Приказ Минздрава РФ от 15.05.2020 N 450Н

"Об утверждении порядка определения начальной (максимальной) цены контракта, цены контракта, заключаемого с единственным поставщиком (подрядчиком, исполнителем), и начальной цены единицы товара, работы, услуги при осуществлении закупок медицинских изделий"
Редакция от 05.08.2022 — Не действует Перейти в действующую
Показать изменения

Зарегистрировано в Минюсте России 20 августа 2020 г. N 59346

МИНИСТЕРСТВО ЗДРАВООХРАНЕНИЯ РОССИЙСКОЙ ФЕДЕРАЦИИ

ПРИКАЗ
от 15 мая 2020 г. N 450н

ОБ УТВЕРЖДЕНИИ ПОРЯДКА ОПРЕДЕЛЕНИЯ НАЧАЛЬНОЙ (МАКСИМАЛЬНОЙ) ЦЕНЫ КОНТРАКТА, ЦЕНЫ КОНТРАКТА, ЗАКЛЮЧАЕМОГО С ЕДИНСТВЕННЫМ ПОСТАВЩИКОМ (ПОДРЯДЧИКОМ, ИСПОЛНИТЕЛЕМ), И НАЧАЛЬНОЙ ЦЕНЫ ЕДИНИЦЫ ТОВАРА, РАБОТЫ, УСЛУГИ ПРИ ОСУЩЕСТВЛЕНИИ ЗАКУПОК МЕДИЦИНСКИХ ИЗДЕЛИЙ

(в ред. Приказа Минздрава РФ от 05.08.2022 N 531н)

В соответствии с частью 22 статьи 22 Федерального закона от 5 апреля 2013 г. N 44-ФЗ "О контрактной системе в сфере закупок товаров, работ, услуг для обеспечения государственных и муниципальных нужд" (Собрание законодательства Российской Федерации, 2013, N 14, ст. 1652; 2019, N 18, ст. 2195) и пунктом 1 постановления Правительства Российской Федерации от 2 июля 2019 г. N 847 "О федеральном органе исполнительной власти, уполномоченном на установление порядка определения начальной (максимальной) цены контракта, цены контракта, заключаемого с единственным поставщиком (подрядчиком, исполнителем), и начальной цены единицы товара, работы, услуги при осуществлении закупок медицинских изделий" (Собрание законодательства Российской Федерации, 2019, N 27, ст. 3596) приказываю:

1. Утвердить прилагаемый порядок определения начальной (максимальной) цены контракта, цены контракта, заключаемого с единственным поставщиком (подрядчиком, исполнителем), и начальной цены единицы товара, работы, услуги при осуществлении закупок медицинских изделий.

2. Настоящий приказ не применяется в отношении закупок товаров для обеспечения государственных и муниципальных нужд, извещения об осуществлении которых размещены в единой информационной системе в сфере закупок до дня вступления в силу настоящего приказа.

Министр
М.А. МУРАШКО

УТВЕРЖДЕН
приказом Министерства здравоохранения
Российской Федерации
от 15 мая 2020 г. N 450н

ПОРЯДОК ОПРЕДЕЛЕНИЯ НАЧАЛЬНОЙ (МАКСИМАЛЬНОЙ) ЦЕНЫ КОНТРАКТА, ЦЕНЫ КОНТРАКТА, ЗАКЛЮЧАЕМОГО С ЕДИНСТВЕННЫМ ПОСТАВЩИКОМ (ПОДРЯДЧИКОМ, ИСПОЛНИТЕЛЕМ), И НАЧАЛЬНОЙ ЦЕНЫ ЕДИНИЦЫ ТОВАРА, РАБОТЫ, УСЛУГИ ПРИ ОСУЩЕСТВЛЕНИИ ЗАКУПОК МЕДИЦИНСКИХ ИЗДЕЛИЙ

(в ред. Приказа Минздрава РФ от 05.08.2022 N 531н)

1. Настоящий порядок определяет единые правила расчета заказчиками начальной (максимальной) цены контракта, цены контракта, заключаемого с единственным поставщиком (подрядчиком, исполнителем), и начальной цены единицы товара, работы, услуги при осуществлении закупок медицинских изделий для обеспечения государственных и муниципальных нужд.

2. Настоящий порядок не применяется при обосновании начальной (максимальной) цены контракта при закупке медицинских изделий:

1) подпункт утратил силу. (в ред. Приказа Минздрава РФ от 05.08.2022 N 531н)

Сноска <1> - Утратила силу (в ред. Приказа Минздрава РФ от 05.08.2022 N 531н)

2) поставляемых по государственному оборонному заказу <2>;

<2> Постановление Правительства Российской Федерации от 2 декабря 2017 г. N 1465 "О государственном регулировании цен на продукцию, поставляемую по государственному оборонному заказу, а также о внесении изменений и признании утратившими силу некоторых актов Правительства Российской Федерации" (Собрание законодательства Российской Федерации, 2017, N 50, ст. 7624).

3) являющихся радиоэлектронной продукцией, включенной в реестр российской радиоэлектронной продукции, в случае установления заказчиком ограничения на допуск радиоэлектронной продукции, происходящей из иностранных государств, в соответствии с постановлением Правительства Российской Федерации от 10 июля 2019 г. N 878 <3>.

<3> Пункт 6 постановления Правительства Российской Федерации от 10 июля 2019 г. N 878 "О мерах стимулирования производства радиоэлектронной продукции на территории Российской Федерации при осуществлении закупок товаров, работ, услуг для обеспечения государственных и муниципальных нужд, о внесении изменений в постановление Правительства Российской Федерации от 16 сентября 2016 г. N 925 и признании утратившими силу некоторых актов Правительства Российской Федерации" (Собрание законодательства Российской Федерации, 2019, N 29, ст. 4023).

3. Начальная цена единицы медицинского изделия и (или) расходного материала и (или) услуги по техническому обслуживанию на период гарантийного срока эксплуатации медицинского изделия, начальная (максимальная) цена контракта, цена контракта, заключаемого с единственным поставщиком (подрядчиком, исполнителем) на технические средства реабилитации, которые относятся к медицинским изделиям, предусмотренным федеральным перечнем реабилитационных мероприятий, технических средств реабилитации и услуг, предоставляемых инвалиду, утвержденным распоряжением Правительства Российской Федерации от 30 декабря 2005 г. N 2347-р, устанавливаются посредством применения метода сопоставимых рыночных цен (анализа рынка). При этом источники ценовой информации определяются в соответствии с распоряжением Правительства Российской Федерации от 18 сентября 2017 г. N 1995-р.

4. При осуществлении закупки у единственного поставщика (подрядчика, исполнителя) по основаниям, предусмотренным пунктами 3, 6, 9, 11, 12, 35, 40, 41, 46 части 1 статьи 93 Федерального закона от 5 апреля 2013 г. N 44-ФЗ "О контрактной системе в сфере закупок товаров, работ, услуг для обеспечения государственных и муниципальных нужд" (далее - Закон о контрактной системе), заказчик вправе определить цену контракта, заключаемого с единственным поставщиком (подрядчиком, исполнителем), с применением исключительно метода сопоставимых рыночных цен (анализа рынка).

5. Начальная цена единицы медицинского изделия, для которого установлено государственное регулирование цен и которое включено в государственный реестр предельных отпускных цен производителей на медицинские изделия <4> (далее - Реестр цен), устанавливается посредством применения тарифного метода с учетом предельных отпускных цен производителей на такое медицинское изделие, содержащееся в Реестре цен, а также установленных в субъекте Российской Федерации предельных размеров оптовых надбавок к фактическим отпускным ценам на указанные медицинские изделия (при наличии) либо посредством применения метода сопоставимых рыночных цен (анализа рынка), при этом цена единицы закупаемого медицинского изделия не может превышать цены, определенной тарифным методом.

<4> Постановление Правительства Российской Федерации от 30 декабря 2015 г. N 1517 "О государственном регулировании цен на медицинские изделия, включенные в перечень медицинских изделий, имплантируемых в организм человека при оказании медицинской помощи в рамках программы государственных гарантий бесплатного оказания гражданам медицинской помощи" (Собрание законодательства Российской Федерации 2016, N 2, ст. 390).

6. Для целей настоящего порядка под расходными материалами понимаются изделия и (или) комплектующие, потребляемые при эксплуатации медицинского изделия и обеспечивающие применение медицинского изделия в медицинских целях в соответствии с его функциональным назначением, сведения о которых содержатся в эксплуатационной документации производителя (изготовителя) на медицинское изделие.

7. В целях формирования стоимости расходных материалов (далее - СРМ) и стоимости услуг по техническому обслуживанию на период гарантийного срока эксплуатации медицинского изделия (далее - СТО) в соответствии с настоящим порядком гарантийный срок эксплуатации медицинского изделия устанавливается заказчиком в соответствии с эксплуатационной документацией для такого медицинского изделия и должен составлять не менее 12 месяцев.

При отсутствии информации о наличии или длительности гарантийного срока эксплуатации заказчиком устанавливается такой период, равный 24 месяцам со дня передачи медицинского изделия заказчику.

8. Для целей настоящего порядка потребность в расходных материалах и (или) услугах по техническому обслуживанию на период гарантийного срока эксплуатации медицинского изделия определяется заказчиком с учетом планируемой интенсивности эксплуатации планируемого к закупке медицинского изделия на основе оказываемого (планируемого к оказанию) медицинской организацией объема медицинской помощи с применением (планируемом применении) медицинского изделия в соответствии с клиническими рекомендациями, порядками оказания медицинской помощи и стандартами медицинской помощи.

9. Начальная цена единицы медицинского изделия (далее - НЦЕ), цена единицы медицинского изделия (далее - ЦЕМ) и (или) СРМ, и (или) СТО для медицинских изделий, не указанных в пунктах 2, 3 и 5 настоящего порядка, устанавливается как средневзвешенное значение (либо не более средневзвешенной цены) собранных заказчиком цен без учета НДС посредством использования одного или совокупности следующих методов:

а) метода сопоставимых рыночных цен (анализа рынка) в соответствии с частями 2 - 6 статьи 22 Закона о контрактной системе;

б) на основе информации, содержащейся в реестре контрактов <5>, подтверждающей исполнение участником (без учета правопреемства) в течение 3 лет до даты подачи заявки на участие в закупке 3 контрактов, исполненных без применения к такому участнику неустоек (штрафов, пеней).

<5> Постановление Правительства Российской Федерации от 28 ноября 2013 г. N 1084 "О порядке ведения реестра контрактов, заключенных заказчиками, и реестра контрактов, содержащего сведения, составляющие государственную тайну" (Собрание законодательства Российской Федерации, 2013, N 49, ст. 6427; 2014, N 32, ст. 4522; 2015, N 1, ст. 279; 2015, N 24, ст. 3487; 2016, N 50, ст. 7103; 2017, N 17, ст. 2566; N 17, ст. 2566; 2018, N 28, ст. 4230; N 44, ст. 6752; 2019, N 31, ст. 4641; N 45, ст. 6357; 2020, N 1, ст. 92; N 8, ст. 1040).

10. Для целей применения подпункта "б" пункта 9 настоящего порядка:

а) заказчиком учитываются не менее трех цен по заключенным и исполненным в течение трех лет контрактам, содержащимся в реестре контрактов. Заключение и исполнение таких контрактов на поставку товаров (работ, услуг), соответствующих описанию объекта закупки, должны быть осуществлены на территории субъекта Российской Федерации, в котором расположен заказчик, и (или) на территории сопредельных с местом расположения заказчика субъектов Российской Федерации (в пределах одного федерального округа);

б) в случае отсутствия контрактов на поставку идентичных товаров, работ, услуг с местом исполнения территории субъекта Российской Федерации, в котором расположен заказчик, и на территории сопредельных с местом расположения заказчика субъектов Российской Федерации (в пределах одного федерального округа), заказчиком учитываются не менее трех цен содержащихся в реестре контрактов, заключенных заказчиками, цен по исполненным в течение 3 лет контрактам, вне зависимости от места исполнения контрактов;

в) в расчет принимаются только контракты, заключенные по результатам конкурентных способов определения поставщиков (подрядчиков, исполнителей) или с единственным поставщиком (подрядчиком, исполнителем) по основаниям, предусмотренным частью 1 статьи 93 Закона о контрактной системе, на поставку идентичных товаров, работ, услуг с учетом сопоставимых с условиями планируемой закупки коммерческих и (или) финансовых условий поставок товаров, выполнения работ, оказания услуг, которые исполнены и по которым не взыскивались неустойки (штрафы, пени) в связи с неисполнением или ненадлежащим исполнением обязательств, предусмотренных этими контрактами.

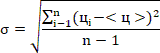
11. В целях определения однородности совокупности значений выявленных цен, используемых в расчетах в соответствии с настоящим порядком, заказчиком определяется коэффициент вариации по следующей формуле <*>:

<*> Совокупность значений, используемых в расчете, считается неоднородной, если коэффициент вариации цены превышает 33 %. Если коэффициент вариации превышает 33 %, целесообразно провести дополнительные исследования в целях увеличения количества ценовой информации, используемой в расчетах.

,

где:

V - коэффициент вариации;

- среднее квадратичное отклонение;

- цена единицы товара, работы, услуги, указанная в источнике с номером i;

<ц> - средняя арифметическая величина цены единицы товара, работы, услуги;

n - количество значений, используемых в расчете.

12. Расчет начальной цены единицы медицинского изделия, цены единицы медицинского изделия, для которого в эксплуатационной документации производителя (изготовителя) не предусмотрено использование расходных материалов и проведение технического обслуживания в период гарантийного срока его эксплуатации, а также в случае, предусмотренном частью 57 статьи 112 Закона о контрактной системе, осуществляется по формуле:

,

где:

НЦЕ - начальная цена единицы медицинского изделия, без учета НДС;

ЦЕМ - цена единицы медицинского изделия, без учета НДС;

n - количество значений информации о цене единицы i-го медицинского изделия;

i - номер информации о цене;

- цена единицы i-го медицинского изделия, без учета НДС.

13. Расчет стоимости всех расходных материалов, необходимых для эксплуатации для i-ой позиции медицинского изделия в период гарантийного срока его эксплуатации, осуществляется по формуле:

,

где:

CPMi - стоимость всех расходных материалов, необходимых для эксплуатации медицинского изделия i-й позиции в период гарантийного срока, без учета НДС;

СРМу - стоимость расходных материалов у-й позиции для медицинского изделия i-й позиции, используемых в течение гарантийного срока эксплуатации данного медицинского изделия, без учета НДС;

у - позиция закупаемого расходного материала;

k - количество позиций расходных материалов, закупаемых для медицинского изделия i-й позиции.

14. Расчет начальной цены единицы медицинского изделия, для которого не требуется проведение технического обслуживания в период гарантийного срока его эксплуатации в соответствии с данными, указанными в эксплуатационной документации производителя (изготовителя), осуществляется по формуле:

,

где:

i - позиция закупаемого медицинского изделия;

НЦЕi - начальная цена единицы медицинского изделия i-й позиции с учетом стоимости всех расходных материалов на период гарантийного срока эксплуатации данного медицинского изделия, без учета НДС;

ЦЕМi - цена единицы медицинского изделия i-й позиции, без учета НДС;

CPMi - стоимость всех расходных материалов, необходимых для эксплуатации медицинского изделия i-й позиции в период гарантийного срока, без учета НДС.

15. Расчет начальной цены единицы медицинского изделия, для которого требуется проведение технического обслуживания, но не требуется применение расходных материалов в соответствии с данными, указанными в эксплуатационной документации производителя (изготовителя), осуществляется по формуле:

,

где:

i - позиция закупаемого медицинского изделия;

НЦЕi - начальная цена единицы медицинского изделия i-й позиции с учетом стоимости всех услуг по техническому обслуживанию в период гарантийного срока эксплуатации данного медицинского изделия, без учета НДС;

ЦЕМi - цена единицы медицинского изделия i-й позиции, без учета НДС;

CTOi - стоимость всех услуг по техническому обслуживанию, необходимых для эксплуатации медицинского изделия i-й позиции в период гарантийного срока, без учета НДС, которая рассчитывается по формуле:

,

где:

g - позиция услуги по техническому обслуживанию, необходимой для эксплуатации медицинского изделия i-й позиции в период гарантийного срока;

- стоимость g-й услуги по техническому обслуживанию, необходимой для эксплуатации медицинского изделия i-й позиции в период гарантийного срока, без учета НДС.

16. Расчет начальной цены единицы медицинского изделия, для эксплуатации которого в период гарантийного срока в соответствии с данными, указанными в эксплуатационной документации производителя (изготовителя), требуются расходные материалы и проведение технического обслуживания, осуществляется по формуле:

,

где:

i - позиция закупаемого медицинского изделия;

НЦЕi - начальная цена единицы медицинского изделия i-й позиции с учетом стоимости всех расходных материалов и всех услуг по техническому обслуживанию, необходимых для эксплуатации данного медицинского изделия в период гарантийного срока, без учета НДС;

ЦЕМi - цена единицы медицинского изделия i-й позиции,без учета НДС;

CPMi - стоимость всех расходных материалов, необходимых для эксплуатации медицинского изделия i-й позиции в период гарантийного срока, без учета НДС;

CTOi - стоимость всех услуг по техническому обслуживанию, необходимых для эксплуатации медицинского изделия i-й позиции в период гарантийного срока, без учета НДС.

17. Расчет начальной (максимальной) цены контракта (НМЦК), в том числе при осуществлении закупки у единственного поставщика (подрядчика, исполнителя), осуществляется по формуле:

,

где:

n - количество позиций закупаемых медицинских изделий;

- начальная цена единицы i-й позиции медицинского изделия, определяемая в соответствии с настоящим порядком (по применимости);

НДС - налог на добавленную стоимость (если применимо для закупаемого медицинского изделия);

Vi - количество (объем) i-й позиции закупаемого медицинского изделия.

18. НМЦК может быть снижена заказчиком по сравнению с НМЦК, определенной в соответствии с настоящим порядком, исходя из имеющегося у заказчика объема финансового обеспечения для осуществления соответствующей закупки, с пропорциональным снижением начальных цен единиц закупаемых медицинских изделий.