Приказ Минэкономразвития РФ от 01.11.2022 N 594

"Об утверждении методики расчета показателя "Численность занятых в сфере малого и среднего предпринимательства, включая индивидуальных предпринимателей" Федерального проекта "Акселерация субъектов малого и среднего предпринимательства" национального проекта "Малое и среднее предпринимательство и поддержка индивидуальной предпринимательской инициативы"
Редакция от 01.11.2022 — Действует с 01.11.2022

МИНИСТЕРСТВО ЭКОНОМИЧЕСКОГО РАЗВИТИЯ РОССИЙСКОЙ ФЕДЕРАЦИИ

ПРИКАЗ
от 1 ноября 2022 г. N 594

ОБ УТВЕРЖДЕНИИ МЕТОДИКИ РАСЧЕТА ПОКАЗАТЕЛЯ "ЧИСЛЕННОСТЬ ЗАНЯТЫХ В СФЕРЕ МАЛОГО И СРЕДНЕГО ПРЕДПРИНИМАТЕЛЬСТВА, ВКЛЮЧАЯ ИНДИВИДУАЛЬНЫХ ПРЕДПРИНИМАТЕЛЕЙ" ФЕДЕРАЛЬНОГО ПРОЕКТА "АКСЕЛЕРАЦИЯ СУБЪЕКТОВ МАЛОГО И СРЕДНЕГО ПРЕДПРИНИМАТЕЛЬСТВА" НАЦИОНАЛЬНОГО ПРОЕКТА "МАЛОЕ И СРЕДНЕЕ ПРЕДПРИНИМАТЕЛЬСТВО И ПОДДЕРЖКА ИНДИВИДУАЛЬНОЙ ПРЕДПРИНИМАТЕЛЬСКОЙ ИНИЦИАТИВЫ"

В соответствии со статьей 7 Федерального закона от 29 ноября 2007 г. N 282-ФЗ "Об официальном статистическом учете и системе государственной статистики в Российской Федерации" и пунктом 2.12.I.12 раздела 1 Федерального плана статистических работ, утвержденного распоряжением Правительства Российской Федерации от 6 мая 2008 г. N 671-р, в целях исчисления показателей, характеризующих изменение численности занятых у субъектов малого и среднего предпринимательства, включая индивидуальных предпринимателей, приказываю:

1. Утвердить прилагаемую методику расчета показателя "Численность занятых в сфере малого и среднего предпринимательства, включая индивидуальных предпринимателей" федерального проекта "Акселерация субъектов малого и среднего предпринимательства" национального проекта "Малое и среднее предпринимательство и поддержка индивидуальной предпринимательской инициативы" (далее - методика).

2. Признать утратившими силу:

приказ Минэкономразвития России от 23 апреля 2019 г. N 239 "Об утверждении методики расчета показателя "Численность занятых в сфере малого и среднего предпринимательства, включая индивидуальных предпринимателей" национального проекта "Малое и среднее предпринимательство и поддержка индивидуальной предпринимательской инициативы";

приказ Минэкономразвития России от 6 июля 2020 г. N 403 "О внесении изменений в методику расчета показателя "Численность занятых в сфере малого и среднего предпринимательства, включая индивидуальных предпринимателей" национального проекта "Малое и среднее предпринимательство и поддержка индивидуальной предпринимательской инициативы", утвержденную приказом Минэкономразвития России от 23 апреля 2019 г. N 239";

приказ Минэкономразвития России от 21 января 2022 г. N 24 "О внесении изменений в некоторые приказы Минэкономразвития России по вопросу расчета показателей национального проекта "Малое и среднее предпринимательство и поддержка индивидуальной предпринимательской инициативы".

3. Настоящий приказ вступает в силу с даты его подписания, за исключением абзаца тринадцатого пункта 8 методики, который вступает в силу по истечении 180 дней с даты подписания настоящего приказа, абзац двенадцатый пункта 8 методики действует до дня вступления в силу абзаца тринадцатого пункта 8 методики.

Министр
М.Г. РЕШЕТНИКОВ

УТВЕРЖДЕНА
приказом Минэкономразвития России
от 01.11.2022 г. N 594

МЕТОДИКА РАСЧЕТА ПОКАЗАТЕЛЯ "ЧИСЛЕННОСТЬ ЗАНЯТЫХ В СФЕРЕ МАЛОГО И СРЕДНЕГО ПРЕДПРИНИМАТЕЛЬСТВА, ВКЛЮЧАЯ ИНДИВИДУАЛЬНЫХ ПРЕДПРИНИМАТЕЛЕЙ" ФЕДЕРАЛЬНОГО ПРОЕКТА "АКСЕЛЕРАЦИЯ СУБЪЕКТОВ МАЛОГО И СРЕДНЕГО ПРЕДПРИНИМАТЕЛЬСТВА" НАЦИОНАЛЬНОГО ПРОЕКТА "МАЛОЕ И СРЕДНЕЕ ПРЕДПРИНИМАТЕЛЬСТВО И ПОДДЕРЖКА ИНДИВИДУАЛЬНОЙ ПРЕДПРИНИМАТЕЛЬСКОЙ ИНИЦИАТИВЫ"

I. Основные положения

1. Настоящая методика предназначена для расчета показателя "Численность занятых в сфере малого и среднего предпринимательства, включая индивидуальных предпринимателей" (далее - Показатель), используемого для ведения мониторинга исполнения Указа Президента Российской Федерации от 21 июля 2020 г. N 474 "О национальных целях развития Российской Федерации на период до 2030 года", и целевого показателя федерального проекта "Акселерация субъектов малого и среднего предпринимательства" национального проекта "Малое и среднее предпринимательство и поддержка индивидуальной предпринимательской инициативы", включенного в Федеральный план статистических работ, утвержденный распоряжением Правительства Российской Федерации от 6 мая 2008 г. N 671-р (далее - Федеральный план статистических работ).

2. Показатель рассчитывается на федеральном уровне в целом по Российской Федерации, по федеральным округам и в разрезе субъектов Российской Федерации на конец отчетного периода. Отчетный период - месяц, квартал, год.

3. Значение Показателя за год принимается равным значению Показателя по состоянию на конец IV квартала отчетного года.

4. При расчете Показателя за единицу измерения принимается человек.

5. Субъектом официального статистического учета, ответственным за расчет Показателя, является Минэкономразвития России.

6. Представление (распространение) официальной статистической информации пользователям осуществляется в сроки, установленные в Федеральном плане статистических работ.

II. Основные понятия и определения

7. Все понятия и определения, приведенные в настоящей методике, используются исключительно с целью расчета Показателя.

8. Для целей настоящей методики используются следующие основные понятия:

юридические лица - субъекты малого и среднего предпринимательства - юридические лица, сведения о которых внесены в единый реестр субъектов малого и среднего предпринимательства 10-го числа месяца, следующего за отчетным периодом;

индивидуальные предприниматели - субъекты малого и среднего предпринимательства - индивидуальные предприниматели, сведения о которых внесены в единый реестр субъектов малого и среднего предпринимательства 10-го числа месяца, следующего за отчетным периодом;

число работников юридических лиц (для квартального расчета) - количество физических лиц, с выплат и иных вознаграждений которым исчислены страховые взносы в соответствии с применяемым тарифом страховых взносов юридическими лицами - субъектами малого и среднего предпринимательства по состоянию на конец отчетного периода;

число работников - индивидуальных предпринимателей у юридических лиц (для квартального расчета) - количество физических лиц, с выплат и иных вознаграждений которым исчислены страховые взносы в соответствии с применяемым тарифом страховых взносов юридическими лицами - субъектами малого и среднего предпринимательства, а также которые по состоянию на конец отчетного периода являлись индивидуальными предпринимателями - субъектами малого и среднего предпринимательства;

число работников - налогоплательщиков налога на профессиональный доход у юридических лиц (для квартального расчета) - количество физических лиц, с выплат и иных вознаграждений которым исчислены страховые взносы в соответствии с применяемым тарифом страховых взносов юридическими лицами - субъектами малого и среднего предпринимательства, а также которые по состоянию на конец отчетного периода являлись налогоплательщиками налога на профессиональный доход (за исключением индивидуальных предпринимателей);

число работников индивидуальных предпринимателей (для квартального расчета) - количество физических лиц, с выплат и иных вознаграждений которым исчислены страховые взносы в соответствии с применяемым тарифом страховых взносов индивидуальными предпринимателями - субъектами малого и среднего предпринимательства, по состоянию на конец отчетного периода;

число работников - индивидуальных предпринимателей у индивидуальных предпринимателей (для квартального расчета) - количество физических лиц, с выплат и иных вознаграждений которым исчислены страховые взносы в соответствии с применяемым тарифом страховых взносов индивидуальными предпринимателями - субъектами малого и среднего предпринимательства, а также которые по состоянию на конец отчетного периода являлись индивидуальными предпринимателями - субъектами малого и среднего предпринимательства;

число работников - налогоплательщиков налога на профессиональный доход у индивидуальных предпринимателей (для квартального расчета) - количество физических лиц, с выплат и иных вознаграждений которым исчислены страховые взносы в соответствии с применяемым тарифом страховых взносов индивидуальными предпринимателями - субъектами малого и среднего предпринимательства, а также которые по состоянию на конец отчетного периода являлись налогоплательщиками налога на профессиональный доход (за исключением индивидуальных предпринимателей);

число работников юридических лиц (для месячного расчета) - среднесписочная численность работников юридических лиц - субъектов малого и среднего предпринимательства по состоянию на конец отчетного периода;

число работников индивидуальных предпринимателей (для месячного расчета) - среднесписочная численность работников индивидуальных предпринимателей - субъектов малого и среднего предпринимательства по состоянию на конец отчетного периода;

налогоплательщики налога на профессиональный доход - физические лица, перешедшие на специальный налоговый режим "Налог на профессиональный доход" в порядке, установленном Федеральным законом от 27 ноября 2018 г. N 422-ФЗ "О проведении эксперимента по установлению специального налогового режима "Налог на профессиональный доход";

Абзац двенадцатый пункта 8 методики действует до 30.04.2023 (пункт 3).

налогоплательщики налога на профессиональный доход - физические лица, перешедшие на специальный налоговый режим "Налог на профессиональный доход" в порядке, установленном Федеральным законом от 27 ноября 2018 г. N 422-ФЗ "О проведении эксперимента по установлению специального налогового режима "Налог на профессиональный доход", за исключением индивидуальных предпринимателей и физических лиц, не указавших доход, облагаемый налогом на профессиональный доход, в течение последних 12 месяцев, по состоянию на конец отчетного периода.

Абзац тринадцатый пункта 8 методики действует с 30.04.2023 (пункт 3).

Раздел III. Порядок расчета Показателя

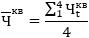
9. Расчет квартального Показателя () производится по формуле:

,

где:

- число работников юридических лиц (для квартального расчета), человек;

- число работников индивидуальных предпринимателей (для квартального расчета), человек;

- число уникальных индивидуальных предпринимателей - субъектов малого и среднего предпринимательства (для квартального расчета), человек:

,

где:

- число индивидуальных предпринимателей - субъектов малого и среднего предпринимательства, человек;

- число работников - индивидуальных предпринимателей у индивидуальных предпринимателей (для квартального расчета), человек;

- число работников индивидуальных предпринимателей у юридических лиц (для квартального расчета), человек;

- число уникальных налогоплательщиков налога на профессиональный доход (для квартального расчета), человек:

,

где:

- число налогоплательщиков налога на профессиональный доход, человек;

- число работников - налогоплательщиков налога на профессиональный доход у индивидуальных предпринимателей (для квартального расчета), человек;

- число работников - налогоплательщиков налога на профессиональный доход у юридических лиц (для квартального расчета), человек.

10. При расчете физическое лицо, с выплат и иных вознаграждений которому исчислены страховые взносы в соответствии с применяемым тарифом страховых взносов по месту нахождения обособленного подразделения юридического лица - субъекта малого и среднего предпринимательства, наделенного полномочиями по начислению выплат и иных вознаграждений в пользу физических лиц, учитывается по месту нахождения такого обособленного подразделения.

11. При расчете и физическое лицо, с выплат и иных вознаграждений которому исчислены страховые взносы в соответствии с применяемым тарифом страховых взносов разными работодателями - субъектами малого и среднего предпринимательства, учитывается один раз. При этом физическое лицо, с выплат и иных вознаграждений которому исчислены страховые взносы в соответствии с применяемым тарифом страховых взносов разными работодателями - субъектами малого и среднего предпринимательства, считается работником того работодателя - субъекта малого и среднего предпринимательства, которым работнику начислена наибольшая сумма выплат и иных вознаграждений.

12. При расчете физическое лицо, сведения о государственной регистрации которого несколько раз внесены в Единый государственный реестр индивидуальных предпринимателей, учитывается один раз.

13. При расчете в разрезе субъектов Российской Федерации количество налогоплательщиков налога на профессиональный доход определяется по месту ведения деятельности налогоплательщика налога на профессиональный доход.

14. Расчет месячного Показателя () производится по формуле:

,

где:

k - коэффициент, обеспечивающий сопоставимость Показателя и Показателя :

,

где:

- среднее число работников юридических лиц и индивидуальных предпринимателей (для квартального расчета) за последние четыре квартала, информация по которым доступна на момент расчета Показателя (далее - доступные четыре квартала), человек:

;

- среднее число работников юридических лиц и индивидуальных предпринимателей (для месячного расчета) за 12 месяцев доступных четырех кварталов, человек:

;

- число работников индивидуальных предпринимателей (для месячного расчета), человек;

- число работников юридических лиц (для месячного расчета), человек;

- число уникальных индивидуальных предпринимателей - субъектов малого и среднего предпринимательства (для месячного расчета), человек:

,

где:

- среднее число работников - индивидуальных предпринимателей у индивидуальных предпринимателей (для квартального расчета) за доступные четыре квартала, человек:

;

- среднее число работников - индивидуальных предпринимателей у юридических лиц (для квартального расчета) за доступные четыре квартала, человек:

;

- число уникальных налогоплательщиков налога на профессиональный доход, человек:

,

где:

- среднее число работников - налогоплательщиков налога на профессиональный доход у индивидуальных предпринимателей (для квартального расчета) за доступные четыре квартала, человек:

;

- среднее число работников - налогоплательщиков налога на профессиональный доход у юридических лиц (для квартального расчета) за доступные четыре квартала, человек:

.

IV. Источник информации для расчета Показателя

15. Источником информации для расчета Показателя являются данные ФНС России, формируемые в целом по Российской Федерации, по федеральным округам и в разрезе субъектов Российской Федерации, которые размещаются в подразделе "Статистика для национального проекта "Малое и среднее предпринимательство и поддержка индивидуальной предпринимательской инициативы" раздела "Статистика" сервиса "Единый реестр субъектов малого и среднего предпринимательства" на официальном сайте ФНС России в информационно-телекоммуникационной сети "Интернет":

данные для квартального расчета (число работников юридических лиц и индивидуальных предпринимателей, число работников юридических лиц и индивидуальных предпринимателей, которые одновременно являются индивидуальными предпринимателями - субъектами малого и среднего предпринимательства, число работников юридических лиц и индивидуальных предпринимателей, которые одновременно являются налогоплательщиками налога на профессиональный доход, число индивидуальных предпринимателей - субъектов малого и среднего предпринимательства, число налогоплательщиков налога на профессиональный доход) - не позднее 15 марта (по состоянию на конец IV квартала), 15 июня (по состоянию на конец I квартала), 15 сентября (по состоянию на конец II квартала), 15 декабря (по состоянию на конец III квартала);

данные для ежемесячного расчета (число работников юридических лиц и индивидуальных предпринимателей) - не позднее 15-го рабочего дня, следующего за отчетным месяцем.