Постановление Правительства РФ от 29.10.2022 N 1928

"О внесении изменений в постановление Правительства Российской Федерации от 12 июля 2021 г. N 1161"
Редакция от 29.10.2022 — Действует с 15.11.2022

ПРАВИТЕЛЬСТВО РОССИЙСКОЙ ФЕДЕРАЦИИ

ПОСТАНОВЛЕНИЕ
от 29 октября 2022 г. N 1928

О ВНЕСЕНИИ ИЗМЕНЕНИЙ В ПОСТАНОВЛЕНИЕ ПРАВИТЕЛЬСТВА РОССИЙСКОЙ ФЕДЕРАЦИИ ОТ 12 ИЮЛЯ 2021 Г. N 1161

Правительство Российской Федерации постановляет:

1. Утвердить прилагаемые изменения, которые вносятся в постановление Правительства Российской Федерации от 12 июля 2021 г. N 1161 "Об утверждении методики распределения дотаций бюджетам субъектов Российской Федерации в целях частичной компенсации выпадающих доходов бюджетов субъектов Российской Федерации от применения инвестиционного налогового вычета на 2021 год" (Собрание законодательства Российской Федерации, 2021, N 29, ст. 5665).

2. Министерству экономического развития Российской Федерации обеспечить представление до 1 декабря 2022 г. в Министерство финансов Российской Федерации перечня субъектов Российской Федерации, предусмотренного пунктом 4 методики, утвержденной постановлением Правительства Российской Федерации от 12 июля 2021 г. N 1161 "Об утверждении методики распределения дотаций бюджетам субъектов Российской Федерации в целях частичной компенсации выпадающих доходов бюджетов субъектов Российской Федерации от применения инвестиционного налогового вычета" (в редакции настоящего постановления).

Председатель Правительства
Российской Федерации
М. МИШУСТИН

УТВЕРЖДЕНЫ
постановлением Правительства
Российской Федерации
от 29 октября 2022 г. N 1928

ИЗМЕНЕНИЯ, КОТОРЫЕ ВНОСЯТСЯ В ПОСТАНОВЛЕНИЕ ПРАВИТЕЛЬСТВА РОССИЙСКОЙ ФЕДЕРАЦИИ ОТ 12 ИЮЛЯ 2021 Г. N 1161

1. В наименовании и пункте 1 слова "на 2021 год" исключить.

2. В пункте 2 слова "обеспечить представление до 1 августа 2021 г." заменить словами "обеспечивать представление ежегодно, до 1 августа,".

3. В методике распределения дотаций бюджетам субъектов Российской Федерации в целях частичной компенсации выпадающих доходов бюджетов субъектов Российской Федерации от применения инвестиционного налогового вычета на 2021 год, утвержденной указанным постановлением:

а) в наименовании слова "на 2021 год" исключить;

б) по тексту:

слова "2021 год" в соответствующем падеже заменить словами "текущий финансовый год" в соответствующем падеже;

слова "2020 год" заменить словами "отчетный год";

в) пункты 3 и 4 изложить в следующей редакции:

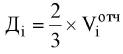
"3. Размер дотации, предоставляемой бюджету i-го субъекта Российской Федерации в текущем финансовом году (), определяется в следующем порядке:

а) если потребность в средствах для компенсации двух третей объема выпадающих доходов бюджетов субъектов Российской Федерации от применения инвестиционного налогового вычета превышает объем бюджетных ассигнований федерального бюджета, предусмотренных на соответствующие цели в федеральном законе о федеральном бюджете (S), то по формуле:

,

где - объем льгот по инвестиционному налоговому вычету, предоставленных i-м субъектом Российской Федерации организациям за отчетный год (тыс. рублей);

б) если потребность в средствах для компенсации двух третей объема выпадающих доходов бюджетов субъектов Российской Федерации от применения инвестиционного налогового вычета составляет менее объема бюджетных ассигнований федерального бюджета, предусмотренных на соответствующие цели в федеральном законе о федеральном бюджете, то по формуле:

.

4. Дотации предоставляются субъектам Российской Федерации, включенным в перечень субъектов Российской Федерации, подтвердивших внедрение системы поддержки новых инвестиционных проектов в субъектах Российской Федерации, утвержденный федеральной группой по подтверждению внедрения системы поддержки новых инвестиционных проектов в субъектах Российской Федерации ("Региональный инвестиционный стандарт"), по форме согласно приложению.";

г) приложение к указанной методике изложить в следующей редакции:

"Приложение
к методике распределения дотаций
бюджетам субъектов Российской Федерации
в целях частичной компенсации выпадающих
доходов бюджетов субъектов Российской Федерации
от применения инвестиционного налогового вычета

(форма)

УТВЕРЖДЕН
протоколом федеральной группы по подтверждению внедрения системы поддержки новых инвестиционных проектов в субъектах Российской Федерации ("Региональный инвестиционный стандарт")
от ___________________ N ___________

ПЕРЕЧЕНЬ СУБЪЕКТОВ РОССИЙСКОЙ ФЕДЕРАЦИИ, ПОДТВЕРДИВШИХ ВНЕДРЕНИЕ СИСТЕМЫ ПОДДЕРЖКИ НОВЫХ ИНВЕСТИЦИОННЫХ ПРОЕКТОВ В СУБЪЕКТАХ РОССИЙСКОЙ ФЕДЕРАЦИИ ("РЕГИОНАЛЬНЫЙ ИНВЕСТИЦИОННЫЙ СТАНДАРТ")

N Субъект Российской Федерации
1.  

".