0,9 0,9 0,9 0,9 0,9
2.6 Радиатор охлаждения в сборе с кожухами, вентилятором 1,4 1,4 1,4 1,4 1,4 1,4
2.6.1 Вентилятор с кожухами 0,8 0,8 0,8 0,8 0,8 0,8
2.7 Провода двигателя 0,9 0,9 0,9 0,9 0,9 0,9
2.8 Система кондиционирования (конденсатор, испаритель, осушитель, насос, трубки) 0,8 0,8 0,8 0,8 0,8 0,8
2.9 Стартер 1 1 1 1 1 1
2.10 Короб воздушного фильтра с патрубками 1,2 1,2 1,2 1,2 1,2 1,2
2.11 Труба выхлопная 1 1 1 1 1 1
2.12 Турбокомпрессор (турбонагнетатель) 2,1 2,1 2,1 2,1 2,1 2,1
2.13 Интеркулер 1,6 1,6 1,6 1,6 1,6 1,6
3 Топливная система 3 3 3 3 2 3
4 Трансмиссия (усредненный показатель с учетом всех возможных вариантов трансмиссии) 10 9 8 8 7 9
5 Подвеска 10 9 8 9 8 9
6 Рулевое управление 3 3 3 3 3 3
6.1 Рулевая колонка в сборе с валом 0,5 0,5 0,5 0,5 0,5 0,5
6.2 Насос гидроусилителя руля 1 1 1 1 1 1
6.3 Рулевой механизм 1,2 1,2 1,2 1,2 1,2 1,2
6.4 Рулевое колесо в сборе с подушкой безопасности 0,3 0,3 0,3 0,3 0,3 0,3
6.4.1 Подушка безопасности водительская 0,1 0,1 0,1 0,1 0,1 0,1
7 Тормозная система 3 3 3 3 2 3
8 Кузов (седельно-сцепное устройство тягача) 5 9 14 16 24 3
9 Рама 5 5 5 3 3 5
10 Прочее 3
(1 <1>)
3
(1 <1>)
3
(1 <1>)
3
(1 <1>)
3
(1 <1>)
3
(1 <1>)
11 К годным остаткам не относятся составные части "Рулевое управление" и "Тормозная система", а также иные составные части, указанные в абзацах одиннадцатом - шестнадцатом пункта 5.2 настоящего Положения

<1> Значение для автомобилей капотной компоновки.

Таблица 3

Процентное соотношение стоимости узлов, агрегатов мотоциклов, мопедов и скутеров к стоимости транспортного средства в неповрежденном виде

N п/п Наименование составной части Процентное соотношение стоимости неповрежденных элементов к стоимости транспортного средства в неповрежденном виде, %
Мотоциклы Мопеды, скутеры
1 2 3 4
1 Силовой агрегат в сборе (двигатель, трансмиссия, навесное оборудование (если не указано отдельно) 14,00 30,00
1.1 Головка блока цилиндров в сборе 3,00 -
1.2 Боковая крышка двигателя (за 1 ед.) 0,60
1.3 Генератор, реле-регулятор 1,00
1.4 Стартер 1,00
1.5 Комплект сцепления 0,70
1.6 Блок управления 2,00
1.7 Прочие детали силового агрегата 5,70
2 Система подачи топлива - 1,00
2.1 Карбюраторы (за комплект) 2,00 -
2.2 Инжектор, впрыск 3,00
2.3 Воздушный фильтр в сборе (с воздуховодами) 0,50
3 Система охлаждения двигателя - -
3.1 Радиатор с вентилятором, масляный радиатор (за 1 ед.) 2,00
3.2 Насос 1,00
3.3 Термостат, шланги, расширительный бачок, другие детали 1,00
4 Выхлопная система - -
4.1 Выхлопная система в сборе стоковая 3,00 3,00
4.2 Выхлопная система прямоточная (тюнинг) из карбона или титана премиум-сегмента - 5,00
4.2.1 Приемные трубы, глушители, блок управления двигателем, необходимые крепежи и заглушки (в сборе) 13,00 -
4.2.2 Только глушители 3,00
4.3 Глушители малоизвестных изготовителей бюджетных моделей, установленные не изготовителем транспортного средства 1,20
5 Рама - 10,00
5.1 Рама стальная трубчатая 13,00 10,00
5.2 Рама алюминиевая литая 20,00 -
5.2.1 Основная часть 16,00  
5.2.2 Хвостовая часть 4,00
6 Передняя подвеска - 10,00
6.1 Амортизатор передней подвески в сборе (за 1 ед.) 2,50 -
6.2 Амортизатор передней подвески с полным набором регулировок или амортизатор премиум-сегмента (за 1 ед.) 4,00
6.3 Нижняя траверса 1,00
6.4 Верхняя траверса 0,90
6.5 Демпфер руля 1,00
7 Колесо переднее (диск и шина) 5,00 3,00
8 Задняя подвеска, привод - 5,00
8.1 Маятник в сборе (без амортизатора), цепной привод 2,50 -
8.2 Маятник в сборе (без амортизатора), карданный привод 5,00
8.3 Амортизатор задней подвески (за 1 ед.) 2,00
8.4 Амортизатор задней подвески с полным набором регулировок или амортизатор премиум-сегмента (за 1 ед.) 3,00
9 Колесо заднее (диск и шина) 5,00 3,00
10 Руль (или клипоны) с ручками 1,00 2,00
11 Навесное оборудование руля - -
11.1 Тормозная машинка в сборе (рычаг, главный тормозной цилиндр, бачок), привод акселератора, пульт управления на правой ручке руля, грузик балансировочный 1,50 3,00
11.2 Машинка сцепления в сборе (рычаг, цилиндр сцепления, бачок, шланги или тросы привода), пульт управления на левой ручке, грузик балансировочный 1,50 3,00
12 Тормозная система - -
12.1 Тормозная система переднего колеса (диск, суппорт, шланги) (за 1 комплект) 2,00 4,00
12.2 Тормозная система заднего колеса (диск, суппорт, шланги) (за 1 комплект) 1,50 4,00
12.3 Блок антиблокировочной системы 1,50 -
13 Подножка водителя левая в сборе с кронштейном и рычагом переключения передач 1,00 -
14 Подножка водителя правая в сборе с кронштейном, рычагом заднего тормоза, тормозным цилиндром и бачком 1,50 -
15 Комплект пассажирских подножек с кронштейнами 1,50 -
16 Боковая подножка (подставка) 0,50 1,00
17 Бак топливный металлический в сборе (с насосом, крышкой, накладками и прочим) 3,50 -
18 Бак топливный пластиковый в сборе (с насосом, крышкой и прочим) 2,00 4,00
19 Седло (в сборе) 0,60 3,00
20 Панель приборов 3,20 5,00
21 Световые приборы - -
21.1 Оптика передняя 1,50 3,00
21.2 Оптика задняя 0,50 1,00
21.3 Комплект передних или задних указателей поворота (за 1 комплект) 0,50 1,00
22 Аккумуляторная батарея 0,20 1,00
23 Крыло переднее 0,60 2,00
24 Крыло заднее (хагер) 0,20 -
25 Зеркало заднего вида (за 1 ед.) 0,30 1,00
26 Обтекатели - -
26.1 Передний обтекатель с ветровым стеклом 2,00 <1> 9,00
26.2 Передний ветроотражающий козырек на мотоциклах с открытым двигателем 0,50 <1> -
26.3 Боковой обтекатель в сборе (за 1 сторону) 2,00 <1> 9,00
26.4 Нижний обтекатель двигателя 1,50 <1> -
26.5 Облицовки хвостовой части в сборе (включая держатель номера) 1,00 <1> 9,00
27 Прочие неучтенные детали (мелкие облицовочные детали, звуковой сигнал, элементы электросистемы, слайдеры, защитные дуги, багажные кофры и кронштейны для их крепления и другие) 4,00 5,00
28 К годным остаткам не относятся составные части "Руль (или клипоны) с ручками" и "Тормозная система", а также иные составные части, указанные в абзацах одиннадцатом - шестнадцатом пункта 5.2 настоящего Положения

<1> Для деталей, изготовленных из углеволокна (натуральный карбон, кевлар), применяется повышающий коэффициент 2.