Постановление Правительства РФ от 13.09.2022 N 1600

"О внесении изменений в некоторые акты Правительства Российской Федерации по вопросам предоставления субсидий из федерального бюджета российским организациям"
Редакция от 13.09.2022 — Действует с 16.09.2022

ПРАВИТЕЛЬСТВО РОССИЙСКОЙ ФЕДЕРАЦИИ

ПОСТАНОВЛЕНИЕ
от 13 сентября 2022 г. N 1600

О ВНЕСЕНИИ ИЗМЕНЕНИЙ В НЕКОТОРЫЕ АКТЫ ПРАВИТЕЛЬСТВА РОССИЙСКОЙ ФЕДЕРАЦИИ ПО ВОПРОСАМ ПРЕДОСТАВЛЕНИЯ СУБСИДИЙ ИЗ ФЕДЕРАЛЬНОГО БЮДЖЕТА РОССИЙСКИМ ОРГАНИЗАЦИЯМ

Правительство Российской Федерации постановляет:

1. Утвердить прилагаемые изменения, которые вносятся в акты Правительства Российской Федерации по вопросам предоставления субсидий из федерального бюджета российским организациям.

2. Установить, что положения пункта 12, абзацев второго и третьего подпункта "и" пункта 22, подпунктов "г" и "д" пункта 26 Правил предоставления из федерального бюджета субсидий российским организациям на финансовое обеспечение части затрат на создание научно-технического задела по разработке базовых технологий производства приоритетных электронных компонентов и радиоэлектронной аппаратуры, утвержденных постановлением Правительства Российской Федерации от 17 февраля 2016 г. N 109 "Об утверждении Правил предоставления из федерального бюджета субсидий российским организациям на финансовое обеспечение части затрат на создание научно-технического задела по разработке базовых технологий производства приоритетных электронных компонентов и радиоэлектронной аппаратуры" (в редакции настоящего постановления), и абзаца шестого подпункта "ж" пункта 25 Правил предоставления из федерального бюджета субсидий российским организациям на финансовое обеспечение мероприятий по проведению научно-исследовательских и опытно-конструкторских работ в области средств производства электроники", утвержденных постановлением Правительства Российской Федерации от 16 декабря 2020 г. N 2136 "Об утверждении Правил предоставления из федерального бюджета субсидий российским организациям на финансовое обеспечение мероприятий по проведению научно-исследовательских и опытно-конструкторских работ в области средств производства электроники" (в редакции настоящего постановления), распространяются на соглашения о предоставлении субсидий, заключенные в рамках реализации государственной программы Российской Федерации "Развитие электронной и радиоэлектронной промышленности".

3. Настоящее постановление вступает в силу со дня его официального опубликования.

Председатель Правительства
Российской Федерации
М. МИШУСТИН

УТВЕРЖДЕНЫ
постановлением Правительства
Российской Федерации
от 13 сентября 2022 г. N 1600

ИЗМЕНЕНИЯ, КОТОРЫЕ ВНОСЯТСЯ В АКТЫ ПРАВИТЕЛЬСТВА РОССИЙСКОЙ ФЕДЕРАЦИИ ПО ВОПРОСАМ ПРЕДОСТАВЛЕНИЯ СУБСИДИЙ ИЗ ФЕДЕРАЛЬНОГО БЮДЖЕТА РОССИЙСКИМ ОРГАНИЗАЦИЯМ

1. Правила предоставления из федерального бюджета субсидий российским организациям на финансовое обеспечение части затрат на создание научно-технического задела по разработке базовых технологий производства приоритетных электронных компонентов и радиоэлектронной аппаратуры, утвержденные постановлением Правительства Российской Федерации от 17 февраля 2016 г. N 109 "Об утверждении Правил предоставления из федерального бюджета субсидий российским организациям на финансовое обеспечение части затрат на создание научно-технического задела по разработке базовых технологий производства приоритетных электронных компонентов и радиоэлектронной аппаратуры" (Собрание законодательства Российской Федерации, 2016, N 9, ст. 1258; 2018, N 6, ст. 903; 2020, N 37, ст. 5705; 2021, N 17, ст. 2965; N 45, ст. 7517), изложить в следующей редакции:

"УТВЕРЖДЕНЫ
постановлением Правительства
Российской Федерации
от 17 февраля 2016 г. N 109
(в редакции постановления
Правительства Российской Федерации
от 13 сентября 2022 г. N 1600)

ПРАВИЛА
ПРЕДОСТАВЛЕНИЯ ИЗ ФЕДЕРАЛЬНОГО БЮДЖЕТА СУБСИДИЙ РОССИЙСКИМ ОРГАНИЗАЦИЯМ НА ФИНАНСОВОЕ ОБЕСПЕЧЕНИЕ ЧАСТИ ЗАТРАТ НА СОЗДАНИЕ НАУЧНО-ТЕХНИЧЕСКОГО ЗАДЕЛА ПО РАЗРАБОТКЕ БАЗОВЫХ ТЕХНОЛОГИЙ ПРОИЗВОДСТВА ПРИОРИТЕТНЫХ ЭЛЕКТРОННЫХ КОМПОНЕНТОВ И РАДИОЭЛЕКТРОННОЙ АППАРАТУРЫ

1. Настоящие Правила устанавливают порядок, цели и условия предоставления субсидий из федерального бюджета российским организациям на финансовое обеспечение части затрат на создание научно-технического задела по разработке базовых технологий производства приоритетных электронных компонентов и радиоэлектронной аппаратуры (далее - субсидия).

Субсидии предоставляются в рамках федерального проекта "Научное обеспечение развития электронной и радиоэлектронной промышленности" государственной программы Российской Федерации "Научно-технологическое развитие Российской Федерации", утвержденной постановлением Правительства Российской Федерации от 29 марта 2019 г. N 377 "Об утверждении государственной программы Российской Федерации "Научно-технологическое развитие Российской Федерации" (далее - государственная программа "Научно-технологическое развитие Российской Федерации"), в целях расширения номенклатуры производимой в Российской Федерации электронной аппаратуры.

Сведения о субсидии размещаются на едином портале бюджетной системы Российской Федерации в информационно-телекоммуникационной сети "Интернет" (далее соответственно - сеть "Интернет", единый портал) в разделе "Бюджет" при формировании проекта федерального закона о федеральном бюджете (проекта федерального закона о внесении изменений в федеральный закон о федеральном бюджете).

2. Понятия, используемые в настоящих Правилах, означают следующее:

"высокотехнологичное рабочее место" - рабочее место, созданное российской организацией в рамках реализации комплексного проекта и соответствующее следующим критериям:

оснащение технологическим оборудованием, и (или) специализированными средствами проектирования, и (или) высокопроизводительными системами вычислений;

наличие трудовых отношений с работником, занятым на указанном рабочем месте и имеющим профильное образование и высокую квалификацию;

стоимость создания нового рабочего места или модернизации старого рабочего места составляет не менее 0,5 млн. рублей;

заработная плата работника, занятого на указанном рабочем месте, превышает величину средней заработной платы в соответствующем субъекте Российской Федерации согласно данным Федеральной службы государственной статистики за предыдущий финансовый год;

"ключевое техническое решение" - результат интеллектуальной деятельности российской организации, с получением которого связано (становится возможным) достижение устанавливаемого в бизнес-плане комплексного проекта уровня технико-экономических показателей продукции и (или) технологий, разрабатываемых в рамках комплексного проекта;

"комплексный проект" - комплекс взаимосвязанных мероприятий по созданию продукции и (или) технологий, ограниченных по времени и ресурсам, включающий:

выполнение научно-исследовательских, опытно-конструкторских и технологических работ по созданию научно-технического задела;

организацию серийного выпуска электронных компонентов и (или) радиоэлектронной аппаратуры, в том числе создание инфраструктуры;

последующую коммерциализацию произведенной продукции и (или) технологий;

"научно-технический задел" - совокупность знаний, технических и технологических решений, с использованием которых возможна разработка продукции или способов ее производства;

"отбор" - процедура выбора Министерством промышленности и торговли Российской Федерации на конкурсной основе комплексных проектов, представленных российскими организациями, исходя из наилучших условий достижения результатов, в целях достижения которых предоставляется субсидия;

"отчетный период" - каждый период реализации комплексного проекта, по результатам которого российская организация обязана представить в Министерство промышленности и торговли Российской Федерации отчеты в соответствии с пунктом 23 настоящих Правил;

"период реализации комплексного проекта" - период реализации комплексного проекта в соответствии с планом-графиком финансового обеспечения реализации комплексного проекта за счет средств субсидии, а также собственных и заемных средств российской организации (далее - план-график финансового обеспечения реализации комплексного проекта), равный календарному полугодию (за исключением первого периода реализации комплексного проекта - года заключения соглашения о предоставлении субсидии);

"продукция" - модули, аппаратные и программные комплексы, радиоэлектронные комплексы, системы и аппаратура с техническими характеристиками, заявленными российской организацией в составе заявки на участие в отборе на право получения субсидии (далее - заявка);

"производитель" - юридическое лицо, участвующее в реализации комплексного проекта в рамках договоров (соглашений), заключенных с российской организацией - исполнителем комплексного проекта (в том числе признанное аффилированным лицом по отношению к этой организации в соответствии с антимонопольным законодательством Российской Федерации), осуществляющее в рамках реализации комплексного проекта производство и поставку на внешний и внутренний рынок продукции на основании исключительных и (или) неисключительных прав, предоставленных российской организацией - исполнителем комплексного проекта;

"российская организация" - юридическое лицо, образованное в соответствии с законодательством Российской Федерации, информация о котором размещена в открытом доступе в государственной информационной системе промышленности в информационно-телекоммуникационной сети "Интернет" (далее соответственно - сеть "Интернет", организация);

"серийный выпуск продукции" - выпуск продукции, изготовленной по одной и той же технической документации с использованием единого технологического процесса и выпускаемой в обращение в виде последовательного ряда единиц продукции или периодически повторяющихся партий продукции, применительно к которой проводится подтверждение соответствия;

"сквозной проект" - комплекс взаимосвязанных мероприятий, направленных на внедрение программно-аппаратных комплексов или систем интеллектуального управления, включающих в том числе организацию производства продукции, проведение научно-исследовательских и опытно-конструкторских работ по разработке радиоэлектронной продукции, создание встроенного программного обеспечения, адаптацию существующего программного обеспечения, а также мероприятий, связанных с выводом продукции на рынок с гарантированным объемом ее потребления, превышающим сумму затрат на реализацию указанных мероприятий, и возможностью применения продукции различными потребителями, в том числе в других отраслях экономики, одобренный общественным экспертным советом по использованию электроники в отраслях экономики при президиуме Правительственной комиссии по цифровому развитию, использованию информационных технологий для улучшения качества жизни и условий ведения предпринимательской деятельности (далее - общественный экспертный совет);

"центр коллективного пользования" - научно-исследовательская организация, обладающая современным научным и аналитическим оборудованием, высококвалифицированными кадрами и обеспечивающая проведение на имеющемся оборудовании научных исследований и оказание услуг (исследований, испытаний, измерений) в интересах организаций;

"якорный заказчик" - организация, выступающая в качестве основного потребителя результата сквозного проекта.

3. Субсидия предоставляется Министерством промышленности и торговли Российской Федерации организации по результатам отбора в пределах лимитов бюджетных обязательств, доведенных в установленном порядке до Министерства как получателя средств федерального бюджета на цели, предусмотренные пунктом 1 настоящих Правил.

Субсидии предоставляются организациям на комплексные проекты, срок реализации которых составляет не более 7 лет. Создание научно-технического задела и подготовка серийного выпуска продукции должны быть завершены в срок, не превышающий 4 лет с даты начала реализации комплексного проекта.

Максимальный ежегодный размер субсидии, предоставляемой организации по одному комплексному проекту, составляет не более 350 млн. рублей.

4. Организация - участник отбора не ранее 1-го числа месяца, предшествующего месяцу, в котором подается заявка или заявление о предоставлении субсидии, должна соответствовать следующим требованиям:

а) организация - участник отбора не имеет неисполненной обязанности по уплате налогов, сборов, страховых взносов, пеней, штрафов и процентов, подлежащих уплате в соответствии с законодательством Российской Федерации о налогах и сборах;

б) организация - участник отбора не имеет просроченной задолженности по возврату в федеральный бюджет субсидий, бюджетных инвестиций, предоставленных в том числе в соответствии с иными правовыми актами, и иной просроченной (неурегулированной) задолженности по денежным обязательствам перед Российской Федерацией;

в) организация - участник отбора не находится в процессе реорганизации (за исключением реорганизации в форме присоединения к организации другого юридического лица), ликвидации, в отношении организации не введена процедура банкротства, ее деятельность не приостановлена в порядке, предусмотренном законодательством Российской Федерации;

г) организация - участник отбора не является иностранным юридическим лицом, а также российским юридическим лицом, в уставном (складочном) капитале которого доля участия иностранных юридических лиц, местом регистрации которых является государство или территория, включенные в утвержденный Министерством финансов Российской Федерации перечень государств и территорий, предоставляющих льготный налоговый режим налогообложения и (или) не предусматривающих раскрытия и предоставления информации при проведении финансовых операций (офшорные зоны), в совокупности превышает 50 процентов (с 1 января 2023 г. - 25 процентов);

д) организация - участник отбора не получает субсидии на цели, указанные в пункте 1 настоящих Правил, на основании иных нормативных правовых актов Российской Федерации;

е) среднесписочная численность работников организации - участника отбора за предшествующий календарный год составляет не менее 20 человек в случае, если такая организация претендует на получение субсидии на реализацию только одного комплексного проекта и не реализует на дату заключения соглашения о предоставлении субсидии иных комплексных проектов в рамках государственной программы "Научно-технологическое развитие Российской Федерации". Среднесписочная численность работников организации за предшествующий календарный год при реализации 2 комплексных проектов должна составлять не менее 30 человек, при реализации 3 комплексных проектов - не менее 40 человек, при реализации 4 комплексных проектов - не менее 50 человек, при реализации 5 комплексных проектов - не менее 60 человек;

ж) организация - участник отбора создана не менее чем за 3 года до даты подачи заявки либо включена в перечень системообразующих предприятий российской экономики или является дочерним обществом такой организации с долей участия в уставном капитале не менее 50 процентов и не находилась в течение 3 последних лет в процессе ликвидации или банкротства;

з) с организацией - участником отбора за последние 3 года не было расторгнуто соглашение о предоставлении субсидии в рамках государственной программы "Научно-технологическое развитие Российской Федерации" и государственной программы Российской Федерации "Развитие электронной и радиоэлектронной промышленности";

и) в реестре дисквалифицированных лиц отсутствуют сведения о дисквалифицированных руководителе, членах коллегиального исполнительного органа, лице, исполняющем функции единоличного исполнительного органа, или главном бухгалтере (при наличии) организации - участника отбора;

к) организация - участник отбора не находится в перечне организаций и физических лиц, в отношении которых имеются сведения об их причастности к экстремистской деятельности или терроризму, либо в перечне организаций и физических лиц, в отношении которых имеются сведения об их причастности к распространению оружия массового уничтожения.

5. Субсидируемые затраты организаций на создание научно-технического задела включают в себя следующие расходы, предусмотренные бизнес-планом комплексного проекта, непосредственно связанные с реализацией комплексного проекта в части создания научно-технического задела:

а) расходы на оплату труда работников, непосредственно занятых выполнением научно-исследовательских, опытно-конструкторских и технологических работ, за период выполнения ими работ в рамках комплексного проекта, а также расходы на обязательное пенсионное страхование, обязательное социальное страхование на случай временной нетрудоспособности и в связи с материнством, обязательное медицинское страхование, обязательное социальное страхование от несчастных случаев на производстве и профессиональных заболеваний, начисленные на указанные суммы расходов на оплату труда;

б) накладные расходы в размере не более 200 процентов суммы субсидируемых расходов на оплату труда работников, непосредственно занятых реализацией комплексного проекта, включающие:

расходы на оплату труда работников, входящих в состав административно-управленческого персонала (за исключением доплат и надбавок стимулирующего характера, премий и иных поощрительных выплат), а также расходы на обязательное пенсионное страхование, обязательное социальное страхование на случай временной нетрудоспособности и в связи с материнством, обязательное медицинское страхование, обязательное социальное страхование от несчастных случаев на производстве и профессиональных заболеваний, начисленные на указанные суммы расходов на оплату труда;

расходы на аренду зданий, строений и сооружений, которые организация использует для реализации комплексного проекта в части создания научно-технического задела;

расходы на оплату коммунальных услуг, обслуживание и ремонт зданий, строений и сооружений, которые организация использует для реализации комплексного проекта в части создания научно-технического задела;

расходы на оплату транспортировки грузов, непосредственно связанных с реализацией комплексного проекта в части создания научно-технического задела;

в) расходы по договорам на выполнение научно-исследовательских, опытно-конструкторских и технологических работ в целях создания научно-технического задела в размере не более 60 процентов размера субсидии в отчетном периоде;

г) расходы на приобретение у российских и (или) иностранных организаций неисключительных лицензий на результаты интеллектуальной деятельности, необходимых для реализации комплексного проекта, в размере не более 70 процентов размера субсидии в отчетном периоде;

д) расходы по договорам на проведение исследований в центрах коллективного пользования в размере не более 70 процентов размера субсидии в отчетном периоде;

е) расходы на изготовление опытных образцов, макетов и стендов, в том числе на приобретение материалов и покупных комплектующих изделий, в размере не более 70 процентов размера субсидии в отчетном периоде;

ж) расходы на производство опытной партии продукции, объем которой определяется в техническом обосновании, являющемся неотъемлемой частью бизнес-плана комплексного проекта, и ее тестирование, сертификацию и (или) регистрацию, а также на проведение испытаний в размере не более 70 процентов размера субсидии в отчетном периоде;

з) расходы на аренду (лизинг) технологического оборудования и технологической оснастки, необходимых для создания научно-технического задела, в размере не более 70 процентов размера субсидии в отчетном периоде;

и) расходы на обеспечение правовой охраны созданных в ходе выполнения научно-исследовательских, опытно-конструкторских и технологических работ результатов интеллектуальной деятельности (включая патентование), в том числе за рубежом, в размере не более 70 процентов размера субсидии в отчетном периоде;

к) расходы на оснащение и обслуживание вновь создаваемых и (или) модернизируемых в рамках реализации комплексного проекта высокотехнологичных рабочих мест, необходимых для создания научно-технического задела, в размере не более 70 процентов размера субсидии в отчетном периоде;

л) расходы на поверку, аттестацию, сертификацию и регистрацию средств измерений, испытательного и лабораторного оборудования, используемого на стадии создания научно-технического задела, в размере не более 70 процентов размера субсидии в отчетном периоде.

6. Затраты организации, указанные в пункте 5 настоящих Правил, субсидируются не более 4 лет с даты начала реализации комплексного проекта.

7. Субсидии предоставляются организации в соответствии с планом-графиком финансового обеспечения реализации комплексного проекта на финансовое обеспечение части затрат, указанных в пункте 5 настоящих Правил, обязательства по которым возникли не ранее календарного года получения субсидии, в том числе до заключения соглашения о предоставлении субсидии, в пределах объемов затрат, предусмотренных бизнес-планом комплексного проекта, и максимального ежегодного размера субсидии, установленного абзацем третьим пункта 3 настоящих Правил.

Одна организация может реализовывать одновременно не более 5 комплексных проектов, субсидируемых в соответствии с соглашением о предоставлении субсидии.

Одна организация может единовременно представить документы для участия в отборе не более чем по 3 комплексным проектам, в том числе по комплексным проектам, реализация которых начата организацией за счет собственных и (или) заемных средств.

8. Отбор проводится конкурсной комиссией, образуемой Министерством промышленности и торговли Российской Федерации (далее - конкурсная комиссия).

Отбор проводится с соблюдением сроков, предусмотренных пунктом 26.2 Положения о мерах по обеспечению исполнения федерального бюджета, утвержденного постановлением Правительства Российской Федерации от 9 декабря 2017 г. N 1496 "О мерах по обеспечению исполнения федерального бюджета".

В случае наличия неиспользованных лимитов бюджетных обязательств, образовавшихся по результатам проведения отбора, Министерство промышленности и торговли Российской Федерации вправе провести в течение финансового года дополнительный отбор.

В случае если объемы бюджетных ассигнований, предусмотренные федеральным законом о федеральном бюджете, и лимиты бюджетных обязательств, доведенные в установленном порядке до Министерства промышленности и торговли Российской Федерации как получателя средств федерального бюджета на соответствующий финансовый год на цели, указанные в пункте 1 настоящих Правил, не превышают размера субсидий, предусмотренного в текущем году организациям по ранее заключенным соглашениям о предоставлении субсидии, Министерство промышленности и торговли Российской Федерации не вправе принимать решение о проведении отбора.

9. В целях проведения отбора Министерство промышленности и торговли Российской Федерации:

а) в течение 10 рабочих дней после принятия решения о проведении отбора размещает на сайте государственной информационной системы промышленности (с размещением указателя страницы сайта на едином портале), а также на официальном сайте Министерства промышленности и торговли Российской Федерации в сети "Интернет" (http://minpromtorg.gov.ru) (далее - официальный сайт) объявление о проведении отбора с указанием:

сроков проведения отбора (дата и время начала и окончания приема заявок организаций), а также информации о проведении нескольких этапов отбора с указанием сроков и порядка их проведения. Дата окончания приема заявок организаций не может быть ранее 30-го календарного дня, следующего за днем размещения объявления о проведении отбора;

наименования, места нахождения, почтового адреса, адреса электронной почты Министерства промышленности и торговли Российской Федерации;

указателя страницы официального сайта, на котором обеспечивается проведение отбора;

результатов предоставления субсидии и показателей, необходимых для достижения результатов предоставления субсидии в соответствии с пунктом 21 настоящих Правил;

требований к организациям в соответствии с пунктом 4 настоящих Правил и перечня сведений и документов, представляемых организациями в соответствии с пунктом 11 настоящих Правил;

порядка подачи заявок организациями;

требований, предъявляемых к форме и содержанию заявок, подаваемых организациями в соответствии с пунктом 11 настоящих Правил;

порядка отзыва заявок организаций, порядка возврата заявок организаций, определяющего в том числе основания для возврата заявок организаций, а также порядка внесения изменений в заявки организаций;

правил рассмотрения и оценки заявок организаций;

порядка предоставления организациям разъяснений положений объявления о проведении отбора, а также даты начала и окончания срока такого предоставления;

срока, в течение которого победитель (победители) отбора должен подписать соглашение о предоставлении субсидии;

условий признания победителя (победителей) отбора уклонившимся от заключения соглашения о предоставлении субсидии;

даты размещения результатов отбора на сайте государственной информационной системы промышленности (с размещением указателя страницы сайта на едином портале), а также на официальном сайте, которая не может быть позднее 14-го календарного дня, следующего за днем определения победителя отбора;

б) разрабатывает и утверждает методику проведения научно-технической оценки комплексных проектов, которая подлежит публикации на официальном сайте;

в) формирует проект соглашения о предоставлении субсидии в соответствии с типовой формой, утвержденной Министерством финансов Российской Федерации, заключаемого Министерством промышленности и торговли Российской Федерации с организацией - победителем отбора.

10. Обмен документами при проведении отбора осуществляется с использованием государственной информационной системы промышленности.

11. Для участия в отборе организация направляет через государственную информационную систему промышленности в Министерство промышленности и торговли Российской Федерации в электронном виде в сроки, указанные в объявлении о проведении отбора, заявку, подписанную усиленной квалифицированной электронной подписью лица, имеющего право действовать от имени организации, а также следующие сведения и документы:

а) сведения об обеспеченности организации технологическим и испытательным оборудованием для реализации комплексного проекта, принадлежащим на праве собственности или на ином законном основании организации, либо ее дочерним обществам, либо организациям, по отношению к которым она является дочерней, и находящимся на территории Российской Федерации;

б) сведения о наличии у организации необходимых для реализации комплексного проекта и принадлежащих ей на праве собственности или на ином законном основании зданий, строений и сооружений, права на которые не зарегистрированы в Едином государственном реестре недвижимости;

в) сведения о наличии успешного опыта реализации подобных комплексных проектов, в том числе по их выводу на плановую окупаемость и обеспечению достижения запланированных показателей экономической эффективности;

г) сведения о продукции, которая будет создана в ходе реализации комплексного проекта, с указанием ее технических характеристик;

д) сведения об осуществлении организацией на дату подачи заявки работ по реализации комплексного проекта за счет собственных и (или) заемных средств с указанием объема фактически осуществленных затрат и выполненных работ;

е) сведения о соответствии организации требованиям, предусмотренным пунктом 4 настоящих Правил;

ж) утвержденный руководителем бизнес-план комплексного проекта, включающий в себя:

краткое описание комплексного проекта с указанием наименований всех единиц создаваемой в рамках комплексного проекта продукции и соответствующих кодов Общероссийского классификатора продукции по видам экономической деятельности и наименований контрагентов, привлекаемых к реализации комплексного проекта;

наименование производителя продукции, привлекаемого к реализации комплексного проекта (в случае привлечения), с указанием цели и обоснованности привлечения производителя продукции для реализации комплексного проекта и срока реализации комплексного проекта (с учетом положений пункта 3 настоящих Правил);

технологический анализ комплексного проекта с описанием ключевых технических характеристик разрабатываемых базовых технологий и создаваемой продукции;

информацию о результатах интеллектуальной деятельности, которые будут получены в ходе реализации комплексного проекта, в том числе информацию о приобретении исключительных и неисключительных лицензий на результаты интеллектуальной деятельности, необходимых для реализации комплексного проекта;

выводы по результатам проведения организацией патентного анализа в части разрабатываемых в рамках комплексного проекта базовых технологий и (или) создаваемой продукции, а также сведения о патентоспособных ключевых технических решениях, которые предполагается создать и использовать в рамках комплексного проекта (при наличии), с приложением копии отчета о патентных исследованиях, результаты которых подтверждают возможность получения патентоспособных ключевых технических решений в рамках реализации комплексного проекта, и о востребованности на рынке указанных ключевых технических решений;

сведения о наличии у организации научно-технического задела, необходимого для реализации комплексного проекта;

анализ зависимости комплексного проекта от импортных технологий и комплектующих;

маркетинговый анализ комплексного проекта, содержащий анализ российского и мирового рынков продукции, создаваемой в рамках реализации комплексного проекта, а также анализ конкурентной среды в части сравнения продукции, создаваемой в рамках комплексного проекта, с российскими и иностранными аналогами;

обоснование спроса на продукцию, разрабатываемую в рамках комплексного проекта, с приложением подтверждающих писем от потенциальных потребителей продукции;

план-график реализации комплексного проекта, определяющий сроки и результаты достижения ключевых событий и плановых значений показателей, необходимых для достижения результата предоставления субсидии (в рамках каждого периода реализации значения не менее одного показателя, необходимого для достижения результата предоставления субсидии, а на конец реализации комплексного проекта - значения каждого показателя, необходимого для достижения результата предоставления субсидии, которые отличны от нуля), включая:

объем выручки, полученной:

от реализации продукции (включая выручку от экспорта продукции), которая будет разработана и произведена (в том числе произведена производителем) в рамках комплексного проекта, в денежном выражении (в действующих ценах);

от реализации результатов интеллектуальной деятельности, полученных в ходе реализации комплексного проекта (за исключением выручки от реализации результатов интеллектуальной деятельности, полученной от производителя), в денежном выражении (в действующих ценах);

от предоставления в аренду продукции, которая будет разработана и произведена (в том числе произведена производителем) в рамках комплексного проекта, в денежном выражении (в действующих ценах), в размере не более 40 процентов общего планового объема выручки;

количество вновь создаваемых и (или) модернизируемых в рамках реализации комплексного проекта высокотехнологичных рабочих мест;

размер субсидии, запрашиваемой в рамках реализации комплексного проекта, предусмотренный абзацем третьим пункта 3 настоящих Правил;

объем внебюджетных средств, привлекаемых организацией на реализацию комплексного проекта;

объем внебюджетных средств, привлекаемых организацией на создание научно-технического задела;

количество созданных результатов интеллектуальной деятельности, охраняемых патентами и (или) удовлетворяющих условиям патентоспособности (с подтверждением результатами проведенных в соответствии с ГОСТ Р 15.011-96 патентных исследований) и охраняемых в качестве секретов производства (ноу-хау), в том числе ключевых технических решений;

объем экспорта продукции, которая будет создана в ходе реализации комплексного проекта;

план-график финансового обеспечения реализации комплексного проекта;

оценку возможности внедрения и коммерческого использования результатов реализации комплексного проекта, достижения результата предоставления субсидии и показателей, необходимых для достижения результата предоставления субсидии, а также выполнения мероприятий (ключевых событий) плана-графика реализации комплексного проекта;

з) гарантийные письма инвесторов (соинвесторов) и (или) кредитных организаций либо государственной корпорации развития "ВЭБ.РФ" о готовности предоставить финансовое обеспечение расходов, связанных с реализацией комплексного проекта, в случае привлечения кредитных средств для целей реализации комплексного проекта. Указанные письма должны содержать сведения об эффективности планируемых инвестиций в комплексный проект, подготовленные на основе результатов анализа бизнес-плана комплексного проекта;

и) бухгалтерский баланс (форма по ОКУД 0710001, 0710002, 0710004) не менее чем за 3 последних года ведения хозяйственной деятельности организации;

к) отчет о проведении патентных исследований в части разрабатываемых базовых технологий и (или) создаваемой продукции в рамках комплексного проекта;

л) сведения о согласии на публикацию (размещение) в сети "Интернет" информации об организации, о подаваемой организацией заявке, а также об иной информации об организации, связанной с отбором;

м) письмо якорного заказчика о необходимости реализации комплексного проекта в рамках сквозного проекта с приложением копии решения общественного экспертного совета об одобрении сквозного проекта, в рамках которого планируется реализация комплексного проекта (при наличии).

12. Объем внебюджетных средств, привлекаемых организацией на этапе создания научно-технического задела и (или) производителем на этапе подготовки и (или) освоения серийного производства по каждому комплексному проекту в течение срока реализации комплексного проекта, не может составлять менее 30 процентов стоимости комплексного проекта. Указанные внебюджетные средства должны привлекаться на финансовое обеспечение затрат, возникших не ранее календарного года предшествующего отчетному году.

Внебюджетные средства должны привлекаться организацией на этапе создания научно-технического задела и (или) производителем на этапе подготовки и (или) освоения серийного производства в рамках каждого периода реализации комплексного проекта в размере не менее 30 процентов размера субсидии за соответствующий период. При этом организация и (или) производитель привлекают указанные внебюджетные средства в каждом периоде реализации комплексного проекта на финансирование затрат на создание научно-технического задела (на подготовку и (или) освоение серийного производства), указанных в пункте 5 настоящих Правил, в размере не менее 20 процентов суммы предоставляемой субсидии за этот период. Оставшийся объем указанных внебюджетных средств организация и (или) производитель может привлекать для создания, расширения, модернизации комплекса объектов недвижимого имущества, приобретения и модернизации оборудования в целях организации серийного выпуска продукции, приобретения у российских и (или) иностранных организаций исключительных прав на результаты интеллектуальной деятельности, необходимых для реализации комплексного проекта.

При этом в общем объеме внебюджетных средств, привлекаемых для реализации комплексного проекта, учитываются внебюджетные средства производителя, непосредственно связанные с подготовкой и (или) освоением серийного производства продукции в рамках комплексного проекта. Внебюджетные средства, привлеченные организацией в рамках одного комплексного проекта, не могут быть привлечены на цели иных комплексных проектов.

13. Расходы, связанные с созданием, расширением и модернизацией комплекса объектов недвижимого имущества, приобретением и модернизацией оборудования в целях организации серийного выпуска продукции в рамках комплексного проекта, включают:

а) расходы на оплату труда работников, непосредственно занятых выполнением работ по созданию, расширению и модернизации комплекса объектов недвижимого имущества, приобретению и модернизации оборудования в целях организации серийного выпуска продукции в рамках комплексного проекта, за период выполнения ими работ в рамках комплексного проекта, а также расходы на обязательное пенсионное страхование, обязательное социальное страхование на случай временной нетрудоспособности и в связи с материнством, обязательное медицинское страхование, обязательное социальное страхование от несчастных случаев на производстве и профессиональных заболеваний, начисленные на указанные суммы расходов на оплату труда;

б) накладные расходы в размере, определенном в соответствии с принципами учетной политики организации по распределению косвенных расходов между объектами калькуляции, но не более 200 процентов суммы расходов на оплату труда работников, непосредственно занятых выполнением работ по созданию, расширению и модернизации комплекса объектов недвижимого имущества, приобретению и модернизации оборудования в целях организации серийного выпуска продукции в рамках комплексного проекта, включающие:

расходы на оплату труда работников, входящих в состав административно-управленческого персонала организации, а также расходы на обязательное пенсионное страхование, обязательное социальное страхование на случай временной нетрудоспособности и в связи с материнством, обязательное медицинское страхование, обязательное социальное страхование от несчастных случаев на производстве и профессиональных заболеваний, начисленные на указанные суммы расходов на оплату труда;

расходы на аренду зданий, строений и сооружений, используемых в целях организации серийного выпуска продукции в рамках комплексного проекта;

расходы на оплату коммунальных услуг, обслуживание и (или) ремонт зданий, строений и (или) сооружений, используемых в целях организации серийного выпуска продукции, разработанной в рамках комплексного проекта;

расходы на оснащение и (или) обслуживание вновь создаваемых и (или) модернизируемых в рамках реализации комплексного проекта высокотехнологичных рабочих мест в целях организации серийного выпуска продукции;

расходы на оплату транспортировки и (или) хранения грузов, непосредственно связанных с реализацией комплексного проекта в целях организации серийного выпуска продукции;

в) расходы на оплату товаров, работ и услуг, непосредственно связанных с созданием, расширением, модернизацией комплекса объектов недвижимого имущества, приобретением и (или) модернизацией оборудования в целях организации серийного выпуска продукции в рамках комплексного проекта, в том числе:

расходы на приобретение и (или) обслуживание программного обеспечения, используемого в производстве и управлении комплексным проектом, включая фиксированные разовые и периодические платежи;

расходы на обеспечение противопожарной безопасности на объектах недвижимого имущества;

расходы на охрану объектов недвижимого имущества;

расходы на охрану труда;

расходы на аренду земельных участков;

канцелярские, типографские, почтово-телеграфные и телефонные расходы;

расходы на поверку и аттестацию измерительных приборов и оборудования;

расходы на поверку и (или) аттестацию средств измерения, испытательного, лабораторного и вспомогательного оборудования в соответствии с пунктом 7.3.2 ГОСТ Р 27.601-2011;

расходы на уплату авансового платежа по договору финансовой аренды (лизинга) технологического оборудования и технологической оснастки, необходимых для подготовки серийного выпуска продукции;

расходы на приобретение, ремонт и (или) восстановление инструмента и приспособлений общего назначения;

расходы на производство опытной партии продукции, объем которой определяется в техническом обосновании, являющемся неотъемлемой частью бизнес-плана комплексного проекта, и ее тестирование, сертификацию и (или) регистрацию, а также на проведение испытаний;

г) приобретение акций (долей участия) в организациях, обладающих необходимым комплексом объектов недвижимого имущества, в целях реализации комплексного проекта.

14. Поступившим в Министерство промышленности и торговли Российской Федерации с использованием государственной информационной системы промышленности от организаций заявкам присваиваются регистрационные номера. Зарегистрированные заявки с приложенными к ним сведениями и документами, предусмотренными пунктом 11 настоящих Правил, рассматриваются конкурсной комиссией в сроки, указанные в объявлении о проведении отбора.

Заявки с приложенными к ним сведениями и документами, поступившие после срока, указанного в объявлении о проведении отбора, возвращаются организациям через государственную информационную систему промышленности без рассмотрения.

15. Отбор проводится в три этапа.

16. На первом этапе конкурсная комиссия в сроки и в порядке, которые установлены в объявлении о проведении отбора, в том числе с использованием государственной информационной системы промышленности, рассматривает заявки и приложенные к ним сведения и документы, представленные организациями - участниками отбора, во время и в месте, которые указаны в объявлении о проведении отбора, обеспечивает проверку наличия сведений и документов на их соответствие пункту 11 настоящих Правил, обеспечивает проверку соответствия организации - участника отбора требованиям, предусмотренным пунктом 4 настоящих Правил, бизнес-планов комплексных проектов - содержанию бизнес-плана комплексного проекта, предусмотренному подпунктом "ж" пункта 11 настоящих Правил, а также обеспечивает оценку финансово-экономического состояния организации в соответствии с методикой согласно приложению N 1.

Заявка отклоняется в следующих случаях:

несоответствие организации требованиям, предусмотренным пунктом 4 настоящих Правил;

несоответствие заявки форме, приведенной в объявлении о проведении отбора;

несоответствие содержания представленных организацией сведений и документов положениям, предусмотренным пунктом 11 настоящих Правил;

недостоверность представленной организацией информации (в том числе информации о месте нахождения и об адресе юридического лица), а также несоответствие информации, представленной в заявке, аналогичной информации в прилагаемых документах;

превышение в заявке количества комплексных проектов, предусмотренных абзацем третьим пункта 7 настоящих Правил;

подача организацией заявки после даты и (или) времени, определенных для подачи заявки.

При проведении отбора в 2022 году заявка отклоняется также в случае нахождения организации в реестре недобросовестных поставщиков (подрядчиков, исполнителей) в связи с отказом от исполнения заключенных государственных (муниципальных) контрактов о поставке товаров, выполнении работ, об оказании услуг по причине введения политических или экономических санкций иностранными государствами, совершающими недружественные действия в отношении Российской Федерации, граждан Российской Федерации или российских юридических лиц, и (или) введения иностранными государствами, государственными объединениями и (или) союзами и (или) государственными (межгосударственными) учреждениями иностранных государств или государственных объединений и (или) союзов мер ограничительного характера.

По итогам рассмотрения заявок и прилагаемых документов, проведения оценки финансово-экономического состояния организации и проверки соответствия представленных организацией документов положениям настоящих Правил и объявлению о проведении отбора в государственной информационной системе промышленности оформляется протокол рассмотрения заявок, который подписывается каждым присутствующим членом конкурсной комиссии усиленной квалифицированной электронной подписью и содержит следующие сведения:

дата, время и место проведения рассмотрения заявок и прилагаемых документов;

информация об участниках отбора, заявки которых были рассмотрены;

информация об участниках отбора, заявки которых были отклонены, с указанием причин их отклонения, в том числе положений настоящих Правил и объявления о проведении отбора, которым не соответствуют такие заявки;

информация об участниках отбора, заявки которых допущены к участию в отборе.

Подписанный протокол рассмотрения заявок размещается на сайте государственной информационной системы промышленности (с размещением указателя страницы сайта на едином портале), а также на официальном сайте в течение 7 рабочих дней, следующих за днем рассмотрения заявок.

В течение 3 рабочих дней со дня подписания протокола рассмотрения заявок и соответствующих документов конкурсная комиссия обеспечивает предоставление доступа в государственную информационную систему промышленности членам экспертного совета по проведению научно-технической оценки комплексных проектов и контролю их реализации, образуемого Министерством промышленности и торговли Российской Федерации (далее - экспертный совет Министерства).

17. На втором этапе экспертный совет Министерства в течение 20 рабочих дней, следующих за днем получения документов, проводит оценку комплексных проектов в соответствии с методикой, указанной в подпункте "б" пункта 9 настоящих Правил, по следующим критериям:

а) соответствие комплексного проекта мероприятиям государственной программы "Научно-технологическое развитие Российской Федерации";

б) рыночная перспективность, в том числе конкурентоспособность относительно российских и иностранных аналогов, потенциал импортозамещения и экспортный потенциал продукции, разработанной в рамках комплексного проекта;

в) научно-техническая перспективность комплексного проекта, в том числе наличие у организации научно-технического задела и его значимость для реализации комплексного проекта;

г) производственная обоснованность комплексного проекта и стратегическая заинтересованность организации в его реализации;

д) финансово-экономическая эффективность комплексного проекта и финансовое состояние (финансовая устойчивость) организации.

18. Заседания экспертного совета Министерства проводятся в очной форме или в форме видео-конференц-связи с участием организаций по рассмотрению каждого заявляемого комплексного проекта и его научно-технической и производственно-технологической составляющих, финансово-экономической эффективности создаваемой в рамках комплексного проекта продукции, основных характеристик комплексного проекта.

По итогам рассмотрения комплексных проектов в государственной информационной системе промышленности оформляются заключения и протокол экспертной оценки комплексных проектов, который подписывается каждым присутствующим членом экспертного совета Министерства усиленной квалифицированной электронной подписью и содержит следующие сведения:

дата, время и место проведения рассмотрения заявок и прилагаемых документов;

информация об участниках отбора, заявки которых были рассмотрены;

информация об участниках отбора, заявки которых не прошли научно-техническую оценку комплексных проектов;

информация об участниках отбора, заявки которых прошли научно-техническую оценку комплексных проектов;

заключения по каждому комплексному проекту, сформированные каждым членом экспертного совета Министерства.

Подписанные заключения и протокол экспертной оценки комплексных проектов передаются в конкурсную комиссию через государственную информационную систему промышленности в течение одного рабочего дня, следующего за днем их подписания.

19. На третьем этапе конкурсная комиссия проверяет в течение 10 рабочих дней, следующих за днем подписания протокола экспертной оценки комплексных проектов, соответствие комплексных проектов, прошедших научно-техническую оценку, условиям, установленным в объявлении о проведении отбора, определяет рейтинг и присваивает каждой заявке порядковый номер в соответствии с методикой согласно приложению N 2 на основании следующих критериев:

реализация комплексного проекта в рамках сквозного проекта, одобренного общественным экспертным советом;

объем выручки от реализации продукции (включая объем выручки от экспорта продукции, результатов интеллектуальной деятельности и предоставления в аренду продукции), которая будет разработана и произведена (в том числе произведена производителем) в рамках комплексного проекта, в денежном выражении (в действующих ценах);

количество вновь создаваемых и (или) модернизируемых высокотехнологичных рабочих мест в рамках реализации комплексного проекта;

патентоспособность ключевых технических решений (непатентоспособно, или патентоспособно в качестве полезной модели, или патентоспособно в качестве изобретения);

соотношение размера субсидии, запрашиваемой на создание научно-технического задела в рамках комплексного проекта, и размера заемных и (или) собственных средств, планируемых к привлечению для реализации комплексного проекта;

наличие успешного опыта реализации подобных комплексных проектов, в том числе по их выводу на плановую окупаемость и обеспечению достижения запланированных показателей экономической эффективности;

объем выручки от экспорта продукции, разработанной и произведенной (в том числе произведенной производителем) в рамках реализации комплексного проекта в денежном выражении (в действующих ценах);

место государственной регистрации организации.

По итогам оценки и определения рейтинга заявок в государственной информационной системе промышленности оформляется протокол оценки и определения рейтинга заявок в течение 3 рабочих дней, следующих за днем окончания проведения оценки и определения рейтинга заявок, который подписывается каждым присутствующим членом конкурсной комиссии усиленной квалифицированной электронной подписью и содержит следующие сведения:

дата, время и место проведения рассмотрения заявок и приложенных к ним сведений и документов;

информация об участниках отбора, заявки которых были рассмотрены;

информация об участниках отбора, заявки которых были отклонены, с указанием причин их отклонения, в том числе положений настоящих Правил и объявления о проведении отбора, которым не соответствуют такие заявки;

информация об участниках отбора, заявки которых не прошли научно-техническую оценку комплексных проектов;

дата, время и место проведения оценки и определения рейтинга участников отбора, заявки которых прошли научно-техническую оценку комплексных проектов;

последовательность оценки заявок участников отбора, присвоенные заявкам значения по каждому из предусмотренных критериев оценки и принятое на основании результатов оценки заявок решение о присвоении таким заявкам порядковых номеров;

наименование получателей субсидии, с которыми будут заключаться соглашения о предоставлении субсидии, и размер предоставляемых им субсидий.

Подписанный протокол оценки и определения рейтинга заявок с результатами отбора размещается на сайте государственной информационной системы промышленности (с размещением указателя страницы сайта на едином портале), а также на официальном сайте в течение 5 рабочих дней, следующих за днем подписания конкурсной комиссией протокола оценки и определения рейтинга.

20. В течение 30 рабочих дней со дня подписания протокола оценки и определения рейтинга заявок Министерство промышленности и торговли Российской Федерации заключает соглашения о предоставлении субсидии на сроки реализации комплексных проектов в соответствии с бизнес-планами комплексных проектов согласно присвоенным в соответствии с пунктом 19 настоящих Правил порядковым номерам заявок (начиная с первого и далее) до исчерпания бюджетных ассигнований, предусмотренных федеральным законом о федеральном бюджете на соответствующий финансовый год и плановый период, и лимитов бюджетных обязательств, доведенных в установленном порядке до Министерства промышленности и торговли Российской Федерации как получателя средств федерального бюджета на цели, указанные в пункте 1 настоящих Правил.

Для заключения соглашения о предоставлении субсидии организация представляет в Министерство промышленности и торговли Российской Федерации через государственную информационную систему промышленности составленное в произвольной форме заявление, подписанное усиленной электронной цифровой подписью руководителя организации, с указанием суммы запрашиваемой субсидии и подтверждением сведений об отсутствии неисполненной обязанности по уплате налогов, сборов, страховых взносов, пеней, штрафов и процентов, подлежащих уплате в соответствии с законодательством Российской Федерации о налогах и сборах, и сведений, подтверждающих соответствие организации требованиям, предусмотренным подпунктами "б" - "е" и "з" - "к" пункта 4 настоящих Правил.

В случае отказа участника отбора заключить соглашение о предоставлении субсидии или в случае несоответствия организации требованиям, предусмотренным пунктом 4 настоящих Правил, Министерство промышленности и торговли Российской Федерации заключает соглашение о предоставлении субсидии с организацией, порядковый номер заявки которой следует за порядковым номером заявки организации, отказавшейся от заключения соглашения о предоставлении субсидии.

Обязательства о предоставлении субсидии принимаются Министерством промышленности и торговли Российской Федерации на период доведенных в установленном порядке до Министерства как получателя средств федерального бюджета лимитов бюджетных обязательств на цели, указанные в пункте 1 настоящих Правил, с возможностью пролонгации этих обязательств в случае доведения лимитов бюджетных обязательств на указанные цели на очередной финансовый год.

21. Результатом предоставления субсидии является суммарное значение на дату окончания реализации комплексного проекта:

объема выручки от реализации продукции (включая выручку от экспорта продукции), которая будет разработана и произведена (в том числе произведена производителем) в рамках комплексного проекта, в денежном выражении (в действующих ценах);

объема выручки от реализации результатов интеллектуальной деятельности, полученных в ходе реализации комплексного проекта (за исключением выручки от реализации результатов интеллектуальной деятельности, полученной от производителя), в денежном выражении (в действующих ценах);

объема выручки от предоставления в аренду продукции, которая будет разработана и произведена (в том числе произведена производителем) в рамках комплексного проекта, в денежном выражении (в действующих ценах), но не более чем 3-кратного размера разработанной и произведенной продукции, предусмотренной бизнес-планом и финансовой моделью комплексного проекта, представленного на отбор.

В качестве объема выручки от реализации продукции принимается выручка, полученная от реализации разработанной с применением научно-технического задела и произведенной в рамках комплексного проекта продукции на внутреннем и внешнем рынках в случае ее полной отгрузки и оплаты получателем в течение не более чем 6 месяцев с даты отгрузки.

Результат предоставления субсидии на дату завершения комплексного проекта должен превышать (накопленным итогом) не менее чем в 3 раза размер предоставленной субсидии.

Показателями, необходимыми для достижения результата предоставления субсидии в рамках комплексного проекта, являются:

количество вновь создаваемых и (или) модернизируемых высокотехнологичных рабочих мест;

соотношение размера субсидии, запрашиваемой на создание научно-технического задела, и размера планируемых к привлечению заемных и (или) собственных средств;

количество созданных результатов интеллектуальной деятельности, охраняемых патентами и (или) удовлетворяющих условиям патентоспособности (с подтверждением результатов, проведенных в соответствии с ГОСТ Р 15.011-96 патентных исследований) и охраняемых в качестве секретов производства (ноу-хау), в том числе ключевых технических решений;

объем экспорта продукции, созданной в рамках реализации комплексного проекта.

22. Соглашение о предоставлении субсидии заключается в государственной интегрированной информационной системе управления общественными финансами "Электронный бюджет" и предусматривает в том числе следующие положения:

а) общая стоимость комплексного проекта и максимальный размер субсидии на срок реализации комплексного проекта в соответствии с бизнес-планом комплексного проекта (в случае, если срок создания научно-технического задела и подготовки серийного выпуска продукции превышает срок действия доведенных в установленном порядке до Министерства промышленности и торговли Российской Федерации как получателя средств федерального бюджета лимитов бюджетных обязательств на цели, указанные в пункте 1 настоящих Правил, решение о заключении соглашения о предоставлении субсидии (дополнительного соглашения) на срок, превышающий срок действия указанных лимитов бюджетных обязательств, принимается в порядке, установленном Правительством Российской Федерации);

б) перечень продукции, разрабатываемый в рамках реализации комплексного проекта, заявленный организацией в составе заявки;

в) обязательство организации по включению продукции, которая будет разработана в рамках комплексного проекта, в единый реестр российской радиоэлектронной продукции в соответствии с постановлением Правительства Российской Федерации от 17 июля 2015 г. N 719 "О подтверждении производства промышленной продукции на территории Российской Федерации" до окончания реализации комплексного проекта;

г) значение результата предоставления субсидии и значения показателей, необходимых для достижения результата предоставления субсидии;

д) план-график реализации комплексного проекта, содержащий ключевые события, отражающие факт завершения соответствующего мероприятия по получению результата предоставления субсидии;

е) план-график финансового обеспечения реализации комплексного проекта с указанием даты начала и окончания реализации комплексного проекта;

ж) согласие организации на проведение Министерством промышленности и торговли Российской Федерации с привлечением членов экспертного совета Министерства, в том числе на территории организации, проверок соблюдения организацией порядка и условий предоставления субсидии, которые установлены соглашением о предоставлении субсидии и настоящими Правилами, в том числе в части достижения результатов предоставления субсидии, на проведение органами государственного финансового контроля проверок в соответствии со статьями 268.1 и 269.2 Бюджетного кодекса Российской Федерации, а также обязательство организации по включению в договоры (соглашения), заключенные с иными лицами в целях исполнения обязательств по соглашению о предоставлении субсидии, положений о согласии таких лиц на проведение указанных проверок;

з) порядок пересмотра условий соглашения о предоставлении субсидии и согласования новых условий соглашения о предоставлении субсидии в случае уменьшения Министерству промышленности и торговли Российской Федерации как получателю бюджетных средств ранее доведенных лимитов бюджетных обязательств, приводящего к невозможности предоставления субсидии в размере, определенном в соглашении о предоставлении субсидии;

и) порядок и условия расторжения соглашения о предоставлении субсидии, в том числе расторжения соглашения о предоставлении субсидии в одностороннем порядке Министерством промышленности и торговли Российской Федерации, а также обязательство организации по возврату в доход федерального бюджета в порядке, установленном бюджетным законодательством Российской Федерации, полученных по соглашению о предоставлении субсидии средств субсидии (в полном объеме) в случае одностороннего расторжения соглашения о предоставлении субсидии по инициативе Министерства промышленности и торговли Российской Федерации при возникновении следующих случаев:

фактическое отклонение значения результата предоставления субсидии и (или) каждого показателя, необходимого для достижения результата предоставления субсидии, в рамках комплексного проекта, предусмотренных соглашением о предоставлении субсидии, более чем на 30 процентов их плановых значений в течение 3 периодов реализации комплексного проекта подряд (нарастающим итогом);

фактическое невыполнение мероприятий (ключевых событий) плана-графика реализации комплексного проекта, предусмотренного соглашением о предоставлении субсидии в течение 3 периодов реализации комплексного проекта подряд (нарастающим итогом);

непредставление отчетной документации, указанной в пункте 23 настоящих Правил, в течение 6 месяцев с даты, установленной в соглашении о предоставлении субсидии;

отказ организации от устранения замечаний, выявленных Министерством промышленности и торговли Российской Федерации в ходе проверки отчетности, или неустранение организацией таких замечаний в течение одного месяца с даты направления требования об их устранении;

неиспользование средств субсидии в соответствии с планом-графиком финансового обеспечения реализации комплексного проекта в течение 2 периодов реализации комплексного проекта подряд;

выявление в ходе проведения проверок на территории организации фактов несоответствия предъявленных организацией документов, относящихся к реализации комплексного проекта и к создаваемой в рамках этого проекта продукции, условиям соглашения о предоставлении субсидии и документам, представленным в соответствии с пунктом 23 настоящих Правил;

недостижение согласия по новым условиям, предложенным Министерством промышленности и торговли Российской Федерации в соответствии с подпунктом "з" настоящего пункта;

к) требование к ведению организацией раздельного учета затрат на создание научно-технического задела;

л) обязанность представления отчетности о достижении значения результата предоставления субсидии и показателей, необходимых для достижения результата предоставления субсидии, об осуществлении расходов, источником финансового обеспечения которых является субсидия, а также формы и сроки представления дополнительной отчетности;

м) ответственность организации за несоблюдение порядка представления документов, а также форм и сроков представления отчетов, указанных в подпункте "б" пункта 23 настоящих Правил;

н) запрет приобретения организацией за счет полученных из федерального бюджета средств иностранной валюты, за исключением операций, осуществляемых организацией в соответствии с валютным законодательством Российской Федерации при закупке (поставке) высокотехнологичного импортного оборудования, технологической оснастки, результатов интеллектуальной деятельности, сырья и комплектующих изделий, а также связанных с достижением целей предоставления этих средств иных операций, предусмотренных настоящими Правилами;

о) запрет на размещение полученных из федерального бюджета средств на депозитных счетах в кредитных организациях или государственной корпорации развития "ВЭБ.РФ";

п) перечень затрат, на финансовое обеспечение которых предоставляется субсидия;

р) условия, касающиеся результатов интеллектуальной деятельности, в том числе:

обязательность проведения патентных исследований лицом, обладающим соответствующими навыками и квалификацией, в том числе для выявления патентоспособных результатов интеллектуальной деятельности, в первую очередь ключевых технических решений;

оформление прав на охраноспособные результаты интеллектуальной деятельности, которые будут созданы при выполнении комплексного проекта;

распределение прав на охраноспособные результаты интеллектуальной деятельности, созданные в рамках реализации комплексного проекта;

обеспечение правовой охраны и учета результатов интеллектуальной деятельности, созданных в рамках реализации комплексного проекта;

осуществление государственного учета созданных в рамках реализации комплексного проекта ключевых технических решений, а также результатов интеллектуальной деятельности, не относящихся к ключевым техническим решениям, но являющихся охраноспособными, в том числе сведения о которых охраняются в качестве секрета производства (ноу-хау);

определение порядка дальнейшего использования результатов интеллектуальной деятельности, созданных в рамках реализации комплексного проекта, в экономическом и (или) гражданско-правовом обороте;

с) требование направления сведений о проведении научно-исследовательских, опытно-конструкторских и технологических работ гражданского назначения в Министерство науки и высшего образования Российской Федерации в порядке, предусмотренном постановлением Правительства Российской Федерации от 12 апреля 2013 г. N 327 "О единой государственной информационной системе учета научно-исследовательских, опытно-конструкторских и технологических работ гражданского назначения";

т) обязательство организации получить по итогам прикладных научных исследований и (или) экспериментальных разработок охраняемые результаты интеллектуальной деятельности и приравненные к ним средства индивидуализации, предусмотренные Гражданским кодексом Российской Федерации;

у) положения о казначейском сопровождении, установленные правилами казначейского сопровождения в соответствии с бюджетным законодательством Российской Федерации.

23. Для получения субсидии организация, с которой заключено соглашение о предоставлении субсидии, ежегодно представляет в Министерство промышленности и торговли Российской Федерации (при наличии технической возможности указанные документы представляются через государственную информационную систему промышленности):

а) не позднее 25 июля и 25 января (в рамках первого периода реализации комплексного проекта в течение 30 рабочих дней с даты заключения соглашения о предоставлении субсидии):

заявление о предоставлении субсидии, составленное в произвольной форме и подписанное руководителем организации, с указанием размера запрашиваемой субсидии;

справку налогового органа (по состоянию на дату не ранее 1-го числа месяца, предшествующего месяцу представления заявления о предоставлении субсидии), подтверждающую, что у организации отсутствует неисполненная обязанность по уплате налогов, сборов, страховых взносов, пеней, штрафов и процентов, подлежащих уплате в соответствии с законодательством Российской Федерации о налогах и сборах (в случае непредставления организацией такого документа Министерство промышленности и торговли Российской Федерации запрашивает его самостоятельно);

справки о соответствии организации требованиям, указанным в подпунктах "б" - "е" и "з" - "к" пункта 4 настоящих Правил, подписанные руководителем организации и главным бухгалтером (при наличии);

б) не позднее 25-го числа каждого месяца, следующего за истекшим календарным кварталом:

отчет о достижении значения результата предоставления субсидии и показателей, необходимых для достижения результата предоставления субсидии, составленный по форме, установленной типовой формой соглашения о предоставлении субсидии, утвержденной Министерством финансов Российской Федерации, с приложением подтверждающих документов (в случае первичного предоставления субсидии такой отчет не требуется);

отчет об осуществлении расходов, источником финансового обеспечения которых является субсидия, составленный по форме, установленной типовой формой соглашения о предоставлении субсидии, утвержденной Министерством финансов Российской Федерации (в случае первичного предоставления субсидии такой отчет не требуется);

в) дополнительную отчетность в соответствии с условиями, установленными соглашением о предоставлении субсидии.

24. Министерство промышленности и торговли Российской Федерации регистрирует в порядке поступления документы, указанные в пункте 23 настоящих Правил, в специальном журнале (за исключением документов, поступивших через государственную информационную систему промышленности), который должен быть прошнурован, постранично пронумерован и скреплен печатью Министерства промышленности и торговли Российской Федерации.

Министерство промышленности и торговли Российской Федерации рассматривает представленные организациями документы в порядке их поступления и обеспечивает проведение проверки полноты и достоверности сведений, содержащихся в документах, в течение 60 рабочих дней со дня их поступления.

25. Предоставление субсидий осуществляется в пределах лимитов бюджетных обязательств, доведенных в установленном порядке до Министерства промышленности и торговли Российской Федерации как получателя средств федерального бюджета на цели, указанные в пункте 1 настоящих Правил.

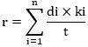
В случае если лимитов бюджетных обязательств, доведенных в установленном порядке до Министерства промышленности и торговли Российской Федерации как получателя средств федерального бюджета на цели, указанные в пункте 1 настоящих Правил, недостаточно для предоставления в полном объеме субсидии в текущем периоде реализации, размер предоставляемой организации субсидии () определяется по формуле:

,

где:

ЛБО - доведенные в установленном порядке до Министерства промышленности и торговли Российской Федерации как получателя средств федерального бюджета лимиты бюджетных обязательств на цели, указанные в пункте 1 настоящих Правил;

- размер предоставляемой субсидии в соответствии с заключенным соглашением о предоставлении субсидии для i-й организации;

- размер предоставляемой субсидии в соответствии с заключенным соглашением о предоставлении субсидии для j-й организации.

26. Основаниями для отказа в предоставлении субсидии являются:

а) несоответствие представленных получателем субсидии документов положениям пункта 23 настоящих Правил или непредставление (представление в неполном объеме) указанных документов;

б) установление факта недостоверности представленной получателем субсидии информации;

в) наличие у организации просроченной (неурегулированной) задолженности по денежным обязательствам перед Российской Федерацией;

г) фактическое отклонение значения результата предоставления субсидии и каждого показателя, необходимого для достижения результата предоставления субсидии в рамках комплексного проекта, предусмотренных соглашением о предоставлении субсидии, более чем на 30 процентов плановых значений этих показателей в течение 3 периодов реализации комплексного проекта подряд (нарастающим итогом);

д) фактическое невыполнение результатов всех мероприятий (ключевых событий) плана-графика реализации комплексного проекта, предусмотренного соглашением о предоставлении субсидии, в течение 3 периодов реализации комплексного проекта подряд.

27. Субсидия предоставляется организации в соответствии с соглашением о предоставлении субсидии в сроки, указанные в плане-графике финансового обеспечения реализации комплексного проекта при наличии бюджетных ассигнований.

28. Перечисление субсидии осуществляется на казначейский счет для осуществления и отражения операций с денежными средствами юридических лиц, не являющихся участниками бюджетного процесса, бюджетными и автономными учреждениями, открытый в территориальном органе Федерального казначейства, не позднее 2-го рабочего дня после представления в территориальный орган Федерального казначейства организацией распоряжений о совершении казначейских платежей для оплаты денежного обязательства организации.

29. Информация о размерах и сроках перечисления субсидий учитывается Министерством промышленности и торговли Российской Федерации при формировании прогноза кассовых выплат из федерального бюджета, необходимого для составления в установленном порядке кассового плана исполнения федерального бюджета.

30. Министерство промышленности и торговли Российской Федерации проводит проверки соблюдения организациями порядка и условий предоставления субсидий, в том числе в части достижения результатов предоставления субсидий. Органы государственного финансового контроля проводят проверки в соответствии со статьями 268.1 и 269.2 Бюджетного кодекса Российской Федерации.

31. Министерство промышленности и торговли Российской Федерации проводит мониторинг достижения результата предоставления субсидии исходя из достижения значения результата предоставления субсидии, определенных соглашением о предоставлении субсидии, и ключевых событий, отражающих факт завершения соответствующего мероприятия по получению результата предоставления субсидии (контрольная точка), в порядке и по формам, которые установлены Министерством финансов Российской Федерации.

32. В случае установления Министерством промышленности и торговли Российской Федерации или органом государственного финансового контроля в ходе проверки фактов нарушения получателем субсидии условий, установленных при предоставлении субсидии, соответствующие средства в размере выявленных нарушений подлежат возврату в доход федерального бюджета в порядке, установленном бюджетным законодательством Российской Федерации, на основании:

соответствующего требования Министерства промышленности и торговли Российской Федерации - в течение 10 рабочих дней со дня получения организацией указанного требования;

представления и (или) предписания органа государственного финансового контроля - в сроки, установленные в соответствии с бюджетным законодательством Российской Федерации.

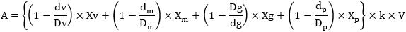
В случае если по итогам реализации комплексного проекта значение результата предоставления субсидии или значение хотя бы одного из показателей, необходимых для достижения результата предоставления субсидии, указанных в соглашении о предоставлении субсидии, составляет менее 90 процентов планового значения, определенного соглашением о предоставлении субсидии, и в течение одного календарного года с даты завершения комплексного проекта такие значения не достигли плановых значений, к организации применяются штрафные санкции, размер которых определяется в соответствии с расчетом согласно приложению N 3.

В случае одностороннего расторжения соглашения о предоставлении субсидии в соответствии с подпунктом "и" пункта 22 настоящих Правил организация возвращает субсидию в полном объеме.

33. Организация - получатель субсидии не более 2 раз в календарный год вправе обратиться в Министерство промышленности и торговли Российской Федерации с мотивированным заявлением о внесении изменений в соглашение о предоставлении субсидии (далее - заявление о внесении изменений) в следующих случаях:

а) введение иностранным государством запретов и ограничений в областях предпринимательской деятельности и осуществления валютных операций, а также иных ограничительных и запретительных мер, действующих в отношении Российской Федерации или организации и оказывающих влияние на реализацию комплексного проекта;

б) изменение валютных курсов более чем на 30 процентов с фиксацией измененного курса в течение не менее 6 месяцев, предшествующих дате подачи заявления о внесении изменений;

в) изменение стоимости высокотехнологичного импортного оборудования, технологической оснастки, результатов интеллектуальной деятельности, сырья, комплектующих изделий и услуг, необходимых для реализации комплексного проекта, на мировых рынках в рублевом эквиваленте более чем на 15 процентов с фиксацией измененной стоимости в течение не менее 6 месяцев, предшествующих дате подачи заявления о внесении изменений;

г) применение Правительством Российской Федерации мер, ограничивающих закупку высокотехнологичного импортного оборудования, технологической оснастки, результатов интеллектуальной деятельности, сырья, комплектующих изделий и услуг, указанных в бизнес-плане комплексного проекта и оказывающих влияние на сроки реализации мероприятий плана-графика реализации комплексного проекта и достижение показателей, необходимых для достижения результата предоставления субсидии;

д) возникновение в ходе выполнения научно-исследовательских, опытно-конструкторских и технологических работ по созданию научно-технического задела факторов технологического, техногенного, эпидемиологического характеров и иных ограничений и запретов, связанных с деятельностью организации, оказывающих влияние на сроки реализации мероприятий плана-графика реализации комплексного проекта и достижение показателей, необходимых для достижения результата предоставления субсидии;

е) установление в ходе выполнения научно-исследовательских, опытно-конструкторских и технологических работ по созданию научно-технического задела возможностей расширения, модернизации или омологации будущих результатов комплексного проекта, повышающих потребительские характеристики и (или) потребительский спрос, что должно подтверждаться протоколом заседания экспертного совета Министерства.

34. В случае наступления одного или нескольких событий, указанных в пунктах 33 и (или) 36 настоящих Правил, а также в случае уменьшения размера предоставляемой субсидии в соответствии с пунктом 25 настоящих Правил организация - получатель субсидии направляет в Министерство промышленности и торговли Российской Федерации заявление о внесении изменений, подписанное руководителем организации, с приложением документов, свидетельствующих о наступлении указанных событий, расчетов, обосновывающих степень влияния наступивших событий на результат предоставления субсидии и показатели, необходимые для достижения результата предоставления субсидии, указанные в соглашении о предоставлении субсидии, а также предложения о внесении изменений в план-график реализации комплексного проекта.

После получения заявления о внесении изменений Министерство промышленности и торговли Российской Федерации в течение 10 рабочих дней, следующих за днем получения заявления о внесении изменений, передает его в экспертный совет Министерства. Экспертный совет Министерства в течение 20 рабочих дней, следующих за днем получения заявления о внесении изменений, проводит оценку документов и оформляет заключение о целесообразности внесения изменений в соглашение о предоставлении субсидии.

Внесение изменений в соглашение о предоставлении субсидии в соответствии с подпунктом "е" пункта 33 настоящих Правил осуществляется на основании проведенной экспертным советом Министерства экспертизы соответствия разработанной в рамках комплексного проекта продукции техническим характеристикам, заявленным организацией в составе заявки, и соответствующего заключения.

Министерство промышленности и торговли Российской Федерации на основании заключения экспертного совета Министерства принимает решение о возможности (невозможности) внесения изменений в соглашение о предоставлении субсидии, при этом уточнения указанных в соглашении о предоставлении субсидии результата предоставления субсидии и показателей, необходимых для достижения результата предоставления субсидии, в рамках отдельных периодов реализации комплексного проекта могут вноситься при условии сохранения итоговых значения результата предоставления субсидии и показателей на конец реализации комплексного проекта, а внесение изменений в план-график реализации комплексного проекта - при условии сохранения срока его реализации.

35. Стороны вправе пересмотреть сроки реализации комплексного проекта (на срок до 12 месяцев) при условии сохранения значения планового результата предоставления субсидии, установленного в соглашении о предоставлении субсидии, в следующих случаях:

а) сокращение лимитов бюджетных обязательств, доведенных в установленном порядке до Министерства промышленности и торговли Российской Федерации как получателя средств федерального бюджета на цели, указанные в пункте 1 настоящих Правил;

б) увеличение сроков поставки электронных компонентов и технологического оборудования, необходимых для разработки продукции в рамках реализации комплексного проекта;

в) изменение законодательства Российской Федерации, влияющего на сроки выполнения мероприятий комплексного проекта.

36. Срок реализации комплексных проектов, реализуемых в рамках соглашений о предоставлении субсидии, заключенных в 2016 году, может быть увеличен до 7 лет при наступлении случаев, указанных в пункте 33 настоящих Правил.

37. В случае изменения срока реализации комплексного проекта в соответствии с пунктом 36 настоящих Правил штрафные санкции к организации не применяются.

38. Размер субсидии определяется в соответствии с расчетом согласно приложению N 4.

Приложение N 1
к Правилам предоставления
из федерального бюджета субсидий
российским организациям на финансовое
обеспечение части затрат на создание
научно-технического задела по разработке
базовых технологий производства
приоритетных электронных компонентов
и радиоэлектронной аппаратуры

МЕТОДИКА
ОЦЕНКИ ФИНАНСОВО-ЭКОНОМИЧЕСКОГО СОСТОЯНИЯ РОССИЙСКОЙ ОРГАНИЗАЦИИ

1. Понятия, используемые в настоящей методике, означают следующее:

"комплексный проект" - комплекс взаимосвязанных мероприятий по созданию продукции и (или) технологий, ограниченных по времени и ресурсам, включающий:

выполнение научно-исследовательских, опытно-конструкторских и технологических работ по созданию научно-технического задела;

организацию серийного выпуска электронных компонентов и (или) радиоэлектронной аппаратуры, в том числе создание инфраструктуры;

последующую коммерциализацию произведенной продукции и (или) технологий;

"научно-технический задел" - совокупность знаний, технических и технологических решений, с использованием которых возможна разработка продукции или способов ее производства;

"отбор" - процедура выбора Министерством промышленности и торговли Российской Федерации на конкурсной основе комплексных проектов, представленных российскими организациями, исходя из наилучших условий достижения результатов, в целях достижения которых предоставляется субсидия из федерального бюджета российским организациям на финансовое обеспечение части затрат на создание научно-технического задела по разработке базовых технологий производства приоритетных электронных компонентов и радиоэлектронной аппаратуры (далее - субсидия) в рамках государственной программы Российской Федерации "Научно-технологическое развитие Российской Федерации", утвержденной постановлением Правительства Российской Федерации от 29 марта 2019 г. N 377 "Об утверждении государственной программы Российской Федерации "Научно-технологическое развитие Российской Федерации";

"продукция" - модули, аппаратные и программные комплексы, радиоэлектронные комплексы, системы и аппаратура с техническими характеристиками, заявленными российской организацией в составе заявки на участие в отборе на право получения субсидии (далее - заявка);

"российская организация" - юридическое лицо, образованное в соответствии с законодательством Российской Федерации, информация о котором размещена в открытом доступе в государственной информационной системе промышленности в информационно-телекоммуникационной сети "Интернет".

2. Настоящая методика устанавливает порядок проведения оценки финансово-экономического состояния российской организации, подавшей заявку.

3. Оценка финансово-экономического состояния российской организации проводится в государственной информационной системе промышленности на основании документов, представляемых российской организацией в соответствии с подпунктами "ж" и "и" пункта 11 Правил предоставления из федерального бюджета субсидий российским организациям на финансовое обеспечение части затрат на создание научно-технического задела по разработке базовых технологий производства приоритетных электронных компонентов и радиоэлектронной аппаратуры, утвержденных постановлением Правительства Российской Федерации от 17 февраля 2016 г. N 109 "Об утверждении Правил предоставления из федерального бюджета субсидий российским организациям на финансовое обеспечение части затрат на создание научно-технического задела по разработке базовых технологий производства приоритетных электронных компонентов и радиоэлектронной аппаратуры", для участия в отборе.

4. Финансово-экономическое состояние российской организации оценивается баллами на основе значения интегрального показателя финансово-экономического состояния российской организации, определяемого в соответствии со следующими показателями:

а) коэффициент финансовой зависимости, характеризующий структуру капитала российской организации и степень зависимости российской организации от кредиторов по состоянию на конец года, предшествующего году подачи заявки (Кфз), рассчитываемый по формуле:

,

где:

До - долгосрочные обязательства (код строки 1400 формы по ОКУД 0710001);

Ко - краткосрочные обязательства (код строки 1500 формы по ОКУД 0710001);

Дбп - доходы будущих периодов, образованных за счет целевого финансирования (средства субсидии, распределенные по кодам строк 1450 и 1530 формы по ОКУД 0710001);

Оа - оборотные активы (код строки 1200 формы по ОКУД 0710001);

Ва - внеоборотные активы (код строки 1100 формы по ОКУД 0710001);

Ова - оборотные и внеоборотные активы, сформированные за счет средств целевого финансирования (средства субсидии, распределенные по кодам строк 1100 и 1200 формы по ОКУД 0710001);

б) коэффициент абсолютной ликвидности, отражающий уровень платежеспособности и возможности погашения текущих обязательств российской организации по состоянию на конец года, предшествующего году подачи заявки (Кл), рассчитываемый по формуле:

,

в) чистые активы, характеризующие общую финансово-экономическую эффективность деятельности российской организации (код строки 3600 формы по ОКУД 0710004), определяемые по состоянию на конец года, предшествующего году подачи заявки;

г) среднегодовой темп прироста выручки за последние 3 календарных года, характеризующий динамику развития российской организации (СГтп), рассчитываемый по формуле:

,

где:

В1 - выручка за отчетный год или год, предшествующий году подачи заявки (код строки 2110 формы по ОКУД 0710002);

В3 - выручка за год, предшествующий предыдущему году отчетного года (код строки 2110 формы по ОКУД 0710002);

д) рентабельность продаж по валовой прибыли, характеризующая эффективность используемых ресурсов и прибыльность продаж при ведении финансово-хозяйственной деятельности российской организации за год, предшествующий году подачи заявки (РП), рассчитываемая по формуле:

,

где ВП - валовая прибыль (код строки 2100 формы по ОКУД 0710002);

е) соответствие объема планируемой в рамках комплексного проекта реализации продукции масштабу деятельности российской организации (МД), рассчитываемое по формуле:

,
 

где:

ПОВ - планируемый объем выручки (объем производства и реализации продукции, создаваемой в рамках комплексного проекта, за срок реализации комплексного проекта без учета налога на добавленную стоимость) в рамках реализации комплексного проекта;

В2 - выручка за предыдущий год отчетного года (код строки 2110 формы по ОКУД 0710002);

ж) коэффициент обеспеченности собственных инвестиций в комплексный проект, характеризующий способность российской организации обеспечить требуемый объем собственных инвестиций в комплексный проект по состоянию на конец года, предшествующего году подачи заявки (КОси), рассчитываемый по формуле:

,

где ПОси - планируемый объем собственных инвестиций в комплексный проект.

5. Интегральный показатель оценки финансово-экономического состояния (ИОС) рассчитывается по формуле:

,

где:

i - количество показателей, равное 7;

Вi - вес показателя, равный:

для показателя "коэффициент финансовой зависимости" - 10 процентам;

для показателя "коэффициент абсолютной ликвидности" - 10 процентам;

для показателя "чистые активы" - 10 процентам;

для показателя "среднегодовой темп прироста выручки за последние 3 календарных года" - 10 процентам;

для показателя "рентабельность продаж по валовой прибыли" - 15 процентам;

для показателя "отношение планируемого объема выручки (объема производства и реализации продукции, создаваемой в рамках комплексного проекта, за срок реализации комплексного проекта без учета налога на добавленную стоимость) в рамках реализации комплексного проекта к среднегодовому объему выручки российской организации за предыдущие 3 календарных года" - 20 процентам;

для показателя "коэффициент обеспеченности собственных инвестиций в комплексный проект" - 25 процентам;

Бi - балл показателя, равный:

для значений показателя "коэффициент финансовой зависимости":

более 0,7 - 0 баллов;

более 0,5, но менее 0,7 - 1 балл;

менее 0,5 - 2 балла;

для значений показателя "коэффициент абсолютной ликвидности":

менее 1 - 0 баллов;

не менее 2 - 1 балл;

более 1, но менее 2 - 2 балла;

для значений показателя "чистые активы":

не более 0 - 0 баллов;

более 0 - 2 балла;

для значений показателя "среднегодовой темп прироста выручки за последние 3 календарных года":

не более 0 - 0 баллов;

более 0, но менее 3,9 процента - 1 балл;

более 3,9 процента - 2 балла;

для значений показателя "рентабельность продаж по валовой прибыли":

от 0 до 8 процентов - 0 баллов;

более 8 процентов, но менее 30 процентов - 1 балл;

более 30 процентов - 2 балла;

для значений показателя "отношение планируемого объема выручки (объема производства и реализации продукции, создаваемой в рамках комплексного проекта, за срок реализации комплексного проекта без учета налога на добавленную стоимость) в рамках реализации комплексного проекта к среднегодовому объему выручки российской организации за предыдущие 3 календарных года":

более 8 - 0 баллов;

более 2, но менее 8 - 1 балл;

менее 2 - 2 балла;

для значений показателя "коэффициент обеспеченности собственных инвестиций в комплексный проект":

более 0,7 - 0 баллов;

более 0,3, но менее 0,7 - 1 балл;

менее 0,3 - 2 балла;

Кп - коэффициент приведения, равный 50.

6. Значение интегрального показателя оценки финансово-экономического состояния российской организации, равное 50 и более, свидетельствует о финансово-экономической устойчивости российской организации и является основанием для принятия решения о допуске российской организации к участию в отборе в соответствии с пунктом 16 Правил предоставления из федерального бюджета субсидий российским организациям на финансовое обеспечение части затрат на создание научно-технического задела по разработке базовых технологий производства приоритетных электронных компонентов и радиоэлектронной аппаратуры, утвержденных постановлением Правительства Российской Федерации от 17 февраля 2016 г. N 109 "Об утверждении Правил предоставления из федерального бюджета субсидий российским организациям на финансовое обеспечение части затрат на создание научно-технического задела по разработке базовых технологий производства приоритетных электронных компонентов и радиоэлектронной аппаратуры".

7. Результаты проведенной оценки финансово-экономического состояния российской организации указываются в протоколе рассмотрения заявок на участие в отборе.

Приложение N 2
к Правилам предоставления
из федерального бюджета субсидий
российским организациям на финансовое
обеспечение части затрат на создание
научно-технического задела по разработке
базовых технологий производства
приоритетных электронных компонентов
и радиоэлектронной аппаратуры

МЕТОДИКА
ОПРЕДЕЛЕНИЯ РЕЙТИНГА ЗАЯВОК, ПРЕДСТАВЛЕННЫХ РОССИЙСКИМИ ОРГАНИЗАЦИЯМИ НА ОТБОР НА ПРАВО ПОЛУЧЕНИЯ СУБСИДИЙ ИЗ ФЕДЕРАЛЬНОГО БЮДЖЕТА НА ФИНАНСОВОЕ ОБЕСПЕЧЕНИЕ ЧАСТИ ЗАТРАТ НА СОЗДАНИЕ НАУЧНО-ТЕХНИЧЕСКОГО ЗАДЕЛА ПО РАЗРАБОТКЕ БАЗОВЫХ ТЕХНОЛОГИЙ ПРОИЗВОДСТВА ПРИОРИТЕТНЫХ ЭЛЕКТРОННЫХ КОМПОНЕНТОВ И РАДИОЭЛЕКТРОННОЙ АППАРАТУРЫ

1. Понятия, используемые в настоящей методике, означают следующее:

"высокотехнологичное рабочее место" - рабочее место, созданное российской организацией в рамках реализации комплексного проекта и соответствующее следующим критериям:

оснащение технологическим оборудованием, и (или) специализированными средствами проектирования, и (или) высокопроизводительными системами вычислений;

наличие трудовых отношений с работником, занятым на указанном рабочем месте и имеющим профильное образование и высокую квалификацию;

стоимость создания нового рабочего места или модернизации старого рабочего места составляет не менее 0,5 млн. рублей;

заработная плата работника, занятого на указанном рабочем месте, превышает величину средней заработной платы в соответствующем субъекте Российской Федерации согласно данным Федеральной службы государственной статистики за предыдущий финансовый год;

"ключевое техническое решение" - результат интеллектуальной деятельности российской организации, с получением которого связано (становится возможным) достижение устанавливаемого в бизнес-плане комплексного проекта уровня технико-экономических показателей продукции и (или) технологий, разрабатываемых в рамках комплексного проекта;

"комплексный проект" - комплекс взаимосвязанных мероприятий по созданию продукции и (или) технологий, ограниченных по времени и ресурсам, включающий:

выполнение научно-исследовательских, опытно-конструкторских и технологических работ по созданию научно-технического задела;

организацию серийного выпуска электронных компонентов и (или) радиоэлектронной аппаратуры, в том числе создание инфраструктуры;

последующую коммерциализацию произведенной продукции и (или) технологий;

"научно-технический задел" - совокупность знаний, технических и технологических решений, с использованием которых возможна разработка продукции или способов ее производства;

"отбор" - процедура выбора Министерством промышленности и торговли Российской Федерации на конкурсной основе комплексных проектов, представленных российскими организациями, исходя из наилучших условий достижения результатов, в целях достижения которых предоставляется субсидия из федерального бюджета российским организациям на финансовое обеспечение части затрат на создание научно-технического задела по разработке базовых технологий производства приоритетных электронных компонентов и радиоэлектронной аппаратуры (далее - субсидия) в рамках государственной программы Российской Федерации "Научно-технологическое развитие Российской Федерации", утвержденной постановлением Правительства Российской Федерации от 29 марта 2019 г. N 377 "Об утверждении государственной программы Российской Федерации "Научно-технологическое развитие Российской Федерации";

"продукция" - модули, аппаратные и программные комплексы, радиоэлектронные комплексы, системы и аппаратура с техническими характеристиками, заявленными российской организацией в составе заявки на участие в отборе на право получения субсидии (далее - заявка);

"российская организация" - юридическое лицо, образованное в соответствии с законодательством Российской Федерации, информация о котором размещена в открытом доступе в государственной информационной системе промышленности в информационно-телекоммуникационной сети "Интернет";

"сквозной проект" - комплекс взаимосвязанных мероприятий, направленных на внедрение программно-аппаратных комплексов или систем интеллектуального управления, включающих в том числе организацию производства продукции, проведение научно-исследовательских и опытно-конструкторских работ по разработке радиоэлектронной продукции, создание встроенного программного обеспечения, адаптацию существующего программного обеспечения, а также мероприятий, связанных с выводом продукции на рынок с гарантированным объемом ее потребления, превышающим сумму затрат на реализацию указанных мероприятий, и возможностью применения продукции различными потребителями, в том числе в других отраслях экономики, одобренный общественным экспертным советом по использованию электроники в отраслях экономики при президиуме Правительственной комиссии по цифровому развитию, использованию информационных технологий для улучшения качества жизни и условий ведения предпринимательской деятельности (далее - общественный экспертный совет).

2. Настоящая методика устанавливает порядок определения рейтинга заявок.

3. Рейтинг заявки () определяется по формуле:

,

где:

- рейтинг, присуждаемый i-й заявке по критерию, касающемуся реализации комплексного проекта в рамках сквозного проекта, одобренного общественным экспертным советом;

- рейтинг, присуждаемый i-й заявке по критерию, касающемуся объема выручки от реализации продукции (включая объем выручки от экспорта продукции), результатов интеллектуальной деятельности (за исключением выручки от реализации результатов интеллектуальной деятельности, полученной от производителя) и предоставления в аренду продукции (но не более чем 3-кратного размера разработанной и произведенной продукции, предусмотренной бизнес-планом комплексного проекта и финансовой моделью комплексного проекта, представленных на отбор), которая будет разработана и произведена (в том числе произведена производителем) в рамках комплексного проекта, в денежном выражении (в действующих ценах);

- удельный вес рейтинга, присуждаемого i-й заявке по критерию, касающемуся объема выручки от реализации продукции (включая объем выручки от экспорта продукции), результатов интеллектуальной деятельности (за исключением выручки от реализации результатов интеллектуальной деятельности, полученной от производителя) и предоставления в аренду продукции (но не более чем 3-кратного размера разработанной и произведенной продукции, предусмотренной бизнес-планом комплексного проекта и финансовой моделью комплексного проекта к отбору), которая будет разработана и произведена (в том числе произведена производителем) в рамках комплексного проекта, в денежном выражении (в действующих ценах), значимость которого составляет 20 процентов;

- рейтинг, присуждаемый i-й заявке по критерию, касающемуся количества вновь создаваемых и (или) модернизируемых высокотехнологичных рабочих мест в рамках реализации комплексного проекта;

- удельный вес рейтинга, присуждаемого i-й заявке по критерию, касающемуся количества вновь создаваемых и (или) модернизируемых высокотехнологичных рабочих мест в рамках реализации комплексного проекта, значимость которого составляет 10 процентов;

- рейтинг, присуждаемый i-й заявке по критерию, касающемуся патентоспособности ключевых технических решений (непатентоспособно, или патентоспособно в качестве полезной модели, или патентоспособно в качестве изобретения) в части базовых технологий и (или) модулей, аппаратных и программных комплексов, радиоэлектронных комплексов, систем и аппаратуры, которые российская организация обязуется создать и использовать в рамках реализации комплексного проекта, подтверждаемой результатами патентных исследований, представленных в соответствии с подпунктом "к" пункта 11 Правил предоставления из федерального бюджета субсидий российским организациям на финансовое обеспечение части затрат на создание научно-технического задела по разработке базовых технологий производства приоритетных электронных компонентов и радиоэлектронной аппаратуры, утвержденных постановлением Правительства Российской Федерации от 17 февраля 2016 г. N 109 "Об утверждении Правил предоставления из федерального бюджета субсидий российским организациям на финансовое обеспечение части затрат на создание научно-технического задела по разработке базовых технологий производства приоритетных электронных компонентов и радиоэлектронной аппаратуры";

- удельный вес рейтинга, присуждаемый i-й заявке по критерию, касающемуся патентоспособности ключевых технических решений (непатентоспособно, или патентоспособно в качестве полезной модели или патентоспособно в качестве изобретения), значимость которого составляет 20 процентов;

- рейтинг, присуждаемый i-й заявке по критерию, касающемуся соотношения размера субсидии, запрашиваемой на создание научно-технического задела в рамках комплексного проекта, и размера заемных и (или) собственных средств, планируемых к привлечению для реализации комплексного проекта;

- удельный вес рейтинга, присуждаемый i-й заявке по критерию, касающемуся соотношения размера субсидии, запрашиваемой на создание научно-технического задела в рамках комплексного проекта, и размера заемных и (или) собственных средств, планируемых к привлечению для реализации комплексного проекта, значимость которого составляет 5 процентов;

- рейтинг, присуждаемый i-й заявке по критерию, касающемуся наличия успешного опыта реализации подобных комплексных проектов, в том числе по их выводу на плановую окупаемость и обеспечению достижения запланированных показателей экономической эффективности. При отсутствии указанного опыта рейтинг равен 0;

- удельный вес рейтинга, присуждаемого i-й заявке по критерию, касающемуся наличия успешного опыта реализации подобных комплексных проектов, в том числе по их выводу на плановую окупаемость и обеспечению достижения запланированных показателей экономической эффективности, значимость которого составляет 20 процентов;

- рейтинг, присуждаемый i-й заявке по критерию, касающемуся объема выручки от экспорта продукции, разработанной и произведенной (в том числе произведенной производителем) в рамках реализации комплексного проекта (в действующих ценах);

- удельный вес рейтинга, присуждаемого i-й заявке по критерию, касающемуся объема выручки от экспорта продукции, разработанной и произведенной (в том числе произведенной производителем) в рамках комплексного проекта (в действующих ценах), значимость которого составляет 20 процентов;

- рейтинг, присуждаемый i-й заявке по критерию, касающемуся места государственной регистрации российской организации, представившей i-ю заявку;

- удельный вес рейтинга, присуждаемого i-й заявке по критерию, касающемуся места государственной регистрации российской организации, представившей i-ю заявку, значимость которого составляет 5 процентов.

4. Рейтинг, присуждаемый i-й заявке по критерию, касающемуся реализации комплексного проекта в рамках сквозного проекта, одобренного общественным экспертным советом (), определяется равным 1,2 в случае включения комплексного проекта в состав сквозного проекта, одобренного общественным экспертным советом. В остальных случаях указанный рейтинг принимается равным 1.

5. Рейтинг, присуждаемый i-й заявке по критерию, касающемуся объема выручки от реализации продукции (включая объем выручки от экспорта продукции), результатов интеллектуальной деятельности (за исключением выручки от реализации результатов интеллектуальной деятельности, полученной от производителя) и предоставления в аренду продукции (но не более чем 3-кратного размера разработанной и произведенной продукции, предусмотренной бизнес-планом комплексного проекта и финансовой моделью комплексного проекта, представленных на отбор), которая будет разработана и произведена (в том числе произведена производителем) в рамках комплексного проекта, в денежном выражении (в действующих ценах) (), определяется по формуле:

,

где:

- предложение i-го участника отбора об объеме выручки от реализации продукции (включая объем выручки от экспорта продукции), результатов интеллектуальной деятельности (за исключением выручки от реализации результатов интеллектуальной деятельности, полученной от производителя) и предоставления в аренду продукции (но не более чем 3-кратного размера разработанной и произведенной продукции, предусмотренной бизнес-планом и финансовой моделью комплексного проекта, представленных на отбор), которая будет разработана и произведена (в том числе произведена производителем) в рамках комплексного проекта, в денежном выражении (в действующих ценах, рублей);

- минимальный объем выручки от реализации продукции (включая объем выручки от экспорта продукции), результатов интеллектуальной деятельности (за исключением выручки от реализации результатов интеллектуальной деятельности, полученной от производителя) и предоставления в аренду продукции (но не более чем 3-кратного размера разработанной и произведенной продукции, предусмотренной бизнес-планом комплексного проекта и финансовой моделью комплексного проекта, представленных на отбор), которая будет разработана и произведена (в том числе произведена производителем) в рамках комплексного проекта, установленный в объявлении о проведении отбора, в денежном выражении (в действующих ценах, рублей);

- максимальный объем выручки от реализации продукции (включая объем выручки от экспорта продукции, результатов интеллектуальной деятельности и предоставления в аренду продукции), которая будет разработана и произведена (в том числе произведена производителем) в рамках комплексного проекта, заявленный одним из участников отбора, в денежном выражении (в действующих ценах, рублей).

6. Рейтинг, присуждаемый i-й заявке по критерию, касающемуся количества вновь создаваемых и (или) модернизируемых высокотехнологичных рабочих мест в рамках реализации комплексного проекта (), определяется по формуле:

,

где:

- предложение i-го участника отбора по количеству вновь создаваемых и (или) модернизируемых высокотехнологичных рабочих мест в рамках реализации комплексного проекта (штук);

- минимальное количество вновь создаваемых и (или) модернизируемых высокотехнологичных рабочих мест, установленное в объявлении о проведении отбора (штук);

- максимальное количество вновь создаваемых и (или) модернизируемых высокотехнологичных рабочих мест, заявленное одним из участников отбора (штук).

7. Рейтинг, присуждаемый i-й заявке по критерию, касающемуся патентоспособности ключевых технических решений (непатентоспособно, или патентоспособно в качестве полезной модели, или патентоспособно в качестве изобретения) в части базовых технологий и (или) модулей, аппаратных и программных комплексов, радиоэлектронных комплексов, систем и аппаратуры, которые российская организация обязуется создать и использовать в рамках реализации комплексного проекта, подтверждаемой результатами патентных исследований, представленных в соответствии с подпунктом "к" пункта 11 Правил предоставления из федерального бюджета субсидий российским организациям на финансовое обеспечение части затрат на создание научно-технического задела по разработке базовых технологий производства приоритетных электронных компонентов и радиоэлектронной аппаратуры, утвержденных постановлением Правительства Российской Федерации от 17 февраля 2016 г. N 109 "Об утверждении Правил предоставления из федерального бюджета субсидий российским организациям на финансовое обеспечение части затрат на создание научно-технического задела по разработке базовых технологий производства приоритетных электронных компонентов и радиоэлектронной аппаратуры" (), определяется по формуле:

,

где:

- предложение i-го участника отбора о создании патентоспособного ключевого технического решения, в случае:

если созданное в ходе реализации комплексного проекта ключевое техническое решение будет потенциально охраноспособным в качестве:

изобретения, то = 5;

полезной модели, то = 3;

если в ходе реализации комплексного проекта в качестве ключевого технического решения будет использован ранее запатентованный результат интеллектуальной деятельности, исключительное право на который принадлежит i-му участнику отбора, то = 2;

если в ходе реализации комплексного проекта в качестве ключевого технического решения будет использован результат интеллектуальной деятельности, не являющийся патентоспособным, то = 1;

- максимальный уровень патентоспособности ключевых технических решений (непатентоспособно, или патентоспособно в качестве полезной модели, или патентоспособно в качестве изобретения), заявленный одним из участников отбора.

При отсутствии информации о ключевом техническом решении = 0.

8. Рейтинг, присуждаемый i-й заявке по критерию, касающемуся соотношения размера субсидии, запрашиваемой на создание научно-технического задела в рамках комплексного проекта, и размера заемных и (или) собственных средств, планируемых к привлечению для реализации комплексного проекта (), определяется по формуле:

,

где:

- начальный (максимальный) размер соотношения размера субсидии, запрашиваемой на создание научно-технического задела в рамках комплексного проекта, и размера заемных и (или) собственных средств, планируемых к привлечению для реализации комплексного проекта;

- предложение i-го участника отбора по соотношению размера субсидии, запрашиваемой на создание научно-технического задела в рамках комплексного проекта, и размера заемных и (или) собственных средств, планируемых к привлечению для реализации комплексного проекта.

9. Рейтинг, присуждаемый i-й заявке по критерию, касающемуся наличия успешного опыта реализации подобных комплексных проектов, в том числе по их выводу на плановую окупаемость и обеспечению достижения запланированных показателей экономической эффективности (), определяется по формуле:

,

где:

- предложение i-го участника отбора по наличию опыта реализации аналогичного комплексного проекта (штук);

- наибольшее количество выполненных аналогичных работ, заявленное одним из участников отбора (штук).

10. Рейтинг, присуждаемый i-й заявке по критерию, касающемуся объема выручки от экспорта продукции, разработанной и произведенной (в том числе произведенной производителем) в рамках реализации комплексного проекта в денежном выражении (в действующих ценах) (), определяется по формуле:

,

где:

- предложение i-го участника отбора по объему выручки от экспорта продукции (долларов США);

- наибольший объем выручки от экспорта продукции, заявленный одним из участников отбора (долларов США).

11. Рейтинг, присуждаемый i-й заявке по критерию, касающемуся места государственной регистрации российской организации, представившей i-ю заявку (), определяется равным 100 в случае государственной регистрации российской организации, представившей i-ю заявку, на территории субъекта Дальневосточного федерального округа. В остальных случаях указанный рейтинг принимается равным 0.

Приложение N 3
к Правилам предоставления
из федерального бюджета субсидий
российским организациям на финансовое
обеспечение части затрат на создание
научно-технического задела по разработке
базовых технологий производства
приоритетных электронных компонентов
и радиоэлектронной аппаратуры

РАСЧЕТ
РАЗМЕРА ШТРАФНЫХ САНКЦИЙ, ПРИМЕНЯЕМЫХ К РОССИЙСКИМ ОРГАНИЗАЦИЯМ, ПОЛУЧИВШИМ СУБСИДИИ ИЗ ФЕДЕРАЛЬНОГО БЮДЖЕТА НА ФИНАНСОВОЕ ОБЕСПЕЧЕНИЕ ЧАСТИ ЗАТРАТ НА СОЗДАНИЕ НАУЧНО-ТЕХНИЧЕСКОГО ЗАДЕЛА ПО РАЗРАБОТКЕ БАЗОВЫХ ТЕХНОЛОГИЙ ПРОИЗВОДСТВА ПРИОРИТЕТНЫХ ЭЛЕКТРОННЫХ КОМПОНЕНТОВ И РАДИОЭЛЕКТРОННОЙ АППАРАТУРЫ

1. Понятия, используемые в настоящем документе, означают следующее:

"высокотехнологичное рабочее место" - рабочее место, созданное российской организацией в рамках реализации комплексного проекта и соответствующее следующим критериям:

оснащение технологическим оборудованием, и (или) специализированными средствами проектирования, и (или) высокопроизводительными системами вычислений;

наличие трудовых отношений с работником, занятым на указанном рабочем месте и имеющим профильное образование и высокую квалификацию;

стоимость создания нового рабочего места или модернизации старого рабочего места составляет не менее 0,5 млн. рублей;

заработная плата работника, занятого на указанном рабочем месте, превышает величину средней заработной платы в соответствующем субъекте Российской Федерации согласно данным Федеральной службы государственной статистики за предыдущий финансовый год;

"комплексный проект" - комплекс взаимосвязанных мероприятий по созданию продукции и (или) технологий, ограниченных по времени и ресурсам, включающий:

выполнение научно-исследовательских, опытно-конструкторских и технологических работ по созданию научно-технического задела;

организацию серийного выпуска электронных компонентов и (или) радиоэлектронной аппаратуры, в том числе создание инфраструктуры;

последующую коммерциализацию произведенной продукции и (или) технологий;

"научно-технический задел" - совокупность знаний, технических и технологических решений, с использованием которых возможна разработка продукции или способов ее производства

"продукция" - модули, аппаратные и программные комплексы, радиоэлектронные комплексы, системы и аппаратура с техническими характеристиками, заявленными российской организацией в составе заявки на участие в отборе на право получения субсидии из федерального бюджета российским организациям на финансовое обеспечение части затрат на создание научно-технического задела по разработке базовых технологий производства приоритетных электронных компонентов и радиоэлектронной аппаратуры (далее - субсидия) в рамках государственной программы Российской Федерации "Научно-технологическое развитие Российской Федерации", утвержденной постановлением Правительства Российской Федерации от 29 марта 2019 г. N 377 "Об утверждении государственной программы Российской Федерации "Научно-технологическое развитие Российской Федерации";

"российская организация" - юридическое лицо, образованное в соответствии с законодательством Российской Федерации, информация о котором размещена в открытом доступе в государственной информационной системе промышленности в информационно-телекоммуникационной сети "Интернет".

2. Размер штрафных санкций (тыс. рублей) (A) определяется по формуле:

,

где:

dv - достигнутое значение результата предоставления субсидии - объема выручки от реализации продукции (включая объем выручки от экспорта продукции), результатов интеллектуальной деятельности (за исключением выручки от реализации результатов интеллектуальной деятельности, полученной от производителя) и предоставления в аренду продукции (но не более чем 3-кратного размера разработанной и произведенной продукции, предусмотренной бизнес-планом комплексного проекта и финансовой моделью комплексного проекта), которая будет разработана и произведена (в том числе произведена производителем) в рамках комплексного проекта, в денежном выражении (в действующих ценах, рублей);

Dv - плановое значение результата предоставления субсидии - объема выручки от реализации продукции (включая объем выручки от экспорта продукции), результатов интеллектуальной деятельности (за исключением выручки от реализации результатов интеллектуальной деятельности, полученной от производителя) и предоставления в аренду продукции (но не более чем 3-кратного размера разработанной и произведенной продукции, предусмотренной бизнес-планом и финансовой моделью комплексного проекта к отбору), которая будет разработана и произведена (в том числе произведена производителем) в рамках комплексного проекта, в денежном выражении (в действующих ценах, рублей), указанное в соглашении о предоставлении субсидии;

Xv - удельный вес результата предоставления субсидии - объема выручки от реализации продукции (включая объем выручки от экспорта продукции), результатов интеллектуальной деятельности (за исключением выручки от реализации результатов интеллектуальной деятельности, полученной от производителя) и предоставления в аренду продукции (но не более чем 3-кратного размера разработанной и произведенной продукции, предусмотренной бизнес-планом комплексного проекта и финансовой моделью комплексного проекта к отбору), которая будет разработана и произведена (в том числе произведена производителем) в рамках комплексного проекта, в денежном выражении (в действующих ценах, рублей), значимость которого составляет 35 процентов;

dm - достигнутое значение показателя, необходимого для достижения результата предоставления субсидии, - количества вновь создаваемых и (или) модернизируемых высокотехнологичных рабочих мест, единиц;

Dm - плановое значение показателя, необходимого для достижения результата предоставления субсидии, - количества вновь создаваемых и (или) модернизируемых высокотехнологичных рабочих мест (единиц), указанное в соглашении о предоставлении субсидии;

- удельный вес показателя, необходимого для достижения результата предоставления субсидии, - количества вновь создаваемых и (или) модернизируемых высокотехнологичных рабочих мест (единиц), значимость которого составляет 15 процентов;

Dg - плановое значение показателя, необходимого для достижения результата предоставления субсидии, - соотношения размера субсидии, запрашиваемой на создание научно-технического задела, и размера планируемых к привлечению заемных и (или) собственных средств, указанное в соглашении о предоставлении субсидии;

dg - достигнутое значение показателя, необходимого для достижения результата предоставления субсидии, - соотношения размера субсидии, запрашиваемой на создание научно-технического задела в рамках комплексного проекта, и размера планируемых к привлечению заемных и (или) собственных средств;

- удельный вес показателя, необходимого для достижения результата предоставления субсидии, - соотношения размера субсидии, запрашиваемой на создание научно-технического задела, и размера планируемых к привлечению заемных и (или) собственных средств, значимость которого составляет 10 процентов;

de - достигнутое значение показателя, необходимого для достижения результата предоставления субсидии, - объема экспорта продукции, созданной в рамках реализации комплексного проекта (долларов США);

De - плановое значение показателя, необходимого для достижения результата предоставления субсидии, - объема экспорта продукции, созданной в рамках реализации комплексного проекта (долларов США), указанное в соглашении о предоставлении субсидии;

Xe - удельный вес показателя, необходимого для достижения результата предоставления субсидии, - объема экспорта продукции, созданной в рамках реализации комплексного проекта (в действующих ценах) (долларов США), значимость которого составляет 20 процентов;

dp - достигнутое значение показателя, необходимого для достижения результата предоставления субсидии, - количества созданных результатов интеллектуальной деятельности, охраняемых патентами и (или) удовлетворяющих условиям патентоспособности (с подтверждением результатами проведенных в соответствии с ГОСТ Р 15.011-96 патентных исследований), а также охраняемых в качестве секретов производства (ноу-хау), в том числе ключевых технических решений, единиц. Достигнутые значения показателей, необходимых для достижения результата предоставления субсидии, учитываются на день окончания срока реализации комплексного проекта;

Dp - плановое значение показателя, необходимого для достижения результата предоставления субсидии, - количества созданных результатов интеллектуальной деятельности, охраняемых патентами и (или) удовлетворяющих условиям патентоспособности (с подтверждением результатами проведенных в соответствии с ГОСТ Р 15.011-96 патентных исследований), а также охраняемых в качестве секретов производства (ноу-хау), в том числе ключевых технических решений, единиц, указанное в соглашении (договоре) о предоставлении субсидии. В случае если достигнутое значение показателя, необходимого для достижения результатов предоставления субсидии (dv, dm, de, dp), превышает плановое значение этого показателя (Dv, Dm, De, Dp), отношение достигнутого значения показателя к плановому значению показателя считается равным 1. В случае если достигнутое значение показателя, необходимого для достижения результатов предоставления субсидии dg, менее планового значения этого показателя Dg, отношение достигнутого значения показателя к плановому значению показателя считается равным 1;

- удельный вес показателя, необходимого для достижения результата предоставления субсидии, - количества созданных результатов интеллектуальной деятельности, охраняемых патентами и (или) удовлетворяющих условиям патентоспособности (с подтверждением результатами проведенных в соответствии с ГОСТ Р 15.011-96 патентных исследований), а также охраняемых в качестве секретов производства (ноу-хау), в том числе ключевых технических решений (единиц), значимость которого составляет 20 процентов;

k - коэффициент, учитывающий средний размер ключевой ставки, устанавливаемой Центральным банком Российской Федерации;

V - размер средств федерального бюджета, использованный организацией в рамках реализации комплексного проекта на день окончания срока реализации такого проекта или на день окончания периода реализации, в котором принято решение о расторжении соглашения о предоставлении субсидии, в том числе о его одностороннем расторжении Министерством промышленности и торговли Российской Федерации в соответствии с подпунктом "и" пункта 22 Правил предоставления из федерального бюджета субсидий российским организациям на финансовое обеспечение части затрат на создание научно-технического задела по разработке базовых технологий производства приоритетных электронных компонентов и радиоэлектронной аппаратуры, утвержденных постановлением Правительства Российской Федерации от 17 февраля 2016 г. N 109 "Об утверждении Правил предоставления из федерального бюджета субсидий российским организациям на финансовое обеспечение части затрат на создание научно-технического задела по разработке базовых технологий производства приоритетных электронных компонентов и радиоэлектронной аппаратуры" (тыс. рублей).

3. Коэффициент, учитывающий средний размер ключевой ставки, устанавливаемой Центральным банком Российской Федерации (k), определяется по формуле:

,

где:

r - средний размер ключевой ставки, устанавливаемой Центральным банком Российской Федерации;

s - количество лет со дня заключения организацией соглашения о предоставлении субсидии (дробное значение с округлением до 10-й доли при наличии неполных лет).

4. Средний размер ключевой ставки, устанавливаемой Центральным банком Российской Федерации (r), определяется по формуле:

,

где:

n - количество периодов реализации комплексного проекта, в которых действовали различные уровни ключевой ставки Центрального банка Российской Федерации;

di - количество календарных дней действия i-й ключевой ставки Центрального банка Российской Федерации (в пределах периода реализации комплексного проекта со дня заключения организацией соглашения о предоставлении субсидии);

ki - значения уровней ключевой ставки Центрального банка Российской Федерации;

t - суммарное количество календарных дней со дня заключения организацией соглашения о предоставлении субсидии.

5. Размер штрафных санкций пропорционален степени недостижения результата предоставления субсидии и показателей, необходимых для достижения результата предоставления субсидии.

Приложение N 4
к Правилам предоставления
из федерального бюджета субсидий
российским организациям на финансовое
обеспечение части затрат на создание
научно-технического задела по разработке
базовых технологий производства
приоритетных электронных компонентов
и радиоэлектронной аппаратуры

РАСЧЕТ
РАЗМЕРА СУБСИДИИ ИЗ ФЕДЕРАЛЬНОГО БЮДЖЕТА РОССИЙСКИМ ОРГАНИЗАЦИЯМ НА ФИНАНСОВОЕ ОБЕСПЕЧЕНИЕ ЧАСТИ ЗАТРАТ НА СОЗДАНИЕ НАУЧНО-ТЕХНИЧЕСКОГО ЗАДЕЛА ПО РАЗРАБОТКЕ БАЗОВЫХ ТЕХНОЛОГИЙ ПРОИЗВОДСТВА ПРИОРИТЕТНЫХ ЭЛЕКТРОННЫХ КОМПОНЕНТОВ И РАДИОЭЛЕКТРОННОЙ АППАРАТУРЫ

1. Понятия, используемые в настоящем документе, означают следующее:

"высокотехнологичное рабочее место" - рабочее место, созданное российской организацией в рамках реализации комплексного проекта и соответствующее следующим критериям:

оснащение технологическим оборудованием, и (или) специализированными средствами проектирования, и (или) высокопроизводительными системами вычислений;

наличие трудовых отношений с работником, занятым на указанном рабочем месте и имеющим профильное образование и высокую квалификацию;

стоимость создания нового рабочего места или модернизации старого рабочего места составляет не менее 0,5 млн. рублей;

заработная плата работника, занятого на указанном рабочем месте, превышает величину средней заработной платы в соответствующем субъекте Российской Федерации согласно данным Федеральной службы государственной статистики за предыдущий финансовый год;

"комплексный проект" - комплекс взаимосвязанных мероприятий по созданию продукции и (или) технологий, ограниченных по времени и ресурсам, включающий:

выполнение научно-исследовательских, опытно-конструкторских и технологических работ по созданию научно-технического задела;

организацию серийного выпуска электронных компонентов и (или) радиоэлектронной аппаратуры, в том числе создание инфраструктуры;

последующую коммерциализацию произведенной продукции и (или) технологий;

"научно-технический задел" - совокупность знаний, технических и технологических решений, с использованием которых возможна разработка продукции или способов ее производства;

"отчетный период" - каждый период реализации комплексного проекта, по результатам которого российская организация обязана представить в Министерство промышленности и торговли Российской Федерации отчеты в соответствии с пунктом 23 настоящих Правил;

"период реализации комплексного проекта" - период реализации комплексного проекта в соответствии с планом-графиком финансового обеспечения реализации комплексного проекта за счет средств субсидии из федерального бюджета российским организациям на финансовое обеспечение части затрат на создание научно-технического задела по разработке базовых технологий производства приоритетных электронных компонентов и радиоэлектронной аппаратуры (далее - субсидия) в рамках государственной программы Российской Федерации "Научно-технологическое развитие Российской Федерации", утвержденной постановлением Правительства Российской Федерации от 29 марта 2019 г. N 377 "Об утверждении государственной программы Российской Федерации "Научно-технологическое развитие Российской Федерации", а также собственных и заемных средств российской организации (далее - план-график финансового обеспечения реализации комплексного проекта), равный календарному полугодию (за исключением первого периода реализации комплексного проекта - года заключения соглашения о предоставлении субсидии);

"продукция" - модули, аппаратные и программные комплексы, радиоэлектронные комплексы, системы и аппаратура с техническими характеристиками, заявленными российской организацией в составе заявки на участие в отборе на право получения субсидии

"российская организация" - юридическое лицо, образованное в соответствии с законодательством Российской Федерации, информация о котором размещена в открытом доступе в государственной информационной системе промышленности в информационно-телекоммуникационной сети "Интернет".

2. Размер субсидии из федерального бюджета российским организациям на финансовое обеспечение части затрат на создание научно-технического задела по разработке базовых технологий производства приоритетных электронных компонентов и радиоэлектронной аппаратуры () определяется по формуле:

,

где:

- расходы на оплату труда работников, непосредственно занятых выполнением научно-исследовательских, опытно-конструкторских и технологических работ, за период выполнения ими работ в рамках комплексного проекта, а также расходы на обязательное пенсионное страхование, обязательное социальное страхование на случай временной нетрудоспособности и в связи с материнством, обязательное медицинское страхование, обязательное социальное страхование от несчастных случаев на производстве и профессиональных заболеваний, начисленные на указанные суммы расходов на оплату труда;

- накладные расходы в размере не более 200 процентов суммы субсидируемых расходов на оплату труда работников, непосредственно занятых реализацией комплексного проекта;

- расходы по договорам на выполнение научно-исследовательских, опытно-конструкторских и технологических работ в целях создания научно-технического задела в размере не более 60 процентов размера субсидии в отчетном периоде;

- расходы на приобретение у российских и (или) иностранных организаций неисключительных лицензий на результаты интеллектуальной деятельности, необходимых для реализации комплексного проекта, в размере не более 70 процентов размера субсидии в отчетном периоде;

- расходы по договорам на проведение исследований в центрах коллективного пользования в размере не более 70 процентов размера субсидии в отчетном периоде;

- расходы на изготовление опытных образцов, макетов и стендов, в том числе на приобретение материалов и покупных комплектующих изделий, в размере не более 70 процентов размера субсидии в отчетном периоде;

- расходы на производство опытной партии продукции, объем которой определяется в техническом обосновании, являющемся неотъемлемой частью бизнес-плана, и ее тестирование, сертификацию и (или) регистрацию, а также на проведение испытаний в размере не более 70 процентов размера субсидии в отчетном периоде;

- расходы на аренду (лизинг) технологического оборудования и технологической оснастки, необходимых для создания научно-технического задела в размере не более 70 процентов размера субсидии в отчетном периоде;

- расходы на обеспечение правовой охраны созданных в ходе выполнения научно-исследовательских, опытно-конструкторских и технологических работ результатов интеллектуальной деятельности (в том числе патентование), в том числе за рубежом, в размере не более 70 процентов размера субсидии в отчетном периоде;

- расходы на оснащение и обслуживание вновь создаваемых и (или) модернизируемых в рамках реализации комплексного проекта высокотехнологичных рабочих мест для создания научно-технического задела в размере не более 70 процентов размера субсидии в отчетном периоде;

- расходы на поверку, аттестацию, сертификацию и регистрацию средств измерений, испытательного и лабораторного оборудования, используемого на стадии научно-технического задела, в размере не более 70 процентов размера субсидии в отчетном периоде.".

2. Правила предоставления из федерального бюджета субсидий российским организациям на финансовое обеспечение мероприятий по проведению научно-исследовательских и опытно-конструкторских работ в области средств производства электроники, утвержденные постановлением Правительства Российской Федерации от 16 декабря 2020 г. N 2136 "Об утверждении Правил предоставления из федерального бюджета субсидий российским организациям на финансовое обеспечение мероприятий по проведению научно-исследовательских и опытно-конструкторских работ в области средств производства электроники" (Собрание законодательства Российской Федерации, 2020, N 52, ст. 8823; 2021, N 38, ст. 6628; N 45, ст. 7517), изложить в следующей редакции:

"УТВЕРЖДЕНЫ
постановлением Правительства
Российской Федерации
от 16 декабря 2020 г. N 2136
(в редакции постановления
Правительства Российской Федерации
от 13 сентября 2022 г. N 1600)

ПРАВИЛА
ПРЕДОСТАВЛЕНИЯ ИЗ ФЕДЕРАЛЬНОГО БЮДЖЕТА СУБСИДИЙ РОССИЙСКИМ ОРГАНИЗАЦИЯМ НА ФИНАНСОВОЕ ОБЕСПЕЧЕНИЕ МЕРОПРИЯТИЙ ПО ПРОВЕДЕНИЮ НАУЧНО-ИССЛЕДОВАТЕЛЬСКИХ И ОПЫТНО-КОНСТРУКТОРСКИХ РАБОТ В ОБЛАСТИ СРЕДСТВ ПРОИЗВОДСТВА ЭЛЕКТРОНИКИ

1. Настоящие Правила устанавливают порядок, цели и условия предоставления субсидий из федерального бюджета российским организациям на финансовое обеспечение мероприятий по проведению научно-исследовательских и опытно-конструкторских работ в области средств производства электроники (далее - субсидия).

Субсидии предоставляются в рамках федерального проекта "Научное обеспечение развития технологий и инфраструктуры производства электронной и радиоэлектронной продукции" государственной программы Российской Федерации "Научно-технологическое развитие Российской Федерации", утвержденной постановлением Правительства Российской Федерации от 29 марта 2019 г. N 377 "Об утверждении государственной программы Российской Федерации "Научно-технологическое развитие Российской Федерации" (далее - государственная программа "Научно-технологическое развитие Российской Федерации"), в целях обеспечения роста объемов производства и реализации российских средств производства электроники.

2. Понятия, используемые в настоящих Правилах, означают следующее:

"высокопроизводительное рабочее место" - рабочее место, созданное российской организацией в рамках реализации комплексного проекта и соответствующее следующим критериям:

оснащение технологическим оборудованием, и (или) специализированными средствами проектирования, и (или) высокопроизводительными системами вычислений;

наличие трудовых отношений с работником, занятым на указанном рабочем месте и имеющим профильное образование и высокую квалификацию;

стоимость создания нового рабочего места или модернизации старого рабочего места составляет не менее 0,5 млн. рублей;

заработная плата работника, занятого на указанном рабочем месте, превышает величину средней заработной платы в соответствующем субъекте Российской Федерации согласно данным Федеральной службы государственной статистики за предыдущий финансовый год;

"заинтересованный потребитель" - российская организация электронной промышленности, или центр коллективного пользования, или дизайн-центр, или высшее учебное заведение, в которых ресурсы (оборудование, технологии, сырье, материалы, энергия, информационные ресурсы) объединяются в производственный процесс, позволяющий создать средства производства электроники, или оказать услуги, или провести прикладные научные исследования в области электронной промышленности;

"ключевое техническое решение" - результат интеллектуальной деятельности российской организации, с получением которого связано (становится возможным) достижение устанавливаемого в бизнес-плане комплексного проекта уровня технико-экономических показателей средств производства электроники и (или) технологий, разрабатываемых в рамках комплексного проекта;

"комплексный проект" - комплекс взаимосвязанных мероприятий по разработке, производству и коммерциализации средств производства электроники и (или) технологий, ограниченный по времени и ресурсам, включающий:

выполнение научно-исследовательских, опытно-конструкторских и технологических работ;

организацию долговременного технологического тестирования опытных образцов, опытных партий средств производства электроники, бета-версий систем автоматизированного проектирования;

организацию выпуска средств производства электроники, в том числе создание производственной инфраструктуры;

последующий вывод средств производства электроники и (или) технологий на рынок;

"российская организация" - юридическое лицо, образованное в соответствии с законодательством Российской Федерации, информация о котором размещена в открытом доступе в государственной информационной системе промышленности в информационно-телекоммуникационной сети "Интернет" (далее соответственно - сеть "Интернет", организация);

"отбор" - процедура выбора Министерством промышленности и торговли Российской Федерации на конкурсной основе комплексных проектов, представленных организациями, исходя из наилучших условий достижения результатов, в целях достижения которых предоставляется субсидия;

"сквозной проект" - комплекс взаимосвязанных мероприятий, направленных на внедрение программно-аппаратных комплексов или систем интеллектуального управления, включающий в том числе организацию создания средств производства электроники, проведение научно-исследовательских и опытно-конструкторских работ по разработке радиоэлектронных средств, создание встроенного программного обеспечения, адаптацию существующего программного обеспечения, а также мероприятий, связанных с выводом средств производства электроники на рынок с гарантированным объемом ее потребления, превышающим сумму затрат на реализацию указанных мероприятий, и возможностью применения средств производства электроники различными потребителями, в том числе в других отраслях экономики, одобренный общественным экспертным советом по использованию электроники в отраслях экономики при президиуме Правительственной комиссии по цифровому развитию, использованию информационных технологий для улучшения качества жизни и условий ведения предпринимательской деятельности (далее - общественный экспертный совет);

"средства производства электроники" - оборудование, системы автоматизированного проектирования и материалы для производства электроники с техническими характеристиками, заявленными организацией в составе заявки на участие в отборе (далее - заявка), поданной организацией в соответствии с пунктом 11 настоящих Правил;

"центр коллективного пользования" - научно-исследовательская организация, обладающая современным научным и аналитическим оборудованием, высококвалифицированными кадрами и обеспечивающая проведение на имеющемся оборудовании научных исследований и оказание услуг (исследований, испытаний, измерений) в интересах организаций.

3. Субсидии предоставляются Министерством промышленности и торговли Российской Федерации организации по результатам отбора в пределах лимитов бюджетных обязательств, доведенных в установленном порядке до Министерства как получателя средств федерального бюджета на цели, предусмотренные пунктом 1 настоящих Правил.

Сведения о субсидии размещаются на едином портале бюджетной системы Российской Федерации в информационно-телекоммуникационной сети "Интернет" (далее - единый портал) в разделе "Бюджет" при формировании проекта федерального закона о федеральном бюджете (проекта федерального закона о внесении изменений в федеральный закон о федеральном бюджете).

4. Результатом предоставления субсидии является объем реализации в текущем финансовом году средств производства электроники, созданных в рамках комплексного проекта, в денежном выражении, превышающем объем направленных на реализацию комплексного проекта средств федерального бюджета не менее чем на 15 процентов.

Показателями, необходимыми для достижения результата предоставления субсидии в рамках комплексного проекта, являются:

количество вновь создаваемых и (или) модернизируемых высокопроизводительных рабочих мест в рамках комплексного проекта;

соотношение размера субсидии, запрашиваемой на проведение научно-исследовательских, опытно-конструкторских и технологических работ в рамках комплексного проекта, и размера заемных и (или) собственных средств, планируемых к привлечению для реализации комплексного проекта;

количество результатов интеллектуальной деятельности, охраняемых патентами и (или) удовлетворяющих условиям патентоспособности (подтверждаются результатами проведенных в соответствии с ГОСТ Р 15.011-96 патентных исследований) и охраняемых в качестве секретов производства (ноу-хау), в том числе ключевых технических решений.

Значения показателей, необходимых для достижения результата предоставления субсидии, устанавливаются соглашением о предоставлении субсидии.

5. Отбор проводится по следующим технологическим направлениям:

а) оборудование:

оборудование для выращивания эпитаксиальных структур;

оборудование для формирования топологического рисунка;

оборудование для ионной имплантации;

физико-термическое оборудование;

оборудование для плазмохимического осаждения, травления и очистки;

оборудование для физического осаждения;

оборудование для химической и гальванической обработки;

лазерное оборудование;

оборудование для химико-механической планаризации, шлифовки, полировки и утонения;

метрологическое оборудование (межоперационный контроль в том числе характеристик тестовых структур, разбраковки кристаллов);

оборудование для контроля электрофизических параметров и аналитики;

оборудование и оснастка для сборки и контроля качества (испытания) опытных образцов электронной компонентной базы;

б) специальные материалы:

высокочистые химические вещества и реагенты, специальные газы и смеси газов, металлоорганические соединения;

комплекс материалов для литографии;

полупроводниковые материалы;

эпитаксиальные структуры кремния;

высокочистые металлы и сплавы, мишени, композиционные металлические материалы;

технологические материалы;

композиционные материалы, керамические материалы, диэлектрики и другие;

в) системы автоматизированного проектирования.

6. Решение о проведении отбора принимается Министерством промышленности и торговли Российской Федерации при наличии лимитов бюджетных обязательств, доведенных в установленном порядке до Министерства как получателя средств федерального бюджета на цели, указанные в пункте 1 настоящих Правил, с учетом ранее принятых обязательств по предоставлению субсидий.

Объявление о проведении отбора размещается в течение 10 рабочих дней, следующих за днем принятия Министерством промышленности и торговли Российской Федерации решения о проведении отбора, в государственной информационной системе промышленности (с размещением указателя страницы сайта на едином портале), а также на официальном сайте Министерства промышленности и торговли Российской Федерации в сети "Интернет" (http://minpromtorg.gov.ru) (далее - официальный сайт Министерства промышленности и торговли Российской Федерации) с указанием:

а) сроков проведения отбора (дата и время начала и дата окончания приема заявок организаций), а также информации о проведении нескольких этапов отбора с указанием сроков и порядка их проведения. Дата окончания приема заявок, подаваемых организациями в соответствии с пунктом 11 настоящих Правил, не может быть ранее 30-го календарного дня, следующего за днем размещения объявления о проведении отбора;

б) наименования, места нахождения, почтового адреса, адреса электронной почты Министерства промышленности и торговли Российской Федерации;

в) результата предоставления субсидии и показателей, необходимых для достижения результатов предоставления субсидии в соответствии с пунктом 4 настоящих Правил и технологических направлений в соответствии с пунктом 5 настоящих Правил;

г) указателя страницы официального сайта Министерства промышленности и торговли Российской Федерации, на котором обеспечивается проведение отбора;

д) требований к организации, принявшей решение участвовать в отборе, указанных в пунктах 7 и 8 настоящих Правил, и перечня сведений и документов в соответствии с пунктом 11 настоящих Правил, представляемых участниками отбора для подтверждения их соответствия указанным требованиям;

е) порядка подачи заявок и требований, предъявляемых к форме и содержанию заявок;

ж) порядка отзыва и возврата заявок организаций - участников отбора, определяющего в том числе основания для возврата заявок, порядка внесения изменений в заявки организаций - участников отбора;

з) правил рассмотрения и оценки заявок организаций - участников отбора;

и) порядка, даты начала и даты окончания предоставления организациям - участникам отбора разъяснений положений объявления о проведении отбора;

к) срока, в течение которого организации - победители отбора должны подписать соглашение о предоставлении субсидии в соответствии с абзацем первым пункта 24 настоящих Правил;

л) условий признания организации - победителя отбора уклонившимся от заключения соглашения о предоставлении субсидии;

м) даты размещения результатов отбора на сайте государственной информационной системы промышленности (с размещением указателя страницы сайта на едином портале), а также на официальном сайте Министерства промышленности и торговли Российской Федерации, которая не может быть позднее 14-го календарного дня, следующего за днем определения победителя отбора.

7. Организация не ранее 1-го числа месяца, предшествующего месяцу, в котором подается заявка, должна соответствовать следующим требованиям:

а) у организации отсутствует неисполненная обязанность по уплате налогов, сборов, страховых взносов, пеней, штрафов, процентов, подлежащих уплате в соответствии с законодательством Российской Федерации о налогах и сборах;

б) у организации отсутствует просроченная задолженность по возврату в федеральный бюджет субсидий, бюджетных инвестиций, предоставленных в том числе на основании иных нормативных правовых актов Российской Федерации, а также иная просроченная (неурегулированная) задолженность по денежным обязательствам перед Российской Федерацией;

в) организация не находится в процессе реорганизации (за исключением реорганизации в форме присоединения к организации, являющейся участником отбора, другого юридического лица), ликвидации, в отношении организации не введена процедура банкротства, деятельность организации не приостановлена в порядке, предусмотренном законодательством Российской Федерации;

г) в реестре дисквалифицированных лиц отсутствуют сведения о дисквалифицированных руководителе, членах коллегиального исполнительного органа, лице, исполняющем функции единоличного исполнительного органа, или главном бухгалтере (при наличии) организации;

д) организация не является иностранным юридическим лицом, а также российским юридическим лицом, в уставном (складочном) капитале которого доля участия иностранных юридических лиц, местом регистрации которых является государство или территория, включенные в утвержденный Министерством финансов Российской Федерации перечень государств и территорий, предоставляющих льготный налоговый режим налогообложения и (или) не предусматривающих раскрытия и предоставления информации при проведении финансовых операций (офшорные зоны), в совокупности превышает 50 процентов (с 1 января 2023 г. - 25 процентов);

е) организация не получает из федерального бюджета средства на основании иных нормативных правовых актов Российской Федерации на цели, установленные пунктом 1 настоящих Правил;

ж) организация не находится в перечне организаций и физических лиц, в отношении которых имеются сведения об их причастности к экстремистской деятельности или терроризму, либо в перечне организаций и физических лиц, в отношении которых имеются сведения об их причастности к распространению оружия массового уничтожения (в случае, если такие требования предусмотрены правовым актом).

8. Организация - участник отбора должна соответствовать следующим требованиям:

а) среднесписочная численность работников организации - участника отбора за предшествующий календарный год составляет не менее 20 человек, в случае если такая организация претендует на получение субсидии на реализацию только одного комплексного проекта и не реализует на дату заключения соглашения о предоставлении субсидии иных проектов в рамках государственной программы "Научно-технологическое развитие Российской Федерации". Среднесписочная численность работников организации - участника отбора за предшествующий календарный год при реализации 2 комплексных проектов должна составлять не менее 30 человек, при реализации 3 комплексных проектов - не менее 40 человек, при реализации 4 комплексных проектов - не менее 50 человек, при реализации 5 комплексных проектов - не менее 60 человек;

б) организация - участник отбора создана не менее чем за 3 года до даты подачи заявки, не находилась в течение 3 последних лет в процессе ликвидации, в отношении ее не вводилась процедура банкротства;

в) организация - участник отбора не является некоммерческой организацией;

г) с организацией - участником отбора за последние 3 года не было расторгнуто соглашение о предоставлении субсидии в рамках государственной программы "Научно-технологическое развитие Российской Федерации" и государственной программы Российской Федерации "Развитие электронной и радиоэлектронной промышленности".

9. Отбор проводится конкурсной комиссией, образуемой Министерством промышленности и торговли Российской Федерации.

В случае наличия неиспользованных лимитов бюджетных обязательств, образовавшихся по результатам проведения отбора, Министерство промышленности и торговли Российской Федерации вправе провести в течение финансового года дополнительный отбор с учетом ранее принятых обязательств по предоставлению субсидии.

Отбор проводится с соблюдением сроков, установленных пунктом 26.2 Положения о мерах по обеспечению исполнения федерального бюджета, утвержденного постановлением Правительства Российской Федерации от 9 декабря 2017 г. N 1496 "О мерах по обеспечению исполнения федерального бюджета".

10. В целях проведения отбора Министерство промышленности и торговли Российской Федерации:

а) разрабатывает и утверждает методику проведения оценки достижения показателей, необходимых для достижения результата предоставления субсидии в рамках реализации комплексного проекта, а также выполнения мероприятий (ключевых событий) плана-графика реализации комплексного проекта, предусмотренного соглашением о предоставлении субсидии, определяющего сроки и результаты достижения ключевых событий и значений показателей, необходимых для достижения результата предоставления субсидии в рамках реализации комплексного проекта (к концу реализации комплексного проекта значения каждого показателя, необходимого для достижения результата предоставления субсидии, должны быть отличны от нуля) (далее - план-график реализации комплексного проекта);

б) формирует соответствующий требованиям, установленным пунктом 25 настоящих Правил, проект соглашения о предоставлении субсидии, заключаемого Министерством промышленности и торговли Российской Федерации с организацией - победителем отбора, и размещает его на официальном сайте Министерства промышленности и торговли Российской Федерации;

в) разрабатывает конкурсную документацию, включающую в себя требования к заявке, содержанию и оформлению технико-экономического обоснования комплексного проекта, представляемого для участия в отборе, а также к иным документам, предусмотренным пунктом 11 настоящих Правил, и размещает ее на официальном сайте Министерства промышленности и торговли Российской Федерации.

11. Для участия в отборе организация - участник отбора направляет через государственную информационную систему промышленности в Министерство промышленности и торговли Российской Федерации в электронном виде в сроки и в соответствии с требованиями, указанными в объявлении о проведении отбора, заявку, подписанную усиленной квалифицированной электронной подписью лица, имеющего право действовать от имени организации, и представляет подтвержденные следующие сведения и документы:

а) сведения об обеспеченности организации - участника отбора технологическим и испытательным оборудованием для реализации комплексного проекта, принадлежащим на праве собственности или на ином законном основании организации - участнику отбора, либо его дочерним обществам, либо организациям, находящимся на территории Российской Федерации, по отношению к которым организация - участник отбора является дочерней;

б) сведения о наличии у организации - участника отбора необходимых для реализации комплексного проекта и принадлежащих ему на праве собственности или на ином законном основании зданий, строений и сооружений, права на которые не зарегистрированы в Едином государственном реестре недвижимости;

в) сведения о наличии у организации - участника отбора успешного опыта реализации подобных комплексных проектов, в том числе о достижении всех заявленных технических характеристик опытных образцов, а также о выводе комплексных проектов на плановую окупаемость и достижении запланированных показателей экономической эффективности;

г) сведения о средствах производства электроники, которые будут созданы в ходе реализации комплексного проекта, с указанием их технических характеристик;

д) сведения об осуществлении организацией - участником отбора на дату подачи заявки работ по реализации комплексного проекта за счет собственных и (или) заемных средств с указанием объема фактически осуществленных затрат и выполненных работ (при наличии);

е) подтверждение, что организация - участник отбора соответствует требованиям, установленным подпунктами "б" - "ж" пункта 7 и подпунктом "б" пункта 8 настоящих Правил;

ж) подтверждение, что не ранее 1-го числа месяца, предшествующего месяцу, в котором подается заявка, у организации - участника отбора отсутствует неисполненная обязанность по уплате налогов, сборов, страховых взносов, пеней, штрафов, процентов, подлежащих уплате в соответствии с законодательством Российской Федерации о налогах и сборах (в случае непредставления организацией - участником отбора такого документа Министерство промышленности и торговли Российской Федерации запрашивает его самостоятельно);

з) утвержденное руководителем организации - участника отбора технико-экономическое обоснование комплексного проекта, включающее:

краткое описание комплексного проекта с указанием наименований всех единиц создаваемых в рамках комплексного проекта средств производства электроники и соответствующих кодов Общероссийского классификатора таких средств по видам экономической деятельности и наименований контрагентов, привлекаемых к реализации комплексного проекта;

срок реализации комплексного проекта не более 10 лет, при этом научно-исследовательские, опытно-конструкторские и технологические работы должны быть завершены в срок, не превышающий 5 лет;

технологический анализ комплексного проекта с описанием ключевых технических характеристик разрабатываемых базовых технологий и создаваемых средств производства электроники;

выводы о результатах проведения патентных исследований в части разрабатываемых в рамках комплексного проекта средств производства электроники, а также сведения о патентоспособных ключевых технических решениях, которые предполагается создать и использовать в рамках комплексного проекта (при наличии), с приложением копии отчета о патентных исследованиях, результаты которых подтверждают возможность получения патентоспособных ключевых технических решений в рамках реализации комплексного проекта, а также о востребованности указанных ключевых технических решений на рынке;

сведения о наличии у участника отбора научно-исследовательских, опытно-конструкторских и технологических работ, необходимых для реализации комплексного проекта;

сведения о применяемых в рамках реализации комплексного проекта импортных технологиях и комплектующих;

маркетинговый анализ комплексного проекта, содержащий анализ российского и мирового рынков средств производства электроники, создаваемой в рамках реализации комплексного проекта, а также анализ конкурентной среды в части сравнения таких средств, создаваемых в рамках комплексного проекта, с российскими и иностранными аналогами;

обоснование спроса на средства производства электроники, разрабатываемые в рамках комплексного проекта, с приложением подтверждающих писем от потенциальных потребителей средств производства электроники;

план-график реализации комплексного проекта, включая:

объем производства и реализации средств производства электроники, создаваемых в рамках комплексного проекта, в денежном выражении (в действующих ценах), который на конец срока реализации комплексного проекта должен составлять не менее 115 процентов суммы предоставленной субсидии;

количество вновь создаваемых и (или) модернизируемых высокопроизводительных рабочих мест в рамках реализации комплексного проекта;

размер субсидии, запрашиваемой в рамках реализации комплексного проекта (не может превышать 2500 млн. рублей за весь срок реализации комплексного проекта и 500 млн. рублей в течение одного года реализации комплексного проекта);

объем внебюджетных средств, привлекаемых организацией на реализацию комплексного проекта (не менее 10 процентов стоимости комплексного проекта);

количество планируемых заключений о технологическом тестировании опытных образцов, опытных партий средств производства электроники, бета-версий систем автоматизированного проектирования;

количество созданных результатов интеллектуальной деятельности, охраняемых патентами и (или) удовлетворяющих условиям патентоспособности (подтверждаются результатами проведенных в соответствии с ГОСТ Р 15.011-96 патентных исследований) и охраняемых в качестве секретов производства (ноу-хау), в том числе ключевых технических решений;

план-график финансового обеспечения реализации комплексного проекта на финансовое обеспечение затрат на проведение научно-исследовательских, опытно-конструкторских и технологических работ (далее - план-график финансового обеспечения реализации комплексного проекта);

и) отчет о проведении патентных исследований в части разрабатываемых технологий и (или) создаваемых средств производства электроники в рамках комплексного проекта;

к) письмо, подписанное руководителем заинтересованного потребителя, подтверждающее наличие у организации - участника отбора инфраструктуры и специалистов для проведения всех этапов технологического тестирования опытных образцов, опытных партий средств производства электроники и (или) бета-версий систем автоматизированного проектирования, планируемых к разработке в рамках реализации комплексного проекта;

л) копии согласованных технического задания и спецификации, подписанные руководителями организации - участника отбора и заинтересованного потребителя;

м) письмо, подписанное руководителем заинтересованного потребителя, о готовности к закупке средств производства электроники, планируемых к созданию в рамках реализации комплексного проекта в установленный срок, с указанием объемов планируемой закупки;

н) согласие на публикацию (размещение) в сети "Интернет" информации об организации - участнике отбора, о подаваемой организации - участником отбора заявке и иной информации об организации - участнике отбора, связанной с отбором;

о) расчет размера субсидии в соответствии с пунктом 27 настоящих Правил, подписанный руководителем и главным бухгалтером (при наличии) организации - участника отбора;

п) письмо, подписанное руководителем заинтересованного потребителя, о необходимости реализации комплексного проекта в рамках сквозного проекта с приложением копии решения общественного экспертного совета об одобрении сквозного проекта, в рамках которого планируется реализация комплексного проекта (при наличии).

12. Заявка подается в отношении одного комплексного проекта. Одна организация - участник отбора может подать не более 3 заявок. При этом одна организация - участник отбора может реализовывать одновременно не более 5 комплексных проектов, субсидируемых в соответствии с настоящими Правилами.

13. Поступившим в Министерство промышленности и торговли Российской Федерации с использованием государственной информационной системы промышленности от организаций - участников отбора заявкам с прилагаемыми к ним документами в соответствии с пунктом 11 настоящих Правил, присваиваются регистрационные номера. Зарегистрированные в установленном Министерством промышленности и торговли Российской Федерации порядке заявки с прилагаемыми к ним документами направляются в конкурсную комиссию в сроки, указанные в объявлении о проведении отбора.

Заявки с прилагаемыми к ним документами, поступившие после срока, указанного в объявлении о проведении отбора, возвращаются организациям - участникам отбора через государственную информационную систему промышленности без рассмотрения.

14. Отбор проводится в три этапа.

15. На 1-м этапе конкурсная комиссия в сроки и в порядке, которые установлены в объявлении о проведении отбора, в том числе с использованием государственной информационной системы промышленности, рассматривает заявки и прилагаемые к ним документы, представленные организациями - участниками отбора, в указанные в объявлении о проведении отбора, во время и в месте, которые указаны в объявлении о проведении отбора, обеспечивает проверку наличия сведений и документов, предусмотренных пунктом 11 настоящих Правил, обеспечивает проверку соответствия организации - участника отбора требованиям пунктов 7 и 8 настоящих Правил, заявок - форме, приведенной в объявлении о проведении отбора, технико-экономических обоснований комплексных проектов требованиям подпункта "з" пункта 11 настоящих Правил, а также обеспечивает оценку финансово-экономического состояния организации - участника отбора в соответствии с методикой, утвержденной Министерством промышленности и торговли Российской Федерации.

По итогам рассмотрения заявок и прилагаемых к ним документов, проведения оценки финансово-экономического состояния организаций - участников отбора и проверки документов организаций - участников отбора на соответствие их требованиям настоящих Правил в государственной информационной системе промышленности оформляется протокол рассмотрения заявок, который подписывается каждым присутствующим членом конкурсной комиссии усиленной квалифицированной электронной подписью и содержит следующие сведения:

дата, время и место проведения рассмотрения заявок и прилагаемых к ним документов;

информация об организациях - участниках отбора, заявки которых были рассмотрены;

информация об организациях - участниках отбора, заявки которых были отклонены, с указанием причин их отклонения, в том числе положений настоящих Правил и объявления о проведении отбора, которым не соответствуют заявки;

информация об организациях - участниках отбора, заявки которых допущены к участию в отборе.

Подписанный протокол рассмотрения заявок размещается на сайте государственной информационной системы промышленности (с размещением указателя страницы сайта на едином портале), а также на официальном сайте Министерства промышленности и торговли Российской Федерации в течение 7 рабочих дней, следующих за днем рассмотрения заявок.

16. Заявки подлежат отклонению в следующих случаях:

а) несоответствие организации - участника отбора требованиям пунктов 7 и 8 настоящих Правил;

б) несоответствие содержания представленных организацией сведений и документов положениям, предусмотренным пунктом 11 настоящих Правил;

в) недостоверность представленной информации (в том числе информации о месте нахождения и об адресе юридического лица), а также несоответствие информации, представленной в заявке, информации, содержащейся в прилагаемых к ней документах;

г) подача одной организацией - участником отбора более 3 заявок либо наличие реализуемых организацией - участником отбора комплексных проектов в соответствии с ранее заключенными соглашениями о предоставлении субсидии, количество которых в совокупности с количеством поданных заявок превышает 5 комплексных проектов;

д) подача организацией - участником отбора заявки после даты и (или) времени, определенных для подачи заявки.

17. Конкурсная комиссия в течение 3 рабочих дней, следующих за днем подписания протокола рассмотрения заявок, обеспечивает передачу документов экспертному совету по проведению научно-технической оценки комплексных проектов и контролю их реализации (далее - экспертный совет), образуемому Министерством промышленности и торговли Российской Федерации.

18. На 2-м этапе экспертный совет в течение 20 рабочих дней, следующих за днем получения документов, проводит оценку комплексных проектов в соответствии с методикой, указанной в подпункте "а" пункта 10 настоящих Правил, и следующими критериями:

соответствие одному из указанных в пункте 5 настоящих Правил технологическому направлению;

рыночная перспективность средств производства электроники, создаваемых в рамках комплексного проекта, в том числе конкурентоспособность, потенциал импортозамещения и экспортный потенциал таких средств;

научно-техническая перспективность комплексного проекта, в том числе наличие у организации - участника отбора научно-исследовательских, опытно-конструкторских и технологических работ, а также его значимость для реализации комплексного проекта;

производственная обоснованность комплексного проекта и стратегическая заинтересованность организации - участника отбора в его реализации;

финансово-экономическая эффективность комплексного проекта.

19. Экспертный совет проводит заседание в очной форме или в форме видео-конференц-связи (с приглашением организации - участника отбора) по рассмотрению каждого заявляемого комплексного проекта, его научно-технической и производственно-технологической составляющих, финансово-экономической эффективности, создаваемых в рамках комплексного проекта средств производства электроники, и основных характеристик комплексного проекта. По итогам рассмотрения комплексных проектов в государственной информационной системе промышленности оформляются заключения и протокол экспертной оценки комплексных проектов, который подписывается каждым членом экспертного совета усиленной квалифицированной электронной подписью и содержит следующие сведения:

а) дата, время и место проведения рассмотрения заявок и прилагаемых к ним документов;

б) информация об организациях - участниках отбора, заявки которых были рассмотрены;

в) информация об организациях - участниках отбора, заявки которых не прошли научно-техническую оценку комплексных проектов;

г) информация об организациях - участниках отбора, заявки которых прошли научно-техническую оценку комплексных проектов;

д) заключения по каждому комплексному проекту, сформированное каждым членом экспертного совета.

20. Подписанные заключения и протокол экспертной оценки комплексных проектов передаются в конкурсную комиссию через государственную информационную систему промышленности в течение одного рабочего дня, следующего за днем их подписания.

21. На 3-м этапе конкурсная комиссия проверяет в течение 10 рабочих дней, следующих за днем подписания протокола экспертной оценки, соответствие документов по комплексным проектам, прошедшим научно-техническую экспертизу, условиям, указанным в объявлении о проведении отбора, и определяет рейтинг заявок в соответствии с методикой, утвержденной Министерством промышленности и торговли Российской Федерации, и следующими критериями:

а) реализация комплексного проекта в рамках сквозного проекта, одобренного общественным экспертным советом. Рейтинг, присуждаемый i-й заявке по критерию, касающемуся включения комплексного проекта в состав сквозного проекта, одобренного общественным экспертным советом, определяется равным 1,2 в случае включения комплексного проекта в состав сквозного проекта, одобренного общественным экспертным советом. В остальных случаях указанный рейтинг принимается равным 1;

б) объем реализации средств производства электроники, которые будут созданы в ходе реализации комплексного проекта;

в) патентоспособность ключевых технических решений (непатентоспособно, или патентоспособно в качестве полезной модели, или патентоспособно в качестве изобретения);

г) соотношение размера субсидии, запрашиваемой на проведение научно-исследовательских, опытно-конструкторских и технологических работ в рамках комплексного проекта, и размера заемных и (или) собственных средств, планируемых к привлечению для реализации комплексного проекта;

д) наличие успешного опыта реализации подобных комплексных проектов, в том числе по их выводу на плановую окупаемость и обеспечению достижения запланированных показателей экономической эффективности.

22. На основании определенного в соответствии с пунктом 21 настоящих Правил рейтинга заявок конкурсная комиссия присваивает каждой заявке порядковый номер. По итогам оценки и определения рейтинга заявок в государственной информационной системе промышленности в течение 3 рабочих дней, следующих за днем окончания проведения оценки и определения рейтинга заявок, оформляется протокол оценки и определения рейтинга заявок.

23. Подписанный протокол оценки и определения рейтинга заявок с результатами отбора размещается на сайте государственной информационной системы промышленности (с размещением указателя страницы сайта на едином портале), а также на официальном сайте Министерства промышленности и торговли Российской Федерации в течение 5 рабочих дней, следующих за днем подписания конкурсной комиссией протокола оценки и определения рейтинга заявок, и содержит:

а) дату, время и место проведения рассмотрения заявок;

б) дату, время и место оценки заявок;

в) информацию об организациях - участниках отбора, заявки которых были рассмотрены;

г) информацию об организациях - участниках отбора, заявки которых были отклонены, с указанием причин их отклонения, в том числе положений настоящих Правил и объявления о проведении отбора, которым не соответствуют такие заявки;

д) информацию об организациях - участниках отбора, заявки которых не прошли научно-техническую оценку комплексных проектов;

е) последовательность проведения оценки заявок, присвоенные заявкам значения по каждому из предусмотренных критериев оценки и принятое на основании результатов оценки решение о присвоении заявкам порядковых номеров;

ж) наименования организаций - получателей субсидии, с которыми заключаются соглашения о предоставлении субсидии, и размеры предоставляемых субсидий.

24. В течение 30 рабочих дней со дня подписания протокола оценки и определения рейтинга заявок Министерство промышленности и торговли Российской Федерации заключает с организациями - получателями субсидии соглашения о предоставлении субсидии.

Соглашения о предоставлении субсидии заключаются на сроки реализации комплексных проектов в соответствии с технико-экономическими обоснованиями в порядке рейтинга заявок, определенного в соответствии с пунктом 21 настоящих Правил (начиная с наибольшего значения и далее по убыванию), до момента исчерпания лимитов бюджетных обязательств, доведенных в установленном порядке до Министерства промышленности и торговли Российской Федерации как получателя средств федерального бюджета на цели, указанные в пункте 1 настоящих Правил.

Обязательства о предоставлении субсидии принимаются Министерством промышленности и торговли Российской Федерации на период доведенных до него в установленном порядке лимитов бюджетных обязательств на цели, указанные в пункте 1 настоящих Правил, с возможностью пролонгации этих обязательств в случае доведения лимитов бюджетных обязательств на указанные цели на очередной финансовый год. При этом общий срок, на который предоставляется субсидия, не может превышать 5 лет.

В случае если срок выполнения научно-исследовательских, опытно-конструкторских и технологических работ и подготовки производства по созданию средств производства электроники превышает срок действия доведенных в установленном порядке до Министерства промышленности и торговли Российской Федерации как получателя средств федерального бюджета лимитов бюджетных обязательств на цели, указанные в пункте 1 настоящих Правил, решение о заключении соглашения о предоставлении субсидии (дополнительного соглашения) на срок, превышающий срок действия указанных лимитов бюджетных обязательств, принимается в соответствии с Правилами принятия решений о заключении договоров (соглашений) о предоставлении из федерального бюджета субсидий юридическим лицам на срок, превышающий срок действия лимитов бюджетных обязательств, утвержденными постановлением Правительства Российской Федерации от 17 октября 2017 г. N 1261 "Об утверждении Правил принятия решений о заключении договоров (соглашений) о предоставлении из федерального бюджета субсидий юридическим лицам на срок, превышающий срок действия лимитов бюджетных обязательств".

25. Соглашение о предоставлении субсидии (дополнительное соглашение) заключается в соответствии с типовой формой, утвержденной Министерством финансов Российской Федерации, в государственной интегрированной информационной системе управления общественными финансами "Электронный бюджет", подписывается усиленной квалифицированной электронной подписью лиц, имеющих право действовать от имени каждой из сторон. Соглашение о предоставлении субсидии предусматривает в том числе следующие положения:

а) общая стоимость комплексного проекта и максимальный размер субсидии на срок реализации комплексного проекта в соответствии с технико-экономическим обоснованием комплексного проекта;

б) значения результата предоставления субсидии и значения показателей, необходимых для достижения результата предоставления субсидии;

в) план-график реализации комплексного проекта;

г) план-график финансового обеспечения реализации комплексного проекта;

д) согласие организации на проведение Министерством промышленности и торговли Российской Федерации с привлечением членов экспертного совета, в том числе на территории организации, проверок соблюдения организацией условий и порядка предоставления субсидии, установленных соглашением о предоставлении субсидии и настоящими Правилами, в том числе в части достижения результатов предоставления субсидии, а также на проведение органами государственного финансового контроля проверок в соответствии со статьями 268.1 и 269.2 Бюджетного кодекса Российской Федерации;

е) порядок пересмотра условий соглашения о предоставлении субсидии и согласования новых условий соглашения о предоставлении субсидии в случае уменьшения Министерству промышленности и торговли Российской Федерации как получателю средств федерального бюджета ранее доведенных лимитов бюджетных обязательств, приводящего к невозможности предоставления субсидии в размере, определенном в соглашении о предоставлении субсидии;

ж) порядок и условия расторжения соглашения о предоставлении субсидии, в том числе расторжения соглашения о предоставлении субсидии в одностороннем порядке Министерством промышленности и торговли Российской Федерации в случае нарушения организацией условий и порядка предоставления субсидии, в том числе:

непредставления (представления не в полном объеме) документов, предусмотренных пунктом 29 настоящих Правил, в течение 2 периодов реализации комплексного проекта подряд;

непредставления в срок, превышающий 3 месяца, пояснений и исправленных отчетных документов, предусмотренных пунктом 29 настоящих Правил, в случае выявления Министерством промышленности и торговли Российской Федерации факта недостоверности представленной организацией информации;

наличие у организации просроченной (неурегулированной) задолженности по денежным обязательствам перед Российской Федерацией в течение 6 месяцев;

фактическое отклонение значений результата предоставления субсидии и (или) каждого показателя, необходимых для достижения результата предоставления субсидии, предусмотренных соглашением о предоставлении субсидии, более чем на 30 процентов их плановых значений в течение 3 периодов реализации комплексного проекта подряд (нарастающим итогом);

фактическое невыполнение результатов мероприятий (ключевых событий) плана-графика реализации комплексного проекта, предусмотренного соглашением о предоставлении субсидии, в течение 3 периодов реализации комплексного проекта подряд (нарастающим итогом);

недостижение согласия по новым условиям, предложенным Министерством промышленности и торговли Российской Федерации в соответствии с подпунктом "е" настоящего пункта;

з) требование к ведению организацией раздельного учета затрат на проведение научно-исследовательских, опытно-конструкторских и технологических работ;

и) обязанность организации представлять в срок, установленный в подпункте "б" пункта 29 настоящих Правил, отчет о достижении значений результата предоставления субсидии и значений показателей, необходимых для достижения результата предоставления субсидии, отчет об осуществлении расходов, источником финансового обеспечения которых является субсидия, по формам, определенным типовой формой соглашения о предоставлении субсидии, утвержденной Министерством финансов Российской Федерации, а также дополнительную отчетность в соответствии с условиями, предусмотренными соглашением о предоставлении субсидии;

к) ответственность организации за несоблюдение порядка представления документов, а также форм и сроков представления отчетов, указанных в подпункте "и" настоящего пункта;

л) запрет приобретения организацией за счет полученных из федерального бюджета средств иностранной валюты, за исключением операций, осуществляемых организацией в соответствии с валютным законодательством Российской Федерации при закупке (поставке) высокотехнологичного импортного оборудования, технологической оснастки, результатов интеллектуальной деятельности, сырья и комплектующих изделий, а также иных операций, связанных с достижением целей, указанных в пункте 1 настоящих Правил;

м) запрет на размещение полученных из федерального бюджета средств на депозитных счетах в кредитных организациях или государственной корпорации развития "ВЭБ.РФ";

н) условия, касающиеся достижения следующих результатов интеллектуальной деятельности:

оформление прав на охраноспособные результаты интеллектуальной деятельности, которые будут созданы при выполнении комплексного проекта;

обеспечение правовой охраны и учета результатов интеллектуальной деятельности, созданных в рамках реализации комплексного проекта;

осуществление государственного учета созданных в рамках реализации комплексного проекта ключевых технических решений, а также результатов интеллектуальной деятельности, не относящихся к ключевым техническим решениям, но являющихся охраноспособными, сведения о сущности которых охраняются в том числе в качестве секрета производства (ноу-хау);

порядок распределения и закрепления прав на созданные охраноспособные результаты интеллектуальной деятельности;

о) обязательство организации по включению в договоры, заключаемые в целях исполнения обязательств по соглашению о предоставлении субсидии, согласия организаций-соисполнителей на проведение Министерством промышленности и торговли Российской Федерации и органами государственного финансового контроля проверок соблюдения условий и порядка предоставления субсидий в соответствии со статьями 268.1 и 269.2 Бюджетного кодекса Российской Федерации, в том числе в части достижения результатов предоставления субсидии, установленных соглашением о предоставлении субсидии и настоящими Правилами;

п) обязательство организации по получению по итогам реализации комплексного проекта охраняемых результатов интеллектуальной деятельности и приравненных к ним средств индивидуализации, предусмотренных Гражданским кодексом Российской Федерации;

р) обязательство организации по направлению сведений о научно-исследовательских, опытно-конструкторских и технологических работах гражданского назначения в Министерство науки и высшего образования Российской Федерации в порядке, предусмотренном постановлением Правительства Российской Федерации от 12 апреля 2013 г. N 327 "О единой государственной информационной системе учета научно-исследовательских, опытно-констукторских и технологических работ гражданского назначения";

с) обязательство организации по возврату в доход федерального бюджета в порядке, установленном бюджетным законодательством Российской Федерации, полученных по соглашению о предоставлении субсидии средств субсидии (в полном объеме) в случае одностороннего расторжения соглашения о предоставлении субсидии по инициативе Министерства промышленности и торговли Российской Федерации;

т) положения о казначейском сопровождении, установленные правилами казначейского сопровождения в соответствии с бюджетным законодательством Российской Федерации.

26. Субсидируемые затраты организаций на проведение научно-исследовательских, опытно-конструкторских и технологических работ в рамках комплексного проекта включают в себя непосредственно связанные с реализацией комплексного проекта:

а) расходы на оплату труда работников, непосредственно занятых выполнением научно-исследовательских, опытно-конструкторских и технологических работ в рамках комплексного проекта, а также расходы на обязательное пенсионное страхование, на обязательное социальное страхование на случай временной нетрудоспособности и в связи с материнством, обязательное медицинское страхование, обязательное социальное страхование от несчастных случаев на производстве и профессиональных заболеваний, начисленные на указанные суммы расходов на оплату труда;

б) накладные расходы в размере не более 200 процентов суммы субсидируемых расходов на оплату труда работников, непосредственно занятых реализацией комплексного проекта, включающие:

расходы на оплату труда административно-управленческого персонала организации (за исключением доплат и надбавок стимулирующего характера, премий и иных поощрительных выплат), а также расходы на обязательное пенсионное страхование, на обязательное социальное страхование на случай временной нетрудоспособности и в связи с материнством, обязательное медицинское страхование, обязательное социальное страхование от несчастных случаев на производстве и профессиональных заболеваний, начисленные на указанные суммы расходов;

расходы на аренду зданий, строений и сооружений, которые организация использует для проведения научно-исследовательских, опытно-конструкторских и технологических работ;

расходы на оплату коммунальных услуг, обслуживание и ремонт зданий, строений и сооружений, которые организация использует для проведения научно-исследовательских, опытно-конструкторских и технологических работ в рамках реализации комплексного проекта;

расходы на оплату транспортировки грузов, непосредственно связанных с проведением научно-исследовательских, опытно-конструкторских и технологических работ в рамках реализации комплексного проекта;

в) расходы на выполнение научно-исследовательских, опытно-конструкторских и технологических работ в размере не более 60 процентов размера предоставленной субсидии в отчетном периоде реализации комплексного проекта;

г) расходы на приобретение у российских и иностранных организаций неисключительных лицензий на результаты интеллектуальной деятельности, необходимых для реализации комплексного проекта;

д) расходы на проведение исследований в центрах коллективного пользования;

е) расходы на изготовление опытных образцов, макетов и стендов, в том числе на приобретение материалов и покупных комплектующих изделий;

ж) расходы на производство опытной серии средств производства электроники, их тестирование, сертификацию и (или) регистрацию, а также на проведение испытаний;

з) расходы на аренду (лизинг) технологического оборудования и технологической оснастки, необходимых для проведения научно-исследовательских, опытно-конструкторских и технологических работ;

и) расходы на обеспечение правовой охраны созданных в ходе выполнения научно-исследовательских, опытно-конструкторских и технологических работ результатов интеллектуальной деятельности, включая патентование, в том числе за рубежом;

к) расходы на проведение патентных исследований в соответствии с ГОСТ Р 15.011-96;

л) затраты на выплату авторских вознаграждений за создание и использование результатов интеллектуальной деятельности;

м) расходы на оснащение и обслуживание создаваемых и модернизируемых в рамках проведения научно-исследовательских, опытно-конструкторских и технологических работ при реализации комплексного проекта высокопроизводительных рабочих мест.

27. Размер субсидируемых затрат на одного человека по комплексному проекту по каждой из статей расходов, указанных в подпунктах "а" - "и" пункта 26 настоящих Правил, не может превышать 75 процентов размера предоставленной в рамках комплексного проекта субсидии. Размер субсидируемых затрат по статьям расходов, указанных в подпункте "а" пункта 26 настоящих Правил, не может более чем в 5 раз превышать среднемесячный уровень оплаты труда в Российской Федерации по таким видам экономической деятельности, как научные исследования и разработки и деятельность профессиональная научная и техническая прочая, исчисленный (по информации Федеральной службы государственной статистики) за предыдущий год и размещенный на официальном сайте Федеральной службы государственной статистики в сети "Интернет".

Субсидии предоставляются организации в соответствии с соглашением о предоставлении субсидии в сроки, установленные планом-графиком финансового обеспечения реализации комплексного проекта, обязательства по которым возникли не ранее календарного года получения субсидии, в том числе до заключения соглашения о предоставлении субсидии.

Периоды реализации комплексного проекта равны полугодиям календарного года.

Объем внебюджетных средств, привлекаемых организацией по каждому комплексному проекту в течение срока реализации комплексного проекта, не может быть менее 10 процентов стоимости комплексного проекта. При этом в каждом периоде реализации комплексного проекта организация привлекает внебюджетные средства в размере не менее 10 процентов понесенных затрат, предусмотренных пунктом 26 настоящих Правил. Оставшийся объем указанных внебюджетных средств организация может привлекать для создания, расширения, модернизации комплекса объектов недвижимого имущества, приобретения и модернизации оборудования в целях организации производства для создания средств производства электроники, приобретения у российских и (или) иностранных организаций исключительных прав на результаты интеллектуальной деятельности, необходимых для реализации комплексного проекта.

28. Расходы, связанные с созданием, расширением, модернизацией объектов недвижимого имущества, приобретением и модернизацией оборудования в целях организации производства для создания средств производства электроники в рамках комплексного проекта, включают:

а) расходы на оплату труда работников, непосредственно занятых выполнением работ по созданию, расширению, модернизации объектов недвижимого имущества, приобретению и модернизации оборудования в целях организации производства для создания средств производства электроники в рамках комплексного проекта, за период выполнения ими работ в рамках комплексного проекта, а также расходы на обязательное пенсионное страхование, обязательное социальное страхование на случай временной нетрудоспособности и в связи с материнством, обязательное медицинское страхование, обязательное социальное страхование от несчастных случаев на производстве и профессиональных заболеваний, начисленные на указанные суммы расходов на оплату труда;

б) накладные расходы в размере, определенном в соответствии с принципами учетной политики организации по распределению косвенных расходов между объектами калькуляции, но не более 200 процентов суммы расходов на оплату труда работников, непосредственно занятых выполнением работ по созданию, расширению, модернизации объектов недвижимого имущества, приобретению и модернизации оборудования в целях организации производства для создания средств производства электроники в рамках комплексного проекта, в том числе:

расходы на оплату труда административно-управленческого персонала организации, а также расходы на обязательное пенсионное страхование, на обязательное социальное страхование на случай временной нетрудоспособности и в связи с материнством, обязательное медицинское страхование, обязательное социальное страхование от несчастных случаев на производстве и профессиональных заболеваний, начисленные на указанные суммы расходов на оплату труда;

расходы на аренду зданий, строений и сооружений, которые организация использует в целях организации производства продукции в рамках комплексного проекта;

расходы на оплату коммунальных услуг, обслуживание и ремонт зданий, строений и сооружений, которые организация использует в целях организации производства для создания средств производства электроники в рамках комплексного проекта;

в) расходы на оплату товаров, работ и услуг в целях организации выпуска средств производства электроники в рамках комплексного проекта, в том числе:

расходы, непосредственно связанные с созданием, расширением, модернизацией объектов недвижимого имущества, в том числе на создание производственной инфраструктуры;

расходы на приобретение и модернизацию оборудования;

расходы на приобретение и обслуживание программного обеспечения, используемого при реализации и управлении комплексным проектом, включая фиксированные разовые и периодические платежи;

расходы на обеспечение противопожарной безопасности на объектах недвижимого имущества;

расходы на охрану объектов недвижимого имущества;

расходы на охрану труда;

расходы на аренду земельных участков;

канцелярские, типографские, почтово-телеграфные и телефонные расходы;

расходы на поверку и аттестацию измерительных приборов и оборудования;

расходы на приобретение, ремонт и восстановление инструмента и приспособлений общего назначения;

г) расходы на приобретение акций (долей) в организациях, обладающих необходимым комплексом объектов недвижимого имущества.

29. Для получения субсидии организация, с которой заключено соглашение о предоставлении субсидии, ежегодно представляет в Министерство промышленности и торговли Российской Федерации следующие документы:

а) не позднее 25 июля и 25 января (в рамках 1-го периода реализации комплексного проекта в течение 30 рабочих дней с даты заключения соглашения о предоставлении субсидии):

заявление о предоставлении субсидии, составленное в произвольной форме и подписанное руководителем организации, с указанием размера запрашиваемой субсидии;

справка налогового органа (по состоянию на дату не ранее 1-го числа месяца, предшествующего месяцу представления заявления о предоставлении субсидии), подтверждающая, что у организации отсутствует неисполненная обязанность по уплате налогов, сборов, страховых взносов, пеней, штрафов, процентов, подлежащих уплате в соответствии с законодательством Российской Федерации о налогах и сборах (в случае непредставления организацией такого документа Министерство промышленности и торговли Российской Федерации запрашивает его самостоятельно);

справки о соответствии организации требованиям, указанным в подпунктах "б" - "д" и "ж" пункта 7 настоящих Правил, подписанные руководителем и главным бухгалтером (при наличии) организации;

б) не позднее 25-го числа каждого месяца, следующего за истекшим календарным кварталом:

отчет о достижении значений результата предоставления субсидии и значений показателей, необходимых для достижения результата предоставления субсидии, составленный по форме, установленной типовой формой соглашения о предоставлении субсидии, утвержденной Министерством финансов Российской Федерации, с приложением подтверждающих документов (в случае первичного предоставления субсидии такой отчет не требуется);

отчет об осуществлении расходов, источником финансового обеспечения которых является субсидия, составленный по форме, установленной типовой формой соглашения о предоставлении субсидии, утвержденной Министерством финансов Российской Федерации (в случае первичного предоставления субсидии такой отчет не требуется);

в) дополнительная отчетность в соответствии с условиями, предусмотренными соглашением о предоставлении субсидии.

30. Министерство промышленности и торговли Российской Федерации регистрирует в порядке поступления документы, указанные в пункте 29 настоящих Правил, в специальном журнале (за исключением документов, поступивших через государственную информационную систему промышленности), который должен быть постранично пронумерован, прошнурован и скреплен печатью Министерства промышленности и торговли Российской Федерации.

Министерство промышленности и торговли Российской Федерации рассматривает представленные организациями документы в порядке их поступления и обеспечивает проведение проверки полноты и достоверности сведений, содержащихся в документах, в течение 60 календарных дней со дня их поступления.

31. Предоставление субсидий осуществляется в пределах лимитов бюджетных обязательств, доведенных в установленном порядке до Министерства промышленности и торговли Российской Федерации как получателя средств федерального бюджета на цели, указанные в пункте 1 настоящих Правил.

В случае если лимитов бюджетных обязательств, доведенных в установленном порядке до Министерства промышленности и торговли Российской Федерации как получателя средств федерального бюджета на цели, указанные в пункте 1 настоящих Правил, недостаточно для предоставления субсидии в текущем периоде реализации комплексного проекта в полном объеме, скорректированный размер предоставляемой субсидии организации () определяется по формуле:

,

где:

ЛБО - доведенные в установленном порядке до Министерства промышленности и торговли Российской Федерации как получателя средств федерального бюджета лимиты бюджетных обязательств на цели, указанные в пункте 1 настоящих Правил;

- размер предоставляемой субсидии в соответствии с заключенным соглашением о предоставлении субсидии для i-й организации;

- размер предоставляемой субсидии в соответствии с заключенным соглашением о предоставлении субсидии для j-й организации.

32. Основаниями для отказа в предоставлении субсидии являются:

а) непредставление (непредставление в полном объеме), а также несоответствие документов требованиям пункта 29 настоящих Правил;

б) установление факта недостоверности информации, представленной получателем субсидии (в случае непредставления по запросу Министерства промышленности и торговли Российской Федерации доработанных документов с учетом замечаний, направленных Министерством промышленности и торговли Российской Федерации);

в) наличие у организации - получателя субсидии просроченной (неурегулированной) задолженности по денежным обязательствам перед Российской Федерацией;

33. Перечисление субсидии организации - получателю субсидии осуществляется на казначейский счет для осуществления и отражения операций с денежными средствами юридических лиц, не являющихся участниками бюджетного процесса, бюджетными и автономными учреждениями, открытый в территориальном органе Федерального казначейства, не позднее 2-го рабочего дня после представления в территориальный орган Федерального казначейства получателем субсидии распоряжений о совершении казначейских платежей для оплаты денежного обязательства организации - получателя субсидии.

34. Информация о размерах и сроках перечисления субсидии учитывается Министерством промышленности и торговли Российской Федерации при формировании прогноза кассовых выплат из федерального бюджета, необходимого для составления в установленном порядке кассового плана исполнения федерального бюджета.

35. Министерство промышленности и торговли Российской Федерации проводит проверки соблюдения организациями порядка и условий предоставления субсидии, в том числе в части достижения результатов предоставления субсидии. Органы государственного финансового контроля проводят проверки в соответствии со статьями 268.1 и 269.2 Бюджетного кодекса Российской Федерации.

36. Министерство промышленности и торговли Российской Федерации проводит мониторинг достижения результатов предоставления субсидии, исходя из достижения значений результатов предоставления субсидии, определенных соглашением о предоставлении субсидии, и ключевых событий, отражающих факт завершения соответствующего мероприятия по получению результата предоставления субсидии (контрольная точка), в порядке и по формам, которые установлены Министерством финансов Российской Федерации.

37. В случае установления Министерством промышленности и торговли Российской Федерации или органом государственного финансового контроля в ходе проверки фактов нарушения организацией - получателем субсидии условий, установленных при предоставлении субсидии, соответствующие средства в размере выявленных нарушений подлежат возврату в доход федерального бюджета в порядке, установленном бюджетным законодательством Российской Федерации, на основании:

а) соответствующего требования Министерства промышленности и торговли Российской Федерации - в течение 10 рабочих дней со дня получения организацией указанного требования;

б) представления и (или) предписания органа государственного финансового контроля - в сроки, установленные в соответствии с бюджетным законодательством Российской Федерации.

38. В случае если по итогам реализации комплексного проекта значение результата предоставления субсидии или хотя бы одного из показателей, необходимых для достижения результата предоставления субсидии, указанных в соглашении о предоставлении субсидии, составляет менее 90 процентов планового значения, определенного соглашением о предоставлении субсидии, и не достигнуто в течение одного календарного года со дня завершения комплексного проекта, организация - получатель субсидии возвращает субсидию в размере, который определяется в соответствии с расчетом согласно приложению.

39. Организация - получатель субсидии не более 2 раз в течение календарного года вправе обратиться в Министерство промышленности и торговли Российской Федерации с мотивированным заявлением о внесении изменений в соглашение о предоставлении субсидии (далее - заявление о внесении изменений) в следующих случаях:

а) введение иностранным государством запретов и ограничений в области предпринимательской деятельности, осуществления валютных операций, а также иных ограничительных и запретительных мер, действующих в отношении Российской Федерации или организации;

б) изменение валютных курсов более чем на 30 процентов с фиксацией измененного курса в течение не менее 6 месяцев, предшествующих дате подачи заявления о внесении изменений;

в) изменение на мировых рынках стоимости высокотехнологичного импортного оборудования, технологической оснастки, прав на результаты интеллектуальной деятельности, сырья, комплектующих изделий и услуг, необходимых для реализации комплексного проекта, в рублевом эквиваленте более чем на 15 процентов с фиксацией измененной стоимости в течение не менее 6 месяцев, предшествующих дате подачи заявления о внесении изменений;

г) применение Правительством Российской Федерации мер, ограничивающих закупку высокотехнологичного импортного оборудования, технологической оснастки, приобретение прав на результаты интеллектуальной деятельности, сырья, комплектующих изделий и услуг, указанных в технико-экономическом обосновании комплексного проекта и оказывающих влияние на сроки реализации мероприятий (достижения ключевых событий) плана-графика реализации комплексного проекта и достижение результата предоставления субсидии и показателей, необходимых для достижения результата предоставления субсидии;

д) установление в ходе выполнения научно-исследовательских, опытно-конструкторских и технологических работ по созданию научно-исследовательских, опытно-конструкторских работ и технологических работ факторов технологического характера, техногенного, эпидемиологического характеров и иных ограничений и запретов, связанных с деятельностью исполнителя комплексного проекта, оказывающих влияние на сроки реализации мероприятий (достижения ключевых событий) плана-графика реализации комплексного проекта и достижение результата предоставления субсидии и показателей, необходимых для достижения результата предоставления субсидии.

40. В случае наступления одного или нескольких событий, указанных в пункте 39 настоящих Правил, а также в случае уменьшения размера предоставляемой субсидии, если лимитов бюджетных обязательств, доведенных в установленном порядке до Министерства промышленности и торговли Российской Федерации как получателя средств федерального бюджета на цели, указанные в пункте 1 настоящих Правил, недостаточно для предоставления субсидии в текущем финансовом году в полном объеме, организация направляет в Министерство промышленности и торговли Российской Федерации заявление о внесении изменений, подписанное руководителем организации, с приложением документов, свидетельствующих о наступлении указанных событий, расчетов, обосновывающих степень влияния наступивших событий на показатели, необходимые для достижения результата предоставления субсидии, указанные в соглашении о предоставлении субсидии, а также предложения о внесении изменений в план-график реализации комплексного проекта.

41. После получения заявления о внесении изменений Министерство промышленности и торговли Российской Федерации в течение 3 рабочих дней передает его экспертному совету. Экспертный совет в течение 20 рабочих дней после получения заявления о внесении изменений проводит оценку документов и оформляет заключение о целесообразности внесения изменений в соглашение о предоставлении субсидии.

42. На основании заключения экспертного совета Министерство промышленности и торговли Российской Федерации принимает решение о возможности (невозможности) внесения изменений в значения показателей, необходимых для достижения результата предоставления субсидии, и в план-график реализации комплексного проекта. При этом уточнения указанных в соглашении о предоставлении субсидии значений показателей, необходимых для достижения результата предоставления субсидии, в рамках отдельных периодов реализации комплексного проекта могут вноситься при условии сохранения итоговых значений этих показателей на конец реализации комплексного проекта, а внесение изменений в план-график реализации комплексного проекта - при условии сохранения срока его реализации.

43. Министерство промышленности и торговли Российской Федерации и организация - получатель субсидии вправе пересмотреть сроки реализации комплексного проекта (на срок до 12 месяцев) при условии сохранения значения планового результата предоставления субсидии, установленного в соглашении о предоставлении субсидии, в следующих случаях:

а) сокращение лимитов обязательств, доведенных в установленном порядке до Министерства промышленности и торговли Российской Федерации как получателя средств федерального бюджета на цели, указанные в пункте 1 настоящих Правил;

б) увеличение сроков поставки технологического оборудования, необходимого для разработки средств производства электроники в рамках реализации комплексного проекта;

в) изменение законодательства Российской Федерации, влияющего на сроки выполнения мероприятий комплексного проекта.

44. В случае изменения срока реализации комплексного проекта в соответствии с пунктом 43 настоящих Правил штрафные санкции к организации - получателю субсидии не применяются.

Приложение
к Правилам предоставления
из федерального бюджета субсидий
российским организациям на финансовое
обеспечение мероприятий по проведению
научно-исследовательских
и опытно-конструкторских работ
в области средств производства
электроники

РАСЧЕТ
РАЗМЕРА СУБСИДИИ ИЗ ФЕДЕРАЛЬНОГО БЮДЖЕТА РОССИЙСКИМ ОРГАНИЗАЦИЯМ НА ФИНАНСОВОЕ ОБЕСПЕЧЕНИЕ МЕРОПРИЯТИЙ ПО ПРОВЕДЕНИЮ НАУЧНО-ИССЛЕДОВАТЕЛЬСКИХ И ОПЫТНО-КОНСТРУКТОРСКИХ РАБОТ В ОБЛАСТИ СРЕДСТВ ПРОИЗВОДСТВА ЭЛЕКТРОНИКИ, ПОДЛЕЖАЩЕЙ ВОЗВРАТУ В ДОХОД ФЕДЕРАЛЬНОГО БЮДЖЕТА В СЛУЧАЕ НЕДОСТИЖЕНИЯ РОССИЙСКОЙ ОРГАНИЗАЦИЕЙ ЗНАЧЕНИЙ РЕЗУЛЬТАТА ПРЕДОСТАВЛЕНИЯ СУБСИДИИ И ЗНАЧЕНИЙ ПОКАЗАТЕЛЕЙ, НЕОБХОДИМЫХ ДЛЯ ДОСТИЖЕНИЯ РЕЗУЛЬТАТА ПРЕДОСТАВЛЕНИЯ СУБСИДИИ

1. Понятия, используемые в настоящем документе, означают следующее:

"высокопроизводительное рабочее место" - рабочее место, созданное российской организацией в рамках реализации комплексного проекта и соответствующее следующим критериям:

оснащение технологическим оборудованием, и (или) специализированными средствами проектирования, и (или) высокопроизводительными системами вычислений;

наличие трудовых отношений с работником, занятым на указанном рабочем месте и имеющим профильное образование и высокую квалификацию;

стоимость создания нового рабочего места или модернизации старого рабочего места составляет не менее 0,5 млн. рублей;

заработная плата работника, занятого на указанном рабочем месте, превышает величину средней заработной платы в соответствующем субъекте Российской Федерации согласно данным Федеральной службы государственной статистики за предыдущий финансовый год;

"комплексный проект" - комплекс взаимосвязанных мероприятий по разработке, производству и коммерциализации средств производства электроники и (или) технологий, ограниченный по времени и ресурсам, включающий:

выполнение научно-исследовательских, опытно-конструкторских и технологических работ;

организацию долговременного технологического тестирования опытных образцов, опытных партий средств производства электроники, бета-версий систем автоматизированного проектирования;

организацию выпуска средств производства электроники, в том числе создание производственной инфраструктуры;

последующий вывод средств производства электроники и (или) технологий на рынок;

"российская организация" - юридическое лицо, образованное в соответствии с законодательством Российской Федерации, информация о котором размещена в открытом доступе в государственной информационной системе промышленности в информационно-телекоммуникационной сети "Интернет";

"средства производства электроники" - оборудование, системы автоматизированного проектирования и материалы для производства электроники с техническими характеристиками.

2. Размер субсидии из федерального бюджета на финансовое обеспечение мероприятий по проведению научно-исследовательских и опытно-конструкторских работ в области средств производства электроники (далее - субсидия), подлежащей возврату в доход федерального бюджета в случае недостижения российской организацией значений результата предоставления субсидии и значений показателей, необходимых для достижения результата предоставления субсидии (далее - показатель) (A) (тыс. рублей), определяется по формуле:

,

где:

dv - достигнутое значение результата предоставления субсидии - объема реализации средств производства электроники, созданных в рамках комплексного проекта, рублей;

Dv - плановое значение результата предоставления субсидии - объема производства и реализации средств производства электроники, создаваемых в рамках комплексного проекта (рублей), указанное в соглашении о предоставлении субсидии;

- удельный вес результата предоставления субсидии - объема производства и реализации средств производства электроники, создаваемых в рамках комплексного проекта (рублей), значимость которого составляет 20 процентов;

- достигнутое значение показателя - количество вновь создаваемых и (или) модернизируемых высокопроизводительных рабочих мест в рамках реализации комплексного проекта (единиц);

- плановое значение показателя - количество вновь создаваемых и (или) модернизируемых высокопроизводительных рабочих мест в рамках реализации комплексного проекта (единиц), указанное в соглашении о предоставлении субсидии;

- удельный вес показателя - количество вновь создаваемых и (или) модернизируемых высокопроизводительных рабочих мест в рамках реализации комплексного проекта (единиц), значимость которого составляет 20 процентов;

dg - достигнутое значение показателя - соотношение размера субсидии, запрашиваемой на проведение научно-исследовательских, опытно-конструкторских и технологических работ в рамках комплексного проекта, и размера заемных и (или) собственных средств, планируемых к привлечению для реализации комплексного проекта;

Dg - плановое значение показателя - соотношение размера субсидии, запрашиваемой на проведение научно-исследовательских, опытно-конструкторских и технологических работ в рамках комплексного проекта, и размера заемных и (или) собственных средств, планируемых к привлечению для реализации комплексного проекта, указанное в соглашении о предоставлении субсидии;

Xg - удельный вес показателя - соотношение размера субсидии, запрашиваемой на проведение научно-исследовательских, опытно-конструкторских и технологических работ в рамках комплексного проекта, и размера заемных и (или) собственных средств, планируемых к привлечению для реализации комплексного проекта, значимость которого составляет 20 процентов;

- достигнутое значение показателя - количество результатов интеллектуальной деятельности, охраняемых патентами и (или) удовлетворяющих условиям патентоспособности (подтверждаются результатами проведенных в соответствии с ГОСТ Р 15.011-96 патентных исследований) и охраняемых в качестве секретов производства (ноу-хау), в том числе ключевых технических решений (единиц);

- плановое значение показателя - количество результатов интеллектуальной деятельности, охраняемых патентами и (или) удовлетворяющих условиям патентоспособности (подтверждаются результатами проведенных в соответствии с ГОСТ Р 15.011-96 патентных исследований) и охраняемых в качестве секретов производства (ноу-хау), в том числе ключевых технических решений, указанное в соглашении о предоставлении субсидии;

- удельный вес показателя - количество результатов интеллектуальной деятельности, охраняемых патентами и (или) удовлетворяющих условиям патентоспособности (подтверждаются результатами проведенных в соответствии с ГОСТ Р 15.011-96 патентных исследований) и охраняемых в качестве секретов производства (ноу-хау), в том числе ключевых технических решений (единиц), значимость которого составляет 20 процентов;

k - коэффициент, учитывающий средний размер ключевой ставки, устанавливаемой Центральным банком Российской Федерации;

V - объем средств федерального бюджета, использованный российской организацией в рамках реализации комплексного проекта на день окончания срока реализации такого проекта или на день окончания периода реализации комплексного проекта, в котором принято решение о расторжении соглашения о предоставлении субсидии (тыс. рублей).

Достигнутые значения показателей (dv, , ) учитываются на дату окончания срока реализации комплексного проекта.

В случае если достигнутые значения показателей (dv, , ) превышают плановые значения этих показателей (Dv, , ), отношение достигнутых значений показателей к их плановому значению необходимо считать равным 1.

В случае если достигнутые значения показателей (, ) не превышает плановых значений этих показателей (, ), отношение достигнутых значений показателей к их плановому значению необходимо считать равным 1.

3. Расчет коэффициента, учитывающего средний размер ключевой ставки, устанавливаемой Центральным банком Российской Федерации (k), осуществляется по формуле:

,

где:

r - средний размер ключевой ставки, устанавливаемой Центральным банком Российской Федерации;

s - количество лет с момента заключения российской организацией соглашения о предоставлении субсидии (дробное значение с округлением до десятой доли при наличии неполных лет).

4. Средний размер ключевой ставки, устанавливаемой Центральным банком Российской Федерации, определяется по формуле:

,

где:

n - количество периодов реализации комплексного проекта, в которых действовали различные уровни ключевой ставки Центрального банка Российской Федерации;

di - количество календарных дней действия i-й ключевой ставки Центрального банка Российской Федерации (в пределах периода реализации комплексного проекта со дня заключения российской организацией соглашения о предоставлении субсидии);

ki - значения уровней ключевой ставки Центрального банка Российской Федерации;

t - суммарное количество календарных дней со дня заключения российской организацией соглашения о предоставлении субсидии.".