Постановление Правительства РФ от 30.04.2019 N 541

"Об утверждении Правил предоставления субсидий из федерального бюджета российским организациям на возмещение части затрат на выплату купонного дохода по облигациям, выпущенным в рамках реализации инвестиционных проектов по внедрению наилучших доступных технологий, и (или) на возмещение части затрат на уплату процентов по кредитам, полученным в российских кредитных организациях, государственной корпорации развития "Вэб.рф", а также в международных финансовых организациях, созданных в соответствии с международными договорами, в которых участвует Российская Федерация, на реализацию инвестиционных проектов по внедрению наилучших доступных технологий"
Редакция от 14.11.2022 — Действует с 24.11.2022
Показать изменения

ПРАВИТЕЛЬСТВО РОССИЙСКОЙ ФЕДЕРАЦИИ

ПОСТАНОВЛЕНИЕ
от 30 апреля 2019 г. N 541

ОБ УТВЕРЖДЕНИИ ПРАВИЛ ПРЕДОСТАВЛЕНИЯ СУБСИДИЙ ИЗ ФЕДЕРАЛЬНОГО БЮДЖЕТА РОССИЙСКИМ ОРГАНИЗАЦИЯМ НА ВОЗМЕЩЕНИЕ ЧАСТИ ЗАТРАТ НА ВЫПЛАТУ КУПОННОГО ДОХОДА ПО ОБЛИГАЦИЯМ, ВЫПУЩЕННЫМ В РАМКАХ РЕАЛИЗАЦИИ ИНВЕСТИЦИОННЫХ ПРОЕКТОВ ПО ВНЕДРЕНИЮ НАИЛУЧШИХ ДОСТУПНЫХ ТЕХНОЛОГИЙ, И (ИЛИ) НА ВОЗМЕЩЕНИЕ ЧАСТИ ЗАТРАТ НА УПЛАТУ ПРОЦЕНТОВ ПО КРЕДИТАМ, ПОЛУЧЕННЫМ В РОССИЙСКИХ КРЕДИТНЫХ ОРГАНИЗАЦИЯХ, ГОСУДАРСТВЕННОЙ КОРПОРАЦИИ РАЗВИТИЯ "ВЭБ.РФ", А ТАКЖЕ В МЕЖДУНАРОДНЫХ ФИНАНСОВЫХ ОРГАНИЗАЦИЯХ, СОЗДАННЫХ В СООТВЕТСТВИИ С МЕЖДУНАРОДНЫМИ ДОГОВОРАМИ, В КОТОРЫХ УЧАСТВУЕТ РОССИЙСКАЯ ФЕДЕРАЦИЯ, НА РЕАЛИЗАЦИЮ ИНВЕСТИЦИОННЫХ ПРОЕКТОВ ПО ВНЕДРЕНИЮ НАИЛУЧШИХ ДОСТУПНЫХ ТЕХНОЛОГИЙ

(в ред. Постановлений Правительства РФ от 10.12.2020 N 2073, от 13.07.2021 N 1175, от 14.11.2022 N 2058)

Правительство Российской Федерации постановляет:

Утвердить прилагаемые Правила предоставления субсидий из федерального бюджета российским организациям на возмещение части затрат на выплату купонного дохода по облигациям, выпущенным в рамках реализации инвестиционных проектов по внедрению наилучших доступных технологий, и (или) на возмещение части затрат на уплату процентов по кредитам, полученным в российских кредитных организациях, государственной корпорации развития "ВЭБ.РФ", а также в международных финансовых организациях, созданных в соответствии с международными договорами, в которых участвует Российская Федерация, на реализацию инвестиционных проектов по внедрению наилучших доступных технологий. (в ред. Постановлений Правительства РФ от 10.12.2020 N 2073, от 14.11.2022 N 2058)

Председатель Правительства
Российской Федерации
Д. МЕДВЕДЕВ

УТВЕРЖДЕНЫ
постановлением Правительства
Российской Федерации
от 30 апреля 2019 г. N 541

ПРАВИЛА ПРЕДОСТАВЛЕНИЯ СУБСИДИЙ ИЗ ФЕДЕРАЛЬНОГО БЮДЖЕТА РОССИЙСКИМ ОРГАНИЗАЦИЯМ НА ВОЗМЕЩЕНИЕ ЧАСТИ ЗАТРАТ НА ВЫПЛАТУ КУПОННОГО ДОХОДА ПО ОБЛИГАЦИЯМ, ВЫПУЩЕННЫМ В РАМКАХ РЕАЛИЗАЦИИ ИНВЕСТИЦИОННЫХ ПРОЕКТОВ ПО ВНЕДРЕНИЮ НАИЛУЧШИХ ДОСТУПНЫХ ТЕХНОЛОГИЙ, И (ИЛИ) НА ВОЗМЕЩЕНИЕ ЧАСТИ ЗАТРАТ НА УПЛАТУ ПРОЦЕНТОВ ПО КРЕДИТАМ, ПОЛУЧЕННЫМ В РОССИЙСКИХ КРЕДИТНЫХ ОРГАНИЗАЦИЯХ, ГОСУДАРСТВЕННОЙ КОРПОРАЦИИ РАЗВИТИЯ "ВЭБ.РФ", А ТАКЖЕ В МЕЖДУНАРОДНЫХ ФИНАНСОВЫХ ОРГАНИЗАЦИЯХ, СОЗДАННЫХ В СООТВЕТСТВИИ С МЕЖДУНАРОДНЫМИ ДОГОВОРАМИ, В КОТОРЫХ УЧАСТВУЕТ РОССИЙСКАЯ ФЕДЕРАЦИЯ, НА РЕАЛИЗАЦИЮ ИНВЕСТИЦИОННЫХ ПРОЕКТОВ ПО ВНЕДРЕНИЮ НАИЛУЧШИХ ДОСТУПНЫХ ТЕХНОЛОГИЙ

(в ред. Постановлений Правительства РФ от 10.12.2020 N 2073, от 13.07.2021 N 1175, от 14.11.2022 N 2058)

I. Общие положения

1. Настоящие Правила устанавливают цели, условия и порядок предоставления субсидий из федерального бюджета на мероприятия по государственной поддержке российских организаций в целях возмещения части затрат на выплату купонного дохода по облигациям, выпущенным в рамках реализации инвестиционных проектов по внедрению наилучших доступных технологий, и (или) на возмещение части затрат на уплату процентов по кредитам, полученным в российских кредитных организациях, государственной корпорации развития "ВЭБ.РФ", а также в международных финансовых организациях, созданных в соответствии с международными договорами, в которых участвует Российская Федерация, на реализацию инвестиционных проектов по внедрению наилучших доступных технологий (далее - субсидии). (в ред. Постановления Правительства РФ от 14.11.2022 N 2058)

2. Субсидии предоставляются российским организациям на возмещение части затрат на выплату купонного дохода по облигациям, выпущенным в 2019 - 2024 годах в рамках реализации инвестиционных проектов по внедрению наилучших доступных технологий на объектах, оказывающих значительное негативное воздействие на окружающую среду и относящихся к областям применения наилучших доступных технологий, в соответствии с критериями отнесения объектов, оказывающих негативное воздействие на окружающую среду, к объектам I, II, III и IV категорий (далее соответственно - инвестиционные проекты, облигации), и (или) на возмещение части затрат на уплату процентов по кредитам, включая кредиты в рамках кредитных линий (транш или часть транша (субтранш), полученным российскими организациями по кредитным договорам или договорам синдицированного кредита (займа) в 2019 - 2024 годах в российских кредитных организациях, государственной корпорации развития "ВЭБ.РФ" (далее - ВЭБ.РФ), а также в международных финансовых организациях, созданных в соответствии с международными договорами, в которых участвует Российская Федерация (далее - уполномоченные банки), на реализацию инвестиционных проектов, в том числе инвестиционных проектов, реализуемых их дочерними организациями (далее соответственно - кредит (транши, субтранши), субсидии, организация). (в ред. Постановления Правительства РФ от 14.11.2022 N 2058)

Субсидии предоставляются Министерством промышленности и торговли Российской Федерации в рамках государственной программы Российской Федерации "Развитие промышленности и повышение ее конкурентоспособности" в пределах лимитов бюджетных обязательств, доведенных в установленном порядке до Министерства промышленности и торговли Российской Федерации как получателя средств федерального бюджета на цели, предусмотренные пунктом 1 настоящих Правил. (в ред. Постановления Правительства РФ от 14.11.2022 N 2058)

Сведения о субсидиях размещаются на едином портале бюджетной системы Российской Федерации в разделе "Бюджет" в информационно- телекоммуникационной сети "Интернет" (далее соответственно - сеть "Интернет", единый портал) не позднее 15-го рабочего дня, следующего за днем принятия федерального закона о федеральном бюджете (федерального закона о внесении изменений в федеральный закон о федеральном бюджете). (в ред. Постановления Правительства РФ от 14.11.2022 N 2058)

3. Требования к организациям, реализующим инвестиционные проекты с привлечением средств, полученных от размещения облигаций, содержатся в разделе II настоящих Правил.

4. Требования к организациям, реализующим инвестиционные проекты с привлечением кредитов, содержатся в разделе III настоящих Правил.

5. В настоящих Правилах облигации и кредиты признаются равнозначными механизмами привлечения инвестиций в рамках реализации инвестиционных проектов.

6. Отбор инвестиционных проектов осуществляется одновременно по обоим механизмам привлечения инвестиций в рамках реализации инвестиционных проектов в соответствии с утвержденной Министерством промышленности и торговли Российской Федерации методикой отбора инвестиционных проектов Межведомственной комиссией по отбору инвестиционных проектов по внедрению наилучших доступных технологий на объектах, оказывающих значительное негативное воздействие на окружающую среду и относящихся к областям применения наилучших доступных технологий (далее соответственно - Межведомственная комиссия по отбору, методика отбора, отбор).

7. Результатом предоставления субсидии является достижение в текущем финансовом году целевых показателей инвестиционных проектов, направленных на достижение установленных нормативными документами в области охраны окружающей среды технологических показателей наилучших доступных технологий, и (или) достижение показателей воздействия на окружающую среду ниже установленных нормативными документами в области охраны окружающей среды технологических показателей наилучших доступных технологий, и (или) достижение нормативов допустимых выбросов и (или) нормативов допустимых сбросов высокотоксичных веществ, веществ, обладающих канцерогенными, мутагенными свойствами (веществ I, II классов опасности), установленных в соответствии с законодательством Российской Федерации в области охраны окружающей среды, и (или) снижение удельных выбросов парниковых газов и повышение ресурсной и энергетической эффективности производства. (в ред. Постановления Правительства РФ от 14.11.2022 N 2058)

Показатели, необходимые для достижения соответствующего результата предоставления субсидии, включают в себя: (в ред. Постановления Правительства РФ от 14.11.2022 N 2058)

совокупный объем снижения массы выбросов, сбросов загрязняющих веществ на конец каждого календарного года и на конец реализации инвестиционного проекта с учетом отраслевой и производственной специфики; (в ред. Постановления Правительства РФ от 14.11.2022 N 2058)

объем или массу выбросов, сбросов каждого загрязняющего вещества, в отношении которого не достигаются технологические нормативы, и (или) снижаются выбросы, и (или) снижаются сбросы загрязняющих веществ, не превышающие установленных технологических нормативов, и (или) не достигаются нормативы допустимых выбросов и (или) нормативы допустимых сбросов высокотоксичных веществ, веществ, обладающих канцерогенными, мутагенными свойствами (веществ I, II классов опасности), на конец каждого календарного года и на конец реализации инвестиционного проекта с учетом отраслевой и производственной специфики; (в ред. Постановления Правительства РФ от 14.11.2022 N 2058)

удельный показатель выбросов парниковых газов на тонну конечной продукции на конец каждого календарного года и на конец реализации инвестиционного проекта с учетом отраслевой и производственной специфики; (в ред. Постановления Правительства РФ от 14.11.2022 N 2058)

удельный показатель потребления сырья, воды, энергии и других ресурсов на тонну произведенной продукции на конец каждого календарного года и на конец реализации инвестиционного проекта с учетом отраслевой и производственной специфики; (в ред. Постановления Правительства РФ от 14.11.2022 N 2058)

объем произведенных инвестиций в стоимостном выражении на конец каждого календарного года и накопленным итогом на конец реализации инвестиционного проекта. (в ред. Постановления Правительства РФ от 14.11.2022 N 2058)

Отчет о достижении значения результата предоставления субсидии и значений показателей, необходимых для достижения результата предоставления субсидии, представляется организацией в Министерство промышленности и торговли Российской Федерации ежеквартально, до 15-го числа месяца, следующего за отчетным кварталом, по установленной Министерством финансов Российской Федерации форме. (в ред. Постановления Правительства РФ от 14.11.2022 N 2058)

8. Субсидии для целей снижения технологических показателей наилучших доступных технологий предоставляются организациям, чьи инвестиционные проекты отобраны, при соблюдении следующих условий: (в ред. Постановления Правительства РФ от 14.11.2022 N 2058)

а) инвестиционный проект направлен на реализацию мероприятий по оснащению объектов, оказывающих значительное негативное воздействие на окружающую среду и относящихся к областям применения наилучших доступных технологий, оборудованием и техническими устройствами, предназначенными для снижения негативного воздействия на окружающую среду; (в ред. Постановления Правительства РФ от 14.11.2022 N 2058)

б) реализация инвестиционного проекта способствует достижению установленных нормативными правовыми актами в области охраны окружающей среды технологических показателей наилучших доступных технологий, и (или) достижение показателей воздействия на окружающую среду ниже установленных нормативными правовыми актами в области охраны окружающей среды технологических показателей наилучших доступных технологий, и (или) достижение нормативов допустимых выбросов и (или) нормативов допустимых сбросов высокотоксичных веществ, веществ, обладающих канцерогенными, мутагенными свойствами (веществ I, II классов опасности), установленных в соответствии с законодательством Российской Федерации в области охраны окружающей среды; (в ред. Постановления Правительства РФ от 14.11.2022 N 2058)

в) реализация инвестиционного проекта предусматривает расходы инвестиционного характера по внедрению наилучшей доступной технологии, соответствующей критериям, установленным пунктом 4 статьи 28.1 Федерального закона "Об охране окружающей среды", на приобретение оборудования и технических устройств, а также расходы, связанные с проведением проектно-изыскательских, строительно-монтажных и пусконаладочных работ. (в ред. Постановления Правительства РФ от 14.11.2022 N 2058)

8(1). Субсидии для целей сокращения выбросов парниковых газов предоставляются организациям, чьи инвестиционные проекты отобраны, при соблюдении следующих условий: (в ред. Постановления Правительства РФ от 14.11.2022 N 2058)

а) инвестиционный проект направлен на реализацию мероприятий по оснащению объектов, оказывающих значительное негативное воздействие на окружающую среду и относящихся к областям применения наилучших доступных технологий, оборудованием и техническими устройствами, предназначенными для снижения негативного воздействия на окружающую среду; (в ред. Постановления Правительства РФ от 14.11.2022 N 2058)

б) инвестиционный проект направлен на снижение удельных выбросов парниковых газов и повышение ресурсной и энергетической эффективности производства; (в ред. Постановления Правительства РФ от 14.11.2022 N 2058)

в) реализация инвестиционного проекта предусматривает расходы инвестиционного характера по внедрению наилучшей доступной технологии, соответствующей критериям, установленным пунктом 4 статьи 28.1 Федерального закона "Об охране окружающей среды", на приобретение оборудования и технических устройств, а также расходы, связанные с проведением проектно-изыскательских, строительно-монтажных и пусконаладочных работ. (в ред. Постановления Правительства РФ от 14.11.2022 N 2058)

9. Субсидия предоставляется организации, выпустившей облигации и (или) получившей кредит в рамках реализации инвестиционных проектов, прошедшей отбор, при условии, что организация, а также ее дочерняя организация в случае, если полученные от выпуска облигаций и (или) кредитные средства направлены организацией на финансирование инвестиционных проектов ее дочерней организации, на дату не ранее чем за 10 рабочих дней до даты подачи заявления о предоставлении субсидии соответствуют следующим требованиям:

а) у организации (дочерней организации) отсутствует неисполненная обязанность по уплате налогов, сборов, страховых взносов, пеней, штрафов и процентов, подлежащих уплате в соответствии с законодательством Российской Федерации о налогах и сборах;

б) у организации (дочерней организации) отсутствуют просроченная задолженность по возврату в федеральный бюджет субсидий, бюджетных инвестиций, предоставленных в том числе в соответствии с иными правовыми актами Российской Федерации, и иная просроченная (неурегулированная) задолженность по денежным обязательствам перед Российской Федерацией; (в ред. Постановлений Правительства РФ от 13.07.2021 N 1175, от 14.11.2022 N 2058)

в) организация (дочерняя организация) не находится в процессе реорганизации (за исключением реорганизации в форме присоединения к организации другого юридического лица), ликвидации, в отношении организации (дочерней организации) не введена процедура банкротства, деятельность организации (дочерней организации) не приостановлена в порядке, предусмотренном законодательством Российской Федерации; (в ред. Постановления Правительства РФ от 13.07.2021 N 1175)

г) организация (дочерняя организация) не является иностранным юридическим лицом, а также российским юридическим лицом, в уставном (складочном) капитале которого доля участия иностранных юридических лиц, местом регистрации которых является государство или территория, включенные в утвержденный Министерством финансов Российской Федерации перечень государств и территорий, предоставляющих льготный налоговый режим налогообложения и (или) не предусматривающих раскрытия и предоставления информации при проведении финансовых операций (офшорные зоны), в совокупности превышает 50 процентов;

д) организация (дочерняя организация) не получает средства из федерального бюджета на основании иных нормативных правовых актов Российской Федерации на цели, указанные в пункте 1 настоящих Правил; (в ред. Постановления Правительства РФ от 14.11.2022 N 2058)

е) в реестре дисквалифицированных лиц отсутствуют сведения о дисквалифицированных руководителе, членах коллегиального исполнительного органа, лице, исполняющем функции единоличного исполнительного органа, или главном бухгалтере (при наличии) организации (дочерней организации);

ж) организация (дочерняя организация) не должна находиться в перечне организаций и физических лиц, в отношении которых имеются сведения об их причастности к экстремистской деятельности или терроризму, либо в перечне организаций и физических лиц, в отношении которых имеются сведения об их причастности к распространению оружия массового уничтожения. (в ред. Постановления Правительства РФ от 14.11.2022 N 2058)

10. Отбор проводится не более 3 раз в год в соответствии с Положением о Межведомственной комиссии по отбору инвестиционных проектов по внедрению наилучших доступных технологий на объектах, оказывающих значительное негативное воздействие на окружающую среду и относящихся к областям применения наилучших доступных технологий, согласно приложению N 1.

В случае если объемы бюджетных ассигнований, предусмотренные федеральным законом о федеральном бюджете на соответствующий финансовый год, и лимиты бюджетных обязательств, доведенные в установленном порядке до Министерства промышленности и торговли Российской Федерации как получателя средств федерального бюджета на цели, указанные в пункте 1 настоящих Правил, не превышают размер субсидий, предусмотренных в текущем финансовом году организациям по ранее заключенным соглашениям, Министерство не вправе принимать решение о проведении отбора.

11. В целях проведения отбора Министерство промышленности и торговли Российской Федерации:

а) образует экспертный совет по проведению технико-экономической оценки инвестиционных проектов организаций (далее - экспертный совет) и утверждает положение о нем, определяющее состав, структуру, цели, задачи и функции экспертного совета, а также полномочия членов экспертного совета и порядок их отбора;

б) разрабатывает и утверждает методику проведения технико-экономической оценки инвестиционных проектов организаций.

12. В целях проведения отбора Министерство промышленности и торговли Российской Федерации в течение 3 рабочих дней со дня принятия решения о проведении отбора размещает на своем официальном сайте в сети "Интернет", а также в государственной информационной системе промышленности (с размещением указателя страницы сайта на едином портале) объявление о проведении отбора с указанием: (в ред. Постановления Правительства РФ от 14.11.2022 N 2058)

а) сроков проведения отбора, а также информации о возможности проведения нескольких этапов отбора с указанием сроков и порядка их проведения; (в ред. Постановления Правительства РФ от 14.11.2022 N 2058)

б) даты начала подачи или окончания приема заявок участников отбора, которая не может быть ранее 30-го календарного дня, следующего за днем размещения объявления о проведении отбора; (в ред. Постановления Правительства РФ от 14.11.2022 N 2058)

в) места нахождения, почтового адреса, адреса электронной почты Министерства промышленности и торговли Российской Федерации; (в ред. Постановления Правительства РФ от 14.11.2022 N 2058)

г) результата предоставления субсидии, указанного в пункте 7 настоящих Правил; (в ред. Постановления Правительства РФ от 14.11.2022 N 2058)

д) доменного имени и (или) указателей страниц сайта государственной информационной системы промышленности, на котором обеспечивается проведение отбора; (в ред. Постановления Правительства РФ от 14.11.2022 N 2058)

е) требований к организациям - участникам отбора в соответствии с пунктом 9 настоящих Правил и перечня документов, представляемых организациями - участниками отбора для подтверждения их соответствия указанным требованиям (в соответствии с пунктами 48 и 49 настоящих Правил для организаций, реализующих инвестиционные проекты с привлечением средств, полученных от размещения облигаций, или пунктами 58 и 59 настоящих Правил для организаций, реализующих инвестиционные проекты с привлечением кредитов); (в ред. Постановления Правительства РФ от 14.11.2022 N 2058)

ж) порядка подачи заявок на участие в отборе организациями - участниками отбора и требований, предъявляемых к форме и содержанию заявок на участие в отборе; (в ред. Постановления Правительства РФ от 14.11.2022 N 2058)

з) порядка отзыва заявок на участие в отборе, порядка их возврата организациям - участникам отбора, определяющего в том числе основания для возврата заявок на участие в отборе, порядка внесения изменений в заявки на участие в отборе; (в ред. Постановления Правительства РФ от 14.11.2022 N 2058)

и) правил рассмотрения заявок на участие в отборе в соответствии с пунктами 14 - 22 настоящих Правил; (в ред. Постановления Правительства РФ от 14.11.2022 N 2058)

к) порядка предоставления организациям - участникам отбора разъяснений положений объявления о проведении отбора, даты начала и даты окончания срока такого предоставления; (в ред. Постановления Правительства РФ от 14.11.2022 N 2058)

л) срока, в течение которого организация - участник отбора, признанная прошедшей отбор, должна подписать соглашение о предоставлении субсидии (далее - соглашение); (в ред. Постановления Правительства РФ от 14.11.2022 N 2058)

м) условий признания организации - участника отбора, признанной прошедшей отбор, уклонившейся от заключения соглашения; (в ред. Постановления Правительства РФ от 14.11.2022 N 2058)

н) даты размещения результатов отбора в государственной информационной системе промышленности (с размещением указателя страницы сайта на едином портале), а также на официальном сайте Министерства промышленности и торговли Российской Федерации в сети "Интернет". (в ред. Постановления Правительства РФ от 14.11.2022 N 2058)

13. Обмен документами и информацией при проведении отбора, технико-экономической оценки, заключении между Министерством промышленности и торговли Российской Федерации и организацией соглашения по типовой форме, утвержденной Министерством финансов Российской Федерации, подаче заявлений о предоставлении субсидий в соответствии с настоящими Правилами, а также при осуществлении контроля за соблюдением организациями условий и порядка предоставления субсидий осуществляется с использованием государственной информационной системы промышленности. (в ред. Постановления Правительства РФ от 14.11.2022 N 2058)

Государственная информационная система промышленности расположена в сети "Интернет" по сетевому адресу https://gisp.gov.ru. (в ред. Постановления Правительства РФ от 14.11.2022 N 2058)

14. Заявка на участие в отборе (далее - заявка) подается организацией в Министерство промышленности и торговли Российской Федерации с использованием государственной информационной системы промышленности. Заявка включает в себя документы, указанные в пунктах 48 и 49 настоящих Правил, для организаций, реализующих инвестиционные проекты с привлечением средств, полученных от размещения облигаций, или в пунктах 58 и 59 настоящих Правил - для организаций, реализующих инвестиционные проекты с привлечением кредитов.

Срок подачи заявок составляет не менее 10 рабочих дней.

Общие сроки проведения отбора составляют не менее 30 календарных дней, следующих за днем размещения объявления о проведении отбора.

15. Со дня, следующего за днем размещения объявления о проведении отбора, организации вправе разместить в государственной информационной системе промышленности запрос о разъяснении положений объявления о проведении отбора. Днем окончания приема таких запросов является последний рабочий день срока приема заявок.

Разъяснения по указанным запросам предоставляются Министерством промышленности и торговли Российской Федерации в государственной информационной системе промышленности не позднее следующего рабочего дня со дня их размещения.

16. В течение всего срока приема заявок организация вправе осуществить в государственной информационной системе промышленности отзыв своей заявки. Отозванная заявка не рассматривается в дальнейшем при проведении отбора.

17. В течение всего срока приема заявок организация вправе разместить в государственной информационной системе промышленности запрос на внесение изменений в свою заявку.

18. Заявки регистрируются в день размещения в государственной информационной системе промышленности и в течение 3 рабочих дней со дня регистрации проходят проверку на предмет правильности оформления и комплектности, а также на соответствие пунктам 1, 2, 8, 8(1), 48 и 49 настоящих Правил - для организаций, реализующих инвестиционные проекты с привлечением средств, полученных от размещения облигаций, или пунктам 1, 2, 8, 8(1), 58 и 59 настоящих Правил - для организаций, реализующих инвестиционные проекты с привлечением кредитов. Проверку осуществляет Министерство промышленности и торговли Российской Федерации. По результатам проверки Министерство в государственной информационной системе промышленности формирует уведомление о принятии заявки либо уведомление о возврате заявки. (в ред. Постановления Правительства РФ от 14.11.2022 N 2058)

Решение о возврате организации заявки принимается Министерством промышленности и торговли Российской Федерации в следующих случаях:

подача заявки на участие в отборе после даты и (или) времени, определенных для подачи заявок; (в ред. Постановления Правительства РФ от 14.11.2022 N 2058)

несоответствие заявки требованиям пунктов 1, 2, 8, 8(1), 48 и 49 настоящих Правил - для организаций, реализующих инвестиционные проекты с привлечением средств, полученных от размещения облигаций, или пунктов 1, 2, 8, 8(1), 58 и 59 настоящих Правил - для организаций, реализующих инвестиционные проекты с привлечением кредитов; (в ред. Постановления Правительства РФ от 14.11.2022 N 2058)

недостоверность представленной организацией информации, в том числе информации о месте нахождения и адресе юридического лица. (в ред. Постановления Правительства РФ от 14.11.2022 N 2058)

19. В случае подачи организацией запроса на внесение изменений в свою заявку происходит повторная проверка заявки с учетом вносимых изменений. Заявки, в отношении которых в государственной информационной системе промышленности сформировано уведомление о принятии заявки, в течение 3 рабочих дней со дня окончания приема заявок или со дня формирования уведомления о принятии заявки в случае, если уведомление формировалось после окончания приема заявок, направляются Министерством промышленности и торговли Российской Федерации в экспертный совет с использованием государственной информационной системы промышленности.

20. Экспертный совет в течение 15 рабочих дней со дня направления Министерством промышленности и торговли Российской Федерации заявок от всех организаций проводит технико-экономическую оценку инвестиционных проектов в соответствии с методикой, указанной в подпункте "б" пункта 11 настоящих Правил.

21. По итогам технико-экономической оценки инвестиционных проектов экспертный совет в течение 3 рабочих дней проводит заседание, оформляет заключение о технико-экономической оценке по каждому инвестиционному проекту и протокол заседания экспертного совета, содержащий перечень инвестиционных проектов, прошедших технико-экономическую оценку. (в ред. Постановления Правительства РФ от 13.07.2021 N 1175)

Протокол заседания экспертного совета, содержащий перечень инвестиционных проектов, прошедших технико-экономическую оценку, подписывается председателем экспертного совета в течение 3 рабочих дней после проведения заседания экспертного совета. (в ред. Постановления Правительства РФ от 13.07.2021 N 1175)

Указанные заключения и протокол заседания экспертного совета передаются с использованием государственной информационной системы промышленности в Министерство промышленности и торговли Российской Федерации в течение 3 рабочих дней со дня подписания протокола заседания экспертного совета. (в ред. Постановления Правительства РФ от 13.07.2021 N 1175)

22. Министерство промышленности и торговли Российской Федерации в течение 3 рабочих дней со дня получения протокола заседания экспертного совета принимает решение о назначении даты заседания Межведомственной комиссии по отбору.

23. Министерство промышленности и торговли Российской Федерации обеспечивает направление с использованием государственной информационной системы промышленности всем членам Межведомственной комиссии по отбору не позднее чем за 2 недели до даты ее заседания:

уведомления о дате, месте и времени проведения заседания;

заявок, заключений о технико-экономической оценке и протокола заседания экспертного совета для рассмотрения на заседании.

Уведомление о дате, месте и времени проведения заседания Межведомственной комиссии по отбору направляется также по электронной почте, каналам телефонной или факсимильной связи или заказным письмом с уведомлением о вручении.

24. Межведомственная комиссия по отбору проводит отбор в соответствии с методикой отбора. Протокол заседания оформляется и подписывается всеми членами Межведомственной комиссии по отбору, присутствовавшими на заседании, в течение 10 рабочих дней с даты проведения заседания и в течение 3 рабочих дней размещается в государственной информационной системе промышленности (с указанием страниц сайта на едином портале) и на официальном сайте Министерства промышленности и торговли Российской Федерации в сети "Интернет". (в ред. Постановления Правительства РФ от 14.11.2022 N 2058)

25. Министерство промышленности и торговли Российской Федерации заключает в государственной интегрированной информационной системе управления общественными финансами "Электронный бюджет" соглашения с организациями, чьи инвестиционные проекты прошли отбор, по типовой форме, установленной Министерством финансов Российской Федерации, в сроки, указанные в пункте 29 настоящих Правил. (в ред. Постановления Правительства РФ от 13.07.2021 N 1175)

26. Субсидии предоставляются на основании соглашения, в котором предусматриваются в том числе:

а) цели, условия и порядок предоставления субсидий;

б) согласие организации на проведение Министерством промышленности и торговли Российской Федерации проверок соблюдения организацией порядка и условий предоставления субсидии, установленных настоящими Правилами и соглашением, в том числе в части достижения результатов предоставления субсидии, а также на проведение органами государственного финансового контроля проверок соблюдения порядка и условий предоставления субсидии в соответствии со статьями 268.1 и 269.2 Бюджетного кодекса Российской Федерации; (в ред. Постановления Правительства РФ от 14.11.2022 N 2058)

в) значение результата предоставления субсидии и значения показателей, необходимых для достижения результата предоставления субсидии, указанных в пункте 7 настоящих Правил;

г) порядок возврата средств, израсходованных организацией, в случае установления по итогам проверок, проведенных Министерством промышленности и торговли Российской Федерации и органами государственного финансового контроля, факта нарушения условий и порядка предоставления субсидий, которые установлены настоящими Правилами и соглашением, а также в случае расторжения соглашения; (в ред. Постановления Правительства РФ от 14.11.2022 N 2058)

д) сведения о реализации инвестиционного проекта, в том числе:

план-график реализации инвестиционного проекта, включающий в себя ключевые события его реализации (далее - ключевые события) и предусматривающий сведения, указанные в приложении N 2 (далее - план-график); (в ред. Постановления Правительства РФ от 14.11.2022 N 2058)

общая стоимость приобретаемого в рамках инвестиционного проекта оборудования и технических устройств на конец каждого календарного года и на конец реализации инвестиционного проекта;

стоимость приобретаемого в рамках инвестиционного проекта оборудования и технических устройств, произведенных на территории Российской Федерации в соответствии с требованиями к промышленной продукции, предъявляемыми в целях ее отнесения к продукции, произведенной на территории Российской Федерации, установленными постановлением Правительства Российской Федерации от 17 июля 2015 г. N 719 "О подтверждении производства промышленной продукции на территории Российской Федерации" (далее - постановление Правительства Российской Федерации от 17 июля 2015 г. N 719), на конец каждого календарного года и на конец реализации инвестиционного проекта;

общая стоимость реализации инвестиционного проекта;

е) порядок и условия расторжения соглашения, включая условие одностороннего расторжения Министерством промышленности и торговли Российской Федерации соглашения в случае:

недостижения организацией ключевых событий в течение 12 месяцев реализации инвестиционного проекта;

непредставления организацией отчетов в срок, превышающий более чем на 3 месяца установленный срок;

установления по итогам проверок, проведенных Министерством промышленности и торговли Российской Федерации и органами государственного финансового контроля, факта нарушения условий предоставления субсидии, определенных соглашением и настоящими Правилами; (в ред. Постановления Правительства РФ от 14.11.2022 N 2058)

ж) право организации на досрочное исполнение соглашения при условии достижения результата предоставления субсидии, значений показателей, необходимых для достижения результата предоставления субсидии, и ключевых событий, установленных соглашением;

з) формы и сроки представления отчета о выполнении плана-графика, размер выплат по привлеченным средствам, а также отчета об итогах реализации инвестиционного проекта (далее - отчеты) по форме, установленной в соглашении; (в ред. Постановления Правительства РФ от 14.11.2022 N 2058)

и) перечень и (или) формы, а также периодичность представления информации в государственную информационную систему промышленности в целях осуществления мониторинга реализации инвестиционных проектов;

к) сроки и формы представления организацией дополнительной отчетности;

л) требование о согласовании новых условий соглашения или о расторжении соглашения при недостижении согласия по новым условиям в случае уменьшения Министерству промышленности и торговли Российской Федерации как получателю средств федерального бюджета ранее доведенных лимитов бюджетных обязательств, приводящего к невозможности предоставления субсидии в размере, определенном в соглашении.

27. Соглашения заключаются на срок реализации инвестиционного проекта. При этом срок предоставления субсидий, установленный соглашением, не может превышать срок, на который до Министерства промышленности и торговли Российской Федерации как получателя средств федерального бюджета в установленном порядке доведены лимиты бюджетных обязательств на цели, указанные в пункте 1 настоящих Правил.

Абзац второй. - Утратил силу. (в ред. Постановления Правительства РФ от 14.11.2022 N 2058)

В текущем финансовом году соглашения заключаются при условии наличия лимитов бюджетных обязательств, доведенных в установленном порядке до Министерства промышленности и торговли Российской Федерации как получателя средств федерального бюджета на цели, предусмотренные пунктом 1 настоящих Правил, с учетом ранее принятых обязательств.

28. Для заключения соглашения организация с использованием государственной информационной системы промышленности подает в Министерство промышленности и торговли Российской Федерации заявление о заключении соглашения в течение 60 календарных дней со дня подписания протокола, указанного в пункте 24 настоящих Правил, с приложением документов, указанных в пунктах 50 и 51 настоящих Правил, - для организаций, реализующих инвестиционные проекты с привлечением средств, полученных от размещения облигаций, или документов, указанных в пунктах 60 и 61 настоящих Правил, - для организаций, реализующих инвестиционные проекты с привлечением кредитов.

Если организация в указанный срок не подаст заявление о заключении соглашения с приложением всех требуемых документов, она будет признана уклонившейся от заключения соглашения.

29. Министерство промышленности и торговли Российской Федерации регистрирует в электронном реестре, который ведется в государственной информационной системе промышленности, а также в специальном журнале, который прошнуровывается, нумеруется постранично и скрепляется печатью Министерства, в порядке поступления документы, предусмотренные пунктами 50 и 51 настоящих Правил, - для организаций, реализующих инвестиционные проекты с привлечением средств, полученных от размещения облигаций, или документы, предусмотренные пунктами 60 и 61 настоящих Правил, - для организаций, реализующих инвестиционные проекты с привлечением кредитов, рассматривает их и заключает с организациями соглашения в течение 30 календарных дней в порядке поступления документов и их регистрации.

30. Министерство промышленности и торговли Российской Федерации отказывает в заключении соглашения в случае:

а) непредставления (представления не в полном объеме) документов;

б) выявления в представленных документах недостоверной информации;

в) несоответствия представленных документов требованиям пунктов 50 и 51 настоящих Правил - для организаций, реализующих инвестиционные проекты с привлечением средств, полученных от размещения облигаций, и пунктов 60 и 61 настоящих Правил - для организаций, реализующих инвестиционные проекты с привлечением кредитов;

г) наличия у организации просроченной задолженности по возврату в федеральный бюджет субсидий, бюджетных инвестиций, предоставленных в том числе в соответствии с иными правовыми актами Российской Федерации, и иной просроченной (неурегулированной) задолженности по денежным обязательствам перед Российской Федерацией; (в ред. Постановлений Правительства РФ от 13.07.2021 N 1175, от 14.11.2022 N 2058)

д) недостатка лимитов бюджетных обязательств, доведенных в установленном порядке до Министерства промышленности и торговли Российской Федерации как получателя средств федерального бюджета в текущем финансовом году на цели, указанные в пункте 1 настоящих Правил.

При проведении отбора в 2022 году Министерство промышленности и торговли Российской Федерации отказывает в заключении соглашения также в случае нахождения организации в реестре недобросовестных поставщиков (подрядчиков, исполнителей) в связи с отказом от исполнения заключенных государственных (муниципальных) контрактов о поставке товаров, выполнении работ, об оказании услуг по причине введения политических или экономических санкций иностранными государствами, совершающими недружественные действия в отношении Российской Федерации, граждан Российской Федерации или российских юридических лиц, и (или) введением иностранными государствами, государственными объединениями и (или) союзами и (или) государственными (межгосударственными) учреждениями иностранных государств или государственных объединений и (или) союзов мер ограничительного характера. (в ред. Постановления Правительства РФ от 14.11.2022 N 2058)

31. Предоставление субсидий осуществляется во II и IV кварталах финансового года в пределах лимитов бюджетных обязательств, доведенных в установленном порядке до Министерства промышленности и торговли Российской Федерации как получателя средств федерального бюджета на цели, указанные в пункте 1 настоящих Правил.

Информация о размерах и сроках перечисления субсидий учитывается Министерством промышленности и торговли Российской Федерации при формировании прогноза кассовых выплат из федерального бюджета, необходимого для составления в установленном порядке кассового плана исполнения федерального бюджета.

32. Для получения субсидии организация не позднее 10-го числа второго месяца II квартала и не позднее 10-го числа первого месяца IV квартала представляет с использованием государственной информационной системы промышленности в Министерство промышленности и торговли Российской Федерации заявление о предоставлении субсидии с приложением документов, указанных в пунктах 52 и 53 настоящих Правил, - для организаций, реализующих инвестиционные проекты с привлечением средств, полученных от размещения облигаций, или документов, указанных в пунктах 62 и 63 настоящих Правил, - для организаций, реализующих инвестиционные проекты с привлечением кредитов.

33. Заявления о предоставлении субсидии с приложением документов, указанных в пункте 32 настоящих Правил, регистрируются в день подачи в государственную информационную систему промышленности и в течение 20 рабочих дней рассматриваются Министерством промышленности и торговли Российской Федерации в порядке их поступления.

Министерство промышленности и торговли Российской Федерации проверяет полноту и достоверность сведений, содержащихся в представленных организацией документах, их соответствие положениям пунктов 52 и 53 настоящих Правил - для организаций, реализующих инвестиционные проекты с привлечением средств, полученных от размещения облигаций, или положениям пунктов 62 и 63 настоящих Правил - для организаций, реализующих инвестиционные проекты с привлечением кредитов, и условиям соглашения и до 15-го числа третьего месяца II квартала или до 15-го числа второго месяца IV квартала принимает решение о предоставлении субсидии либо об отказе в предоставлении субсидии.

34. Министерство промышленности и торговли Российской Федерации в течение 10 рабочих дней со дня принятия решения о предоставлении субсидии обеспечивает перечисление субсидии в установленном порядке на расчетный счет организации, открытый в уполномоченном банке (или сторонней организации, имеющей право открытия и ведения банковских счетов юридических лиц, в случае отсутствия возможности открытия расчетных счетов в международной финансовой организации, предоставившей кредит). (в ред. Постановления Правительства РФ от 14.11.2022 N 2058)

35. В случае принятия решения об отказе в предоставлении субсидии Министерство промышленности и торговли Российской Федерации уведомляет организацию о принятом решении. Указанное решение принимается по следующим основаниям:

а) представленные документы не соответствуют требованиям пунктов 52 и 53 настоящих Правил - для организаций, реализующих инвестиционные проекты с привлечением средств, полученных от размещения облигаций, и требованиям пунктов 62 и 63 настоящих Правил - для организаций, реализующих инвестиционные проекты с привлечением кредитов, а также условиям соглашения или указанные документы не представлены (представлены не в полном объеме);

б) установление факта недостоверности информации в представленных документах; (в ред. Постановления Правительства РФ от 13.07.2021 N 1175)

в) лимиты бюджетных обязательств, доведенные в установленном порядке до Министерства промышленности и торговли Российской Федерации как получателя средств федерального бюджета на цели, указанные в пункте 1 настоящих Правил, являются недостаточными;

г) ключевое событие, а также значения показателей, необходимых для достижения результата предоставления субсидии, установленные соглашением, не достигнуты в течение 9 месяцев реализации инвестиционного проекта;

д) предельный уровень конечной ставки кредитования превышен;

е) организация является иностранным юридическим лицом или российским юридическим лицом, в уставном (складочном) капитале которого доля участия иностранных юридических лиц, местом регистрации которых является государство или территория, включенные в утвержденный Министерством финансов Российской Федерации перечень государств и территорий, предоставляющих льготный налоговый режим налогообложения и (или) не предусматривающих раскрытия и предоставления информации при проведении финансовых операций (офшорные зоны), в совокупности превышает 50 процентов;

ж) наличие у организации просроченной задолженности по возврату в федеральный бюджет субсидий, бюджетных инвестиций, предоставленных в том числе в соответствии с иными правовыми актами Российской Федерации, и иной просроченной (неурегулированной) задолженности по денежным обязательствам перед Российской Федерацией. (в ред. Постановлений Правительства РФ от 13.07.2021 N 1175, от 14.11.2022 N 2058)

36. Организации, получившие отказ в предоставлении субсидии в соответствии с подпунктом "в" пункта 35 настоящих Правил, имеют в следующем периоде преимущество в получении субсидии перед иными организациями, заключающееся в том, что их документы, представленные в соответствии с пунктом 32 настоящих Правил, рассматриваются в первую очередь в порядке регистрации в электронном реестре и в специальном журнале в том периоде субсидирования, в котором был получен отказ.

37. Организация вправе обратиться в Министерство промышленности и торговли Российской Федерации посредством государственной информационной системы промышленности с мотивированным заявлением об изменении срока реализации инвестиционного проекта, а также о внесении изменений в план-график и (или) показатели, необходимые для достижения результата предоставления субсидии, установленные соглашением (далее - заявление об изменении инвестиционного проекта), в следующих случаях: (в ред. Постановления Правительства РФ от 14.11.2022 N 2058)

а) введение торговых и экономических санкций в отношении российских юридических и (или) физических лиц; (в ред. Постановления Правительства РФ от 14.11.2022 N 2058)

б) принятие Правительством Российской Федерации мер, ограничивающих закупку иностранного оборудования, сырья и комплектующих, повлекших изменение срока реализации инвестиционного проекта, плана-графика и (или) значений показателей, необходимых для достижения результата предоставления субсидии, установленных соглашением; (в ред. Постановления Правительства РФ от 14.11.2022 N 2058)

в) банкротство либо отзыв лицензии уполномоченного банка, предоставившего кредит (за исключением ВЭБ.РФ, международной финансовой организации), на возмещение части затрат по которому предоставляется субсидия, или уполномоченного банка (за исключением ВЭБ.РФ, международной финансовой организации), осуществляющего большую часть заемного финансирования инвестиционного проекта; (в ред. Постановления Правительства РФ от 14.11.2022 N 2058)

г) изменение стоимости реализации инвестиционного проекта и (или) структуры финансирования инвестиционного проекта, не приводящее к увеличению размера предоставляемой субсидии; (в ред. Постановления Правительства РФ от 14.11.2022 N 2058)

д) необходимость исправления технических ошибок (описка, опечатка, грамматическая или арифметическая ошибка); (в ред. Постановления Правительства РФ от 14.11.2022 N 2058)

е) возникновение обстоятельств непреодолимой силы; (в ред. Постановления Правительства РФ от 14.11.2022 N 2058)

ж) внесение изменений в план-график, не приводящих к изменению показателей, необходимых для достижения результата предоставления субсидии, установленных соглашением, на конец реализации инвестиционного проекта (накопленным итогом) и срока реализации инвестиционного проекта. (в ред. Постановления Правительства РФ от 14.11.2022 N 2058)

38. К заявлению об изменении инвестиционного проекта прилагаются актуализированные на дату подачи заявления документы, предусмотренные подпунктами "в" и "е" пункта 48 настоящих Правил, - для организаций, реализующих инвестиционные проекты с привлечением средств, полученных от размещения облигаций, или подпунктами "в" и "д" пункта 58 настоящих Правил, - для организаций, реализующих инвестиционные проекты с привлечением кредитов, и отчет о реализации инвестиционного проекта по состоянию на день подачи такого заявления. Организации, с которыми заключены соглашения, в случае принятия решения о необходимости изменения условий кредитования дополнительно к указанному заявлению представляют заявление о внесении изменений в соглашение, составленное в произвольной форме и подписанное руководителем организации.

39. При получении от организации заявления об изменении инвестиционного проекта Министерство промышленности и торговли Российской Федерации направляет с использованием государственной информационной системы промышленности указанное заявление с представленными материалами в экспертный совет, который обязан в течение 20 рабочих дней со дня направления заявления об изменении инвестиционного проекта представить с использованием государственной информационной системы промышленности организации и Министерству заключение экспертного совета о возможности внесения изменений в инвестиционный проект.

40. Министерство промышленности и торговли Российской Федерации выносит инвестиционный проект на рассмотрение на очередном заседании Межведомственной комиссии по отбору по итогам получения заключения, представленного в соответствии с пунктом 39 настоящих Правил, в порядке, установленном настоящими Правилами.

41. По результатам рассмотрения инвестиционного проекта и с учетом заключения экспертного совета Межведомственная комиссия по отбору принимает решение о возможности (невозможности) внесения изменений в план-график и (или) показатели, необходимые для достижения результата предоставления субсидии, указанные в соглашении.

В случае увеличения Межведомственной комиссией по отбору сроков реализации инвестиционного проекта значения показателей, необходимых для достижения результата предоставления субсидии, установленных соглашением, ухудшаться не должны.

42. В случае установления по итогам проверок, проведенных Министерством промышленности и торговли Российской Федерации и органом государственного финансового контроля в соответствии с пунктом 44 настоящих Правил, фактов несоблюдения условий и порядка предоставления субсидии, недостижения значения результата предоставления субсидии, предусмотренного соглашением, и (или) неисполнения или ненадлежащего исполнения принятых обязательств по достижению значений показателей, необходимых для достижения результата предоставления субсидии, установленных соглашением, соответствующие средства в размере выявленных нарушений подлежат возврату в доход федерального бюджета: (в ред. Постановления Правительства РФ от 14.11.2022 N 2058)

а) в течение 15 рабочих дней со дня получения организацией соответствующего требования Министерства промышленности и торговли Российской Федерации, направленного заказным почтовым отправлением с уведомлением о вручении; (в ред. Постановления Правительства РФ от 14.11.2022 N 2058)

б) в сроки, установленные в соответствии с бюджетным законодательством Российской Федерации, на основании представления и (или) предписания органа государственного финансового контроля. (в ред. Постановления Правительства РФ от 14.11.2022 N 2058)

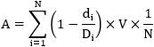
43. В случае установления факта недостижения организацией значений показателей, необходимых для достижения результата предоставления субсидии, предусмотренных соглашением, субсидия подлежит возврату в доход федерального бюджета пропорционально степени недостижения указанных значений в порядке, установленном бюджетным законодательством Российской Федерации, в срок, не превышающий 10 рабочих дней со дня получения соответствующего требования Министерства промышленности и торговли Российской Федерации, направленного заказным почтовым отправлением с уведомлением о вручении.

Размер средств, подлежащих возврату в доход федерального бюджета в случае недостижения значений показателей, необходимых для достижения результата предоставления субсидии (A), рассчитывается по формуле:

,

где:

N - количество показателей, необходимых для достижения результата предоставления субсидии, указанных в соглашении;

- достигнутое значение i-го показателя, необходимого для достижения результата предоставления субсидии, установленного соглашением, на момент окончания срока реализации инвестиционного проекта;

- плановое значение i-го показателя, необходимого для достижения результата предоставления субсидии, установленного соглашением;

V - размер субсидии, полученной организацией в соответствии с настоящими Правилами в рамках реализации инвестиционного проекта на момент окончания срока его реализации.

В случае если > , для расчета размера средств, подлежащих возврату при недостижении значений показателей, необходимых для достижения результата предоставления субсидии, показатель принимается равным .

Размер средств, подлежащих возврату в доход федерального бюджета в случае недостоверно заявленной в соглашении доли российского оборудования, составляет разницу между фактически полученной субсидией и субсидией, рассчитанной исходя из фактически подтвержденной доли оборудования, увеличенную на процент за пользование указанными средствами, который составляет одну трехсотую ключевой ставки Центрального банка Российской Федерации за каждый день использования.

44. Министерство промышленности и торговли Российской Федерации проводит проверки соблюдения организацией порядка и условий предоставления субсидий, в том числе в части достижения результатов предоставления субсидии. Органы государственного финансового контроля проводят проверки в соответствии со статьями 268.1 и 269.2 Бюджетного кодекса Российской Федерации. (в ред. Постановления Правительства РФ от 14.11.2022 N 2058)

Министерство промышленности и торговли Российской Федерации проводит мониторинг достижения результата предоставления субсидии исходя из достижения значения показателя, необходимого для достижения результата предоставления субсидии, определенного соглашением, и событий, отражающих факт завершения соответствующего мероприятия по получению результата предоставления субсидии (контрольная точка), в порядке и по формам, которые установлены Министерством финансов Российской Федерации. (в ред. Постановления Правительства РФ от 14.11.2022 N 2058)

II. Требования к организациям, реализующим инвестиционные проекты с привлечением средств, полученных от размещения облигаций

45. Субсидия предоставляется организации, реализующей инвестиционный проект с привлечением средств, полученных от размещения облигаций, при условиях использования указанных средств на реализацию инвестиционных проектов и своевременной выплаты купонного дохода.

46. Субсидия организации, реализующей инвестиционный проект с привлечением средств, полученных от размещения облигаций, номинированных в валюте Российской Федерации, предоставляется в размере 60 процентов суммы фактически понесенных и документально подтвержденных затрат организации на выплату купонного дохода по облигациям. При этом размер субсидии не может превышать величину, определенную исходя из 60 процентов базового индикатора, определяемого в соответствии с постановлением Правительства Российской Федерации от 20 июля 2016 г. N 702 "О применении базовых индикаторов при расчете параметров субсидирования процентной ставки за счет средств федерального бюджета по кредитам, облигационным займам и (или) договорам лизинга в зависимости от сроков кредитования, а также определении предельного уровня конечной ставки кредитования, при превышении которого субсидирование процентной ставки не осуществляется" (далее - постановление Правительства Российской Федерации от 20 июля 2016 г. N 702), и сумму, равную 500 млн рублей в год. (в ред. Постановления Правительства РФ от 14.11.2022 N 2058)

В случае если в соответствии с инвестиционным проектом планируется приобретение оборудования и технических устройств, произведенных на территории Российской Федерации в соответствии с требованиями к промышленной продукции, предъявляемыми в целях ее отнесения к промышленной продукции, произведенной на территории Российской Федерации, установленными постановлением Правительства Российской Федерации от 17 июля 2015 г. N 719, в объеме не менее 65 процентов общей стоимости приобретаемого оборудования и технических устройств при расчете цен на продукцию на момент заключения соглашения, субсидия организации, реализующей инвестиционный проект с привлечением средств, полученных от размещения облигаций, номинированных в валюте Российской Федерации, предоставляется в размере 90 процентов суммы фактически понесенных и документально подтвержденных затрат организации на выплату купонного дохода по облигациям. При этом размер указанной субсидии не может превышать величину, определенную исходя из 90 процентов базового индикатора, определяемого в соответствии с постановлением Правительства Российской Федерации от 20 июля 2016 г. N 702, и сумму, равную 750 млн рублей в год. (в ред. Постановления Правительства РФ от 14.11.2022 N 2058)

47. Субсидия организации, реализующей инвестиционный проект с привлечением средств, полученных от размещения облигаций, не предоставляется на возмещение части затрат на выплату купонного дохода по облигациям, ставка по которым превышает предельный уровень конечной ставки предоставления облигационного займа, определяемый в соответствии с постановлением Правительства Российской Федерации от 20 июля 2016 г. N 702.

48. Для организации, реализующей инвестиционный проект с привлечением средств, полученных от размещения облигаций, заявка включает следующие документы:

а) заявление об участии в отборе инвестиционных проектов с указанием наименования и фактического места нахождения организации, желающей реализовать инвестиционный проект с привлечением средств, полученных от размещения облигаций, подписанное руководителем организации;

б) выписка из Единого государственного реестра юридических лиц (в случае непредставления организацией такого документа Министерство промышленности и торговли Российской Федерации запрашивает его самостоятельно);

в) паспорт инвестиционного проекта, предусмотренный приложением N 2 к настоящим Правилам;

г) копия решения о выпуске (дополнительном выпуске) облигаций (при наличии);

д) проспект эмиссии, подтверждающий намерение эмитента направить средства, поступившие от размещения облигаций, на реализацию инвестиционного проекта (при наличии);

е) бизнес-план инвестиционного проекта, разработанный или актуализированный не ранее чем за 6 месяцев до даты подачи заявки;

ж) справка, подписанная руководителем и главным бухгалтером (при наличии) организации, подтверждающая, что организация не получает средства из федерального бюджета на основании иных нормативных правовых актов Российской Федерации на возмещение части затрат на выплату купонного дохода по облигациям; (в ред. Постановления Правительства РФ от 13.07.2021 N 1175)

з) справка налогового органа об отсутствии у организации по состоянию на дату не ранее чем за 10 рабочих дней до даты подачи заявки неисполненной обязанности по уплате налогов, сборов, страховых взносов, пеней, штрафов и процентов, подлежащих уплате в соответствии с законодательством Российской Федерации о налогах и сборах (в случае непредставления такого документа Министерство промышленности и торговли Российской Федерации запрашивает его самостоятельно);

и) справка налогового органа, подтверждающая отсутствие в реестре дисквалифицированных лиц сведений о дисквалифицированных руководителе, членах коллегиального исполнительного органа, лице, исполняющем функции единоличного исполнительного органа, или главном бухгалтере (при наличии) организации (в случае непредставления такого документа Министерство промышленности и торговли Российской Федерации запрашивает его самостоятельно);

к) справка, подписанная руководителем и главным бухгалтером (при наличии) организации, о соответствии организации требованиям, установленным подпунктами "б" - "г" пункта 9 настоящих Правил;

л) копия свидетельства о постановке на государственный учет объектов, оказывающих негативное воздействие на окружающую среду, полученного в установленном законодательством Российской Федерации порядке;

м) копия комплексного экологического разрешения (при наличии);

н) копия проекта программы повышения экологической эффективности, одобренного Межведомственной комиссией по рассмотрению программ повышения экологической эффективности (при наличии);

о) справка, подписанная руководителем и главным бухгалтером (при наличии) организации, об использовании мер государственной поддержки, предоставляемых юридическим лицам и индивидуальным предпринимателям при внедрении и использовании наилучших доступных технологий.

49. В случае если средства, полученные от размещения облигаций, направляются организацией, реализующей инвестиционный проект с привлечением средств, полученных от размещения облигаций, на финансирование инвестиционных проектов ее дочерней организации, заявка должна содержать в дополнение к документам, указанным в пункте 48 настоящих Правил, следующие документы:

а) выписка из Единого государственного реестра юридических лиц (в случае непредставления организацией такого документа Министерство промышленности и торговли Российской Федерации запрашивает его самостоятельно);

б) справка, подписанная руководителем и главным бухгалтером (при наличии) дочерней организации, подтверждающая, что дочерняя организация не получает средства из федерального бюджета на основании иных нормативных правовых актов Российской Федерации на возмещение части затрат на выплату купонного дохода по облигациям; (в ред. Постановления Правительства РФ от 13.07.2021 N 1175)

в) справка налогового органа об отсутствии у дочерней организации по состоянию на дату не ранее чем за 10 рабочих дней до даты подачи заявки неисполненной обязанности по уплате налогов, сборов, страховых взносов, пеней, штрафов и процентов, подлежащих уплате в соответствии с законодательством Российской Федерации о налогах и сборах (в случае непредставления такого документа Министерство промышленности и торговли Российской Федерации запрашивает его самостоятельно);

г) справка налогового органа, подтверждающая отсутствие в реестре дисквалифицированных лиц сведений о дисквалифицированных руководителе, членах коллегиального исполнительного органа, лице, исполняющем функции единоличного исполнительного органа, или главном бухгалтере (при наличии) дочерней организации (в случае непредставления такого документа Министерство промышленности и торговли Российской Федерации запрашивает его самостоятельно);

д) справка, подписанная руководителем и главным бухгалтером (при наличии) дочерней организации, о соответствии дочерней организации требованиям, установленным подпунктами "б" - "г" пункта 9 настоящих Правил;

е) заверенная копия договора, в соответствии с которым организация имеет возможность оказывать влияние на принятие решений ее дочерней организации, или выписка из реестра акционеров, или выписка со счета "депо" депозитария о принадлежности организации акций ее дочерней организации.

50. Для заключения соглашения организация, реализующая инвестиционный проект с привлечением средств, полученных от размещения облигаций, подает в Министерство промышленности и торговли Российской Федерации заявление о заключении соглашения с приложением следующих документов:

а) справка налогового органа об отсутствии у организации по состоянию на дату не ранее чем за 10 дней до планируемой даты заключения соглашения неисполненной обязанности по уплате налогов, сборов, страховых взносов, пеней, штрафов и процентов, подлежащих уплате в соответствии с законодательством Российской Федерации о налогах и сборах (в случае непредставления такого документа Министерство промышленности и торговли Российской Федерации запрашивает его самостоятельно);

б) справка налогового органа, подтверждающая отсутствие в реестре дисквалифицированных лиц сведений о дисквалифицированных руководителе, членах коллегиального исполнительного органа, лице, исполняющем функции единоличного исполнительного органа, или главном бухгалтере (при наличии) организации (в случае непредставления такого документа Министерство промышленности и торговли Российской Федерации запрашивает его самостоятельно);

в) справка, подписанная руководителем и главным бухгалтером (при наличии) организации, о соответствии организации требованиям, установленным подпунктами "б" - "д" пункта 9 настоящих Правил, по состоянию на дату не ранее чем за 10 дней до даты подачи заявления о заключении соглашения;

г) копия решения о выпуске (дополнительном выпуске) облигаций с отметкой о государственной регистрации решения, копия зарегистрированного уполномоченным органом, осуществляющим государственную регистрацию выпусков ценных бумаг, отчета об итогах выпуска облигаций с отметкой о государственной регистрации отчета, в случае размещения биржевых облигаций - копия решения о выпуске (дополнительном выпуске) биржевых облигаций с отметкой о допуске биржевых облигаций к торгам на фондовой бирже в процессе размещения, в случае размещения коммерческих облигаций - копия решения о выпуске (дополнительном выпуске) коммерческих облигаций с отметкой о присвоении идентификационного номера, заверенные подписью руководителя организации и печатью организации (при наличии).

51. В случае если средства, полученные от размещения облигаций, направляются организацией, реализующей инвестиционный проект с привлечением средств, полученных от размещения облигаций, на финансирование инвестиционных проектов ее дочерней организации, для заключения соглашения организация в дополнение к документам, указанным в пункте 50 настоящих Правил, прилагает следующие документы:

а) справка налогового органа об отсутствии у дочерней организации по состоянию на дату не ранее чем за 10 дней до планируемой даты заключения соглашения неисполненной обязанности по уплате налогов, сборов, страховых взносов, пеней, штрафов и процентов, подлежащих уплате в соответствии с законодательством Российской Федерации о налогах и сборах (в случае непредставления такого документа Министерство промышленности и торговли Российской Федерации запрашивает его самостоятельно);

б) справка налогового органа, подтверждающая отсутствие в реестре дисквалифицированных лиц сведений о дисквалифицированных руководителе, членах коллегиального исполнительного органа, лице, исполняющем функции единоличного исполнительного органа, или главном бухгалтере (при наличии) дочерней организации (в случае непредставления такого документа Министерство промышленности и торговли Российской Федерации запрашивает его самостоятельно);

в) справка, подписанная руководителем и главным бухгалтером (при наличии) дочерней организации, о соответствии дочерней организации требованиям, установленным подпунктами "б" - "д", "ж" пункта 9 настоящих Правил, по состоянию на дату не ранее чем за 10 дней до даты подачи заявления о заключении соглашения. (в ред. Постановления Правительства РФ от 14.11.2022 N 2058)

52. Для получения субсидии организация, реализующая инвестиционный проект с привлечением средств, полученных от размещения облигаций, представляет в Министерство промышленности и торговли Российской Федерации в срок, установленный пунктом 32 настоящих Правил, заявление о предоставлении субсидии с приложением следующих документов:

а) заверенная руководителем организации выписка по расчетному счету организации, подтверждающая получение средств от размещения облигаций, копии платежных документов с отметкой уполномоченного банка о проведении платежа, подтверждающих перечисление средств на выплату купонного дохода платежному агенту - уполномоченному депозитарию, а также заверенные аудитором или представителем владельцев облигаций и руководителем организации копии отчетов платежного агента - уполномоченного депозитария о выплате купонного дохода; (в ред. Постановления Правительства РФ от 14.11.2022 N 2058)

б) справка, подписанная руководителем и главным бухгалтером (при наличии) организации, скрепленная печатью организации (при наличии), подтверждающая использование средств, полученных от размещения облигаций, на реализацию инвестиционного проекта, заверенная аудитором или представителем владельцев облигаций;

в) расчет размера субсидии, предоставляемой организации, реализующей инвестиционный проект с привлечением средств, полученных от размещения облигаций, на возмещение части затрат на уплату купонного дохода по облигациям, по форме согласно приложению N 3, заверенный аудитором или представителем владельцев облигаций; (в ред. Постановления Правительства РФ от 14.11.2022 N 2058)

г) отчет о расходовании средств облигационного займа в рамках реализации инвестиционного проекта по форме согласно приложению N 4, заверенный аудитором или представителем владельцев облигаций; (в ред. Постановления Правительства РФ от 14.11.2022 N 2058)

д) справка, подтверждающая соотнесение полученных кредитных средств или привлеченных средств, полученных от размещения облигаций, с осуществленными расходами, по форме согласно приложению N 5, заверенная аудитором или представителем владельцев облигаций; (в ред. Постановления Правительства РФ от 14.11.2022 N 2058)

е) справка, подписанная руководителем и главным бухгалтером (при наличии) организации, подтверждающая неполучение организацией средств из федерального бюджета на выплату купонного дохода по облигациям на основании иных нормативных правовых актов Российской Федерации; (в ред. Постановления Правительства РФ от 14.11.2022 N 2058)

ж) справка налогового органа, подтверждающая отсутствие у организации на дату не ранее чем за 10 рабочих дней до даты подачи заявления о предоставлении субсидии неисполненной обязанности по уплате налогов, сборов, страховых взносов, пеней, штрафов и процентов, подлежащих уплате в соответствии с законодательством Российской Федерации о налогах и сборах (в случае непредставления такого документа Министерство промышленности и торговли Российской Федерации запрашивает его самостоятельно);

з) справка налогового органа, подтверждающая отсутствие в реестре дисквалифицированных лиц сведений о дисквалифицированных руководителе, членах коллегиального исполнительного органа, лице, исполняющем функции единоличного исполнительного органа, или главном бухгалтере (при наличии) организации (в случае непредставления такого документа Министерство промышленности и торговли Российской Федерации запрашивает его самостоятельно);

и) справка, подписанная руководителем и главным бухгалтером (при наличии) организации, скрепленная печатью организации (при наличии), содержащая реквизиты расчетных счетов организации в уполномоченном банке (или сторонней организации, имеющей право открытия и ведения банковских счетов юридических лиц, в случае отсутствия возможности открытия расчетных счетов в международной финансовой организации, предоставившей кредит), на которые в случае принятия положительного решения будет перечислена субсидия; (в ред. Постановления Правительства РФ от 14.11.2022 N 2058)

к) отчет о достижении (о ходе достижения) значения результата предоставления субсидии и значений показателей, необходимых для достижения результата предоставления субсидии, указанных в пункте 7 настоящих Правил;

л) отчет о достижении и динамике достижения ключевых событий, указанных в соглашении, на день представления в Министерство промышленности и торговли Российской Федерации заявления о предоставлении субсидии;

м) справка, заверенная руководителем организации, подтверждающая, что организация не ранее чем за 10 рабочих дней до дня подачи заявления о предоставлении субсидии не находится в процессе реорганизации (за исключением реорганизации в форме присоединения к организации другого юридического лица), ликвидации, в отношении организации не введена процедура банкротства, деятельность организации не приостановлена в порядке, предусмотренном законодательством Российской Федерации; (в ред. Постановления Правительства РФ от 13.07.2021 N 1175)

н) справка, заверенная руководителем организации, подтверждающая, что не ранее чем за 10 рабочих дней до дня подачи заявления о предоставлении субсидии организация не является иностранным юридическим лицом, а также российским юридическим лицом, в уставном (складочном) капитале которого доля участия иностранных юридических лиц, местом регистрации которых является государство или территория, включенные в утвержденный Министерством финансов Российской Федерации перечень государств и территорий, предоставляющих льготный налоговый режим налогообложения и (или) не предусматривающих раскрытия и предоставления информации при проведении финансовых операций (офшорные зоны), в совокупности превышает 50 процентов;

о) копия решения о выпуске (дополнительном выпуске) облигаций с отметкой о государственной регистрации решения, копия зарегистрированного уполномоченным органом, осуществляющим государственную регистрацию выпусков ценных бумаг, отчета об итогах выпуска облигаций с отметкой о государственной регистрации отчета, в случае размещения биржевых облигаций - копия решения о выпуске (дополнительном выпуске) биржевых облигаций с отметкой о допуске биржевых облигаций к торгам на фондовой бирже в процессе размещения, в случае размещения коммерческих облигаций - копия решения о выпуске (дополнительном выпуске) коммерческих облигаций с отметкой о присвоении идентификационного номера, заверенные подписью руководителя организации и печатью организации (при наличии).

53. В случае если средства, полученные от размещения облигаций, были направлены организацией, реализующей инвестиционный проект с привлечением средств, полученных от размещения облигаций, на финансирование инвестиционных проектов ее дочерней организации, для получения субсидии организация представляет в Министерство промышленности и торговли Российской Федерации заявление о предоставлении субсидии с приложением документов, указанных в пункте 52 настоящих Правил, а также заверенные руководителем организации копии гражданско-правовых договоров и (или) иных документов, подтверждающих перечисление средств, полученных от размещения облигаций, дочерней организации в рамках реализации инвестиционных проектов с привлечением средств, полученных от размещения облигаций.

III. Требования к организациям, реализующим инвестиционные проекты с привлечением кредитов

54. Субсидия предоставляется в отношении кредита (траншей, субтраншей) организации, реализующей инвестиционный проект с привлечением кредита (траншей, субтраншей) при условии своевременной уплаты начисленных процентов и своевременного погашения кредита в соответствии с кредитным договором или договором синдицированного кредита (займа), заключенным с уполномоченным банком. (в ред. Постановления Правительства РФ от 14.11.2022 N 2058)

55. Субсидия организации, реализующей инвестиционный проект с привлечением кредита, полученного в валюте Российской Федерации, предоставляется в размере 60 процентов базового индикатора, рассчитанного в соответствии с постановлением Правительства Российской Федерации от 20 июля 2016 г. N 702, в случае, если процентная ставка по кредиту (траншам, субтраншам), полученному (полученным) в валюте Российской Федерации, больше или равна базовому индикатору, но не более суммы, равной 500 млн рублей в год. (в ред. Постановления Правительства РФ от 14.11.2022 N 2058)

В случае если процентная ставка по кредиту (траншам, субтраншам), полученному (полученным) в валюте Российской Федерации, меньше базового индикатора, рассчитанного в соответствии с постановлением Правительства Российской Федерации от 20 июля 2016 г. N 702 на день последней уплаты процентов по кредиту (траншам, субтраншам), возмещение осуществляется из расчета 60 процентов размера затрат организации, реализующей инвестиционный проект с привлечением кредита, на уплату кредита (траншей, субтраншей), но не более суммы, равной 500 млн рублей в год. (в ред. Постановления Правительства РФ от 14.11.2022 N 2058)

В случае если в соответствии с инвестиционным проектом планируется приобретение оборудования и технических устройств, произведенных на территории Российской Федерации в соответствии с требованиями к промышленной продукции, предъявляемыми в целях ее отнесения к продукции, произведенной на территории Российской Федерации, установленными постановлением Правительства Российской Федерации от 17 июля 2015 г. N 719, в объеме не менее 65 процентов общей стоимости приобретаемого оборудования и технических устройств при расчете цен на продукцию на момент заключения соглашения, субсидия предоставляется организации, реализующей инвестиционный проект с привлечением кредита, полученного в валюте Российской Федерации, в размере 90 процентов базового индикатора, определяемого в соответствии с постановлением Правительства Российской Федерации от 20 июля 2016 г. N 702, в случае, если процентная ставка по кредиту (траншам, субтраншам), полученным в валюте Российской Федерации, больше или равна базовому индикатору, или в размере 90 процентов размера затрат организации на уплату процентов по кредиту (траншам, субтраншам) в случае, если процентная ставка по кредиту (траншам, субтраншам), полученным в валюте Российской Федерации, меньше базового индикатора, рассчитанного на день последней уплаты процентов по кредиту (траншам, субтраншам), но не более суммы, равной 750 млн рублей в год. (в ред. Постановления Правительства РФ от 14.11.2022 N 2058)

56. Субсидия организации, реализующей инвестиционный проект с привлечением кредита, полученного в иностранной валюте, предоставляется в рублях из расчета 60 процентов размера затрат организации на уплату процентов по кредиту (траншам, субтраншам) в расчетном периоде исходя из курса иностранной валюты по отношению к рублю, установленного Центральным банком Российской Федерации на дату осуществления указанных затрат, за исключением процентов, начисленных и уплаченных по просроченной ссудной задолженности. (в ред. Постановления Правительства РФ от 14.11.2022 N 2058)

В случае если в соответствии с инвестиционным проектом планируется приобретение оборудования и технических устройств, произведенных на территории Российской Федерации в соответствии с требованиями к промышленной продукции, предъявляемыми в целях ее отнесения к продукции, произведенной на территории Российской Федерации, установленными постановлением Правительства Российской Федерации от 17 июля 2015 г. N 719, в объеме не менее 65 процентов общей стоимости приобретаемого оборудования и технических устройств, субсидия организации, реализующей инвестиционный проект с привлечением кредита, полученного в иностранной валюте, предоставляется в рублях из расчета 90 процентов размера затрат организации на уплату процентов по кредиту (траншам, субтраншам) в расчетном периоде исходя из курса иностранной валюты по отношению к рублю, установленного Центральным банком Российской Федерации на дату осуществления указанных затрат, за исключением процентов, начисленных и уплаченных по просроченной ссудной задолженности. (в ред. Постановления Правительства РФ от 14.11.2022 N 2058)

Размер субсидии, предоставляемой организации, реализующей инвестиционный проект с привлечением кредита, не может превышать величину, рассчитанную исходя из ставки по кредиту (траншам, субтраншам), полученным в иностранной валюте, в размере 4 процента годовых. (в ред. Постановления Правительства РФ от 14.11.2022 N 2058)

57. Субсидия организации, реализующей инвестиционный проект с привлечением кредита, на возмещение процентов, начисленных и уплаченных по просроченной ссудной задолженности, не предоставляется.

58. Для организации, реализующей инвестиционный проект с привлечением кредита, заявка включает следующие документы:

а) заявление об участии в отборе с указанием наименования и фактического места нахождения организации, желающей реализовать инвестиционный проект с привлечением кредита, подписанное руководителем организации;

б) выписка из Единого государственного реестра юридических лиц (в случае непредставления организацией такого документа Министерство промышленности и торговли Российской Федерации запрашивает его самостоятельно);

в) паспорт инвестиционного проекта, предусмотренный приложением N 2; (в ред. Постановления Правительства РФ от 14.11.2022 N 2058)

г) выписка из протокола коллегиального органа уполномоченного банка, уполномоченного рассматривать вопросы о предоставлении кредита, которая должна содержать информацию о рассмотрении финансовой модели инвестиционного проекта (при наличии) и подтверждении правильности его предпосылок и корректности расчета его финансовых показателей, описание условий предоставления кредита, в том числе каждого из его траншей и субтраншей, на цели реализации инвестиционного проекта (цель предоставления, сумма, процентная ставка, порядок уплаты процентов, порядок возврата суммы основного долга, срок, прогнозная сумма процентов, подлежащих уплате), подписанная руководителем уполномоченного банка (уполномоченным им лицом); (в ред. Постановления Правительства РФ от 14.11.2022 N 2058)

д) бизнес-план инвестиционного проекта, разработанный или актуализированный не ранее чем за 6 месяцев до даты подачи заявки;

е) справка, подписанная руководителем и главным бухгалтером (при наличии) организации, подтверждающая, что организация не получала средства из федерального бюджета на основании иных нормативных правовых актов Российской Федерации на возмещение части затрат по уплате процентов по такому кредиту (траншам, субтраншам); (в ред. Постановлений Правительства РФ от 13.07.2021 N 1175, от 14.11.2022 N 2058)

ж) справка налогового органа об отсутствии у организации по состоянию на дату не ранее чем за 10 рабочих дней до даты подачи заявки неисполненной обязанности по уплате налогов, сборов, страховых взносов, пеней, штрафов и процентов, подлежащих уплате в соответствии с законодательством Российской Федерации о налогах и сборах (в случае непредставления такого документа Министерство промышленности и торговли Российской Федерации запрашивает его самостоятельно);

з) справка налогового органа, подтверждающая отсутствие в реестре дисквалифицированных лиц сведений о дисквалифицированных руководителе, членах коллегиального исполнительного органа, лице, исполняющем функции единоличного исполнительного органа, или главном бухгалтере (при наличии) организации (в случае непредставления такого документа Министерство промышленности и торговли Российской Федерации запрашивает его самостоятельно);

и) справка, подписанная руководителем и главным бухгалтером (при наличии) организации, о соответствии организации требованиям, установленным подпунктами "б" - "г", "ж" пункта 9 настоящих Правил; (в ред. Постановления Правительства РФ от 14.11.2022 N 2058)

к) копия свидетельства о постановке на государственный учет объектов, оказывающих негативное воздействие на окружающую среду, полученного в установленном законодательством Российской Федерации порядке;

л) копия комплексного экологического разрешения (при наличии);

м) копия программы повышения экологической эффективности, одобренной Межведомственной комиссией по рассмотрению программ повышения экологической эффективности (при наличии);

н) справка, подписанная руководителем и главным бухгалтером (при наличии) организации, об использовании мер государственной поддержки, предоставляемых юридическим лицам и индивидуальным предпринимателям при внедрении и использовании наилучших доступных технологий;

о) справка, подписанная руководителем и главным бухгалтером (при наличии) организации, о кредите (траншах, субтраншах) в соответствии с кредитным договором (договором синдицированного кредита (займа), в отношении которых запрашивается субсидия, с указанием его (их) суммы в валюте кредита и рублевом эквиваленте, если кредит (транши, субтранши) получен (получены) в иностранной валюте. (в ред. Постановления Правительства РФ от 14.11.2022 N 2058)

59. В случае если кредитные средства направляются организацией, реализующей инвестиционный проект с привлечением кредита, на финансирование инвестиционных проектов ее дочерней организации, заявка должна содержать в дополнение к документам, указанным в пункте 58 настоящих Правил, следующие документы:

а) выписка из Единого государственного реестра юридических лиц (в случае непредставления организацией такого документа Министерство промышленности и торговли Российской Федерации запрашивает его самостоятельно);

б) справка, подписанная руководителем и главным бухгалтером (при наличии) дочерней организации, подтверждающая, что дочерняя организация не получает из федерального бюджета средства на возмещение части затрат по уплате процентов по кредиту на основании иных нормативных правовых актов Российской Федерации; (в ред. Постановления Правительства РФ от 14.11.2022 N 2058)

в) справка налогового органа об отсутствии у дочерней организации по состоянию на дату не ранее чем за 10 рабочих дней до даты подачи заявки неисполненной обязанности по уплате налогов, сборов, страховых взносов, пеней, штрафов и процентов, подлежащих уплате в соответствии с законодательством Российской Федерации о налогах и сборах (в случае непредставления такого документа Министерство промышленности и торговли Российской Федерации запрашивает его самостоятельно);

г) справка налогового органа, подтверждающая отсутствие в реестре дисквалифицированных лиц сведений о дисквалифицированных руководителе, членах коллегиального исполнительного органа, лице, исполняющем функции единоличного исполнительного органа, или главном бухгалтере (при наличии) дочерней организации (в случае непредставления такого документа Министерство промышленности и торговли Российской Федерации запрашивает его самостоятельно);

д) справка, подписанная руководителем и главным бухгалтером (при наличии) дочерней организации, о соответствии дочерней организации требованиям, установленным подпунктами "б" - "г", "ж" пункта 9 настоящих Правил; (в ред. Постановления Правительства РФ от 14.11.2022 N 2058)

е) заверенная копия договора, в соответствии с которым организация имеет возможность определять решения, принимаемые ее дочерней организацией, или выписка из реестра акционеров, или выписка со счета "депо" депозитария о принадлежности организации акций ее дочерней организации.

60. Для заключения соглашения организация, реализующая инвестиционный проект с привлечением кредита, подает в Министерство промышленности и торговли Российской Федерации заявление о заключении соглашения с приложением следующих документов:

а) справка налогового органа об отсутствии у организации по состоянию на дату не ранее чем за 10 дней до планируемой даты заключения соглашения неисполненной обязанности по уплате налогов, сборов, страховых взносов, пеней, штрафов и процентов, подлежащих уплате в соответствии с законодательством Российской Федерации о налогах и сборах (в случае непредставления такого документа Министерство промышленности и торговли Российской Федерации запрашивает его самостоятельно);

б) справка налогового органа, подтверждающая отсутствие в реестре дисквалифицированных лиц сведений о дисквалифицированных руководителе, членах коллегиального исполнительного органа, лице, исполняющем функции единоличного исполнительного органа, или главном бухгалтере (при наличии) организации (в случае непредставления такого документа Министерство промышленности и торговли Российской Федерации запрашивает его самостоятельно);

в) справка, подписанная руководителем и главным бухгалтером (при наличии) организации, о соответствии организации требованиям, установленным подпунктами "б" - "д" пункта 9 настоящих Правил, по состоянию на дату не ранее чем за 10 дней до даты подачи заявления о заключении соглашения;

г) копия кредитного договора или договора синдицированного кредита (займа), заверенная уполномоченным банком, с графиком погашения кредита и каждого из его траншей, субтраншей и уплаты процентов соответственно по кредиту и каждому из его траншей и субтраншей, который соответствует условиям предоставления кредита на цели реализации инвестиционного проекта, указанным в документах, представленных организацией для участия в отборе. (в ред. Постановления Правительства РФ от 14.11.2022 N 2058)

61. В случае если кредитные средства направляются организацией, реализующей инвестиционный проект с привлечением кредита, на финансирование инвестиционных проектов ее дочерней организации, для заключения соглашения организация в дополнение к документам, указанным в пункте 60 настоящих Правил, прилагает следующие документы:

а) справка налогового органа об отсутствии у дочерней организации по состоянию на дату не ранее чем за 10 дней до планируемой даты заключения соглашения неисполненной обязанности по уплате налогов, сборов, страховых взносов, пеней, штрафов и процентов, подлежащих уплате в соответствии с законодательством Российской Федерации о налогах и сборах (в случае непредставления такого документа Министерство промышленности и торговли Российской Федерации запрашивает его самостоятельно);

б) справка налогового органа, подтверждающая отсутствие в реестре дисквалифицированных лиц сведений о дисквалифицированных руководителе, членах коллегиального исполнительного органа, лице, исполняющем функции единоличного исполнительного органа, или главном бухгалтере (при наличии) дочерней организации (в случае непредставления такого документа Министерство промышленности и торговли Российской Федерации запрашивает его самостоятельно);

в) справка, подписанная руководителем и главным бухгалтером (при наличии) дочерней организации, о соответствии дочерней организации требованиям, установленным подпунктами "б" - "д" пункта 9 настоящих Правил, по состоянию на дату не ранее чем за 10 дней до даты подачи заявления о заключении соглашения.

62. Для получения субсидии организация, реализующая инвестиционный проект с привлечением кредита, представляет в Министерство промышленности и торговли Российской Федерации в срок, установленный пунктом 32 настоящих Правил, заявление о предоставлении субсидии с приложением следующих документов:

а) выписка по ссудному счету организации, подтверждающая получение кредита (траншей, субтраншей), а также документы, подтверждающие своевременную уплату организацией начисленных процентов за пользование кредитом (траншами, субтраншами) и своевременное погашение кредита (траншей, субтраншей), заверенные уполномоченным банком; (в ред. Постановления Правительства РФ от 14.11.2022 N 2058)

б) копии платежных документов, заверенные руководителем организации, с отметкой уполномоченного банка, подтверждающих использование кредита на цели реализации инвестиционного проекта; (в ред. Постановления Правительства РФ от 14.11.2022 N 2058)

в) расчет размера субсидии по форме согласно приложению N 6 или приложению N 7 (в зависимости от валюты получения кредита (траншей, субтраншей)); (в ред. Постановления Правительства РФ от 14.11.2022 N 2058)

г) копии кредитных договоров или договоров синдицированного кредита (займа) (с графиком погашения кредита и каждого из его траншей, субтраншей и уплаты процентов), заверенные руководителем организации и (или) уполномоченного банка; (в ред. Постановления Правительства РФ от 14.11.2022 N 2058)

д) отчет об исполнении кредитного договора или договора синдицированного кредита (займа); (в ред. Постановления Правительства РФ от 14.11.2022 N 2058)

е) справка, подтверждающая соотнесение полученных кредитных средств с осуществленными расходами, предусмотренная приложением N 5 к настоящим Правилам; (в ред. Постановления Правительства РФ от 14.11.2022 N 2058)

ж) справка, подписанная руководителем и главным бухгалтером (при наличии) организации, подтверждающая неполучение организацией средств из федерального бюджета на уплату процентов по кредиту (траншам, субтраншам) на основании иных нормативных правовых актов Российской Федерации; (в ред. Постановления Правительства РФ от 14.11.2022 N 2058)

з) справка налогового органа, подтверждающая отсутствие у организации на дату не ранее чем за 10 рабочих дней до даты подачи заявления о предоставлении субсидии неисполненной обязанности по уплате налогов, сборов, страховых взносов, пеней, штрафов и процентов, подлежащих уплате в соответствии с законодательством Российской Федерации о налогах и сборах (в случае непредставления такого документа Министерство промышленности и торговли Российской Федерации запрашивает его самостоятельно);

и) справка налогового органа, подтверждающая отсутствие в реестре дисквалифицированных лиц сведений о дисквалифицированных руководителе, членах коллегиального исполнительного органа, лице, исполняющем функции единоличного исполнительного органа, или главном бухгалтере (при наличии) организации (в случае непредставления такого документа Министерство промышленности и торговли Российской Федерации запрашивает его самостоятельно);

к) копия документа, определяющего право уполномоченного лица на подтверждение расчета размера субсидии, с отметкой уполномоченного банка; (в ред. Постановления Правительства РФ от 14.11.2022 N 2058)

л) справка, подписанная руководителем и главным бухгалтером (при наличии) организации, скрепленная печатью организации (при наличии), содержащая реквизиты расчетных счетов организации в уполномоченном банке (или сторонней организации, имеющей право открытия и ведения банковских счетов юридических лиц, в случае отсутствия возможности открытия расчетных счетов в международной финансовой организации, предоставившей кредит), на которые в случае принятия положительного решения будет перечислена субсидия; (в ред. Постановления Правительства РФ от 14.11.2022 N 2058)

м) отчет о достижении (о ходе достижения) значения результата предоставления субсидии и значений показателей, необходимых для достижения результата предоставления субсидии, указанных в пункте 7 настоящих Правил;

н) отчет о достижении и динамике достижения ключевых событий, указанных в соглашении, на день представления в Министерство промышленности и торговли Российской Федерации заявления о предоставлении субсидии;

о) справка, заверенная руководителем организации, подтверждающая, что организация не ранее чем за 10 рабочих дней до дня подачи заявления о предоставлении субсидии не находится в процессе реорганизации (за исключением реорганизации в форме присоединения к организации другого юридического лица), ликвидации, в отношении организации не введена процедура банкротства, деятельность организации не приостановлена в порядке, предусмотренном законодательством Российской Федерации; (в ред. Постановления Правительства РФ от 13.07.2021 N 1175)

п) справка, заверенная руководителем организации, подтверждающая, что не ранее чем за 10 рабочих дней до дня подачи заявления о предоставлении субсидии организация не является иностранным юридическим лицом, а также российским юридическим лицом, в уставном (складочном) капитале которого доля участия иностранных юридических лиц, местом регистрации которых являются государство или территория, включенные в утвержденный Министерством финансов Российской Федерации перечень государств и территорий, предоставляющих льготный налоговый режим налогообложения и (или) не предусматривающих раскрытия и предоставления информации при проведении финансовых операций (офшорные зоны), в совокупности превышает 50 процентов.

63. В случае если кредитные средства были направлены организацией, реализующей инвестиционный проект с привлечением кредита, на финансирование инвестиционных проектов ее дочерней организации, для получения субсидии организация, реализующая инвестиционный проект с привлечением кредита, представляет в Министерство промышленности и торговли Российской Федерации заявление о предоставлении субсидии с приложением документов, указанных в пункте 62 настоящих Правил, а также заверенные руководителем организации копии гражданско-правовых договоров и (или) иных документов, подтверждающих перечисление соответствующих средств дочерней организации в рамках реализации инвестиционных проектов.

Приложение N 1
к Правилам предоставления субсидий
из федерального бюджета российским
организациям на возмещение части затрат
на выплату купонного дохода
по облигациям, выпущенным в рамках
реализации инвестиционных проектов
по внедрению наилучших доступных
технологий, и (или) на возмещение
части затрат на уплату процентов
по кредитам, полученным в российских
кредитных организациях, государственной
корпорации развития "ВЭБ.РФ",
а также в международных финансовых
организациях, созданных в соответствии
с международными договорами, в которых
участвует Российская Федерация,
на реализацию инвестиционных
проектов по внедрению наилучших
доступных технологий

ПОЛОЖЕНИЕ О МЕЖВЕДОМСТВЕННОЙ КОМИССИИ ПО ОТБОРУ ИНВЕСТИЦИОННЫХ ПРОЕКТОВ ПО ВНЕДРЕНИЮ НАИЛУЧШИХ ДОСТУПНЫХ ТЕХНОЛОГИЙ НА ОБЪЕКТАХ, ОКАЗЫВАЮЩИХ ЗНАЧИТЕЛЬНОЕ НЕГАТИВНОЕ ВОЗДЕЙСТВИЕ НА ОКРУЖАЮЩУЮ СРЕДУ И ОТНОСЯЩИХСЯ К ОБЛАСТЯМ ПРИМЕНЕНИЯ НАИЛУЧШИХ ДОСТУПНЫХ ТЕХНОЛОГИЙ

(в ред. Постановлений Правительства РФ от 10.12.2020 N 2073, от 14.11.2022 N 2058)

1. Настоящее Положение определяет порядок формирования и деятельности Межведомственной комиссии по отбору инвестиционных проектов по внедрению наилучших доступных технологий на объектах, оказывающих значительное негативное воздействие на окружающую среду и относящихся к областям применения наилучших доступных технологий (далее соответственно - инвестиционные проекты, Комиссия).

Комиссия является коллегиальным органом, осуществляющим отбор инвестиционных проектов, реализуемых российскими организациями, осуществившими выплату купонного дохода по облигациям, выпущенным в 2019 - 2024 годах в рамках реализации инвестиционных проектов, и (или) получившими кредит в 2019 - 2024 годах в российских кредитных организациях, государственной корпорации развития "ВЭБ.РФ", а также в международных финансовых организациях, созданных в соответствии с международными договорами, в которых участвует Российская Федерация, на реализацию инвестиционных проектов (далее соответственно - организация, отбор инвестиционных проектов). (в ред. Постановления Правительства РФ от 14.11.2022 N 2058)

2. Комиссия в своей деятельности руководствуется Конституцией Российской Федерации, федеральными законами, актами Президента Российской Федерации, Правительства Российской Федерации и иными нормативными правовыми актами Российской Федерации.

3. В целях выполнения своих функций Комиссия:

а) рассматривает и осуществляет отбор инвестиционных проектов, представленных Министерством промышленности и торговли Российской Федерации;

б) учитывает результаты технико-экономической оценки инвестиционных проектов, проведенной экспертным советом по проведению технико-экономической оценки инвестиционных проектов организаций (далее - экспертный совет);

в) принимает решение об отборе инвестиционных проектов по результатам голосования;

г) рассматривает инвестиционные проекты, представленные на основании заявлений организаций об изменении срока реализации инвестиционного проекта, а также о внесении изменений в план-график реализации инвестиционного проекта и (или) показатели, необходимые для достижения результата предоставления субсидии;

д) принимает решение о возможности (невозможности) внесения изменений в план-график реализации инвестиционного проекта и (или) значения показателей, необходимых для достижения результата предоставления субсидии, по результатам рассмотрения представленных инвестиционных проектов в соответствии с подпунктом "г" настоящего пункта.

4. В состав Комиссии входят:

а) председатель Комиссии - заместитель Министра промышленности и торговли Российской Федерации;

б) заместитель председателя Комиссии - представитель Министерства природных ресурсов и экологии Российской Федерации;

в) 2 члена Комиссии - представители Министерства промышленности и торговли Российской Федерации;

г) 1 член Комиссии - представитель Министерства экономического развития Российской Федерации;

д) 1 член Комиссии - представитель Министерства финансов Российской Федерации;

е) 1 член Комиссии - представитель Министерства природных ресурсов и экологии Российской Федерации;

ж) 1 член Комиссии - представитель Министерства энергетики Российской Федерации;

з) 1 член Комиссии - представитель Министерства строительства и жилищно-коммунального хозяйства Российской Федерации;

и) 8 членов Комиссии - представители кредитных, научных и общественных организаций, управляющих компаний, брокерских организаций, инвестиционных фондов, отраслевых и общероссийских объединений бизнеса, а также государственной корпорации развития "ВЭБ.РФ". (в ред. Постановления Правительства РФ от 14.11.2022 N 2058)

5. Состав Комиссии утверждается актом Правительства Российской Федерации.

Представители федеральных органов исполнительной власти, указанные в пункте 4 настоящего Положения, включаются в состав Комиссии по представлению соответствующего федерального органа исполнительной власти.

Представители кредитных, научных и общественных организаций, управляющих компаний, брокерских организаций, инвестиционных фондов, отраслевых и общероссийских объединений бизнеса, а также государственной корпорации развития "ВЭБ.РФ" включаются в состав Комиссии по представлению Министерства промышленности и торговли Российской Федерации на основании предложений, поступивших от указанных организаций.

6. Председатель Комиссии:

а) организует работу Комиссии и обеспечивает контроль за исполнением ее решений;

б) определяет перечень, сроки и порядок рассмотрения вопросов на заседаниях Комиссии;

в) организует планирование текущей работы Комиссии и на перспективу;

г) представляет Комиссию при взаимодействии с федеральными органами исполнительной власти, органами исполнительной власти субъектов Российской Федерации, органами местного самоуправления и организациями, а также ведет переписку с указанными органами и организациями.

7. В отсутствие председателя Комиссии его обязанности исполняет заместитель председателя Комиссии.

8. Комиссия для осуществления своих функций имеет право:

а) взаимодействовать с федеральными органами исполнительной власти, органами исполнительной власти субъектов Российской Федерации, органами местного самоуправления и организациями и получать от них в установленном порядке необходимые материалы и информацию по вопросам, входящим в компетенцию Комиссии;

б) пользоваться в установленном порядке информационными базами данных и системами федеральных органов исполнительной власти;

в) использовать государственные системы связи и коммуникации;

г) привлекать на безвозмездной основе для осуществления аналитических и экспертных работ экспертов - представителей научных организаций и специалистов инженерно-технического профиля.

9. Созыв и проведение заседаний Комиссии организует Министерство промышленности и торговли Российской Федерации.

Комиссия проводит рассмотрение заявок на участие в отборе в соответствии с методикой отбора инвестиционных проектов, утвержденной Министерством промышленности и торговли Российской Федерации.

10. Члены Комиссии обладают равными правами при обсуждении вопросов, рассматриваемых на заседании Комиссии.

Решение Комиссии об отборе инвестиционных проектов принимается простым большинством голосов присутствующих на заседании членов Комиссии. В случае равенства голосов решающим является голос председательствующего на заседании.

Члены Комиссии, участвующие в заседании посредством средств видео-конференц-связи, считаются присутствующими на заседании.

Члены Комиссии не вправе делегировать свои полномочия иным лицам.

11. Члены Комиссии не позднее чем за 2 недели до даты проведения заседания Комиссии получают уведомление о предстоящем заседании и материалы, которые будут рассматриваться на этом заседании.

Заседание Комиссии считается правомочным, если на нем присутствует не менее половины ее членов.

12. При принятии решения о проведении заочного голосования члены Комиссии уведомляются об этом с указанием срока, до которого они могут в письменной форме представить мнение по вопросу, вынесенному на заочное голосование.

При проведении заочного голосования решения принимаются простым большинством голосов от общего числа лиц, участвующих в голосовании. При этом число лиц, участвующих в заочном голосовании, должно составлять более половины членов Комиссии. В случае равенства голосов решающим является голос председательствующего на заседании.

13. Решения, принимаемые на заседании Комиссии, оформляются протоколом, который подписывается всеми членами Комиссии, участвовавшими в заседании.

Информационно-аналитическое обеспечение деятельности Комиссии осуществляется Министерством промышленности и торговли Российской Федерации с участием экспертного совета, а также федеральных органов исполнительной власти, представители которых входят в состав Комиссии.

14. Члены Комиссии обязаны принимать меры по предотвращению или урегулированию конфликтов интересов.

15. Члены Комиссии перед началом заседания Комиссии уведомляют председателя Комиссии о наличии или об отсутствии личной заинтересованности, которая приводит или может привести к возникновению конфликта интересов при принятии решения в рамках заседания Комиссии (далее - уведомление).

16. Уведомления регистрируются в журнале уведомлений о возникновении у членов Комиссии личной заинтересованности, которая приводит или может привести к возникновению конфликта интересов (далее - журнал), в котором указываются сведения о заседании Комиссии, в рамках которого членом Комиссии представлено уведомление, о члене Комиссии, представившем уведомление, отметка о наличии или об отсутствии личной заинтересованности, которая приводит или может привести к возникновению конфликта интересов, иная информация.

Ответственным за оформление и ведение журнала назначается ответственный секретарь Комиссии.

17. Член Комиссии, уведомивший о наличии личной заинтересованности, которая приводит или может привести к возникновению конфликта интересов при принятии решения в рамках заседания Комиссии, к участию в заседании Комиссии не допускается.

18. Председатель Комиссии на основании записей в журнале оглашает список членов Комиссии, допущенных к участию в заседании Комиссии.

19. Ответственный секретарь Комиссии вносит в протокол заседания Комиссии сведения о допущенных и не допущенных к участию в заседании Комиссии членах Комиссии.

Непринятие мер по предотвращению или урегулированию конфликта интересов, равно как и неисполнение или ненадлежащее исполнение обязанностей, связанных с непосредственным участием в деятельности Комиссии в качестве ее члена, влекут применение к члену Комиссии мер дисциплинарной и иных видов ответственности согласно нормам законодательства Российской Федерации.

Приложение N 2
к Правилам предоставления субсидий
из федерального бюджета российским
организациям на возмещение части затрат
на выплату купонного дохода по облигациям,
выпущенным в рамках реализации инвестиционных
проектов по внедрению наилучших доступных
технологий, и (или) на возмещение части затрат
на уплату процентов по кредитам, полученным
в российских кредитных организациях,
государственной корпорации развития "ВЭБ.РФ",
а также в международных финансовых организациях,
созданных в соответствии с международными договорами,
в которых участвует Российская Федерация,
на реализацию инвестиционных проектов
по внедрению наилучших доступных технологий

(форма)

ПАСПОРТ ИНВЕСТИЦИОННОГО ПРОЕКТА ПО ВНЕДРЕНИЮ НАИЛУЧШИХ ДОСТУПНЫХ ТЕХНОЛОГИЙ НА ОБЪЕКТАХ, ОКАЗЫВАЮЩИХ ЗНАЧИТЕЛЬНОЕ НЕГАТИВНОЕ ВОЗДЕЙСТВИЕ НА ОКРУЖАЮЩУЮ СРЕДУ И ОТНОСЯЩИХСЯ К ОБЛАСТЯМ ПРИМЕНЕНИЯ НАИЛУЧШИХ ДОСТУПНЫХ ТЕХНОЛОГИЙ, РЕАЛИЗОВАННОГО С ПРИВЛЕЧЕНИЕМ СРЕДСТВ, ПОЛУЧЕННЫХ ОТ РАЗМЕЩЕНИЯ ОБЛИГАЦИЙ И (ИЛИ) С ПРИВЛЕЧЕНИЕМ КРЕДИТОВ

(в ред. Постановления Правительства РФ от 14.11.2022 N 2058)

Общие сведения
Основание возмещения <1>  
Полное наименование инвестиционного проекта  
Краткое описание инвестиционного проекта  
Код объекта, оказывающего негативное воздействие на окружающую среду (далее - HBOC)  
Состав объекта, оказывающего HBOC  
Принадлежность объекта, оказывающего HBOC к ОК 029-2014 Общероссийский классификатор видов экономической деятельности (далее - ОКВЭД 2)
Продукция, выпускаемая объектом, оказывающим HBOC в соответствии с ОК 029-2014 Общероссийский классификатор видов экономической деятельности (далее - ОКПД 2)
В электронном документе текст соответствует официальному источнику.
Применимые к объекту, оказывающему HBOC, информационно -технические справочники по наилучшим доступным технологиям (далее - ИТС НДТ)
Инициатор инвестиционного проекта <2>
Идентификационный номер налогоплательщика (далее - ИНН)
Код причины постановки на учет (далее - КПП)
Основной государственный регистрационный номер (далее - ОГРН)
Полное наименование
Сокращенное наименование
Юридический адрес
Фактический адрес
Состав собственников организаций, реализующих инвестиционный проект, с указанием доли в уставном капитале и информации об отсутствии признаков аффилированности между ними
Описание схемы взаимодействия участников инвестиционного проекта в рамках его реализации и долей в инвестиционном проекте, приходящихся на каждого участника инвестиционного проекта
Субъект реализации инвестиционного проекта
Отраслевая принадлежность инвестиционного проекта
Цель реализации инвестиционного проекта
Задачи реализации инвестиционного проекта
Срок реализации инвестиционного проекта
Общая стоимость реализации инвестиционного проекта
Наличие (отсутствие) успешного опыта реализации подобных проектов, в том числе по их выводу на плановую окупаемость и обеспечению достижения запланированных показателей, необходимых для достижения результата предоставления субсидии, и показателей экологической эффективности
Наименование продукции
Код ОКПД 2
Наименование ИТС НДТ <3>
Объем производства <4>
Объем или масса выбросов, сбросов каждого загрязняющего вещества, в отношении которого не достигаются технологические показатели, и (или) снижаются выбросы, и (или) снижаются сбросы загрязняющих веществ, не превышающие установленных технологических показателей, и (или) выбросов, сбросов каждого высокотоксичного вещества, обладающего канцерогенными, мутагенными свойствами (вещества I, II классов опасности), в отношении которого не достигаются нормативы допустимых выбросов и (или сбросов, и (или) снижаются выбросы, и (или) снижаются сбросы загрязняющего вещества, обладающего канцерогенными, мутагенными свойствами (вещества I, II классов опасности), не превышающие установленных нормативов допустимых выбросов и (или сбросов), на конец каждого календарного года и на конец реализации инвестиционного проекта с учетом отраслевой и производственной специфики <5>
Объем произведенных инвестиций в стоимостном выражении на конец каждого календарного года и накопленным итогом на конец реализации инвестиционного проекта
Общая стоимость приобретаемого в рамках инвестиционного проекта оборудования и технических устройств на конец каждого календарного года и на конец реализации инвестиционного проекта
Стоимость приобретаемого в рамках инвестиционного проекта оборудования и технических устройств, произведенных на территории Российской Федерации в соответствии с требованиями к промышленной продукции, предъявляемыми в целях ее отнесения к продукции, произведенной на территории Российской Федерации, установленными постановлением Правительства Российской Федерации от 17 июля 2015 г. N 719 "О подтверждении производства промышленной продукции на территории Российской Федерации", на конец каждого календарного года и на конец реализации инвестиционного проекта
Сведения о применяемых технологиях:
Объект технологического нормирования <6> Наименование технологии <6> Подробное описание технологии (метода), планируемой к применению на предприятии (или модернизации существующей технологии) <6> Эффект от внедрения технологии <6> ИТС НДТ Номер НДТ Наименование НДТ в ИТС Наименование оборудования/техническое устройство Код Общероссийского классификатора основных фондов Эффект от внедрения оборудования
   
Сведения о загрязняющих веществах:
Загрязняющие вещества, по которым не достигаются технологические показатели, нормативы по выбросам Технологический процесс, по которому не достигается показатель, норматив Наименование внедряемой технологии (метода) (или направление модернизации существующей технологии) Установленный показатель, норматив Фактический показатель/норматив<5> Совокупный объем (или масса) снижения выбросов/сбросов загрязняющих веществ на конец мероприятия
значение единица измерения реквизиты документа, которым установлены требования
   
Загрязняющие вещества, по которым не достигаются нормативы допустимых выбросов (веществ I, II классов опасности) <7> Технологический процесс, по которому не достигается показатель, норматив Наименование внедряемой технологии (метода) (или направление модернизации существующей технологии) Установленный показатель, норматив Фактический показатель/норматив<5> Совокупный объем (или масса) снижения выбросов/сбросов загрязняющих веществ на конец мероприятия
значение единица измерения реквизиты документа, которым установлены требования
 
Загрязняющие вещества, по которым не достигаются технологические показатели сбросов <7> Технологический процесс, по которому не достигается показатель, норматив Наименование внедряемой технологии (метода) (или направление модернизации существующей технологии) Установленный показатель, норматив Фактический
показатель/норматив <5>
Совокупный объем (или масса) снижения выбросов/сбросов загрязняющих веществ на конец мероприятия
значение единица измерения реквизиты документа, которым установлены требования
 
Загрязняющие вещества, по которым не достигаются нормативы допустимых сбросов (веществ I, II классов опасности) Технологический процесс, по которому не достигается показатель, норматив Наименование внедряемой технологии (метода) (или направление модернизации существующей технологии) Установленный показатель, норматив Фактический показатель/норматив <5> Совокупный объем (или масса) снижения выбросов/сбросов загрязняющих веществ на конец мероприятия
значение единица измерения реквизиты документа, которым установлены требования
 
Сведения о показателях ресурсной эффективности
Входной поток
Сырье Единица измерения Значение фактическое Текущий расход на 1 тонну продукта Значение после внедрения технологии Расход на 1 тонну продукта после реализации проекта
 
Материалы Единица измерения Значение фактическое Текущий расход на 1 тонну продукта Значение после внедрения технологии Расход на 1 тонну продукта после реализации проекта
       
Вторичные ресурсы Единица измерения Значение фактическое Текущий расход на 1 тонну продукта Значение после внедрения технологии Расход на 1 тонну продукта после реализации проекта
       
Энергия Единица измерения Значение фактическое Текущий расход на 1 тонну продукта Значение после внедрения технологии Расход на 1 тонну продукта после реализации проекта
       
Выходной поток
Сырье Единица измерения Значение фактическое Текущий расход на 1 тонну продукта Значение после внедрения технологии Расход на 1 тонну продукта после реализации проекта
           
Материалы Единица измерения Значение фактическое Текущий расход на 1 тонну продукта Значение после внедрения технологии Расход на 1 тонну продукта после реализации проекта
   
Вторичные ресурсы Единица измерения Значение фактическое Текущий расход на 1 тонну продукта Значение после внедрения технологии Расход на 1 тонну продукта после реализации проекта
     
Энергия Единица измерения Значение фактическое Текущий расход на 1 тонну продукта Значение после внедрения технологии Расход на 1 тонну продукта после реализации проекта
Сведения о выбросах парниковых газов
Удельный показатель выбросов парниковых газов на тонну конечной продукции (т. С02-экв./т. продукции)
Показатель до реализации проекта Достигаемые показатели по каждому году реализации проекта <10> Показатель после реализации проекта
   
Значения дополнительных показателей экологической эффективности реализации инвестиционного проекта, в том числе:
Количественные характеристики планируемого предотвращенного экологического ущерба
Масса загрязняющих веществ, не допущенных к попаданию в окружающую природную среду (улавливаемых на действующих очистных сооружениях, пылегазоочистных установках), за отчетный период (на конец каждого календарного года и на конец реализации инвестиционного проекта с учетом отраслевой и производственной специфики), тонн в год <5>
Объем использованных (переработанных, утилизированных), обезвреженных, переданных другим организациям (субъектам Российской Федерации, государствам) отходов за отчетный период (на конец каждого календарного года и на конец реализации инвестиционного проекта с учетом отраслевой и производственной специфики), куб. м в год <5>
Объем отходов I класса опасности, образовавшихся в результате производственной деятельности объекта, использованных, обезвреженных либо переданных другим организациям (субъектам Российской Федерации, государствам) для последующего использования или обезвреживания, за отчетный период (на конец каждого календарного года и на конец реализации инвестиционного проекта с учетом отраслевой и производственной специфики), куб. м в год <5>
Иные показатели экологической эффективности (в зависимости от специфики инвестиционного проекта)
Показатели состояния окружающей среды (в зависимости от специфики инвестиционного проекта)
План-график финансового обеспечения инвестиционного проекта с распределением по размеру собственных средств (собственный капитал), требуемых средств, полученных от размещения облигаций, средств партнера по инвестиционному проекту, бюджетных средств <8>
План-график реализации инвестиционного проекта, включающий в себя ключевые события его реализации, с указанием номера этапа, наименования и содержания работ этапа, результата (поэтапного снижения негативного воздействия), сроков выполнения (начало и окончание этапа) и ключевых событий реализации инвестиционного проекта в рамках этапа
План-график финансового обеспечения инвестиционного проекта с распределением по размеру собственных средств (собственный капитал), требуемых заемных средств (заемное финансирование), средств партнера по инвестиционному проекту, бюджетных средств <9>
Анализ рисков и возможностей реализации инвестиционного проекта, в том числе:
макроэкономические, демографические, политические, географические факторы, способные негативно повлиять на реализацию инвестиционного проекта
анализ рисков недостижения показателей, необходимых для достижения результата предоставления субсидии
анализ чувствительности показателей инвестиционного проекта
Сведения о юридическом лице, если средства, полученные от размещения облигаций, направляются организацией на финансирование инвестиционных проектов ее дочерней организации (при наличии)
ИНН
КПП
ОГРН
Полное наименование
Сокращенное наименование
Юридический адрес
Фактический адрес
Ответственный исполнитель по инвестиционному проекту и его контактные данные
Фамилия, имя, отчество    
Должность    
Адрес электронной почты    
Контактный телефон    
Информация о размещенных облигациях (при наличии)
Наименование организаций, которые приобрели более 25 процентов облигаций каждого выпуска    
Размер купонного дохода    
Срок погашения облигаций  
Общая сумма купонного дохода, подлежащая уплате по облигационному займу    
Дата размещения облигаций  
Сумма, полученная в результате размещения облигаций    
Информация по полученному кредиту и каждому его траншу/субтраншу
Полное наименование банка-кредитора    
Сокращенное наименование банка-кредитора    
ИНН    
КПП    
ОГРН    
Процентная ставка    
Срок кредитования    

<1> Указывается в связи с выпуском облигаций или в связи с получением кредита.

<2> Указываются сведения о юридическом лице, реализующем инвестиционный проект, и сведения об инвестиционном проекте.

<3> Наименование ИТС НДТ указывается полностью.

<4> Указывается объем производства с разбивкой по годам реализации инвестиционного проекта.

<5> Приводится значение по годам реализации инвестиционного проекта и на дату окончания проекта.

<6> Применительно к внедряемым (модернизируемым) технологиям указываются фактические показатели воздействия на окружающую среду и достигнутые в результате реализации инвестиционного проекта, а также показатели ресурсной эффективности (при необходимости).

<7> Приводятся значения по каждому загрязняющему веществу отдельно.

<8> Для инвестиционных проектов, реализуемых с привлечением облигаций.

<9> Для инвестиционных проектов, реализуемых с привлечением кредитных средств.

<10> Приводятся значения по годам.

ПРИЛОЖЕНИЕ 3. - Утратило силу. (в ред. Постановления Правительства РФ от 14.11.2022 N 2058)

Приложение N 3
к Правилам предоставления субсидий
из федерального бюджета российским
организациям на возмещение части затрат
на выплату купонного дохода
по облигациям, выпущенным в рамках
реализации инвестиционных проектов
по внедрению наилучших доступных
технологий, и (или) на возмещение
части затрат на уплату процентов
по кредитам, полученным в российских
кредитных организациях, государственной
корпорации развития "ВЭБ.РФ",
а также в международных финансовых
организациях, созданных в соответствии
с международными договорами, в которых
участвует Российская Федерация,
на реализацию инвестиционных
проектов по внедрению наилучших
доступных технологий

(форма)

РАСЧЕТ РАЗМЕРА СУБСИДИИ (В РУБЛЯХ), ПРЕДОСТАВЛЯЕМОЙ ИЗ ФЕДЕРАЛЬНОГО БЮДЖЕТА РОССИЙСКИМ ОРГАНИЗАЦИЯМ НА ВОЗМЕЩЕНИЕ ЧАСТИ ЗАТРАТ НА ВЫПЛАТУ КУПОННОГО ДОХОДА ПО ОБЛИГАЦИЯМ, ВЫПУЩЕННЫМ В 2019 - 2024 ГОДАХ В РАМКАХ РЕАЛИЗАЦИИ ИНВЕСТИЦИОННЫХ ПРОЕКТОВ ПО ВНЕДРЕНИЮ НАИЛУЧШИХ ДОСТУПНЫХ ТЕХНОЛОГИЙ НА ОБЪЕКТАХ, ОКАЗЫВАЮЩИХ ЗНАЧИТЕЛЬНОЕ НЕГАТИВНОЕ ВОЗДЕЙСТВИЕ НА ОКРУЖАЮЩУЮ СРЕДУ И ОТНОСЯЩИХСЯ К ОБЛАСТЯМ ПРИМЕНЕНИЯ НАИЛУЧШИХ ДОСТУПНЫХ ТЕХНОЛОГИЙ

(в ред. Постановлений Правительства РФ от 10.12.2020 N 2073, от 14.11.2022 N 2058)

(полное наименование организации)

за период с 1 января 20__ г. по 31 декабря 20__ г.

ИНН                                       .
Расчетный счет                                      
в                                       .
  (наименование уполномоченного банка)  
(в ред. Постановления Правительства РФ от 14.11.2022 N 2058)
Код вида деятельности организации по ОКВЭД2                               .
Цель размещения облигационного займа                               ,

выпуск облигаций которого зарегистрирован Центральным банком Российской Федерации либо допущен к торгам на фондовой бирже, либо ему присвоен идентификационный номер "__" _________ 20__ г.

1. Дата размещения облигаций                                 .
2. Срок погашения облигаций                                   .

3. Номинальная стоимость облигаций, средства от реализации которых подлежат направлению на финансирование расходов в целях реализации инвестиционных проектов в ____ календарном году __________________________________.

4. Купонная процентная ставка (в том числе плавающая)                             .
5. Размер амортизации долга                                   .

6. Базовый индикатор на дату выплаты купонного дохода по облигациям, определяемый в соответствии с постановлением Правительства Российской Федерации от 20 июля 2016 г. N 702 "О применении базовых индикаторов при расчете параметров субсидирования процентной ставки за счет средств федерального бюджета по кредитам, облигационным займам и (или) договорам лизинга в зависимости от сроков кредитования, а также определении предельного уровня конечной ставки кредитования, при превышении которого субсидирование процентной ставки не осуществляется", _____________________________.

7. Предельный уровень конечной ставки предоставления облигационного займа, при превышении которого субсидирование не осуществляется, на дату выплаты купонного дохода _________________________________________________.

8. Расчет размера субсидии, предоставляемой организации, реализующей инвестиционный проект с привлечением средств от размещения облигаций:

Номинальная стоимость облигаций, средства от реализации которых направлены на финансирование расходов в целях реализации инвестиционных проектов на дату подачи заявления <*> Размер субсидии <**>
(гр. 1 - стр. 5) x стр. 4 x 0,6
Размер субсидии <**>
(гр. 1 - стр. 5) x стр. 6 x 0,6
1 2 3

Размер субсидии, предоставляемой организации, реализующей инвестиционный проект с привлечением средств от размещения облигаций, в ____ году _____________ рублей (минимальная из величин, указанных в графе 2 или 3).

Руководитель организации      
  (подпись)   (фамилия, имя и отчество (при наличии)
       
Главный бухгалтер организации (при наличии)      
  (подпись)   (фамилия, имя и отчество (при наличии)
"__" __________ 20__ г.      
       
Аудитор (представитель владельцев облигаций)      
  (подпись)   (фамилия, имя и отчество (при наличии), должность, организация)
"__" __________ 20__ г.      

<*> Без учета купонного дохода, выплаченного с нарушением установленного срока.

<**> В случае если в соответствии с инвестиционным проектом планируется приобретение оборудования и технических устройств, произведенных на территории Российской Федерации в соответствии с требованиями к промышленной продукции, предъявляемыми в целях ее отнесения к продукции, произведенной на территории Российской Федерации, установленными постановлением Правительства Российской Федерации от 17 июля 2015 г. N 719 "О подтверждении производства промышленной продукции на территории Российской Федерации", в объеме не менее 65 процентов общей стоимости приобретаемого оборудования и технических устройств, субсидии организации, реализующей инвестиционный проект с привлечением средств от размещения облигаций, номинированных в валюте Российской Федерации, предоставляются в размере 90 процентов суммы фактически понесенных и документально подтвержденных затрат организации на выплату купонного дохода по облигациям. При этом размер субсидии не может превышать величину, определенную исходя из 90 процентов базового индикатора, определяемого в соответствии с постановлением Правительства Российской Федерации от 20 июля 2016 г. N 702 "О применении базовых индикаторов при расчете параметров субсидирования процентной ставки за счет средств федерального бюджета по кредитам, облигационным займам и (или) договорам лизинга в зависимости от сроков кредитования, а также определении предельного уровня конечной ставки кредитования, при превышении которого субсидирование процентной ставки не осуществляется".

Приложение N 4
к Правилам предоставления субсидий
из федерального бюджета российским
организациям на возмещение части затрат
на выплату купонного дохода
по облигациям, выпущенным в рамках
реализации инвестиционных проектов
по внедрению наилучших доступных
технологий, и (или) на возмещение
части затрат на уплату процентов
по кредитам, полученным в российских
кредитных организациях, государственной
корпорации развития "ВЭБ.РФ",
а также в международных финансовых
организациях, созданных в соответствии
с международными договорами, в которых
участвует Российская Федерация,
на реализацию инвестиционных
проектов по внедрению наилучших
доступных технологий

(форма)

ОТЧЕТ О РАСХОДОВАНИИ СРЕДСТВ ОБЛИГАЦИОННОГО ЗАЙМА N _____ ОТ ____________ 20 ___ Г. В РАМКАХ РЕАЛИЗАЦИИ ИНВЕСТИЦИОННОГО ПРОЕКТА ПО ВНЕДРЕНИЮ НАИЛУЧШИХ ДОСТУПНЫХ ТЕХНОЛОГИЙ НА ОБЪЕКТАХ, ОКАЗЫВАЮЩИХ ЗНАЧИТЕЛЬНОЕ НЕГАТИВНОЕ ВОЗДЕЙСТВИЕ НА ОКРУЖАЮЩУЮ СРЕДУ И ОТНОСЯЩИХСЯ К ОБЛАСТЯМ ПРИМЕНЕНИЯ НАИЛУЧШИХ ДОСТУПНЫХ ТЕХНОЛОГИЙ

(в ред. Постановлений Правительства РФ от 10.12.2020 N 2073, от 14.11.2022 N 2058)

(наименование инвестиционного проекта)

Сумма облигационного займа _______________________________________________.

Дата размещения облигационного займа _____________________________________.

Срок погашения облигационного займа

Дата погашения облигационного займа Сумма погашения Платежное поручение
   

Расходование средств облигационного займа

N п/п Поставщик (подрядчик) Договор (соглашение) Назначение платежа Сумма (рублей) Номер поручения, дата
1.          
2.          
3.          
4.          
5.          
  Итого        

Уплата купонного дохода

Номинальная стоимость облигаций (к начислению) Период начисления купонного дохода с ____ по ____ Количество дней Базовый индикатор <*> (процентов) Размер купонного дохода (процентов) Срок уплаты купонного дохода Сумма выплаченного купонного дохода (рублей) Номер поручения, дата
  Всего            
  Стоимость непогашенных облигаций        
Руководитель организации      
  (подпись)   (фамилия, имя и отчество (при наличии)
       
Главный бухгалтер организации (при наличии)      
  (подпись)   (фамилия, имя и отчество (при наличии)
"__" __________ 20__ г.      
       
Аудитор (представитель владельцев облигаций)      
  (подпись)   (фамилия, имя и отчество (при наличии), должность, организация)
М.П. (при наличии)     "__" __________ 20__ г.

<*> Определяется в соответствии с постановлением Правительства Российской Федерации от 20 июля 2016 г. N 702 "О применении базовых индикаторов при расчете параметров субсидирования процентной ставки за счет средств федерального бюджета по кредитам, облигационным займам и (или) договорам лизинга в зависимости от сроков кредитования, а также определении предельного уровня конечной ставки кредитования, при превышении которого субсидирование процентной ставки не осуществляется".

Приложение N 5
к Правилам предоставления субсидий
из федерального бюджета российским
организациям на возмещение части затрат
на выплату купонного дохода
по облигациям, выпущенным в рамках
реализации инвестиционных проектов
по внедрению наилучших доступных
технологий, и (или) на возмещение
части затрат на уплату процентов
по кредитам, полученным в российских
кредитных организациях, государственной
корпорации развития "ВЭБ.РФ",
а также в международных финансовых
организациях, созданных в соответствии
с международными договорами, в которых
участвует Российская Федерация,
на реализацию инвестиционных
проектов по внедрению наилучших
доступных технологий

(форма)

СПРАВКА, ПОДТВЕРЖДАЮЩАЯ СООТНЕСЕНИЕ ПОЛУЧЕННЫХ КРЕДИТНЫХ СРЕДСТВ ИЛИ ПРИВЛЕЧЕННЫХ СРЕДСТВ, ПОЛУЧЕННЫХ ОТ РАЗМЕЩЕНИЯ ОБЛИГАЦИЙ, С ОСУЩЕСТВЛЕННЫМИ РАСХОДАМИ

(в ред. Постановлений Правительства РФ от 10.12.2020 N 2073, от 14.11.2022 N 2058)

N п/п Наименование банка-кредитора (биржи, покупателя облигаций) Кредит (облигационный займ) Субсидии Целевое использование кредитных средств (средств облигационного займа)
номер кредитного договора (выпуска облигаций) дата кредитного договора (дата регистрации выпуска облигаций и отчета об итогах выпуска облигаций) сумма по кредитному договору (сумма размещенных облигаций) - всего (рублей) в том числе на инвестиционный проект (рублей) дата получения кредита (размещения облигаций) срок погашения кредита (облигационного займа) сумма средств, поступивших по платежным поручениям банка (покупателя облигаций) (рублей) сумма текущей задолженности по кредиту (облигационному займу) (рублей) период рассчитанная сумма субсидии за период (рублей) наименование проекта вид расходов сумма фактически произведенных выплат на основании платежных документов (рублей)
                           
Руководитель организации      
  (подпись)   (фамилия, имя и отчество (при наличии)
       
Главный бухгалтер (при наличии)      
  (подпись)   (фамилия, имя и отчество (при наличии)
"__" __________ 20__ г.      
М.П. (при наличии)      
       
Руководитель кредитной организации (уполномоченное лицо) <*>      
  (подпись)   (фамилия, имя и отчество (при наличии)
       
Главный бухгалтер кредитной организации <*> (при наличии)      
  (подпись)   (фамилия, имя и отчество (при наличии)
"__" __________ 20__ г.      
       
Аудитор (представитель владельцев облигаций) <**>      
  (подпись)   (фамилия, имя и отчество (при наличии), должность, организация)
"__" __________ 20__ г.      

<*> Для субсидий, предоставляемых организациям, реализующим инвестиционные проекты с привлечением кредитов, на возмещение части затрат на уплату процентов по кредитам, полученным на реализацию инвестиционных проектов по внедрению наилучших доступных технологий.

<**> Для субсидий, предоставляемых организациям, реализующим инвестиционные проекты с привлечением средств, полученных от размещения облигаций, на возмещение части затрат на выплату купонного дохода по облигациям, выпущенным в рамках реализации инвестиционных проектов по внедрению наилучших доступных технологий.

Приложение N 6
к Правилам предоставления субсидий
из федерального бюджета российским
организациям на возмещение части затрат
на выплату купонного дохода по облигациям,
выпущенным в рамках реализации инвестиционных
проектов по внедрению наилучших доступных
технологий, и (или) на возмещение части затрат
на уплату процентов по кредитам, полученным
в российских кредитных организациях,
государственной корпорации развития "ВЭБ.РФ",
а также в международных финансовых организациях,
созданных в соответствии с международными договорами,
в которых участвует Российская Федерация,
на реализацию инвестиционных проектов
по внедрению наилучших доступных технологий

РАСЧЕТ РАЗМЕРА СУБСИДИИ (В РУБЛЯХ), ПРЕДОСТАВЛЯЕМОЙ ИЗ ФЕДЕРАЛЬНОГО БЮДЖЕТА НА ВОЗМЕЩЕНИЕ ЧАСТИ ЗАТРАТ НА УПЛАТУ ПРОЦЕНТОВ ПО КРЕДИТУ (ТРАНШУ/СУБТРАНШУ), ПОЛУЧЕННОМУ В ВАЛЮТЕ РОССИЙСКОЙ ФЕДЕРАЦИИ

(в ред. Постановления Правительства РФ от 14.11.2022 N 2058)

(полное наименование организации)

за период с "___" января 20__ г. по "___" декабря 20__ г.

ИНН   , КПП   , расчетный счет  
в          
БИК  
  (наименование уполномоченного банка)
корреспондентский счет      
код вида деятельности организации по ОКВЭД 2      
по кредитному договору (договору синдицированного кредита (займа) N   от  
       
в  
  (наименование уполномоченного банка)
1. Цель предоставления кредита (транша/субтранша)   .
2. Дата предоставления кредита (транша/субтранша)   .
3. Срок погашения кредита (транша/субтранша) по кредитному договору (договору синдицированного кредита (займа)    
    .
4. Сумма полученного кредита (транша/субтранша)   .
Остаток ссудной задолженности, исходя из которой начисляется субсидия <1> Количество дней пользования кредитом в расчетный период Процентная ставка по кредиту Базовый индикатор на фактическую дату уплаты процентов по кредиту (или ключевая ставка Центрального банка Российской Федерации на дату уплаты процентов по кредиту) Размер фактически уплаченных процентов в соответствии с графиком платежей, установленным кредитным договором (на основании платежных документов)   Размер субсидии <2>     Размер субсидии <2>  
  гр. 1 х гр. 2 х гр. 3 х 0,6     гр. 1 х гр. 2 х гр. 4 х 0,6  
  100% х 365(366) дней     100% х 365(366) дней
1 2 3 4 5   6     7
       

Размер субсидии ___________________________ рублей (минимальная из величин, указанных в графе 6 или 7)

Руководитель организации      
  (подпись)   (фамилия, имя и отчество (при наличии))
Главный бухгалтер организации (при наличии)      
  (подпись)   (фамилия, имя и отчество (при наличии))
"___" _________________ 20__ г.      
М.П. (при наличии)      
       
Расчет подтверждается      
Руководитель кредитной организации (уполномоченное лицо)      
  (подпись)   (фамилия, имя и отчество (при наличии))
Главный бухгалтер кредитной организации (при наличии)      
  (подпись)   (фамилия, имя и отчество (при наличии))
"___" _________________ 20__ г.      
М.П. (при наличии)      

<1> Без учета задолженности по кредитам и процентам по ним, уплаченным с нарушением установленного графика.

<2> В случае если в соответствии с инвестиционным проектом планируется приобретение оборудования и технических устройств, произведенных на территории Российской Федерации в соответствии с требованиями к промышленной продукции, предъявляемыми в целях ее отнесения к продукции, произведенной на территории Российской Федерации, установленными постановлением Правительства Российской Федерации от 17 июля 2015 г. N 719 "О подтверждении производства промышленной продукции на территории Российской Федерации", в объеме не менее 65 процентов общей стоимости приобретаемого оборудования и технических устройств при расчете цен на продукцию на момент заключения соглашения, субсидии организациям, реализующим инвестиционные проекты с привлечением кредитов, полученных в валюте Российской Федерации, предоставляются в размере 90 процентов базового индикатора, определяемого в соответствии с постановлением Правительства Российской Федерации от 20 июля 2016 г. N 702 "О применении базовых индикаторов при расчете параметров субсидирования процентной ставки за счет средств федерального бюджета по кредитам, облигационным займам и (или) договорам лизинга в зависимости от сроков кредитования, а также определении предельного уровня конечной ставки кредитования, при превышении которого субсидирование процентной ставки не осуществляется", в случае, если процентная ставка по кредиту, полученному в валюте Российской Федерации, больше или равна базовому индикатору, или в размере 90 процентов размера затрат организации на уплату процентов по кредиту в случае, если процентная ставка по кредиту, полученному в валюте Российской Федерации, меньше базового индикатора, рассчитанного на день последней уплаты процентов по кредиту.

Приложение N 7
к Правилам предоставления субсидий
из федерального бюджета российским
организациям на возмещение части затрат
на выплату купонного дохода
по облигациям, выпущенным в рамках
реализации инвестиционных проектов
по внедрению наилучших доступных
технологий, и (или) на возмещение
части затрат на уплату процентов
по кредитам, полученным в российских
кредитных организациях, государственной
корпорации развития "ВЭБ.РФ",
а также в международных финансовых
организациях, созданных в соответствии
с международными договорами, в которых
участвует Российская Федерация,
на реализацию инвестиционных
проектов по внедрению наилучших
доступных технологий

(форма)

РАСЧЕТ РАЗМЕРА СУБСИДИИ (В РУБЛЯХ), ПРЕДОСТАВЛЯЕМОЙ ИЗ ФЕДЕРАЛЬНОГО БЮДЖЕТА НА ВОЗМЕЩЕНИЕ ЧАСТИ ЗАТРАТ НА УПЛАТУ ПРОЦЕНТОВ ПО КРЕДИТУ, ПОЛУЧЕННОМУ В ИНОСТРАННОЙ ВАЛЮТЕ

(в ред. Постановлений Правительства РФ от 10.12.2020 N 2073, от 14.11.2022 N 2058)

(полное наименование организации)

за период с "__" января 20__ г. по "__" декабря 20__ г.

ИНН   , КПП   , расчетный счет  
в                                       ,
БИК                                        
  (наименование кредитной организации)
корреспондентский счет                                    
код вида деятельности организации по ОКВЭД2                                
по кредитному договору N ____________ от ___________________________                          
в                                        
  (наименование кредитной организации)
1. Цель предоставления кредита                                 .
2. Дата предоставления кредита                                 .
3. Срок погашения кредита по кредитному договору                             .
4. Сумма полученного кредита в иностранной валюте                             .
5. Дата уплаты организацией процентов по кредиту                             .
Остаток ссудной задолженности, исходя из которой начисляется субсидия <*> Количество дней пользования кредитом в расчетный период Процентная ставка по кредиту Курс иностранной валюты по отношению к рублю, установленный Центральным банком Российской Федерации на фактическую дату уплаты организацией процентов по кредиту Размер фактически уплаченных процентов в соответствии с графиком платежей, установленным кредитным договором (на основании платежных документов) Размер субсидии <**>
Размер субсидии <**>
1 2 3 4 5 6 7
           

Размер субсидии ____________ рублей (минимальная из величин, указанных в графе 6 или 7)

Руководитель организации      
  (подпись)   (фамилия, имя и отчество (при наличии)
       
Главный бухгалтер (при наличии)      
  (подпись)   (фамилия, имя и отчество (при наличии)
"__" __________ 20__ г.      
М.П. (при наличии)      
       
Расчет подтверждается      
       
Руководитель кредитной организации (уполномоченное лицо)      
  (подпись)   (фамилия, имя и отчество (при наличии)
       
Главный бухгалтер (при наличии)      
  (подпись)   (фамилия, имя и отчество (при наличии)
"__" __________ 20__ г.      
М.П. (при наличии)      

<*> Без учета задолженности по кредитам и процентам по ним, уплаченным с нарушением установленного графика.

<**> В случае если в соответствии с инвестиционным проектом планируется приобретение оборудования и технических устройств, произведенных на территории Российской Федерации в соответствии с требованиями к промышленной продукции, предъявляемыми в целях ее отнесения к продукции, произведенной на территории Российской Федерации, установленными постановлением Правительства Российской Федерации от 17 июля 2015 г. N 719 "О подтверждении производства промышленной продукции на территории Российской Федерации", в объеме не менее 65 процентов общей стоимости приобретаемого оборудования и технических устройств, субсидии организациям, реализующим инвестиционные проекты с привлечением кредитов, полученных в иностранной валюте, предоставляются в рублях из расчета 90 процентов размера затрат организации на уплату процентов по кредиту в расчетном периоде исходя из курса иностранной валюты по отношению к рублю, установленного Центральным банком Российской Федерации на дату осуществления указанных затрат, за исключением процентов, начисленных и уплаченных по просроченной ссудной задолженности.