2.6.1. Ионизирующее излучение, радиационная безопасность. Радиационный контроль металлолома. Методические указания. МУК 2.6.1.1087-02

(утв. Главным государственным санитарным врачом РФ от 04.01.2002)
Редакция от 04.12.2006 — Действует с 01.03.2007
Показать изменения

УТВЕРЖДАЮ
Главный государственный
санитарный врач
Российской Федерации,
Первый заместитель
Министра здравоохранения
Российской Федерации
Г.Г.ОНИЩЕНКО
4 января 2002 года

Дата введения - 1 марта 2002 года

2.6.1. ИОНИЗИРУЮЩЕЕ ИЗЛУЧЕНИЕ, РАДИАЦИОННАЯ БЕЗОПАСНОСТЬ

РАДИАЦИОННЫЙ КОНТРОЛЬ МЕТАЛЛОЛОМА

МЕТОДИЧЕСКИЕ УКАЗАНИЯ
МУК 2.6.1.1087-02

(в ред. Дополнения N 1, утв. Роспотребнадзором 04.12.2006)

Утверждены и введены в действие Главным государственным санитарным врачом Российской Федерации Онищенко Г.Г. 4 января 2002 г.

Введены впервые.

1. Область применения

1.1. Настоящие Методические указания (далее - Методические указания) разработаны в соответствии с требованиями санитарных правил "Гигиенические требования к обеспечению радиационной безопасности при заготовке и реализации металлолома. СанПиН 2.6.1.993-00" в целях выявления в металлоломе локальных источников ионизирующего излучения и/или радиоактивного загрязнения.

1.2. Методические указания устанавливают общий порядок организации и проведения радиационного контроля металлолома.

1.3. Методические указания предназначены для использования учреждениями государственной санитарно - эпидемиологической службы Российской Федерации, лабораториями радиационного контроля, аккредитованными в установленном порядке, и службами радиационного контроля организаций, осуществляющих заготовку, переработку или реализацию металлолома.

1.4. Методические указания не предназначены для радиационного контроля загрязненного радионуклидами металлолома, который образуется в результате утилизации элементов конструкций и технологического оборудования, имеющих радиоактивное загрязнение по условиям эксплуатации (при выводе из эксплуатации ядерных энергетических установок, судов с атомными энергетическими установками, атомных электростанций и т.п.).

2. Нормативные ссылки

2.1. Федеральный закон "О радиационной безопасности населения" N 3-ФЗ от 09.01.96 (Собрание законодательства Российской Федерации, 1996, N 3, ст. 141).

2.2. Федеральный закон "О санитарно - эпидемиологическом благополучии населения" N 52-ФЗ от 30.03.99 (Собрание законодательства Российской Федерации, 1999, N 14, ст. 1650).

2.3. Положение о государственной санитарно - эпидемиологической службе Российской Федерации, утвержденное Постановлением Правительства Российской Федерации от 24 июля 2000 г. N 554.

2.4. Положение о лицензировании деятельности по заготовке, переработке и реализации лома цветных и черных металлов, утвержденное Постановлением Правительства Российской Федерации от 15 июля 1999 г. N 822.

В связи с утратой силы Постановления Правительства РФ от 15.07.99 N 822 с 01.09.2022 следует руководствоваться принятым взамен Постановлением Правительства РФ от 28.05.2022 N 980.

2.5. Нормы радиационной безопасности (НРБ-99). СП 2.6.1.758-99.

СП 2.6.1.758-99 отменен. Взамен него с 22.09.2009 введен в действие СанПиН 2.6.1.2523-09.

2.6. Основные санитарные правила обеспечения радиационной безопасности (ОСПОРБ-99). СП 2.6.1.799-99.

В связи с утратой силы ОСПОРБ-99, следует руководствоваться принятым взамен ОСПОРБ-99/2010.

2.7. Санитарные правила и нормативы "Гигиенические требования к обеспечению радиационной безопасности при заготовке и реализации металлолома". СанПиН 2.6.1.993-00.

2.8. Приказ Минздрава России "О санитарно-эпидемиологической экспертизе продукции" от 15.08.01 N 325.

Приказ Минздрава РФ от 15.08.2001 N 325 утратил силу. Аналогичные нормы содержатся в Приказе Роспотребнадзора от 19.07.2007 N 224.

2.9. Постановление Правительства РФ от 11 мая 2001 г. N 369 "Об утверждении Правил обращения с ломом и отходами черных металлов и их отчуждения".

В связи с утратой силы Постановления Правительства РФ от 11.05.2001 N 369 с 01.09.2022 следует руководствоваться принятым взамен Постановлением Правительства РФ от 28.05.2022 N 980.

2.10. Постановление Правительства РФ от 11 мая 2001 г. N 370 "Об утверждении Правил обращения с ломом и отходами цветных металлов и их отчуждения".

В связи с утратой силы Постановления Правительства РФ от 11.05.2001 N 370 с 01.09.2022 следует руководствоваться принятым взамен Постановлением Правительства РФ от 28.05.2022 N 980.

3. Термины и определения

3.1. Металлолом (лом цветных и черных металлов) - годные только для переработки, содержащие цветные или/и черные металлы, отходы производства и потребления, образовавшиеся из пришедших в негодность или утративших потребительские свойства изделий промышленного и бытового назначения, их частей, оборудования, механизмов, конструкций, транспортных средств, военной техники и др.

3.2. Заготовка металлолома - хозяйственная деятельность по сбору, скупке, извлечению и перемещению лома цветных и черных металлов к месту их временного хранения, переработки и/или конечного потребления в металлургическом производстве.

3.3. Реализация металлолома - продажа или передача на возмездной или безвозмездной основе заготовленного и/или переработанного металлолома третьим лицам.

3.4. Локальный источник - отдельный фрагмент металлолома, вблизи поверхности которого (на расстоянии не более 10 см) значение МЭД гамма - излучения содержащихся в нем радионуклидов (за вычетом вклада природного фона) превышает 0,2 мкЗв/ч.

3.5. МЭД - мощность эквивалентной дозы гамма - излучения содержащихся в металлоломе радионуклидов вблизи поверхности (на расстоянии не более 10 см) партии (фрагмента) металлолома (за вычетом вклада природного фона).

3.6. ММЭД - максимальное зарегистрированное значение МЭД гамма - излучения содержащихся в металлоломе радионуклидов вблизи поверхности (на расстоянии не более 10 см) партии (фрагмента) металлолома (за вычетом вклада природного фона).

3.7. Радиоактивное загрязнение - в рамках Методических указаний наличие в металлоломе фрагментов, вблизи которых плотность потока альфа - излучения более 0,04 альфа - частицы/(кв. см x с) либо плотность потока бета - излучения более 0,4 бета - частицы/(кв. см x с).

3.8. Партия металлолома:

- отдельно расположенное количество металлолома, подготовленное к загрузке в транспортное средство и предназначенное к реализации;

- загруженный в транспортную единицу (платформа, вагон, автомашина, грузовой контейнер и т.д.) металлолом;

- металлолом, загруженный в две и более транспортные единицы, следующие одновременно в адрес одного получателя.

4. Общие положения

4.1. При заготовке металлолома возможно попадание в него локальных источников либо металлических изделий, имеющих радиоактивное загрязнение. Чаще всего на практике встречаются следующие ситуации:

- наличие локальных источников вследствие попадания в металлолом шкал, тумблеров, приборов и их частей со светосоставами постоянного действия на основе 226Ra, источников из уровнемеров, плотномеров, дефектоскопов, датчиков обледенения радионуклидных индикаторов дыма, загрязненных радионуклидами контейнеров для хранения и перевозки радиоактивных источников (60Co, 90Sr, 137Cs, 170Tu, 192Ir, 239Pu, 241Am и т.д.);

- наличие труб и технологического оборудования с поверхностным радиоактивным загрязнением в результате осаждения природных радионуклидов при добыче нефти и газа, а также при получении воды из артезианских скважин;

- наличие изделий из металла с повышенным содержанием радионуклидов вследствие попадания в него радиоактивных веществ при переплавке.

4.2. Для исключения возможности заготовки и реализации металлолома, имеющего радиоактивное загрязнение или содержащего локальные источники, юридические и физические лица, занимающиеся заготовкой и реализацией металлолома (далее - организации), осуществляют его производственный радиационный контроль. Он осуществляется специальной службой или лицом, ответственным за производственный радиационный контроль, в соответствии со специально разработанным положением.

4.3. Производственный радиационный контроль металлолома проводится в два этапа: входной радиационный контроль, которому подвергается весь поступающий в организацию металлолом, и радиационный контроль партии металлолома, подготовленной для реализации, по результатам которого на нее оформляется санитарно - эпидемиологическое заключение. Радиационный контроль партии металлолома, подготовленной для реализации, проводят аккредитованные в установленном порядке лаборатории радиационного контроля (далее - ЛРК).

4.4. Для партий металлолома, направляемых на экспорт либо следующих транзитом через территорию Российской Федерации, а также в случае, когда при проведении радиационного контроля партии металлолома обнаружено превышение над природным фоном, проводится определение МЭД гамма - излучения на поверхности готовой к отправке транспортной единицы.

4.5. Объектом радиационного контроля в рамках Методических указаний является партия металлолома. Радиационный контроль металлолома проводится:

- при приемке металлолома, в т.ч. на пунктах сбора металлолома;

- при подготовке партии металлолома к транспортированию и реализации;

- перед транспортированием загруженных металлоломом транспортных средств.

4.6. Все используемые для проведения радиационного контроля средства измерений должны иметь действующие свидетельства о государственной поверке.

4.7. К работе по проведению радиационного контроля металлолома допускаются прошедшие специальное обучение сотрудники, освоившие настоящую методику, инструкции по эксплуатации используемых ими средств измерений, а также требования СанПиН 2.6.1.993-00 и ОСПОРБ-99.

5. Входной радиационный контроль металлолома

5.1. Входному радиационному контролю подлежит весь поступающий в организацию металлолом.

5.2. Входной радиационный контроль металлолома проводится по уровню гамма - излучения и должен обеспечивать обнаружение в металлоломе локальных источников или его радиоактивного загрязнения гамма - излучающими радионуклидами. В зависимости от объема поступающего в организацию металлолома для проведения его входного радиационного контроля могут использоваться как автоматические стационарные средства непрерывного радиационного контроля (специальные ворота, стойки и т.п.), так и переносные средства радиационного контроля (специализированные поисковые приборы, радиометры, высокочувствительные гамма - дозиметры и т.п.). Настоящие Методические указания устанавливают требования к радиационному контролю металлолома с использованием носимых приборов.

5.3. Для проведения входного радиационного контроля металлолома могут использоваться специализированные поисковые приборы (ДРС-РМ1401, ИСП-РМ1401М, МКС-РМ1402М, ИСП-РМ1701 и т.п.), радиометры (СРП-68, СРП-88 и т.п.), многофункциональные приборы (ДКС-96, ДКС-1117А, МКС-А02, МКС-РМ1402М, МКС-01Р и т.п.) и высокочувствительные гамма - дозиметры (EL-1101, ДКС-1119С и т.п.), используемые в поисковом режиме как радиометры.

5.4. Входной радиационный контроль с использованием радиометров.

5.4.1. Для проведения входного радиационного контроля поступающего в организацию металлолома выделяют специальную контрольную площадку, по возможности, с минимальным природным фоном (не более 0,2 мкЗв/ч). Ежедневно до начала приемки металлолома измеряют значение фоновых показаний всех используемых для производственного радиационного контроля приборов в центре пустой контрольной площадки. При этом датчик радиометра держат в вытянутой в сторону руке на высоте ~= 1 м над поверхностью контрольной площадки. Число замеров должно обеспечивать статистическую погрешность результата измерений 5 - 10% (для доверительной вероятности 95%). Для приведенных в п. 5.3 радиометров при фоне более 0,1 мкЗв/ч это потребует проведения 5 - 10 замеров.

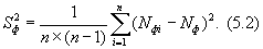
5.4.2. Средние значения фоновых показаний используемых радиометров Nф рассчитывают по формуле:

где:

n - число замеров;

Nф - показание радиометра при проведении i-того замера фона.

Среднеквадратичное отклонение () результатов замеров среднего от его истинного значения рассчитывают по формуле:

Статистическая погрешность измерения среднего значения фоновых показаний прибора для доверительной вероятности 95% (ДЕЛЬТАф) при проведении на контрольной площадке 5 - 10 повторных замеров может быть оценена с использованием выражения:

ДЕЛЬТА ~= 2ф x Sф. (5.3)

5.4.3. За контрольный уровень N0 для последующей интерпретации результатов входного радиационного контроля с использованием радиометров принимают величину:

N0 = Nф + ДЕЛЬТАф. (5.4)

5.4.4. Результаты замеров, а также среднее значение фона, погрешность его определения и полученное значение контрольного уровня заносят в специальный журнал производственного радиационного контроля (см. Приложение).

5.4.5. Каждое транспортное средство с металлоломом, поступающее в заготовительную организацию, помещают на контрольную площадку и подвергают входному радиационному контролю. Для этого проводят контроль вдоль наружных поверхностей транспортного средства по линиям, параллельным поверхности земли с шагом между линиями 0,5 м. При этом датчик радиометра перемещают вдоль каждой линии на расстоянии не более 10 см от обследуемой поверхности транспортного средства со скоростью не более 0,2 м/с, контролируя показания радиометра. Для радиометров со стрелочной индикацией считывание показаний и сравнение их с контрольным уровнем N0 ведется оператором непрерывно, а для радиометров с цифровой индикацией - через каждые 0,5 м. Если по данным измерений не выявлено точек, в которых показания радиометра превышают контрольный уровень, то результаты входного радиационного контроля считаются положительными и металлолом может быть принят.

5.4.6. При обнаружении точки, в которой показания радиометра превышают величину контрольного уровня, проводят более детальное обследование вблизи нее для оконтуривания на стенке транспортного средства зоны превышения контрольного уровня и выявления в ней точки с максимальным показанием радиометра. По результатам контроля в этом случае оформляют протокол измерений, к которому прикладывают масштабную схему обнаруженных зон превышения контрольных уровней и таблицу результатов измерений в точках максимума, информируют орган госсанэпиднадзора и дальнейшие действия производят под его контролем. Металлолом, находящийся в транспортном средстве, на поверхности которого имеются точки превышения контрольного уровня, должен быть разгружен на отдельную площадку, и в нем должен быть проведен поиск локальных источников в соответствии с п. 6.5 настоящих Методических указаний.

5.4.7. При приемке металлолома в виде отдельных фрагментов (изделий) входной контроль проводится в одной или нескольких точках вблизи поверхности изделия, отстоящих друг от друга на расстоянии не более 0,5 м. Интерпретация результатов входного контроля и дальнейшие действия с принимаемым металлоломом в этом случае осуществляются так же, как описано в п. п. 5.4.5 - 5.4.6.

5.5. Входной радиационный контроль с использованием поисковых приборов.

Использование специализированных поисковых приборов позволяет значительно облегчить и ускорить проведение входного радиационного контроля, т.к. все необходимые расчеты, включая измерение и запоминание параметров фона, расчет величины контрольного уровня, а также сравнение с ним измеряемой величины они проводят автоматически. Такие приборы позволяют оперативно и с высокой достоверностью находить точки, в которых измеренная величина на заданное число среднеквадратичных отклонений превосходит фоновую, т.е. превышает контрольный уровень, равный:

Nк = Nф + l x Sф, (5.5)

где Sф - среднеквадратичное отклонение фонового значения.

В рассматриваемом случае входного радиационного контроля устанавливают l = 2. Рассмотрим порядок действий при использовании для входного радиационного контроля одного из наиболее удобных приборов такого типа - измерителя - сигнализатора поискового ИСП-РМ1701, который позволяет задавать параметр l от 1 до 7, имеет звуковую сигнализацию превышения контрольного уровня и цифровую индикацию результатов измерений.

Перед началом контроля на контрольной площадке включают прибор, который после окончания самотестирования (около 8 секунд) автоматически переходит в режим калибровки по уровню фона (36 секунд). При этом датчик прибора должен быть расположен на высоте 1 м над поверхностью земли в центре контрольной площадки на вытянутой в сторону, раскрытой на всю длину телескопической штанге. По окончании калибровки по уровню фона прибор автоматически переходит в режим поиска и готов к работе.

Помещают транспортное средство с металлоломом (отдельный фрагмент металлолома) на контрольную площадку, устанавливают значение l = 2 и проводят измерения вдоль его наружных поверхностей по линиям, параллельным поверхности земли, на расстоянии 0,5 м друг от друга. Для этого с помощью штанги перемещают датчик прибора вдоль каждой линии на расстоянии не более 10 см от поверхности обследуемого транспортного средства со скоростью не более 0,2 м/с. При уверенном срабатывании звуковой сигнализации прибора (более одного звукового сигнала в секунду) производят сканирование поверхности в зоне обнаруженной точки, по результатам которого оконтуривают зону превышения контрольного уровня. Затем по максимальной частоте следования звуковых сигналов определяют точку максимума и фиксируют показания прибора в ней. Выявленные зоны превышения контрольного уровня и точки максимума на внешних стенках транспортного средства маркируют и наносят на схему. По результатам контроля составляют протокол радиационного контроля, к которому прикладывают вышеупомянутую схему и таблицу результатов измерений в точках максимума, информируют орган госсанэпиднадзора и дальнейшие действия производят под его контролем. При отсутствии уверенных срабатываний прибора (возможны редкие нерегулярные ложные срабатывания) металлолом может быть принят.

6. Радиационный контроль партии металлолома, подготовленной для реализации

6.1. Перед погрузкой в транспортное средство партии металлолома, подготовленной для реализации, осуществляется ее радиационный контроль, проводимый в два этапа. На первом этапе проверяют отсутствие в обследуемой партии локальных источников гамма - излучения, а также проводят выборочную проверку отсутствия загрязнения альфа- и бета - активными радионуклидами. На втором этапе определяют ММЭД на поверхности полностью загруженного металлоломом и подготовленного к отправке транспортного средства. Проведение второго этапа радиационного контроля металлолома, подготовленного для реализации, обязательно для партий металлолома, направляемых на экспорт либо следующих транзитом через территорию Российской Федерации, а также в случае, когда при проведении первого этапа радиационного контроля данной партии металлолома обнаружено превышение над природным фоном. Последнее определяется тем, что для металлолома, не содержащего радионуклидов, измеренные величины всегда меньше фоновых, т.к. имеет место ослабление фонового излучения от грунта за счет его частичного ослабления слоем обследуемого металлолома. Поэтому наличие превышения говорит о том, что в металлоломе присутствуют радионуклиды. Для проверки выполнения условия непревышения контрольного уровня МЭД, равного 0,2 мкЗв/ч, в этом случае необходимо проводить измерения для толстого слоя металлолома, не менее 1 - 2 м, а это условие выполняется только для полностью загруженного металлоломом транспортного средства.

6.2. Радиационный контроль партии металлолома, подготовленной для реализации, проводят ЛРК. Результаты радиационного контроля оформляются протоколом измерений, представляемым в центр госсанэпиднадзора для оформления санитарно - эпидемиологического заключения на партию металлолома.

6.3. При проведении радиационного контроля партии металлолома, подготовленной для реализации, контролируют следующие параметры ее радиоактивного загрязнения: (в ред. Дополнения N 1, утв. Роспотребнадзором 04.12.2006)

- превышение ММЭД (ММЭД более 0,2 мкЗв/ч); (в ред. Дополнения N 1, утв. Роспотребнадзором 04.12.2006)

- наличие поверхностного радиоактивного загрязнения альфа-активными радионуклидами (плотность потока альфа-частиц более 0,04 ); (в ред. Дополнения N 1, утв. Роспотребнадзором 04.12.2006)

- наличие поверхностного радиоактивного загрязнения бета-активными радионуклидами (плотность потока бета-частиц более 0,4 ); (в ред. Дополнения N 1, утв. Роспотребнадзором 04.12.2006)

- наличие источников нейтронов (мощность дозы более 0,2 мкЗв/ч). (в ред. Дополнения N 1, утв. Роспотребнадзором 04.12.2006)

6.4. Для проведения первого этапа радиационного контроля партия металлолома должна быть идентифицирована, т.е. на нее должен быть составлен документ, в котором указаны вид, количество и габариты партии металлолома, а также реквизиты его предполагаемого получателя. Металлолом необходимо уложить штабелем шириной 2,0 - 3,0 м и высотой не более 0,5 так, чтобы вдоль боковых сторон штабеля можно было свободно проходить. Площадка должна иметь естественный радиационный фон не более 0,2 мкЗв/ч. До начала измерений должна быть составлена масштабная схема штабеля обследуемого металлолома с нанесенными на нее маршрутными линиями, вдоль которых будут проводиться измерения. Маршрутные линии должны идти вдоль штабеля на расстоянии 0,5 - 1,0 м друг от друга.

6.5. Перед началом измерений для каждого используемого прибора должны быть определены его фоновые показания. Для этого выбирают 1 - 3 точки в 10 - 15 м от штабеля металлолома, размещают датчик прибора на высоте 0,6 - 0,8 м над поверхностью земли и проводят измерения фоновых показаний прибора. Средние значения фоновых показаний используемых в качестве радиометров приборов и контрольные уровни для них определяются с использованием соотношений (5.1) - (5.4).

6.6. Последовательность проведения первого этапа радиационного контроля партии металлолома следующая: (в ред. Дополнения N 1, утв. Роспотребнадзором 04.12.2006)

- контроль наличия локальных источников; (в ред. Дополнения N 1, утв. Роспотребнадзором 04.12.2006)

- измерение МЭД гамма-излучения (обязательно только при обнаружении локальных источников); (в ред. Дополнения N 1, утв. Роспотребнадзором 04.12.2006)

- измерение плотности потока альфа-частиц (обязательно в местах обнаружения локальных источников); (в ред. Дополнения N 1, утв. Роспотребнадзором 04.12.2006)

- измерение плотности потока бета-частиц (обязательно только в местах обнаружения локальных источников); (в ред. Дополнения N 1, утв. Роспотребнадзором 04.12.2006)

- измерение плотности потока нейтронов (обязательно только в местах обнаружения локальных источников). (в ред. Дополнения N 1, утв. Роспотребнадзором 04.12.2006)

6.7. Контроль наличия локальных источников.

6.7.1. Для контроля наличия в обследуемой партии металлолома локальных источников могут использоваться специализированные поисковые приборы (ДРС-РМ1401, ИСП-РМ1401М, ИСП-РМ1701, МКС-РМ1402М и т.п.), радиометры (СРП-68, СРП-88 и т.п.), многофункциональные приборы (ДКС-96, ДКС-1117А, МКС-А02, МКС-РМ1402М, МКС-01Р и т.п.) и высокочувствительные гамма - дозиметры (EL-1101, ДКС-1119С и т.п.), используемые в поисковом режиме как радиометры.

6.7.2. При обнаружении локального источника дополнительно проводятся измерения в точке максимума мощности дозы гамма - излучения и плотностей потоков альфа- и бета - частиц. По результатам контроля составляют акт, к которому прикладывают масштабную схему партии металлолома с нанесенными на нее зонами превышения контрольного уровня и точками максимумов и протокол измерений, содержащий результаты измерений в точках максимума. Дальнейшие работы по локализации, идентификации, извлечению из металлолома и вывозу локального источника (загрязненного металлолома) проводятся специализированной организацией, имеющей специальное разрешение (лицензию) на этот вид деятельности, под контролем органа госсанэпиднадзора.

6.7.3. Использование специальных поисковых приборов позволяет значительно облегчить и ускорить проведение контроля наличия локальных источников. Такие приборы позволяют оперативно и с высокой достоверностью находить точки, в которых измеренная величина превосходит фоновую (см. п. 5.5).

Рассмотрим порядок действий при использовании для контроля наличия локальных источников одного из наиболее удобных приборов такого типа - измерителя - сигнализатора поискового ИСП-РМ1701.

Перед началом контроля в одной из точек, описанных в п. 6.5, включают прибор, и после окончания процедуры тестирования (около 8 секунд) прибор автоматически выполняет калибровку по уровню фона (36 секунд). При этом датчик прибора должен быть расположен на высоте 0,6 - 0,8 м над поверхностью земли на вытянутой в сторону, раскрытой на всю длину телескопической штанге. По окончании калибровки по уровню фона прибор автоматически переходит в режим поиска и готов к проведению измерений.

Датчик прибора последовательно перемещают вдоль каждой из намеченных маршрутных линий со скоростью не более 0,2 м/с, удерживая его на расстоянии около 10 см над поверхностью контролируемого штабеля металлолома. При отсутствии уверенных срабатываний прибора (возможны нерегулярные ложные срабатывания с частотой менее 1 за 5 - 10 секунд) можно считать, что партия металлолома не содержит локальных источников. При уверенном срабатывании звуковой сигнализации прибора (более одного звукового сигнала в секунду), прервав перемещение по маршрутной линии, тщательно обследуют прилегающую часть штабеля на наличие локальных источников. При этом, сканируя близлежащую поверхность штабеля и используя пустоты в навале металлолома, пытаются максимально приблизить детектор прибора к предполагаемому месту расположения локального источника, ориентируясь на возрастание частоты следования звуковых сигналов, оконтуривают зону превышения контрольного уровня на поверхности штабеля и наносят ее на масштабную схему. По максимальной частоте следования звуковых сигналов определяют и маркируют точку максимума, наносят ее на масштабную схему и заносят в протокол измерений показания прибора в этой точке.

После завершения этой процедуры продолжают поиск локальных источников вдоль маршрутных линий.

6.7.4. При отсутствии в организации специализированных поисковых приборов для контроля наличия в контролируемой партии металлолома локальных источников могут быть использованы радиометры (многофункциональные приборы или гамма - дозиметры в режиме радиометра). До начала процедуры контроля необходимо измерить значение фоновых показаний для всех используемых при этом приборов, как указано в п. 6.5. Число замеров должно обеспечивать статистическую погрешность результата измерений 5 - 10% (для доверительной вероятности 95%). Для приведенных в п. 6.7.1 радиометров и при фоне более 0,1 мкЗв/ч это потребует проведения 5 - 10 замеров. Средние значения фоновых показаний используемых радиометров, среднеквадратичные отклонения результатов измерений от среднего и величины контрольных уровней рассчитывают с использованием выражений, аналогичных (5.1) - (5.4).

Как и при использовании специальных поисковых приборов, датчик радиометра последовательно перемещают вдоль каждой из намеченных маршрутных линий со скоростью не более 0,2 м/с, удерживая его на расстоянии около 10 см над поверхностью контролируемого штабеля металлолома. Для радиометров со стрелочной индикацией оператор непрерывно контролирует результаты измерений и сравнивает их с контрольным уровнем. Для радиометров с цифровой индикацией оператор контролирует результаты измерений и сравнивает их с контрольным уровнем через каждые 0,5 м. Если измерения не выявили точек, в которых показания радиометра превышают контрольный уровень, то считают, что партия металлолома не содержит локальных источников. При обнаружении точки, в которой показания радиометра превышают величину контрольного уровня, прервав перемещение по маршрутной линии, оператор тщательно обследует прилегающую часть штабеля на наличие локальных источников. При этом, сканируя близлежащую поверхность штабеля и используя пустоты в навале металлолома, пытаются максимально приблизить детектор прибора к предполагаемому месту расположения локального источника, ориентируясь на возрастание показаний прибора, оконтуривают зону превышения контрольного уровня и наносят ее на масштабную схему. Затем по максимальному значению измеряемой величины определяют и маркируют точку максимума, наносят ее на масштабную схему и заносят в протокол измерений показания прибора в этой точке.

После завершения этой процедуры продолжают поиск локальных источников вдоль маршрутных линий.

6.8. Измерение мощности дозы гамма - излучения в контрольных точках.

6.8.1. Если при поиске локальных источников выявлены зоны превышения контрольного уровня, для каждой из них в точке максимума проводят измерения МЭД. Если при поиске локальных источников не обнаружено зон превышения контрольного уровня, измерения МЭД не проводятся.

6.8.2. Измерения МЭД проводят гамма - дозиметрами. Датчик дозиметра размещают в точке максимума и делают 7 - 10 замеров (для дозиметров типа ДРГ-01Т1) или проводят измерение до тех пор, пока статистическая погрешность измерений не будет 5 - 10% (для дозиметров типа ДКС-1119С или прибора МКС-РМ1402М). В первом случае среднее значение мощности дозы, среднеквадратичное отклонение и статистическую погрешность результата измерений определяют, используя соотношения, аналогичные соотношениям (5.1) - (5.3).

6.8.3. За значение МЭД принимают разность результатов измерений в контрольной точке (Hk) и фоновых измерений (Нф).

МЭД = Hk - Нф. (6.1)

Суммарную погрешность определения величины МЭД (ДЕЛЬТА) определяют с использованием выражения:

где:

дельта - предел основной относительной погрешности дозиметра по паспорту или свидетельству о поверке;

t0,95 (ню) - значение коэффициента Стьюдента для доверительной вероятности 0,95 и числа степеней свободы ню.

Число степеней свободы определяется соотношением:

где n - число повторных замеров при измерении Нф и Sф , а m - то же для Hk и Sk .

Для указанного в п. 6.8.2 числа замеров можно использовать значение t0,95 (ню) ~= 2. Допускается для гамма - излучения при переходе от мощности экспозиционной дозы в мкР/ч к мощности эквивалентной дозы в мкЗв/ч использовать коэффициент 0,01 мкЗв/мкР.

Если для всех точек измерений выполняется условие:

МЭД + ДЕЛЬТА < 0,2 мкЗв/ч, (6.4)

то считается, что контролируемая партия металлолома не содержит локальных источников. Если условие (6.4) не выполняется из-за большой погрешности оценки МЭД, то проводят дополнительные измерения с меньшей суммарной погрешностью (используя дозиметры с меньшей основной погрешностью, увеличивая число повторных замеров либо время измерения). С учетом вышеприведенных выражений и условия (6.4) можно получить значение контрольного уровня для мощности дозы гамма - излучения H0, обеспечивающего выполнение условия (6.4) при выполнении более удобного для практического применения условия:

Hk < H0. (6.5)

Выражение для H0 при этом будет иметь вид:

где:

Для области реальных значений мощности дозы гамма - излучения при проведении измерений с рекомендуемой в п. 6.8.2 статистической погрешностью значение дельтаs не превысит 0,3 для дозиметров типа ДКС-1119С и приборов типа МКС-РМ1402М и 0,8 - для дозиметров типа ДРГ-01Т1. При этом для дозиметров типа ДКС-1119С и приборов типа МКС-РМ1402М H0 = Нф + 0,15 мкЗв/ч, а для дозиметров типа ДРГ-01Т1 H0 = Нф + 0,11 мкЗв/ч.

6.8.4. Если хотя бы для одной из точек измерения условие (6.5) не выполняется, партия металлолома признается содержащей локальный источник и подлежит дополнительному радиационному контролю с последующей сортировкой.

6.9. Выборочный контроль наличия загрязнения альфа- и бета-излучающими радионуклидами, а также источников нейтронов. (в ред. Дополнения N 1, утв. Роспотребнадзором 04.12.2006)

6.9.1. Если при поиске локальных источников выявлены зоны превышения контрольного уровня, для каждой из них в точке максимума проводят контроль наличия загрязнения альфа- и бета-излучающими радионуклидами и источников нейтронов. При необходимости, по требованию органа, уполномоченного осуществлять государственный санитарно-эпидемиологический надзор, дополнительно проводится выборочный контроль наличия загрязнения альфа- и бета-излучающими радионуклидами и источников нейтронов в 3 - 5 точках, где показания поисковых приборов были максимальны. (в ред. Дополнения N 1, утв. Роспотребнадзором 04.12.2006)

6.9.2. Для проведения контроля наличия загрязнения металлолома альфа- и бета - излучающими радионуклидами могут использоваться радиометры, предназначенные для проведения измерений плотности потока альфа- и бета - излучения, соответственно, и имеющие минимально измеримые значения этих величин не более:

- 0,02 (см в ст.-2) x (с в ст.-1) - для альфа - излучения;

- 0,2 (см в ст.-2) x (с в ст.-1) - для бета - излучения.

Для проведения контроля наличия в металлоломе источников нейтронного излучения могут использоваться радиометры, предназначенные для проведения измерений мощности дозы нейтронного излучения и имеющие минимально измеримую величину мощности дозы не более 0,1 мкЗв/ч (в ред. Дополнения N 1, утв. Роспотребнадзором 04.12.2006)

6.9.3. Датчик радиометра размещают в точке максимума и делают 7 - 10 замеров (для радиометров типа МКС-01Р) или проводят измерение до тех пор, пока статистическая погрешность измерений не будет 5 - 10% (для радиометров типа ДКС-1117А). В первом случае среднее значение плотности потока альфа- и бета-частиц (, ) и мощность дозы нейтронного излучения (), среднеквадратичные отклонения и статистические погрешности результатов измерений (, , ) определяют, используя соотношения, аналогичные соотношениям (5.1) - (5.3). (в ред. Дополнения N 1, утв. Роспотребнадзором 04.12.2006)

6.9.4. Если: (в ред. Дополнения N 1, утв. Роспотребнадзором 04.12.2006)

, (в ред. Дополнения N 1, утв. Роспотребнадзором 04.12.2006)

и (6.7) (в ред. Дополнения N 1, утв. Роспотребнадзором 04.12.2006)

, (в ред. Дополнения N 1, утв. Роспотребнадзором 04.12.2006)

то обследуемая партия металлолома считается не содержащей радиоактивного загрязнения альфа- и бета-излучающими радионуклидами и источников нейтронов. В противном случае она считается радиационно-загрязненной и подлежит дополнительному радиационному контролю с последующей сортировкой. (в ред. Дополнения N 1, утв. Роспотребнадзором 04.12.2006)

6.9.5. Вопрос о возможности реализации, утилизации или сортировки радиационно - загрязненной (содержащей локальные источники) партии металлолома решается в каждом случае отдельно по согласованию с органом госсанэпиднадзора.

6.10. Радиационный контроль подготовленной для реализации партии металлолома, загруженной в транспортное средство.

6.10.1. Для партий металлолома, направляемых на экспорт либо следующих транзитом через территорию Российской Федерации, а также в случае, когда при проведении радиационного контроля партии металлолома обнаружено превышение показаний приборов над природным фоном в месте измерения, дополнительно проводится контроль ММЭД гамма - излучения на поверхности готовой к отправке транспортной единицы.

6.10.2. Выделяют одну или несколько специальных контрольных площадок (зон), на которых производится радиационный контроль всего отправляемого из заготовительной организации металлолома после погрузки его в транспортное средство. При этом следует, по возможности, выбрать контрольные площадки (зоны) с минимальным природным фоном (не более 0,2 мкЗв/ч).

6.10.3. Радиационный контроль транспортных средств ведется по методике, аналогичной описанной в п. п. 5.4 - 5.5. Если превышений контрольных уровней при этом не выявлено, намечают 3 - 5 точек, в которых показания используемых приборов были максимальны, для проведения измерения в них значений МЭД.

Для точек на поверхности транспортного средства, в которых результаты измерений превышают контрольный уровень, либо для выбранных точек максимума при отсутствии превышений проводится измерение мощности дозы гамма - излучения по методике, изложенной в п. 6.6. Измерения проводятся гамма - дозиметром на расстоянии не более 0,1 м от внешней поверхности транспортного средства. Если для всех точек измерений выполняется условие (6.5), контролируемая партия металлолома соответствует требованиям СанПиН 2.6.1.993-00 и может использоваться без ограничений по радиационной безопасности. На нее может быть оформлено санитарно - эпидемиологическое заключение. В противном случае партия металлолома не соответствует требованиям СанПиН 2.6.1.993-00 и подлежит дополнительному радиационному контролю для выявления причин несоответствия (радиоактивное загрязнение транспортного средства, наличие локального источника или радиоактивного загрязнения, превышающего допустимое). В этом случае санитарно - эпидемиологическое заключение на партию металлолома не оформляется, и дальнейшие действия с ним производятся по согласованию с органом госсанэпиднадзора.

7. Обеспечение радиационной безопасности при радиационном контроле металлолома

7.1. При обнаружении металлолома, который по результатам радиационного контроля не может быть допущен к использованию без ограничения, организация, проводившая радиационный контроль, а также владелец металлолома своевременно информирует об этом орган госсанэпиднадзора. Дальнейшее обращение с металлоломом должно проводиться по согласованию с органом госсанэпиднадзора, с учетом требований санитарных правил и норм.

7.2. Все обнаруженные в металлоломе локальные источники должны быть из него удалены. Извлечение из металлолома локальных источников, МЭД на расстоянии 10 см от которых превышает 1 мкЗв/ч или имеющих радиоактивное загрязнение, может производиться только силами специализированной организации или специально подготовленными сотрудниками, включенными в утвержденный руководителем организации список персонала группы А по действующим нормам радиационной безопасности. (в ред. Дополнения N 1, утв. Роспотребнадзором 04.12.2006)

7.3. При обнаружении металлолома, который по результатам радиационного контроля не может быть допущен к использованию без ограничений, организация, проводившая радиационный контроль, и владелец металлолома обязаны проинформировать об этом орган госсанэпиднадзора. Дальнейшее обращение с металлоломом должно проводиться по согласованию с органом госсанэпиднадзора.

7.4. При обнаружении в партии металлолома радиоактивного загрязнения или локальных источников их идентификация, изъятие и последующее обращение с ними (хранение, транспортирование, захоронение и т.д.) должны проводиться специализированной организацией или подготовленными специалистами, включенными в утвержденный руководителем организации список персонала группы А, с соблюдением требований НРБ-99 и ОСПОРБ-99 по согласованию с органом госсанэпиднадзора.

7.5. При обнаружении в процессе радиационного контроля металлолома значений МЭД на его поверхности более 1 мкЗв/ч лица, проводившие радиационный контроль, должны немедленно прекратить дальнейшие работы и проинформировать об этом руководство ЛРК (организации) и орган, уполномоченный осуществлять государственный санитарно-эпидемиологический надзор. Руководство ЛРК (организации) должно принять меры к ограничению доступа посторонних лиц в зону с повышенным уровнем гамма-излучения (более 1,0 мкЗв/ч над природным фоном) и дальнейшие действия проводить по согласованию с органом, уполномоченным осуществлять государственный санитарно-эпидемиологический надзор, в соответствии с требованиями действующих нормативных документов по обеспечению радиационной безопасности. (в ред. Дополнения N 1, утв. Роспотребнадзором 04.12.2006)

7.6. Извлеченные из партии металлолома локальные источники могут, по согласованию с органом госсанэпиднадзора, помещаться для временного хранения в металлические контейнеры, расположенные в специально предназначенных для этого помещениях, обеспечивающих их сохранность и исключающих возможность несанкционированного доступа к ним посторонних лиц. МЭД гамма - излучения (за вычетом природного фона) на внешней поверхности стен помещения, в котором размещается контейнер с извлеченными локальными источниками, не должна превышать 0,1 мкЗв/ч. Порядок хранения и захоронения локальных источников согласовывается с органом госсанэпиднадзора.

Приложение

          РЕКОМЕНДУЕМАЯ ФОРМА ЖУРНАЛА ПРОИЗВОДСТВЕННОГО
                РАДИАЦИОННОГО КОНТРОЛЯ МЕТАЛЛОЛОМА
 
                              ЖУРНАЛ
       ПРОИЗВОДСТВЕННОГО РАДИАЦИОННОГО КОНТРОЛЯ МЕТАЛЛОЛОМА
 
Название предприятия _____________________________________________
__________________________________________________________________
Адрес, телефон ___________________________________________________
__________________________________________________________________
Фамилия, имя,   отчество   и  должность  лица,  ответственного  за
радиационный контроль ____________________________________________
__________________________________________________________________
 
               Журнал начат    "__" ________ 200_ г.
               Журнал окончен  "__" ________ 200_ г.
                       Количество страниц ________________________
 
N 
п/п
Дата 
Наименование 
поступившего
металлолома,
количество
(кг)
Поставщик 
Номер и 
дата
приходной
накладной
(или др. документов
на груз)
Приборы, 
применявшиеся
при проведении
измерений
(наименование,
зав. номер)
 
 
 
 
 
 
 
 
 
 
 
 
 
 
 
 
 
 
 
 
 
 
 
 
 
 
 
 
 
 
 
 
Результаты радиационного контроля 
фоновые 
значения
наличие превышения 
над фоном на
поверхности
поступившего
металлолома
ММЭД на поверхности 
поступившего
металлолома
подпись лица, 
проводившего
радиационный
контроль