Решение Коллегии Евразийской экономической комиссии от 04.10.2022 N 138

"Об утверждении требований к проведению исследований (испытаний) лекарственных средств в части оценки и контроля содержания примесей"
Редакция от 04.10.2022 — Действует с 07.04.2023

КОЛЛЕГИЯ ЕВРАЗИЙСКОЙ ЭКОНОМИЧЕСКОЙ КОМИССИИ

РЕШЕНИЕ
от 4 октября 2022 г. N 138

ОБ УТВЕРЖДЕНИИ ТРЕБОВАНИЙ К ПРОВЕДЕНИЮ ИССЛЕДОВАНИЙ (ИСПЫТАНИЙ) ЛЕКАРСТВЕННЫХ СРЕДСТВ В ЧАСТИ ОЦЕНКИ И КОНТРОЛЯ СОДЕРЖАНИЯ ПРИМЕСЕЙ

В соответствии со статьей 6, пунктом 7 статьи 7 и статьей 13 Соглашения о единых принципах и правилах обращения лекарственных средств в рамках Евразийского экономического союза от 23 декабря 2014 года, а также в целях установления единых подходов к оценке безопасности и качества лекарственных средств и установлению допустимых уровней содержания примесей в лекарственных средствах Коллегия Евразийской экономической комиссии решила:

1. Утвердить прилагаемые Требования к проведению исследований (испытаний) лекарственных средств в части оценки и контроля содержания примесей.

2. Настоящее Решение вступает в силу по истечении 6 месяцев с даты его официального опубликования.

Председатель Коллегии
Евразийской экономической комиссии
М. МЯСНИКОВИЧ

УТВЕРЖДЕНЫ
Решением Коллегии Евразийской
экономической комиссии
от 4 октября 2022 г. N 138

ТРЕБОВАНИЯ К ПРОВЕДЕНИЮ ИССЛЕДОВАНИЙ (ИСПЫТАНИЙ) ЛЕКАРСТВЕННЫХ СРЕДСТВ В ЧАСТИ ОЦЕНКИ И КОНТРОЛЯ СОДЕРЖАНИЯ ПРИМЕСЕЙ

I. Общие положения

1. Настоящие Требования устанавливают единые подходы к проведению исследований (испытаний) лекарственных средств в целях подтверждения их безопасности, эффективности и качества.

В настоящих Требованиях приведены указания к обоснованию безопасных для здоровья человека уровней содержания примесей в лекарственных средствах и методы их контроля в процессе разработки и производства лекарственных средств и при составлении регистрационного досье.

2. Присутствие примесей в лекарственных средствах не только изменяет их фармакологическое действие, но и делает их опасными для здоровья человека. Нормирование содержания примесей в лекарственных средствах необходимо в процессе их разработки и производства, а также при составлении регистрационного досье.

3. Настоящие Требования распространяется на новые активные фармацевтические субстанции, новые и существующие лекарственные препараты, остаточные растворители, примеси элементов и не предназначено для применения на этапе клинической разработки лекарственных препаратов. Допускается применение положений разделов II - V настоящих Требований также в отношении новых вспомогательных веществ.

4. Для целей настоящих Требований используются понятия и определения, которые означают следующее:

"анализ риска" (risk analysis) - оценка риска, связанного с выявленными опасностями;

"безопасность" (safety) - фактическое подтверждение того, что в результате воздействия вещества на организм человека или животного не возникнут нежелательные эффекты в строго определенных (заданных) условиях;

"величина порогового предела" (threshold limit value) - концентрация вещества в воздухе, которая не приводит к возникновению нежелательных эффектов у большинства работников при ежедневном воздействии (порог между безопасной и опасной концентрациями). Значения предела представляют собой средневзвешенные во времени концентрации для 7-часовой или 8-часовой рабочей смены и 40-часовой рабочей недели и относятся к хроническому воздействию;

"допустимое суточное воздействие" (ДСВ), (permitted daily exposure, PDE) - максимально допустимая доза примеси (в том числе остаточного растворителя, элемента), потребляемая в составе лекарственного препарата в течение суток;

"идентификация рисков" (risk identification) - систематический анализ информации для идентификации потенциальных источников негативного воздействия (вредных факторов), выполненный на основании условий, заданных при формулировке вопроса о существовании риска или заданных при характеристике изучаемой проблемы;

"идентифицированная примесь" (identified impurity) - примесь с установленной химической структурой;

"идентифицированный продукт деградации (продукт разложения)" (identified degradation product) - продукт деградации с установленной химической структурой;

"исследования по разработке лекарственного препарата" (development studies) - исследования, проводимые с целью масштабирования, оптимизации и валидации процесса производства лекарственного препарата;

"исследования по химической разработке" (chemical development studies) - исследования, проводимые с целью масштабирования, оптимизации и валидации процесса производства активной фармацевтической субстанции;

"исходный материал" (starting material) - материал, используемый при химическом синтезе активной фармацевтической субстанции, который включен в качестве элемента в структуру промежуточного продукта и (или) активной фармацевтической субстанции. Исходные материалы производятся серийно в промышленных масштабах и имеют установленные химические и физические свойства и структуру;

"квалификация" (qualification) - процесс получения и оценки данных, на основании которых устанавливают биологическую безопасность отдельной примеси, в том числе продукта деградации, или профиля примесей, в том числе профиля продуктов деградации на специфицированном уровне (уровнях);

"контроль рисков" (risk control) - процесс реализации решений по управлению рисками;

"коэффициент безопасности" (safety factor) - составной (редуктивный) коэффициент, величина которого зависит от природы токсического действия, размера и типа защищаемой популяции пациентов и качества доступных токсикологических данных, применяемый специалистами по оценке рисков к NOAEL или другой расчетной исходной точке (например, ориентировочной дозе или нижней доверительной границе ориентировочной дозы) для получения референтной дозы, которая считается безопасной или не связанной с ощутимым риском (например, такой референтной дозой может быть допустимое суточное потребление или переносимое суточное потребление (NOAEL или другая расчетная доза делится на коэффициент безопасности для расчета референтной дозы));

"лиганд" (ligand) - атомы, ионы или молекулы, связанные координационной связью с атомом металла-комплексообразователя;

"максимальная недействующая доза" (no-observed-effect level, NOEL) - максимальная доза вещества, при которой отсутствует биологически значимое увеличение частоты или тяжести любых эффектов у получивших дозу человека или животных;

"минимальная действующая доза" (lowest-observed effect level, LOEL) - минимальная доза вещества, анализируемая в исследовании или серии исследований, которая приводит к биологически значимому увеличению частоты или тяжести любых эффектов у получивших дозу человека или животных;

"минимальный уровень риска" (minimal risk level, MRL) - предполагаемая суточная степень воздействия на человека опасного вещества, которая не имеет значимой связи с ощутимым (определяемым) риском;

"модифицирующий фактор" (modifying factor) - индивидуальный фактор, устанавливаемый токсикологом на основании его экспертного мнения и используемый для установления корреляции между данными биоанализов и безопасностью изучаемого вещества для человека и животных;

"неидентифицированный продукт деградации (продукт разложения)" (unidentified degradation product) - продукт деградации, для которого не установлена химическая структура и который определяется исключительно по качественным аналитическим свойствам (например, относительному времени удерживания);

"нейротоксичность" (neurotoxicity) - способность вещества оказывать неблагоприятное воздействие на нервную систему человека или животных;

"неспецифицированная примесь" (unspecified impurity) - примесь, ограниченная общим критерием приемлемости, но не указанная отдельно вместе со своим собственным конкретным критерием приемлемости в спецификации лекарственного средства;

"неспецифицированный продукт деградации (продукт разложения)" (unspecified degradation product) - вещество (соединение), ограниченное общим критерием приемлемости, но не указанное отдельно вместе со своим собственным конкретным критерием приемлемости в спецификации лекарственного средства;

"новый лекарственный препарат" - лекарственный препарат, который ранее не был зарегистрирован в соответствии с законодательством государств - членов Евразийского экономического союза или в соответствии с Правилами регистрации и экспертизы лекарственных средств для медицинского применения, утвержденными Решением Совета Евразийской экономической комиссии от 3 ноября 2016 г. N 78, в состав которого входит новая активная фармацевтическая субстанция;

"обратимая токсичность" (reversible toxicity) - возникновение вредных эффектов, вызванных веществом, которые исчезают после прекращения воздействия вещества;

"остаточный растворитель" - органические летучие химические соединения в лекарственных средствах и вспомогательных веществах, используемые или образующиеся в процессе производства активных фармацевтических субстанций, вспомогательных веществ и лекарственных препаратов;

"оценка безопасности" (safety assessment) - подход, который основывается на научной оценке (анализе) и измерении химических опасных факторов и уровня воздействия химических веществ, а также связанных с ними рисков, и применяется как элемент оценки рисков;

"оценка рисков" (risk assessment) - последовательный процесс структурирования информации, необходимой для принятия решения о риске в рамках процесса управления рисками, который включает в себя идентификацию опасных факторов, анализ и собственно оценку рисков, связанных с воздействием этих факторов;

"предел вредного воздействия на рабочем месте (предел допустимого воздействия)" (occupational exposure limit value (OELV), permitted exposure limit (PEL)) - уровень воздействия вредных химических веществ на рабочем месте, не оказывающий документально подтвержденного вредного воздействия на человека;

"посторонний загрязнитель (посторонний контаминант)" (extraneous contaminant) - примесь, образующаяся из любого источника, постороннего для производственного процесса лекарственного препарата;

"полиморфные формы" (polymorphic forms) - различные кристаллические формы одной и той же активной фармацевтической субстанции, которые могут включать в себя продукты сольватации или гидратации (также известные как псевдополиморфы) и аморфные формы;

"порог идентификации" (identification threshold) - предел, выше (больше) которого примеси (продукты деградации (продукты разложения)) должны быть идентифицированы;

"порог информирования" (reporting threshold)" - предел, выше (больше) которого должен быть указан результат определения содержания примеси (продуктов деградации (продукты разложения)). Понятие "порог информирования" аналогично понятию "предел количественного определения", указанному в Руководстве по валидации аналитических методик проведения испытаний лекарственных средств, утвержденном Решением Коллегии Евразийской экономической комиссии от 17 июля 2018 г. N 113;

"порог квалификации" (qualification threshold) - предел, выше (больше) которого примеси (продукты деградации (продукты разложения)) должны быть квалифицированы;

"порог контроля" (control threshold) - предел, используемый при оценке примесей элементов в лекарственном средстве для определения необходимости дополнительных мер контроля по предотвращению превышения допустимого суточного воздействия. Предел составляет 30% допустимого суточного воздействия для определяемой примеси элемента;

"потенциальная примесь" (potential impurity) - примесь, которая исходя из теоретического описания процесса способна появиться в процессе производства или хранения лекарственного средства, при этом вероятность ее появления не абсолютная;

"предполагаемый канцероген для человека (strongly suspected human carcinogen)" - вещество, в отношении которого не существует однозначных доказательств канцерогенности для человека, но есть достаточные доказательства канцерогенности для животных, подкрепленные данными, поддерживающими такую гипотезу для человека;

"примесь" (impurity) - любой компонент лекарственного средства, который не является действующим веществом или вспомогательным веществом;

"принятие риска" (risk acceptance) - решение, принимаемое производителем (заявителем) относительно возможности считать риск допустимым;

"промежуточный продукт химического синтеза субстанции" (intermediate) - материал, полученный в процессе химического синтеза активной фармацевтической субстанции, который подвергается дальнейшей химической трансформации, прежде чем становится активной фармацевтической субстанцией;

"профиль примесей" (impurity profile) - описание идентифицированных и неидентифицированных примесей, присутствующих в лекарственном средстве;

"профиль продуктов деградации (продуктов разложения) (профиль деградации)" (degradation profile) - описание продуктов деградации (продуктов разложения), присутствующих в лекарственном средстве;

"реактив (реагент)" (reagent) - вещество, отличное от исходного материала, промежуточного продукта или растворителя, использующееся в процессе производства активной фармацевтической субстанции;

"риск" (risk) - сочетание вероятности негативного воздействия (вероятности нанесения ущерба) и тяжести этого воздействия (ущерба);

"родственные примеси (родственные соединения)" (related substances) - органические примеси, родственные по структуре, целевому действующему веществу, включающие в себя промежуточные продукты, побочные продукты синтеза, продукты деградации (продукты разложения);

"система качества" (quality system) - совокупность всех аспектов системы, которая реализует политику в области качества и обеспечивает выполнение целей в этой области;

"система упаковки (укупорки)" (container closure system) - совокупность компонентов упаковки, которые служат для хранения и защиты лекарственного средства, включающая в себя компоненты первичной и вторичной (потребительской) упаковки, если вторичная (потребительская) упаковка предназначена для дополнительной защиты лекарственного средства;

"состав вещества" - расположение элементов в химическом соединении, включая изотопный состав, электронное состояние или степень окисления и (или) комплексную либо молекулярную структуру;

"специфицированная примесь" (specified impurity) - примесь, отдельно указанная в перечне и ограниченная конкретным критерием приемлемости (уровнем) в спецификации лекарственного средства. Специфицированная примесь может быть идентифицированной или неидентифицированной;

"специфицированный продукт деградации (продукт разложения)" (specified degradation product) - продукт деградации, отдельно указанный в перечне и ограниченный конкретным критерием приемлемости в спецификации лекарственного средства. Специфицированный продукт деградации (продукт разложения) может быть идентифицированным или неидентифицированным;

"средневзвешенная по времени концентрация" (time weighted average, TWA) - средневзвешенная по времени концентрация для стандартного 8-часового рабочего дня и 40-часовой рабочей недели;

"суточная доза" (daily dose) - общее количество действующего вещества, принимаемое пациентом в течение суток;

"технологические примеси активной фармацевтической субстанции" - примеси, образующиеся в процессе производства активной фармацевтической субстанции;

"технологические примеси лекарственного препарата" - примеси, образующиеся в процессе производства лекарственного препарата;

"тератогенность" (teratogenicity) - нарушение эмбрионального развития, приводящее к возникновению аномалий у плода под воздействием различных факторов (в том числе при поступлении вещества в организм человека или животного в период беременности);

"тяжесть" (severity) - мера возможных последствий, связанных с опасными факторами;

"управление изменениями" (change management) - системный подход к предложению, оценке, утверждению, внедрению и последующему анализу изменений;

"управление рисками" (risk management) - последовательное применение политики в области управления качеством, процедур и методик в деятельности по оценке, контролю, коммуникации и анализу рисков;

"управление рисками при обеспечении качества" (quality risk management) - последовательный процесс оценки, контроля, коммуникации и анализа рисков, связанных с качеством лекарственного средства, на протяжении его жизненного цикла;

"энантиомерная примесь" (enantiomeric impurity) - соединение с той же молекулярной формулой, что и действующее вещество, которое отличается пространственным расположением атомов внутри молекулы и является зеркальным отображением молекулы действующего вещества.

Для целей настоящих Требований понятие "промежуточная продукция" применяется в значении, определенном в Правилах надлежащей производственной практики Евразийского экономического союза (далее - Правила надлежащей производственной практики), утвержденных Решением Совета Евразийской экономической комиссии от 3 ноября 2016 г. N 77, понятие "заявитель" применяется в значении, определенном в Правилах регистрации и экспертизы лекарственных средств для медицинского применения, утвержденных Решением Совета Евразийской экономической комиссии от 3 ноября 2016 г. N 78, понятия "новая фармацевтическая субстанция", "существующая фармацевтическая субстанция" применяются в значениях, определенных Требованиями к исследованию стабильности лекарственных препаратов и фармацевтических субстанций, утвержденными Решением Коллегии Евразийской экономической комиссии от 10 мая 2018 г. N 69, понятие "предел количественного определения" применяется в значении, определенном в Руководстве по валидации аналитических методик проведения испытаний лекарственных средств, утвержденном Решением Коллегии Евразийской экономической комиссии от 17 июля 2018 г. N 113, понятия "продукт деградации (продукт разложения)", "растворитель" в значениях, определенных в Руководстве по составлению нормативного документа по качеству лекарственного препарата, утвержденном Решением Коллегии Евразийской экономической комиссии от 7 сентября 2018 г. N 151 (далее - Руководство по составлению нормативного документа), понятия "доза, не оказывающая видимого нежелательного эффекта (No-Observed Adverse Effect Level, NOAEL)", "наименьшая доза, оказывающая явный нежелательный эффект (Lowest Observed Adverse Effect Level, LOAEL)" применяются в значениях определенных в Руководстве по установлению допустимых пределов воздействия на здоровье в целях идентификации рисков при производстве лекарственных средств на общих производственных (технологических) линиях, утвержденном Решением Коллегии Евразийской экономической комиссии от 14 января 2020 г. N 1.

II. Примеси в новых активных фармацевтических субстанциях

1. Общие положения

5. В настоящем разделе представлены указания по составлению регистрационного досье с точки зрения содержания и квалификации примесей в новых активных фармацевтических субстанциях, произведенных путем химического синтеза и ранее не используемых в государствах - членах Евразийского экономического союза (далее соответственно - государство-член, Союз). Эти указания не распространяются на новые активные фармацевтические субстанции, используемые на этапе клинической разработки.

В настоящем разделе не рассматриваются следующие виды лекарственных средств:

биологические (биотехнологические);

пептидные;

олигонуклеотидные;

радиофармацевтические;

продукты ферментации и полусинтетические вещества, полученные из них;

лекарственные растительные препараты, растительные фармацевтические субстанции и необработанные продукты животного и растительного происхождения.

6. Настоящий раздел не устанавливает требований в отношении следующих компонентов лекарственного препарата:

а) посторонние загрязнители, которые не должны присутствовать в новой активной фармацевтической субстанции;

б) полиморфные формы активной фармацевтической субстанции;

в) энантиомерные примеси.

7. Примеси в новых активных фармацевтических субстанциях рассматриваются со следующих позиций:

а) с химической позиции - предусматривающей классификацию и идентификацию примесей, информирование в отношении примесей, перечисление их в спецификациях и краткую характеристику аналитических методик;

б) с позиции безопасности - предусматривающей специальные правила квалификации тех примесей, которые отсутствовали или обнаруживались в значительно меньших количествах в сериях новой активной фармацевтической субстанции, использованных в исследованиях безопасности и клинических исследованиях.

2. Классификация примесей в новых фармацевтических субстанциях

8. Примеси в новых фармацевтических субстанциях классифицируются по следующим категориям:

а) органические примеси;

б) неорганические примеси;

в) остаточные растворители.

9. Органические примеси могут образовываться в процессе производства и (или) хранения новой активной фармацевтической субстанции. Они делятся на идентифицированные и неидентифицированные, летучие и нелетучие и включают в себя:

а) исходные материалы;

б) побочные продукты;

в) промежуточные продукты;

г) продукты деградации (продукты разложения) (далее - продукты деградации);

д) реактивы, лиганды и катализаторы.

10. Неорганические примеси могут образовываться в процессе производства. Они относятся к известным и идентифицированным примесям и включают в себя:

а) реактивы, лиганды и катализаторы;

б) тяжелые металлы и прочие остаточные металлы;

в) неорганические соли;

г) прочие материалы (например, фильтровальные присадки, уголь).

3. Сбор и указание информации о составе и контроле примесей в регистрационном досье

Органические примеси

11. Заявителю следует собирать сводные данные по фактическому и потенциальному наличию примесей, которые могут образоваться в процессе синтеза, очистки и хранения новой активной фармацевтической субстанции. Сводные данные должны быть основаны на анализе:

результатов достоверной научной оценки химических реакций, происходящих одновременно с реакциями синтеза активной фармацевтической субстанции;

примесей, имеющих отношение к исходным материалам, которые могут способствовать загрязнению профиля примесей новой активной фармацевтической субстанции;

возможных продуктов деградации.

Анализ может быть ограничен теми примесями, наличие которых ожидается исходя из информации о химических реакциях при синтезе активной фармацевтической субстанции и условиях их протекания.

12. Заявителю следует собирать сводные данные о лабораторных исследованиях, проводимых в целях обнаружения примесей в новой активной фармацевтической субстанции. Такие данные должны включать результаты испытаний серий лекарственных средств, произведенных в процессе разработки, и серий из предлагаемого промышленного процесса производства, а также результаты стрессового исследования (в соответствии с Требованиями к исследованию стабильности лекарственных препаратов и фармацевтических субстанций), применяемого для идентификации потенциальных примесей, образующихся во время хранения. Профиль примесей промышленных серий активной фармацевтической субстанции следует сравнивать с профилями примесей серий, которые использовались при разработке лекарственного средства. Любые различия в профилях должны быть подвергнуты оценке и анализу, результаты которых представляются в регистрационном досье.

13. В модуле 3 регистрационного досье следует описать исследования, проведенные для установления структуры фактических примесей, присутствующих в новой активной фармацевтической субстанции, на уровне выше (больше) порога идентификации, приведенного в таблице N 1 (например, порог идентификации, рассчитанный с использованием коэффициента чувствительности для действующего вещества). Каждая примесь, присутствующая в количестве, превышающем порог идентификации в любой серии, произведенной в ходе предлагаемого промышленного процесса производства, должна быть идентифицирована. Кроме того, следует идентифицировать любой продукт деградации, наблюдаемый в исследованиях стабильности при рекомендуемых условиях хранения на уровне, превышающем порог идентификации. В случае когда идентификация примеси невозможна, сводная информация об исследованиях, демонстрирующих безуспешные попытки, должна быть представлена в регистрационном досье лекарственного препарата. В тех случаях, когда были предприняты попытки идентифицировать примеси, присутствующие на уровнях не выше () порогов идентификации, следует также включить в регистрационное досье лекарственного препарата результаты этих исследований.

Таблица 1

Пороговые значения примеси

Максимальная суточная доза <1> Порог информирования <2>, <3> Порог идентификации <3> Порог квалификации <3>
2 г/сут 0,05% 0,10% или 1,0 мг в сутки
(в зависимости от того, какое значение ниже)
0,15% или 1,0 мг в сутки
(в зависимости от того, какое значение ниже)
> 2 г/сут 0,03% 0,05% 0,05%

<1> Максимальное количество вводимого действующего вещества (активной фармацевтической субстанции) в сутки.

<2> Более высокие пороги должны быть научно обоснованы.

<3> Более низкие пороги могут быть приемлемыми, если примесь является высокотоксичной.

14. Идентификация примесей, не превышающих () порог идентификации, как правило, не является необходимой. Однако должны быть разработаны аналитические методики для тех потенциальных примесей, которые, как ожидается, будут активными, производя токсические или фармакологические эффекты на уровне, не превышающем () порог идентификации. Все примеси должны быть квалифицированы.

15. Токсичность растворителей относится к известным видам токсичности и затруднений при выборе надлежащих средств контроля остаточных количеств растворителей не возникает.

Неорганические примеси

16. Неорганические примеси обнаруживаются и количественно определяются с применением фармакопейных или других соответствующих методик. На этапе разработки лекарственного средства следует оценивать возможный перенос катализатора в новую активную фармацевтическую субстанцию. Следует рассмотреть вопрос о необходимости включения неорганических примесей в спецификацию новой активной фармацевтической субстанции или исключения из нее. Критерии приемлемости должны основываться на фармакопейных стандартах или известных данных по безопасности активной фармацевтической субстанции (действующего вещества).

Растворители

17. Данные контроля остаточных растворителей, используемых в процессе производства новой активной фармацевтической субстанции, следует проанализировать и представить в регистрационном досье лекарственного препарата в соответствии с разделом IV настоящих Требований.

4. Аналитические методики

18. Регистрационное досье лекарственного препарата должно включать в себя документальное подтверждение того, что аналитические методики валидированы и пригодны для обнаружения и количественного определения примесей. Технические факторы (например, производственные возможности и методология контроля) могут рассматриваться как часть обоснования выбора альтернативных пороговых значений на основе производственного опыта, в сочетании с предлагаемым промышленным процессом производства. Использование двух десятичных знаков для пороговых значений (как это указано в таблице 1) не обязательно отражает точность аналитической методики, применяемой для рутинного контроля качества. Таким образом, использование методик с более низкой точностью (например, тонкослойной хроматографии) может считаться приемлемым при их обосновании и соответствующей валидации. Различия в аналитических методиках, использованных в ходе разработки и предлагаемых для контроля качества готовой продукции, должны рассматриваться в регистрационном досье лекарственного препарата.

19. Предел количественного определения для целей аналитической методики не должен превышать порог информирования.

20. Уровни содержания органических примесей определяются различными способами, в том числе с помощью сравнения аналитического отклика примеси и аналитического отклика соответствующего стандартного образца или отклика самой активной фармацевтической субстанции. Стандартные образцы, применяемые в аналитических методиках контроля примесей, должны оцениваться и характеризоваться в соответствии с их предполагаемым использованием. Активная фармацевтическая субстанция может использоваться в качестве стандартного образца для расчета содержания примесей. В том случае, когда коэффициенты чувствительности активной фармацевтической субстанции и соответствующей примеси существенно отличаются друг от друга, данная практика может считаться уместной при условии применения поправочного коэффициента иначе фактическое содержание примеси будет оценено некорректно. Критерии приемлемости и аналитические методики, используемые для оценки идентифицированных или неидентифицированных примесей, могут основываться на аналитических предположениях (например, об эквивалентной чувствительности детектора). Все такие предположения должны быть приведены и проанализированы в регистрационном досье лекарственного препарата.

5. Информирование о содержании примесей в сериях новой активной фармацевтической субстанции

21. В регистрационном досье лекарственного препарата следует представить аналитические результаты исследования на все серии, включая серии активной фармацевтической субстанции, используемые для производства лекарственных препаратов для клинических исследований, исследований по безопасности и исследований стабильности, а также серий, представляющих предлагаемый промышленный процесс производства. Количественные результаты должны быть представлены в цифровой форме, а не в виде общих терминов, таких как "соответствует", "в пределах" и т.д. Содержание любых примесей выше (больше) порога информирования (как указано в таблице 1) и суммарное содержание примесей, наблюдаемых в этих сериях новой активной фармацевтической субстанции, должны быть представлены с описанием примененных аналитических методик. Результаты ниже 1,0% указываются с точностью до двух десятичных знаков (например, 0,06%, 0,13%), результаты на уровне 1,0% и выше указываются с точностью до одного десятичного знака (например, 1,3%). Результаты должны быть округлены согласно правилам округления (в соответствии с примером 1, приведенным в пункте 34 настоящих Требований). Полученные данные следует заносить в сводную таблицу. Примесям должны присваиваться номера кодов или соответствующие характеристики (например, время удерживания). Если предлагается более высокий порог информирования, он должен быть обоснован. Все примеси на уровне, превышающем порог информирования, должны быть суммированы и представлены как суммарное содержание примесей.

22. При внесении изменений в аналитические методики во время разработки лекарственного средства сообщаемые результаты должны быть связаны с использованной методикой и сопровождаться соответствующими результатами ее валидации, а также следует представить репрезентативные хроматограммы. В качестве типовых профилей примесей могут служить хроматограммы представительных серий, указывающих на разделение и обнаруживаемость примесей (например, на пробах с добавкой стандартного раствора), а также любые другие типовые испытания на наличие примесей. Заявитель должен обеспечить в случае запроса уполномоченного органа (экспертной организации) государства-члена представление полных профилей примесей (например, в виде хроматограмм) для отдельных серий новой активной фармацевтической субстанции.

23. Необходимо предоставить в регистрационном досье лекарственного препарата табличные данные, которые связывают конкретную серию новой активной фармацевтической субстанции с каждым исследованием безопасности и каждым клиническим исследованием, в котором она применялась.

24. В отношении каждой серии новой активной фармацевтической субстанции должна быть указана следующая информация:

а) номер и размер серии;

б) дата производства;

в) адрес места производства;

г) производственный процесс;

д) содержание примесей (индивидуальное и суммарное);

е) применение серии;

ж) ссылка на используемую аналитическую методику.

6. Указание примесей в спецификации новой активной фармацевтической субстанции

25. В спецификации новой активной фармацевтической субстанции должны быть представлены перечень примесей и критерии приемлемости. Исследования стабильности, исследования по химической разработке и типовые анализы серий могут применяться для прогнозирования наличия таких примесей, которые могут проявиться в коммерческом продукте. Включение примесей в спецификацию новой активной фармацевтической субстанции должно быть основано на примесях, определенных в сериях новой активной фармацевтической субстанции, произведенных с использованием предлагаемого промышленного процесса производства.

26. Для включения примеси в спецификацию или исключения из нее необходимо представить обоснование, которое должно включать в себя обсуждение профилей примесей, наблюдаемых в сериях, используемых для исследования безопасности и клинической разработки, вместе с рассмотрением профиля примесей серий, произведенных согласно предлагаемому промышленному процессу производства. Специфицированные идентифицированные примеси должны быть включены в спецификацию вместе со специфицированными неидентифицированными примесями, присутствующими на уровне, превышающем (>) порог идентификации, указанный в таблице 1. Для примесей, которые являются крайне активными или вызывают токсические или непредвиденные фармакологические эффекты, предел количественного определения (предел обнаружения) аналитических методик должен быть соразмерен уровню, на котором должны контролироваться данные примеси. Для неидентифицированных примесей должны быть четко указаны используемая методика и все выполненные предположения (допущения), сделанные при установлении уровня примесей. Наименования неидентифицированных примесей следует приводить в виде соответствующих качественных аналитических описательных обозначений (например, в виде обозначений "неидентифицированная примесь A", "неидентифицированная примесь с относительным временем удерживания 0,9" и т.д.). В спецификацию следует включить общий критерий приемлемости, не превышающий порог идентификации для любой неспецифицированной примеси, а также критерий приемлемости для суммарного содержания примесей.

27. Критерии приемлемости должны быть установлены не выше уровня, обоснованного данными о безопасности, и должны соответствовать уровню, достигаемому производственным процессом и возможностями аналитических методик. В тех случаях, когда не установлены проблемы с безопасностью, критерии приемлемости примесей должны основываться на данных, полученных по сериям новой активной фармацевтической субстанции, произведенной в соответствии с предлагаемым промышленным процессом производства, позволяя обеспечить нормальные производственные и аналитические изменения и характеристики стабильности новой активной фармацевтической субстанции. Несмотря на то, что в процессе производства возможны стандартные отклонения, существенные различия в уровнях примесей в различных сериях могут указывать на то, что процесс производства новой активной фармацевтической субстанции недостаточно контролируется и проверяется, согласно схеме решений N 4 приложения N 1 к Руководству по составлению нормативного документа. Использование двух десятичных знаков для пороговых значений не обязательно указывает на точность критериев приемлемости для специфицированных примесей и суммарного содержания примесей.

28. Спецификация новой активной фармацевтической субстанции должна включать в себя следующий перечень примесей (если применимо):

а) органические примеси:

каждая специфицированная идентифицированная примесь;

каждая специфицированная неидентифицированная примесь;

любая неспецифицированная примесь, критерий приемлемости которой не превышает () порог идентификации примеси;

суммарное содержание примесей;

б) остаточные растворители;

в) неорганические примеси.

7. Квалификация примесей

29. Заявитель должен предоставить обоснование для установления критериев приемлемости примесей, которые включают вопросы безопасности. Уровень любой примеси, присутствующей в новой активной фармацевтической субстанции, который был надлежащим образом проверен в рамках исследований безопасности и (или) клинических исследований, будет считаться квалифицированным. Примеси, которые также являются значительными метаболитами, присутствующими в исследованиях с участием человека или на животных, обычно считаются квалифицированными. Уровень квалифицированной примеси, превышающий уровень присутствия в новой активной фармацевтической субстанции, также может быть обоснован на основании анализа фактического количества примеси, присутствующего в предыдущих исследованиях безопасности.

30. Если данные для определения предлагаемого критерия приемлемости примеси недоступны, могут быть проведены исследования для получения таких данных, когда превышены обычные пороговые значения квалификации, указанные в таблице 1.

31. Более высокие или более низкие пороги квалификации примесей могут подходить для некоторых отдельных лекарственных средств, исходя из научного обоснования и имеющейся информации о безопасности данного и родственных соединений, включая класс-специфичные эффекты и клинический опыт применения лекарственного препарата. Например, квалификация необходима при наличии доказательств того, что такие примеси в отдельных лекарственных препаратах или целых фармако-терапевтических классах лекарственных препаратов ранее были связаны с нежелательными реакциями у пациентов. В таких случаях может потребоваться более низкий порог квалификации примеси. Более высокий порог квалификации наоборот может подходить для отдельных лекарственных средств, если имеющаяся информация о безопасности данного и родственных соединений не превышает уровень безопасности по данной группе лекарственных препаратов, исходя из аналогичных соображений (например, популяции пациентов, у которой применяется лекарственный препарат, класс-специфичных эффектов этого лекарственного препарата и клинического опыта его применения). Предложения по использованию альтернативных порогов квалификации примесей рассматриваются в рамках экспертизы регистрационного досье в каждом конкретном случае.

32. Схема решений N 1 описывает действия по квалификации примесей при превышении пороговых значений. В некоторых случаях снижение содержания примеси до уровня не более чем пороговое значение может быть проще, чем предоставление данных о безопасности. В качестве альтернативы в научной литературе могут быть представлены данные, достаточные для квалификации примеси. В случае их отсутствия следует рассмотреть дополнительные меры проверки безопасности.

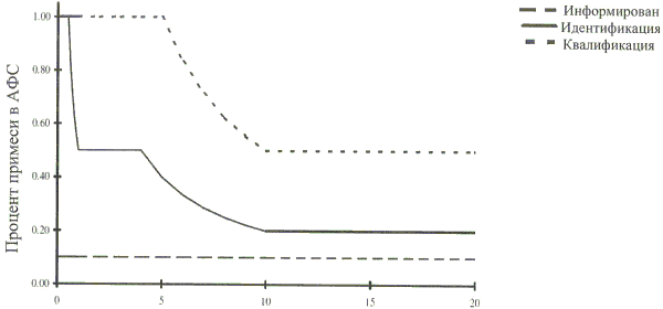
Схема решений N 1

Схема принятия решений в отношении идентификации и квалификации примесей в новых активных фармацевтических субстанциях

<1> Например, позволяют ли данные о безопасности для этой примеси или ее структурного класса, исключить воздействие на здоровье человека при имеющейся концентрации?

<2> Более низкие пороговые значения допустимы, если примесь является крайне токсичной.

<3> Если допускается данное решение, должен быть проведен минимальный скрининг (например, для определения генотоксического потенциала). Одно исследование по обнаружению точечных мутаций и одно по обнаружению хромосомных аберраций (проведенные в условиях in vitro) считаются приемлемым минимальным скринингом.

<4> При необходимости проведения исследования общей токсичности следует спроектировать одно или несколько исследований, позволяющих сравнить неквалифицированные и квалифицированные материалы. Продолжительность исследования должна основываться на имеющейся информации, и оно должно проводиться на видах, наиболее вероятно позволяющих максимально увеличить потенциал с целью обнаружения токсичности примеси. В каждом конкретном случае следует предусмотреть проведение однодозовых исследований, особенно в отношении лекарственных препаратов для однократного применения. Считается, что минимальная продолжительность исследования равна 14 дням, а максимальная продолжительность составляет 90 дней.

33. Проведение исследований, которые считаются подходящими для квалификации примеси, будет зависеть от ряда факторов, включая популяцию пациентов, суточную дозу, а также способ и продолжительность приема лекарственного препарата. Такие исследования могут проводиться с использованием новой активной фармацевтической субстанции, содержащей контролируемые примеси, хотя исследования с использованием изолированных примесей также могут быть приемлемыми.

34. Настоящие Требования не предназначены для применения на стадии разработки клинических исследований, однако на более поздних стадиях разработки лекарственного препарата предельные значения, указанные в настоящих Требованиях, допускается использовать при оценке новых примесей, наблюдаемых в сериях активной фармацевтической субстанции, произведенных согласно запланированному промышленному процессу производства. Любая новая примесь, наблюдаемая на более поздних стадиях разработки лекарственного препарата, должна быть идентифицирована, если ее уровень превышает порог идентификации, указанный в таблице 1. Точно так же следует рассмотреть квалификацию примеси, если ее уровень больше порога квалификации, приведенного в таблице 1. Исследования по безопасности для целей квалификации примеси призваны сравнивать новую активную фармацевтическую субстанцию, содержащую репрезентативное количество новой примеси, с предварительно квалифицированным материалом. Также исследования по безопасности можно рассмотреть с использованием образца изолированной примеси.

Сводная информация по результатам идентификации и квалификации примесей в регистрационном досье лекарственного препарата приведена в примере 1.

Приведенные в настоящем пункте примеры являются справочными и не предназначены для использования в качестве формы для представления результатов идентификации и квалификации примесей в регистрационном досье. Необходимо избегать предоставления результатов идентификации и квалификации примесей только в виде необработанных данных.

Пример 1

Пример 1.1. Максимальная суточная доза составляет 0,5 г

Порог информирования = 0,05%

Порог идентификации = 0,10%

Порог квалификации = 0,15%

Необработанный результат (%) Представленный результат (%)
(порог информирования = 0,05%)
Рассчитанное общее суточное поступление примеси
(округленное значение в мг)
Действие
идентификация
(превышен ли порог 0,10%?)
квалификация
(превышен ли порог 0,15%?)
0,044 не указывается 0,2 нет нет
0,0963 0,10 0,5 нет нет
0,12 0,12 <1> 0,6 да нет <1>
0,1649 0,16 <1> 0,8 да да <1>

<1> Если после идентификации определено, что коэффициент чувствительности существенно отличается от первоначальной гипотезы, следует повторно измерить фактическое количество присутствующей примеси и пересмотреть порог ее квалификации.

Пример 1.2. Максимальная суточная доза составляет 0,8 г

Порог информирования = 0,05%

Порог идентификации = 0,10%

Порог квалификации = 1,0 мг общего суточного поступления

Необработанный результат (%) Представленный результат (%)
(порог информирования = 0,05%)
Рассчитанное общее суточное поступление примесей
(округленное значение в мг)
Действие
идентификация
(превышен ли порог 0,10%?)
квалификация
(превышен ли порог 1,0 мг общего суточного поступления?)
0,066 0,07 0,6 нет нет
0,124 0,12 1,0 да нет <1>, <2>
0,143 0,14 1,1 да да <1>

<1> Если после идентификации определено, что коэффициент чувствительности существенно отличается от первоначальной гипотезы, следует повторно измерить фактическое количество присутствующей примеси и пересмотреть порог ее квалификации.

<2> Чтобы проверить, превышен ли порог, сообщаемый результат должен быть оценен с учетом пороговых значений следующим образом: когда порог описан в процентах, полученный результат округляется до того же десятичного знака, что и пороговое значение, которое должно сравниваться непосредственно с порогом. Когда пороговое значение указывается в виде общего суточного поступления, полученный результат также должен быть выражен в виде общего суточного поступления и округлен до того же десятичного знака, что и пороговое значение, после чего его необходимо сравнить с пороговым значением. Например, количество примеси на уровне 0,12% соответствует общему суточному поступлению 0,96 мг (абсолютное количество), которое затем округляется до 1,0 мг, из чего следует, что порог квалификации, выраженный в виде общего суточного поступления (1,0 мг), не был превышен.

III. Примеси в новых лекарственных препаратах

1. Общие положения и сфера применения

35. В настоящем разделе представлены указания по составлению регистрационного досье лекарственного препарата с точки зрения содержания и квалификации примесей в новых лекарственных препаратах, произведенных из новых активных фармацевтических субстанций, полученных путем химического синтеза и ранее не зарегистрированных в государствах-членах или в рамках Союза.

36. В настоящем разделе рассматриваются только те примеси в новых лекарственных препаратах, которые являются либо продуктами деградации активной фармацевтической субстанции, либо продуктами взаимодействия активной фармацевтической субстанции со вспомогательными веществами и (или) системой упаковки (укупорки). Примеси, содержащиеся в новой активной фармацевтической субстанции, как правило, не подлежат контролю или определению в новом лекарственном препарате, если только они не являются продуктами деградации.

37. Примеси, содержащиеся во вспомогательных веществах нового лекарственного препарата или экстрагируемые (вымываемые) из системы упаковки (укупорки), в настоящем разделе не рассматриваются. Положения настоящего раздела также не распространяются на новые лекарственные препараты, применяемые на этапе их клинической разработки. В настоящем разделе не рассматриваются следующие виды лекарственных препаратов:

а) биологические (биотехнологические);

б) пептидные;

в) олигонуклеотидные;

г) радиофармацевтические;

д) продукты ферментации и полусинтетические препараты, полученные из них;

е) лекарственные растительные препараты и необработанные продукты животного и растительного происхождения.

38. В настоящий раздел не входят указания для:

посторонних загрязнителей, которые не должны присутствовать в новом лекарственном препарате;

полиморфных форм;

энантиомерных примесей.

2. Сбор и указание информации о составе и контроле продуктов деградации в регистрационном досье

39. Заявителю следует собирать сводные данные о продуктах деградации, наблюдаемых во время изучения процесса производства и (или) исследований стабильности нового лекарственного препарата. Такие сводные данные должны быть основаны на достоверной научной оценке потенциальных путей биодеградации в новом лекарственном препарате и примесях, образующихся в результате его взаимодействия со вспомогательными веществами и (или) системой упаковки (укупорки). Кроме того, заявителю следует собирать сводные данные о лабораторных исследованиях, проводимых с целью обнаружения продуктов деградации в новом лекарственном препарате. Такие данные должны включать в себя результаты испытаний серий лекарственных препаратов, произведенных в процессе разработки, и серий, произведенных в предлагаемом промышленном процессе производства. Следует обосновать исключение тех примесей, которые не являются продуктами деградации (например, технологические примеси и примеси, образующиеся из вспомогательных веществ). Должно быть проведено сравнение профиля примесей серий, репрезентативных для предлагаемого промышленного процесса производства, с профилем примесей серий, которые используются в разработке. Любые различия должны быть обоснованы.

40. Любой продукт деградации, полученный в исследованиях стабильности, проводимых при рекомендуемых условиях хранения лекарственного препарата, должен быть идентифицирован, если он присутствует на уровне выше порога идентификации, указанного в таблице 2. В случае, когда идентификация примеси невозможна, в регистрационном досье лекарственного препарата должна быть представлена сводная информация о лабораторных исследованиях, демонстрирующих безуспешные попытки идентификации примеси.

Таблица 2

Пороговые значения для продуктов деградации в новых лекарственных препаратах

Максимальная суточная доза <1> Пороговое значение <2>
Порог информирования продуктов деградации
1 г 0,10%
> 1 г 0,05%
Порог идентификации продуктов деградации
< 1 мг 1,0% или 5 мкг ОСП <3>
(в зависимости от того, что меньше)
1 - 10 мг 0,5% или 20 мкг ОСП
(в зависимости от того, что меньше)
> 10 мг - 2 г 0,2% или 2 мг ОСП
(в зависимости от того, что меньше)
> 2 г 0,10%
Порог квалификации продуктов деградации
< 10 мг 1,0% или 50 мкг ОСП
(в зависимости от того, что меньше)
10 - 100 мг 0,5% или 200 мкг ОСП
(в зависимости от того, что меньше)
> 100 мг - 2 г 0,2% или 3 мг ОСП
(в зависимости от того, что меньше)
> 2 г 0,15%

<1> Количество вводимой (принимаемой) в сутки активной фармацевтической субстанции (действующего вещества).

<2> Пороговые значения для продуктов деградации выражены либо в процентах от содержания активной фармацевтической субстанции, либо в виде общего суточного поступления (ОСП) продукта деградации. Более низкие пороговые значения применимы, если продукт деградации является высокотоксичным. Более высокие пороговые значения должны быть научно обоснованы.

<3> Общее суточное поступление.

41. Пороги информирования, идентификации и квалификации продуктов деградации в новых лекарственных препаратах в зависимости от максимальной суточной дозы приведены в примере 2. Фактические пороговые значения при построении графиков должны быть взяты из таблицы 2.

Пример 2

Шкала суточных доз в диапазоне 0 - 2500 мг

Максимальная суточная доза АФС, в мг

Увеличенный масштаб шкалы суточных доз в диапазоне 0 - 20 мг

Максимальная суточная доза АФС, в мг

42. Идентификация продуктов деградации, присутствующих на уровне не выше порога идентификации, не считается необходимой. При этом следует разработать аналитические методики для тех потенциальных примесей, которые могут быть активными и способны привести к токсическим или нежелательным фармакологическим эффектам на уровне не выше порога идентификации. В исключительных случаях при обосновании выбора альтернативных пороговых значений на основе производственного опыта вместе с предлагаемым промышленным процессом производства следует рассматривать технические факторы (например, производственные возможности, низкое соотношение активной фармацевтической субстанции к вспомогательным веществам или использование вспомогательных веществ, которые являются сырьем животного или растительного происхождения).

3. Аналитические методики

43. Регистрационное досье лекарственного препарата должно включать документальное подтверждение того, что аналитические методики валидированы и пригодны для обнаружения и определения количественного содержания продуктов деградации. В частности, аналитические методики должны пройти валидацию, чтобы продемонстрировать специфичность аналитической методики в отношении специфицированных и неспецифицированных продуктов деградации. По мере необходимости такая валидация должна включать образцы, хранящиеся в стрессовых условиях: под воздействием света, воздействием тепла, воздействием влажности, при кислотном гидролизе (гидролизе в щелочных условиях) и окислении. Если аналитическая методика позволяет обнаружить в записи результата анализа наличие других аналитических пиков кроме продуктов деградации (например, активная фармацевтическая субстанция, технологические примеси, вспомогательные вещества и примеси, образующиеся из вспомогательных веществ), такие пики должны быть обозначены на хроматограммах и их происхождение должно быть описано в документах по валидации.

44. Предел количественного определения для целей аналитической методики должен быть не выше () порога информирования.

45. Уровни содержания продуктов деградации могут быть определены различными методами, включая методы, которые сравнивают аналитический отклик продукта деградации с откликом соответствующего стандартного образца или с откликом самой новой активной фармацевтической субстанции. Стандартные образцы, применяемые в аналитических методиках контроля продуктов деградации, должны оцениваться и характеризоваться в соответствии с их предполагаемым использованием. Для оценки уровня содержания продуктов деградации в качестве стандартного образца может использоваться сама активная фармацевтическая субстанция. В тех случаях, когда коэффициенты чувствительности активной фармацевтической субстанции и соответствующего продукта деградации существенно отличаются друг от друга, данная практика считается приемлемой при условии применения поправочного коэффициента, в противном случае фактическое содержание продуктов деградации будет оценено некорректно. Критерии приемлемости и аналитические методики, используемые для оценки идентифицированных или неидентифицированных продуктов деградации, часто основываются на аналитических предположениях (например, эквивалентном отклике детектора). Такие предположения (допущения) должны быть описаны в регистрационном досье лекарственного препарата.

46. Также должны быть проанализированы различия между аналитическими методиками, используемыми в ходе разработки, и методиками, предлагаемыми в отношении промышленных серий лекарственного препарата.

4. Информирование о содержании продуктов деградации в сериях нового лекарственного препарата

47. В регистрационном досье лекарственного препарата должны быть представлены аналитические результаты для всех серий нового лекарственного препарата, используемого для клинических исследований, исследований безопасности и стабильности, а также для серий, являющихся репрезентативными для предлагаемого промышленного процесса производства. Количественные результаты должны быть представлены в числовом выражении, а не в общих терминах, таких как "соответствует", "в пределах" и т.д. Информация о любом продукте деградации с уровнем содержания, превышающим (>) порог информирования, указанный в таблице 2 и суммарном содержании продуктов деградации, наблюдаемом в этих сериях нового лекарственного препарата, должна быть представлена вместе с используемыми аналитическими методиками. Результаты ниже 1,0% указываются с точностью до двух десятичных знаков (например, 0,06%, 0,13%), результаты на уровне и выше 1,0% указываются с точностью до одного десятичного знака (например, 1,3%). Результаты должны быть округлены согласно правилам округления, в соответствии с примером 3, приведенным в пункте 63 настоящих Требований. Следует заносить данные в таблицу (например, в сводную таблицу). Продуктам деградации присваиваются кодовые номера или соответствующие характеристики (например, время удерживания). Если предлагается более высокий порог информирования, он должен быть полностью обоснован. Все продукты деградации на уровне, превышающем (>) порог информирования, должны быть суммированы и представлены как суммарное содержание продуктов деградации.

48. Должны быть представлены хроматограммы с обозначенными пиками (или эквивалентными данными, если используются другие аналитические методики) для репрезентативных серий, включая хроматограммы, полученные в ходе исследований валидации аналитических методик, а также из долгосрочных и ускоренных исследований стабильности. Заявитель должен обеспечить предоставление в случае запроса полных профилей продуктов деградации (например, в виде хроматограмм) отдельных серий.

49. Для каждой серии нового лекарственного препарата, описанной в регистрационном досье, документация должна включать следующую информацию:

а) номер и размер серии;

б) дату производства;

в) адрес места производства;

г) производственный процесс;

д) система упаковки (укупорки);

е) содержание продуктов деградации (суммарное и каждого продукта в отдельности);

ж) назначение серии лекарственного препарата (например, для клинических исследований, для исследований стабильности);

з) ссылку на используемую аналитическую методику;

и) номер серии активной фармацевтической субстанции, используемой в новом лекарственном препарате;

к) условия хранения при исследованиях стабильности.

5. Указание продуктов деградации в спецификации

50. Спецификация нового лекарственного препарата должна включать в себя перечень продуктов деградации, которые, как ожидается, будут образовываться в процессе производства промышленных серий и при хранении в рекомендуемых условиях. Для характеристики профиля продуктов деградации следует использовать результаты исследования стабильности, сведения о путях деградации, результаты исследования по разработке лекарственного препарата и лабораторных исследований. Отбор продуктов деградации в спецификацию нового лекарственного препарата должен осуществляться среди продуктов деградации, обнаруженных в сериях, произведенных предлагаемым промышленным процессом производства. Специфицированные продукты деградации могут быть идентифицированными или неидентифицированными. Необходимо представить обоснование для включения продуктов деградации в спецификацию или их исключения из нее.

51. Обоснование, указанное в пункте 50 настоящих Требований, должно включать описание профилей продуктов деградации, наблюдаемых в сериях лекарственного препарата, используемых при исследовании безопасности, стабильности и клинической разработке, а также рассмотрение профиля продуктов деградации серий, изготовленных согласно предлагаемому промышленному процессу производства. Специфицированные идентифицированные продукты деградации должны быть включены вместе со специфицированными неидентифицированными продуктами деградации, оцененными как присутствующие на уровне, превышающем (>) порог идентификации, указанный в таблице 2. Для продуктов деградации, которые, как установлено, являются активными и приводят к токсическим или фармакологическим эффектам на уровне не выше () порога идентификации, предел количественного определения (предел обнаружения) из аналитических методик должен быть соразмерен концентрации нового исследуемого лекарственного препарата, в которой должен осуществляться контроль продуктов деградации. Для неидентифицированных продуктов деградации должна быть четко указана используемая методика и предположения (допущения), сделанные при установлении уровня продуктов деградации. Специфицированные неидентифицированные продукты деградации должны описываться соответствующим качественным аналитическим описательным обозначением (например, "неидентифицированный продукт деградации A", "неидентифицированный продукт деградации с относительным временем удерживания 0,9"). Также следует включить общий критерий приемлемости не выше () порога идентификации, указанный в таблице 2 для любого неспецифицированного продукта деградации и критерий приемлемости для суммарного содержания продуктов деградации.

52. Критерий приемлемости для конкретного продукта деградации должен устанавливаться с учетом критерия приемлемости такого продукта в активной фармацевтической субстанции (если применимо), его квалифицированного уровня, его увеличения в ходе исследований стабильности и предлагаемого срока годности (срока хранения), а также рекомендуемых условий хранения для нового лекарственного препарата. Кроме того, каждый критерий приемлемости должен быть установлен не выше, чем квалифицированный уровень данного продукта деградации.

53. В случае, отсутствия проблем, связанных с безопасностью, критерии приемлемости продуктов деградации должны основываться на данных, полученных в отношении серий нового лекарственного препарата, изготовленного в соответствии с предлагаемым промышленным процессом производства, с проведением при необходимости рутинных производственных и аналитических изменений и обеспечением заданных характеристик стабильности нового лекарственного препарата. Несмотря на то, что в процессе производства ожидаются стандартные отклонения, существенные различия в уровнях продуктов деградации от серии к серии могут указывать на то, что процесс производства нового лекарственного препарата недостаточно контролируется и проверяется (используется схема решений N 5 приложения N 1 к Руководству по составлению нормативного документа).

54. Указание пороговых значений с точностью до двух десятичных знаков не обязательно указывает на точность критериев приемлемости для специфицированных продуктов деградации и общего содержания продуктов деградации.

55. В спецификацию нового лекарственного препарата включается следующий перечень продуктов деградации (если применимо):

а) каждый специфицированный идентифицированный продукт деградации;

б) каждый специфицированный неидентифицированный продукт деградации;

в) любой неспецифицированный продукт деградации, критерий приемлемости которого составляет не выше () порога идентификации;

г) суммарное содержание продуктов деградации.

6. Квалификация продуктов деградации

56. Заявитель должен предоставить обоснование для установления критериев приемлемости продуктов деградации, которое включает в себя оценку безопасности продуктов деградации.

57. Уровень содержания любого продукта деградации, присутствующего в новом лекарственном препарате, который был надлежащим образом проверен в рамках исследований безопасности и (или) клинических исследований, будет считаться квалифицированным. Поэтому следует включить любую имеющуюся информацию о фактическом содержании продуктов деградации в соответствующих сериях лекарственного препарата во время исследований безопасности и (или) клинических исследований. Продукты деградации, которые также являются значительными метаболитами, присутствующими в доклинических и (или) клинических исследованиях, обычно считаются квалифицированными. Продукты деградации могут считаться квалифицированными в более высоких концентрациях, чем те, которые применяются в исследованиях безопасности на основе сравнения фактических доз, приведенных в исследованиях безопасности, и предполагаемой дозы нового лекарственного препарата. Обоснование таких более высоких уровней должно включать описание следующих факторов:

количество продукта деградации, введенного в предыдущих исследованиях безопасности и (или) клинических исследованиях, и которое считается безопасным;

увеличение количества продукта деградации;

другие факторы безопасности, в зависимости от ситуации.

58. Если пороги квалификации, указанные в таблице 2, превышены, а данные для определения предлагаемого критерия приемлемости продукта деградации недоступны, для получения таких данных могут быть проведены дополнительные исследования.

59. Более высокие или более низкие пороги квалификации продуктов деградации могут подходить для некоторых отдельных новых лекарственных препаратов, исходя из научного обоснования и уровня предельно допустимой концентрации, включая класс-специфичные эффекты и клинический опыт. Например, квалификация может быть особенно важна при наличии доказательств того, что такие продукты деградации в некоторых новых лекарственных препаратах или фармакотерапевтических классах ранее были связаны с нежелательными реакциями у пациентов. В этих случаях может потребоваться более низкий порог квалификации. И наоборот, более высокий порог квалификации может подходить для отдельных новых лекарственных препаратов, если согласно имеющейся информации уровень безопасности данного и родственных соединений не превышает уровень безопасности по данной группе лекарственных препаратов, исходя из аналогичных соображений (например, популяции пациентов, у которой применяется лекарственный препарат, класс-специфичных эффектов этого лекарственного препарата и клинического опыта его применения). Предложения по альтернативным порогам квалификации рассматриваются в каждом конкретном случае при экспертизе регистрационного досье лекарственного препарата.

60. Схема решений N 2 описывает действия по квалификации продуктов деградации при превышении пороговых значений. В некоторых случаях, снижение содержания продукта деградации (например, при использовании более защищенной системы упаковки (укупорки) или условия хранения) до уровня не выше (), чем пороговое значение, может быть проще, чем предоставление данных о безопасности. В качестве альтернативы в научной литературе могут быть представлены достаточные данные для квалификации продукта деградации. В противном случае следует рассмотреть дополнительные меры проверки безопасности. Проведение исследований, которые считаются подходящими для квалификации продукта деградации, будет зависеть от ряда факторов, включая популяцию пациентов, суточную дозу, а также способ и продолжительность приема нового лекарственного препарата. Такие исследования могут проводиться с использованием нового лекарственного препарата, содержащего контролируемые продукты деградации, хотя исследования с использованием изолированных продуктов деградации также могут быть приемлемыми.

Схема решений N 2

Принятие решений в отношении идентификации и квалификации продуктов деградации в новых лекарственных препаратах

<1> Более низкие пороговые значения могут считаться применимыми, если продукт деградации является высокотоксичным.

<2> Например, позволяют ли данные о безопасности для этого продукта деградации или его структурного класса исключить воздействие на здоровье человека при имеющейся концентрации.

<3> Если считается целесообразным, должен быть проведен минимальный скрининг (например, для определения генотоксического потенциала). Одно исследование по обнаружению точечных мутаций и одно по обнаружению хромосомных аберраций (оба проводятся в условиях in vitro) считаются приемлемым минимальным скринингом.

<4> При необходимости проведения исследования общей токсичности следует спроектировать одно или несколько исследований, позволяющих сравнить неквалифицированные и квалифицированные материалы. Продолжительность исследования должна основываться на соответствующей информации, и оно должно проводиться на видах, наиболее вероятно позволяющих максимально увеличить потенциал с целью обнаружения токсичности продукта деградации. В каждом конкретном случае может считаться целесообразным проведение однодозовых исследований, особенно в отношении лекарственных препаратов для однократного применения. По общему правилу считается, что минимальная продолжительность исследования равна 14 дням, а максимальная продолжительность составляет 90 дней.

61. Подход к определению пороговых значений, предусмотренный настоящими Требованиями, не предназначен для применения на стадии клинического исследования, но применим к оценке новых продуктов деградации, наблюдаемых:

в сериях новых лекарственных препаратов, произведенных предлагаемым промышленным процессом производства;

на более поздних стадиях разработки лекарственного препарата.

Любой новый продукт деградации, наблюдаемый на более поздних стадиях разработки лекарственного препарата, должен быть идентифицирован, если его уровень превышает (>) порог идентификации, указанный в таблице 2. Точно так же следует рассмотреть квалификацию продукта деградации, если его уровень превышает (>) порог квалификации, указанный в таблице 2.

62. Исследования по безопасности предназначены для того, чтобы предоставить данные сравнения результатов исследования безопасности нового лекарственного препарата или новой активной фармацевтической субстанции, содержащей репрезентативный уровень продукта деградации, с предварительно квалифицированным материалом. Также могут быть рассмотрены исследования с использованием изолированных продуктов деградации.

63. Информация о предоставлении сводной информации по результатам идентификации и квалификации продуктов деградации в регистрационном досье приведена в примере 3.

Приведенные в настоящем пункте примеры являются справочными и не предназначены для использования в качестве формы для представления результатов идентификации и квалификации примесей в регистрационном досье. Необходимо избегать представления результатов идентификации и квалификации примесей только в виде необработанных данных.

Пример 3

Пример 3.1. Максимальная суточная доза составляет 50 мг

Порог информирования: 0,1%

Порог идентификации: 0,2%

Порог квалификации: 200 мкг

Необработанные результаты (%) Представленный результат (%) (порог информирования = 0,1%) Общее суточное поступление продукта деградации (округленное значение в мкг) Действие
идентификация (превышен ли порог 0,2%?) квалификация (превышен ли порог 200 мкг общего суточного поступления?)
0,04 не указывается 20 нет нет
0,2143 0,2 100 нет нет
0,349 0,3 <1> 150 да нет <1>
0,550 0,6 <1> 300 да да <1>

<1> Если после идентификации будет определено, что коэффициент отклика существенно отличается от первоначальных предположений (допущений), следует повторно измерить фактическое количество присутствующего продукта деградации и пересмотреть его порог квалификации.

Пример 3.2. Максимальная суточная доза составляет 1.9 г

Порог информирования: 0,05%

Порог идентификации: 2 мг

Порог квалификации: 3 мг

Необработанный результат (%) Представленный результат (%) (порог информирования = 0,05%) Общее суточное поступление продукта деградации (округленное значение в мг) Действие
идентификация (превышен ли порог 2 мг общего суточного поступления?) квалификация (превышен ли порог 3 мг общего суточного поступления?)
0,049 не указывается 1 нет нет
0,079 0,08 2 нет нет
0,183 0,18 <1> 3 да нет <1>, <2>
0,192 0,19 <1> 4 да да <1>

<1> Если после идентификации будет определено, что коэффициент отклика существенно отличается от первоначальных предположений (допущений), следует повторно измерить фактическое количество присутствующего продукта деградации и пересмотреть его порог квалификации.

<2> Чтобы проверить, превышено ли пороговое значение, регистрируемый результат должен быть оценен с учетом пороговых значений следующим образом: если порог указывается в процентах, полученный результат округляется до того же десятичного знака, что и пороговое значение, которое должно сравниваться непосредственно с порогом. Если пороговое значение указывается в виде общего суточного поступления, полученный результат также должен быть выражен в виде общего суточного поступления и округлен до того же десятичного знака, что и пороговое значение, после этого он сравнивается с пороговым значением. Например, количество продукта деградации на уровне 0,18% соответствует общему суточному поступлению 3,4 мг примеси (абсолютное количество), которое затем округляется до 3 мг, из чего следует, что порог квалификации, выраженный в виде общего суточного поступления (3 мг), не был превышен.

IV. Остаточные растворители

1. Общие положения и сфера применения

64. В настоящем разделе приведены указания по приемлемому с точки зрения безопасности пациента и токсикологических свойств растворителя содержанию остаточных растворителей в лекарственных средствах и вспомогательных веществах. В процессе производства необходимо обеспечить использование менее токсичных растворителей.

65. Растворители не могут быть полностью удалены с помощью производственных методов. Выбор растворителя при производстве активной фармацевтической субстанции может увеличить ее выход или повлиять на ее характеристики, такие как кристаллическая форма, чистота и растворимость, поэтому растворитель в некоторых случаях может являться критичным параметром процесса синтеза. В настоящем разделе не рассматриваются сольваты, а также растворители, намеренно используемые в качестве вспомогательных веществ. Вместе с тем содержание таких растворителей в лекарственных препаратах необходимо оценивать и обосновывать.

66. Поскольку остаточные растворители не имеют полезного терапевтического действия, все они подлежат удалению с целью установления соответствия требованиям спецификации лекарственного препарата, требованиям Правил надлежащей производственной практики или другим актам органов Союза, содержащим требования, предъявляемые к качеству лекарственных препаратов. Содержание остаточных растворителей в лекарственном препарате не должно превышать значений, обоснованных данными о безопасности лекарственного препарата. При производстве активных фармацевтических субстанций, вспомогательных веществ и лекарственных препаратов следует избегать использования растворителей, имеющих высокую токсичность (класс 1, таблица 5), за исключением случаев, если отсутствует обоснование с точки зрения приемлемости оценки соотношения "польза - риск". Использование растворителей, имеющих менее высокую токсичность (класс 2, таблица 6) необходимо ограничить, с целью предотвращения развития у пациентов потенциальных нежелательных реакций. Наиболее целесообразно использование менее токсичных растворителей (класс 3, таблица 7). Полный список растворителей, описанных в настоящих Требованиях, представлен в приложении N 1.

67. Перечень растворителей не является исчерпывающим, в дальнейшем в него могут быть включены другие растворители. По мере появления новых данных о безопасности рекомендуемые пределы по растворителям классов 1 и 2 или их классификационная принадлежность могут быть изменены. Обоснование безопасности применения в регистрационном досье нового лекарственного препарата, содержащего новый растворитель, не включенный в перечень, следует основывать в соответствии с положениями настоящих Требований.

68. Сфера применения настоящего раздела включает остаточные растворители, содержащиеся в активных фармацевтических субстанциях, вспомогательных веществах и лекарственных препаратах. Если известно, что процессы производства или очистки осуществляются в присутствии таких растворителей, необходимо контролировать их содержание. Следует определять те растворители, которые используются или образуются в процессе производства или очистки активных фармацевтических субстанций, вспомогательных веществ или лекарственных препаратов. Если на основании расчетов концентрация остаточных растворителей не превышает допустимого предела, приведенного в подразделе 3 настоящего раздела, проведение испытаний лекарственного препарата на содержание остаточных растворителей не требуется. Если расчетная концентрация остаточных растворителей равна или ниже допустимого предела приведенного в настоящих Требованиях, то проведение исследования лекарственного препарата на остаточные растворители не требуется. Если расчетная концентрация остаточных растворителей выше рекомендуемого допустимого предела, необходимо проведение контроля лекарственного препарата на содержание остаточных растворителей, с целью установления способствует ли процесс производства уменьшению уровня данного растворителя до приемлемого уровня. Проведение исследования лекарственного препарата также необходимо, если растворитель используется в процессе его производства.

69. Положения настоящего раздела не распространяются на потенциально новые активные фармацевтические субстанции, вспомогательные вещества и лекарственные препараты, находящиеся на стадии клинических исследований, и на зарегистрированные лекарственные препараты.

70. Положения настоящего раздела распространяются на все лекарственные формы лекарственных препаратов независимо от путей их введения. В случаях краткосрочного (30 дней или меньше) или наружного применения лекарственного препарата, допускается более высокое содержание остаточных растворителей. Оценка таких уровней проводится в каждом конкретном случае.

2. Общие принципы оценки остаточных растворителей

Классификация остаточных растворителей по степени риска

71. Используемое для описания допустимых норм воздействия токсичных химических реактивов в настоящих Требованиях понятие "допустимое суточное воздействие", является аналогом понятий "максимально допустимое суточное потребление" (ДЕП, tolerable daily intake, TDI) Международной программы по химической безопасности (International Program on Chemical Safety, IPCS) и "приемлемый уровень суточного потребления" (ПУСП, acceptable daily intake, ADI) Всемирной организации здравоохранения (ВОЗ) и может быть при расчетах заменено значениями этих показателей.

72. Остаточные растворители, приведенные в приложении N 1 к настоящим Требованиям и прошедшие оценку с точки зрения наличия степени возможного риска для здоровья человека, подразделяются на следующие классы:

а) класс 1 "Растворители, использование которых необходимо избегать (высокотоксичные растворители)". К указанному классу относятся растворители с известной канцерогенностью для человека, высокой вероятностью ее наличия и опасные для окружающей среды;

б) класс 2 "Растворители, использование которых необходимо ограничивать (негенотоксичные растворители)". К указанному классу относятся растворители, обладающие негенотоксичной канцерогенностью для животных, или растворители, являющиеся возможной причиной таких необратимых явлений (обладающие предполагаемой канцерогенностью), как нейротоксичность или тератогенность, а также растворители, предположительно оказывающие значительное, но обратимое токсическое действие;

в) класс 3 "Растворители низкой токсичности (малотоксичные растворители)". К указанному классу относятся растворители с низкой токсичностью для человека, для которых не требуется устанавливать их предельное содержание, обусловленное информацией о риске для здоровья человека и уровень допустимого суточного воздействия которых составляет 50 мг/сут и более.

Методы установления допустимого суточного воздействия остаточных растворителей

73. Методы установления допустимого суточного воздействия остаточных растворителей представлены в приложении N 3 к настоящим Требованиям.

Способы расчета предельного содержания растворителей класса 2 в лекарственном средстве

74. Для установления предельного содержания растворителей класса 2 применяются следующие способы расчета:

способ 1. Используются допустимые нормы концентрации (в ppm) (таблица 6), которые были рассчитаны по следующей формуле (исходя из предположения, что суточное потребление лекарственного препарата составляет 10 г):

Эти допустимые нормы остаточных растворителей рассматриваются как приемлемые для активных фармацевтических субстанций, вспомогательных веществ и лекарственных препаратов. Поэтому этот способ допускается применять, если суточная доза неизвестна или не установлена. Если содержание остаточных растворителей во вспомогательных веществах и активных фармацевтических субстанциях, входящих в состав лекарственного препарата, не превышает допустимую норму, установленную с использованием способа 1, то допускается использование этих компонентов в любой пропорции. Если суточная доза лекарственного средства не превышает 10 г, то дальнейшие расчеты не требуются. Определение предельного содержания остаточных растворителей в лекарственных препаратах, которые принимаются в дозах, превышающих 10 г, должно проводиться с использованием способа 2;

способ 2. Применяется в случае, когда нет необходимости, чтобы содержание остаточных растворителей в каждом компоненте лекарственного препарата соответствовало допустимым нормам, рассчитанным с использованием способа 1. При применении этого способа необходимо определить предельный уровень содержания остаточного растворителя в лекарственном препарате по формуле, указанной в настоящем пункте, используя допустимый показатель суточного воздействия (мг/сут), приведенный в таблице 6, и известное значение максимальной суточной дозы лекарственного препарата. Такие допустимые нормы являются приемлемыми при условии, что показано снижение содержания остаточного растворителя до минимума, который достигается практически. Допустимые нормы должны быть реализуемы с точки зрения необходимой аналитической точности, производственных возможностей, рутинных изменений производственного процесса, а также должны отвечать современным производственным стандартам.

Способ 2 предусматривает суммирование количества остаточного растворителя, присутствующего в каждом компоненте лекарственного препарата. Суммарное содержание растворителя в сутки должно быть меньше допустимого суточного воздействия.

В пунктах 75 и 76 настоящих Требований рассмотрено на примерах использование способов 1 и 2 для расчета предельного содержания ацетонитрила в лекарственном препарате.

75. Пример 1. Допустимое суточное воздействие для ацетонитрила составляет - 4,1 мг/сут. Таким образом, его допустимая норма с использованием способа 1 составляет 410 ppm. Максимально потребляемая масса лекарственного препарата в сутки составляет 5,0 г. Лекарственный препарат содержит два вспомогательных вещества. Состав лекарственного препарата и расчетное предельное содержание ацетонитрила приведены в таблице 3.

Таблица 3

Состав лекарственного средства и расчетное предельное содержание ацетонитрила

Компонент Количество в составе, г Содержание ацетонитрила, ppm Суточное воздействие, мг
Активная фармацевтическая субстанция 0,3 800 0,24
Вспомогательное вещество 1 0,9 400 0,36
Вспомогательное вещество 2 3,8 800 3,04
Лекарственный препарат 5,0 728 3,64

Концентрация ацетонитрила во вспомогательном веществе 1 не превышает допустимую норму, установленную способом 1, указанным в пункте 74, но его концентрация в активной фармацевтической субстанции, вспомогательном веществе 2 и в лекарственном препарате не отвечает установленной норме. Поскольку содержание ацетонитрила в лекарственном препарате установленное с использованием способа 2, не превышает допустимую суточную норму 4,1 мг/сут, следует сделать заключение, что содержание остаточного растворителя в лекарственном препарате соответствует настоящим Требованиям.

76. Пример 2. Максимально потребляемая масса лекарственного препарата в сутки составляет 5,0 г. Лекарственный препарат содержит два вспомогательных вещества. Состав лекарственного препарата и расчетное предельное содержание ацетонитрила приведены в таблице 4.

Таблица 4

Состав лекарственного препарата и расчетное предельное содержание ацетонитрила

Компонент Количество в составе, г Содержание ацетонитрила, ppm Суточное воздействие, мг
Активная фармацевтическая субстанция 0,3 800 0,24
Вспомогательное вещество 1 0,9 2000 1,80
Вспомогательное вещество 2 3,8 800 3,04
Лекарственный препарат 5,0 1016 5,08

В данном примере концентрация ацетонитрила в лекарственном препарате не превышает допустимую норму установленную как с использованием способа 1, так и с использованием способа 2. Производителю необходимо провести испытания лекарственного препарата, чтобы определить, снижает ли процесс производства содержание ацетонитрила. Если же содержание ацетонитрила не уменьшается в процессе производства до допустимой нормы, производителю необходимо принять меры для уменьшения концентрации ацетонитрила в лекарственном препарате. Если предпринятые меры не позволяют снизить содержание остаточного растворителя, то в исключительных случаях производитель может подготовить отчет о принятых мерах, направленных на уменьшение содержания растворителя до допустимой нормы, и провести анализ соотношения "польза - риск", для получения разрешения на регистрацию лекарственного препарата, имеющего более высокое содержание остаточного растворителя.

Аналитические методики

77. Остаточные растворители, как правило, определяются с использованием хроматографических методов (например, газовой хроматографии). Для определения содержания остаточных растворителей могут использоваться методики, приведенные в Фармакопее Евразийского экономического союза, утвержденной Решением Коллегии Евразийской экономической комиссии от 11 августа 2020 г. N 100 (далее - Фармакопея Союза), а при отсутствии в ней - методики, описанные в фармакопеях государств-членов. Производители вправе выбирать наиболее подходящую валидированную аналитическую методику для конкретного лекарственного препарата. При наличии только растворителей класса 3 допускается применение неспецифических методов контроля (например, потеря в массе при высушивании).

78. Валидация методик контроля остаточных растворителей должна проводиться в соответствии с Руководством по валидации аналитических методик проведения испытаний лекарственных средств.

Информация о содержании остаточных растворителей

79. В целях выполнения положений настоящих Требований производитель лекарственных препаратов должен располагать точной информацией о содержании остаточных растворителей во вспомогательных веществах и активных фармацевтических субстанциях. Информация о содержании остаточных растворителей, которая может передаваться производителям лекарственных средств от поставщиков (производителей) активных фармацевтических субстанций или вспомогательных веществ, может быть представлена в следующих вариантах:

а) могут присутствовать остаточные растворители только класса 3. Потеря в массе при высушивании менее 0,5%;

б) могут присутствовать остаточные растворители только класса 2. Содержание каждого из них не превышает предельного содержания, рассчитанного с применением способа 1 (далее поставщик указывает наименование каждого из остаточных растворителей);

в) могут присутствовать остаточные растворители классов 2 и 3. Содержание каждого из растворителей класса 2 не превышает предельного содержания, рассчитанного с применением способа 1, а содержание растворителей класса 3 составляет менее 0,5%.

80. При наличии остаточных растворителей класса 1, каждый из них должен быть идентифицирован и определен количественно.

81. При наличии остаточных растворителей класса 2 в количестве выше уровня предельного содержания, рассчитанного с применением способа 1, а также если содержание остаточных растворителей класса 3 превышает 0,5%, каждый из них должен быть идентифицирован и определен количественно.

82. Указания, приведенные в пунктах 79 - 81 относятся как к растворителям, используемым на заключительном этапе производства, так и к тем растворителям, которые используются на ранних стадиях производства и полностью не удаляются утвержденным (валидированным) процессом производства.

3. Предельное содержание остаточных растворителей

Растворители, использование которых необходимо избегать

83. Растворители класса 1 не должны использоваться в производстве активных фармацевтических субстанций, вспомогательных веществ и лекарственных препаратов из-за высокой токсичности и вредного воздействия на окружающую среду. Однако, если использование растворителей класса 1 неизбежно для производства лекарственного препарата, имеющего значительный терапевтический эффект, их предельное содержание должно быть ограничено в соответствии с таблицей 5 при отсутствии иного обоснования. 1,1,1-Трихлорэтан включен в таблицу 5, поскольку представляет опасность для окружающей среды. Установленный допустимый предел концентрации в 1500 ppm основан на обзоре данных о безопасности.

Таблица 5

Растворители класса 1 в активных фармацевтических субстанциях, вспомогательных веществах и лекарственных препаратах (растворители, использование которых необходимо избегать)

Растворитель Предел концентрации, ppm Влияние
Бензол 2 канцероген
Тетрахлорметан 4 токсичен и опасен для окружающей среды
1,2-дихлорэтан 5 токсичен
1,1-дихлорэтен 8 токсичен
1,1,1-трихлорэтан 1500 опасен для окружающей среды

Растворители, использование которых необходимо ограничивать

84. Содержание растворителей класса 2, приведенных в таблице 6, необходимо ограничивать в лекарственных средствах вследствие токсичности. Данные допустимого суточного воздействия приведены с точностью до 0,1 мг/сут, а предел их концентрации - до 10 ppm. Установленные значения не отражают необходимую аналитическую точность определения. Точность должна быть установлена в процессе валидации методик.

Таблица 6

Растворители класса 2 в активных фармацевтических субстанциях, вспомогательных веществах и лекарственных препаратах

Растворитель Допустимое суточное воздействие, мг/сут Предел концентрации, ppm
Ацетонитрил 4,1 410
Гексан 2,9 290
N,N-диметилацетамид 10,9 1090
N,N-диметилформамид 8,8 880
1,2-диметоксиэтан 1 100
1,4-диоксан 3,8 380
Дихлорметан 6 600
1,2-дихлорэтен 18,7 1870
Ксилол <*> 21,7 2170
Кумол 0,7 70
Метанол 30 3000
Метилбутилкетон 0,5 50
Метилизобутилкетон 45 4500
N-метилпирролидон 5,3 530
Метилциклогексан 11,8 1180
2-метоксиэтанол 0,5 50
Нитрометан 0,5 50
Пиридин 2 200
Сульфолан 1,6 160
Тетрагидрофуран 7,2 720
Тетралин 1 100
1,1,2-трихлорэтилен 0,8 80
Толуол 8,9 890
Формамид 2,2 220
Хлорбензол 3,6 360
Хлороформ 0,6 60
Циклогексан 38,8 3880
Этиленгликоль 6,2 620
2-этоксиэтанол 1,6 160

<*> Указанные нормы применимы к ксилолу, представляющему собой смесь 60% м-ксилола, 14% n-ксилола, 9% о-ксилола и 17% этилбензола.

Растворители низкой токсичности (малотоксичные растворители)

85. Растворители класса 3, представленные в таблице 7, относятся к малотоксичным растворителям и обладают меньшим риском для здоровья человека. К классу 3 не относятся растворители, безопасные для здоровья человека, в концентрациях, которые обычно допускаются в лекарственных препаратах. Однако для многих растворителей класса 3 не проводилось долгосрочное изучение токсичности или канцерогенности. Имеющиеся данные указывают на меньшую степень токсичности в ходе проведения исследований токсичности при однократном применении или в ходе проведения краткосрочных испытаний и дают отрицательный результат в испытаниях на генотоксичность (не проявляют генотоксичность). Считается, что суточное содержание этих остаточных растворителей, равное 50 мг/сут или меньше (соответствует 5000 ppm или 0,5%, при расчете по способу 1), приемлемо без наличия обоснования безопасности их применения. Более высокие значения также допустимы при условии, что они определяются возможностями производства, которое отвечает требованиям Правил надлежащей производственной практики.

Таблица 7

Растворители класса 3, применение которых должно быть ограничено в соответствии с требованиями Правил надлежащей производственной практики или Фармакопеи Союза

Растворители Растворители
Анизол Метилэтилкетон
Ацетон Муравьиная кислота
1-Бутанол Пентан
2-Бутанол 1-Пентанол
Бутилацетат 1-Пропанол
трет-Бутилметиловый эфир 2-Пропанол
Гептан Пропилацетат
Диметилсульфоксид Триэтиламин
Изобутилацетат Уксусная кислота
Изопропилацетат Этанол
Метилацетат Этилацетат
3-Метил-1-бутанол Этиловый эфир
2-Метил-1-пропанол Этилформиат

Растворители 3 класса, для которых отсутствуют достаточные токсикологические данные

86. Растворители, представленные в таблице 8, могут также представлять интерес для производителей вспомогательных веществ, активных фармацевтических субстанций или лекарственных препаратов. Однако для них отсутствуют обоснованные данные о токсичности. Производители должны сами обосновывать остаточные уровни содержания этих растворителей в активных фармацевтических субстанциях, вспомогательных веществах и лекарственных препаратах.

Таблица 8

Растворители 3 класса, для которых отсутствуют достаточные токсикологические данные

Растворители Растворители
1,1-Диметоксиметан Метилизопропилкетон
2,2-Диметоксипропан Метилтетрагидрофуран
1,1-Диэтоксипропан Петролейный эфир
Изооктан Трифторуксусная кислота
Изопропиловый эфир Трихлоруксусная кислота

V. Примеси элементов

1. Общие положения и сфера применения

87. Примеси элементов в лекарственных препаратах возникают из различных источников и представляют собой остаточные катализаторы, которые были намеренно добавлены в процессе химического синтеза, или представлены сопутствующими примесями (например, появляются в результате взаимодействия субстанции с производственным оборудованием или укупорочными средствами или являются частью компонентов лекарственного средства). Поскольку примеси элементов не имеют полезного терапевтического действия, необходимо контролировать уровни их содержания в лекарственных средствах и не допускать превышения допустимых пределов. От заявителя не требуется сокращать пределы содержания в соответствии с возможностями технологического процесса, если содержание примесей элементов в лекарственных средствах не превышает допустимое суточное воздействие. Допустимое суточное воздействие установленное в настоящих Требованиях, считается безопасным для здоровья пациентов. В некоторых случаях могут потребоваться более низкие уровни содержания примесей элементов, если было показано, что содержание примесей (ниже пороговых значений токсичности) оказывает влияние на другие показатели качества лекарственного средства (например, элемент катализирует деградацию активных фармацевтических субстанций). Кроме того, для элементов с высоким установленным допустимым суточным воздействием могут рассматриваться другие пределы содержания с точки зрения качества лекарственных средств с соответствии с требованиями актов органов Союза в сфере обращения лекарственных средств.

88. В настоящем разделе описывается процесс оценки и контроля содержания примесей элементов в лекарственных средствах с применением принципов управления рисками. Данный процесс представляет собой платформу для разработки стратегии контроля, основанной на учете рисков, для ограничения содержания примесей элементов в лекарственных средствах.

89. Настоящий раздел применяется к новым и известным активным фармацевтическим субстанциям получаемым путем химического синтеза и содержащим их лекарственным препаратам, к лекарственным средствам, содержащим очищенные белки и полипептиды (в том числе рекомбинантные и нерекомбинантные белки и полипептиды), их производные, продукты, компонентами которых они являются (например, конъюгаты), а также к лекарственным средствам, содержащим синтетические полипептиды, полинуклеотиды и олигосахариды.

90. Настоящий раздел не распространяется на лекарственные растительные препараты, радиофармацевтические лекарственные препараты, вакцины, продукты клеточного метаболизма, препараты ДНК, экстракты аллергенов, клетки, цельную кровь, клеточные компоненты крови или производные крови, в том числе плазму и производные плазмы, растворы для диализа, не предназначенные для введения в системный кровоток, и элементы, намеренно включенные в состав лекарственного средства для терапевтического эффекта. Настоящий раздел не распространяется на генотерапевтические лекарственные препараты на основе генов (генную терапию), тканеинженерную продукцию (продукцию тканевой инженерии), продукцию на основе соматических клеток (продукцию для терапии соматическими клетками) и продукцию, полученную из животных источников или органов (тканей) человека.

91. Настоящий раздел не распространяется на лекарственные препараты, находящиеся на клиническом этапе разработки. Использование положений, изложенных в настоящем разделе, при разработке промышленного процесса производства помогает дать оценку примесям элементов, которые могут присутствовать в новом лекарственном средстве.

2. Оценка безопасности потенциальных примесей элементов

Принципы оценки безопасности потенциальных примесей элементов при пероральном, парентеральном и ингаляционном пути введения

92. Метод, используемый для установления допустимого суточного воздействия для потенциальной примеси элемента, подробно описывается в приложении N 6 к настоящим Требованиям. Для практических целей значения допустимого суточного воздействия, применимые к лекарственным средствам и представленные в таблице 1 приложения N 7 к настоящим Требованиям, были округлены до 1 или 2 значащих цифр.

93. Анализ оценки безопасности, указывающий ключевое исследование, данные которого легли в основу установления допустимого суточного воздействия для каждого элемента, представлен в приложении N 3 к настоящим Требованиям. Ввиду отсутствия достаточных данных для установления допустимого суточного воздействия для всех путей введения Ir, Os, Rh и Ru допустимое суточное воздействие для этих элементов установлено на основе их схожести с палладием.

94. Факторы, рассматриваемые при оценке безопасности с целью установления допустимого суточного воздействия, представлены ниже в порядке убывания их значимости:

а) наиболее вероятная степень окисления элемента в лекарственном средстве;

б) воздействие на организм человека и данные о безопасности, если они содержат необходимую информацию;

в) наиболее релевантное исследование на животных;

г) путь введения;

д) релевантная конечная точка (точки).

95. Для некоторых примесей элементов, рассматриваемых в настоящем разделе, существуют нормы суточного потребления в отношении пищевых продуктов, воды, воздуха и вредных воздействий на рабочем месте. При необходимости подобные нормы допускается учитывать при оценке безопасности и установлении допустимого суточного воздействия.

96. При установлении допустимого суточного воздействия используются данные самого длительного исследования на животных. Если наиболее подходящим признается не самое длительное исследование, то при оценке безопасности в составе регистрационного досье должно быть приведено обоснование такого выбора.

97. При оценке безопасности и установлении допустимого суточного воздействия для ингаляционного пути введения необходимо предпочитать исследования, в которых использовались растворимые соли (при наличии), а не твердые частицы. Для ингаляционного пути введения допустимое суточное воздействие основывается либо на информации о местной токсичности (для дыхательной системы), либо о системной токсичности (в зависимости от того, какие данные доступны). Для допустимого суточного воздействия, установленного для ингаляционного пути введения (а также, в зависимости от обстоятельств, перорального и парентерального путей введения), дозы устанавливаются с учетом приема (введения) лекарственного препарата в течение 24 часов на протяжении 7 дней.

98. При отсутствии данных и (или) если имеющихся данных недостаточно для оценки безопасности парентерального или ингаляционного пути введения, для подсчета допустимого суточного воздействия при таких путях введения на основе данных о допустимом суточном воздействии для перорального введения необходимо использовать модифицирующие факторы, учитывающие биодоступность при пероральном введении:

а) биодоступность при пероральном введении < 1% (разделить на модифицирующий фактор 100);

б) биодоступность при пероральном введении 1%, но < 50% (разделить на модифицирующий фактор 10);

в) биодоступность при пероральном введении 50%, но < 90% (разделить на модифицирующий фактор 2);

г) биодоступность при пероральном введении 90% (разделить на модифицирующий фактор 1).

99. При отсутствии данных о биодоступности при пероральном введении или о пределах вредного воздействия на рабочем месте, используется допустимое суточное воздействие, рассчитанное путем деления допустимого суточного воздействия при пероральном введении на модифицирующий фактор 100.

Другие пути введения

100. Допустимое суточное воздействие устанавливается для перорального, парентерального и ингаляционного путей введения. Если необходимо установление допустимого суточного воздействия для других путей введения, для их вычисления используются принципы, описанные в настоящем разделе. На основе результатов, полученных в ходе проведения оценки допускается повышать или понижать установленное допустимое суточное воздействие. Процесс установления допустимого суточного воздействия для другого пути введения включает в себя:

а) выбор величины допустимого суточного воздействия при пероральном пути введения, указанной в приложении N 7 к настоящим Требованиям в качестве начальной точки для получения допустимого суточного воздействия для определенного пути введения. При наличии научного обоснования более предпочтительной начальной точкой может служить величина допустимого суточного воздействия, установленная для парентерального или ингаляционного пути введения;

б) оценку вероятности возникновения местных реакций при предполагаемом пути введения элемента:

если есть вероятность возникновения местных реакций, оценивают необходимость изменения установленного допустимого суточного воздействия и анализируют дозы (уровни) воздействия, при которых эти реакции могут быть сопоставимыми с нежелательной реакцией, которая учитывалась при установлении действующего допустимого суточного воздействия;

если местные реакции не предвидятся, то изменение утвержденного допустимого суточного воздействия не требуется;

в) оценку биодоступности элемента (при наличии возможности) при использовании предполагаемого пути введения и сравнение ее с биодоступностью элемента при использовании пути введения, для которого было установлено допустимое суточное воздействие. При наличии расхождений к утвержденному допустимому суточному воздействию применяется модифицирующий фактор. Например, если местные реакции не предвидятся, и биодоступность элемента при пероральном введении составляет 50%, а при предполагаемом пути введения - 10%, применяется модифицирующий фактор 5;

г) пересмотр ранее установленных показателей качества, если предлагаемое допустимое суточное воздействие для нового пути введения превышает ранее установленное допустимое суточное воздействие.

Обоснование уровней примесей элементов, превышающих установленное допустимое суточное воздействие

101. В некоторых случаях допускаются более высокие уровни примесей элементов, чем установленное допустимое суточное воздействие). Эти случаи включают, следующие ситуации (но не ограничены ими):

а) интермиттирующий режим дозирования;

б) краткосрочный прием (30 дней или менее);

в) специфические показания (например, применение тлекарственного препарата для лечения угрожающих жизни состояний, орфанных (редких) заболеваний и заболеваний, ранее считавшихся неизлечимыми).

102. Ниже приведены примеры обоснования повышенного уровня примеси элемента с применением субфакторного подхода к модифицирующему фактору. Допускается также использование других подходов. Каждый предлагаемый уровень, превышающий установленное допустимое суточное воздействие, должен подвергаться анализу уполномоченных органов (экспертных организаций) государств-членов при регистрации лекарственных препаратов.

103. Пример 1. Элемент X входит в состав лекарственного препарата для перорального применения. На основе имеющихся данных для элемента X, была определена доза, не оказывающая видимого нежелательного эффекта (NOAEL), составляющая 1,1 мг/кг/сут. Модифицирующие факторы - были установлены на уровнях 5, 10, 5, 1 и 1, соответственно. Используя стандартный подход к модифицирующим факторам, описанным в приложении N 6 к настоящим Требованиям, допустимое суточное воздействие рассчитывается по следующей формуле:

Модифицирующий фактор (по умолчанию равен 10) может быть поделен на два подфактора: один - для токсикокинетики (ТК), другой - для токсикодинамики, каждый из которых имеет диапазон от 1 до 3,16. Если период полуэлиминации из плазмы крови составляет 5 дней, модифицирующий фактор для токсикокинетики может быть понижен до 1,58 при приеме 1 раз в неделю (~ 1 период полуэлиминации) и до 1 при приеме 1 раз в месяц (~ 5 периодов полуэлиминации). Используя субфакторный подход к , предлагаемый уровень содержания элемента X при приеме 1 раз в неделю может рассчитываться по следующей формуле:

Для практических целей данное значение далее округляется до 400 мкг/сут.

104. Пример 2. Подход на основе модифицирующего фактора для токсикокинетики также может использоваться для примесей элементов, значение которых не было установлено с использованием такого подхода. Для элемента Z пероральное допустимое суточное воздействие рассчитывалось с использованием минимального уровня риска (MRL), равного 0,02 мг/кг/сут. В научных источниках указывается, что период полуэлиминации составляет 4 дня. Данный элемент присутствует в качестве примеси в препарате для перорального применения, который применяется 1 раз в 3 недели (~ 5 периодов полуэлиминации). С учетом элиминации элемента в соответствии с кинетикой первого порядка установленное допустимое суточное воздействие, равное 1000 мкг/сут, модифицируется следующим образом:

Для практических целей данное значение округляется до 3000 мкг/сутки.

Лекарственные препараты для парентерального применения

105. Для лекарственных препаратов для парентерального применения с максимальным суточным объемом введения не более 2 литров, значение этого показателя может использоваться для расчета допустимых концентраций на основе допустимого суточного воздействия. Для лекарственных препаратов, суточный объем введения которых в соответствии с маркировкой и (или) клинической практикой может превышать 2 литра (например, физиологический раствор, декстроза, полное парентеральное питание, растворы для промывания), для расчета допустимых концентраций на основе допустимого суточного воздействия может использоваться объем, равный 2 литрам.

3. Классификация элементов

106. Элементы описанные в настоящих Требованиях, делятся на 3 категории в зависимости от их токсичности и вероятности присутствия в лекарственном средстве. Вероятность присутствия элементов зависит от нескольких факторов, в том числе:

от вероятности использования элементов в производственных процессах;

от вероятности того, что элемент является коизолированной примесью с другими примесями элементов в материалах, используемых в производственных процессах;

от наблюдаемой распространенности элемента в природе и его экологического распределения.

В настоящих Требованиях элементом с низкой распространенностью в природе и экологическим распределением считается элемент с зарегистрированной распространенностью не более () чем 1 атом элемента на 1,0 x атомов Si. Система классификации предназначена для того, чтобы при оценке рисков особое внимание уделялось тем элементам, которые являются наиболее токсичными, и вместе с тем с определенной долей вероятности могут входить в состав лекарственных средств. Классы примесей элементов:

класс 1. Элементы As, Cd, Hg и Pb являются наиболее токсичными для человека и не используются совсем или используются с большой осторожностью при производстве лекарственных средств. Их присутствие в лекарственных средствах обычно связано с часто используемыми материалами (например, природными минеральными веществами, выступающими в качестве вспомогательных веществ). В связи с исключительным статусом этих четырех элементов, в процессе оценки рисков необходимо проводить проверку на вероятность контаминации для всех потенциальных источников примесей элементов и всех путей введения. По результатам оценки рисков определяются те компоненты, для которых может понадобиться дополнительный контроль в некоторых случаях включающий проведение испытаний на примеси элементов класса 1. Не является обязательным проведение испытаний на примеси элементов класса 1 для всех компонентов. Испытания проводятся только в том случае, если при оценке рисков они будут сочтены необходимой мерой контроля для обеспечения соответствия допустимого суточного воздействия;

класс 2. Токсичность элементов данного класса для человека зависит от пути введения лекарственного препарата. Элементы класса 2 подразделяются на два подкласса 2A и 2B, в зависимости от относительной вероятности их наличия в лекарственном средстве:

элементы подкласса 2A имеют относительно высокую вероятность присутствия в лекарственном средстве и поэтому требуют проведения оценки рисков для всех потенциальных источников примесей элементов и путей введения лекарственного препарата. К элементам подкласса 2A относятся Co, Ni и V;

элементы подкласса 2B имеют низкую вероятность присутствия в лекарственном средстве ввиду их низкой распространенности и низкого потенциала к коизоляции с другими материалами. Они могут не учитываться при оценке рисков, если не добавляются намеренно в процессе производства активных фармацевтических субстанций, вспомогательных веществ или других компонентов лекарственного препарата. Примеси элементов класса 2B включают Ag, Au, Ir, Os, Pd, Pt, Rh, Ru, Se и Tl;

класс 3. Элементы данного класса обладают относительно низкой токсичностью при использовании перорального пути введения лекарственного препарата (высокое допустимое суточное воздействие, как правило, > 500 мкг/сут), но иногда их следует включать в оценку рисков для ингаляционного и парентерального путей введения лекарственного препарата. Эти элементы могут не включаться в оценку рисков для перорального пути введения, если только они не используются намеренно в процессе производства компонентов лекарственного препарата. Для лекарственных препаратов, вводимых парентерально и ингаляционно, следует оценивать вероятность присутствия подобных примесей элементов во время проведения оценки рисков за исключением случаев, когда допустимое суточное воздействие для определенного пути введения превышает 500 мкг/сут. К элементам класса 3 относятся Ba, Cr, Cu, Li, Mo, Sb и Sn.

107. Примеси элементов, для которых не было установлено допустимое суточное воздействие из-за их низкой токсичности, не рассматриваются в настоящих Требованиях. Если подобные примеси элементов присутствуют или включаются в состав лекарственного средства, то они регулируются другими актами органов Союза и (или) законодательством государств-членов в сфере санитарно-эпидемиологического благополучия, которые могут быть применимы к определенным элементам (например, нормирование уровня Al при нарушении функции почек или уровня Mn и Zn для пациентов с нарушением функции печени) или показателям качества готового лекарственного средства (например, допустимость присутствия примесей W в терапевтических белках). Примерами подобных элементов являются Al, B, Ca, Fe, K, Mg, Mn, Na, W и Zn.

4. Оценка рисков и контроль примесей элементов

108. При разработке методов контроля примесей элементов в лекарственных средствах следует учитывать принципы управления рисками при обеспечении качества, изложенные в главе II части III Правил надлежащей производственной практики. Оценка рисков должна основываться на научных знаниях и принципах и учитывать принципы безопасности для пациентов и понимание особенностей лекарственного препарата и процесса его производства. В случае с примесями элементов оценка рисков, связанных с лекарственным препаратом, будет направлена на анализ уровней содержания примесей элементов в лекарственном препарате по отношению к допустимому суточному воздействию. Необходимая информация для подобной оценки рисков включает в том числе данные, полученные заявителем, информацию, предоставленную производителями лекарственной субстанции и (или) вспомогательных веществ, и (или) данные научных медицинских (токсикологических) исследований и публикаций.

109. Заявитель должен надлежащим образом документировать процедуру оценки рисков и принципы контроля примесей. Объем мер и степень соблюдения установленных процедур оценки рисков должны быть пропорциональны уровню риска. Использование установленных процедур оценки рисков (утвержденных инструментов и (или) формализованных процедур оценки рисков, например стандартных операционных процедур) не всегда является подходящим и обязательным. Использование неформализованных процессов управления рисками (эмпирических инструментов и (или) внутренних процедур) также может считаться приемлемым.

110. Для целей настоящих Требований процесс оценки рисков делится на 3 этапа:

а) идентификация известных и потенциальных источников примесей элементов, которые могут присутствовать в лекарственном средстве;

б) анализ наличия определенной примеси элемента в лекарственном средстве посредством определения наблюдаемого или прогнозируемого уровня содержания примеси элементов и сравнения его с установленным допустимым суточным воздействием;

в) обобщение и документирование данных оценки рисков. Анализ приемлемости используемых мер контроля или определение дополнительных мер контроля, применяемых для ограничения содержания примесей элементов в лекарственных средствах.

111. Во многих случаях все 3 этапа рассматриваются одновременно. Итогом оценки рисков является результат последовательных мер, направленных на разработку окончательного подхода к обеспечению уровня потенциальных примесей элементов, который не превышал бы допустимого суточного воздействия.

Потенциальные источники примесей элементов

112. В процессе производства лекарственных средств выделяются следующие категории потенциальных источников примесей элементов:

а) остаточные примеси, возникающие в результате намеренного добавления элементов (например, катализаторов) в процессе производства активной фармацевтической субстанции, вспомогательных веществ или других компонентов лекарственного препарата. Оценка рисков, связанных с активной фармацевтической субстанцией, должна учитывать возможность включения примесей элементов в состав лекарственного препарата;

б) примеси элементов, которые не добавляются намеренно, но могут потенциально присутствовать в активной фармацевтической субстанции, воде или вспомогательных веществах, используемых при производстве лекарственного препарата;

в) примеси элементов, которые могут быть занесены в активную фармацевтическую субстанцию и (или) лекарственный препарат в результате их взаимодействия с производственным оборудованием;

г) примеси элементов, которые могут быть занесены в фармацевтическую субстанцию и лекарственный препарат в результате их взаимодействия с материалами упаковки.

113. На диаграмме Ишикавы (рисунок) представлены типичные материалы, оборудование и компоненты, которые используются при производстве лекарственных препаратов. Примеси элементов могут быть занесены в лекарственный препарат из каждого перечисленного выше источника или любой комбинации потенциальных источников. В процессе оценки рисков должны учитываться потенциальные загрязнения, возникающие из любого из этих источников, в целях определения суммарного загрязнения лекарственного препарата примесями элементов.

Рисунок. Диаграмма Ишикавы для определения источников риска появления примесей элементов в лекарственном препарате

<1> Риск загрязнения лекарственного препарата примесями элементов в процессе его производства можно сократить за счет изучения особенностей производственного процесса, выбора оборудования, квалификации оборудования и соблюдения требований Правил надлежащей производственной практики.

<2> Риск загрязнения лекарственного препарата примесями элементов через воду можно сократить посредством соблюдения фармакопейных требований к качеству воды, если в производственном процессе (процессах) используется очищенная вода или вода для инъекций.

Идентификация потенциальных примесей элементов

114. Потенциальные примеси элементов могут возникать из-за намеренного использования катализаторов и неорганических реактивов. Потенциальные примеси, относящиеся к данной категории, обладают известными характеристиками подлинности, а методы контроля таких примесей легко поддаются описанию и определению. Если в процессе производства лекарственного препарата намеренно используется какой-либо из элементов, указанных в таблице 9, то его следует учитывать при оценке рисков.

115. Потенциальные примеси элементов могут присутствовать в некоторых активных фармацевтических субстанциях и (или) вспомогательных веществах, даже если они не используются намеренно в процессе производства лекарственного препарата. Вероятность загрязнения лекарственного препарата подобными элементами должна отражаться при оценке рисков.

116. Для перорального пути введения оценка рисков должна включать анализ вероятности загрязнения лекарственного препарата примесями элементов классов 1 и 2A. Для парентерального и ингаляционного путей введения оценка рисков должна включать анализ вероятности загрязнения лекарственного препарата примесями элементов классов 1, 2A и 3 в соответствии с классификацией, представленной в таблице 9.

117. Потенциальные примеси элементов, возникающие в результате взаимодействия лекарственного препарата с производственным оборудованием:

попадание примесей элементов в лекарственный препарат из данного источника может быть ограниченным, и вид примесей элементов, которые следует учитывать при оценке рисков, будет зависеть от оборудования, которое используется при производстве лекарственного препарата. Знание производственного процесса, выбор и квалификация оборудования, соблюдение Правил надлежащей производственной практики обеспечивают низкий уровень загрязнения примесями, возникающими в результате взаимодействия с производственным оборудованием. Потенциальные специфицированные примеси элементов должны анализироваться на основе знаний о составе компонентов производственного оборудования, которые контактируют с компонентами лекарственного препарата. Оценка рисков, связанных с данным источником примесей элементов, потенциально может применяться для многих лекарственных препаратов, для производства которых используются похожие технологические линии и процессы.

118. Процессы, используемые для получения определенной активной фармацевтической субстанции, являются более агрессивными, чем процессы, используемые для производства лекарственного препарата, в отношении потенциала загрязнения примесями элементов, возникающих в результате взаимодействия с производственным оборудованием. Уровень загрязнения примесями элементов, возникающими в результате взаимодействия с производственным оборудованием, для лекарственного препарата бывает ниже, чем для активной фармацевтической субстанции. Однако если знание и понимание производственных процессов свидетельствуют об обратном, заявитель должен учитывать вероятность попадания в лекарственный препарат примесей элементов, возникающих в результате его взаимодействия с производственным оборудованием, при оценке рисков (например, экструзии горячего расплава).

119. Примеси элементов, возникающие в результате взаимодействия с системой упаковки (укупорки):

идентификация потенциальных примесей элементов, которые могут возникать в результате взаимодействия с материалами упаковки, должна основываться на научном понимании вероятных взаимодействий между определенным видом лекарственного препарата и его упаковкой. Если анализ материалов показывает, что система упаковки (укупорки) не содержит примесей элементов, дополнительная оценка рисков не проводится. Вероятность попадания примесей элементов в твердые лекарственные формы из системы упаковки (укупорки) минимальна и не требует дополнительного рассмотрения при оценке рисков. Для жидких и мягких лекарственных форм существует более высокая вероятность загрязнения примесями элементов, которые могут возникать в результате взаимодействия лекарственного препарата с материалами упаковки, во время его хранения. Следует проводить исследования для выявления потенциальных примесей, которые могут попадать в субстанцию или лекарственный препарат из системы упаковки (укупорки) (после промывки, стерилизации, облучения). Данный источник примесей элементов рассматривается во время анализа системы упаковки (укупорки), которую предполагается использовать для лекарственного препарата.

120. Факторы, которые следует учитывать (для жидких и мягких лекарственных форм), включают в себя (но не ограничиваются перечисленными):

гидрофильность или гидрофобность;

ионный состав;

pH;

температуру (холодовую цепь в сравнении с комнатной температурой и условия обработки);

площадь контактной поверхности;

состав лекарственного препарата или контейнера;

заключительную стерилизацию;

процесс упаковки (укупорки);

стерилизацию компонентов;

длительность хранения.

Примеси элементов, подлежащие обязательному анализу при оценке рисков, связанных с производством лекарственных препаратов

121. В таблице 9 приводятся указания по включению конкретных примесей элементов в общую оценку рисков, связанных с производством лекарственных препаратов. Данная таблица применяется ко всем источникам примесей элементов в лекарственном препарате.

Таблица 9

Примеси элементов, подлежащие обязательному анализу при оценке рисков

Элемент Класс Если элемент используется преднамеренно (для всех путей введения) Если элемент не используется намеренно
пероральный путь введения парентеральный путь введения ингаляционный путь введения
1 2 3 4 5 6
Cd 1 да да да да
Pb 1 да да да да
As 1 да да да да
Hg 1 да да да да
Co 2A да да да да
V 2A да да да да
Ni 2A да да да да
Tl 2B да нет нет нет
Au 2B да нет нет нет
Pd 2B да нет нет нет
Ir 2B да нет нет нет
Os 2B да нет нет нет
Rh 2B да нет нет нет
Ru 2B да нет нет нет
Se 2B да нет нет нет
Ag 2B да нет нет нет
Pt 2B да нет нет нет
Li 3 да нет да да
Sb 3 да нет да да
Ba 3 да нет нет да
Mo 3 да нет нет да
Cu 3 да нет да да
Sn 3 да нет нет да
Cr 3 да нет нет да

Оценка рисков присутствия примесей элементов

122. Существует два возможных исхода процесса идентификации потенциальных примесей элементов:

а) в процессе оценки рисков не удается идентифицировать ни одной потенциальной примеси элемента. В этом случае следует документально оформить результаты, а также привести дополнительную информацию и данные, полученные в ходе оценки рисков;

б) в процессе оценки рисков удается идентифицировать одну или более примесей элементов. При проведении оценки рисков любой обнаруженной потенциальной примеси следует рассмотреть источники обнаруженной примеси элемента или примесей, документально оформить результаты анализа и привести дополнительную информацию и данные, полученные в ходе оценки рисков.

123. При оценке рисков заявитель может использовать информацию о потенциальных примесях элементов, предоставленную поставщиками активной фармацевтической субстанции, вспомогательных веществ, материалов систем упаковки (укупорки) и производственного оборудования. Дополнительные данные, которые используются в такой оценке риска, могут быть взяты из следующих источников (но не ограничиваются перечисленными):

имеющиеся научные данные об элементе;

научные публикации;

данные, полученные при процессах производства аналогичных процессам производства изучаемого лекарственного препарата;

информация или данные, предоставленные поставщиком;

результаты испытаний компонентов лекарственного препарата;

результаты испытаний лекарственных препаратов.

124. В ходе оценки рисков следует учитывать ряд факторов, которые также могут влиять на уровень содержания потенциальных примесей в лекарственном препарате. Данные факторы включают в себя (но не ограничиваются перечисленным):

эффективность удаления примесей элементов на дальнейших этапах обработки;

распространенность элементов в природе (особенно важно для тех категорий примесей элементов, которые не добавляются намеренно);

имеющиеся данные о диапазонах содержания примесей элементов, полученные из специфических источников;

состав лекарственного препарата.

Краткий обзор процесса оценки рисков

125. Краткий обзор оценки рисков осуществляется путем анализа релевантных данных о конкретном лекарственном препарате или компоненте лекарственного препарата и сопоставлении этих данных с данными и сведениями об аналогичных лекарственных препаратах и процессах их производства с целью идентификации предположительно присутствующих в изучаемом лекарственном препарате значимых примесей элементов.

126. В кратком обзоре следует рассматривать фактический уровень наблюдаемого или предполагаемого содержания примесей элементов по сравнению с их допустимым суточным воздействием. Для определения фактического наблюдаемого уровня содержания примеси элемента используется контрольное значение его предельного содержания, которое составляет 30% от допустимого суточного воздействия, установленного для лекарственного препарата. Контрольное значение предельного содержания примеси элемента может использоваться для принятия решения о необходимости применения дополнительных методов контроля.

127. Если ожидается, что общий уровень всех примесей элементов в лекарственном препарате составит менее 30% допустимого суточного воздействия, то, при условии, что заявитель надлежащим образом рассмотрел данные, указанные в пункте 125 настоящих Требований и подтвердил наличие подходящих методов контроля примесей элементов, дополнительный контроль не требуется.

128. Если по результатам оценки рисков не удалось продемонстрировать, что уровень содержания примесей элементов не превышает контрольное значение предельного содержания, то необходимо применить такие методы контроля, которые позволили бы подтвердить, что уровень содержания примесей элементов не превышает допустимое суточное воздействие для лекарственного препарата.

129. При применении контрольного значения предельного содержания для лекарственных препаратов следует учитывать вариабельность уровня содержания примеси элемента. Ее причинами могут служить:

вариабельность аналитического метода;

вариабельность уровня содержания примеси элемента в конкретных источниках;

вариабельность уровня содержания примеси элемента в лекарственном средстве.

130. При подаче регистрационного досье, при отсутствии другого обоснования, уровень и вариабельность примеси элемента могут быть установлены путем представления данных 3 репрезентативных промышленных серий продукции или 6 репрезентативных опытно-промышленных серий компонента или компонентов или лекарственного препарата. Для некоторых лекарственных препаратов, отличающихся естественной вариабельностью (например, вспомогательных веществ), может потребоваться представление дополнительных данных.

131. Допускается применение различных подходов к составлению краткого обзора оценки рисков и документальному оформлению ее результатов, которые могут включать составление таблиц, отчетов и приведение заключений оценки рисков. В кратком обзоре следует указывать обнаруженные примеси элементов, их источники и критерии приемлемости.

Особые вопросы, касающиеся лекарственных препаратов, полученных биотехнологическими методами

132. Для лекарственных препаратов, полученных биотехнологическими методами (биотехнологические лекарственные препараты), риск содержания примесей элементов в количествах, вызывающих опасения относительно безопасности таких препаратов, на этапах производства фармацевтической субстанции считается низким. Это обусловлено следующими причинами:

в производстве биотехнологических лекарственных препаратов элементы не используются в качестве катализаторов или реактивов, если это не установлено отдельно;

элементы в незначительных количествах прибавляют в питательные среды на этапе выращивания клеточных культур, не накапливая их, при этом дальнейшая обработка связана с их значительным разведением либо удалением;

стандартные схемы очистки, используемые при производстве биотехнологических лекарственных препаратов, такие как экстракция, хроматографирование и диализ или ультрафильтрация (диафильтрация) (УФ (ДФ)), позволяют снизить содержание примеси элементов, занесенных в клеточную культуру на этапе ферментации или в результате контакта с производственным оборудованием, до пренебрежимо малых уровней. В таком случае, как правило, не требуется выполнения специфических методов контроля, направленных на обнаружение примесей элементов, вплоть до получения биотехнологической фармацевтической субстанции. В случаях, если фармацевтическая субстанция, полученная биотехнологическими методами, содержит синтетические структуры (например, конъюгаты антител с лекарственными препаратами), следует использовать соответствующие методы контроля низкомолекулярных компонентов на присутствие в них примесей элементов.

133. Тем не менее при получении биотехнологических лекарственных препаратов следует рассматривать потенциальные источники примесей элементов, задействованные в производстве лекарственных препаратов (например, вспомогательные вещества), а также другие естественные источники. Следует оценить пользу от использования данных источников для готовых лекарственных препаратов, поскольку чаще всего они поступают в процесс производства лекарственных препаратов на таких этапах, после которых, как правило, уже не проводится очистка от примесей элементов. Факторы риска, которые следует рассмотреть в целях проведения такой оценки, должны включать вид вспомогательных веществ, условия обработки и их подверженность контаминации под действием факторов окружающей среды (например, контролируемые зоны для стерильного производства и использование очищенной воды) и общую частоту приема лекарственного препарата.

5. Контроль примесей элементов

134. Контроль примесей элементов является частью всеобщей стратегии контроля лекарственных препаратов и используется для того, чтобы уровень содержания примеси элементов не превышал допустимое суточное воздействие. В тех случаях, когда уровень содержания примеси элементов может превысить контролируемое пороговое значение, предпринимают дополнительные меры, способствующие тому, чтобы их содержание не превышало допустимое суточное воздействие. Заявитель вправе использовать следующие подходы (но не ограничиваясь перечисленным):

модификация этапов производственного процесса, которая приведет к сокращению содержания примесей элементов до значений, не превышающих контролируемое пороговое значение, посредством проведения специфических или неспецифических мероприятий по очистке;

выполнение внутрипроизводственных и предшествующих началу производства видов контроля, разработанных с целью ограничения концентрации примесей элементов в лекарственном препарате (ниже порога контроля);

установление предельных значений для вспомогательных веществ или материалов (например, синтетических промежуточных продуктов);

установление предельных значений для активной фармацевтической субстанции;

установление предельных значений для лекарственного препарата;

выбор соответствующей системы упаковки (укупорки).

135. В соответствии с требованиями к спецификациям, приведенным в Руководстве по составлению нормативного документа, в отношении примесей элементов допускается выполнять периодические испытания.

136. Информация по контролю за примесями элементов, представленная в регистрационном досье лекарственного препарата, должна включать в себя краткое изложение результатов оценки рисков, соответствующих необходимых данных и описание установленных методов контроля для ограничения содержания примесей элементов.

6. Преобразование допустимого суточного воздействия в пределы концентрации

137. Допустимое суточное воздействие, выраженное в микрограммах в сутки (мкг/сут), устанавливает максимально допустимое количество каждого элемента, которое может содержаться в максимальной суточной дозе лекарственного препарата. Поскольку допустимое суточное воздействие отражает только суммарное воздействие лекарственного препарата, для оценки примесей элементов в лекарственных препаратах или их компонентах его можно преобразовывать в концентрации. Варианты, предложенные в настоящем разделе, описывают некоторые допустимые подходы к установлению концентраций для примесей элементов, содержащихся в лекарственных препаратах или его компонентах, и гарантируют, что допустимое суточное воздействие не будет превышено в лекарственном препарате. Заявитель может выбирать любые из предложенных вариантов при условии, что полученные допустимые пределы концентрации в лекарственном препарате не будут превышать установленное допустимое суточное воздействие. При выборе какого-либо специфического варианта заявитель должен иметь информацию о суточной дозе лекарственного препарата. Допустимые пределы концентрации используются:

в качестве инструмента оценки рисков при сравнении наблюдаемого и ожидаемого уровней с допустимым суточным воздействием;

в качестве основы для применения методов контроля к поставщикам сырья на этапе, предшествующем производственной обработке поставляемого сырья, которые гарантировали бы, что поступление примеси элемента с лекарственным препаратом не превышает допустимое суточное воздействие;

для установления целевых пределов концентраций на этапе разработки методов внутрипроизводственного контроля примесей элементов;

для указания в регистрационном досье лекарственного препарата информации, касающейся контроля уровня содержания примесей элементов в лекарственном препарате.

138. Существует множество источников попадания примесей элементов в лекарственные препараты. При применении любого из представленных ниже вариантов, еще до расчета максимальной допустимой концентрации в остающихся компонентах (вспомогательных веществах и активной фармацевтической субстанции) следует учитывать примеси элементов, которые способны попадать в лекарственный препарат при контакте с материалами системы упаковки (укупорки) или в результате производственного процесса. Если на этапе оценки рисков было установлено, что системы упаковки (укупорки) и производственное оборудование не способствуют повышению уровня содержания примесей элементов в лекарственном препарате, то рассматривать их не требуется. В случае если материалы системы упаковки (укупорки) и производственное оборудование способствуют повышению уровня содержания примесей элементов в лекарственном препарате, то для расчета допустимой концентрации во вспомогательных веществах и фармацевтической субстанции вклад системы упаковки (укупорки) и производственного оборудования может быть учтен путем вычитания из допустимого суточного воздействия расчетного суточного поступления из этих источников.

139. Вариант 1. Общие разрешенные пределы концентрации элементов в компонентах лекарственного препарата, суточная доза которого не превышает 10 граммов.

Данный вариант не подразумевает, что все элементы присутствуют в лекарственном препарате в одной концентрации, и допускает упрощенный подход к вычислениям.

Например, суточная доза (количество) лекарственного препарата не превышает 10 граммов, а, примеси элементов, обнаруженные при проведении оценки рисков (целевые элементы), присутствуют во всех компонентах лекарственного препарата. В этом случае с помощью приведенной ниже формулы и значения суточной дозы (составляющей в данном примере 10 граммов лекарственного препарата) рассчитывают общую допустимую концентрацию целевого элемента в каждом компоненте лекарственного препарата. Данный подход позволяет установить фиксированную общую максимальную концентрацию каждого целевого элемента в микрограммах на грамм каждого компонента. Перечень допустимых концентраций представлен в таблице 2 приложения N 7 к настоящим Требованиям.

Если все компоненты лекарственного препарата не превышают концентраций, соответствующих варианту 1, по всем целевым элементам, определенным при проведении оценки рисков, то данные компоненты допускается использовать в лекарственном препарате в любых пропорциях. Пример использования данного варианта представлен в таблице 2 приложения N 8 к настоящим Требованиям. Если допустимые концентрации, указанные в таблице 2 приложения N 7 к настоящим Требованиям, не применимы, то следует пользоваться вариантами 2а, 2б или 3.

140. Вариант 2а. Общие разрешенные пределы концентрации элементов в отдельных компонентах лекарственного препарата для лекарственных препаратов с установленной суточной дозой.

В данном варианте при определении допустимого уровня примеси элемента следует поступать по аналогии с вариантом 1, с учетом того, что суточная доза лекарственного препарата не обязательно должна приниматься равной 10 г. Общая допустимая концентрация каждого элемента определяется с помощью формулы, приведенной в абзаце третьем настоящего пункта, и значения максимальной суточной дозы для данного лекарственного препарата.

Данный подход позволяет установить фиксированную максимальную концентрацию каждого целевого элемента в микрограммах на грамм в каждом компоненте, с учетом актуальной максимальной суточной дозы. Пример использования данного варианта представлен в таблице 3 приложения N 8 к настоящим Требованиям.

Если все целевые элементы, определенные во время оценки рисков, находящиеся в составе всех компонентов лекарственного препарата, не превышают показателей концентрации, полученных с помощью варианта 1, то такие компоненты допускается использовать в лекарственном препарате в любых пропорциях.

141. Вариант 2б. Допустимые пределы концентрации элементов в отдельных компонентах лекарственного препарата с установленной суточной дозой.

Для этого варианта требуется дополнительная информация относительно потенциального присутствия специфицированных примесей элементов в определенных компонентах лекарственного препарата. Заявитель может установить допустимые концентрации на основании сведений о распределении элементов в компонентах (например, о более высоких концентрациях в компонентах, в которых присутствует интересующий элемент). Для каждого элемента, потенциально присутствующего в компонентах лекарственного препарата, максимальная ожидаемая масса примеси элемента в готовом лекарственном препарате может быть вычислена по приведенной ниже формуле путем, то есть путем умножения массы каждого компонента на допустимую концентрацию, установленную заявителем для каждого материала, и сложения всех компонентов лекарственного препарата. Общая масса примеси элемента в лекарственном препарате должна совпадать с допустимым суточным воздействием, представленным в таблице 1 приложения N 7 к настоящим Требованиям, за исключением случаев, когда она определена в соответствующих разделах настоящих Требований. Если в результате оценки рисков было выявлено, что указанный элемент не является потенциальной примесью в указанном компоненте, то нет необходимости в установлении количественного показателя для такого элемента в таком компоненте. Данный подход допускает, что максимальная допустимая концентрация элемента в определенных компонентах лекарственного препарата может быть выше предела, установленного в соответствии с вариантами 1 или 2а. В таком случае это должно компенсироваться за счет более низких допустимых концентраций элементов в других компонентах лекарственного препарата. Специфические для конкретных компонентов пределы содержания каждого элемента в каждом компоненте лекарственного препарата, которые обеспечат соответствие допустимого суточного воздействия, рассчитываются по формуле:

где:

n - общее число компонентов лекарственного препарата;

k - индекс для каждого из n компонентов в лекарственном препарате;

- допустимая концентрация примеси элемента в k-ом компоненте (мкг/г);

- содержание k-го компонента в максимальной суточной дозе лекарственного препарата (г).

Пример использования данного варианта представлен в таблицах 4 и 5 приложения N 8.

142. Вариант 3. Анализ готового препарата.

Концентрацию каждого элемента в готовом лекарственном препарате можно измерить. С помощью формулы, приведенной в пункте 139 настоящих Требований, можно рассчитать максимально допустимый предел концентрации примеси элемента, если известна максимальная суммарная суточная доза лекарственного препарата,

Пример использования варианта 3 представлен в таблице 6 приложения N 8 к настоящим Требованиям.

8. Состав вещества, содержащего элемент и иные аспекты безопасности, влияющие на оценку рисков

143. При известной токсичности разных веществ одного и того же элемента, допустимое суточное воздействие устанавливается на основе данных о токсичности того элемента, который будет содержаться в лекарственном средстве.

144. В случае если в оценке рисков прибегают к измерению содержания примесей элементов, то для оценки соответствия допустимого суточного воздействия, допускается использовать общие уровни содержания примесей элементов в лекарственных средствах. От заявителя не требуется представления в регистрационном досье лекарственного препарата информации о химических соединениях, однако такая информация может понадобиться при обосновании более низких или более высоких уровней, если обнаруженное химическое соединение является более или менее токсичным, чем химические соединения, которые использовались при определении допустимого суточного воздействия.

9. Аналитические процедуры определения примесей элементов

145. Определение примесей элементов должно проводиться с помощью соответствующих процедур, подходящих для их использования по назначению. При отсутствии иного обоснования для каждой примеси элемента, которая по результатам оценки рисков была определена, как требующая контроля, должно проводиться специально установленное испытание. Следует прибегать к выполнению фармакопейных процедур или использованию подходящих альтернативных методик определения уровней примесей элементов.

10. Управление жизненным циклом лекарственного препарата

146. Фармацевтические системы качества и управление этими системами, описанные в главе III части III Правил надлежащей производственной практики, направлены на использование на каждом этапе жизненного цикла лекарственного препарата научных подходов, основанных на оценке рисков, что, поддерживает непрерывное совершенствование процесса производства лекарственного препарата на протяжении всего жизненного цикла этого лекарственного препарата. Накопление знаний о лекарственном препарате и процессах производства должно быть управляемым и охватывать весь жизненный цикл лекарственного препарата (на стадии разработки, на этапе его реализации и до снятия лекарственного препарата с производства).

147. Знания, полученные экспериментальным или теоретическим путем в процессе фармацевтической разработки и промышленного производства лекарственного препарата, используются для дальнейшей оптимизации и совершенствования процессов производства лекарственного препарата. Данная оптимизация может быть направлена на усиление контроля уровня содержания примесей элементов. В настоящее время имеется ограниченное количество доказательных данных о влиянии примесей элементов на человека, что обязывает заявителя выполнять необходимые процедуры по контролю примесей элементов. Дополнительные данные о влиянии примесей элементов на человека (при их получении), являются причиной внесения изменений в процедуры по контролю.

148. В случае если изменения в составе и способе производства лекарственного препарата или его компонентов способны изменить набор примесей элементов, входящих в его состав, то проводится пересмотр результатов оценки рисков (включая необходимые процедуры по контролю примесей элементов). Такие изменения включают в себя (но не ограничиваются ими):

изменение путей синтезирования;

смену поставщиков вспомогательных веществ, сырья;

изменение производственных процессов, оборудования и систем упаковки (укупорки) или оснащения.

Все изменения должны происходить с соблюдением процесса управления внутренними изменениями и соответствующих актов органов Союза в сфере обращения лекарственных средств.

V. Примеси в существующих активных фармацевтических субстанциях

В электронном документе нумерация разделов соответствует официальному источнику.

1. Общие положения

149. В настоящем разделе рассматриваются указания по составлению регистрационного досье лекарственного препарата на предмет содержания и квалификации примесей в существующих активных фармацевтических субстанциях, произведенных путем химического синтеза и ранее уже разрешенных для медицинского применения в государстве-члене или Союзе и для которых имеется соответствующая статья в Фармакопее Союза или в фармакопеях государств-членов, либо такая статья отсутствует. Альтернативные подходы к нормированию и квалификации примесей допускаются в случае представления заявителем обоснования о возможности применения таких подходов и соответствующих экспериментальных данных в регистрационном досье. В настоящем разделе не рассматриваются следующие виды фармацевтических субстанций:

а) биологические (биотехнологические);

б) пептидные;

в) олигонуклеотидные;

г) радиофармацевтические;

д) продукты ферментации и полусинтетические вещества, полученные из них;

е) растительные фармацевтические субстанции и необработанные продукты животного и растительного происхождения.

150. В отношении существующих активных фармацевтических субстанций применимы также положения раздела II настоящих Требований.

2. Указание примесей в спецификации

151. Спецификация существующей активной фармацевтической субстанции должна включать перечень примесей и критерии приемлемости. Исследования стабильности, исследования по химической разработке и типовые анализы серий активной фармацевтической субстанции применяются для прогнозирования наличия таких примесей, которые способны проявиться в активной фармацевтической субстанции, произведенной с использованием предлагаемого промышленного процесса производства. Выбор примесей для включения в спецификацию существующей активной фармацевтической субстанции должен быть основан на тех примесях, которые были определены в сериях существующей активной фармацевтической субстанции произведенных с использованием предлагаемого промышленного процесса производства. Специфицированные примеси подразделяются на идентифицированные или неидентифицированные, их следует отдельно указывать в спецификации активной фармацевтической субстанции.

152. Необходимо представить обоснование для включения примеси в спецификацию или исключения примеси. Такое обоснование должно включать в себя характеристику профилей примесей, наблюдаемых в сериях произведенной активной фармацевтической субстанции, вместе с характеристикой профиля примесей серий, произведенных согласно предлагаемому промышленному процессу производства. В спецификацию специфицированные идентифицированные примеси должны быть включены вместе со специфицированными неидентифицированными примесями, присутствующими на уровне, превышающем (>) порог идентификации, указанный в таблице 1. Для примесей, которые являются высокоактивными или оказывают токсический либо непредвиденный фармакологический эффект, предел количественного определения (предел обнаружения) аналитических методик должен быть соразмерен уровню содержания примесей, который подлежит контролю.

153. В случае если в спецификацию фармацевтической субстанции включаются специфицированные неидентифицированные примеси, заявителям следует также описать попытки идентификации, указать примененную процедуру и предположения (допущения), сделанные при установлении уровня содержания таких примесей. Специфицированные неидентифицированные примеси следует обозначать в спецификации в виде их соответствующей качественной аналитической характеристики (например, "неидентифицированная примесь А", "неидентифицированная примесь с относительным временем удерживания 0,9"). В спецификацию следует включать общий критерий приемлемости, не превышающий () порог идентификации для любой неспецифицированной примеси, а также критерий приемлемости суммарного содержания примесей в соответствии с таблицей 1.

154. Таким образом, спецификация существующей активной фармацевтической субстанции должна включать в себя следующий перечень примесей (если применимо):

а) органические примеси:

каждая специфицированная идентифицированная примесь;

каждая специфицированная неидентифицированная примесь;

любая неспецифицированная примесь с критерием приемлемости не более () порога идентификации примеси, указанного в таблице 1;

суммарное содержание примесей;

б) остаточные растворители;

в) неорганические примеси.

3. Установление критериев приемлемости для примесей

155. При установлении критерия приемлемости для примеси в первую очередь необходимо установить указана ли эта примесь в Фармакопее Союза, а при отсутствии в ней - в фармакопеях государств-членов или фармакопеях в соответствии с Концепцией гармонизации фармакопей государств - членов Евразийского экономического союза, утвержденной Решением Коллегии Евразийской экономической комиссии от 22 сентября 2015 г. N 119 (далее - Концепция гармонизации фармакопей). В случае если в частную фармакопейную статью включен показатель предельного значения содержания специфицированной примеси (фармакопейный предел), в спецификации существующей активной фармацевтической субстанции необходимо использовать в качестве критерия приемлемости значение не выше этого установленного фармакопейного предела.

156. В случае если уровень специфицированной примеси превышает фармакопейный предел, указанный в частной фармакопейной статье, следует провести квалификацию такой примеси. В случае если надлежащая квалификация была осуществлена, заявитель вправе направить в Фармакопейный комитет Евразийского экономического союза обращение о пересмотре критерия приемлемости примеси в частной фармакопейной статье Фармакопеи Союза.

157. В случае если в Фармакопее Союза или в фармакопеях государств-членов или в фармакопеях в соответствии с Концепцией гармонизации фармакопей, не установлен критерий приемлемости для указанной примеси, следует квалифицировать такую примесь путем ее сравнения с содержанием данной примеси в оригинальном или референтном лекарственном препарате (далее - препарат сравнения) или активной фармацевтической субстанции, используемой в препарате сравнения. Используемый критерий приемлемости должен соответствовать уровню примеси, наблюдаемому у препарата сравнения или активной фармацевтической субстанции, используемой в препарате сравнения. Допускается использование альтернативного способа квалификации, когда определение критерия приемлемости проводится на основании порога квалификации, подтвержденного научной литературой, данными о метаболизме или исследованиями токсичности действующего вещества лекарственного препарата.

158. При определенных обстоятельствах (например, если уровень значимой примеси метаболита слишком высокий и возможно значительное влияние примеси на такие показатели качества, как активность) требуется установить критерий приемлемости ниже квалифицированного уровня, для того чтобы гарантировать качество активной фармацевтической субстанции. В таком случае следует установить критерий приемлемости ниже квалифицированного уровня примеси.

159. Критерий приемлемости для неспецифицированных (иных) примесей в спецификации существующей активной фармацевтической субстанции должен быть установлен на уровне не выше порога идентификации примеси, указанного в таблице 1, даже если в статье Фармакопеи Союза, в фармакопеях государств-членов или в фармакопеях в соответствии с Концепцией гармонизации, указан более высокий критерий приемлемости для неспецифицированных (иных) примесей. В случае если критерий приемлемости для неспецифицированных (иных) примесей в статье Фармакопеи Союза, в фармакопеях государств-членов или в основных фармакопеях в соответствии с Концепцией гармонизации фармакопей, ниже порога идентификации примеси, указанного в таблице 1, в качестве критерия приемлемости следует использовать уровень, установленный в фармакопейной статье.

4. Квалификация примесей

160. Заявителю следует представить обоснование для установления критериев приемлемости примесей, которое включает в себя вопросы безопасности.

161. Примесь считается квалифицированной при соблюдении одного или более из следующих условий:

а) наблюдаемый уровень примеси и предлагаемый критерий приемлемости для примеси не превышают уровня, выявляемого в препарате сравнения;

б) примесь является значимым метаболитом активной фармацевтической субстанции;

в) наблюдаемый уровень примеси и предлагаемый критерий приемлемости для примеси надлежащим образом обоснованы в научной литературе;

г) наблюдаемый уровень примеси и предлагаемый критерий приемлемости для примеси не превышают уровня, надлежащим образом оцененного в исследованиях токсичности.

162. В случае если токсичность отдельной примеси или заданного профиля примесей может быть оценена с использованием приемлемой модели (например, с помощью анализа количественной структурно-функциональной зависимости (QSAR Quantitative Structure-Activity Relationship)), такие результаты не считаются окончательными для квалификации примесей.

Пороги квалификации

163. Рекомендуемые пороги квалификации, основанные на максимальной суточной дозе активной фармацевтической субстанции, представлены в таблице 1. В случае если этот порог квалификации превышен, следует проводить квалификацию примеси. В некоторых случаях для квалификации примесей целесообразно повысить или понизить пороги квалификации. Например, если имеются доказательства того, что примесь в определенных группах лекарственных препаратов родственной структуры или фармакотерапевтического класса ранее была связана с развитием нежелательных реакций у пациентов, может быть важно установить более низкий порог квалификации. И, наоборот, при отсутствии сомнений относительно безопасности примеси, может оказаться целесообразным установить более высокое значения порога квалификации. В рамках экспертизы регистрационного досье лекарственного препарата, в котором указаны в качестве порогов квалификации иные (альтернативные) фармакопейным пороги квалификации заключение выносится экспертной организацией с учетом анализа таких вопросов, как:

а) предполагаемая для применения популяция пациентов;

б) эффекты класса, к которому принадлежит лекарственный препарат;

в) предшествующие (ранее полученные) данные о безопасности лекарственных препаратов содержащих действующие вещества подобного химического строения.

Процедура квалификации

164. Схема решений N 3 описывает действия по квалификации примесей при превышении пороговых значений, приведенных в таблице 1. В некоторых случаях, снижение содержания примеси до уровня, который ниже порогового значения, может быть более простым способом действий, чем представление дополнительных данных о безопасности. В качестве альтернативы этому способу в научной литературе могут быть представлены данные, достаточные для квалификации примеси.

165. Проведение исследований, которые считаются достаточными для квалификации примеси, будет зависеть от ряда факторов, в том числе от популяции пациентов, суточной дозы, а также от способа и продолжительности приема лекарственного препарата. Такие исследования могут проводиться с активной фармацевтической субстанцией, содержащей примеси, подлежащие контролю, хотя допускается проведение исследований с использованием выделенных примесей.

Схема решений N 3

Принятие решений в отношении идентификации и квалификации примесей для существующих активных фармацевтических субстанций

<1> Более низкие пороговые значения могут считаться целесообразными, если примесь является высоко токсичной.

<2> Например, позволяют ли данные безопасности об этой примеси или ее структурном классе, исключить воздействие исследуемой примеси на здоровье человека при имеющейся концентрации этой примеси?

<3> Отличие от аналогичной схемы для новых субстанций в разделе II настоящих Требований, состоит в том, что примесь считается квалифицированной для существующей активной фармацевтической субстанции, если соблюдено одно или более из следующих условий:

наблюдаемый уровень и предлагаемый критерий приемлемости для примеси не превышает уровня содержания, обоснованного для препарата сравнения;

примесь является значимым метаболитом активной фармацевтической субстанции;

наблюдаемый уровень и предлагаемый критерий приемлемости для примеси надлежащим образом обоснованы в научной литературе;

наблюдаемый уровень и предлагаемый критерий приемлемости для примеси не превышают уровня, надлежащим образом оцененного в исследованиях токсичности.

<4> Если это обосновано, допускается проведение минимального скрининга (например, для определения генотоксического потенциала). Минимальным приемлемым объемом проведения скрининга генотоксичности являются одно исследование по обнаружению точечных мутаций и одно исследование по обнаружению хромосомных аберраций (оба проводятся в условиях in vitro).

<5> При необходимости проведения исследований общей токсичности, следует спланировать одно или несколько исследований, позволяющих сравнить неквалифицированный и квалифицированный материал. Продолжительность исследования должна основываться на имеющейся информации, и оно должно проводиться на видах тест-систем, наиболее вероятно позволяющих максимально увеличить потенциал обнаружения токсичности примеси. В каждом конкретном случае может считаться целесообразным проведение однодозовых исследований (особенно в отношении лекарственных препаратов для однократного применения). Считается, что минимальная продолжительность исследования равна 14 дням, а максимальная продолжительность составляет 90 дней.

Сравнительные аналитические исследования

166. Примесь, содержащаяся в существующей активной фармацевтической субстанции, может быть квалифицирована посредством сравнения профиля аналитических характеристик такой активной фармацевтической субстанции с профилем препарата сравнения с использованием одной и той же валидированной аналитической методики, подходящей для оценки стабильности (например, сравнительные исследования методом ВЭЖХ).

167. Любая специфицированная примесь, содержащиеся в существующей активной фармацевтической субстанции считается квалифицированной, если ее содержание в этой субстанции, соответствует содержанию специфицированной примеси в препарате сравнения.

Использование данных научной литературы и сведений о значимых метаболитах

168. В случае если содержание специфицированной идентифицированной примеси в лекарственном средстве надлежащим образом обосновано в научной литературе, дальнейшая квалификация примеси не требуется. Кроме того, примесь, являющаяся значимым метаболитом активной фармацевтической субстанции, обычно считается квалифицированной.

Исследования токсичности

169. Исследования токсичности представляют собой наиболее трудозатратный метод квалификации примесей. Такие исследования следует проводить только тогда, когда примеси невозможно квалифицировать одним из методов, описанных в пунктах 166 - 168 настоящих Требований. Исследования токсичности проводятся для определения соединений, оказывающих общее токсическое или генотоксическое действие в экспериментальной системе. Такие исследования допускается проводить с лекарственным препаратом или активной фармацевтической субстанцией, содержащими примеси, подлежащие контролю, также допускается проводить исследования с использованием выделенных примесей.

VI. Примеси в существующих лекарственных препаратах

1. Общие положения

170. В настоящем разделе рассматриваются указания по представлению в регистрационном досье лекарственного препарата информации, относящейся к информированию, идентификации и квалификации примесей в существующих лекарственных препаратах, произведенных из существующих активных фармацевтических субстанций, полученных путем химического синтеза, то есть данных о примесях, которые классифицируются как продукты деградации в лекарственных препаратах, при подаче заявлений о регистрации существующих лекарственных препаратов и (или) внесении изменений в их регистрационные досье. Отказ от выполнения требований, изложенных в настоящем разделе, должен быть обоснован заявителем путем указания соответствующих обоснований в регистрационном досье.

171. В настоящем разделе также рассматриваются указания по установлению критериев приемлемости продуктов деградации (в частности, продуктов деградации активной фармацевтической субстанции или продуктов взаимодействия активной фармацевтической субстанции со вспомогательными веществами и (или) системой упаковки (укупорки)) в существующих лекарственных препаратах.

172. Для существующих лекарственных препаратов применимы указания, приведенные в подразделах 2 - 4 раздела III настоящих Требований.

2. Указание продуктов деградации в спецификации

173. Спецификация существующего лекарственного препарата должна включать в себя перечень продуктов деградации, которые, как предполагается, будут образовываться в процессе производства промышленных серий такого препарата и при его хранении в рекомендуемых условиях. Для характеристики профиля продуктов деградации можно использовать исследования стабильности, знания о путях деградации, исследования по разработке лекарственного препарата, результаты анализа серий, произведенных предлагаемым промышленным процессом производства.

174. В регистрационном досье лекарственного препарата следует привести обоснование включения продуктов деградации в спецификацию существующего лекарственного препарата или их исключения. Необходимо, чтобы в таком обосновании указывалась характеристика профиля продуктов деградации, наблюдаемых в:

исследованиях стабильности;

любой серии (сериях), произведенной в ходе фармацевтической разработки лекарственного препарата и получения данных для регистрационного досье.

175. Специфицированные продукты деградации могут быть идентифицированными или неидентифицированными.

176. Специфицированные идентифицированные продукты деградации должны включаться в спецификацию вместе с специфицированными неидентифицированными продуктами деградации, оцененными как присутствующие на уровне, превышающем (>) порог идентификации, указанный в таблице 2. Следует обеспечить, чтобы предел обнаружения и (или) предел количественного определения аналитических методик соответствовал уровню, на котором предполагается осуществлять контроль продуктов деградации, обладающих высокой активностью или способностью вызывать токсические эффекты или неожидаемые фармакологические эффекты.

177. Для неидентифицированных продуктов деградации, указанных в спецификации лекарственного препарата, следует указать примененную методику и сделанные предположения (допущения), при установлении уровня таких продуктов деградации. Наименования специфицированных неидентифицированных продуктов деградации следует приводить в виде соответствующих качественных аналитических описательных обозначений (например, в виде обозначений "неидентифицированный продукт деградации А", "неидентифицированный продукт деградации с относительным временем удерживания 0,9"). Также в спецификацию лекарственного препарата следует включить общий критерий приемлемости, не превышающий () порог идентификации для любого неспецифицированного продукта деградации, а также критерий приемлемости суммарного содержания примесей.

178. Таким образом, в спецификацию существующего лекарственного препарата следует включить перечень следующих продуктов деградации (если применимо):

а) каждый специфицированный идентифицированный продукт деградации;

б) каждый специфицированный неидентифицированный продукт деградации;

в) любой неспецифицированный продукт деградации, критерий приемлемости которого составляет не более () значения порога идентификации (в соответствии с таблицей 2);

г) суммарное содержание продуктов деградации.

3. Установление критериев приемлемости продуктов деградации

179. Следует устанавливать критерий приемлемости продуктов деградации не выше квалифицированного уровня. При установлении критериев приемлемости продукта деградации в первую очередь необходимо установить, указан ли продукт деградации в Фармакопее Союза, а при отсутствии в ней - в фармакопеях государств-членов или фармакопеях в соответствии с Концепцией гармонизации фармакопей. В случае если в частной фармакопейной статье указано предельное значение содержания для указанного специфицированного идентифицированного продукта деградации, следует устанавливать критерий приемлемости не выше установленного фармакопейного предела.

180. В случае если уровень продукта деградации превышает предел, указанный в частной фармакопейной статье, то следует провести квалификацию такого продукта деградации. В случае если надлежащая квалификация была осуществлена, заявитель вправе направить в Фармакопейный комитет Евразийского экономического союза обращение о пересмотре критерия приемлемости продукта деградации в частной фармакопейной статье Фармакопеи Союза.

181. В случае если в Фармакопее Союза, в фармакопеях государств-членов или в фармакопеях в соответствии с Концепцией гармонизации фармакопей, не установлен критерий приемлемости для указанного в спецификации продукта деградации, этот продукт деградации может быть квалифицирован посредством сравнения с соответствующим уровнем продукта деградации в препарате сравнения, критерий приемлемости должен соответствовать уровню продукта деградации, определяемому в препарате сравнения. При определенных обстоятельствах (например, если уровень значимой примеси продукта деградации способен оказать значимое влияние на такие показатели качества, как активность лекарственного препарата) требуется установить критерий приемлемости ниже квалифицированного уровня для того, чтобы гарантировать качество лекарственного препарата. В таком случае следует установить критерий приемлемости ниже квалифицированного уровня продуктов деградации.

4. Квалификация продуктов деградации

182. Заявителю следует представить обоснование установления критериев приемлемости для продуктов деградации, включающие в себя вопросы безопасности.

183. Специфицированный идентифицированный продукт деградации считается квалифицированным, если он удовлетворяет одному или нескольким из следующих условий:

а) наблюдаемый уровень продукта деградации и предлагаемый критерий приемлемости для продукта деградации не превышают уровень продукта деградации, наблюдаемый у препарата сравнения;

б) продукт деградации представляет собой значительный метаболит активной фармацевтической субстанции;

в) наблюдаемый уровень и предлагаемый критерий приемлемости для продукта деградации обоснованы в научной литературе;

г) наблюдаемый уровень и предлагаемый критерий приемлемости для продукта деградации не превышают уровень, который был надлежащим образом оценен посредством проведения токсикологических исследований.

184. Несмотря на то что токсичность отдельного продукта деградации или заданного профиля продуктов деградации может быть оценена с использованием приемлемой модели (например, с помощью анализа количественной структурно-функциональной зависимости (QSAR)), такие результаты не считаются окончательными для квалификации продуктов деградации.

Пороги квалификации

185. Рекомендуемые пороги квалификации для продуктов деградации, основанные на максимальной суточной дозе лекарственного препарата, приведены в таблице 2. В случае если эти пороги квалификации превышены, следует квалифицировать уровни продуктов деградации. В некоторых случаях для квалификации продуктов деградации целесообразно повысить или снизить пороги квалификации. Например, если есть доказательство того, что продукт деградации в определенных группах лекарственных препаратов родственной структуры или фармакотерапевтического класса ранее был связан с развитием нежелательных реакций у пациентов, может быть важно установить более низкий порог квалификации. И, наоборот, при отсутствии сомнений относительно безопасности продуктов деградации, может оказаться целесообразным установить более высокое значение порога квалификации для продуктов деградации. В рамках экспертизы регистрационного досье лекарственного препарата, в котором указаны в качестве порогов квалификации продуктов деградации иные (альтернативные) пороги квалификации, чем в таблице 2, заключение выносится экспертной организацией с учетом анализа таких вопросов, как:

а) предполагаемая для применения популяция пациентов;

б) эффекты класса, к которому принадлежит лекарственный препарат;

в) предшествующие (ранее полученные) данные о безопасности лекарственных препаратов содержащих действующие вещества подобного химического строения.

Процедура проведения квалификации

Схема решений N 4

Принятие решений в отношении идентификации и квалификации продуктов деградации для существующих лекарственных препаратов

Примечания:

<1> Более низкие пороговые значения могут считаться целесообразными, если продукт деградации является высоко токсичным.

<2> Например, позволяют ли данные безопасности об этом продукте деградации или его структурном классе, исключить воздействие на здоровье человека при имеющейся концентрации?

<3> Отличие от аналогичной схемы для новых лекарственных препаратов, описанных в разделе III настоящих Требований, состоит в том, что продукт деградации считается квалифицированным для существующего лекарственного препарата, если соблюдено одно или более из следующих условий:

наблюдаемый уровень и предлагаемый критерий приемлемости для продукта деградации в существующем лекарственном препарате не превышают уровня, обоснованного для препарата сравнения;

продукт деградации является значимым метаболитом активной фармацевтической субстанции;

наблюдаемый уровень и предлагаемый критерий приемлемости для продукта деградации адекватно обоснованы в научной литературе;

наблюдаемый уровень и предлагаемый критерий приемлемости для продукта деградации не превышают уровня, надлежащим образом оцененного в исследованиях токсичности.

<4> Если это обосновано, допускается проведение минимального скрининга (например, для определения генотоксического потенциала). Минимальным приемлемым объемом для проведения скрининга генотоксичности являются одно исследование по обнаружению точечных мутаций и одно исследование по обнаружению хромосомных аберраций (оба исследования проводятся в условиях in vitro).

<5> При необходимости проведения исследований общей токсичности следует спланировать одно или несколько исследований, позволяющих сравнить неквалифицированный и квалифицированный материалы. Продолжительность исследования должна основываться на имеющейся информации, и оно должно проводиться на видах тест-систем, позволяющих с наибольшей вероятностью добиться максимального увеличения потенциала обнаружения токсичности продукта деградации. В каждом конкретном случае может считаться целесообразным проведение однодозовых исследований (особенно в отношении лекарственных препаратов для однократного применения). Считается, что минимальная продолжительность исследования равна 14 дням, а максимальная продолжительность составляет 90 дней.

186. Схема решений N 4 описывает действия по квалификации продуктов деградации в существующем лекарственном препарате при превышении пороговых значений, приведенных в таблице 2. В некоторых случаях, снижение содержания продукта деградации в существующем лекарственном препарате (например, использование более защищенной системы упаковки (укупорки) или другие условия хранения) ниже порогового значения, может быть самым простым способом действий, чем предоставление дополнительных данных. В случае если безопасное содержание продукта деградации в лекарственном средстве надлежащим образом обосновано в научной литературе, дальнейшая квалификация продукта деградации не требуется.

187. Приемлемость исследований для квалификации продукта деградации будет зависеть от ряда факторов, в том числе от популяции пациентов, суточной дозы, а также от способа и продолжительности приема существующего лекарственного препарата. Такие исследования допускается проводить с лекарственным препаратом, содержащим продукты деградации, подлежащие контролю, также допускается проводить исследования с использованием выделенных продуктов деградации.

Сравнительные аналитические исследования

188. Продукт деградации, присутствующий в существующем лекарственном препарате, может быть квалифицирован посредством сравнения аналитических параметров существующего лекарственного препарата с аналогичными параметрами препарата сравнения с использованием валидированной аналитической процедуры (например, сравнительное ВЭЖХ исследование). В случае если образцы препарата сравнения в той же лекарственной форме недоступны, то профиль аналитических характеристик можно сравнить с профилем другого лекарственного препарата с тем же способом применения (путем введения) и сходными характеристиками (например, сравнить таблетку с капсулой). Необходимо, чтобы при квалификации посредством проведения сравнительных аналитических исследований учитывались максимальная суточная доза продукта деградации и способ применения (путь введения) обоих препаратов. Порог квалификации продукта деградации для конкретной лекарственной формы может быть неприменим ко всем лекарственным препаратам, содержащим этот продукт деградации, если максимальные суточные дозы или способы применения (пути введения) лекарственных препаратов различны. Следует провести исследования стабильности с использованием сравниваемых образцов (например, со сравнением уровней продуктов деградации в образцах в зависимости от возраста образцов) для адекватного сравнения профилей продуктов деградации.

189. Продукт деградации, присутствующий в существующем лекарственном препарате, считается квалифицированным, если количество идентифицированного продукта деградации в этом лекарственном препарате соответствует уровню, обнаруживаемому у препарата сравнения.

Использование данных научной литературы и сведений о продуктах деградации как значимых метаболитах

190. В случае если уровень специфицированного идентифицированного продукта деградации обоснован в научной литературе, дальнейшая квалификация не требуется. Кроме того, продукт деградации, который является значимым метаболитом активной фармацевтической субстанции, как правило, считается квалифицированным.

Исследования токсичности

191. Исследования токсичности являются наиболее трудозатратным методом квалификации продуктов деградации. Такие исследования проводятся в случае, если продукты деградации не могут быть квалифицированы с помощью ни одной из процедур, указанных в примечании 5 к схеме решений N 4. Исследования токсичности проводятся для обнаружения соединений, которые оказывают общетоксический или генотоксический эффект на экспериментальные тест-системы. Такие исследования должны проводиться либо с лекарственным препаратом или активной фармацевтической субстанцией, которые содержат подлежащие контролю продукты деградации, либо с использованием выделенных из лекарственного препарата (фармацевтической субстанции) продуктов деградации.

Приложение N 1
к Требованиям к проведению исследований
(испытаний) лекарственных средств в части
оценки и контроля содержания примесей

СПИСОК РАСТВОРИТЕЛЕЙ, ВКЛЮЧЕННЫХ В РАЗДЕЛ III "ОСТАТОЧНЫЕ РАСТВОРИТЕЛИ" НАСТОЯЩИХ ТРЕБОВАНИЙ

Растворитель Структурная формула Класс
общепринятое химическое наименование наименование по химической номенклатуре
Анизол Метоксибензол класс 3
Ацетон 2-пропанон, Пропан-2-он CH3COCH3 класс 3
Ацетонитрил   CH3CN класс 2
Бензол Бензен класс 1
1-бутанол н-бутиловый спирт Бутан-1-ол CH3(CH2)3OH класс 3
2-бутанол втор-бутиловый спирт, Бутан-2-ол CH3CH2CH(OH)CH3 класс 3
Бутилацетат Бутиловый эфир уксусной кислоты CH3COO(CH2)3CH3 класс 3
трет-бутилметиловый эфир 2-метокси-2-метилпропан (CH3)3COCH3 класс 3
Гексан н-гексан CH3(CH2)4CH3 класс 2
Гептан н-гептан CH3(CH2)5CH3 класс 3
N,N-диметилацетамид ДМА CH3CON(CH3)2 класс 2
Диметилсульфоксид Метилсульфинилметан, Метилсульфоксид, ДМСО (CH3)2SO класс 3
N,N-диметилформамид ДМФА HCON(CH3)2 класс 2
1,2-диметоксиэтан Диметиловый эфир этиленгликоля, Моноглим, Диметилцеллозольв H3COCH2CH2OCH3 класс 2
1,4-диоксан n-диоксан,
[1,4] диоксан
класс 2
Дихлорметан Метиленхлорид CH2Cl2 класс 2
1,2-дихлорэтан сим-дихлорэтан,
Этилен дихлорид,
Этилен хлорид
CH2ClCH2Cl класс 2
1,1-дихлорэтен 1,1-дихлорэтилен, Винилиден хлорид H2C=CCl2 класс 1
1,2-дихлорэтен 1,2-дихлорэтилен Ацетилен дихлорид ClHC=CHCl класс 1
Изобутилацетат Изобутиловый эфир уксусной кислоты CH3COOCH2CH(CH3)2 класс 3
Изопропилацетат Изопропиловый эфир уксусной кислоты CH3COOCH(CH3)2 класс 3
Ксилол <*> Диметилбензол класс 2
Кумол Изопропилбензол, (1-метил)этилбензол, кумин класс 3
Метанол Метиловый спирт CH3OH класс 2
Метилацетат Метиловый эфир уксусной кислоты CH3COOCH3 класс 3
3-метил-1-бутанол Изоамиловый спирт, Изопентиловый спирт, 3-метилбутан-1-ол (CH3)2CHCH2CH2OH класс 3
Метилбутилкетон 2-гексанон, Гексан-2-он CH3(CH2)3COCH3 класс 2
Метилизобутилкетон 4-метилпентан-2-он, 4-метил-2-пентанон, МИБК CH3COCH2CH(CH3)2 класс 2
N-метилпирролидон 1-метилпирролидин-2-он, 1-метил-2-пирролидинон класс 2
2-метил-1-пропанол Изобутиловый спирт, 2-метилпропанон-1-ол (CH3)2CHCH2OH класс 3
Метилциклогексан Циклогексилметан класс 2
Метилэтилкетон 2-бутанон,
МЭК,
Бутан-2-он
CH3CH2COCH3 класс 3
2-метоксиэтанол Метилцеллозольв CH3OCH2CH2OH класс 2
Муравьиная кислота Метановая кислота HCOOH класс 3
Нитрометан   CH3NO2 класс 2
Пентан n-пентан CH3(CH2)3CH3 класс 3
1-пентанол Амиловый спирт,
Пентан-1-ол,
Пентиловый спирт
CH3(CH2)3CH2OH класс 3
Пиридин   класс 2
1-пропанол Пропан-1-ол, Пропиловый спирт CH3CH2CH2OH класс 3
2-пропанол Пропан-2-ол, Изопропиловый спирт (CH3)2CHOH класс 3
Пропилацетат Пропиловый эфир уксусной кислоты CH3COOCH2CH2CH3 класс 3
Сульфолан Тетрагидротиофен 1,1-диоксид класс 2
Тетрагидрофуран Тетрагидрофуран, Оксациклопентан класс 2
Тетралин 1,2,3,4-тетрагидро-нафталин класс 2
Толуол Метилбензол класс 2
1,1,1-трихлорэтан Метилхлороформ CH3CCl3 класс 1
1,1,2-трихлорэтилен Трихлорэтилен HClC=CCl2 класс 2
Тетрахлорметан Тетрахлорид углерода, Углерод четыреххлористый CCl4 класс 1
Триэтиламин N,N-Диэтилэтанамин ТЭА N(CH2CH3)3 класс 3
Уксусная кислота этановая кислота CH3COOH класс 3
Формамид Метанамид HCONH2 класс 2
Хлорбензол   класс 2
Хлороформ Трихлорметан CHCl3 класс 2
Циклогексан Гексаметилен класс 2
Этанол Этиловый спирт CH3CH2OH класс 3
Этилацетат Этиловый эфир уксусной кислоты CH3COOCH2CH3 класс 3
Этиленгликоль 1,2-дигидроксиэтан, 1,2-этандиол HOCH2CH2OH класс 2
Этиловый эфир Диэтиловый эфир, Этоксиэтан, 1,1'-оксибисэтан CH3CH2OCH2CH3 класс 3
Этилформиат Этиловый эфир муравьиной кислоты HCOOCH2CH3 класс 3
2-этоксиэтанол Целлозольв CH3CH2OCH2CH2OH класс 2

<*> Указанная классификация применима к ксилолу, представляющему собой смесь 60% m-ксилола, 14% n-ксилола, 9% o-ксилола и 17% этилбензола.

Приложение N 2
к Требованиям к проведению исследований
(испытаний) лекарственных средств в части
оценки и контроля содержания примесей

УКАЗАНИЯ ПО ПРЕДСТАВЛЕНИЮ ДОПОЛНИТЕЛЬНОЙ ИНФОРМАЦИИ ПО ОСТАТОЧНЫМ РАСТВОРИТЕЛЯМ

1. Информация о влиянии органических летучих растворителей на окружающую среду

При подготовке информации об остаточных органических летучих растворителей, используемых в фармацевтическом производстве, производитель лекарственных препаратов и активных фармацевтических субстанций производитель вправе использовать пороговые значения приемлемых уровней воздействия на окружающую среду, установленные в документах Всемирной Организации Здравоохранения ("Критерии здоровья окружающей среды" (Environmental Health Criteria, EHC)), либо установленные в рамках Международной программы по химической безопасности (International Programme on Chemical Safety, IPCS) Всемирной Организации Здравоохранения. Основной целью указания информации о влиянии органических летучих растворителей на окружающую среду в регистрационном досье лекарственного препарата является защита здоровья человека и окружающей среды от возможного негативного влияния химических соединений в результате длительного воздействия. Методы, используемые для оценки максимальных, безопасных допустимых норм воздействия, обычно основываются на долгосрочных исследованиях. Если данные долгосрочных испытаний недоступны, допускается использовать данные краткосрочных испытаний с модификацией подхода (например, использование более высоких модифицирующих факторов). Подход, описанный в разделе IV настоящих Требований, относится, прежде всего, к длительному воздействию остаточных растворителей или их воздействию в течении всей продолжительности жизни человека через воздух, продовольствие, питьевую воду и другие источники.

2. Информация об остаточных растворителях в лекарственных средствах

При установлении допустимых норм воздействия остаточных растворителей на человека производителем лекарственного средства должны быть приняты некоторые предположения (допущения) исходя из вида остаточных растворителей, которые используются в процессе синтеза и изготовления лекарственных средств, а именно:

а) лекарственные препараты для лечения болезней или для профилактики с целью предотвращения возникновения инфекции или болезни использует не все население, а только пациенты люди, относящиеся к группам риска соответственно;

б) предположение о воздействии на продолжительность жизни пациента не обязательно реализуется для большинства лекарственных средств, но может рассматриваться как рабочая гипотеза, чтобы уменьшить риск для здоровья человека.

в) остаточные растворители являются неизбежными компонентами фармацевтического производства и часто являются частью лекарственных средств и вспомогательных веществ.

г) остаточные растворители не должны превышать рекомендуемые концентрации, кроме исключительных обстоятельств.

д) данные токсикологических исследований, которые используются для определения приемлемых концентраций остаточных растворителей, должны быть документально подтверждены (зафиксированы) с использованием соответствующих протоколов исследований.

Приложение N 3
к Требованиям к проведению исследований
(испытаний) лекарственных средств в части
оценки и контроля содержания примесей

МЕТОДЫ УСТАНОВЛЕНИЯ ДОПУСТИМОГО СУТОЧНОГО ВОЗДЕЙСТВИЯ ОСТАТОЧНЫХ РАСТВОРИТЕЛЕЙ

Для оценки степени риска канцерогенных растворителей класса 1 используют метод Гейлора-Коделя (Gaylor-Kodell). Для установления допустимого суточного воздействия остаточных растворителей экстраполяцию с использованием математических моделей следует применять только в тех случаях, когда есть достоверные данные о канцерогенности растворителей. Пределы воздействия для растворителей класса 1 могли быть определены с использованием высокого значения коэффициента безопасности (например, от 10 000 до 100 000) для определения максимальной недействующей дозы (noobserved-effect level, NOEL). Обнаружение и количественное определение этих растворителей следует проводить валидированными аналитическими методиками.

Пределы воздействия для растворителей класса 2 в разделе IV настоящих Требований были установлены путем вычисления значений допустимого суточного воздействия растворителей согласно общепринятым методикам определения допустимых норм воздействия в лекарственных средствах и методам, принятым Международной программой по химической безопасности (IPCS) для оценки риска химических веществ в отношении здоровья человека. Метод расчета описан ниже для пояснения процедуры установления значений допустимого суточного воздействия. При использовании значений допустимого суточного воздействия растворителей, приведенных в таблице 6 настоящих Требований, данные вычисления проводить и представлять не требуется.

Значение допустимого суточного воздействия преимущественно получают на основании NOEL. Если значения NOEL неизвестны, могут быть использованы значения LOEL. В качестве значений используемых коэффициентов безопасности, для экстраполяции на человека, данных, полученных на животных, допускается использовать значения "коэффициентов неопределенности", которые применяются в документах Всемирной Организации Здравоохранения ("Критерии здоровья окружающей среды" (Environmental Health Criteria, EHC)). Во всех расчетах принимается предположение о 100% системном воздействии вещества независимо от пути введения лекарственного препарата.

При исследованиях на животных значения допустимого суточного воздействия рассчитывают исходя из максимальной недействующей дозы (NOEL) или минимальной действующей дозы (LOEL) по формуле 1:

(1)

где:

ДСВ - допустимое суточное воздействие (мкг/сут)

NOEL - максимальная недействующая доза (мг/кг x сут)

m - масса тела "среднего человека" (кг)

- коэффициенты безопасности.

- коэффициент безопасности для расчета экстраполяции между видами:

= 1 для данных, полученных в исследованиях с участием человека;

= 5 для экстраполяции на человека данных, полученных при исследованиях на крысах;

= 12 для экстраполяции на человека данных, полученных при исследованиях на мышах;

= 2,5 для экстраполяции на человека данных, полученных при исследованиях на кроликах;

= 2 для экстраполяции на человека данных, полученных при исследованиях на собаках;

= 3 для экстраполяции на человека данных, полученных при исследованиях на обезьянах;

= 10 для экстраполяции на человека данных, полученных при исследованиях на других животных.

рассчитывают как частное отношений площади поверхности тела к массе тела для соответствующего вида животного и человека, либо как частное отношений иных физиологических параметров, указанных в таблице к массе тела для соответствующего вида животного и человека.

(2)

где:

- площадь поверхности тела соответствующего животного (м2);

- масса тела соответствующего животного (кг);

- площадь поверхности тела "среднего человека" (м2);

- масса тела "среднего человека" (кг).

Площадь поверхности тела рассчитывается по формуле 3.

(3)

где

m - масса тела;

k - константа, значение которой принято равным 10.

Значения массы тела, используемые для расчета по формулам 2 и 3, приведены в таблице.

Таблица

Значения, используемые при расчетах по формулам 2 и 3

Физиологический показатель Значение
Масса крысы 425 г
Масса беременной крысы 330 г
Масса мыши 28 г
Масса беременной мыши 30 г
Масса морской свинки 500 г
Масса макаки-резус 2,5 кг
Масса кролика или крольчихи (беременной или не беременной) 4 кг
Масса гончей собаки (бигль) 11,5 кг
Дыхательный объем крысы 290 л/сут
Дыхательный объем мыши 43 л/сут
Дыхательный объем кролика 1 440 л/сут
Дыхательный объем морской свинки 430 л/сут
Дыхательный объем человека 28 800 л/сут
Дыхательный объем собаки 9 000 л/сут
Дыхательный объем обезьяны 1 150 л/сут
Потребление воды мышью 5 мл/сут
Потребление воды крысой 30 мл/сут
Потребление пищи крысой 30 г/сут

- коэффициент равный 10, учитывающий индивидуальную изменчивость видов. Значение коэффициента равное 10, если не обосновано иное, применяют для всех органических растворителей.

- коэффициент значимости данных, в зависимости от длительности исследований токсичности:

= 1 для исследований, которые длятся, по меньшей мере, в течение периода, равного половине продолжительности жизни животных (1 год для грызунов и кроликов, 7 лет для собак, котов и обезьян).

= 1 для исследований репродуктивной токсичности, которые охватывают весь период органогенеза.

= 2 для исследований токсичности в течение 6 месяцев на грызунах, или 3,5 лет - на не грызунах.

= 5 для исследований токсичности в течение 3 месяцев на грызунах, или 2 лет - на не грызунах.

= 10 для исследований токсичности более короткой продолжительности, чем в случаях, указанных для значений = 5.

Для всех промежуточных исследований токсичности необходимо использовать более высокий коэффициент (например, для 9-месячных испытаний на грызунах используется коэффициент равный 2).

- коэффициент, который может применяться при высокой токсичности растворителя, например, негенотоксичной канцерогенности, нейротоксичности или тератогенности. Для учета данных, полученных в исследованиях репродуктивной токсичности используются следующие коэффициенты:

= 1 при эмбриональной токсичности, связанной с воздействием на организм матери;

= 5 для эмбриональной токсичности, не связанной с воздействием на организм матери;

= 5 для тератогенного эффекта, связанного с воздействием на организм матери;

= 10 для тератогенного эффекта, не связанного с воздействием на организм матери.

- переменный коэффициент, который следует применять, если NOEL не был установлен. Если доступны только данные уровня LOEL то, в зависимости от уровня токсичности, допускается использовать значение данного коэффициента вплоть до 10.

В данных расчетах масса тела взрослого "среднего человека" любого пола принимается равной 50 кг. Эта относительно низкая масса обеспечивает дополнительный коэффициент безопасности по отношению к человеку стандартной массы 60 - 70 кг. Поскольку взрослые пациенты могут иметь массу тела менее 50 кг, допускается в таких случаях при определении допустимого суточного воздействия использовать иные обоснованные коэффициенты. Если лекарственное средство, содержащее растворитель, предназначено для применения в педиатрии, то необходимо сделать корректировку на более низкую массу тела.

В качестве примера применения расчетов ниже приведена оценка уровня допустимого суточного воздействия по итогам исследований 13-ти недельной токсичности ацетонитрила на мышах, в ходе которых не было обнаружено серьезных токсикологических реакций. Для ацетонитрила значение NOEL составляет 50,7 мг/(кг x сут). Допустимое суточное воздействие для ацетонитрила рассчитывается следующим образом:

В данном примере расчета:

= 12, чтобы обеспечить экстраполяцию на человека данных, полученных при исследованиях на мышах;

= 10, позволяет учесть индивидуальную изменчивость;

= 5, поскольку продолжительность испытаний составила только 13 недель;

= 1, поскольку не было установлено серьезной токсичности ацетонитрила;

= 1, поскольку был определен уровень воздействия, не вызывающий эффекта.

Для перерасчета концентраций газов, используемых в ингаляционных исследованиях токсичности из ppm в мг/л или мг/м3, необходимо использовать уравнение состояния идеального газа:

где:

p - давление газа (атм);

V - объем газа (л);

m - масса вещества (мг);

M - молярная масса вещества (мг/моль);

R - универсальная газовая постоянная ();

T - температура при нормальных условиях (K).

В качестве примера применения расчета ниже приведена оценка исследований репродуктивной токсичности газовой смеси с парциальным давлением тетрахлорметана в 300 x атмосфер при ингаляции у крыс:

Для перевода в мг/мл используется соотношение 1000 л = 1 м3.

Приложение N 4
к Требованиям к проведению исследований
(испытаний) лекарственных средств в части
оценки и контроля содержания примесей

УКАЗАНИЯ ПО СОСТАВЛЕНИЮ СПЕЦИФИКАЦИЙ ОСТАТОЧНЫХ РАСТВОРИТЕЛЕЙ КЛАССА 1 И КЛАССА 2 В АКТИВНЫХ ФАРМАЦЕВТИЧЕСКИХ СУБСТАНЦИЯХ

1. Спецификации растворителей класса 1

Растворители класса 1 не должны использоваться при изготовлении активных фармацевтических субстанций, вспомогательных веществ и лекарственных препаратов из-за их неприемлемой токсичности или вредного воздействия на окружающую среду. Однако если их использование неизбежно для производства лекарственного препарата с существенным терапевтическим результатом, то их концентрации подлежат ограничению в соответствии с предельными концентрациями, установленными требованиям Фармакопеи Союза, если нет иного обоснования.

Использование растворителя класса 1 в процессе производства активных фармацевтических субстанций допускается обосновывать исходя из текущих научно-технических знаний и этапа производственного процесса, на котором применяется этот растворитель. Например, использование растворителя класса 1 неизбежно для конкретной химической реакции, или желаемый профиль чистоты можно получить, используя только растворитель класса 1. Если растворитель класса 1 используется на более раннем этапе производственного процесса, и отсутствие этого растворителя доказано в подходящем промежуточном продукте, такой подход может быть приемлемым (например, химическая реакция Фриделя - Крафтса).

Максимально допустимое предельное содержание растворителя класса 1 в промежуточном продукте или в готовой активной фармацевтической субстанции, независимо от того, используется ли он в качестве растворителя, исходного материала, присутствует в виде побочного продукта или присутствует в растворителе, должно соответствовать допустимым нормам, указанным в разделе IV настоящих Требований, если нет иного обоснования (например, переоценки соотношения "польза - риск" для иной нормы данного растворителя).

2. Растворители класса 1, используемые в качестве исходных материалов

В качестве исходных материалов допускается использовать некоторые растворители класса 1, такие как бензол и 1,2-дихлорэтан, если этого нельзя избежать.

Использование бензола в качестве исходного материала неизбежно, если бензол является структурным элементом активной фармацевтической субстанции.

Бензол, как исходный материал, обычно используется на самых ранних этапах химического синтеза, задолго до получения основного исходного материала. При таком подходе бензол не упоминается в описании производственного процесса, которое начинают с основного исходного материала. В случае, если одним из производителей описывается в регистрационном досье путь синтеза активной фармацевтической субстанции с более позднего этапа производства (начиная с основного исходного материала), в вторым производителем, описание процессов синтеза начинается с более ранних этапов (этапов получения основного исходного материала начиная с бензола или иного растворителя класса 1), требование исключить бензол (иной растворитель класса 1) из производственного процесса не применяется к такому производителю.

При использовании растворителей класса 1 в качестве исходных материалов они подлежат регулярному контролю либо в промежуточном продукте, либо в готовой активной фармацевтической субстанции.

3. Растворители класса 1, присутствующие в виде примесей

Бензол в активной фармацевтической субстанции может быть побочным продуктом химической реакции (например, реакция Гриньяра, когда используемый в избытке магний галоидфенил гидролизуется с получением бензола) или может возникать из другого растворителя, например, толуола или ацетона, в котором бензол представляет собой известную технологическую примесь.

Если растворитель класса 1 может присутствовать в другом растворителе (например, толуоле или ацетоне, содержащем бензол), обычный тест для этого растворителя на промежуточном продукте или на готовой активной фармацевтической субстанции не требуется, если:

предельное содержание растворителя-инициатора, такое, что растворитель класса 1 будет присутствовать в активной фармацевтической субстанции в концентрации ниже предельного содержания, установленного в настоящих Требованиях, с учетом максимального вероятного уровня загрязнения растворителем класса 1. В случае если применяется данный критерий, производитель должен принять во внимание и оценить летучесть обоих растворителей в процессе высушивания;

с помощью валидированного метода было доказано, что концентрация растворителя класса 1 составляет не более 30% от установленного предельного содержания в промежуточном веществе или готовой активной фармацевтической субстанции. Подтверждающие данные должны быть представлены в 6 последовательных пилотных партиях или 3 последовательных партиях промышленного масштаба;

спецификация используемого растворителя-инициатора включает в себя регулярно проводимое испытание и установленный предел для содержания растворителя класса 1.

4. Спецификации растворителей класса 2

Использование растворителей класса 2 в качестве исходных материалов или растворителей, подлежит регулярному контролю в промежуточном продукте, либо в готовой активной фармацевтической субстанции в зависимости от этапа (этапов) химического синтеза, на которых они используются.

Предельное содержание, установленное для растворителей класса 2 в активной фармацевтической субстанции, должно соответствовать требованиям раздела IV настоящих Требований.

5. Растворители класса 2, используемые на последнем этапе химического синтеза

При использовании растворителя класса 2 на последнем этапе химического синтеза он подлежит регулярному контролю в готовой активной фармацевтической субстанции.

6. Растворители класса 2, используемые перед последним этапом химического синтеза

Растворители класса 2, используемые перед последним этапом синтеза, не включаются в спецификацию активной фармацевтической субстанции, если на подходящем промежуточном продукте или на готовой активной фармацевтической субстанции было доказано, что содержание растворителей класса 2 не превышает 10% от допустимого предела концентрации (например, для ацетонитрила 41 ppm), указанной в разделе IV настоящих Требований. При испытании, предельное содержание растворителей класса 2 в активной фармацевтической субстанции, должно соответствовать положениям настоящих Требований.

Для обоснования отказа от проведения обычного испытания для растворителей класса 2 в готовой активной фармацевтической субстанции или в промежуточном продукте результаты определения предельного содержания указанных растворителей должны быть представлены из 6 последовательных пилотных серий или 3 последовательных серий промышленного масштаба промежуточного продукта или готовой активной фармацевтической субстанции.

7. Изменения процессов производства

При внесении изменения в процесс производства, в котором изначально было подтверждено, что концентрация растворителя класса 1 или класса 2 находится ниже установленного предельного содержания для обычного испытания, производителю следует рассмотреть влияние такого изменения на концентрацию растворителей и при необходимости повторить проверку.

Приложение N 5
к Требованиям к проведению исследований
(испытаний) лекарственных средств в части
оценки и контроля содержания примесей

УКАЗАНИЯ ПО СОСТАВЛЕНИЮ СПЕЦИФИКАЦИЙ ОСТАТОЧНЫХ РАСТВОРИТЕЛЕЙ, ИСПОЛЬЗУЕМЫХ ПРИ ПРОИЗВОДСТВЕ ГОТОВЫХ ЛЕКАРСТВЕННЫХ ПРЕПАРАТОВ

1. Обоснование использования органических растворителей при производстве готового лекарственного препарата

Органические растворители могут использоваться при производстве лекарственных препаратов по разным причинам, например:

в качестве грануляционного растворителя при производстве таблеток;

входить в раствор для покрытия таблетки;

в виде растворителя для адгезивов, используемых при производстве трансдермальных пластырей;

в качестве растворителя для полимеров, используемых в производстве имплантатов.

Обоснование и выбор растворителей, используемых при производстве готовых лекарственных препаратов, должны быть включены в документацию по фармацевтическим разработкам. Например, в качестве растворителя для гранулирования и (или) для подготовки раствора для покрытия таблеток можно предложить этанол, если будет доказано, что активная фармацевтическая субстанция очень чувствительна к влажности. Применения органических растворителей также нельзя избежать при необходимости введения в производство препарата определенных полимеров. Использование растворителя класса 1 при производстве готового лекарственного препарата не допускается.

2. Спецификации готового лекарственного препарата с использованием органических растворителей при его производстве

Тест на органические остаточные растворители, используемые при производстве готовых лекарственных препаратов, должен быть включен в спецификации этого препарата. Результаты валидации процесса производства не являются достаточным основанием для отказа от включения испытания на остаточные растворители в спецификации готовых лекарственных препаратов, но их можно использовать для обоснования частоты проведения таких испытаний.

При использовании только растворителей класса 3, рутинные испытания на потерю массы при высушивании с критерием приемлемости < 0,5% допустимы, если испытание проходит надлежащую валидацию на определение соответствующего растворителя (растворителей). В тех случаях, когда концентрацию остаточных растворителей класса 3 нельзя уменьшить до этого уровня (или) при использовании в производстве растворителей класса 2, следует использовать специальные (хроматографические) способы.

Приложение N 6
к Требованиям к проведению исследований
(испытаний) лекарственных средств в части
оценки и контроля содержания примесей

ПРИМЕРЫ РАСЧЕТОВ ДЛЯ УСТАНОВЛЕНИЯ ДОПУСТИМОГО СУТОЧНОГО ВОЗДЕЙСТВИЯ ПРИМЕСЕЙ ЭЛЕМЕНТОВ

Допустимый уровень воздействия большинства элементов в составе примесей элементов определяется с помощью расчета значений допустимого суточного воздействия на основании процедур установления пределов воздействия для лекарственных препаратов и методики оценки рисков для здоровья человека, связанных с воздействием химических веществ, предложенной Международной программой по химической безопасности (IPCS) Всемирной организации здравоохранения. Ниже приведены примеры расчетов для установления значения допустимого суточного воздействия. Если для получения допустимого суточного воздействия используется минимальный уровень риска (MRL), не требуется учитывать дополнительные модифицирующие факторы, поскольку они уже использованы при его расчете. Показатели единичного канцерогенного риска применяются для установления допустимого суточного воздействия с использованием уровня риска 1:100 000. Уровни допустимого суточного воздействия для ингаляционного пути введения допустимо могут быть получены с использованием пределов воздействия на рабочем месте, применением модифицирующих факторов и учетом любых специфических воздействий примесей на дыхательную систему.

Допустимое суточное воздействие рассчитывают по формуле 1, приведенной в приложении N 3 к настоящим Требованиям, исходя из дозы, не оказывающей видимого нежелательного эффекта (NOAEL), или наименьшей дозы, оказывающей явный нежелательный эффект (LOAEL), значения которых были установлены по результатам наиболее актуальных исследованиях на животных.

Допустимое суточное воздействие предпочтительно вычислять с использованием NOAEL. Если не было получено значения NOAEL, допускается использовать значение LOAEL. Допускается использование вместо установленных в настоящем Руководстве значений коэффициентов безопасности для экстраполяции на человека данных, которые получены на животных, аналогичных значений "коэффициентов неопределенности", которые установлены в документах Всемирной Организации Здравоохранения ("Критерии здоровья окружающей среды" (Environmental Health Criteria, EHC)) или "поправочных коэффициентов", которые установлены в публикациях "Фармакопейного форума США".

Значения модифицирующих факторов - соответствуют значениям, указанным в приложении N 3 к настоящим Требованиям. Значение модифицирующего фактора принимается равным 10 для всех примесей элементов в целом.

Для модифицирующего фактора принимаются следующие значения:

= 1 - для максимальной недействующей дозы препарата (NOEL);

= 1 - 5 - если определена доза лекарственного препарата, не оказывающая видимых нежелательных эффектов (NOAEL);

= 5 - 10 - если определена минимальная действующая доза лекарственного препарата (LOEL);

= 10 - если определена минимальная доза лекарственного препарата, приводящая к развитию явных нежелательных эффектов.

Для установления уровня допустимого суточного воздействия для перорального пути введения для большинства элементов используются значения NOAEL и = 1, поскольку в ранее выполненных исследованиях не фиксировалась разница между NOAEL и NOEL, а токсичность при приеме дозы, выбранной для определения уровня допустимого суточного воздействия, не считалась "нежелательной".

В расчетах уровня допустимого суточного воздействия масса тела взрослого "среднего человека" любого пола принимается равной 50 кг. Эта относительно низкая масса обеспечивает дополнительный коэффициент безопасности по отношению к человеку стандартной массы 60 - 70 кг. Поскольку в определенных случаях взрослые пациенты могут иметь массу тела менее 50 кг, в таких случаях при определении допустимого суточного воздействия допускается использовать иные обоснованные коэффициенты. Так при установлении допустимого суточного воздействия свинца использовались данные, полученные в педиатрической популяции, поскольку считается, что дети наиболее чувствительны к этому элементу. Таким образом, данное допустимое суточное воздействие считается соответствующим для лекарственных препаратов, предназначенных для детей.

В качестве примера применения расчета ниже приведена оценка уровня допустимого суточного воздействия по итогам исследований токсичности кобальта на добровольцах при 90 дневном воздействии. NOAEL при кобальтовой полицитемии составляет 1 мг/сутки. Допустимое суточное воздействие кобальта при этом исследовании рассчитывается следующим образом:

В этом примере:

= 1, так как исследование проведено с участием человека;

= 10 поскольку индивидуальная изменчивость признака у людей высокая;

= 2, потому что исследование длилось 90 дней,

= 1, поскольку не было обнаружено тяжелой токсичности,

= 1, поскольку была установлена величина NOAEL.

Приложение N 7
к Требованиям к проведению исследований
(испытаний) лекарственных средств в части
оценки и контроля содержания примесей

ЗНАЧЕНИЯ УСТАНОВЛЕННЫЕ ДЛЯ ДОПУСТИМОГО СУТОЧНОГО ВОЗДЕЙСТВИЯ ПРИМЕСЕЙ ЭЛЕМЕНТОВ

Таблица 1

Допустимое суточное воздействие примесей элементов <1>

Элемент Класс <2> Допустимое суточное воздействие при пероральном пути введения, мкг/сут Допустимое суточное воздействие при парентеральном пути введения, мкг/сут Допустимое суточное воздействие при ингаляционном пути введения, мкг/сут
Кадмий (Cd) 1 5 2 3
Свинец (Pb) 1 5 5 5
Мышьяк (As) 1 15 15 2
Ртуть (Hg) 1 30 3 1
Кобальт (Co) 2A 50 5 3
Ванадий (V) 2A 100 10 1
Никель (Ni) 2A 200 20 5
Таллий (Tl) 2B 8 8 8
Золото (Au) 2B 100 100 1
Палладий (Pd) 2B 100 10 1
Иридий (Ir) 2B 100 10 1
Осмий (Os) 2B 100 10 1
Родий (Rh) 2B 100 10 1
Рубидий (Ru) 2B 100 10 1
Селен (Se) 2B 150 80 130
Серебро (Ag) 2B 150 10 7
Платина (Pt) 2B 100 10 1
Литий (Li) 3 550 250 25
Сурьма (Sb) 3 1 200 90 20
Барий (Ba) 3 1 400 700 300
Молибден (Mo) 3 3 000 1 500 10
Медь (Cu) 3 3 000 300 30
Олово (Sn) 3 6 000 600 60
Хром (Cr) 3 11 000 1 100 3

<1> Допустимое суточное воздействие (мкг/сутки), установлено на основании имеющихся данных о безопасности и применяется к новым лекарственным препаратам. В данной таблице допустимое суточное воздействие округлено до 1 или 2 значащих цифр для удобства применения на практике. Значения допустимого суточного воздействия, которые меньше 10, имеют 1 значащую цифру и округлены до ближайшего целого числа. Значения допустимого суточного воздействия, которые больше 10, округлены до 1 или 2 значащих цифр в установленном порядке. Правила округления применяемые в этой таблице, допускается использовать к значениям допустимого суточного воздействия, рассчитанным для других способов применения.

<2> Указанные классы элементов соответствуют классификации, приведенной в подразделе 3 раздела V настоящих Требований.

Значения, приведенные в таблице 2 представляют собой допустимые концентрации примесей элементов в активных фармацевтических субстанциях, вспомогательных веществах и лекарственных препаратах, выраженные в микрограммах на грамм. Эти предельные значения допустимой концентрации предназначены для использования при выборе варианта 1, описанного в приложении N 8 к настоящим Требованиям, для оценки содержания примесей элементов в лекарственных средствах, суточная доза которых не более 10 граммов. Таблица 2 основана на данных, содержащихся в таблице 1.

Таблица 2

Допустимые концентрации примесей элементов для варианта 1

Элемент Класс Допустимая концентрация для перорального пути введения, мкг/г Допустимая концентрация для парентерального пути введения, мкг/г Допустимая концентрация для ингаляционного пути введения, мкг/г
Cd 1 0,5 0,2 0,3
Pb 1 0,5 0,5 0,5
As 1 1,5 1,5 0,2
Hg 1 3 0,3 0,1
Co 2A 5 0,5 0,3
V 2A 10 1 0,1
Ni 2A 20 2 0,5
Tl 2B 0,8 0,8 0,8
Au 2B 10 10 0,1
Pd 2B 10 1 0,1
Ir 2B 10 1 0,1
Os 2B 10 1 0,1
Rh 2B 10 1 0,1
Ru 2B 10 1 0,1
Se 2B 15 8 13
Ag 2B 15 1 0,7
Pt 2B 10 1 0,1
Li 3 55 25 2,5
Sb 3 120 9 2
Ba 3 140 70 30
Mo 3 300 150 1
Cu 3 300 30 3
Sn 3 600 60 6
Cr 3 1 100 110 0,3

Приложение N 8
к Требованиям к проведению исследований
(испытаний) лекарственных средств в части
оценки и контроля содержания примесей

ПРИМЕРЫ РАСЧЕТОВ ПРИ ОПРЕДЕЛЕНИИ УРОВНЕЙ ПРИМЕСЕЙ И ОЦЕНКЕ РИСКОВ ИХ ВОЗДЕЙСТВИЯ

1. Примеры преобразования допустимого суточного воздействия в допустимую концентрацию примесей элементов

Вариант 1. Разрешенные общие пределы концентрации примесей элементов из различных составных компонентов лекарственных препаратов для ежедневного применения в дозах не более 10 г.

Для этого примера рассмотрим твердый лекарственный препарат для приема внутрь с максимальной суточной дозой 2,5 г, содержащий 9 компонентов (одна активная фармацевтическая субстанция и 8 вспомогательных веществ, в соответствии с таблицей 1). Поскольку суточная доза этого лекарственного препарата не превышает максимальную (10 грамм), можно пользоваться значениями концентрации примесей элементов, приведенными в таблице 2 приложения N 7 к настоящим Требованиям. Ввиду того, что в варианте 1 определена общая допустимая концентрация примесей, все 9 компонентов могут присутствовать в составе лекарственного препарата в любой пропорции. При синтезировании лекарственного препарата используются катализаторы на основе Pd и Ni, а также, исходя из оценки рисков, требуется обратить внимание на Pb, As, Cd, Hg и V. Максимальная суточная доза каждой из примесей элементов в составе лекарственного препарата приводится в таблице 2. При этом предполагается, что каждая примесь элемента присутствует в нем в концентрации, указанной в таблице 2 приложения N 7 к настоящим Требованиям. Максимально возможная суточная доза примеси элемента определяется, исходя из фактической ежедневно принимаемой дозы лекарственного препарата и указанного в таблице 2 приложения N 7 к настоящим Требованиям предела концентрации этой примеси элемента (концентрация умножается на фактическое суточное потребление лекарственного препарата, составляющее 2,5 грамма). Максимальная суточная доза для каждой из примесей элементов не является суммой значений в отдельных столбцах таблицы 2.

Этот расчет показывает, что по содержанию ни одна из примесей элементов не превышает допустимое суточное воздействие этих примесей. Таким образом, если эти концентрации не превышены ни в одном из компонентов, гарантируется, что максимальное суточное потребление примесей в лекарственном препарате не выходит за рамки допустимого суточного воздействия по каждой из идентифицированных примесей элементов.

Таблица 1

Максимальное суточное потребление компонентов лекарственного препарата

Компонент Суточное потребление, г
Активная фармацевтическая субстанция 0,200
Микрокристаллическая целлюлоза 1,100
Лактоза 0,450
Фосфат кальция 0,350
Кросповидон 0,265
Стеарат магния 0,035
Гидроксипропилметилцеллюлоза 0,060
Диоксид титана 0,025
Оксид железа 0,015
Лекарственный препарат 2,500

Таблица 2

Пример расчета допустимых концентраций, примесей элементов приведенных в таблице 2 приложения N 7 к настоящим Требованиям (исходя из однородных концентраций и суточной дозы лекарственного препарата 10 грамм)

Компонент или уровень воздействия Максимальная допустимая концентрация, мкг/г
Pb As Cd Hg Pd V Ni
Активная фармацевтическая субстанция 0,5 1,5 0,5 3 10 10 20
Микрокристаллическая целлюлоза 0,5 1,5 0,5 3 10 10 20
Лактоза 0,5 1,5 0,5 3 10 10 20
Фосфат кальция 0,5 1,5 0,5 3 10 10 20
Кросповидон 0,5 1,5 0,5 3 10 10 20
Стеарат магния 0,5 1,5 0,5 3 10 10 20
Гидроксипропилметилцеллюлоза 0,5 1,5 0,5 3 10 10 20
Диоксид титана 0,5 1,5 0,5 3 10 10 20
Оксид железа 0,5 1,5 0,5 3 10 10 20
Максимальное ежедневное потребление (мкг) 1,25 3,75 1,25 7,5 25 25 50
Допустимое суточное воздействие (мкг/сутки) 5 15 5 30 100 100 200

Вариант 2а. Разрешенные общие пределы концентрации примесей элементов из различных компонентов лекарственных препаратов для ежедневного применения в определенных дозах.

Для этого примера рассмотрим тот же твердый лекарственный препарат для приема внутрь в максимальной суточной дозе 2,5 г, содержащий 9 компонентов (одна активная фармацевтическая субстанция и 8 вспомогательных веществ, в соответствии с таблицей 1), который рассматривался для варианта 1. Ввиду того, что в варианте 2а определена общая допустимая концентрация примесей, все 9 компонентов могут присутствовать в составе лекарственного препарата в любой пропорции. При синтезировании лекарственного препарата используются катализаторы на основе Pd и Ni, а также, исходя из оценки рисков, требуется обратить внимание на Pb, As, Cd, Hg и V. Максимальная концентрация каждой из примесей элементов, идентифицированных в ходе оценки рисков, может быть рассчитана с помощью значений допустимого суточного воздействия, указанных в таблице 1 приложения N 7 и формуле, приведенной в пункте 74 настоящих Требований.

Максимально возможная суточная доза примеси элемента определяется, исходя из фактической ежедневно принимаемой дозы лекарственного препарата и указанного в таблице 3 предела концентрации этой примеси элемента (концентрация умножается на фактическое суточное потребление препарата, составляющее 2,5 грамма). Максимальная суточная доза для каждой из примесей элементов не является суммой значений в отдельных столбцах таблицы 3.

Этот расчет также показывает, что по содержанию ни одна из примесей элементов не превышает допустимое суточное воздействие. Таким образом, поскольку эти концентрации не превышены ни в одном из компонентов, гарантируется, что максимальное суточное потребление примесей в лекарственном препарате не выходит за рамки допустимого суточного воздействия по каждой из идентифицированных примесей элементов.

Четырехкратное увеличение допустимой концентрации в варианте 2а по сравнению с пределами концентрации, указанными для варианта 1, объясняется использованием для расчетов суточных доз лекарственного препарата в 10 и 2,5 г, соответственно.

Таблица 3

Пример расчета максимально допустимых концентраций, при условии однородных концентраций примесей элементов в лекарственном препарате для ежедневного применения в определенных суточных дозах

Компонент или уровень воздействия Максимальная допустимая концентрация (мкг/г)
Pb As Cd Hg Pd V Ni
Активная фармацевтическая субстанция 2 6 2 12 40 40 80
Микрокристаллическая целлюлоза 2 6 2 12 40 40 80
Лактоза 2 6 2 12 40 40 80
Фосфат кальция 2 6 2 12 40 40 80
Кросповидон 2 6 2 12 40 40 80
Стеарат магния 2 6 2 12 40 40 80
Гидроксипропилметилцеллюлоза 2 6 2 12 40 40 80
Диоксид титана 2 6 2 12 40 40 80
Оксид железа 2 6 2 12 40 40 80
Максимальное ежедневное потребление (мкг) 5 15 5 30 100 100 200
Допустимое суточное воздействие (мкг/сут) 5 15 5 30 100 100 200

Вариант 2б. Разрешенные пределы концентрации примесей элементов из различных составных компонентов лекарственного препарата для ежедневного применения в определенных дозах.

Для этого примера рассмотрим тот же самый твердый лекарственный препарат для приема внутрь в максимальной суточной дозе 2,5 грамма, содержащий 9 компонентов (одна активная фармацевтическая субстанция и 8 вспомогательных веществ, в соответствии с таблицей 1), который рассматривался для вариантов 1 и 2а. При химическом синтезе активной фармацевтической субстанции используются катализаторы на основе Pd и Ni, а также, исходя из оценки рисков, требуется обратить внимание на Pb, As, Cd, Hg и V. При использовании варианта 26 рассматриваются состав лекарственного препарата и дополнительные сведения о содержании каждой примеси элементов в его компонентах. В таблице 4 в качестве примера приведены данные о примесях элементов, которые могут попасть в лекарственный препарат из источников, описанных в пунктах 112 - 115 настоящих Требований.

Таблица 4

Пример указания концентрации примесей элементов (мкг/г) в компонентах лекарственного препарата

Компонент лекарственного препарата Концентрация (мкг/г)
Pb As Cd Hg Pd V Ni
Активная фармацевтическая субстанция < LoQ <*> 0,5 < LoQ < LoQ 20 < LoQ 50
Микрокристаллическая целлюлоза 0,1 0,1 0,1 0,1 <**> < LoQ < LoQ
Лактоза 0,1 0,1 0,1 0,1 <**> < LoQ < LoQ
Фосфат кальция 1 1 1 1 <**> 10 5
Кросповидон 0,1 0,1 0,1 0,1 <**> < LoQ < LoQ
Стеарат магния 0,5 0,5 0,5 0,5 <**> < LoQ 0,5
Гидроксипропилметилцеллюлоза 0,1 0,1 0,1 0,1 <**> < LoQ < LoQ
Диоксид титана 20 1 1 1 <**> 1 < LoQ
Оксид железа 10 10 10 10 <**> 2 000 50

<*> LoQ - ниже предела обнаружения.

<**> В ходе оценки рисков установлено, что Pd не являлся потенциальной примесью элемента, количественный результат не был получен.

Используя информацию, представленную в таблице 4, можно оценить различные сочетания потенциальных концентраций для каждой примеси элемента в каждом из компонентов лекарственного препарата. В таблице 5 показан пример одного из сочетаний таких концентраций. В примере свинец обнаружен в двуокиси титана в высокой концентрации, но допустимое суточное воздействие не превышено благодаря малой доле этого компонента в лекарственном препарате и низким концентрациям свинца в других компонентах. Используя эти концентрации и процентное соотношение компонентов, можно определить содержание примесей элементов в лекарственном препарате с помощью формулы, указанной в пункте 139 настоящих Требований, и сравнить с установленным значением допустимого суточного воздействия. Концентрации, приведенные в таблице 5 подходят только для пропорций компонентов, приведенных в таблице 1.

Таблица 5

Пример указания возможных концентраций примесей элементов в компонентах лекарственного препарата

Компонент лекарственного препарата Концентрация (мкг/г)
Pb As Cd Hg Pd V Ni
Активная фармацевтическая субстанция < LoQ <*> 5 < LoQ < LoQ 500 < LoQ 750
Микрокристаллическая целлюлоза 0,5 5 1 5 <**> < LoQ < LoQ
Лактоза 0,5 5 1 5 <**> < LoQ < LoQ
Фосфат кальция 5 5 5 35 <**> 70 80
Кросповидон 0,5 5 1 5 <**> < LoQ < LoQ
Стеарат магния 5 10 5 125 <**> < LoQ 100
Гидроксипропилметилцеллюлоза 2,5 5 1 5 <**> < LoQ < LoQ
Диоксид титана 50 40 10 35 <**> 20 < LoQ
Оксид железа 50 100 50 200 <**> 5000 1200

<*> LoQ ниже предела обнаружения.

<**> В ходе оценки рисков установлено, что Pd не являлся потенциальной примесью элемента, количественный результат не был получен.

Вариант 3. Анализ готового лекарственного препарата. Для этого примера рассмотрим тот же самый твердый лекарственный препарат для приема внутрь в максимальной суточной дозе 2,5 грамма, содержащий 9 компонентов (одна активная фармацевтическая субстанция и 8 вспомогательных веществ), который рассматривался для вариантов 1 и 2а и 2б. При синтезировании лекарственного препарата используются катализаторы на основе Pd и Ni, а также, исходя из оценки рисков, требуется обратить внимание на Pb, As, Cd, Hg и V. Максимальную концентрацию каждой из примесей элементов в составе лекарственного препарата можно вычислить, подставив в формулу, приведенную в пункте 139 настоящих Требований, суточное потребление лекарственного препарата и допустимое суточное воздействие примеси элементов. Общая масса каждой примеси элементов не должна превышать допустимое суточное воздействие.

Таблица 6

Пример расчета концентраций примесей для готового лекарственного препарата, ежедневная суточная доза которого составляет 2,5 г

Показатель Вид примеси
Pb As Cd Hg Pd V Ni
Максимальная концентрация примеси в 1 г лекарственного препарата (мкг/г) 2 6 2 12 40 40 80
Максимальное ежедневное потребление (мкг) 5 15 5 30 100 100 200

Пример оценки рисков связанный с примесью элементов

Этот пример приводится для демонстрации процесса оценки рисков связанных с примесью элементов, а не как шаблон способа оформления документации по оценке рисков. Допускается применение разных подходов к оценке рисков и ее документальному оформлению.

В данном случае оценка рисков рассматривается на примере лекарственного препарата для приема внутрь, описанного в настоящем приложении. Оценивается твердый лекарственный препарат для приема внутрь в максимальной суточной дозе 2,5 грамма, содержащий 9 компонентов (1 активную фармацевтическую субстанцию и 8 вспомогательных веществ). Для синтезирования лекарственного препарата используются катализаторы на основе Pd и Ni.

Заявитель проводит оценку рисков, начиная с идентификации потенциальных примесей элементов и следуя процессу, описанному в подразделе 4 раздела V настоящих Требований. Поскольку у заявителя имелось ограниченное количество предварительных (исторических) данных о вспомогательных веществах, используемых в лекарственном средстве, было решено, что этап оценки будет включать элементы класса 1 (As, Cd, Hg, Pb). В приведенной ниже таблице показана сводка результатов идентификационного этапа оценки.

Таблица 7

Идентификация потенциальных примесей элементов

Компонент Потенциальные примеси элементов
намеренно добавленные примеси элементов потенциальные примеси элементов, которые широко распространены в природе и (или) могут присутствовать во вспомогательных веществах потенциальные примеси элементов, связанные с взаимодействием с производственным оборудованием потенциальные примеси элементов, связанные с взаимодействием с материалами системы упаковки (укупорки)
Активная фармацевтическая субстанция Pd, Ni As Ni нет
Микрокристаллическая целлюлоза нет As, Cd, Hg, Pb Нет нет
Лактоза нет As, Cd, Hg, Pb Нет нет
Фосфат кальция нет As, Cd, Hg, Pb V, Ni нет
Кросповидон нет As, Cd, Hg, Pb Нет нет
Стеарат магния нет As, Cd, Hg, Pb Ni нет
Гидроксипропилметилцеллюлоза нет As, Cd, Hg, Pb Нет нет
Диоксид титана нет As, Cd, Hg, Pb V нет
Оксид железа нет As, Cd, Hg, Pb V, Ni нет

При оценке были идентифицированы семь потенциальных примесей элементов, требующих дополнительного анализа. Три примеси определенных элементов были найдены сразу в нескольких компонентах. Заявитель продолжил оценку рисков путем сбора информации у поставщиков и из опубликованных данных и данных научной медицинской литературы. Данные для отдельных компонентов, полученные в процессе оценки рисков представлены в таблице 8. Суммарные массы ежедневно поступающих в организм примесей элементов рассчитываются умножением ежедневного потребления компонента на концентрацию примесей элементов.

Следующий шаг в оценке рисков - сравнение измеренного или спрогнозированного содержания примесей элементов в лекарственном препарате с контрольным пороговым значением с использованием информации, содержащейся в таблице 8, и выбор соответствующих действий.

Таблица 8

Оценка примесей элементов (оценка суточного поступления каждой из примесей в общем суточном поступлении всех примесей элементов в составе лекарственного препарата)

Компонент Суточное поступление, г Измеренная концентрация (мкг/г) Суммарная масса суточного поступления примесей элементов, мкг
Pb As Cd Hg Pd V Ni pB As Cd Hg Pd V Ni
Активная фармацевтическая субстанция 0,2 < LoQ <*> 0,5 < LoQ < LoQ 20 < LoQ 50 0 0,1 0 0 4 0 10
Микрокристаллическая целлюлоза 1,1 0,1 0,1 0,1 0,1 <**> < LoQ < LoQ 0,11 0,11 0,11 0,11 0 0 0
Лактоза 0,45 0,1 0,1 0,1 0,1 <**> < LoQ < LoQ 0,045 0,045 0,045 0,045 0 0 0
Фосфат кальция 0,35 1 1 1 1 <**> 10 5 0,35 0,35 0,35 0,35 0 3,5 1,75
Кросповидон 0,265 0,1 0,1 0,1 0,1 <**> < LoQ < LoQ 0,0265 0,0265 0,0265 0,0265 0 0 0
Стеарат магния 0,035 0,5 0,5 0,5 0,5 <**> < LoQ 0,5 0,0175 0,0175 0,0175 0,0175 0 0 0,0175
Гидроксипропилметилцеллюлоза 0,06 0,1 0,1 0,1 0,1 <**> < LoQ < LoQ 0,006 0,006 0,006 0,006 0 0 0
Диоксид титана 0,025 20 1 1 1 <**> 1 < LoQ 0,5 0,025 0,025 0,025 0 0,025 0
Оксид железа 0,015 10 10 10 10 <**> 400 50 0,15 0,15 0,15 0,15 0 6 0,75
ИТОГО 2,5 г - - - - - - - 1,2 0,8 0,7 0,7 4 9,5 12,5

<*> LoQ - ниже предела обнаружения.

<**> В ходе оценки рисков установлено, что Pd не являлся потенциальной примесью элемента, количественный результат не был получен.

Таблица 9

Пример оценки рисков. Описание ввода данных

Элемент Намеренно добавленные примеси (если используются в процессе производства) <1> Примеси элементов, распространенные в природе и (или) присутствующие во вспомогательных веществах <2> Примеси от взаимодействия с производственным оборудованием <3> Примеси от взаимодействия с системой упаковки (укупорки) <4> Суммарное количество примеси элемента, мкг <5> Приемлемая вариабельность доли примеси элемента <6> Контрольное пороговое значение <7> Действие <8>
1 2 3 4 5 6 7 8 9
As нет примесь наблюдается во всех вспомогательных веществах и активной фармацевтической субстанции нет нет 0,8 да 4,5 дополнительных мер контроля не требуется
Cd нет примесь наблюдается во всех вспомогательных веществах нет нет 0,7 да 1,5 дополнительных мер контроля не требуется
Hg нет примесь наблюдается во всех вспомогательных веществах нет нет 0,7 да 9 дополнительных мер контроля не требуется
Pb нет примесь наблюдается во всех вспомогательных веществах нет нет 1,2 да 1,5 дополнительных мер контроля не требуется
Pd катализатор активной фармацевтической субстанции нет нет нет 4,0 да 30 дополнительных мер контроля не требуется
Ni катализатор активной фармацевтической субстанции наблюдается в 3 вспомогательных веществах нет нет 12,5 да 60 дополнительных мер контроля не требуется
V нет наблюдается в 3 вспомогательных веществах нет нет 9,5 да 30 дополнительных мер контроля не требуется

<1> Проверка компонентов лекарственного препарата на наличие примесей любых элементов, намеренно добавленных при его производстве (основным источником является активная фармацевтическая субстанция). Указываются примеси элементов используемых компонентов для дальнейшего рассмотрения в ходе оценки.

<2> Идентификация любых потенциальных примесей элементов или примесей, которые связаны со вспомогательными веществами, используемыми в изготовлении лекарственного препарата. Записывается источник (источники) примесей элементов для дальнейшего рассмотрения в ходе оценки.

<3> Идентификация любых примесей элементов, которые точно или предположительно попадают в лекарственный препарат при взаимодействии с производственным оборудованием. Записываются конкретные примеси элементов для дальнейшего рассмотрения в ходе оценки.

<4> Идентификация любых примесей элементов, которые точно или предположительно попадают в лекарственный препарат при взаимодействии с материалами системы упаковки (укупорки). Записываются конкретные примеси элементов для дальнейшего рассмотрения в ходе оценки.

<5> Вычисляется общее количество потенциальной примеси элемента в лекарственном препарате путем суммирования количества примеси из разных компонентов.

<6> Оценивается вариабельность содержания примесей элементов в компонентах лекарственного препарата.

<7> Вводится контрольное предельное содержание для каждой идентифицированной потенциальной примеси элемента. Если вариабельность известна и находится в допустимых пределах, можно применять контрольное предельное содержание (установленное как 30% от допустимого суточного воздействия) для каждой примеси элемента.

<8> Описание принятых мер не приводится, если значение, полученное в соответствующей строке колонки 6, ниже или равно контрольному предельному содержанию в той же строке колонки 8. Если у материала высокая вариабельность или превышено контрольное предельное содержание, то необходимо поставить соответствующую примесь элемента на контроль.