Положение ЦБ РФ от 16.11.2021 N 781-П

"О требованиях к финансовой устойчивости и платежеспособности страховщиков"
Редакция от 22.09.2022 — Документ не действует
Показать изменения

Зарегистрировано в Минюсте России 4 апреля 2022 г. N 68049


ЦЕНТРАЛЬНЫЙ БАНК РОССИЙСКОЙ ФЕДЕРАЦИИ

ПОЛОЖЕНИЕ
от 16 ноября 2021 г. N 781-П

О ТРЕБОВАНИЯХ К ФИНАНСОВОЙ УСТОЙЧИВОСТИ И ПЛАТЕЖЕСПОСОБНОСТИ СТРАХОВЩИКОВ

(в ред. Указания ЦБ РФ от 22.09.2022 N 6252-У)

Настоящее Положение на основании подпункта 7 пункта 1 статьи 4.1, пунктов 2, 4.1, 4.2 статьи 25 и пунктов 2, 5 статьи 26 Закона Российской Федерации от 27 ноября 1992 года N 4015-I "Об организации страхового дела в Российской Федерации" (Ведомости Съезда народных депутатов Российской Федерации и Верховного Совета Российской Федерации, 1993, N 2, ст. 56; Собрание законодательства Российской Федерации, 1998, N 1, ст. 4; 2003, N 50, ст. 4858; 2010, N 17, ст. 1988; 2013, N 30, ст. 4067; 2015, N 48, ст. 6715; 2016, N 26, ст. 3891; 2018, N 18, ст. 2557; 2019, N 18, ст. 2212; 2021, N 27, ст. 5171), статьи 20 Федерального закона от 29 ноября 2007 года N 286-ФЗ "О взаимном страховании" (Собрание законодательства Российской Федерации, 2007, N 49, ст. 6047; 2013, N 30, ст. 4084), пункта 5 статьи 2, пункта 4 части 2 статьи 8 Федерального закона от 2 ноября 2013 года N 293-ФЗ "Об актуарной деятельности в Российской Федерации" (Собрание законодательства Российской Федерации, 2013, N 44, ст. 5632; 2021, N 24, ст. 4212) в целях регулирования вопросов финансовой устойчивости и платежеспособности страховщиков:

устанавливает:

методику определения величины собственных средств (капитала) страховой организации;

перечень разрешенных для инвестирования активов, требования к таким активам, а также порядок инвестирования собственных средств (капитала), предусматривающий в том числе требования к структуре активов, в которые допускается размещение собственных средств (капитала) страховой организации или их части;

перечень разрешенных для инвестирования активов, требования к таким активам, а также порядок инвестирования средств страховых резервов, предусматривающий в том числе требования к структуре активов, в которые допускается размещение средств страховых резервов страховщиков или их части;

порядок расчета нормативного соотношения собственных средств (капитала) и принятых обязательств страховой организации (в том числе порядок определения показателей, используемых для расчета такого соотношения), а также его минимально допустимое значение;

пороговое значение нормативного соотношения собственных средств (капитала) и принятых обязательств страховой организации;

требования к результатам актуарных расчетов, проводимых в соответствии с законодательством об актуарной деятельности в целях определения величины страховых резервов;

утверждает правила формирования страховых резервов, устанавливающие:

виды страховых резервов, обязательность и условия их формирования;

методы расчета страховых резервов, подходы, их определяющие;

требования к положению о формировании страховых резервов;

требования к документам, содержащим сведения, необходимые для расчета страховых резервов, и сроки хранения таких документов;

методическое обеспечение расчета доли перестраховщиков в страховых резервах;

порядок согласования с Банком России методов расчета страховых резервов, которые отличаются от предусмотренных правилами формирования страховых резервов методов (в том числе сроки и условия такого согласования, основания для отказа в таком согласовании).

Глава 1. Методика определения величины собственных средств (капитала) страховой организации

1.1. Величина собственных средств (капитала) страховой организации определяется как разность между стоимостью активов и обязательств страховой организации.

Для определения стоимости активов страховой организации суммируется стоимость ее активов, рассчитанная в соответствии с главой 3 настоящего Положения, на дату, по состоянию на которую осуществляется расчет (далее - расчетная дата).

В состав активов страховой организации, подлежащих суммированию, включаются по состоянию на расчетную дату:

права требования из договоров страхования, договоров, принятых в перестрахование, если денежные потоки по ним указаны в абзацах втором, четвертом, шестом, седьмом, девятом и двенадцатом подпункта 5.3.7 пункта 5.3 настоящего Положения; (в ред. Указания ЦБ РФ от 22.09.2022 N 6252-У)

права требования из договоров перестрахования, в которых страховщик выступает перестрахователем (далее - договор исходящего перестрахования), если денежные потоки по ним указаны в абзацах втором, четвертом, пятом и восьмом подпункта 5.6.5 пункта 5.6 настоящего Положения; (в ред. Указания ЦБ РФ от 22.09.2022 N 6252-У)

доля перестраховщиков в страховых резервах;

активы страховой организации, аналитический учет которых осуществляется по балансовым счетам в соответствии с планом счетов бухгалтерского учета для некредитных финансовых организаций и порядком его применения, утвержденными нормативным актом Банком России, принятым на основании пункта 14 статьи 4 Федерального закона от 10 июля 2002 года N 86-ФЗ "О Центральном банке Российской Федерации (Банке России)" (Собрание законодательства Российской Федерации, 2002, N 28, ст. 2790; 2021, N 27, ст. 5187), части 6 статьи 21 Федерального закона от 6 декабря 2011 года N 402-ФЗ "О бухгалтерском учете" (Собрание законодательства Российской Федерации, 2011, N 50, ст. 7344; 2021, N 27, ст. 5187) (далее - План счетов бухгалтерского учета для некредитных финансовых организаций), за исключением активов страховой организации, образующихся в связи с заключением, изменением, прекращением, в том числе досрочным, договоров страхования и исходящего перестрахования. (в ред. Указания ЦБ РФ от 22.09.2022 N 6252-У)

Для определения стоимости обязательств страховой организации суммируется стоимость всех ее обязательств, рассчитанная в соответствии с главой 4 настоящего Положения, по состоянию на расчетную дату.

В состав обязательств страховой организации, подлежащих суммированию, включаются все ее обязательства, возникшие в том числе из договоров и других сделок, вследствие причинения вреда, неосновательного обогащения, применения к страховой организации мер ответственности, а также ее налоговые обязательства по состоянию на расчетную дату.

1.2. При определении величины собственных средств страховой организации не учитываются следующие активы:

1.2.1. средства обязательного медицинского страхования, предназначенные для оплаты медицинской помощи, поступающие в страховую медицинскую организацию, в соответствии с Федеральным законом от 29 ноября 2010 года N 326-ФЗ "Об обязательном медицинском страховании в Российской Федерации" (Собрание законодательства Российской Федерации, 2010, N 49, ст. 6422; 2021, N 9, ст. 1467) (далее - Федеральный закон "Об обязательном медицинском страховании в Российской Федерации"), находящиеся на отдельном счете, определенном страховой организацией во внутреннем документе, указанном в пункте 1.5 настоящего Положения, позволяющим установить, что указанные средства являются средствами целевого финансирования, за исключением средств (прав требований таких средств), признаваемых в соответствии с частью 4 статьи 28 Федерального закона "Об обязательном медицинском страховании в Российской Федерации" (Собрание законодательства Российской Федерации, 2010, N 49, ст. 6422; 2020, N 5, ст. 490) собственными средствами страховой медицинской организации (далее - собственные средства страховой медицинской организации), в размере совокупно с активами, указанными в подпункте 1.2.4 настоящего пункта, не превышающем размер обязательств, указанных в подпункте 1.3.1 пункта 1.3 настоящего Положения;

1.2.2. активы, риски изменения стоимости которых в соответствии с договорами страхования жизни в полном объеме возложены на выгодоприобретателей по таким договорам <1>;

<1> Абзацы второй и четвертый пункта 3 статьи 3, подпункт 3 пункта 1 статьи 32.9 Закона Российской Федерации от 27 ноября 1992 года N 4015-I "Об организации страхового дела в Российской Федерации" (Ведомости Съезда народных депутатов Российской Федерации и Верховного Совета Российской Федерации, 1993, N 2, ст. 56; Собрание законодательства Российской Федерации, 1998, N 1, ст. 4; 2003, N 50, ст. 4858; 2013, N 30, ст. 4067) (далее - Закон Российской Федерации "Об организации страхового дела в Российской Федерации").

1.2.3. права требования, за исключением прав требований из договоров исходящего перестрахования, денежные потоки по которым учитываются при расчете доли перестраховщиков в страховых резервах согласно требованиям подпункта 5.6.3 пункта 5.6 настоящего Положения, в размере обязательств страховой организации, обусловленных исполнением таких требований, при условии, что:

в отношении должника не возбуждено производство по делу о банкротстве;

права требования не обременены правами третьих лиц;

права требования страховой организации однородны обязательствам страховой организации;

1.2.4. возникающие в соответствии с Федеральным законом "Об обязательном медицинском страховании в Российской Федерации" права требования к территориальному фонду и медицинским организациям в части средств обязательного медицинского страхования, являющихся средствами целевого финансирования, а также регрессы страховой организации к причинившим вред здоровью застрахованных лиц, за исключением собственных средств страховой медицинской организации, в размере совокупно с активами, указанным в подпункте 1.2.1 настоящего пункта, не превышающем размер обязательств, указанных в подпункте 1.3.1 пункта 1.3 настоящего Положения.

1.3. При определении величины собственных средств страховой организации не учитываются следующие обязательства:

1.3.1. обязательства, возникающие в соответствии с Федеральным законом "Об обязательном медицинском страховании в Российской Федерации", в размере, не превышающем размер активов, указанных в подпунктах 1.2.1, 1.2.4 пункта 1.2 настоящего Положения;

1.3.2. обязательства по выплате выгодоприобретателю стоимости (величины изменения стоимости) активов, указанных в подпункте 1.2.2 пункта 1.2 настоящего Положения, в размере, не превышающем размер активов, указанных в подпункте 1.2.2 пункта 1.2 настоящего Положения;

1.3.3. обязательства в отношении имущества, аналитический учет которого осуществляется по следующим внебалансовым счетам второго порядка в соответствии с Планом счетов бухгалтерского учета для некредитных финансовых организаций: (в ред. Указания ЦБ РФ от 22.09.2022 N 6252-У)

ценные бумаги, принятые в обеспечение по размещенным средствам;

имущество, принятое в обеспечение по размещенным средствам, кроме ценных бумаг и драгоценных металлов;

драгоценные металлы, принятые в обеспечение по размещенным средствам;

ценные бумаги, полученные по операциям, совершаемым на возвратной основе;

основные средства и другое имущество, полученные по договорам аренды;

условные обязательства некредитного характера в части сумм, подлежащих уплате по не урегулированным на расчетную дату в претензионном или ином досудебном порядке спорам, а также по не завершенным на расчетную дату судебным разбирательствам, в которых страховая организация выступает ответчиком и решения по которым могут быть приняты лишь в последующие отчетные периоды (стоимость имущества, подлежащая отчуждению на основании предъявленных к страховой организации претензий, требований третьих лиц), в соответствии с поступившими в страховую организацию документами, в том числе от судебных и налоговых органов, и сумм по не разрешенным на расчетную дату разногласиям по уплате неустойки (пеней, штрафов) в соответствии с заключенными договорами или нормами законодательства Российской Федерации;

1.3.4. обязательства, за исключением обязательств, стоимость которых определена в соответствии с пунктом 4.3 настоящего Положения, обусловленные исполнением должником требований страховой организации, в размере, не превышающем размер таких требований, при условии, что:

срок исполнения требований не наступил;

в отношении должника не возбуждено производство по делу о банкротстве;

обязательства страховой организации однородны требованиям страховой организации.

1.4. При определении величины собственных средств страховой организации:

1.4.1. в состав активов вместо депозитарных расписок включаются ценные бумаги, права собственности на которые удостоверяют депозитарные расписки;

1.4.2. в состав активов вместо акций и паев инвестиционных фондов, в том числе иностранных инвестиционных фондов, стоимость которых в соответствии с главой 3 настоящего Положения не признается равной нулю, включаются пропорционально доле ценных бумаг страховой организации активы, в которые инвестировано имущество соответствующего фонда, в случае если информация об указанных активах раскрывается;

1.4.3. в состав активов вместо прав требований по сделке, направленной на последующий переход от страховой организации права собственности на объект недвижимости, включается соответствующий объект недвижимости;

1.4.4. в состав обязательств страховой организации включаются пропорционально доле ценных бумаг страховой организации обязательства инвестиционного фонда по данным его отчетности, если в соответствии с подпунктом 1.4.2 настоящего пункта в состав активов страховой организации включаются активы, в которые инвестировано имущество соответствующего фонда;

1.4.5. права требования, указанные в абзаце четвертом пункта 1.1 настоящего Положения, включаются в состав активов в части, касающейся условий, относящихся к одному периоду действия страхового покрытия, определенному в соответствии с подпунктом 5.1.10 пункта 5.1 настоящего Положения, до даты окончания максимально длинного непрерывного периода начиная с расчетной даты (включительно), в течение которого условия договора страхования, влияющие на величину страховых резервов, однозначно определены и не подлежат изменению страховщиком в одностороннем порядке (далее - верхняя граница), и к одной учетной группе (далее при совместном упоминании - договор страхования). При этом:

если страховщик согласно условиям договора страхования имеет неограниченное право на любую дату, следующую после расчетной даты, в одностороннем порядке расторгнуть договор страхования или изменить его условия, то верхней границей договора является дата окончания периода действия страхового покрытия;

если не выполняется условие абзаца второго настоящего подпункта и страховщик согласно условиям договора страхования имеет неограниченное право на определенные в договоре страхования даты, следующие после расчетной даты, в одностороннем порядке расторгнуть договор страхования или изменить его условия, то верхней границей договора является наиболее ранняя из таких дат.

1.5. При определении величины собственных средств (капитала) в соответствии с требованиями настоящей главы и глав 3 - 5 настоящего Положения страховая организация использует Международный стандарт финансовой отчетности (IFRS) 13 "Оценка справедливой стоимости" <1> (далее - МСФО (IFRS) 13) в части определения справедливой стоимости, положение о формировании страховых резервов, а также закрепляет во внутреннем документе (внутренних документах) в отношении активов и обязательств, возникших в результате заключения сделки, указанной в подпункте 2.4.3 пункта 2.4 настоящего Положения, получения субординированного займа, а также обязательств, указанных в абзаце втором пункта 4.3 настоящего Положения:

<1> Введен в действие на территории Российской Федерации приказом Министерства финансов Российской Федерации от 28 декабря 2015 года N 217н "О введении Международных стандартов финансовой отчетности и Разъяснений Международных стандартов финансовой отчетности в действие на территории Российской Федерации и о признании утратившими силу некоторых приказов (отдельных положений приказов) Министерства финансов Российской Федерации", зарегистрированным Министерством юстиции Российской Федерации 2 февраля 2016 года N 40940, 1 августа 2016 года N 43044, с поправками, введенными в действие на территории Российской Федерации приказом Министерства финансов Российской Федерации от 27 июня 2016 года N 98н "О введении документов Международных стандартов финансовой отчетности в действие на территории Российской Федерации и о признании утратившими силу некоторых приказов Министерства финансов Российской Федерации", зарегистрированным Министерством юстиции Российской Федерации 15 июля 2016 года N 42869, приказом Министерства финансов Российской Федерации от 11 июля 2016 года N 111н "О введении в действие и прекращении действия документов Международных стандартов финансовой отчетности на территории Российской Федерации", зарегистрированным Министерством юстиции Российской Федерации 1 августа 2016 года N 43044.

описание способа выбора метода определения стоимости активов (обязательств);

описание источников данных для определения стоимости активов (обязательств), способа их выбора, времени, по состоянию на которое определяется стоимость активов (обязательств);

алгоритм конвертации стоимости, выраженной в одной валюте, в стоимость, выраженную в другой валюте;

критерии признания рынков активов и обязательств активными;

критерии выбора способов и моделей оценки стоимости в зависимости от видов активов (обязательств);

перечень активов (обязательств), подлежащих оценке оценщиком, периодичность проведения такой оценки;

описание способа определения отдельных счетов, на которых находятся средства обязательного медицинского страхования, указанные в подпункте 1.2.1 пункта 1.2 настоящего Положения;

перечень активов, стоимость которых страховая организация признает равными нулю в соответствии с подпунктом 3.1.25 пункта 3.1 настоящего Положения;

подлежащие учету при расчете нормативного соотношения собственных средств (капитала) и принятых обязательств страховой организации полученные субординированные займы и величину, в которой соответствующий субординированный заем подлежит учету (далее - внутренний документ).

Внутренний документ хранится страховой организацией на территории Российской Федерации не менее пяти лет с даты определения величины собственных средств на основании внутреннего документа.

Страховая организация должна обеспечить создание резервных копий внутреннего документа, созданного в форме электронного документа.

Глава 2. Инвестирование собственных средств (капитала) страховой организации и средств страховых резервов страховщиков, перечень разрешенных для инвестирования активов, требования к таким активам, в том числе требования к структуре таких активов

2.1. Собственные средства (капитал) страховой организации и средства страховых резервов страховщиков инвестируются в следующие виды активов:

2.1.1. вещи, в том числе имущество, наличные деньги и документарные ценные бумаги, за исключением вещей, изъятых из гражданского оборота;

2.1.2. имущественные права (включая безналичные денежные средства, бездокументарные ценные бумаги, цифровые права, права требования к физическим и юридическим лицам).

2.2. Активы, в которые инвестированы собственные средства (капитал) страховой организации и средства страховых резервов страховщиков, должны соответствовать следующим требованиям:

2.2.1. эмитенты ценных бумаг должны быть созданы в соответствии с законодательством Российской Федерации или иностранных государств, являющихся членами Евразийского экономического союза (далее - ЕАЭС), Организации экономического сотрудничества и развития (далее - ОЭСР), Европейского союза, Китая, Индии, Бразилии, Южно-Африканской Республики;

2.2.2. вещи, кроме документарных облигаций и акций, должны находиться (быть расположены) на территории Российской Федерации.

2.3. Расчет стоимости активов и обязательств страховщика осуществляется исходя из состава активов и обязательств, указанного в главе 1 настоящего Положения. Стоимость активов и обязательств определяется в соответствии с главами 3 и 4 настоящего Положения, за исключением совокупной стоимости активов (обязательств), указанных в пункте 2.4 настоящего Положения.

2.4. Совокупная стоимость следующих активов (обязательств) не должна превышать 40 процентов (на дату заключения указанных ниже сделок - 30 процентов) стоимости активов страховщика:

2.4.1. ценных бумаг (денежных средств), полученных страховщиком по первой части договора репо, за исключением договоров репо, по которым страховщик является покупателем по первой части договора репо и которые предусматривают невозможность распоряжения приобретенными ценными бумагами, за исключением их возврата по второй части такого договора репо <1>;

<1> Пункт 17 статьи 51.3 Федерального закона от 22 апреля 1996 года N 39-ФЗ "О рынке ценных бумаг" (Собрание законодательства Российской Федерации, 1996, N 17, ст. 1918; 2009, N 48, ст. 5731; 2013, N 30, ст. 4084) (далее - Федеральный закон "О рынке ценных бумаг").

2.4.2. привлеченных кредитов и займов (в том числе совершенных путем выдачи векселей, выпуска и продажи облигаций, за исключением субординированных займов в части остаточной стоимости субординированного займа, включенной в расчет нормативного соотношения собственных средств (капитала) и принятых обязательств страховой организации), величина которых рассчитана с учетом процентов;

2.4.3. лотов производных финансовых инструментов, базисных активов производных финансовых инструментов (базисных активов производных финансовых инструментов, являющихся базисными активами производных финансовых инструментов) (если условиями производного финансового инструмента или условиями его базисного актива, которым является производный финансовый инструмент, не предусмотрен лот) (за исключением опционных договоров, по которым страховщик имеет право требовать от контрагента покупки или продажи базисного актива <2>), а также принятых обязательств по поставке активов по сделкам, дата исполнения которых не ранее 3 рабочих дней после даты заключения сделки (за исключением сделок с недвижимостью) (далее соответственно - срочная сделка, предмет срочной сделки);

<2> Пункт 2 Указания Банка России от 16 февраля 2015 года N 3565-У "О видах производных финансовых инструментов", зарегистрированного Министерством юстиции Российской Федерации 27 марта 2015 года, N 36575 (далее - Указание Банка России от 16 февраля 2015 года N 3565-У).

2.4.4. выданных страховщиком поручительств и независимых гарантий, аналитический учет которых осуществляется по внебалансовым счетам второго порядка в соответствии с Планом счетов бухгалтерского учета для некредитных финансовых организаций. (в ред. Указания ЦБ РФ от 22.09.2022 N 6252-У)

2.5. Совокупная стоимость активов (обязательств), указанных в пункте 2.4 настоящего Положения, рассчитывается:

для подпунктов 2.4.1 и 2.4.3 пункта 2.4 настоящего Положения - по справедливой стоимости в соответствии с МСФО (IFRS) 13;

для подпункта 2.4.2 пункта 2.4 настоящего Положения - на основании данных бухгалтерского учета;

для подпункта 2.4.4 пункта 2.4 настоящего Положения - в размере ответственности (предела обязательств) страховщика.

2.6. Для целей настоящего Положения в части установления требований к структуре активов страховщиков и оценки влияния рисков на собственные средства (капитал) учитываются обязательства перед страховщиком юридического или физического лица, Российской Федерации, субъекта Российской Федерации, муниципального образования, иностранного государства, административно-территориального образования иностранного государства, являющихся:

лицом, обязанным по ценным бумагам, принадлежащим страховщику, или по ценным бумагам, являющимся предметом срочных сделок, стороной по которым является страховщик;

лицом, в зависимости от исполнения обязательств которым определяются денежные потоки по ценным бумагам, принадлежащим страховщику, срочным сделкам или иным договорам, стороной по которым является страховщик (в том числе участником договора сострахования, перестраховочного пула или ассоциации, если такой договор или условия участия предполагают солидарную или субсидиарную ответственность <1>);

<1> Часть 2 статьи 23 Федерального закона от 27 июля 2010 года N 225-ФЗ "Об обязательном страховании гражданской ответственности владельца опасного объекта за причинение вреда в результате аварии на опасном объекте" (Собрание законодательства Российской Федерации, 2010, N 31, ст. 4194) (далее - Федеральный закон "Об обязательном страховании гражданской ответственности владельца опасного объекта за причинение вреда в результате аварии на опасном объекте"), часть 3 статьи 24 Федерального закона от 14 июня 2012 года N 67-ФЗ "Об обязательном страховании гражданской ответственности перевозчика за причинение вреда жизни, здоровью, имуществу пассажиров и о порядке возмещения такого вреда, причиненного при перевозках пассажиров метрополитеном" (Собрание законодательства Российской Федерации, 2012, N 25, ст. 3257; 2017, N 31, ст. 4826) (далее - Федеральный закон "Об обязательном страховании гражданской ответственности перевозчика за причинение вреда жизни, здоровью, имуществу пассажиров и о порядке возмещения такого вреда, причиненного при перевозках пассажиров метрополитеном"), часть 4 статьи 10 Федерального закона от 25 июля 2011 года N 260-ФЗ "О государственной поддержке в сфере сельскохозяйственного страхования и о внесении изменений в Федеральный закон "О развитии сельского хозяйства" (Собрание законодательства Российской Федерации, 2011, N 31, ст. 4700; 2021, N 24, ст. 4195) (далее - Федеральный закон "О государственной поддержке в сфере сельскохозяйственного страхования и о внесении изменений в Федеральный закон "О развитии сельского хозяйства"), пункт 3 статьи 21.1 Федерального закона от 25 апреля 2002 года N 40-ФЗ "Об обязательном страховании гражданской ответственности владельцев транспортных средств" (Собрание законодательства Российской Федерации, 2002, N 18, ст. 1720; 2022, N 14, ст. 2194) (далее - Федеральный закон "Об обязательном страховании гражданской ответственности владельцев транспортных средств"). (в ред. Указания ЦБ РФ от 22.09.2022 N 6252-У)

поручителем (гарантом) за лиц, указанных в абзацах втором, третьем и пятом настоящего пункта;

лицом, к которому у страховщика есть иные права требования (в том числе по уплате страховой премии), при этом для целей определения обязанного лица вместо брокера, не являющегося кредитной организацией, обязанным лицом признается кредитная организация, в которой открыт специальный счет, если права требования основаны на договоре о брокерском обслуживании, условиями которого предусмотрены <2>:

<2> Пункт 3 статьи 3 Федерального закона "О рынке ценных бумаг" (Собрание законодательства Российской Федерации, 1996, N 17, ст. 1918; 2019, N 52, ст. 7772).

отсутствие у брокера права использовать денежные средства страховой организации в своих интересах;

учет полученных от страховой организации денежных средств на специальном счете, отдельном от счета, на котором находятся денежные средства иных клиентов брокера, открытом в такой кредитной организации, имеющей кредитный рейтинг не ниже уровня, установленного Советом директоров Банка России в соответствии с пунктом 17.5 статьи 18 Федерального закона от 10 июля 2002 года N 86-ФЗ "О Центральном банке Российской Федерации (Банке России)" (Собрание законодательства Российской Федерации, 2002, N 28, ст. 2790; 2017, N 30, ст. 4456; 2020, N 14, ст. 2027) (далее соответственно - Федеральный закон "О Центральном банке Российской Федерации (Банке России)", уровень, установленный Советом директоров Банка России, обязанное лицо).

В рамках настоящего Положения синдикаты Ллойд учитываются как одно юридическое лицо.

2.7. Суммарная величина активов общества взаимного страхования, приходящаяся на каждое обязанное обществу взаимного страхования лицо, определяется как совокупная стоимость ценных бумаг, выпущенных этим лицом и принадлежащих обществу взаимного страхования, ценных бумаг, исполнение обязательств по которым обеспечено поручительством (независимой гарантией) такого лица, прав требований к такому лицу (в том числе прав требований из договора банковского счета (вклада), прав требований по возврату ценных бумаг и денежных средств по второй части договора репо, доли перестраховщика в страховых резервах), за исключением:

прав требований к обязанному лицу, являющемуся перестраховщиком, в части страховой выплаты по договору исходящего перестрахования по страховым случаям, заявленным обществу взаимного страхования до расчетной даты;

доли национальной перестраховочной компании, созданной на основании статьи 13.1 Закона Российской Федерации "Об организации страхового дела в Российской Федерации" (Ведомости Съезда народных депутатов Российской Федерации и Верховного Совета Российской Федерации, 1993, N 2, ст. 56; Собрание законодательства Российской Федерации, 1998, N 1, ст. 4; 2016, N 27, ст. 4296) (далее - национальная перестраховочная компания), в страховых резервах общества взаимного страхования;

активов, обязанным обществу взаимного страхования лицом по которым является Российская Федерация;

задолженности лица, которому присвоен статус центрального депозитария в соответствии со статьей 22 Федерального закона от 7 декабря 2011 года N 414-ФЗ "О центральном депозитарии" (Собрание законодательства Российской Федерации, 2011, N 50, ст. 7356; 2013, N 30, ст. 4084) (далее - центральный депозитарий), квалифицированного центрального контрагента (далее соответственно - центральный контрагент, при совместном упоминании - инфраструктурная организация), в случае если такая задолженность обусловлена осуществлением инфраструктурной организацией операций в рамках погашения ценных бумаг или проведения сделок с ними.

Размер прав требований к обязанному лицу, являющемуся перестраховщиком, в части страховой выплаты по договору исходящего перестрахования, если страховая выплата по основному договору ожидается после расчетной даты (РПО), определяется по формуле:

, (в ред. Указания ЦБ РФ от 22.09.2022 N 6252-У)

где:

- взвешенная по вероятности реализации денежного потока сумма денежных потоков, дисконтированных на период срока денежного потока, определенного в соответствии с абзацами пятнадцатым и шестнадцатым подпункта 5.3.14 пункта 5.3 настоящего Положения (далее - наилучшая оценка приведенной стоимости денежных потоков), включающих денежные потоки по страховым выплатам по договору исходящего перестрахования и по восстановительной премии, и входящих в прогноз денежных потоков по договору исходящего перестрахования, строящийся в соответствии с подпунктом 5.6.1 пункта 5.6 настоящего Положения;

, КРНУ - вспомогательные величины, рассчитываемые согласно абзацу второму подпункта 5.6.3 пункта 5.6 настоящего Положения по договору исходящего перестрахования по учетной группе, к которой отнесен основной договор, по которому заявлен страховой случай.

2.8. Суммарная стоимость активов общества взаимного страхования, в которые инвестированы страховые резервы, должна быть не меньше суммы следующих величин:

произведения коэффициента 1,43 и суммарной величины страховых резервов общества взаимного страхования;

стоимости обязательств общества взаимного страхования, за исключением обязательств из договоров страхования в размере страховых резервов;

суммы превышения суммарной величины активов общества взаимного страхования, приходящейся на каждое обязанное лицо, за исключением обязанного лица, указанного в абзаце шестом настоящего пункта, над произведением суммарной величины активов общества взаимного страхования и коэффициента концентрации, указанного в таблице 9 приложения 2 к настоящему Положению;

суммы превышения стоимости всех объектов недвижимости, принадлежащих обществу взаимного страхования, над величиной, равной 25 процентам от суммарной величины активов общества взаимного страхования;

суммы превышения суммарной величины активов общества взаимного страхования, приходящейся на каждое обязанное лицо, являющееся перестраховщиком, с которым заключены договоры перестрахования и который создан в соответствии с законодательством государства - члена ОЭСР, группа кредитного качества которого, определенная в соответствии с подпунктом 6.5.2.2 пункта 6.5 настоящего Положения, принимает значение от 1 до 6, над величиной, равной 50 процентам от суммарной величины страховых резервов общества взаимного страхования; (в ред. Указания ЦБ РФ от 22.09.2022 N 6252-У)

суммы превышения суммарной величины активов общества взаимного страхования, приходящейся на всех обязанных обществу взаимного страхования перестраховщиков, с которыми заключены договоры исходящего перестрахования, над величиной, равной 60 процентам от суммарной величины страховых резервов общества взаимного страхования. (в ред. Указания ЦБ РФ от 22.09.2022 N 6252-У)

Глава 3. Расчет стоимости активов страховой организации

3.1. Стоимость следующих активов страховой организации, соответствующих хотя бы одному из следующих критериев, признается равной нулю:

3.1.1. акций и паев инвестиционных фондов в случае, если информация об активах, в которые инвестировано имущество инвестиционного фонда, не раскрывается, кроме акций и паев инвестиционных фондов, одновременно удовлетворяющих следующим условиям:

акции и паи инвестиционного фонда могут приобретаться неограниченным кругом лиц;

доля ценных бумаг одного юридического лица в таком инвестиционном фонде не превышает 10 процентов стоимости активов инвестиционного фонда исходя из требований, предъявляемых к деятельности инвестиционного фонда, или документов, регулирующих инвестиционную деятельность инвестиционного фонда (в том числе инвестиционной декларации, проспекта эмиссии, правил доверительного управления);

3.1.2. акций, товаров, а также акций и паев иностранных инвестиционных фондов, за исключением:

допущенных к организованным торгам (или в отношении указанных ценных бумаг начата процедура листинга) с включением их в котировальный список первого (высшего) уровня хотя бы одним организатором торговли на рынке ценных бумаг в Российской Федерации или в перечень листов (списков), рынков, сегментов иностранных бирж <1>, при включении в которые ценные бумаги могут включаться в первый (высший) котировальный список российских бирж;

<1> Положение Банка России от 24 февраля 2016 года N 534-П "О допуске ценных бумаг к организованным торгам", зарегистрированное Министерством юстиции Российской Федерации 28 апреля 2016 года N 41964, 24 января 2017 года N 45369, 23 июня 2017 года N 47128, 25 июня 2018 года N 51420, 22 июля 2019 года N 55339, 27 октября 2020 года N 60599, 7 декабря 2021 года N 66218.

Абзац второй подпункта 3.1.2 пункта 3.1 действовал по 30.06.2023 (пункт 7.6 главы 7).

допущенных к организованным торгам (или включенных в котировальные списки) на биржах Российской Федерации или биржах, расположенных в иностранных государствах, являющихся членами ЕАЭС, ОЭСР, Европейского союза, Китае, Индии, Бразилии, Южно-Африканской Республике и включенных в перечень иностранных бирж, предусмотренный пунктом 4 статьи 51.1 Федерального закона "О рынке ценных бумаг" (Собрание законодательства Российской Федерации, 1996, N 17, ст. 1918; 2002, N 52, ст. 5141; 2018, N 53, ст. 8440);

Абзац третий подпункта 3.1.2 пункта 3.1 действует с 01.07.2023 (пункт 7.5 главы 7).

аффинированного золота в стандартных и мерных слитках при условии его учета на металлических счетах ответственного хранения в кредитной организации на территории Российской Федерации; (в ред. Указания ЦБ РФ от 22.09.2022 N 6252-У)

3.1.3. акций российского или иностранного эмитента, в уставном капитале которого доля участия страховой организации превышает 10 процентов;

3.1.4. акций российского или иностранного эмитента, являющегося основным по отношению к страховой организации;

3.1.5. доли, иного участия в уставном капитале юридических лиц, не являющихся акционерными обществами (доли, иного участия в уставных капиталах иностранных организаций);

3.1.6. инвестиционных паев интервальных паевых инвестиционных фондов, за исключением фондов, правилами доверительного управления которых предусмотрена возможность погашения инвестиционных паев в течение года и которые размещают на официальном сайте управляющей компании в информационно-телекоммуникационной сети "Интернет" на ежедневной основе по состоянию на предыдущий рабочий день справки о стоимости чистых активов фонда, которые являются доступными на указанном сайте не менее трех месяцев с даты их опубликования;

3.1.7. инвестиционных паев закрытых паевых инвестиционных фондов;

3.1.8. облигаций, за исключением государственных ценных бумаг Российской Федерации либо облигаций, кредитный рейтинг выпуска которых, а в случае его отсутствия кредитный рейтинг эмитента которых либо кредитный рейтинг поручителя (гаранта) по которым не ниже уровня, установленного Советом директоров Банка России (далее - облигации с кредитным рейтингом), при соблюдении следующих условий:

поручительство (независимая гарантия) дано (дана) на сумму обязательства в полном объеме (в том числе с учетом процентов и купонов) или гарантия является государственной, выданной в соответствии с бюджетным законодательством Российской Федерации и обеспечивающей исполнение обязательств на сумму их номинальной стоимости;

независимая гарантия не допускает ее отзыв;

срок действия поручительства (независимой гарантии) превышает срок погашения обязательства не менее чем на 60 рабочих дней;

срок исполнения поручителем (гарантом) своих обязательств перед бенефициаром не превышает 30 рабочих дней со дня получения требования об исполнении договора поручительства (о выплате суммы гарантии);

3.1.9. субординированных депозитов, займов, кроме субординированных облигационных займов, которые одновременно соответствуют следующим требованиям:

выпущены в соответствии со статьей 25.1 Федерального закона "О банках и банковской деятельности" (в редакции Федерального закона от 3 февраля 1996 года N 17-ФЗ) (Ведомости Съезда народных депутатов РСФСР и Верховного Совета РСФСР, 1990, N 27, ст. 357; Собрание законодательства Российской Федерации, 1996, N 6, ст. 492; 2014, N 52, ст. 7543; 2018, N 53, ст. 8440);

конвертируются в обыкновенные акции, попадающие под исключение, предусмотренное в подпункте 3.1.2 настоящего пункта;

имеют кредитный рейтинг выпуска, а в случае его отсутствия кредитный рейтинг эмитента либо кредитный рейтинг поручителя (гаранта), выдавшего поручительство (независимую гарантию), соответствующее (соответствующую) условиям, указанным в подпункте 3.1.8 настоящего пункта, не ниже уровня, установленного Советом директоров Банка России;

учтены в составе активов при расчете нормативного соотношения собственных средств (капитала) и принятых обязательств страховой организации на 1 июля 2021 года;

3.1.10. ипотечных сертификатов участия;

3.1.11. векселей;

3.1.12. прав требований, за исключением:

3.1.12.1. прав требований по денежному обязательству за исключением прав требований к перестраховщику, возникающих в связи с заключением, изменением, прекращением, в том числе досрочным, договоров страхования и исходящего перестрахования, должник либо поручитель (гарант), выдавший поручительство (независимую гарантию), соответствующее (соответствующую) условиям, указанным в подпункте 3.1.8 настоящего пункта, по которому имеет кредитный рейтинг не ниже уровня, установленного Советом директоров Банка России;

3.1.12.2. прав требований к инфраструктурным организациям, в случае если задолженность обусловлена осуществлением инфраструктурной организацией операций в рамках погашения ценных бумаг или проведения сделок с ними;

3.1.12.3. прав требований к центральному депозитарию, а также к лицу, осуществляющему функции центрального контрагента;

3.1.12.4. прав требований по денежному обязательству к брокеру, не являющемуся кредитной организацией, из договора о брокерском обслуживании, условиями которого предусмотрено <1>:

<1> Пункт 3 статьи 3 Федерального закона "О рынке ценных бумаг".

отсутствие у брокера права использовать денежные средства страховой организации в своих интересах;

полученные от страховой организации денежные средства учитываются на специальном счете, отдельном от счета, на котором находятся денежные средства иных клиентов брокера, открытом в кредитной организации, имеющей кредитный рейтинг не ниже уровня, установленного Советом директоров Банка России, либо являющейся центральным депозитарием, центральным контрагентом;

3.1.12.5. прав требований к депозитарию, имеющему лицензию на осуществление деятельности специализированного депозитария инвестиционных фондов, паевых инвестиционных фондов и негосударственных пенсионных фондов, по выплатам по ценным бумагам со сроком исполнения, не превышающим срок, установленный пунктом 4 статьи 8.7 Федерального закона "О рынке ценных бумаг" (Собрание законодательства Российской Федерации, 1996, N 17, ст. 1918; 2012, N 53, ст. 7607);

3.1.12.6. прав требований по договору репо, если контрагент по договору репо либо поручитель (гарант) по договору репо, выдавший поручительство (независимую гарантию), соответствующее (соответствующую) условиям, указанным в подпункте 3.1.8 настоящего пункта, имеет кредитный рейтинг не ниже уровня, установленного Советом директоров Банка России, или предметом договора репо являются акции, попадающие под исключение, предусмотренное подпунктом 3.1.2 настоящего пункта, или облигации с кредитным рейтингом;

3.1.12.7. прав требований по обязательствам страховых агентов и страховых (перестраховочных) брокеров по перечислению страховых премий (страховых взносов) по договорам страхования, если по условиям договора страховой организации с таким агентом (брокером) <1> страховая премия (страховые взносы) подлежит (подлежат) перечислению страховой организации в течение срока, указанного в таблице 10 приложения 2 к настоящему Положению, и срок уплаты страховой премии (страховых взносов) по условиям договора страхования наступил до расчетной даты или верхняя граница такого договора предшествует расчетной дате;

<1> Пункт 1, абзац второй пункта 3, пункт 6 статьи 8 Закона Российской Федерации "Об организации страхового дела в Российской Федерации" (Ведомости Съезда народных депутатов Российской Федерации и Верховного Совета Российской Федерации, 1993, N 2, ст. 56; Собрание законодательства Российской Федерации, 1998, N 1, ст. 4; 2013, N 30, ст. 4067; 2020, N 17, ст. 2727).

3.1.12.8. прав требований по обязательствам страхователя - физического лица по возврату займа, полученного при осуществлении страхования объектов личного страхования, предусмотренного пунктом 1 статьи 4 Закона Российской Федерации "Об организации страхового дела в Российской Федерации" (Ведомости Съезда народных депутатов Российской Федерации и Верховного Совета Российской Федерации, 1993, N 2, ст. 56; Собрание законодательства Российской Федерации, 1998, N 1, ст. 4; 2013, N 52, ст. 6975), при одновременном выполнении следующих условий:

величина прав требований не превышает неотрицательную наилучшую оценку приведенной стоимости всех денежных потоков, входящих в прогноз денежных потоков (за исключением денежных потоков, указанных в подпункте 5.3.7 пункта 5.3 настоящего Положения), по исполнению обязательств, учитываемых в расчете величины резерва премий, до наиболее поздней предполагаемой даты полного исполнения обязательств по договору страхования;

договор страхования заключен на срок не менее пяти лет;

в договоре страхования содержится условие об уменьшении страховой выплаты на величину займа, если на день осуществления страховой выплаты предоставленный заем не возвращен в полном объеме;

денежные потоки от реализации прав требований не учитываются в прогнозе денежных потоков, который строится для расчета страховых резервов в соответствии с главой 5 настоящего Положения;

3.1.12.9. прав требований к перестраховщику, который имеет кредитный рейтинг не ниже уровня, установленного Советом директоров Банка России, или является резидентом Российской Федерации или резидентом государств - участников Союзного государства, образованного Российской Федерацией и Республикой Беларусь, доля участия которых в капитале перестраховщика составляет 100 процентов, возникающих в связи с заключением, изменением, прекращением, в том числе досрочным, договоров страхования и исходящего перестрахования, а также по договорам страхования, указанным в абзаце втором подпункта 3.1.12.13 настоящего пункта; (в ред. Указания ЦБ РФ от 22.09.2022 N 6252-У)

3.1.12.10. прав требований к страховой организации:

расчеты по которым осуществляются в рамках соглашения о прямом возмещении убытков, предусмотренного статьей 26.1 Федерального закона "Об обязательном страховании гражданской ответственности владельцев транспортных средств" (Собрание законодательства Российской Федерации, 2002, N 18, ст. 1720; 2007, N 49, ст. 6067; 2021, N 27, ст. 5171) (далее - соглашение о прямом возмещении убытков); (в ред. Указания ЦБ РФ от 22.09.2022 N 6252-У)

расчеты по которым осуществляются в рамках соглашений о перестраховочных пулах, предусмотренных статьей 24 Федерального закона "Об обязательном страховании гражданской ответственности перевозчика за причинение вреда жизни, здоровью, имуществу пассажиров и о порядке возмещения такого вреда, причиненного при перевозках пассажиров метрополитеном" (Собрание законодательства Российской Федерации, 2012, N 25, ст. 3257; 2017, N 31, ст. 4826), статьей 23 Федерального закона "Об обязательном страховании гражданской ответственности владельца опасного объекта за причинение вреда в результате аварии на опасном объекте" (Собрание законодательства Российской Федерации, 2010, N 31, ст. 4194), статьей 21.1 Федерального закона "Об обязательном страховании гражданской ответственности владельцев транспортных средств" (Собрание законодательства Российской Федерации, 2002, N 18, ст. 1720; 2022, N 14, ст. 2194) (далее при совместном упоминании - соглашения о перестраховочных пулах по обязательным видам страхования); (в ред. Указания ЦБ РФ от 22.09.2022 N 6252-У)

регламентированных правилами профессиональной деятельности профессионального объединения страховщиков, созданного в соответствии с Федеральным законом "Об обязательном страховании гражданской ответственности владельцев транспортных средств" (Собрание законодательства Российской Федерации, 2002, N 18, ст. 1720; 2021, N 27, ст. 5171) (далее - профессиональное объединение страховщиков), разработанными в соответствии с пунктом 1 статьи 26 Федерального закона "Об обязательном страховании гражданской ответственности владельцев транспортных средств" (Собрание законодательства Российской Федерации, 2002, N 18, ст. 1720; 2020, N 17, ст. 2727), направленными на урегулирование отношений, возникающих при реализации страховщиком - членом профессионального объединения страховщиков перешедшего к нему права требования, которое страхователь (выгодоприобретатель) имел к лицу, ответственному за убытки, возмещенные в результате страхования (далее - правила профессиональной деятельности);

основанных на суброгации или регрессе и признанных судом, если со дня вступления в силу решения суда прошло не более 10 рабочих дней;

3.1.12.11. прав требований по возврату излишне уплаченных (взысканных) страховых взносов по обязательному социальному страхованию от несчастных случаев на производстве и профессиональных заболеваний, в случае если законодательством Российской Федерации об обязательном социальном страховании предусмотрена возможность их возврата в денежной форме;

3.1.12.12. прав требований по срочной сделке;

3.1.12.13. доли перестраховщиков в страховых резервах при выполнении одного из следующих условий:

основные договоры относятся к договорам страхования гражданско-правовой ответственности за убытки и вред, причиненные радиационным воздействием, а договоры исходящего перестрахования заключаются в рамках пулов по страхованию ядерных рисков при условии солидарной ответственности участников пула, принимающих такие риски;

перестраховщик является резидентом Российской Федерации или резидентом государств - участников Союзного государства, образованного Российской Федерацией и Республикой Беларусь, доля участия которых в капитале перестраховщика составляет 100 процентов; (в ред. Указания ЦБ РФ от 22.09.2022 N 6252-У)

кредитный рейтинг перестраховщика не ниже уровня, установленного Советом директоров Банка России;

3.1.12.14. прав требований к профессиональному объединению страховщиков, а также к профессиональным объединениям страховщиков, созданным в соответствии со статьей 20 Федерального закона "Об обязательном страховании гражданской ответственности перевозчика за причинение вреда жизни, здоровью, имуществу пассажиров и о порядке возмещения такого вреда, причиненного при перевозках пассажиров метрополитеном" (Собрание законодательства Российской Федерации, 2012, N 25, ст. 3257; 2018, N 52, ст. 8102), статьей 17 Федерального закона "Об обязательном страховании гражданской ответственности владельца опасного объекта за причинение вреда в результате аварии на опасном объекте" (Собрание законодательства Российской Федерации, 2010, N 31, ст. 4194; 2016, N 22, ст. 3094);

3.1.13. прав требований в части уплаты просроченной задолженности, за исключением прав требований в части, обеспеченной государственной гарантией, выданной в соответствии с бюджетным законодательством Российской Федерации, прав требований по срочным сделкам, кроме тех, на которые в соответствии с абзацами четвертым - тринадцатым пункта 3.3 настоящего Положения не распространяется действие пункта 3.3 настоящего Положения. В случае отсутствия установленного в договоре срока исполнения обязательства <1> - прав требований, дата возникновения которых ранее 90 календарных дней от расчетной даты, кроме прав требований по денежным обязательствам по договору банковского счета и прав требований, указанных в подпунктах 3.1.12.9 - 3.1.12.11, 3.1.12.13, 3.1.12.14 настоящего пункта; (в ред. Указания ЦБ РФ от 22.09.2022 N 6252-У)

<1> Пункт 2 статьи 314 Гражданского кодекса Российской Федерации (Собрание законодательства Российской Федерации, 1994, N 32, ст. 3301; 2015, N 10, ст. 1412).

3.1.14. прав требований, в том числе по ценным бумагам, за исключением прав требований по срочным сделкам, кроме тех, на которые в соответствии с абзацами четвертым - тринадцатым пункта 3.3 настоящего Положения не распространяется действие пункта 3.3 настоящего Положения, к лицу, которое удовлетворяет одному из следующих критериев:

лицо имеет не исполненное в срок и в полном объеме обязательство перед владельцами ценных бумаг, выпущенных (выданных) таким лицом;

у лица отозвана (аннулирована) лицензия на осуществление банковских операций либо отозвана (аннулирована) лицензия на осуществление деятельности на финансовом рынке, если такой вид деятельности является основным видом деятельности такого лица, отраженным в едином государственном реестре юридических лиц, либо сведения о лице исключены из реестра некредитных финансовых организаций, ведение которого осуществляется Банком России;

в отношении лица введена процедура банкротства в соответствии с законодательством Российской Федерации о несостоятельности (банкротстве);

лицо имеет не исполненное в срок и в полном объеме обязательство по договору поручительства (независимой гарантии), которым обеспечивается исполнение обязательств по ценным бумагам;

3.1.15. прав требований по денежному обязательству из договора банковского счета (вклада), если такая страховая организация в соответствии с пунктом 1 статьи 26.2 Закона Российской Федерации "Об организации страхового дела в Российской Федерации" (Ведомости Съезда народных депутатов Российской Федерации и Верховного Совета Российской Федерации, 1993, N 2, ст. 56; Собрание законодательства Российской Федерации, 1998, N 1, ст. 4; 2013, N 30, ст. 4067) должна учитывать и (или) хранить в специализированном депозитарии ценные бумаги, принимаемые для покрытия собственных средств (капитала) и страховых резервов страховой организации, и не обеспечила на расчетную дату получение специализированным депозитарием копии первичных документов, подтверждающих величину этих прав требований;

3.1.16. внесенных страховой организацией платежей в соответствии с договором, заключенным в целях оказания застрахованным лицам медицинских услуг в рамках договоров страхования, кроме авансовых платежей медицинским организациям или учреждениям санаторно-курортного профиля, содержащимся в перечне санаторно-курортных учреждений (государственной, муниципальной и частной систем здравоохранения), в которые предоставляются при наличии медицинских показаний путевки на санаторно-курортное лечение, осуществляемое в целях профилактики основных заболеваний граждан, имеющих право на получение государственной социальной помощи <1> (далее - Перечень санаторно-курортных учреждений);

<1> Приказ Министерства труда и социальной защиты Российской Федерации N 301н, Министерства здравоохранения Российской Федерации N 449н от 10 июля 2013 года "Об утверждении перечня санаторно-курортных учреждений (государственной, муниципальной и частной систем здравоохранения), в которые предоставляются при наличии медицинских показаний путевки на санаторно-курортное лечение, осуществляемое в целях профилактики основных заболеваний граждан, имеющих право на получение государственной социальной помощи", зарегистрированный Министерством юстиции Российской Федерации 5 августа 2013 года N 29269.

3.1.17. внесенных страховой организацией авансовых платежей по налогам, задолженности бюджетов по налогам и сборам, в случае если не предусмотрена возможность их возврата в денежной форме;

3.1.18. отложенных налоговых активов;

3.1.19. вещей, в том числе наличных денег в кассе, кроме недвижимого имущества, указанного в пункте 3.6 настоящего Положения, товаров, подпадающих под исключение, предусмотренное в подпункте 3.1.2 настоящего пункта, документарных облигаций и акций;

3.1.20. прав пользования по договору аренды, признаваемых в соответствии с Положением Банка России от 22 марта 2018 года N 635-П "О порядке отражения на счетах бухгалтерского учета договоров аренды некредитными финансовыми организациями", зарегистрированным Министерством юстиции Российской Федерации 16 апреля 2018 года N 50781, 8 октября 2020 года N 60303, 14 октября 2020 года N 60389 (далее - Положение Банка России N 635-П);

3.1.21. активов, относимых к категории нематериальных активов в соответствии с данными бухгалтерского учета;

3.1.22. активов, на которые наложен арест, иное обременение или к которым применены обеспечительные меры, препятствующие отчуждению имущества, за исключением прав требований по срочным сделкам, кроме тех, на которые в соответствии с абзацами четвертым - тринадцатым пункта 3.3 настоящего Положения не распространяется действие пункта 3.3 настоящего Положения;

3.1.23. иностранных финансовых инструментов, не квалифицированных в качестве ценных бумаг в соответствии с Указанием Банка России от 3 октября 2017 года N 4561-У "О порядке квалификации иностранных финансовых инструментов в качестве ценных бумаг", зарегистрированным Министерством юстиции Российской Федерации 3 апреля 2018 года N 50596, 9 октября 2018 года N 52367;

3.1.24. активов, являющихся цифровыми финансовыми активами, цифровой валютой;

3.1.25. активов, перечень которых установлен страховой организацией во внутреннем документе, за исключением прав требований по срочным сделкам;

3.1.26. облигаций, которые в соответствии со статьей 27.5-7 Федерального закона "О рынке ценных бумаг" (Собрание законодательства Российской Федерации, 1996, N 17, ст. 1918; 2018, N 53, ст. 8440; 2021, N 24, ст. 4210) являются облигациями без определения в решении о выпуске таких облигаций срока их погашения (далее - облигации без срока погашения), за исключением облигаций без срока погашения, по которым решение об их выпуске не предусматривает право эмитента отказаться в одностороннем порядке от выплаты процентов по таким облигациям.

3.2. Стоимость банковских вкладов (депозитов), условиями которых предусмотрен возврат вклада в срок не более 5 рабочих дней с даты предъявления требования, определяется в размере суммы вклада и процентного дохода, который будет получен при таком возврате вклада в соответствии с договором банковского вклада (депозита).

3.3. Стоимость опционного договора, по которому страховая организация имеет право требовать от контрагента покупки или продажи базисного актива <1>, принимается равной нулю.

<1> Пункт 2 Указания Банка России от 16 февраля 2015 года N 3565-У.

Стоимость иной срочной сделки принимается равной отрицательному значению суммарной стоимости предметов срочной сделки, определенной по справедливой стоимости в соответствии с МСФО (IFRS) 13 и внутренним документом.

Срочные сделки, по которым осуществляется клиринг, учитываются в объеме открытой позиции, скорректированной по результатам клиринга.

Положения настоящего пункта не распространяются на срочные сделки при одновременном выполнении следующих условий:

контрагент либо поручитель (гарант) по срочной сделке, выдавший поручительство (независимую гарантию), соответствующее (соответствующую) условиям, указанным в подпункте 3.1.8 пункта 3.1 настоящего Положения, имеет кредитный рейтинг не ниже уровня, установленного Советом директоров Банка России, либо контрагент является центральным контрагентом;

предметом срочной сделки являются:

акции, товары, а также акции и паи иностранных инвестиционных фондов, попадающие под исключение, предусмотренное в подпункте 3.1.2 пункта 3.1 настоящего Положения;

облигации с кредитным рейтингом, за исключением субординированных облигационных займов;

процентные ставки;

уровень инфляции;

курс валют;

индекс, рассчитываемый исходя из изменения величины (стоимости) активов, перечисленных выше;

наступление обстоятельства, свидетельствующего об исполнении и (или) о неисполнении (ненадлежащем исполнении) обязательств третьими лицами, имеющими кредитный рейтинг не ниже уровня, установленного решением Совета директоров Банка России.

3.4. Стоимость активов в части исключения и случая, указанных в подпунктах 3.1.16 и 3.1.17 пункта 3.1 настоящего Положения соответственно, принимается равной их стоимости по данным бухгалтерского учета страховой организации без учета резерва под обесценение.

3.5. Стоимость объекта недвижимости в случае, когда стоимость прав требований страховой организации по сделке, указанной в подпункте 1.4.3 пункта 1.4 настоящего Положения, меньше стоимости такого объекта недвижимости, признается равной стоимости прав требований страховой организации по сделке, указанной в подпункте 1.4.3 пункта 1.4 настоящего Положения, рассчитанной по данным бухгалтерского учета.

3.6. Стоимость введенных в эксплуатацию помещений, зданий, земельных участков (прав аренды на земельные участки), на которых расположены указанные здания, единые недвижимые комплексы, включающие здания, право собственности страховой организации на которые должно быть зарегистрировано в соответствии с законодательством Российской Федерации о регистрации прав на недвижимое имущество и сделок с ним, определяется на основании отчета оценщика об оценке рыночной стоимости объекта недвижимости (прав аренды на земельные участки), составленного в соответствии с требованиями Федерального закона от 29 июля 1998 года N 135-ФЗ "Об оценочной деятельности в Российской Федерации" (Собрание законодательства Российской Федерации, 1998, N 31, ст. 3813; 2021, N 27, ст. 5179) (далее соответственно - Федеральный закон "Об оценочной деятельности в Российской Федерации", отчет оценщика).

3.7. Стоимость облигаций, выплаты (часть выплат) по которым установлены в виде формулы с переменными и (или) зависят от изменения стоимости активов (за исключением акций, товаров, акций и паев иностранных инвестиционных фондов, попадающих под исключения, предусмотренные в подпункте 3.1.2 пункта 3.1 настоящего Положения, облигаций с кредитным рейтингом, процентных ставок, уровня инфляции, курсов валют или индексов, рассчитываемых исходя из изменения их величины или стоимости) или исполнения обязательств третьими лицами (кроме третьих лиц, имеющих кредитный рейтинг не ниже уровня, установленного решением Совета директоров Банка России), за исключением субординированных облигационных займов, указанных в подпункте 3.1.9 пункта 3.1 настоящего Положения, определяется как минимально возможная сумма, которая может быть выплачена по такой облигации в соответствии с условиями ее эмиссии.

3.8. Стоимость долей перестраховщиков в страховых резервах определяется в соответствии с пунктом 5.6 настоящего Положения.

3.9. Стоимость активов, не определенная в соответствии с пунктами 3.1 - 3.8 настоящего Положения, определяется по справедливой стоимости в соответствии с МСФО (IFRS) 13 и внутренним документом.

Стоимость прав требований, возникших в связи с авансовыми платежами страховой организации по договору исходящего перестрахования, если такой договор не признан до расчетной даты включительно согласно подпункту 5.1.11 пункта 5.1 настоящего Положения, не может превышать размер обязательств страховой организации по основному договору.

Стоимость прав требований, указанных в подпункте 3.1.12.9 пункта 3.1 настоящего Положения, в части требований по страховой выплате, включая расходы на исполнение обязательств по страховому случаю по основному договору, определяется в размере, не превышающем размер, подтвержденный перестраховщиком.

Методы, используемые для определения стоимости активов в соответствии с настоящим пунктом, должны соответствовать методам, применяемым для определения стоимости активов для целей бухгалтерского учета в случае, если в бухгалтерском учете для оценки стоимости этих активов используется справедливая стоимость.

3.10. Стоимость активов, в том числе определенная на основании отчета оценщика, определяется без учета налогов, которые уплачиваются в соответствии с Налоговым кодексом Российской Федерации (Собрание законодательства Российской Федерации, 1998, N 31, ст. 3854; 2021, N 27, ст. 5137) или законодательством иностранного государства.

3.11. Определение стоимости актива на основании отчета оценщика в значении больше нуля допускается при условии, что:

для целей определения стоимости такого актива заключен договор о проведении оценки, стороной которого является юридическое лицо, с которым страховой организацией не заключены иные договоры, помимо договоров на осуществление оценки, и которое на дату оценки заключало договоры на проведение оценки объектов недвижимости ежегодно в течение последних 10 лет и выручка которого за предыдущий календарный год от договоров на проведение оценки составляет не менее 100 миллионов рублей;

оценка осуществлена оценщиком, в отношении которого на дату составления отчета со стороны саморегулируемой организации оценщиков не применялись в течение 2 лет в количестве двух и более раз меры дисциплинарного воздействия, предусмотренные Федеральным законом "Об оценочной деятельности в Российской Федерации", внутренними документами саморегулируемых организаций оценщиков, и стаж осуществления оценочной деятельности которого составляет не менее 3 лет;

дата определения стоимости недвижимого имущества не ранее 14 месяцев до даты, по состоянию на которую определяется стоимость активов;

дата определения стоимости объекта оценки иного имущества, исключая недвижимое, не ранее 3 месяцев до даты, по состоянию на которую определяется стоимость активов;

стоимость актива определяется на основании доступного на дату ее определения отчета оценщика с датой определения стоимости объекта оценки, наиболее близкой к дате определения стоимости актива.

Глава 4. Расчет стоимости обязательств страховой организации

4.1. Стоимость обязательств страховой организации рассчитывается на расчетную дату на основании данных бухгалтерского учета страховой организации, за исключением случаев, предусмотренных пунктами 4.2 - 4.6 настоящего Положения.

4.2. Признаваемая в соответствии с Положением Банка России N 635-П стоимость обязательства страховой организации по договору аренды определяется в размере превышения суммы указанного обязательства страховой организации над стоимостью актива страховой организации в форме права пользования по указанному договору аренды.

4.3. Стоимость обязательств страховой организации из договоров страхования и договоров исходящего перестрахования определяется в размере:

стоимости денежных потоков, указанных в абзацах втором, четвертом - седьмом подпункта 5.3.7 пункта 5.3 и абзацах втором, пятом - девятом подпункта 5.6.5 пункта 5.6 настоящего Положения, определенной по справедливой стоимости в соответствии с МСФО (IFRS) 13; (в ред. Указания ЦБ РФ от 22.09.2022 N 6252-У)

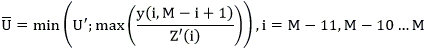
величины страховых резервов, рассчитанной в соответствии с главой 5 настоящего Положения, за вычетом вспомогательной величины ЭНП, рассчитанной в соответствии с пунктом 1 приложения 5 к настоящему Положению (далее - вспомогательная величина ЭНП). (в ред. Указания ЦБ РФ от 22.09.2022 N 6252-У)

4.4. Величина отложенного налогового обязательства (ВОНО) определяется по формуле: (в ред. Указания ЦБ РФ от 22.09.2022 N 6252-У)

ВОНО = max(max(ОНОкорр, 0) - max(n x (СОрег - (СОотч - ОАРотч + ОАДотч)),0),0), (в ред. Указания ЦБ РФ от 22.09.2022 N 6252-У)

где: (в ред. Указания ЦБ РФ от 22.09.2022 N 6252-У)

ОНОкорр - величина отложенного налогового обязательства по данным бухгалтерского учета (для страховых организаций, осуществляющих страхование иное, чем страхование жизни); величина отложенного налогового обязательства, уменьшенная на величину отложенного налогового актива по вычитаемым временным разницам, если изменения в активах и обязательствах, повлекшие возникновение этих отложенных налоговых активов и отложенных налоговых обязательств, учитываются при определении налоговой базы по налогу на прибыль (для страховых организаций, осуществляющих страхование жизни). Величина отложенного налогового обязательства и величина отложенного налогового актива по вычитаемым временным разницам для страховых организаций, осуществляющих страхование жизни, определяются в соответствии с Положением Банка России от 4 сентября 2015 года N 490-П "Отраслевой стандарт бухгалтерского учета отложенных налоговых обязательств и отложенных налоговых активов некредитными финансовыми организациями", зарегистрированным Минюстом России 21 сентября 2015 года, регистрационный N 38942, с изменениями, внесенными Указанием Банка России от 28 ноября 2016 года N 4220-У (зарегистрировано Минюстом России 21 декабря 2016 года, регистрационный N 44852), на основе данных, содержащихся в регистрах бухгалтерского учета, без учета данных по активам, стоимость которых признана равной нулю в соответствии с пунктом 3.1 настоящего Положения, а также по активам и обязательствам, не учитываемым при определении величины собственных средств страховой организации на основании пунктов 1.2 и 1.3 настоящего Положения соответственно; (в ред. Указания ЦБ РФ от 22.09.2022 N 6252-У)

СОрег - обязательства страховой организации из договоров страхования в размере сформированных в соответствии с главой 5 настоящего Положения страховых резервов, уменьшенные на величину доли перестраховщиков в резерве премий (в резерве убытков, резерве по прямому возмещению убытков), учитываемую при определении нормативного размера маржи платежеспособности согласно пункту 6.3 настоящего Положения; (в ред. Указания ЦБ РФ от 22.09.2022 N 6252-У)

СОотч - сумма оценок резервов по страхованию иному, чем страхование жизни, с учетом оценок будущих поступлений по суброгации, регрессным требованиям, доходов от реализации годных остатков, резервов по страхованию жизни, обязательств по договорам, классифицированным как инвестиционные или сервисные, по данным бухгалтерского учета, уменьшенная на величину долей перестраховщиков (ретроцессионеров) в страховых резервах по данным бухгалтерского учета; (в ред. Указания ЦБ РФ от 22.09.2022 N 6252-У)

ОАРотч - величина отложенных аквизиционных расходов по данным бухгалтерского учета; (в ред. Указания ЦБ РФ от 22.09.2022 N 6252-У)

ОАДотч - величина отложенных аквизиционных доходов по данным бухгалтерского учета; (в ред. Указания ЦБ РФ от 22.09.2022 N 6252-У)

n - налоговая ставка по налогу на прибыль, установленная абзацем первым пункта 1 статьи 284 Налогового кодекса Российской Федерации (Собрание законодательства Российской Федерации, 2000, N 32, ст. 3340; 2014, N 48, ст. 6660). (в ред. Указания ЦБ РФ от 22.09.2022 N 6252-У)

4.5. Суммарная стоимость обязательств некредитного характера, в том числе по выданным страховой организацией поручительствам и независимым гарантиям, аналитический учет которых осуществляется по внебалансовым счетам второго порядка в соответствии с Планом счетов бухгалтерского учета для некредитных финансовых организаций, определяется в размере ответственности (предела обязательств) страховой организации. (в ред. Указания ЦБ РФ от 22.09.2022 N 6252-У)

4.6. Стоимость обязательств, возникших в результате заключения страховой организацией срочных сделок, одновременно соответствующих условиям, предусмотренным абзацами пятым - тринадцатым пункта 3.3 настоящего Положения, определяется как справедливая стоимость в соответствии с МСФО (IFRS) 13 и внутренним документом.

В остальных случаях стоимость обязательств, возникших в результате заключения страховой организацией срочных сделок, принимается равной значению суммарной справедливой стоимости в соответствии с МСФО (IFRS) 13 предметов срочной сделки, определенной с использованием внутреннего документа.

Глава 5. Правила формирования страховых резервов

5.1. Страховщик при формировании страховых резервов должен использовать следующие подходы, определяющие методы расчета страховых резервов.

5.1.1. Расчет страховых резервов и доли перестраховщиков в них осуществляется страховщиком на основании проводимых актуарием актуарных расчетов, а в случае, если такой расчет производится в связи с проведением обязательного актуарного оценивания деятельности страховой организации, - на основании проводимых ответственным актуарием актуарных расчетов (далее при совместном упоминании - актуарий).

Расчет страховых резервов и доли перестраховщиков в них производится в соответствии с условиями договоров страхования и договоров исходящего перестрахования, настоящим Положением и положением о формировании страховых резервов, разработанном и утвержденном страховщиком в соответствии с настоящим Положением, и должен учитывать данные отчетности, предоставляемой страховщиком в Банк России, а также сведения, содержащиеся в журналах, указанных в подпункте 5.9.1 пункта 5.9 настоящего Положения (далее - наблюдаемая статистика страховщика).

5.1.2. Для расчета страховых резервов договоры страхования распределяются страховщиком по учетным группам, указанным в подпунктах 5.1.3 и 5.1.4 настоящего пункта, в зависимости от предусмотренных договором страхования страховых рисков.

5.1.3. К учетным группам по страхованию иному, чем страхование жизни, относятся:

к учетной группе 1 "Добровольное медицинское страхование" - договоры страхования по виду "медицинское страхование", кроме договоров, относящихся к учетной группе 16;

к учетной группе 2.1 "Страхование от несчастных случаев и болезней" - договоры страхования по виду "страхование от несчастных случаев и болезней", кроме договоров, относящихся к учетным группам 2.2 и 16;

к учетной группе 2.2 "Обязательное государственное страхование военнослужащих и приравненных к ним лиц" - договоры обязательного государственного страхования, осуществляемого в соответствии с Федеральным законом от 28 марта 1998 года N 52-ФЗ "Об обязательном государственном страховании жизни и здоровья военнослужащих, граждан, призванных на военные сборы, лиц рядового и начальствующего состава органов внутренних дел Российской Федерации, Государственной противопожарной службы, сотрудников учреждений и органов уголовно-исполнительной системы, сотрудников войск национальной гвардии Российской Федерации, сотрудников органов принудительного исполнения Российской Федерации" (Собрание законодательства Российской Федерации, 1998, N 13, ст. 1474; 2019, N 52, ст. 7815);

к учетной группе 3 "Обязательное страхование гражданской ответственности владельцев транспортных средств" - договоры обязательного страхования гражданской ответственности владельцев транспортных средств;

к учетной группе 4 "Страхование гражданской ответственности владельцев транспортных средств в рамках международных систем страхования" - договоры осуществляемого на территории Российской Федерации страхования гражданской ответственности владельцев транспортных средств в рамках международных систем страхования гражданской ответственности владельцев транспортных средств, участником которых является профессиональное объединение страховщиков, действующее в соответствии со статьей 31 Федерального закона "Об обязательном страховании гражданской ответственности владельцев транспортных средств" (Собрание законодательства Российской Федерации, 2002, N 18, ст. 1720; 2019, N 18, ст. 2212) (далее - международная система страхования "Зеленая карта");

к учетной группе 5 "Обязательное страхование гражданской ответственности перевозчика" - договоры обязательного страхования гражданской ответственности перевозчика за причинение при перевозках пассажиров вреда их жизни, здоровью, имуществу;

к учетной группе 6 "Страхование прочей ответственности владельцев транспортных средств" - договоры страхования по видам "страхование гражданской ответственности владельцев автотранспортных средств", "страхование гражданской ответственности владельцев средств железнодорожного транспорта", кроме договоров, относящихся к учетной группе 4;

к учетной группе 7 "Страхование средств наземного транспорта" - договоры страхования по видам "страхование средств наземного транспорта", "страхование средств железнодорожного транспорта";

к учетной группе 8 "Страхование воздушного, водного транспорта, включая страхование ответственности владельцев указанного транспорта, и страхование грузов" - договоры страхования по видам "страхование средств воздушного транспорта", "страхование средств водного транспорта", "страхование грузов", "страхование гражданской ответственности владельцев средств воздушного транспорта", "страхование гражданской ответственности владельцев средств водного транспорта";

к учетной группе 9 "Сельскохозяйственное страхование, осуществляемое с государственной поддержкой" - договоры сельскохозяйственного страхования, осуществляемого с государственной поддержкой;

к учетной группе 10 "Страхование имущества" - договоры страхования имущества, кроме договоров, относящихся к учетным группам 7 - 9;

к учетной группе 11 "Обязательное страхование гражданской ответственности владельца опасного объекта" - договоры обязательного страхования гражданской ответственности владельца опасного объекта за причинение вреда в результате аварии на опасном объекте;

к учетной группе 12 "Страхование гражданской ответственности застройщика" - договоры страхования ответственности застройщика за неисполнение или ненадлежащее исполнение обязательств по передаче объекта долевого строительства участнику долевого строительства по договору участия в долевом строительстве;

к учетной группе 13 "Страхование ответственности туроператоров" - договоры страхования гражданской ответственности за неисполнение туроператором обязательств по договору о реализации туристского продукта;

к учетной группе 14 "Страхование прочей ответственности" - договоры страхования ответственности за причинение вреда, а также договоры страхования ответственности по договору, кроме договоров, относящихся к учетным группам 3 - 6, 8, 11 - 13;

к учетной группе 15 "Страхование финансовых и предпринимательских рисков" - договоры страхования финансовых рисков, договоры страхования предпринимательских рисков;

к учетной группе 16 "Страхование лиц, выезжающих за пределы постоянного места жительства" - договоры страхования лиц на время выезда за пределы населенного пункта, в котором находится постоянное место жительства, покрывающие как минимум один из рисков - смерти и вреда здоровью - и (или) предусматривающие компенсацию расходов на медицинское обслуживание, медико-транспортных и иных расходов;

к учетной группе 17 "Входящее перестрахование, кроме договоров пропорционального перестрахования" - договоры входящего перестрахования, кроме договоров перестрахования, по условиям которых осуществление страховой организацией страховой выплаты по основному договору страхования приводит к обязанности перестраховщика возместить заранее установленную долю в этой страховой выплате (далее - договоры пропорционального перестрахования).

5.1.4. К учетным группам по страхованию жизни относятся:

к учетной группе 18 "Накопительное страхование жизни" - договоры страхования имущественных интересов, связанных с дожитием граждан до определенных возраста или срока, в том числе включающие страхование имущественных интересов, связанных со смертью таких граждан ранее такого возраста (срока), и не предусматривающие дополнительных выплат сверх страховой суммы, на которые выгодоприобретатель имеет право в соответствии с условиями такого договора <1>, в зависимости от изменения показателя (в том числе стоимости актива, значения индекса), определенного в соответствии с условиями такого договора (далее - дополнительные выплаты), кроме договоров страхования, относящихся к учетной группе 20;

<1> Абзацы второй и четвертый пункта 3 статьи 3, подпункт 3 пункта 1 статьи 32.9 Закона Российской Федерации "Об организации страхового дела в Российской Федерации".

к учетной группе 19 "Инвестиционное страхование жизни" - договоры страхования имущественных интересов, связанных с дожитием граждан до определенных возраста или срока, в том числе включающие страхование имущественных интересов, связанных со смертью таких граждан ранее такого возраста (срока), предусматривающие дополнительные выплаты;

к учетной группе 20 "Пенсионное страхование" - договоры страхования по видам "страхование жизни с условием периодических страховых выплат (ренты, аннуитетов)", "пенсионное страхование", за исключением договоров страхования, предусматривающих дополнительные выплаты;

к учетной группе 21 "Прочее страхование жизни" - договоры страхования жизни, кроме договоров страхования, относящихся к учетным группам 18 - 20, а также договоры входящего перестрахования договоров страхования жизни.

5.1.5. Договоры входящего пропорционального перестрахования договоров страхования иного, чем страхование жизни, относятся к тем же учетным группам, что и соответствующие основные договоры страхования.

5.1.6. По решению страховщика указанные в подпункте 5.1.3 настоящего пункта учетные группы разделяются на дополнительные учетные группы на основании разработанной актуарием в целях достижения большей точности при формировании страховщиком страховых резервов математической модели распределения договоров, входящих в учетную группу, по дополнительным учетным группам (далее - модель разделения). Расчет страховых резервов по дополнительной учетной группе должен производиться так же, как и расчет страховых резервов по учетным группам.

Модель разделения применяется страховщиком с расчетной даты, следующей за концом следующего после даты разработки модели календарного квартала.

Модель разделения подлежит применению страховщиком, если:

5.1.6.1. для калибровки модели разделения использовалась только наблюдаемая статистика страховщика, за исключением наблюдаемой статистики за 12 месяцев, предшествующих дате разработки модели;

5.1.6.2. договоры, включенные в каждую дополнительную учетную группу, за исключением одной (остаточной) дополнительной учетной группы, содержат одинаковый набор страховых рисков;

5.1.6.3. для распределения договоров по дополнительным учетным группам в модели разделения используются только сведения, известные страховщику на дату заключения договора страхования;

5.1.6.4. по состоянию на последний день трех из четырех кварталов, предшествующих дате разработки модели, выполняется неравенство:

,

где:

l - индекс квартала (-1 - для квартала, предшествующего дате разработке модели разделения, -2 - для квартала, предшествующего на 2 квартала дате разработки модели разделения, и так далее). В случае если дата разработки модели разделения совпадает с концом квартала, дата конца первого квартала, предшествующего дате разработки модели разделения, принимается равной дате разработки модели;

m - дополнительная учетная группа, входящая в состав учетной группы;

N - число кварталов, за которые рассматриваются данные о страховых выплатах;

- величина, рассчитанная в соответствии с приложением 3 к настоящему Положению по дополнительной учетной группе m на конец квартала l;

x (i, j) - вспомогательная величина, определяемая по формуле:

,

где:

x (i, 0) = 0;

x (i, j) (m) - денежные потоки, рассчитанные на последний день квартала, следующего за датой разработки модели разделения, по дополнительной учетной группе m в соответствии с приложением 3 к настоящему Положению;

i, j - показатели, определенные в соответствии с абзацем седьмым пункта 1 приложения 3 к настоящему Положению;

- вспомогательная величина, определяемая по формуле:

,

где:

- денежные потоки, рассчитанные на последний день квартала, следующего за датой разработки модели распределения, по дополнительной учетной группе m в соответствии с приложением 3 к настоящему Положению;

- приведенная стоимость денежных потоков на конец квартала l.

5.1.7. Страховые резервы, за исключением стабилизационного резерва, формируются страховщиком по каждой, в том числе дополнительной, учетной группе отдельно. Стабилизационный резерв формируется страховщиком по учетной группе без учета выделения дополнительных учетных групп.

5.1.8. Величина страховых резервов по учетной группе должна быть равна сумме величин страховых резервов по видам резервов, формируемых страховщиком по этой учетной группе.

5.1.9. В случае выделения страховщиком в рамках учетной группы дополнительных учетных групп, величина каждого вида страховых резервов по учетной группе, за исключением стабилизационного резерва, равна сумме величин данного вида страховых резервов по дополнительным учетным группам.

5.1.10. Договор страхования учитывается в расчете страховых резервов и доли перестраховщиков в страховых резервах начиная с наиболее ранней из дат (далее - начало признания договора страхования):

даты начала периода (периодов) времени, определяемого (определяемых) согласно условиям договора страхования, в течение которого (которых) могут наступить страховые случаи или произойти иные события (совершено действие или бездействие (произведены работы, оказаны услуги), определенные в договоре страхования, в результате которых в будущем наступит страховой случай (далее соответственно - событие, инициирующее страховой случай, период действия страхового покрытия);

даты заключения договора страхования.

5.1.11. Договор исходящего перестрахования учитывается в расчете страховых резервов и доли перестраховщиков в страховых резервах с даты его вступления в силу (далее - начало признания договора исходящего перестрахования).

5.1.12. Договор страхования или исходящего перестрахования учитывается в расчете страховых резервов и доли перестраховщиков в страховых резервах, если начало его признания не позднее расчетной даты и расчетная дата находится ранее предполагаемой даты полного исполнения обязательств по такому договору (далее - учитываемый в расчете договор).

Предполагаемая дата полного исполнения обязательств по договору страхования или исходящего перестрахования определяется в зависимости от условий договора страхования или договора исходящего перестрахования и ожидаемых в соответствии с наблюдаемой статистикой страховщика сроков урегулирования обязательств по договору, включая обязательства по прямому возмещению убытков (дата, начиная с которой больше не предполагается денежных потоков, в том числе в результате досрочного прекращения договора).

5.2. Страховщик должен сформировать следующие виды страховых резервов (при наличии соответствующих учетных групп, по которым такие резервы формируются):

резерв инвестиционных обязательств;

резерв премий;

резерв убытков;

резерв по прямому возмещению убытков (далее - РПВУ);

стабилизационный резерв.

Резерв инвестиционных обязательств формируется по учетной группе 19 и представляет собой оценку стоимости на расчетную дату обязательств страховщика по учитываемым в расчете договорам страхования по не истекшей до расчетной даты части периодов действия страхового покрытия до верхней границы соответствующих договоров в части увеличения страховой суммы и (или) осуществления дополнительных выплат.

Резерв премий представляет собой оценку на расчетную дату стоимости обязательств страховщика из учитываемых в расчете договоров страхования по не истекшей до расчетной даты части периодов действия страхового покрытия до верхней границы соответствующих договоров, за исключением обязательств, учитываемых в резерве инвестиционных обязательств.

Резерв убытков представляет собой оценку на расчетную дату стоимости обязательств страховщика, возникших в связи с произошедшими на расчетную дату по учитываемым в расчете договорам страхования следующими событиями:

досрочное прекращение договора страхования жизни;

страховой случай или событие, инициирующее страховой случай.

РПВУ представляет собой оценку на расчетную дату стоимости денежных потоков, необходимых для исполнения обязательств страховщика по прямому возмещению убытков по учитываемым в расчете договорам обязательного страхования гражданской ответственности владельцев транспортных средств.

Абзац тринадцатый - Утратил силу. (в ред. Указания ЦБ РФ от 22.09.2022 N 6252-У)

Стабилизационный резерв по учетной группе 9 формируется в случае, если установлена обязанность его формирования в соответствии с Федеральным законом "О государственной поддержке в сфере сельскохозяйственного страхования и о внесении изменений в Федеральный закон "О развитии сельского хозяйства" (Собрание законодательства Российской Федерации, 2011, N 31, ст. 4700; 2021, N 24, ст. 4195). (в ред. Указания ЦБ РФ от 22.09.2022 N 6252-У)

5.3. Страховщик при формировании страховых резервов должен соблюдать следующие условия.

5.3.1. Страховщик формирует страховые резервы на основании проведенных актуарием актуарных расчетов, выполненных с использованием подхода к расчету страховых резервов, основанного на оценке денежных потоков страховщика.

При выполнении указанных в абзаце первом настоящего подпункта расчетов актуарий использует установленные в соответствии с требованиями настоящей главы параметры, а также определяет применяемые методы актуарных расчетов, актуарные модели и значения параметров, используемых при расчете страховых резервов, на основании сформированных им предположений и суждений, используемых на расчетную дату для расчета страховых резервов (далее - резервный базис). При выполнении расчетов актуарий использует информацию, доступную страховщику на расчетную дату, иные данные, предположения и методы при их соответствии признакам, установленным пунктом 5.7 настоящего Положения.

Актуарий осуществляет оценку денежных потоков страховщика посредством построения прогноза денежных потоков с учетом условий договоров (в том числе взаимозависимости между страховыми премиями и страховыми выплатами), требований законодательства, обязательств, принятых на себя страховщиком в дополнение к предусмотренным в договорах страхования обязательствам, на расчетную дату, а также наблюдаемой статистики страховщика.

При оценке величины страховых резервов по учетной группе (а в случае, предусмотренном подпунктом 5.3.5 настоящего пункта, подпунктом 5.4.2 пункта 5.4 настоящего Положения, - по договору страхования) строится прогноз денежных потоков, связанных с договорами страхования, относящимися к этой учетной группе (связанных с этим договором страхования). Прогноз денежных потоков для группы договоров страхования строится на основании методов математического моделирования.

При построении прогноза денежных потоков не учитываются денежные потоки, признаваемые в составе активов и обязательств, аналитический учет которых осуществляется по балансовым счетам в соответствии с Планом счетов бухгалтерского учета для некредитных финансовых организаций, за исключением денежных потоков, признаваемых в составе активов и обязательств страховой организации, образующихся в связи с заключением, изменением, прекращением, в том числе досрочным, договоров страхования. (в ред. Указания ЦБ РФ от 22.09.2022 N 6252-У)

Для каждого денежного потока прогноз денежного потока должен содержать следующие характеристики: вид денежного потока, размер денежного потока, валюта платежа, дата платежа (период платежа, если ожидается, что денежный поток будет реализован в течение периода), направление денежного потока, наименование плательщика (при наличии), вероятность реализации денежного потока.

Период платежа в прогнозе денежных потоков не может превышать один год. Прогноз денежных потоков включает денежные потоки при реализации всех возможных комбинаций всех возможных условий договора страхования. Прогноз денежных потоков должен позволять рассчитать долю перестраховщика в страховых резервах.

В случае если прогноз денежного потока получен с использованием методов математического моделирования как средневзвешенный по вероятности реализации размер отдельных денежных потоков, вероятность реализации такого денежного потока принимается равной единице.

В прогнозе денежных потоков учитываются в том числе:

возможное изменение количества страховых случаев и даты их наступления;

возможное изменение даты и размера страховой выплаты, в том числе в зависимости от изменения обстоятельств, влияющих на размер страховой выплаты;

возможное изменение величины расходов на ведение дела и даты их несения;

взаимозависимость двух или более указанных изменений.

В прогнозе денежных потоков учитываются возможные изменения, если их учет приводит к изменению величины страховых резервов более чем на 5 процентов по учетной группе.

При оценке вероятности наступления предусмотренных договорами страхования страховых случаев и событий, инициирующих страховой случай, учитываются известные страховщику обстоятельства, имеющие существенное значение для определения страхового риска, а также результаты оценки страхового риска страховщиком, в том числе релевантность оцениваемого риска генеральной совокупности (выборке), по данным которой рассчитана вероятность наступления предусмотренных договорами страхования страховых случаев и событий, инициирующих страховой случай.

Величина нереализованных денежных потоков, предусмотренных на расчетную дату договорами, определяется по условиям указанных договоров.

При построении прогноза денежных потоков исходящие от страховщика денежные потоки учитываются со знаком "+" (плюс), а входящие к страховщику денежные потоки - со знаком "-" (минус).

По итогам расчета страховых резервов и доли перестраховщиков в них, а также расчета показателя ожидаемого дефицита перестраховщика, определяемого в соответствии с подпунктом 6.3.4.3 пункта 6.3 настоящего Положения (далее - ОДП), актуарий подготавливает результат актуарных расчетов, соответствующий требованиям подпункта 5.9.8 пункта 5.9 настоящего Положения (далее - результат актуарных расчетов).

5.3.2. Величина резерва премий по каждой учетной группе принимается равной сумме неотрицательной наилучшей оценки приведенной стоимости всех денежных потоков, входящих в прогноз денежных потоков (за исключением денежных потоков, указанных в подпункте 5.3.7 настоящего пункта), по исполнению обязательств, учитываемых в расчете величины резерва премий, до наиболее поздней предполагаемой даты полного исполнения обязательств по договорам страхования, входящим в учетную группу (далее - ДПП), и величины рисковой маржи в резерве премий по соответствующей учетной группе (далее - РМП), определенной в соответствии с подпунктом 5.3.8 настоящего пункта.

5.3.3. Величина резерва убытков по каждой учетной группе, указанной в подпункте 5.1.4 пункта 5.1 настоящего Положения, принимается равной сумме неотрицательной наилучшей оценки приведенной стоимости всех денежных потоков, входящих в прогноз денежных потоков (за исключением денежных потоков, указанных в подпункте 5.3.7 настоящего пункта) по исполнению обязательств, учитываемых в расчете величины резерва убытков, до наиболее поздней предполагаемой даты полного исполнения обязательств по договорам страхования, входящим в учетную группу (далее - ДПУ), и величины рисковой маржи в резерве убытков по соответствующей учетной группе (далее - РМУ), определенной в соответствии с подпунктом 5.3.8 настоящего пункта.

Величина резерва убытков по каждой учетной группе, указанной в подпункте 5.1.3 пункта 5.1 настоящего Положения, принимается равной сумме неотрицательной оценки, указанной в подпункте 5.5.3 пункта 5.5 настоящего Положения, и РМУ, определенной в соответствии с подпунктом 5.3.8 настоящего пункта.

5.3.4. Величина РПВУ принимается равной неотрицательной наилучшей оценке приведенной стоимости всех денежных потоков по исполнению обязательств, учитываемых в расчете РПВУ, входящих в прогноз денежных потоков (за исключением денежных потоков, указанных в подпункте 5.3.7 настоящего пункта).

5.3.5. Величина резерва инвестиционных обязательств принимается равной сумме величин резервов инвестиционных обязательств по каждому договору страхования, отнесенному к учетной группе 19.

Величина резерва инвестиционных обязательств по договору страхования, отнесенному к учетной группе 19, принимается равной взвешенной по вероятности наступления страхового случая и досрочного прекращения договора страхования справедливой стоимости финансовых инструментов, платежи по которым по размеру и датам совпадают с дополнительными выплатами в соответствии с условиями договора страхования и (или) с изменением размера страховой суммы. Стоимость указанного финансового инструмента определяется в соответствии с МСФО (IFRS) 13.

В случае если по состоянию на расчетную дату страховщиком приобретены активы, указанные в подпункте 1.2.2 пункта 1.2 настоящего Положения, и страховщик в соответствии с указанным подпунктом исключает их стоимость из расчета величины собственных средств (капитала), величина резерва инвестиционных обязательств по договору страхования в части обязательств, возникающих в результате изменения стоимости таких активов, принимается равной нулю.

5.3.6. Величина стабилизационного резерва принимается равной вспомогательной величине СР, определяемой в соответствии с приложением 6 к настоящему Положению.

Абзац второй. - Утратил силу. (в ред. Указания ЦБ РФ от 22.09.2022 N 6252-У)

5.3.7. В расчет прогноза денежных потоков не включаются следующие денежные потоки по учитываемым в расчете договорам страхования:

нереализованные (невыплаченные и (или) неполученные) денежные потоки, срок платежей по которым в соответствии с условиями договоров страхования наступил до расчетной даты, за исключением страховых выплат в связи с дожитием граждан до определенных возраста или срока и соответствующих им денежных потоков по исполнению обязательств по страховым случаям, а также соответствующие им денежные потоки по оплате расходов на ведение дела;

реализованные (выплаченные и (или) полученные) денежные потоки, срок платежей по которым в соответствии с условиями договоров страхования наступил до расчетной даты;

денежные потоки по страховым премиям (страховым взносам), которые уплачиваются за предоставление страхового покрытия до верхней границы договора страхования, при условии, что верхняя граница договора страхования не позднее расчетной даты, а также соответствующие им денежные потоки по оплате расходов на заключение (аквизицию) договоров страхования;

денежные потоки по страховым премиям (страховым взносам), уплачиваемым за период действия страхового покрытия после верхней границы договора страхования, а также соответствующие им денежные потоки по оплате расходов на заключение (аквизицию) договоров страхования;

денежные потоки по излишне полученным от страхователя денежным средствам, страховым премиям (страховым взносам), поступившим ранее предусмотренного договором страхования срока, а также соответствующие им денежные потоки по оплате расходов на заключение (аквизицию) договоров страхования;

нереализованные на расчетную дату денежные потоки, связанные с исполнением обязательств по договорам, возникших в результате выплаты до расчетной даты страхового возмещения по страховому случаю (в том числе денежные потоки по суброгациям и регрессам);

денежные потоки по платежам не объявленных до расчетной даты выплат выгодоприобретателю по договору страхования по решению страховщика;

денежные потоки по возврату страхователем - физическим лицом займа, предоставленного страховщиком в соответствии с пунктом 7 статьи 26 Закона Российской Федерации "Об организации страхового дела в Российской Федерации" (Ведомости Съезда народных депутатов Российской Федерации и Верховного Совета Российской Федерации, 1993, N 2, ст. 56; Собрание законодательства Российской Федерации, 1998, N 1, ст. 4; 2013, N 30, ст. 4067);

денежные потоки по договорам исходящего перестрахования;

денежные потоки по инвестиционному доходу - для расчета страховых резервов по страхованию иному, чем страхование жизни;

денежные потоки по правам требований к страховым организациям, к профессиональному объединению страховщиков при условии, что расчеты по таким правам требований осуществляются в рамках соглашения о прямом возмещении убытков и такие права требования возникли в результате прямого возмещения убытков до расчетной даты. (в ред. Указания ЦБ РФ от 22.09.2022 N 6252-У)

5.3.8. РМП и РМУ по учетной группе определяются соответственно по формулам:

;

;

где:

ДДПП (ДДПУ) - величина рассчитанных в соответствии с требованиями пункта 5.6 настоящего Положения долей перестраховщиков в резерве премий (в резерве убытков) по учетной группе, учитываемая при определении показателя нормативного размера маржи платежеспособности, рассчитываемого в соответствии с пунктом 6.3 настоящего Положения;

- сумма величин ДПП (ДПУ), уменьшенных на величину доли перестраховщиков в резерве премий (в резерве убытков), учитываемую при определении показателя нормативного размера маржи платежеспособности, рассчитываемого в соответствии с пунктом 6.3 настоящего Положения, по всем учетным группам;

РМ - вспомогательная величина, рассчитанная в соответствии с приложением 5 к настоящему Положению.

5.3.9. В расчете страховых резервов должны учитываться:

расходы на заключение (аквизицию), сопровождение отдельных учитываемых в расчете договоров страхования и на исполнение обязательств страховщика по страховым случаям по отдельным учитываемым в расчете договорам страхования (далее - прямые расходы на ведение дела);

расходы на заключение, сопровождение группы учитываемых в расчете договоров страхования и на исполнение обязательств страховщика по группе страховых случаев (далее - косвенные расходы на ведение дела).

5.3.10. К расходам на заключение (аквизицию) договоров страхования относятся в том числе расходы на оплату услуг посредников (агентское, брокерское вознаграждение), расходы на подготовку договоров, предстраховую экспертизу.

5.3.11. К расходам на сопровождение договоров страхования относятся в том числе расходы на оплату труда, аренду, эксплуатацию информационных систем и программного обеспечения, по инвестиционной деятельности (для договоров страхования жизни).

Расходы по инвестиционной деятельности учитываются в прогнозе денежных потоков отдельно и не могут быть смешаны с другими денежными потоками.

5.3.12. К расходам на исполнение обязательств по страховым случаям (прямому возмещению убытков) относятся в том числе расходы на юридические услуги, услуги по определению размера убытков или ущерба, расходы на поддержание процессов урегулирования страховых случаев.

5.3.13. При расчете ДПП и ДПУ учитывается изменение уровня расходов страховщика в будущем в зависимости от вида расходов, уровня инфляции, изменения обменного курса, доступной на расчетную дату информации о будущем изменении цен с учетом требований пункта 5.6 настоящего Положения.

При расчете ДПП учитываются денежные потоки по заключенным до расчетной даты включительно договорам страхования, о которых на расчетную дату страховщик не имеет достоверных данных в связи с более поздним получением первичных учетных документов.

5.3.14. Ставка доходности, применяемая для дисконтирования денежных потоков в целях расчета страховых резервов и доли перестраховщиков в них, определяется по формуле:

,

где:

- ставка доходности, используемая для дисконтирования денежного потока m;

f - вспомогательная величина, равная нулю, если валютой денежного потока является российский рубль, а если иная валюта - равная 2 процентным пунктам;

- ставка доходности, определяемая по формуле:

;

- среднее значение ставки доходности , определяемое по формуле:

;

- ставка доходности для срока V, определенная на расчетную дату. В случае если валютой денежного потока является российский рубль, используется кривая бескупонной доходности облигаций федерального займа, значения которой опубликованы на официальном сайте публичного акционерного общества "Московская биржа ММВБ-РТС" (далее - ПАО "Московская биржа") в информационно-телекоммуникационной сети "Интернет", в остальных случаях - кривая бескупонной доходности государственных ценных бумаг США, ежедневные показатели которой опубликованы на официальном сайте Департамента казначейства США в информационно-телекоммуникационной сети "Интернет";

- арифметическое среднее значение РКV, рассчитанное за 10 дней, предшествующих расчетной дате, для которых значение РКV определено; (в ред. Указания ЦБ РФ от 22.09.2022 N 6252-У)

- минимальный (максимальный) срок, на который определен уровень процентных ставок бескупонной доходности государственных ценных бумаг для соответствующей валюты денежного потока, в годах;

- максимальный (минимальный) срок, на который известно значение кривой бескупонной доходности, не превышающий (превышающий) ГПm, в годах;

- срок денежного потока m в годах.

Под сроком денежного потока для целей расчета страховых резервов, доли перестраховщиков в страховых резервах и ОДП понимается период времени между расчетной датой и датой платежа, находящейся позже расчетной даты, рассчитываемый как: число лет, рассчитанное как целое число календарных кварталов от расчетной даты до даты платежа денежного потока с применением правил математического округления, деленное на 4, - по страхованию иному, чем страхование жизни; число лет, рассчитанное как целое число месяцев от расчетной даты до даты платежа денежного потока с применением правил математического округления, деленное на 12, - по страхованию жизни.

В случае если поступление (выплата) платежа предусматривает не конкретную дату, а определенный период, для целей определения срока входящего денежного потока датой платежа является дата окончания указанного периода, а для целей определения срока исходящего денежного потока - дата начала указанного периода.

5.3.15. При определении величины каждого вида резерва по каждой учетной группе величина приведенной стоимости отдельных денежных потоков, рассчитываемых в иностранной валюте, пересчитывается в российские рубли по официальному курсу соответствующей иностранной валюты по отношению к рублю, установленному Банком России в соответствии с пунктом 15 статьи 4 Федерального закона "О Центральном банке Российской Федерации (Банке России)" (Собрание законодательства Российской Федерации, 2002, N 28, ст. 2790) (далее - курс иностранной валюты, установленный Банком России), на расчетную дату, если законодательством Российской Федерации или договором не установлено иное.

5.4. Страховщик при формировании страховых резервов по договорам страхования жизни дополнительно к условиям, указанным в пункте 5.3 настоящего Положения, должен соблюдать следующие условия их формирования.

5.4.1. Резервный базис по страхованию жизни включает в том числе:

состав расходов на ведение дела по учитываемым в расчете договорам и порядок распределения косвенных расходов по учетным группам и видам резервов;

порядок расчета денежных потоков отдельно по видам прямых и косвенных расходов;

порядок расчета платежей по финансовому инструменту, используемому для расчета величины резерва инвестиционных обязательств в соответствии с требованиями подпункта 5.3.5 пункта 5.3 настоящего Положения;

описание методологии и порядка определения характеристик денежных потоков (в том числе возникающих в результате неуплаты страховых премий (страховых взносов) страхователем, досрочного прекращения договоров страхования), в том числе таблицы вероятностей наступления страховых случаев, предусмотренных договорами страхования, и рассчитанные на их основе величины, связанные с предстоящей продолжительностью жизни, использованные для расчета страховых резервов;

порядок определения параметров моделей, используемых для расчета страховых резервов.

5.4.2. По каждому договору страхования жизни из учетной группы ДПП рассчитывается отдельно. По каждому договору страхования из учетных групп 18, 19 и 20 ДПУ рассчитывается отдельно. ДПП (ДПУ) по учетным группам 18, 19 и 20 равно сумме ДПП (ДПУ) соответственно по каждому договору страхования, относящемуся к соответствующей учетной группе.

5.4.3. При оценке ДПП, ДПУ учитываются в том числе следующие виды денежных потоков:

5.4.3.1. входящие денежные потоки: поступления страховых премий (страховых взносов) - в случае оценки ДПП;

5.4.3.2. исходящие денежные потоки:

страховые выплаты по договору страхования;

платежи объявленных до расчетной даты выплат выгодоприобретателю по договору страхования по решению страховщика (далее - негарантированные выплаты), которые учитываются в прогнозе денежных потоков отдельно и не могут быть смешаны с другими денежными потоками;

платежи, предусмотренные договором страхования, не указанные в абзацах втором и третьем настоящего подпункта;

суммы, в том числе выкупные, выплачиваемые при досрочном прекращении договора страхования;

расходы, указанные в подпункте 5.3.9 пункта 5.3 настоящего Положения (в случае оценки ДПУ не учитываются расходы на заключение и сопровождение договоров страхования);

расходы на сопровождение договоров исходящего перестрахования, в соответствии с условиями которых перестраховываются основные договоры, относящиеся к учетной группе, - в случае оценки ДПП;

налоговые платежи, по которым страховщик является налоговым агентом по налогу на доходы физических лиц (далее - НДФЛ) при выплате страхового возмещения.

5.4.4. Вероятность реализации следующих исходящих денежных потоков, учитываемых при оценке ДПУ, принимается равной единице:

денежных потоков по страховым выплатам в связи с дожитием граждан до определенного возраста, срока или иного события, предусмотренного договором страхования;

денежных потоков по платежам в связи с досрочным прекращением договора страхования, влекущим возврат части страховой премии, а также выплату предусмотренных договором сумм, в том числе выкупных.

5.5. Страховщик при формировании страховых резервов по страхованию иному, чем страхование жизни, дополнительно к условиям, указанным в пункте 5.3 настоящего Положения, должен соблюдать следующие условия их формирования.

5.5.1. Резервный базис по страхованию иному, чем страхование жизни, включает в том числе:

состав расходов на ведение дела по учитываемым в расчете договорам и порядок распределения косвенных расходов по учетным группам и видам резервов;

порядок расчета денежных потоков отдельно по видам прямых и косвенных расходов (в том числе по прямому возмещению убытков при наличии договоров страхования, отнесенных к учетной группе 3);

описание методологии и порядка определения характеристик денежных потоков (в том числе возникающих в результате неуплаты страховых премий (страховых взносов) страхователем, досрочного прекращения договора страхования), даже если прогноз денежных потоков построен для группы договоров страхования на основании методов математического моделирования;

порядок определения параметров моделей, используемых для расчета страховых резервов.

5.5.2. Исходящие денежные потоки в части страховых выплат по договору страхования по учетной группе 4 по заявленным страховым случаям оцениваются исходя из полученной от иностранных представителей, уполномоченных на рассмотрение требований потерпевших о наступивших страховых случаях (включая национальные страховые бюро) в рамках международной системы страхования "Зеленая карта", информации о предполагаемом размере ущерба на территории стран - членов указанной международной системы страхования.

5.5.3. Оценка ДПУ по каждой учетной группе по страхованию иному, чем страхование жизни, производится по формуле:

, (в ред. Указания ЦБ РФ от 22.09.2022 N 6252-У)

где:

- наилучшая оценка приведенной стоимости всех денежных потоков (за исключением денежных потоков, указанных в подпункте 5.3.7 пункта 5.3 настоящего Положения) по исполнению обязательств, учитываемых в расчете величины резерва убытков, по договорам страхования, отнесенным к учетной группе;

- наилучшая оценка приведенной стоимости денежных потоков по расходам на исполнение обязательств по страховым случаям по учетной группе;

- вспомогательная величина, рассчитанная по учетной группе в соответствии с приложением 3 к настоящему Положению;

- вспомогательная величина, рассчитанная по учетным группам 3 и 7 в соответствии с приложением 4 к настоящему Положению;

k - коэффициент аппроксимации, определяемый в соответствии с подпунктом 5.5.4 пункта 5.5 настоящего Положения.

- наилучшая оценка приведенной стоимости денежных потоков по страховым выплатам, учитываемых в расчете величины резерва убытков, по договорам страхования, отнесенным к учетной группе. (в ред. Указания ЦБ РФ от 22.09.2022 N 6252-У)

Показатели и определяются на конец квартала. В случае если расчетная дата не совпадает с концом квартала, в расчете используются значения указанных показателей, определенные на конец календарного квартала, предшествующего расчетной дате. (в ред. Указания ЦБ РФ от 22.09.2022 N 6252-У)

5.5.4. Коэффициент аппроксимации (k) определяется по каждой учетной группе и принимается равным единице, если расчетная дата совпадает с концом квартала, а если расчетная дата не совпадает с концом квартала, то определяется по формуле:

,

где:

ОУ - сумма страховых выплат по договорам страхования, отнесенным к учетной группе, произведенных страховщиком за период с начала календарного квартала, содержащего расчетную дату, до расчетной даты включительно;

ЗП - заработанная страховая премия по договорам страхования, входящим в учетную группу, за период с начала календарного квартала, содержащего расчетную дату, до расчетной даты включительно, определяемая в соответствии с подпунктом 5.5.5 пункта 5.5 настоящего Положения;

- вспомогательный показатель, рассчитываемый в соответствии с абзацем девятым пункта 5 приложения 3 к настоящему Положению по состоянию на конец последнего календарного квартала, предшествующего расчетной дате. В случае если по учетной группе доступны данные о страховых выплатах менее чем за установленное пунктом 6 приложения 3 к настоящему Положению число кварталов или величина заработанной страховой премии хотя бы в один из этих кварталов неположительна, равен 0,77;

ЗНУ - вспомогательная величина, рассчитанная в соответствии с пунктом 4 приложения 3 к настоящему Положению.

5.5.5. Заработанная страховая премия (показатель ЗП) по договору страхования за период определяется по формуле:

,

где:

p - страховая премия, предусмотренная договором страхования за предоставление страхового покрытия до верхней границы договора страхования, по состоянию на конец периода, за который определяется заработанная страховая премия;

d - количество дней в периоде, за который определяется заработанная страховая премия, которые приходятся на период действия страхового покрытия до верхней границы договора страхования, по состоянию на конец периода, за который определяется заработанная страховая премия;

s - количество дней в периоде действия страхового покрытия до верхней границы договора страхования, по состоянию конец периода, за который определяется заработанная страховая премия.

Для целей расчета величин p и s в случае досрочного прекращения договора страхования верхняя граница такого договора определяется так же, как если бы договор не был досрочно прекращен.

5.5.6. При оценке ДПП, по учетной группе учитываются в том числе следующие виды денежных потоков:

5.5.6.1. входящие денежные потоки:

поступления страховых премий (страховых взносов) - в случае оценки ДПП;

поступления по суброгациям, регрессам и от реализации годных остатков, которые учитываются в прогнозе денежных потоков отдельно и не могут быть смешаны с другими денежными потоками;

5.5.6.2. исходящие денежные потоки:

страховые выплаты по договору страхования;

возврат части страховой премии при досрочном прекращении договора страхования - в случае оценки ДПП;

отчисления от страховой премии в фонды компенсационных выплат, осуществляемых в случаях, когда федеральными законами предусмотрено осуществление компенсационных выплат за счет средств профессиональных объединений страховщиков или иных организаций, на которые в соответствии с федеральными законами возложена обязанность осуществления компенсационных выплат (далее - отчисления от страховой премии в фонды компенсационных выплат), - в случае оценки ДПП;

расходы, указанные в подпункте 5.3.9 пункта 5.3 настоящего Положения (в случае оценки не учитываются расходы на заключение и сопровождение договоров страхования);

расходы на сопровождение договоров исходящего перестрахования, в соответствии с условиями которых перестраховываются основные договоры, относящиеся к учетной группе, - в случае оценки ДПП;

налоговые платежи, по которым страховщик является налоговым агентом по НДФЛ при выплате страхового возмещения.

5.5.7. При оценке РПВУ учитываются в том числе следующие виды денежных потоков:

5.5.7.1. входящие денежные потоки: поступления в рамках соглашения о прямом возмещении убытков (получение возмещения от страховщика, который застраховал ответственность лица, причинившего вред, или профессионального объединения страховщиков);

5.5.7.2. исходящие денежные потоки:

прямое возмещение убытков;

расходы на исполнение обязательств по прямому возмещению убытков.

5.5.8. В случае если в положении о формировании страховых резервов по страхованию иному, чем страхование жизни, установлено, что по учетной группе (дополнительной учетной группе) поступления по суброгациям, регрессам и от реализации годных остатков не учитываются в величине страховых резервов, при построении прогноза денежных потоков не учитываются денежные потоки по суброгациям, регрессам и от реализации годных остатков, и величина ОРСФ равна нулю.

5.6. Страховщик при формировании страховых резервов должен осуществлять следующее методическое обеспечение расчета доли перестраховщиков в страховых резервах.

5.6.1. При расчете доли перестраховщиков в страховых резервах строится прогноз денежных потоков по договору исходящего перестрахования, за исключением случая, когда такая доля оценивается в соответствии с требованиями подпункта 5.6.7 настоящего пункта.

Прогноз денежных потоков строится по каждому учитываемому в расчете договору исходящего перестрахования путем применения условий договора перестрахования к прогнозу денежных потоков по основным договорам страхования, используемому при оценке величины страховых резервов в соответствии с подпунктом 5.3.1 пункта 5.3 настоящего Положения. При построении прогноза денежных потоков не используются денежные потоки, признаваемые в составе активов и обязательств, аналитический учет которых осуществляется по балансовым счетам в соответствии с Планом счетов бухгалтерского учета для некредитных финансовых организаций, за исключением денежных потоков, признаваемых в составе активов и обязательств страховой организации, образующихся в связи с заключением, изменением, прекращением, в том числе досрочным, договоров исходящего перестрахования. (в ред. Указания ЦБ РФ от 22.09.2022 N 6252-У)

Для каждого денежного потока прогноз денежного потока по договору исходящего перестрахования должен содержать характеристики денежных потоков, указанные в абзаце шестом подпункта 5.3.1 пункта 5.3 настоящего Положения.

5.6.2. При построении денежного потока по договору исходящего перестрахования по страхованию иному, чем страхование жизни, размер денежных потоков, входящих в прогноз денежных потоков по основным договорам страхования и используемых при расчете , умножается на отношение по соответствующей учетной группе.

5.6.3. Величина доли перестраховщиков в резерве премий (резерве убытков, РПВУ) по учетной группе принимается равной сумме величин долей перестраховщиков в резерве премий (резерве убытков, РПВУ) по договорам исходящего перестрахования, основные договоры по которым относятся к соответствующей учетной группе.

Величина доли перестраховщиков в резерве премий (резерве убытков, РПВУ) по договору исходящего перестрахования по учетной группе принимается равной сумме наилучшей оценки приведенной стоимости всех денежных потоков, входящих в прогноз денежных потоков по этому договору исходящего перестрахования, полученных путем применения условий этого договора перестрахования к прогнозу денежных потоков по основным договорам страхования, используемых для оценки ДПП (ДПУ, РПВУ) для данной учетной группы (за исключением денежных потоков, предусмотренных подпунктом 5.6.5 настоящего пункта) (далее соответственно - вспомогательные величины , , ), и корректировки на риск неплатежа по договору исходящего перестрахования по учетной группе по резерву премий (резерву убытков, РПВУ) (далее соответственно - вспомогательные величины КРНП, КРНУ, КРНПВУ), рассчитанной в соответствии с подпунктом 5.6.6 настоящего пункта.

Величина доли перестраховщиков в резерве премий (резерве убытков), учитываемая (не учитываемая) при определении показателя нормативного размера маржи платежеспособности, рассчитываемого в соответствии с пунктом 6.3 настоящего Положения, по учетной группе определяется как сумма величин долей перестраховщиков в резерве премий (резерве убытков) по учетной группе по договорам исходящего перестрахования, признаваемым (не признаваемым) передающими страховой риск согласно требованиям подпункта 6.3.4 настоящего пункта, основные договоры по которым относятся к соответствующей учетной группе. Величина доли перестраховщиков в резерве премий (резерве убытков), в том числе учитываемая при определении нормативного размера маржи платежеспособности, рассчитываемой в соответствии с пунктом 6.3 настоящего Положения, по учетной группе не может быть более ДПП (ДПУ) по этой учетной группе.

Величина доли перестраховщика в страховых резервах рассчитывается как сумма величин доли этого перестраховщика в резерве премий, резерве убытков и РПВУ по всем учетным группам.

5.6.4. При оценке величины доли перестраховщиков в резерве премий (резерве убытков) учитываются в том числе следующие виды денежных потоков:

5.6.4.1. входящие денежные потоки:

страховые выплаты по договору исходящего перестрахования в размере, не превышающем размер, заявленный страховщиком (перестрахователем);

возмещение перестраховщиком доли перестраховщиков в расходах на ведение дела страховщика (если предусмотрено договором перестрахования);

перестраховочное вознаграждение, не связанное с восстановительной премией по договору исходящего перестрахования, - в случае оценки доли перестраховщиков в резерве премий;

денежные потоки по тантьемам - в случае оценки доли перестраховщиков в резерве премий;

5.6.4.2. исходящие денежные потоки:

страховая премия по договорам исходящего перестрахования - в случае оценки доли перестраховщиков в резерве премий;

восстановительная премия по договорам исходящего перестрахования (при наличии);

доля перестраховщиков в поступлениях по суброгациям и регрессам и от реализации годных остатков;

денежные потоки, связанные с исполнением обязательств перестрахователя по уплате перестраховщику дополнительных платежей, зависящих от разницы между доходами и расходами перестраховщика по заключенному между ними договору перестрахования или группе таких договоров за определенный период времени, - в случае оценки доли перестраховщиков в резерве премий.

5.6.5. В расчет прогноза денежных потоков не включаются:

нереализованные (невыплаченные и (или) неполученные) денежные потоки, срок платежей по которым в соответствии с условиями договора исходящего перестрахования наступил до расчетной даты;

реализованные (выплаченные и (или) полученные) денежные потоки, срок платежей по которым в соответствии с условиями договора исходящего перестрахования наступил до расчетной даты;

входящие денежные потоки, не связанные с учитываемыми в расчете основными договорами;

денежные потоки по договорам исходящего перестрахования, если такие потоки обусловлены денежными потоками по основным договорам, которые уже получены или уплачены страховщиком;

денежные потоки в части обязательств перестрахователя по оплате части страховой премии по договору исходящего перестрахования, оплату которой перестрахователь имеет право отсрочить в соответствии с условиями договора исходящего перестрахования <1> в качестве гарантии исполнения обязательств перестраховщика по указанному договору (далее - депо премий), а также в указанной выше части, размер которой определяется в зависимости от доли перестраховщика в резервах убытков перестрахователя (далее - депо убытков);

<1> Пункт 1 статьи 954, пункт 2 статьи 967 Гражданского кодекса Российской Федерации (Собрание законодательства Российской Федерации, 1996, N 5, ст. 410).

денежные потоки по исполнению обязательств перестрахователя по уплате перестраховщику дополнительных платежей, зависящих от разницы между доходами и расходами перестраховщика по заключенному между ними договору перестрахования или группе таких договоров за определенный в договоре исходящего перестрахования период времени, на расчетную дату, которые не могут быть признаны расходом страховщика в соответствии с Положением Банка России от 2 сентября 2015 года N 487-П "Отраслевой стандарт бухгалтерского учета доходов, расходов и прочего совокупного дохода некредитных финансовых организаций", зарегистрированным Минюстом России 9 октября 2015 года, регистрационный N 39282, с изменениями, внесенными Указаниями Банка России от 20 мая 2016 года N 4022-У (зарегистрировано Минюстом России 8 июня 2016 года, регистрационный N 42473), от 7 ноября 2016 года N 4178-У (зарегистрировано Минюстом России 20 декабря 2016 года, регистрационный N 44832), от 25 сентября 2017 года N 4541-У (зарегистрировано Минюстом России 13 ноября 2017 года, регистрационный N 48865), от 22 марта 2018 года N 4746-У (зарегистрировано Минюстом России 13 апреля 2018 года, регистрационный N 50764), от 21 июня 2021 года N 5823-У (зарегистрировано Минюстом России 22 июля 2021 года, регистрационный N 64338), от 14 сентября 2022 года N 6237-У (зарегистрировано Минюстом России 19 октября 2022 года, регистрационный N 70620); (в ред. Указания ЦБ РФ от 22.09.2022 N 6252-У)

денежные потоки по возврату страховой премии (ее части) при досрочном прекращении договора исходящего перестрахования, если дата досрочного прекращения наступила до расчетной даты;

нереализованные денежные потоки по доле перестраховщиков в поступивших страховщику денежных средствах по суброгациям, регрессам и от реализации годных остатков.

5.6.6. Вспомогательные величины КРНП, КРНУ, КРНПВУ определяются по формуле:

,

где:

PD - вероятность дефолта, определенная по таблице 1 приложения 2 к настоящему Положению исходя из группы кредитного качества перестраховщика;

- величина , уменьшенная на произведение суммы депо премий и депо убытков по договору исходящего перестрахования на расчетную дату, и отношения по договору исходящего перестрахования по учетной группе к сумме по всем учетным группам, к которым относятся основные договоры;

j - порядковый номер очередного денежного потока, учитываемого в оценке , с расчетной даты;

J - число денежных потоков, учитываемых в оценке , с расчетной даты;

- величина приведенной стоимости денежного потока j в российских рублях;

- вероятность реализации денежного потока j;

- дата денежного потока;

d - расчетная дата.

5.6.7. В случае если по учетным группам 1 - 17, к которым относятся основные договоры, в отношении которых заключен рассматриваемый договор исходящего перестрахования, доступны данные о страховых выплатах более чем за установленное пунктом 6 приложения 3 к настоящему Положению число кварталов, величина заработанной премии во всех этих кварталах положительна, в течение указанного периода условия договоров исходящего перестрахования не изменялись или совпадали (за исключением условий о размере страховой премии по договору исходящего перестрахования и величине перестраховочного вознаграждения) и использование такого подхода предусмотрено положением о формировании страховых резервов, то величины и по рассматриваемому договору перестрахования по учетной группе определяются по формулам:

;

,

где:

ДПП, ДПУ и определяются по учетной группе;

НО1 - наилучшая оценка приведенной стоимости денежных потоков, которые включают денежные потоки, входящие в прогноз денежных потоков по учетной группе, предусмотренный подпунктом 5.3.1 пункта 5.3 настоящего Положения, и используемые в оценке ДПП, и денежные потоки, входящие в прогноз денежных потоков по рассматриваемому договору исходящего перестрахования, предусмотренный подпунктом 5.6.1 настоящего пункта, и используемые при оценке доли перестраховщиков в резерве премий;

НО2 - наилучшая оценка приведенной стоимости денежных потоков, которые включают денежные потоки, входящие в прогноз денежных потоков по учетной группе, предусмотренный подпунктом 5.3.1 пункта 5.3 настоящего Положения, и используемые в оценке ДПУ, и денежные потоки, входящие в прогноз денежных потоков по рассматриваемому договору исходящего перестрахования, предусмотренный подпунктом 5.6.1 настоящего пункта, и используемые при оценке доли перестраховщиков в резерве убытков.

5.7. При формировании страховых резервов, расчете доли перестраховщиков в страховых резервах, расчете ОДП используются данные, предположения и методы, отвечающие следующим признакам.

5.7.1. Используемые при расчете страховых резервов, доли перестраховщиков в страховых резервах, ОДП данные должны быть достоверны. Погрешность данных, приводящая к расхождению в результатах расчетов страховых резервов, доли перестраховщиков в страховых резервах, а также ОДП, в том числе по учетным группам, в пределах трех процентов признается находящейся в пределах статистической достоверности.

5.7.2. Для расчета страховых резервов, доли перестраховщика в страховых резервах, ОДП за различные временные периоды используются сопоставимые данные, предположения и методы.

5.7.3. Данные должны быть применимы к расчету страховых резервов, доли перестраховщиков в страховых резервах и ОДП, для которых они используются. Используемые данные, предположения и методы построения прогноза денежных потоков, прогноза денежных потоков по договору исходящего перестрахования должны быть согласованы между собой, в том числе имеющийся объем данных должен позволять использовать такие методы.

5.7.4. Данные должны отражать страховые, валютные, финансовые и иные риски, принятые страховщиком исходя из условий договоров страхования.

5.7.5. Для расчета страховых резервов, доли перестраховщиков в страховых резервах и ОДП используются данные и величины, порядок расчета которых определен настоящим Положением, а также сведения об осуществляемой страховщиком деятельности. Страховщик, принявший страховой портфель, для целей расчета страховых резервов, использует также все документы и информацию, касающиеся принятого страхового портфеля, предоставленные ему передающим страховой портфель страховщиком. Данные из иных источников используются при одновременном выполнении следующих условий:

использование таких данных дает более точную величину страховых резервов, доли перестраховщиков в них, ОДП;

страховщику известны предположения и методология сбора и обработки данных;

страховщик учитывает изменения в структуре данных, предположениях и методологии их сбора и обработки.

5.7.6. Страховщик использует модели для генерации данных о ценах активов (размере обязательств), которые:

генерируют цены, соответствующие рыночной стоимости таких активов;

не должны предполагать арбитражных возможностей.

5.8. Страховщик при формировании страховых резервов должен соблюдать следующие требования к положению о формировании страховых резервов.

5.8.1. Положение о формировании страховых резервов должно содержать:

порядок распределения договоров страхования по учетным группам и дополнительным учетным группам (при наличии);

описание модели разделения (математических методов, формул расчета, предположений), использованной для калибровки модели разделения наблюдаемой статистики страховщика, сведения о выполнении условий применения модели разделения, указанных в подпунктах 5.1.6.2 и 5.1.6.4 пункта 5.1 настоящего Положения;

методику расчета ОДП;

резервный базис по каждой учетной группе;

описание методов, формулы расчета страховых резервов и условия их применения, в том числе с указанием страховых рисков, к которым применяются указанные методы и формулы по каждому виду резервов, по каждой учетной группе;

описание методов, формулы расчета доли перестраховщиков в страховых резервах и условия их применения по каждому виду резервов, по каждой учетной группе, в зависимости от условий договоров исходящего перестрахования;

описание страховых рисков по каждой учетной группе;

перечень показателей, используемых для расчета страховых резервов, доли перестраховщиков в страховых резервах, ОДП с учетом страховых рисков и рекомендаций актуария по сбору данных, указанных в абзаце тринадцатом подпункта 5.9.8 пункта 5.9 настоящего Положения (в том числе перечень показателей журнала учета договоров страхования, указанный в подпунктах 5.9.2 и 5.9.3 пункта 5.9 настоящего Положения, журнала учета убытков, указанного в подпунктах 5.9.4 и 5.9.5 пункта 5.9 настоящего Положения, журнала учета договоров исходящего перестрахования, указанного в подпункте 5.9.6 пункта 5.9 настоящего Положения), источники данных для этих показателей (в том числе источники данных таблиц смертности, заболеваемости, инвалидности, если они применяются в расчете страховых резервов) и порядок сбора данных о значениях этих показателей (далее - данные для показателей), включая периодичность сбора, описание процедуры корректировки ошибок в данных;

процедуры контроля качества данных для показателей и процедуры контроля включения в них информации по всем договорам страховщика;

предположения и алгоритмы, используемые для обработки данных для показателей, в зависимости от цели и метода их использования;

процедуры корректировки данных для показателей (если такие корректировки используются);

перечень видов входящих и исходящих денежных потоков, которые учитываются при оценке ДПП, ДПУ, , РВПУ, величины доли перестраховщиков в резерве премий (резерве убытков, РВПУ);

порядок пересчета денежного потока в российские рубли;

реквизиты писем Банка России о согласовании методов расчета страховых резервов, отличающихся от предусмотренных настоящим Положением методов (при наличии);

формы журналов, указанных в подпункте 5.9.1 пункта 5.9 настоящего Положения, и порядок внесения в них сведений;

порядок распределения величины страховых резервов и доли перестраховщиков в страховых резервах по валютам, в том числе для целей оценки валютного риска;

основную валюту для каждой учетной группы (основной валютой является валюта страховой суммы по договорам страхования, по которым за предшествующие расчетной дате двенадцать месяцев величина заработанной страховой премии составляет наибольшую часть от величины заработанной страховой премии по этой учетной группе; если одновременно несколько валют удовлетворяют такому условию, то основная валюта определяется по выбору страховщика).

5.8.2. Положение о формировании страховых резервов страховщиков, осуществляющих страхование жизни, должно дополнительно содержать:

порядок расчета и начисления негарантированных выплат и обязательств страховой организации, учитываемых в резерве инвестиционных обязательств;

порядок определения части страховой премии, относимой к риску дожития.

5.8.3. Положение о формировании страховых резервов страховщиков, осуществляющих страхование иное, чем страхование жизни, должно дополнительно содержать:

порядок определения даты события, инициирующего страховой случай, для каждой учетной группы (дополнительной учетной группы) (если событие, инициирующее страховой случай, используется актуарием в расчетах), предусматривающий однозначное определение даты наступления такого события и единообразное его отнесение к одному периоду действия страхового покрытия для всех расчетов;

порядок расчета показателей СтР по учетным группам 1, 2, 4, 6, 7, 10, 12 - 14, 16, 17, СУ(i), используемых для расчета показателя РМ в соответствии с требованиями приложения 5 к настоящему Положению, предусматривающий, что величина СтР по учетной группе не может превышать величину стабилизационного резерва по этой учетной группе по данным отчетности, предоставленной страховщиком в Банк России по состоянию на 31 декабря 2022 года, и не может превышать вспомогательную величину СтР по этой учетной группе по состоянию на предыдущую расчетную дату;

количество кварталов, за которые рассматриваются данные о страховых выплатах для расчета вспомогательной величины ДПУФ, определяемой в соответствии с приложением 3 к настоящему Положению (величина N), по каждой учетной группе;

количество кварталов, за которые рассматриваются данные о поступлениях по суброгациям, регрессам и от реализации годных остатков для расчета вспомогательной величины ОРСФ, определяемой в соответствии с приложением 4 к настоящему Положению (величина M), по учетным группам 3 и 7;

перечень договоров исходящего перестрахования с указанием номеров (уникальных идентификаторов), в отношении которых используется подход, указанный в подпункте 5.6.7 пункта 5.6 настоящего Положения.

5.8.4. Положение о формировании страховых резервов должно включать параметры и вспомогательные показатели (величины), определяемые до начала формирования страховщиком страховых резервов, расчета доли перестраховщика в страховых резервах, ОДП.

5.9. Страховщик при формировании страховых резервов должен соблюдать следующие требования к документам, содержащим сведения, необходимые для расчета страховых резервов, и сроки хранения таких документов.

5.9.1. Для расчета страховых резервов страховщик ведет базы данных информационных систем на электронных носителях. Базы данных информационных систем должны обеспечивать формирование журнала учета договоров страхования, журнала учета убытков, журнала учета договоров исходящего перестрахования.

Документы по договору страхования, исходящего перестрахования, подтверждающие сведения, необходимые для расчета страховых резервов и доли перестраховщиков в них, в том числе документы, подтверждающие указанные в журналах сведения, должны содержаться в базах данных информационных систем страховщика, предусмотренных пунктом 1 статьи 29.1 Закона Российской Федерации "Об организации страхового дела в Российской Федерации" (Ведомости Съезда народных депутатов Российской Федерации и Верховного Совета Российской Федерации, 1993, N 2, ст. 56; Собрание законодательства Российской Федерации, 1998, N 1, ст. 4; 2016, N 26, ст. 3891; 2021, N 27, ст. 5171).

5.9.2. В журнале учета договоров страхования для каждого договора страхования указываются:

номер (уникальный идентификатор) договора страхования (полиса);

фамилия, имя, отчество (последнее при наличии) страхователя, если страхователь - физическое лицо, и полное или сокращенное наименование, организационно-правовая форма, идентификационный номер налогоплательщика, если страхователь - юридическое лицо;

для личного страхования - дата рождения и пол застрахованного лица, в случае если договором страхования предусмотрено предоставление таких данных;

дата заключения договора страхования и даты его изменения (при наличии);

срок действия договора страхования;

даты начала и окончания всех периодов действия страхового покрытия;

дата досрочного прекращения договора (при наличии);

описание страховых рисков (страховых случаев);

размеры страховых сумм;

размер и дата уплаты страховой премии (страховых взносов) по договору страхования (фактические и согласно условиям договора страхования);

размер, дата и вид всех платежей по оплате прямых расходов на заключение договоров страхования (фактические и согласно условиям договоров);

размер и дата уплаты отчислений в фонды компенсационных выплат (как произведенных, так и планируемых страховщиком);

размер и дата осуществления возврата страховой премии (ее части) в связи с досрочным прекращением договоров страхования (как осуществленных, так и ожидаемых (при наличии).

5.9.3. В журнале учета договоров страхования для каждого договора страхования жизни дополнительно указываются:

значения повышающих и понижающих коэффициентов, применяемых при расчете страховых резервов, отражающих обстоятельства, имеющие существенное значение для страхового риска (при наличии);

размеры, сроки, периодичность осуществления страховых выплат согласно условиям договора страхования жизни;

размеры и сроки начисленных дополнительных выплат.

5.9.4. В журнале учета убытков для каждого заявленного страховщику страхового случая указываются:

номер (уникальный идентификатор) договора страхования (полиса);

номер (уникальный идентификатор) страхового случая;

дата поступления уведомления о наступлении страхового случая (заявления об осуществлении страховой выплаты);

дата наступления страхового случая;

дата наступления события, инициирующего страховой случай, если событие, инициирующее страховой случай, используется актуарием в расчетах;

страховой риск, по которому наступил страховой случай;

размер обязательств страховщика по осуществлению страховой выплаты, а также сведения о его пересмотре в процессе рассмотрения уведомления о наступлении страхового случая (заявления об осуществлении страховой выплаты) (дата и размер);

размер и дата страховой выплаты по договору перестрахования, в том числе планируемой (фактические и согласно условиям соответствующих договоров);

размер и дата осуществления страховой выплаты;

дата отказа в страховой выплате;

дата поступления предварительного уведомления, содержащего сведения о требовании потерпевшего, об обстоятельствах причинения вреда в связи с повреждением имущества потерпевшего в результате дорожно-транспортного происшествия, о предполагаемом размере выплаты по прямому возмещению убытков (далее - предварительное уведомление);

дата поступления требования об оплате возмещенного вреда в рамках прямого возмещения убытков;

дата направления потерпевшему мотивированного отказа в страховом возмещении в рамках прямого возмещения убытков;

размер перешедших к страховщику прав в порядке суброгации или регресса по урегулированным до расчетной даты страховым случаям с указанием даты вступившего в силу решения суда о взыскании выплаченного страхового возмещения (при наличии);

размер обязательств страховщика по договору исходящего перестрахования по уплате перестраховщику его доли в поступлениях по суброгациям, регрессам по урегулированным до расчетной даты страховым случаям с указанием дат возникновения таких обязательств;

размер обязательств страховщика по договору исходящего перестрахования по выплате доли перестраховщика в доходах от реализации годных остатков по урегулированным до расчетной даты страховым случаям с указанием дат возникновения таких обязательств;

размер и дата поступлений по суброгациям, регрессам и от реализации годных остатков;

размер и дата уплаты страховщиком перестраховщику доли в поступлениях по суброгациям, регрессам и от реализации годных остатков;

размер и дата уплаты прямых расходов на исполнение обязательств по страховым случаям;

размер и дата получения страховщиком страховой выплаты по договору исходящего перестрахования в части возмещения прямых расходов на исполнение обязательств по страховому случаю.

5.9.5. В журнале убытков для каждого заявленного страховщику страхового случая по договору страхования жизни дополнительно указываются:

размер и дата производства негарантированных и дополнительных выплат;

размер и дата выплаты выкупной суммы.

5.9.6. В журнале учета договоров для каждого договора исходящего перестрахования указываются:

номер (уникальный идентификатор) договора исходящего перестрахования;

форма перестрахования: облигаторное, факультативное, факультативно-облигаторное, облигаторно-факультативное;

для факультативного перестрахования - номера основных договоров страхования;

для облигаторного перестрахования - способ идентификации основных договоров и база покрытия - календарный или страховой год;

вид пропорционального (квотный, эксцедент сумм, иное) или непропорционального (эксцедент убытка, эксцедент убыточности, иное) перестрахования;

все условия договора исходящего перестрахования, используемые для построения прогноза денежных потоков по договору исходящего перестрахования в соответствии с пунктом 5.6 настоящего Положения, в том числе объем ответственности перестраховщика (доля), перестраховочное вознаграждение, подписные линии и лимиты перестрахования;

дата начала признания договора исходящего перестрахования;

применимое право, если договор исходящего перестрахования заключен в соответствии с нормами иностранного права;

срок действия договора исходящего перестрахования;

даты начала и окончания всех периодов действия страхового покрытия;

дата досрочного прекращения договора;

размер, срок, периодичность, направление, получатель всех платежей, связанных с уплатой, возвратом или перерасчетом страховой премии по договору исходящего перестрахования, а также перестраховочного вознаграждения (фактические и согласно условиям договора исходящего перестрахования);

даты изменений условий договора исходящего перестрахования (при наличии);

размер и дата перерасчета страховой премии по договору исходящего перестрахования в связи с его изменением;

сведения о соответствии договора исходящего перестрахования требованиям, указанным в абзаце втором подпункта 6.3.4.2 пункта 6.3 настоящего Положения;

сведения о соответствии договора исходящего перестрахования требованиям, указанным в абзаце третьем подпункта 6.3.4.2 пункта 6.3 настоящего Положения;

величины ОДП, ОП, Р(АР<0), |Е(АР|АР<0)|, рассчитываемые в соответствии с требованиями подпункта 6.3.4.3 пункта 6.3 настоящего Положения, и дата расчета этих величин (если величина ОДП была рассчитана страховщиком);

сведения о соответствии договора исходящего перестрахования требованию, указанному в подпункте 6.3.4.3.2 пункта 6.3 настоящего Положения;

сведения о соответствии договора исходящего перестрахования требованию, указанному в подпункте 6.3.4.3.3 пункта 6.3 настоящего Положения;

прогнозы, указанные в абзацах четвертом и пятом подпункта 6.3.5 пункта 6.3 настоящего Положения.

5.9.7. Запись в журнале должна позволять идентифицировать договор страхования, договор исходящего перестрахования, страховой случай, с которыми она связана.

5.9.8. Результат актуарных расчетов должен содержать описание на расчетную дату расчета страховых резервов и доли перестраховщиков в них, расчета ОДП, обоснование выбранных методов актуарных расчетов, актуарных моделей, описание предположений и суждений, а также значения параметров, использованных в расчете. В результат актуарных расчетов включаются в том числе:

сведения об актуарии, подготовившем отчет, и о саморегулируемой организации актуариев, членом которой он является;

название и идентификационный номер налогоплательщика страховщика, в отношении которого производится расчет страховых резервов;

расчетная дата и дата составления отчета актуария;

сведения о проведенных проверках данных для показателей, результаты этих проверок, а также выявленные недостатки таких данных, используемых при расчете ОДП, страховых резервов и доли перестраховщиков в страховых резервах;

обоснование процедур корректировки данных для показателей, если такая корректировка была проведена;

обоснование выбора и описание методов расчета страховых резервов и доли перестраховщиков в страховых резервах;

обоснование выбора уровня досрочных прекращений договоров страхования, уровня расходов на ведение дела, обоснование предположения об уменьшении уровня расходов относительно наблюдаемой статистики, относящейся к страховщику (при наличии), а также иных предположений, использованных при расчете страховых резервов;

обоснование порядка определения даты наступления события, инициирующего страховой случай, отличной от даты страхового случая, если событие, инициирующее страховой случай, используется актуарием в расчетах;

сведения об изменениях используемых методов и предположений по сравнению с расчетом на предыдущую расчетную дату и на конец года, предшествующего расчетной дате, и обоснование таких изменений с указанием в случае изменения используемых методов и предположений результатов анализа чувствительности расчета страховых резервов, доли перестраховщиков в страховых резервах, ОДП к использованным предположениям в разрезе учетных групп (дополнительных учетных групп);

перечень возможных событий, которые по мнению актуария могут оказать наибольшее влияние на изменение рассчитанных величин страховых резервов, доли перестраховщиков в страховых резервах и ОДП;

информацию о несоответствии данных для показателей, использованных при расчете страховых резервов, доли перестраховщиков в страховых резервах и ОДП, требованиям пункта 5.7 настоящего Положения, и о влиянии такого несоответствия на расчет;

рекомендации актуария, направленные на повышение качества оценки, относящиеся к следующему периоду, в том числе о необходимости сбора данных для показателей, необходимых для расчета страховых резервов, доли перестраховщика в страховых резервах, ОДП, или о возможности прекращения сбора отдельных данных для показателей;

значения расчетных показателей и обоснование выбора предположений, предусмотренных подпунктами 5.8.1 - 5.8.3 пункта 5.8 настоящего Положения, которые определяются только в процессе расчета страховых резервов и доли перестраховщиков в них;

подпись актуария, составляющего отчет.

5.9.9. Результат актуарных расчетов на расчетную дату, приходящуюся на конец календарного квартала, дополнительно должен содержать:

результаты проведенного ретроспективного анализа достаточности ДПУНО на предыдущие расчетные даты для осуществления страховых выплат по каждой учетной группе (дополнительной учетной группе) и по всем учетным группам в целом;

результаты проведенного анализа чувствительности расчета страховых резервов, доли перестраховщиков в страховых резервах, ОДП к использованным методам и предположениям в разрезе учетных групп (дополнительных учетных групп).

5.9.10. Результат актуарных расчетов, а также документы, содержащие сведения и данные, использованные для расчета страховых резервов, хранятся страховщиком на территории Российской Федерации не менее пяти лет с даты расчета. Страховщик должен обеспечить создание резервных копий результата актуарных расчетов, а также документов, содержащих сведения и данные, использованные для расчета страховых резервов, созданных в форме электронных документов.

5.10. Страховщик при формировании страховых резервов должен соблюдать следующий порядок согласования с Банком России методов расчета страховых резервов, которые отличаются от предусмотренных настоящей главой.

5.10.1. Страховщик по согласованию с Банком России может применять отличные от предусмотренных настоящей главой методы расчета страховых резервов (далее - иные методы), за исключением:

методов, учитывающих отличные от указанной в подпункте 5.3.14 пункта 5.3 настоящего Положения ставки доходности;

методов, предусматривающих отличные от указанных в подпунктах 5.1.3 и 5.1.4 пункта 5.1 настоящего Положения учетные группы.

5.10.2. Для согласования иных методов страховщик должен представить в Банк России:

описание методов расчета страховых резервов, которые страховщик планирует применять при формировании страховых резервов;

документы и расчеты, обосновывающие использование предлагаемых страховщиком методов в целях достижения большей точности при расчете страховых резервов, чем предусмотрено настоящей главой.

5.10.3. Решение о согласовании или об отказе в согласовании иных методов принимается Банком России по результатам рассмотрения представленных страховщиком документов в течение 30 рабочих дней со дня их получения Банком России.

5.10.4. Основанием для отказа Банком России в согласовании иных методов является непредставление указанных в подпункте 5.10.2 настоящего пункта документов и расчетов или предоставление недостоверной информации.

5.10.5. В случае принятия Банком России решения о согласовании иных методов страховщик должен внести сведения об этом в положение о формировании страховых резервов.

5.10.6. В случае если в расчете страховых резервов не применяются ранее согласованные иные методы, страховщик вносит изменения в положение о формировании страховых резервов.

5.10.7. В случае применения страховщиком согласованных с Банком России иных методов страховщик обязан по запросу Банка России в срок, установленный им, представлять на даты, указанные в запросе, документы и расчеты, предусмотренные подпунктом 5.10.2 настоящего пункта.

В случае непредоставления страховщиком в срок, установленный в запросе Банка России, документов и расчетов, предусмотренных подпунктом 5.10.2 настоящего пункта, страховщик не может применять иные методы.

5.10.8. Документы и расчеты, предусмотренные подпунктом 5.10.2 настоящего пункта, должны предоставляться страховщиком в Банк России вместе с сопроводительным письмом в форме электронных документов, подписанных усиленной квалифицированной электронной подписью уполномоченного лица страховщика, посредством личного кабинета, ссылка на который размещена на официальном сайте Банка России в информационно-телекоммуникационной сети "Интернет", в форме электронных документов, подписанных усиленной квалифицированной электронной подписью лица, осуществляющего функции единоличного исполнительного органа страховой организации, либо уполномоченного им лица, в соответствии с порядком, определенным на основании статьи 76.9 Федерального закона "О Центральном банке Российской Федерации (Банке России)" (Собрание законодательства Российской Федерации, 2002, N 28, ст. 2790; 2015, N 29, ст. 4357; 2021, N 27, ст. 5187).

Глава 6. Расчет нормативного соотношения собственных средств (капитала) и принятых обязательств

6.1. Нормативное соотношение собственных средств (капитала) и принятых обязательств страховой организации (НС) (далее - нормативное соотношение) рассчитывается по формуле:

,

где:

К - величина собственных средств (капитала), определяемая в соответствии с главой 1 настоящего Положения;

СЗ - остаточная стоимость полученных страховой организацией субординированных займов, определяемая в соответствии с требованиями пункта 6.2 настоящего Положения;

МРУК - минимальный размер уставного капитала страховой организации, определенный в соответствии с пунктом 3 статьи 25 Закона Российской Федерации "Об организации страхового дела в Российской Федерации" (Ведомости Съезда народных депутатов Российской Федерации и Верховного Совета Российской Федерации, 1993, N 2, ст. 56; Собрание законодательства Российской Федерации, 1998, N 1, ст. 4; 2021, N 27, ст. 5171);

НРМП - нормативный размер маржи платежеспособности, определяемый в соответствии с пунктом 6.3 настоящего Положения;

РК - величина оценки влияния рисков на собственные средства (капитал), определяемая в соответствии с пунктами 6.4 и 6.5 настоящего Положения.

6.2. Остаточная стоимость полученных страховой организацией субординированных займов определяется по формуле:

,

где:

ЧТ - число непогашенных траншей субординированных займов, полученных страховой организацией;

- непогашенная номинальная стоимость (сумма) i-го транша субординированного займа;

- количество полных месяцев до даты погашения i-го транша субординированного займа (0 - в течение первых трех месяцев с даты привлечения).

Страховая организация определяет подлежащие учету при расчете нормативного соотношения полученные ею субординированные займы и величину, в которой соответствующий субординированный заем подлежит учету, во внутреннем документе.

6.3. Показатель НРМП равен сумме нормативного размера маржи платежеспособности по страхованию жизни и нормативного размера маржи платежеспособности по страхованию иному, чем страхование жизни.

6.3.1. Нормативный размер маржи платежеспособности страховой организации по страхованию жизни (Nж) определяется по формуле:

,

где:

i - номер учетной группы в соответствии с подпунктом 5.1.4 пункта 5.1 настоящего Положения;

, - показатели, определенные в соответствии с требованиями подпунктов 5.3.2 и 5.3.3 пункта 5.3 настоящего Положения, подпунктов 5.4.2 - 5.4.4 пункта 5.4 настоящего Положения, а также подпункта 5.5.3 пункта 5.5 настоящего Положения, по учетной группе i;

- вспомогательная величина, определяемая по формуле:

,

где:

() - величина доли перестраховщиков в резерве премий (в резерве убытков), учитываемая при определении показателя НРМП, по учетной группе i, рассчитываемая в соответствии с требованиями пункта 5.6 настоящего Положения.

6.3.2. Нормативный размер маржи платежеспособности (N) страховой организации по страхованию иному, чем страхование жизни, определяется по формуле:

.

6.3.2.1. Показатель рассчитывается по формуле:

,

где:

i - номер учетной группы в соответствии с подпунктом 5.1.3 пункта 5.1 настоящего Положения;

- поправочный коэффициент по учетной группе i, рассчитанный в соответствии с подпунктом 6.3.2.4 настоящего пункта.

- первый показатель по учетной группе i, рассчитанный по формуле:

,

где:

j - договор страхования (кроме договоров, обязательства по которым переданы в составе переданного страхового портфеля), признанный в соответствии с подпунктом 5.1.10 пункта 5.1 настоящего Положения в предшествующие расчетной дате 12 месяцев включительно или признанный ранее, но действующий по состоянию на расчетную дату, отнесенный в соответствии с подпунктом 5.1.3 пункта 5.1 настоящего Положения к учетной группе i;

- страховая премия по договору страхования j за вычетом возвратов части страховой премии по этому договору, уменьшенная на сумму отчислений от страховых премий по договору j, осуществленных страховой организацией в соответствии со страховым законодательством Российской Федерации и правилами и стандартами профессиональных объединений, союзов, ассоциаций страховых организаций, к полномочиям которых относится аккумулирование производимых страховыми организациями отчислений от страховых премий, и обязательства страховой организации по возвратам страховых премий (страховых взносов) по договору страхования j;

- сумма периодов действия страхового покрытия по договору страхования j (в годах), округленная до целого числа в меньшую сторону в случае, если сумма составляет более одного года, и в большую сторону, если сумма составляет менее одного года.

6.3.2.2. Показатель определяется по формуле:

где:

i - номер учетной группы в соответствии с подпунктом 5.1.3 пункта 5.1 настоящего Положения;

- второй показатель по учетной группе i, рассчитываемый по данным за 36 месяцев, предшествующих расчетной дате, по договорам страхования (кроме договоров, обязательства по которым переданы в составе переданного страхового портфеля), отнесенным в соответствии с подпунктом 5.1.3 пункта 5.1 настоящего Положения к учетной группе i, и равный 23 процентам от одной трети неотрицательной суммы:

произведенных страховых выплат за вычетом поступлений по суброгациям, регрессам и от реализации годных остатков;

расходов на исполнение обязательств по страховым случаям;

изменения ДПУ и РПВУ по договорам страхования за вычетом изменения стоимости прав требований по суброгациям и регрессам и изменения стоимости активов в виде полученного страховой организацией застрахованного имущества (его годных остатков), от прав на которое страхователь (выгодоприобретатель) отказался в соответствии с пунктом 5 статьи 10 Закона Российской Федерации "Об организации страхового дела в Российской Федерации" (Ведомости Съезда народных депутатов Российской Федерации и Верховного Совета Российской Федерации, 1993, N 2, ст. 56; Собрание законодательства Российской Федерации, 1998, N 1, ст. 4; 2019, N 18, ст. 2212).

Страховая организация, у которой с даты получения первой лицензии на осуществление страхования, кроме лицензии на осуществление добровольного страхования жизни, до расчетной даты прошло менее трех лет (36 месяцев), или перестраховочная организация, у которой с даты получения лицензии на перестрахование до расчетной даты прошло менее трех лет (36 месяцев), не рассчитывает второй показатель.

6.3.2.3. Показатель рассчитывается как сумма вспомогательных величин СР, рассчитанных в соответствии с приложением 6 к настоящему Положению, по учетным группам 5 и 11.

6.3.2.4. Поправочный коэффициент рассчитывается на основе имеющихся данных за 12 месяцев, предшествующих расчетной дате по договорам, отнесенным в соответствии с подпунктом 5.1.3 пункта 5.1 настоящего Положения к учетной группе i, как отношение суммы:

произведенных страховых выплат за вычетом полученных или причитающихся к получению страховых выплат по договорам исходящего перестрахования, заключенным в отношении обязательств по таким страховым выплатам;

стоимости доли перестраховщиков в поступлениях по суброгациям, регрессам и от реализации годных остатков, определяемой по условиям договоров исходящего перестрахования, за вычетом поступлений по суброгациям, регрессам и от реализации годных остатков;

расходов на исполнение обязательств за вычетом возмещения перестраховщиками указанных расходов;

изменения ДПУ и РПВУ за вычетом изменения доли перестраховщиков в ДПУ и РПВУ, учитываемых при определении показателя НРМП;

изменения величины доли перестраховщиков в величине прав требований страховой организации по суброгациям и регрессам и в величине стоимости активов в виде полученного застрахованного имущества (его годных остатков), от прав на которое страхователь (выгодоприобретатель) отказался в соответствии с пунктом 5 статьи 10 Закона Российской Федерации "Об организации страхового дела в Российской Федерации", за вычетом суммы изменения стоимости прав требований страховой организации по суброгациям и регрессам и изменения стоимости активов в виде полученного застрахованного имущества (его годных остатков), от прав на которое страхователь (выгодоприобретатель) отказался в соответствии с пунктом 5 статьи 10 Закона Российской Федерации "Об организации страхового дела в Российской Федерации", за расчетный период;

к сумме:

произведенных страховых выплат за вычетом поступлений по суброгации, регрессам и от реализации годных остатков;

расходов на исполнение обязательств по страховым случаям;

изменения ДПУ и РПВУ по договорам страхования за вычетом изменения за период стоимости прав требований по суброгациям и регрессам и изменения стоимости активов в виде полученного страховой организацией застрахованного имущества (его годных остатков), от прав на которое страхователь (выгодоприобретатель) отказался в соответствии с пунктом 5 статьи 10 Закона Российской Федерации "Об организации страхового дела в Российской Федерации". При отсутствии в указанном периоде страховых выплат по договорам страхования по какой-либо учетной группе поправочный коэффициент по такой учетной группе принимается равным 1.

Для целей расчета поправочного коэффициента используются только договоры исходящего перестрахования, передающие страховой риск. При этом по учетной группе 3 используются только договоры исходящего перестрахования, заключенные в рамках соглашения о перестраховочном пуле, предусмотренного пунктом 3 статьи 21.1 Федерального закона "Об обязательном страховании гражданской ответственности владельцев транспортных средств". (в ред. Указания ЦБ РФ от 22.09.2022 N 6252-У)

В случае если числитель или знаменатель отношения в расчете Ki по какой-либо учетной группе принимает отрицательное значение, поправочный коэффициент по этой учетной группе принимается равным 1.

В случае если поправочный коэффициент по учетным группам 1 и 2 меньше 0,85, он принимается равным 0,85, если больше 1 - равным 1.

В случае если поправочный коэффициент по учетной группе 3 меньше 0,05, он принимается равным 0,05, если больше 1 - равным 1. (в ред. Указания ЦБ РФ от 22.09.2022 N 6252-У)

В случае если поправочный коэффициент по учетным группам 5, 11, 13 и 17 меньше 0,15, он принимается равным 0,15, если больше 1 - равным 1.

В случае если поправочный коэффициент по учетной группе 7 меньше 0,5, он принимается равным 0,5, если больше 1 - равным 1. (в ред. Указания ЦБ РФ от 22.09.2022 N 6252-У)

В случае если поправочный коэффициент по иным учетным группам меньше 0,3, он принимается равным 0,3, если больше 1 - равным 1. (в ред. Указания ЦБ РФ от 22.09.2022 N 6252-У)

6.3.2.5. Для расчета показателя Ki, указанного в подпункте 6.3.2.4 настоящего пункта, и вспомогательной величины СР, определенной в соответствии с требованиями приложения 6 к настоящему Положению, учитываются только договоры исходящего перестрахования, которые признаны передающими страховой риск согласно требованию подпункта 6.3.4 настоящего пункта:

для целей учета страховой премии по договору - на расчетную дату;

для целей учета величины доли перестраховщиков в произведенных выплатах и расходах на исполнение обязательств - на дату получения возмещения перестраховщиков или возникновения права требования включительно;

для целей учета величины доли перестраховщиков в поступлениях по суброгациям, регрессам и от реализации годных остатков - на дату оплаты указанной доли перестраховщику или признания обязательства по оплате указанной доли;

для целей учета величины доли перестраховщиков в величине прав требований по суброгациям и регрессам и величины доли перестраховщиков в стоимости активов в виде полученного застрахованного имущества (его годных остатков), от прав на которое страхователь (выгодоприобретатель) отказался в соответствии с пунктом 5 статьи 10 Закона Российской Федерации "Об организации страхового дела в Российской Федерации", - на дату признания обязательства по оплате доли.

6.3.3. Для страховых организаций, осуществляющих страхование ответственности туроператора в соответствии с Федеральным законом от 24 ноября 1996 года N 132-ФЗ "Об основах туристской деятельности в Российской Федерации" (Собрание законодательства Российской Федерации, 1996, N 49, ст. 5491; 2021, N 27, ст. 5180), а также принимающих в перестрахование обязательства по страховым выплатам по указанному в настоящем подпункте страхованию (далее - страхование ответственности туроператора), нормативный размер маржи платежеспособности увеличивается на сумму рассчитанных в отношении каждого туроператора превышений совокупного объема ответственности нетто-перестрахования по всем действующим на расчетную дату договорам страхования ответственности туроператора (в отношении каждого отдельного туроператора) над показателем, равным 10 процентам от величины собственных средств (капитала) страховой организации, определенной в соответствии с главой 1 настоящего Положения.

Совокупный объем ответственности нетто-перестрахования должен быть равным величине денежных средств, подлежащих выплате страховой организацией застрахованным лицам или выгодоприобретателям по договорам страхования, при условии одновременного наступления страховых случаев в размере страховой суммы по всем действующим на расчетную дату договорам страхования за вычетом долей перестраховщиков в таких выплатах, предусмотренных в заключенных страховой организацией договорах исходящего перестрахования, учитываемых при определении показателя НРМП.

6.3.4. Договор исходящего перестрахования признается на расчетную дату передающим страховой риск, если согласно действующим на расчетную дату условиям договора исходящего перестрахования он удовлетворяет одному из следующих условий:

6.3.4.1. договор исходящего перестрахования заключен в рамках перестраховочного пула <1> для перестрахования рисков гражданской ответственности владельца опасного объекта за причинение вреда в результате аварии на опасном объекте, гражданской ответственности перевозчика за причинение вреда жизни, здоровью, имуществу пассажиров, гражданской ответственности владельцев транспортных средств или ядерных рисков при условии солидарной ответственности участников пула, принимающих такие риски; (в ред. Указания ЦБ РФ от 22.09.2022 N 6252-У)

<1> Пункт 1 статьи 14.1 Закона Российской Федерации "Об организации страхового дела в Российской Федерации" (Ведомости Съезда народных депутатов Российской Федерации и Верховного Совета Российской Федерации, 1993, N 2, ст. 56; Собрание законодательства Российской Федерации, 1998, N 1, ст. 4; 2003, N 50, ст. 4858; 2013, N 30, ст. 4067).

6.3.4.2. договор исходящего перестрахования одновременно удовлетворяет следующим условиям:

не существует безусловного обязательства, размер которого зависит от сложившегося до даты определения размера такого обязательства финансового результата перестраховщика по договору и (или) группе договоров исходящего перестрахования <2>. Для целей настоящего абзаца финансовым результатом по договору исходящего перестрахования на определенную дату признается сумма денежных потоков, величина и срок платежа которых определены в соответствии с таким договором до этой даты;

<2> Пункт 1 статьи 13 Закона Российской Федерации "Об организации страхового дела в Российской Федерации" (Ведомости Съезда народных депутатов Российской Федерации и Верховного Совета Российской Федерации, 1993, N 2, ст. 56; Собрание законодательства Российской Федерации, 1998, N 1, ст. 4; 2018, N 32, ст. 5113).

является договором пропорционального перестрахования <3>;

<3> Пункт 9 статьи 13 Закона Российской Федерации "Об организации страхового дела в Российской Федерации" (Ведомости Съезда народных депутатов Российской Федерации и Верховного Совета Российской Федерации, 1993, N 2, ст. 56; Собрание законодательства Российской Федерации, 1998, N 1, ст. 4; 2013, N 30, ст. 4067).

6.3.4.3. договор исходящего перестрахования одновременно удовлетворяет следующим условиям:

6.3.4.3.1. актуарием страховой организации рассчитан ОДП, составляющий не менее 2,5 процента, который определяется по формуле:

,

где:

АР - оценка на дату расчета ОДП функции распределения размера финансового результата перестраховщика по договору исходящего перестрахования в соответствии с подпунктом 6.3.5 настоящего пункта с учетом временной стоимости денег;

Р(АР<0) - оценка на основе АР вероятности наступления отрицательного финансового результата перестраховщика по договору исходящего перестрахования;

|Е(АР|АР<0)| - абсолютное значение (модуль) оценки условного математического ожидания размера финансового результата перестраховщика на основе АР, при условии отрицательного значения финансового результата перестраховщика;

ОП - сумма оплаченной страховой организацией на дату расчета ОДП страховой премии по договору исходящего перестрахования и иных платежей, производимых страховой организацией в пользу перестраховщика согласно условиям иных договоров, платежи по которым зависят от условий рассматриваемого договора исходящего перестрахования, и оценки на дату расчета ОДП приведенной стоимости ожидаемого размера еще не оплаченной страховой премии по договору исходящего перестрахования и таких платежей. Расчет ОДП производится на любую дату, на которую производится расчет страховых резервов, но не ранее даты признания договора исходящего перестрахования. Перерасчет ОДП производится только при изменении условий договора исходящего перестрахования;

Подпункт 6.3.4.3.1 пункта 6.3 применяется к договорам исходящего перестрахования, заключенным до 01.01.2023, при условии отсутствия изменений в указанные договоры после 01.01.2023 (включительно), с 01.01.2024 (пункт 7.9 главы 7).

6.3.4.3.2. договором исходящего перестрахования предусмотрено условие о невозможности взаимозачета встречных требований по данному договору с какими-либо другими договорами <1> (в том числе не являющимися договорами страхования и исходящего перестрахования);

<1> Абзац шестой статьи 411 Гражданского кодекса Российской Федерации (Собрание законодательства Российской Федерации, 1994, N 32, ст. 3301; 2015, N 10, ст. 1412).

6.3.4.3.3. договором исходящего перестрахования предусмотрено осуществление страховой выплаты по договору исходящего перестрахования в период не более 6 месяцев с даты осуществления страховой организацией страховой выплаты по основному договору страхования.

6.3.5. Оценка функции распределения финансового результата перестраховщика (АР) по договору исходящего перестрахования осуществляется на основании:

условий договора исходящего перестрахования;

статистических данных об исполнении договоров с аналогичными условиями (при наличии);

прогноза денежных потоков по учитываемым в расчете основным договорам страхования, строящегося в соответствии с требованиями подпункта 5.3.1 пункта 5.3 настоящего Положения;

прогноза распределения страховых выплат, премий и расходов по ожидаемому портфелю договоров страхования, покрываемому рассматриваемым договором исходящего перестрахования, с учетом положений подпункта 6.3.7 настоящего пункта;

оценок возможной приведенной к дате расчета ОДП стоимости денежных потоков по договору исходящего перестрахования с учетом положений подпункта 6.3.6 настоящего пункта.

6.3.6. Оценки возможной приведенной стоимости денежных потоков по договору исходящего перестрахования должны учитывать все денежные потоки, которые могут возникнуть по условиям договора исходящего перестрахования или условиям иных договоров, платежи по которым зависят от условий рассматриваемого договора исходящего перестрахования (в том числе от размера ответственности перестраховщика, уплаченного перестраховочного вознаграждения, страховой премии по договору исходящего перестрахования), и вероятности реализации данной возможной приведенной стоимости денежных потоков. Сумма вероятностей реализации возможных приведенных стоимостей денежных потоков должна превышать 99,5 процента.

6.3.7. Для целей оценки прогноза распределения страховых выплат, премий и расходов по ожидаемому портфелю договоров страхования, покрываемому рассматриваемым договором исходящего перестрахования, страховая организация на основе своего бизнес-плана прогнозирует количество и условия основных договоров страхования, которые будут ей заключены и попадут под условия договора исходящего перестрахования, а актуарий прогнозирует функцию распределения размера и сроков страховых выплат с учетом поступления страховых премий и расходов по таким договорам.

Прогноз распределения убытков по портфелю договоров страхования не должен противоречить информации, предоставляемой страховой организацией в Банк России.

6.4. Показатель РК рассчитывается в отношении:

активов и обязательств, определенных в соответствии с главой 1 настоящего Положения, за исключением активов, стоимость которых признана равной нулю в соответствии с пунктом 3.1 настоящего Положения, а также срочных сделок, стоимость которых определяется в соответствии с требованиями абзаца второго пункта 3.3 и абзаца второго пункта 4.6 настоящего Положения;

прав требований в части уплаты страховой премии (страхового взноса), учитываемых в прогнозе денежных потоков, строящемся в соответствии с подпунктом 5.3.1 пункта 5.3 настоящего Положения. Стоимость таких прав требований определяется как неотрицательная наилучшая оценка приведенной стоимости денежных потоков в части поступления страховых премий (страховых взносов) из прогноза денежных потоков, строящегося в соответствии с подпунктом 5.3.1 пункта 5.3 настоящего Положения.

При расчете показателя РК группа связанных со страховой организацией юридических лиц (юридические лица, являющиеся основными и дочерними обществами), кроме перестраховщика, созданного в соответствии с законодательством государства - члена ОЭСР, группа кредитного качества которого, определенная в соответствии с подпунктом 6.5.2.2 пункта 6.5 настоящего Положения, принимает значение от 1 до 6 и которому переданы в перестрахование обязательства по страховой выплате по основным договорам страхования (перестрахования), учитывается как одно юридическое лицо - основное общество указанной группы.

6.5. Показатель РК определяется по формуле:

,

где:

i,j - индексы суммирования, принимающие значение 1 или 2;

- оценка i(j)-го риска;

- значение коэффициента корреляции между рисками i и j в соответствии с таблицей 12 приложения 2 к настоящему Положению.

6.5.1. Оценка риска 1 определяется по формуле:

,

где:

- оценка риска 1 по видам риска i(j):

концентрационный риск;

риск изменения кредитного спреда;

риск изменения процентных ставок;

риск изменения стоимости акций;

риск изменения валютного курса;

риск изменения цен на недвижимость;

риск изменения цен на активы, риск изменения которых не подлежит определению в рамках оценки влияния рисков, указанных в абзацах шестом - восьмом, десятом настоящего подпункта;

- значение коэффициента корреляции между видами риска i и j в соответствии с таблицей 13 приложения 2 к настоящему Положению.

6.5.2. При оценке рисков:

6.5.2.1. прогноз денежных потоков по каждой облигации, каждому банковскому вкладу (депозиту), за исключением банковских вкладов (депозитов), указанных в пункте 3.2 настоящего Положения, каждому займу строится согласно условиям исполнения обязательств по активу до ближайшей даты, по состоянию на которую в соответствии с условиями исполнения обязанным лицом указанные обязательства должны быть исполнены в полном объеме, и включает даты денежных потоков и их величины. В случае если будущие потоки по активу не известны, все будущие потоки равны последнему известному на расчетную дату денежному потоку;

6.5.2.2. в целях определения группы кредитного качества используется уровень кредитного рейтинга актива или обязанного лица, установленный решением Совета директоров Банка России (при наличии кредитных рейтингов нескольких кредитных рейтинговых агентств, в том числе иностранных кредитных рейтинговых агентств, выбирается кредитный рейтинг, на основе которого будет присвоена группа кредитного качества с наименьшим номером). При отсутствии кредитного рейтинга, присвоенного кредитным рейтинговым агентством, для иностранных объектов рейтинга группа кредитного качества определяется на основе кредитного рейтинга, присвоенного иностранным кредитным рейтинговым агентством. При отсутствии у актива кредитного рейтинга группа кредитного качества по активу определяется как 19 группа кредитного качества, если актив предусмотрен абзацем третьим пункта 6.4 настоящего Положения и обязанное лицо по нему является юридическим лицом, в иных случаях - как группа кредитного качества обязанного лица. Физические лица относятся к 15 группе кредитного качества. Юридические лица, которым не присвоен кредитный рейтинг, относятся к 22 группе кредитного качества. (в ред. Указания ЦБ РФ от 22.09.2022 N 6252-У)

6.5.3. Оценка концентрационного риска () определяется в соответствии с пунктом 1 приложения 1 к настоящему Положению.

6.5.4. Оценка риска изменения кредитного спреда () определяется в соответствии с пунктом 2 приложения 1 к настоящему Положению.

6.5.5. Оценка риска изменения процентных ставок () определяется в соответствии с пунктом 3 приложения 1 к настоящему Положению.

6.5.6. Оценка риска изменения стоимости акций () определяется в соответствии с пунктом 4 приложения 1 к настоящему Положению.

6.5.7. Оценка риска изменения цен на недвижимость () определяется в соответствии с пунктом 5 приложения 1 к настоящему Положению.

6.5.8. Оценка риска изменения стоимости активов, риск изменения стоимости которых не подлежит определению в рамках оценки влияния рисков, указанных в абзацах шестом - восьмом, десятом подпункта 6.5.1 настоящего пункта (), определяется в соответствии с пунктом 6 приложения 1 к настоящему Положению.

6.5.9. Оценка риска изменения валютного курса () определяется в соответствии с пунктом 7 приложения 1 к настоящему Положению.

6.5.10. Оценка риска 2 определяется в соответствии с пунктами 8 - 11 приложения 1 к настоящему Положению с учетом следующего.

6.5.10.1. При оценке риска 2 рассчитывается концентрация на обязанное лицо для целей расчета риска 2, под которой понимается совокупная стоимость ценных бумаг обязанного лица, ценных бумаг, по которым обязанное лицо является поручителем (гарантом), прав требований к обязанному лицу (в том числе прав требований из договора банковского счета (вклада), прав требований по возврату ценных бумаг и денежных средств по второй части договора репо, доли перестраховщика в страховых резервах, прав требований по договору страхования в части уплаты страховой премии (страховых взносов).

При определении концентрации на обязанное лицо для целей расчета риска 2 не учитываются:

активы, обязанным лицом по которым является Российская Федерация;

активы, обязанным лицом по которым являются государства - члены ОЭСР, с долгосрочным кредитным рейтингом на уровне не менее "A" по международной рейтинговой шкале "Эс-энд-Пи Глобал Рейтингс" (S&P Global Ratings) или "Фитч Рейтингс" (Fitch Ratings) либо на уровне не менее "A2" по международной рейтинговой шкале "Мудис Инвесторс Сервис" (Moody's Investors Service);

авансовые платежи, внесенные в соответствии с договором, заключенным в целях оказания застрахованным лицам медицинских услуг в рамках договоров страхования, медицинским организациям и учреждениям санаторно-курортного профиля, содержащимся в Перечне санаторно-курортных учреждений;

недвижимое имущество и товары;

авансовые платежи по налогам, задолженности бюджетов по налогам и сборам;

права требования к инфраструктурным организациям в случаях, если такая задолженность обусловлена осуществлением инфраструктурной организацией операций в рамках погашения ценных бумаг или проведения сделок с ними;

права требования, расчеты по которым осуществляются в рамках соглашения о прямом возмещении убытков, соглашений о перестраховочных пулах по обязательным видам страхования;

права требования, регламентированные правилами профессиональной деятельности;

права требования к перестраховщику по договорам страхования гражданско-правовой ответственности за убытки и вред, причиненные радиационным воздействием, при осуществлении указанным перестраховщиком перестрахования в составе пулов по страхованию ядерных рисков при условии солидарной ответственности участников пула, принимающих такие риски;

права требования в части уплаты страховой премии (страховых взносов) по риску дожития по договорам страхования жизни с периодом страхового покрытия более 1 года, если в соответствии с условиями договора при неуплате страхователем очередного страхового взноса договор страхования расторгается с даты, следующей за датой, установленной для оплаты этого страхового взноса. Стоимость таких прав требований определяется как неотрицательная наилучшая оценка приведенной стоимости денежных потоков в части поступления страховых премий (страховых взносов), относимых к риску дожития, по договору страхования из прогноза денежных потоков, строящегося в соответствии с подпунктом 5.3.1 пункта 5.3 настоящего Положения. Порядок определения части страховой премии (страхового взноса), относимой к риску дожития, определяется в положении о формировании страховых резервов в соответствии с требованиями пункта 5.8 настоящего Положения.

6.5.10.2. Вероятность дефолта актива и права требования в части уплаты страховой премии (страховых взносов) по договорам страхования иного, чем страхование жизни, а также по договорам страхования жизни, если такой договор не включает риск дожития до определенного возраста или период действия страхового покрытия по договору страхования жизни не более одного года (далее - право требования по договору страхования в части уплаты премии), в отношении которых определяется оценка риска 2, рассчитывается как произведение вероятности дефолта, определенной по таблице 1 приложения 2 к настоящему Положению исходя из группы кредитного качества актива, срока до погашения (закрытия) и коэффициента z, деленное на 365.

Срок до погашения (закрытия) для целей настоящего пункта составляет:

для денежных средств (в том числе для корреспондентских счетов, счетов до востребования) и банковских вкладов (депозитов), указанных в пункте 3.2 настоящего Положения, - 5 дней;

для прав требований (в том числе права требования по договору страхования в части уплаты премии), которые в соответствии с договором должны быть удовлетворены в течение следующих за расчетной датой 365 дней, - число дней до даты удовлетворения требований;

в ином случае - 365 дней.

Вероятность дефолта обязанного лица определяется по таблице 1 приложения 2 к настоящему Положению исходя из группы кредитного качества обязанного лица.

Для целей расчета риска 2 денежные потоки по договору страхования со сроком платежа более 365 дней начиная с расчетной даты, составляющие право требования по договору страхования, рассматриваются как один денежный поток в объеме суммы таких денежных потоков со сроком платежа 365 дней.

Коэффициент z принимает следующие значения:

Коэффициент 1 - для прав требований по договору страхования в части уплаты премии по договорам страхования иного, чем страхование жизни, а также по договорам страхования жизни, если такие договоры не включают риск дожития до определенного возраста, за исключением договоров, включающих только риск смерти и (или) риск первичного диагностирования необратимого тяжелого заболевания, характеризующегося высоким уровнем смертности, включенного в перечень социально значимых заболеваний, утвержденный постановлением Правительства Российской Федерации от 1 декабря 2004 года N 715 "Об утверждении перечня социально значимых заболеваний и перечня заболеваний, представляющих опасность для окружающих" (Собрание законодательства Российской Федерации, 2004, N 49, ст. 4916; 2020, N 6, ст. 674) (критическое заболевание), со страховой суммой по такому риску менее одного миллиона рублей или с периодом действия страхового покрытия не более одного года; (в ред. Указания ЦБ РФ от 22.09.2022 N 6252-У)

Коэффициент 2 - в ином случае. (в ред. Указания ЦБ РФ от 22.09.2022 N 6252-У)

Коэффициент z определяется по таблице 15 приложения 2 к настоящему Положению. (в ред. Указания ЦБ РФ от 22.09.2022 N 6252-У)

6.6. Минимально допустимое значение нормативного соотношения составляет 1.

6.7. Пороговое значение нормативного соотношения составляет 1,05.

6.8. Документы, содержащие сведения, необходимые для расчета нормативного размера маржи платежеспособности, осуществляемого в соответствии с пунктом 6.3 настоящего Положения, и расчета ОДП, осуществляемого в соответствии с подпунктом 6.3.4.3.1 пункта 6.3 настоящего Положения, включая все данные и расчет всех показателей, использованных в указанных расчетах, хранятся страховой организацией на территории Российской Федерации не менее пяти лет с даты расчета.

Глава 7. Заключительные и переходные положения

7.1. Требования настоящего Положения не распространяются на иностранные страховые организации.

7.2. Расчеты, осуществляемые в рамках настоящего Положения, должны проводиться с точностью не менее 10 знаков после запятой с применением правил математического округления. (в ред. Указания ЦБ РФ от 22.09.2022 N 6252-У)

7.3. Стоимость активов и обязательств, определенная в соответствии с требованиями настоящего Положения и выраженная в иностранной валюте, переводится в рубли по курсу соответствующей иностранной валюты, установленному Банком России, на расчетную дату, если законодательством Российской Федерации или договором не установлено иное.

В случае если в расчете показателей, предусмотренных подпунктом 5.5.5 пункта 5.5, подпунктом 6.3.2 пункта 6.3 настоящего Положения, пунктами 1, 7, 8 приложения 3, пунктами 2 и 3 приложения 4, пунктами 3 и 4 приложения 5, пунктами 3 и 4 приложения 6 к настоящему Положению, значения страховой премии, страховой выплаты, величины поступлений по суброгациям, регрессам и от реализации годных остатков учитываются в валюте, отличной от валюты номинала:

страховая выплата (величина поступлений по суброгациям, регрессам и от реализации годных остатков) рассчитывается в валюте, отличной от валюты номинала, с использованием курса иностранной валюты, установленного Банком России, на дату страховой выплаты (поступления), если законодательством Российской Федерации или договором страхования не установлено иное;

страховая премия рассчитывается в валюте, отличной от валюты номинала, с использованием курса иностранной валюты, установленного Банком России, на дату поступления страховой премии (страхового взноса), если законодательством Российской Федерации или договором страхования не установлено иное.

7.4. Для целей расчета показателей, предусмотренных настоящим Положением, исходящие от страховщика денежные потоки учитываются со знаком "-" (минус), а входящие к страховщику денежные потоки - со знаком "+" (плюс), за исключением учета денежных потоков, осуществляемого в соответствии с абзацем семнадцатым подпункта 5.3.1 пункта 5.3 настоящего Положения.

7.5. Настоящее Положение подлежит официальному опубликованию и в соответствии с решением Совета директоров Банка России (протокол заседания Совета директоров Банка России от 9 ноября 2021 года N ПСД-27) вступает в силу с 1 января 2023 года, за исключением абзаца третьего подпункта 3.1.2 пункта 3.1 настоящего Положения.

Абзац третий подпункта 3.1.2 пункта 3.1 настоящего Положения вступает в силу с 1 июля 2023 года.

7.6. Абзац второй подпункта 3.1.2 пункта 3.1 настоящего Положения действует по 30 июня 2023 года.

7.7. Методы расчета страховых резервов, согласованные с Банком России страховщиками до даты вступления в силу настоящего Положения, не подлежат применению.

7.8. В случае если расчет нормативного размера маржи платежеспособности страховой организации по страхованию иному, чем страхование жизни, в соответствии с подпунктом 6.3.2 пункта 6.3 настоящего Положения осуществляется с использованием данных на даты до 31 декабря 2022 года (включительно):

по учетным группам, отличным от групп 2.1 и 2.2, для расчета ДПУ и РПВУ по договорам страхования используются суммы резервов убытков по соответствующей учетной группе в соответствии с данными надзорной отчетности по отчетным периодам до 31 декабря 2022 года (включительно);

по учетным группам, отличным от групп 2.1 и 2.2, в качестве стоимости доли перестраховщиков в ДПУ и РПВУ используется стоимость доли перестраховщиков в резервах убытков в соответствии с данными надзорной отчетности по отчетным периодам до 31 декабря 2022 года (включительно);

по учетным группам 2.1 и 2.2 для расчета ДПУ по договорам страхования используется доля суммы резервов убытков, которые должны быть отнесены к учетной группе 2.1 (2.2), в общей сумме резервов убытков в соответствии с данными надзорной отчетности по отчетным периодам до 31 декабря 2022 года (включительно) по учетной группе 2, установленной в положении о формировании страховых резервов, действующем на соответствующую отчетную дату; (в ред. Указания ЦБ РФ от 22.09.2022 N 6252-У)

по учетным группам 2.1 и 2.2 в качестве стоимости доли перестраховщиков в ДПУ используется доля суммы долей перестраховщиков в резервах убытков, которые должны быть отнесены к учетной группе 2.1 (2.2), в общей сумме долей перестраховщиков в резервах убытков в соответствии с данными надзорной отчетности по отчетным периодам до 31 декабря 2022 года (включительно) по учетной группе 2, установленной в положении о формировании страховых резервов, действующем на соответствующую отчетную дату. (в ред. Указания ЦБ РФ от 22.09.2022 N 6252-У)

На даты до 31 декабря 2022 года (включительно), не совпадающие с отчетными периодами, данные о страховых резервах и доле перестраховщиков в страховых резервах принимаются равными данным на конец ближайшего предшествующего отчетного периода.

7.9. Подпункт 6.3.4.3.1 пункта 6.3 настоящего Положения применяется к договорам исходящего перестрахования, заключенным до 1 января 2023 года, при условии отсутствия изменений в указанные договоры после 1 января 2023 года (включительно), с 1 января 2024 года.

7.9.1. Для целей главы 2 настоящего Положения в части инвестирования средств страховых резервов страховщиков под средствами страховых резервов до 31 декабря 2025 года понимается величина страховых резервов за вычетом вспомогательной величины ЭНП. (в ред. Указания ЦБ РФ от 22.09.2022 N 6252-У)

7.9.2. Действие подпункта 3.1.13 пункта 3.1 настоящего Положения не распространяется на права требований по уплате просроченной задолженности по выплатам по ценным бумагам, вызванной неисполнением обязательств международными расчетно-клиринговыми центрами "Евроклир Банк" (город Брюссель) и "Клирстрим Бэнкинг" (город Люксембург) по ценным бумагам, приобретенным до 14 апреля 2022 года, и на права требований к перестраховщику по уплате просроченной задолженности его доли в оплаченном страховщиком убытке с датой погашения после 1 февраля 2022 года по договорам перестрахования, заключенным до 14 апреля 2022 года. (в ред. Указания ЦБ РФ от 22.09.2022 N 6252-У)

7.9.3. Стоимость прав требований по уплате просроченной задолженности по выплатам по ценным бумагам, вызванной неисполнением обязательств международными расчетно-клиринговыми центрами "Евроклир Банк" (город Брюссель) и "Клирстрим Бэнкинг" (город Люксембург) по ценным бумагам, приобретенным до 14 апреля 2022 года, и прав требований к перестраховщику по уплате просроченной задолженности его доли в оплаченном страховщиком убытке с датой погашения после 1 февраля 2022 года по договорам перестрахования, заключенным до 14 апреля 2022 года, принимается равной произведению их стоимости по данным бухгалтерского учета страховой организации без учета резерва под обесценение и коэффициента, указанного в таблице 16 приложения 2 к настоящему Положению. (в ред. Указания ЦБ РФ от 22.09.2022 N 6252-У)

7.10. Со дня вступления в силу настоящего Положения признать утратившими силу:

Положение Банка России от 16 ноября 2016 года N 557-П "О правилах формирования страховых резервов по страхованию жизни", зарегистрированное Министерством юстиции Российской Федерации 29 декабря 2016 года N 45055;

Положение Банка России от 16 ноября 2016 года N 558-П "О правилах формирования страховых резервов по страхованию иному, чем страхование жизни", зарегистрированное Министерством юстиции Российской Федерации 29 декабря 2016 года N 45054;

Положение Банка России от 10 января 2020 года N 710-П "Об отдельных требованиях к финансовой устойчивости и платежеспособности страховщиков", зарегистрированное Министерством юстиции Российской Федерации 23 апреля 2020 года N 58186;

Указание Банка России от 2 марта 2021 года N 5745-У "О внесении изменений в Положение Банка России от 16 ноября 2016 года N 558-П "О правилах формирования страховых резервов по страхованию иному, чем страхование жизни", зарегистрированное Министерством юстиции Российской Федерации 6 апреля 2021 года N 63016;

Указание Банка России от 6 апреля 2021 года N 5771-У "О внесении изменений в Положение Банка России от 10 января 2020 года N 710-П "Об отдельных требованиях к финансовой устойчивости и платежеспособности страховщиков", зарегистрированное Министерством юстиции Российской Федерации 13 мая 2021 года N 63407.

Председатель Центрального банка
Российской Федерации
Э.С. НАБИУЛЛИНА

Приложение 1
к Положению Банка России
от 16 ноября 2021 года N 781-П
"О требованиях к финансовой устойчивости
и платежеспособности страховщиков"

ОЦЕНКА РИСКОВ, ИСПОЛЬЗУЕМЫХ ДЛЯ РАСЧЕТА ПОКАЗАТЕЛЯ РК

(в ред. Указания ЦБ РФ от 22.09.2022 N 6252-У)

1. Оценка концентрационного риска () определяется по формуле:

=1,

где:

- оценка концентрационного риска для каждого i(j)-го обязанного лица (1), объектов недвижимости (2), определяемая по формуле:

,

где:

(1) - концентрация на обязанное лицо: совокупная стоимость ценных бумаг i-го обязанного лица, ценных бумаг, по которым обязанное лицо является поручителем (гарантом), прав требований к обязанному лицу (в том числе прав требований из договора банковского счета (вклада), прав требований по возврату ценных бумаг и денежных средств по второй части договора репо, доли перестраховщика в страховых резервах, прав требований по договору страхования в части уплаты страховой премии), за исключением:

прав требований страховой организации к i-ому обязанному лицу, являющемуся перестраховщиком, в части уплаты его доли в выплатах страхового возмещения по страховым случаям, заявленным страховой организации до расчетной даты, в том числе задолженности i-го обязанного лица по уплате его доли в выплатах страхового возмещения, произведенных до расчетной даты в соответствии с договором исходящего перестрахования, и доли i-го обязанного лица, являющегося перестраховщиком, в выплатах страхового возмещения после расчетной даты по страховым случаям, по которым ожидаются страховые выплаты;

величины доли i-го обязанного лица в выплатах страхового возмещения по страховым случаям, страховая выплата по которым еще не была произведена, рассчитываемой в соответствии с пунктом 2.7 настоящего Положения;

доли перестраховщика - i-го обязанного лица, являющегося национальной перестраховочной компанией;

активов, обязанным лицом по которым является Российская Федерация;

задолженности i-го обязанного лица, являющегося инфраструктурной организацией, в случае если такая задолженность обусловлена осуществлением инфраструктурной организацией операций в рамках погашения ценных бумаг или проведения сделок с ними;

прав требований, расчеты по которым осуществляются в рамках соглашения о прямом возмещении убытков, соглашений о перестраховочных пулах по обязательным видам страхования;

прав требований, регламентированных правилами профессиональной деятельности;

прав требований к перестраховщику по договорам страхования гражданско-правовой ответственности за убытки и вред, причиненные радиационным воздействием, при осуществлении указанным перестраховщиком перестрахования в составе пулов по страхованию ядерных рисков при условии солидарной ответственности участников пула, принимающих такие риски;

прав требований по договору страхования в части уплаты премии, относимой к риску дожития, по договорам страхования жизни с периодом страхового покрытия более одного года, если в соответствии с условиями договора при неуплате страхователем очередного страхового взноса договор страхования расторгается с даты, установленной для оплаты этого страхового взноса;

(2) - совокупная стоимость всех объектов недвижимости;

Assets - стоимость активов страховой организации, рассчитанная в соответствии с главой 3 настоящего Положения исходя из состава активов, указанного в главе 1 настоящего Положения, и стоимость прав требований по учитываемым в расчете договорам страхования в части уплаты премии. Стоимость права требования по договору страхования в части уплаты премии определяется как неотрицательная наилучшая оценка стоимости денежных потоков в части поступления страховых премий (за исключением части страховых премий, относимых к риску дожития) по договору страхования из прогноза денежных потоков, строящегося в соответствии с подпунктом 5.3.1 пункта 5.3 настоящего Положения;

(1) - коэффициент концентрации на обязанное лицо, если i-ое обязанное лицо является перестраховщиком, созданным в соответствии с законодательством государства - члена ОЭСР, если у такого перестраховщика группа кредитного качества от 1 до 6, определенная в соответствии с подпунктом 6.5.2.2 пункта 6.5 настоящего Положения, и такому перестраховщику переданы в перестрахование обязательства по страховой выплате по договорам страхования (исходящего перестрахования), равный 50 процентам. Для обязанных лиц, не перечисленных в настоящем абзаце, коэффициент концентрации определяется в соответствии с таблицей 9 приложения 2 к настоящему Положению;

(2) - коэффициент концентрации для объектов недвижимости, равный 25 процентам;

- суммарная оценка концентрационного риска на перестраховщиков, определяемая по формуле:

,

где:

R - количество перестраховщиков, которым переданы в перестрахование обязательства по страховой выплате;

- коэффициент, равный 20 процентам, для страховых организаций, имеющих лицензию на осуществление добровольного страхования жизни, и 60 процентам - для иных страховых организаций.

2. Оценка риска изменения кредитного спреда () определяется в отношении резерва инвестиционных обязательств, облигаций, банковских вкладов (депозитов), за исключением банковских вкладов (депозитов), указанных в пункте 3.2 настоящего Положения, займов, срочных сделок по формуле:

,

где:

M - количество облигаций (банковских вкладов (депозитов), займов), за исключением государственных облигаций Российской Федерации, государственных облигаций государств - членов ОЭСР, с долгосрочным кредитным рейтингом не менее "A" по международной рейтинговой шкале "Эс-энд-Пи Глобал Рейтингс" (S&P Global Ratings) или "Фитч Рейтингс" (Fitch Ratings) либо на уровне не менее "A2" по международной рейтинговой шкале "Мудис Инвесторс Сервис" (Moody's Investors Service) (далее в настоящем пункте - инструмент);

- коэффициент изменения кредитного спреда в зависимости от группы кредитного качества инструмента m, определяемый по таблице 2 приложения 2 к настоящему Положению;

- стоимость инструмента, включая накопленный процентный (купонный) доход, определенная в соответствии с главой 3 настоящего Положения;

- модифицированная дюрация инструмента (за исключением облигаций без срока погашения), определяемая по формуле:

,

где:

j - порядковый номер очередного денежного потока с расчетной даты;

J - число денежных потоков;

- размер денежного потока j;

- дата денежного потока j;

d - расчетная дата;

- модифицированная дюрация облигации без срока погашения, определяемая по формуле:

,

где:

YTM - эффективная доходность, которая определяется:

из формулы - для инструмента (за исключением облигаций без срока погашения);

по формуле - для облигации без срока погашения, где C - величина годового купона по такой облигации;

- разность стоимости срочных сделок и стоимости срочных сделок, определенной в случае изменения величины (стоимости) предмета (предметов) срочных сделок исходя из изменения величины кредитного спреда в соответствии с таблицей 2 приложения 2 к настоящему Положению, соответствующего группе кредитного качества этого (этих) предметов срочных сделок. Для срочных сделок, являющихся обязательством для страховой организации, указанная разность принимается со знаком "-" (минус). Для биржевых производных финансовых инструментов, предусматривающих перечисление вариационной маржи, показатель равен величине вариационной маржи по данному договору, рассчитанной с учетом изменения величины (стоимости) базисного актива (базисных активов) исходя из изменения величины кредитного спреда в соответствии с таблицей 2 приложения 2 к настоящему Положению, соответствующего группе кредитного качества этого (этих) базисного актива (базисных активов), подлежащей уплате страховой организацией. В случае если указанная вариационная маржа подлежит к получению страховой организацией, она принимается со знаком минус;

- разность стоимости резерва инвестиционных обязательств, определенной в соответствии с требованиями подпункта 5.3.5 пункта 5.3 настоящего Положения, и стоимости резерва инвестиционных обязательств, определенной в соответствии с требованиями подпункта 5.3.5 пункта 5.3 настоящего Положения, в случае изменения стоимости актива, которое в соответствии с договором страхования ведет к изменению величины резерва инвестиционных обязательств исходя из изменения величины кредитного спреда в соответствии с таблицей 2 приложения 2 к настоящему Положению, соответствующего группе кредитного качества этого актива.

В случае если величина резерва инвестиционных обязательств определяется исходя из стоимости актива, зависящего от индекса, рассчитываемого исходя из изменения величины (стоимости) иных активов, для целей настоящего пункта индекс рассматривается как набор активов, исходя из которых рассчитывается индекс.

3. Оценка риска изменения процентных ставок () определяется в отношении облигаций, банковских вкладов (депозитов), за исключением банковских вкладов (депозитов), указанных в пункте 3.2 настоящего Положения, займов, срочных сделок, величины страховых резервов и доли перестраховщиков в страховых резервах определяется по формуле:

,

где:

,

где:

M - количество облигаций (банковских вкладов (депозитов), займов) (далее в настоящем пункте - инструмент);

- определяется в соответствии с абзацами седьмым - двадцатым пункта 2 настоящего приложения;

- стоимость инструмента m, включая накопленный процентный (купонный) доход;

- вспомогательный показатель, определяемый по формуле:

,

где:

- срок денежного потока, входящего в прогноз денежных потоков по учитываемым в расчете основным договорам страхования, строящийся в соответствии с требованиями подпункта 5.3.1 пункта 5.3 настоящего Положения, или в прогноз денежных потоков по учитываемым в расчете договорам исходящего перестрахования, строящийся в соответствии с требованиями подпункта 5.6.1 пункта 5.6 настоящего Положения, либо модифицированная дюрация инструмента m;

F() - максимальный (минимальный) срок из указанных в таблицах 3 и 4 приложения 2 к настоящему Положению, не превышающий (превышающий) Lm, в годах;

, - относительное увеличение (up) или уменьшение (down) процентных ставок для сроков 0,25 года, 30 лет и валюты вклада (займа) или номинальной стоимости облигации, валюты страховой суммы в договоре страхования, валюты номинала предмета срочной сделки (в случае отсутствия номинала - валюты выплат по срочной сделке) (далее - валюта процентной ставки), указанное в таблицах 3 и 4 приложения 2 к настоящему Положению;

, - относительное увеличение (up) или уменьшение (down) процентных ставок, указанное в таблицах 3 и 4 приложения 2 к настоящему Положению, для срока F и валюты процентной ставки;

- процентная ставка, определяемая по формуле:

,

где:

() - минимальный (максимальный) срок, на который определен уровень процентных ставок бескупонной доходности государственных ценных бумаг для соответствующей валюты процентной ставки, в годах;

V() - максимальный (минимальный) срок, на который известно значение кривой бескупонной доходности, не превышающий (превышающий) , в годах;

- уровень процентных ставок для срока V, определенный на расчетную дату. В случае если валютой процентной ставки является российский рубль, используется кривая бескупонной доходности облигаций федерального займа, значения которой опубликованы на официальном сайте ПАО "Московская биржа" в информационно-телекоммуникационной сети "Интернет", в остальных случаях - кривая бескупонной доходности государственных ценных бумаг США, ежедневные показатели которой опубликованы на официальном сайте Департамента казначейства США в информационно-телекоммуникационной сети "Интернет";

- разность стоимости срочных сделок и стоимости срочных сделок, определенной в случае изменения величины (стоимости) предмета (предметов) срочных сделок исходя из роста (up) или снижения (down) уровня процентной ставки на показатель . Для срочных сделок, являющихся обязательством для страховой организации, указанная разность принимается со знаком "-" (минус). Для биржевых производных финансовых инструментов, предусматривающих перечисление вариационной маржи, показатель равен величине вариационной маржи по данному договору, рассчитанной с учетом изменения величины (стоимости) базисного актива (базисных активов) исходя из роста (up) или снижения (down) уровня процентной ставки на показатель , подлежащей уплате страховой организацией. В случае если указанная вариационная маржа подлежит к получению страховой организацией, она принимается со знаком "-" (минус);

- разность между величиной страховых резервов за вычетом вспомогательной величины ЭНП и за вычетом величины доли перестраховщиков в страховых резервах и величиной страховых резервов за вычетом вспомогательной величины ЭНП и за вычетом доли перестраховщиков, рассчитанных в случае изменения уровня процентной ставки на показатель и (при необходимости) соответствующего изменения величины актива, изменение стоимости которого в соответствии с договором страхования ведет к изменению величины резерва инвестиционных обязательств. (в ред. Указания ЦБ РФ от 22.09.2022 N 6252-У)

В случае если величина резерва инвестиционных обязательств определяется исходя из стоимости актива, зависящего от индекса, рассчитываемого исходя из изменения величины (стоимости) иных активов, для целей настоящего пункта индекс рассматривается как набор активов, исходя из которых рассчитывается индекс.

4. Оценка риска изменения стоимости акций () определяется в отношении акций, срочных сделок, опционов эмитента, иных договоров, выплата по которым определяется в зависимости от стоимости акций, резерва инвестиционных обязательств, по формуле:

,

где:

,

где:

M - количество акций;

- стоимость m-ой акции;

- коэффициент увеличения (снижения) стоимости m-ой акции, определяемый по таблице 5 приложения 2 к настоящему Положению в зависимости от страны, в соответствии с законодательством которой создан эмитент акций. В случае если эмитент акций создан в соответствии с законодательством Российской Федерации, используется коэффициент 1, иначе - коэффициент 2;

- разность стоимости срочных сделок, опционов эмитента, иных договоров, выплата по которым определятся в зависимости от стоимости акций, и стоимости таких договоров, определенной в случае изменения величины (стоимости) предмета (предметов) срочных сделок исходя из увеличения (снижения) стоимости акций в соответствии с таблицей 5 приложения 2 к настоящему Положению. В случае если эмитент акций создан в соответствии с законодательством Российской Федерации, используется коэффициент 1, иначе - коэффициент 2. Для срочных сделок, являющихся обязательством для страховой организации, указанная разность принимается со знаком "-" (минус). Для биржевых производных финансовых инструментов, предусматривающих перечисление вариационной маржи, показатель равен величине вариационной маржи по биржевому производному финансовому инструменту, рассчитанной с учетом изменения величины (стоимости) базисного актива (базисных активов) исходя из увеличения (снижения) стоимости акций в соответствии с таблицей 5 приложения 2 к настоящему Положению, подлежащей уплате страховой организацией. В случае если указанная вариационная маржа подлежит к получению страховой организацией, она принимается со знаком "-" (минус);

- разность стоимости резерва инвестиционных обязательств, определенной в соответствии с требованиями главы 5 настоящего Положения, и стоимости резерва инвестиционных обязательств, определенной в соответствии с требованиями главы 5 настоящего Положения, в случае изменения стоимости актива, изменение стоимости которого в соответствии с договором страхования ведет к изменению величины резерва инвестиционных обязательств исходя из увеличения (снижения) стоимости акций в соответствии с таблицей 5 приложения 2 к настоящему Положению. В случае если эмитент акций создан в соответствии с законодательством Российской Федерации, используется коэффициент 1, иначе - коэффициент 2.

5. Оценка риска изменения цен на недвижимость () определяется в отношении недвижимости, срочных сделок, резерва инвестиционных обязательств по формуле:

,

где:

- разность стоимости срочных сделок и стоимости срочных сделок, определенной в случае изменения величины (стоимости) предмета (предметов) срочных сделок исходя из снижения стоимости недвижимости в соответствии с таблицей 7 приложения 2 к настоящему Положению. Для срочных сделок, являющихся обязательством для страховой организации, указанная разность принимается со знаком "-" (минус). Для биржевых производных финансовых инструментов, предусматривающих перечисление вариационной маржи, показатель равен величине вариационной маржи по данному договору, рассчитанной с учетом изменения величины (стоимости) базисного актива (базисных активов) исходя из снижения стоимости недвижимости в соответствии с таблицей 7 приложения 2 к настоящему Положению, подлежащей уплате страховой организацией. В случае если указанная вариационная маржа подлежит к получению страховой организацией, она принимается со знаком "-" (минус);

- разность стоимости резерва инвестиционных обязательств и стоимости резерва инвестиционных обязательств, определенной в случае изменения стоимости актива, изменение стоимости которого в соответствии с договором страхования ведет к изменению величины резерва инвестиционных обязательств исходя из снижения стоимости недвижимости в соответствии с таблицей 7 приложения 2 к настоящему Положению;

- коэффициент снижения стоимости жилой (нежилой) недвижимости согласно таблице 7 приложения 2 к настоящему Положению;

- суммарная стоимость объектов жилой (нежилой) недвижимости, включая стоимость земельных участков (прав аренды на земельные участки), на которых расположена указанная недвижимость.

6. Оценка риска изменения стоимости активов, риск изменения стоимости которых не подлежит определению в рамках оценки влияния рисков, указанных в абзацах шестом - восьмом, десятом подпункта 6.5.1 пункта 6.5 настоящего Положения (R1commodity) определяется по формуле:

, где , (в ред. Указания ЦБ РФ от 22.09.2022 N 6252-У)

где:

M - количество активов, к которым не применимы виды риска, указанные в абзацах шестом - восьмом, десятом подпункта 6.5.1 пункта 6.5 настоящего Положения, за исключением банковских вкладов (депозитов), указанных в пункте 3.2 настоящего Положения, доли перестраховщиков в страховых резервах, срочных сделок, задолженности перед страховой организацией, в том числе авансовых платежей и задолженности по налогам и сборам;

- коэффициент увеличения (снижения) стоимости активов, риск изменения стоимости которых не подлежит оценке в рамках оценки влияния рисков, указанных в абзацах шестом - восьмом, десятом подпункта 6.5.1 пункта 6.5 настоящего Положения, определяемый в соответствии с таблицей 8 приложения 2 к настоящему Положению. В случае если актив является товаром, предусмотренным абзацем четвертым подпункта 3.1.2 пункта 3.1 настоящего Положения, или является срочной сделкой, базисным активом которой является аффинированное золото, используется коэффициент 1, иначе - коэффициент 2; (в ред. Указания ЦБ РФ от 22.09.2022 N 6252-У)

- стоимость m-го актива;

- разность стоимости срочных сделок и договоров, к которым не применимы виды риска 1, указанные в абзацах шестом - восьмом, десятом подпункта 6.5.1 пункта 6.5 настоящего Положения, и выплаты по которым определяются в зависимости от изменения стоимости активов, к которым не применимы виды риска 1, указанные в абзацах шестом - восьмом, десятом подпункта 6.5.1 пункта 6.5 настоящего Положения, и стоимости таких договоров, определенной в случае изменения величины (стоимости) предмета (предметов) срочных сделок исходя из снижения стоимости таких активов в соответствии с таблицей 8 приложения 2 к настоящему Положению. Для срочных сделок, являющихся обязательством для страховой организации, указанная разность принимается со знаком "-" (минус). Для биржевых производных финансовых инструментов, предусматривающих перечисление вариационной маржи, показатель равен величине вариационной маржи по биржевому производному финансовому инструменту, рассчитанной с учетом изменения величины (стоимости) базисного актива (базисных активов) исходя из снижения стоимости таких активов в соответствии с таблицей 8 приложения 2 к настоящему Положению, подлежащей уплате страховой организацией. В случае если указанная вариационная маржа подлежит к получению страховой организацией, она принимается со знаком "-" (минус); (в ред. Указания ЦБ РФ от 22.09.2022 N 6252-У)

- разность стоимости резерва инвестиционных обязательств и стоимости резерва инвестиционных обязательств, определенной в случае изменения стоимости активов, риск изменения стоимости которых не подлежит определению в рамках оценки влияния рисков, указанных в абзацах шестом - восьмом, десятом подпункта 6.5.1 пункта 6.5 настоящего Положения, изменение стоимости которых в соответствии с договором страхования ведет к изменению величины резерва инвестиционных обязательств исходя из снижения стоимости таких активов в соответствии с таблицей 8 приложения 2 к настоящему Положению. (в ред. Указания ЦБ РФ от 22.09.2022 N 6252-У)

7. Оценка риска изменения валютного курса () определяется по формуле:

,

где:

- оценка риска изменения валютного курса при росте (up) или снижении (down) валютного курса, определяемая по формуле:

,

где:

,

,

- суммарная стоимость активов страховой организации, определяемая в иностранной валюте либо в соответствии с договором зависящая от курса иностранной валюты, без учета срочных сделок, рассчитанная в соответствии с главой 3 настоящего Положения;

- суммарная стоимость активов страховой организации, определяемая в иностранной валюте либо в соответствии с договором зависящая от курса иностранной валюты, без учета срочных сделок, рассчитанная в соответствии с главой 3 настоящего Положения, в случае роста (up) или снижения (down) курса иностранной валюты на показатель, указанный в таблице 6 приложения 2 к настоящему Положению;

- суммарная стоимость обязательств страховой организации, определяемая в иностранной валюте либо в соответствии с договором зависящая от курса иностранной валюты, рассчитанная в соответствии с главой 4 настоящего Положения, без учета срочных сделок;

- суммарная стоимость обязательств страховой организации, определяемая в иностранной валюте либо в соответствии с договором зависящая от курса иностранной валюты, без учета срочных сделок, рассчитанная в соответствии с главой 4 настоящего Положения, в случае роста (up) или снижения (down) курса иностранной валюты на показатель, указанный в таблице 6 приложения 2 к настоящему Положению;

- разность стоимости срочных сделок и стоимости срочных сделок, определенной в случае изменения величины (стоимости) предмета (предметов) срочных сделок исходя из роста (up) или снижения (down) курса иностранной валюты в соответствии с таблицей 6 приложения 2 к настоящему Положению. Для срочных сделок, являющихся обязательством для страховой организации, указанная разность принимается со знаком "-" (минус). Для биржевых производных финансовых инструментов, предусматривающих перечисление вариационной маржи, показатель равен величине вариационной маржи по производному финансовому инструменту, рассчитанной с учетом изменения величины (стоимости) базисного актива (базисных активов) исходя из роста (up) или снижения (down) курса иностранной валюты в соответствии с таблицей 6 приложения 2 к настоящему Положению, подлежащей уплате страховой организацией. В случае если указанная вариационная маржа подлежит к получению страховой организацией, она принимается со знаком "-" (минус).

8. Оценка риска 2 определяется по формуле:

,

где:

- значение коэффициента корреляции риска 2 между категориями контрагентов i и j в соответствии с таблицей 14 приложения 2 к настоящему Положению;

, - оценка риска 2 по категории контрагентов с номером i (j);

- суммарная стоимость прав требований по учитываемым в расчете договорам страхования в части уплаты страховой премии (страховых взносов), если существует просрочка уплаты страховой премии (страховых взносов) по договорам страхования имущества, заложенного по договору об ипотеке, страхования жизни и здоровья заемщика, страхования от несчастных случаев и болезней заемщика при предоставлении потребительского кредита (займа), в случае, когда обязательства заемщика обеспечены ипотекой, страхования ответственности заемщика, являющегося должником по обеспеченному ипотекой обязательству, с периодом действия страхового покрытия более одного года на срок более 30 рабочих дней от даты уплаты страховой премии (страховых взносов), указанной в договоре страхования, по иным договорам страхования - на срок более 5 рабочих дней от даты уплаты страховой премии (страховых взносов), указанной в договоре страхования; (в ред. Указания ЦБ РФ от 22.09.2022 N 6252-У)

i (j) - номер категории контрагентов, определяемый следующим образом:

все обязанные лица, в отношении которых осуществляется оценка риска 2, распределяются на категории:

1 категория контрагентов:

обязанные лица, если они или их ценные бумаги относятся к 1 - 21 группам кредитного качества, за исключением физических лиц;

обязанные лица, если они являются обязанными по ценным бумагам, являющимся предметом срочной сделки, стороной по которой является страховая организация, или лицом, в зависимости от исполнения обязательств которого определяются денежные потоки по ценным бумагам, принадлежащим страховой организации, срочным сделкам или иным договорам, стороной по которым является страховая организация;

обязанные лица, являющиеся юридическими лицами, если концентрация на обязанное лицо для целей расчета риска 2 превышает пороговое значение K1, определяемое страховой организацией во внутреннем документе и не превышающее 0,5 процента от суммарной стоимости активов страховой организации;

обязанные лица, являющиеся физическими лицами, если концентрация на обязанное лицо для целей расчета риска 2 превышает пороговое значение K2, определяемое страховой организацией во внутреннем документе и не превышающее 0,5 процента от суммарной стоимости активов страховой организации;

обязанные лица, являющиеся страховщиками, участвующими в перестраховочном пуле или ассоциации, в которых установлена солидарная или субсидиарная ответственность участников;

2 категория контрагентов: все обязанные лица - юридические лица, являющиеся обязанными лицами хотя бы по одному активу, для которого в соответствии с подпунктом 6.5.10.2 пункта 6.5 настоящего Положения показатель z равен коэффициенту 1, за исключением лиц из 1 категории контрагентов; (в ред. Указания ЦБ РФ от 22.09.2022 N 6252-У)

3 категория контрагентов: все обязанные лица, являющиеся юридическими лицами, за исключением лиц из 1 и 2 категории контрагентов;

4 категория контрагентов: физические лица, являющиеся обязанными лицами хотя бы по одному активу, для которого в соответствии с подпунктом 6.5.10.2 пункта 6.5 настоящего Положения показатель z равен коэффициенту 1, за исключением лиц из 1 категории контрагентов. (в ред. Указания ЦБ РФ от 22.09.2022 N 6252-У)

5 категория контрагентов: все обязанные лица, являющиеся физическими лицами, за исключением лиц из 1 и 4 категории контрагентов.

9. Оценка риска 2 для 1 категории контрагентов () определяется как (T x Q)-ое максимальное значение предполагаемого убытка Xs, где коэффициент Q (коэффициент риска 2) определяется по таблице 11 приложения 2 к настоящему Положению, а вспомогательная величина T определяется как минимальное целое число от 30 000 по 150 000 так, чтобы значение составляло менее 0,5 процента стоимости активов страховой организации, рассчитанных в соответствии с главой 3 настоящего Положения.

Значение рассчитывается по формуле:

.

Значение предполагаемого убытка Xs в итерации s рассчитывается по формуле:

,

где:

M - число активов и прав требований в части уплаты страховой премии (страховых взносов) по учитываемым в расчете договорам страхования, за исключением прав требований, учтенных в расчете показателя (далее для целей настоящего пункта - актив), обязанные лица по которым относятся к 1 категории контрагентов; (в ред. Указания ЦБ РФ от 22.09.2022 N 6252-У)

- стоимость m-го актива;

(s) - стоимость m-го актива исходя из предположений о дефолтах, сделанных в итерации s;

M'(s) - число случаев, когда исходя из предположений о дефолтах, сделанных в итерации s, у страховой организации возникают дополнительные обязательства в силу закона или заключенного договора, в том числе в силу условий о солидарной или субсидиарной ответственности по заключенному страховой организацией договору сострахования, или по условиям перестраховочного пула или ассоциации, членом которых является страховая организация (далее - дополнительные обязательства);

'(s) - вспомогательная величина, определяемая по формуле:

,

где:

- страховые резервы за вычетом вспомогательной величины ЭНП, рассчитанные исходя из предположения о дефолтах, сделанных в итерации s, с учетом норм закона или условий договора (в том числе договора сострахования, договора о совместной деятельности), устава ассоциации, устанавливающих дополнительные обязательства страховой организации; (в ред. Указания ЦБ РФ от 22.09.2022 N 6252-У)

- справедливая стоимость дополнительных обязательств, денежные потоки по которым не учитываются при формировании страховых резервов в соответствии с главой 5 настоящего Положения, рассчитанная в соответствии с МСФО (IFRS) 13 и внутренним документом исходя из предположения о дефолтах, сделанных в итерации s, с учетом норм закона или условий договора (в том числе договора сострахования, договора о совместной деятельности), устава ассоциации, устанавливающих дополнительные обязательства страховой организации;

- страховые резервы за вычетом вспомогательной величины ЭНП; (в ред. Указания ЦБ РФ от 22.09.2022 N 6252-У)

- справедливая стоимость дополнительных обязательств, денежные потоки по которым не учитываются при формировании страховых резервов в соответствии с главой 5 настоящего Положения, рассчитанная в соответствии с МСФО (IFRS) 13 и внутренним документом, с учетом норм закона или условий договора (в том числе договора сострахования, договора о совместной деятельности), устава ассоциации, устанавливающих дополнительные обязательства страховой организации.

Предположения о дефолтах определяются для каждого обязанного лица, которое относится к 1 категории контрагентов. Для каждого обязанного лица рассчитывается равномерно распределенная случайная величина в промежутке от 0 до 1 включительно с точностью не менее семи знаков после запятой.

Дефолт по активу предполагается, если:

исполнение обязательств по активу не обеспечено поручительством (независимой гарантией), соответствующим (соответствующей) условиям, указанным в подпункте 3.1.8 пункта 3.1 настоящего Положения, и значение случайной величины, рассчитанной для обязанного лица по активу, меньше вероятности дефолта по активу;

исполнение обязательств по активу (правам требования по договору страхования) обеспечено поручительством (независимой гарантией), соответствующим (соответствующей) условиям, указанным в подпункте 3.1.8 пункта 3.1 настоящего Положения, и значение случайной величины, рассчитанной для обязанного лица по активу (правам требования по договору страхования), меньше вероятности дефолта по активу (правам требования по договору страхования), а также значение случайной величины, рассчитанной для поручителя (гаранта) по активу (правам требования по договору страхования), меньше вероятности дефолта поручителя (гаранта) по активу (правам требования по договору страхования).

Дефолт обязанного лица, являющегося лицом, в зависимости от исполнения обязательств которым определяются денежные потоки по ценным бумагам, принадлежащим страховой организации, срочным сделкам, правам требования по договору страхования или иным договорам, стороной по которым является страховая организация, предполагается, если значение случайной величины, рассчитанной для такого лица, меньше вероятности дефолта такого лица.

В зависимости от вида m-го актива (от прав требований по договору страхования) его стоимость исходя из предположений о дефолтах, сделанных в итерации s, определяется следующим образом:

ноль для активов, у обязанных лиц по которым отсутствует кредитный рейтинг (кроме облигаций), для акций и субординированных облигационных займов, условиями эмиссии которых предусмотрено осуществление конвертации в обыкновенные акции, если по таким активам предполагается дефолт в итерации s;

35 процентов от номинальной стоимости облигаций, исполнение обязательств по которым не обеспечено залогом, вклада по договору банковского вклада, но не более их стоимости на дату расчета, от стоимости иных активов, исполнение обязательств по которым не обеспечено залогом, если по таким активам предполагается дефолт в итерации s;

сумма денежных потоков по активу, по которому не предполагается дефолт в итерации s, если по лицам, в зависимости от исполнения обязательств которыми определяются денежные потоки по активу, предполагается дефолт в итерации s;

стоимость ценных бумаг и иного имущества, являющихся предметом залога по активу, но не более величины обязательства, обеспеченного залогом, если по активу предполагается дефолт в итерации s, а по обязанным лицам по таким ценным бумагам и иным правам требований, являющимся предметом залога, не предполагается дефолт в итерации s;

стоимость недвижимости, являющейся залогом по активу, определенная в соответствии с пунктом 3.6 настоящего Положения и умноженная на коэффициент изменения цен объекта недвижимости, определенный в соответствии с пунктом 5 приложения 1 к настоящему Положению, но не более величины обязательства, обеспеченного залогом, если по активу предполагается дефолт в итерации s;

50 процентов от стоимости залога по активу, но не более величины обязательства, обеспеченного залогом, за исключением видов залога, перечисленных в абзацах двадцать седьмом и двадцать восьмом настоящего пункта, определенной в соответствии с главой 3 настоящего Положения, если по активу предполагается дефолт в итерации s;

ноль в иных случаях, если по активу или по обязанному лицу по активу предполагается дефолт в итерации s;

стоимость m-го актива в иных случаях.

10. Оценка риска 2 для 2 категории контрагентов () определяется по формуле:

,

где:

g - число групп, на которое разбиваются обязанные лица, отнесенные ко 2 категории контрагентов, исходя из концентрации на обязанное лицо для целей расчета риска 2, определяемой в соответствии с требованиями пункта 1 настоящего приложения, и из используемого коэффициента z, определяемого в соответствии с подпунктом 6.5.10.2 пункта 6.5 настоящего Положения. Для целей настоящего пункта в расчет концентрации на обязанное лицо для целей расчета риска 2 не включаются права требования по учитываемым в расчете договорам страхования в части уплаты страховой премии (страховых взносов), учитываемые в расчете показателя ;

- максимальная по группе i концентрация на обязанное лицо для целей расчета риска 2;

- сумма по группе i концентраций на обязанное лицо для целей расчета риска 2;

- суммарная доля стоимости акций в совокупной стоимости активов, обязанные лица по которым отнесены к i-ой группе, субординированного облигационного займа, если условиями эмиссии предусмотрена его конвертация в обыкновенные акции;

- количество дефолтов в i-ой группе, определяемое по формуле:

,

где:

Q - коэффициент риска 2, определяемый согласно таблице 11 приложения 2 к настоящему Положению;

;

Mi - число обязанных лиц в i-ой группе;

z равно коэффициенту 1; (в ред. Указания ЦБ РФ от 22.09.2022 N 6252-У)

PD - вероятность дефолта по 19 группе кредитного качества в соответствии с таблицей 1 приложения 2 к настоящему Положению. (в ред. Указания ЦБ РФ от 22.09.2022 N 6252-У)

Обязанное лицо, отнесенное ко 2 категории контрагентов, с концентрацией на обязанное лицо для целей расчета риска 2 величиной не менее li и менее li+1 попадает в группу i + 1, значение Emax попадает в группу i + 1, где li определяется по формуле:

,

где:

- максимальное (минимальное) значение концентрации на обязанное лицо для целей расчета риска 2 по всем обязанным лицам, отнесенным ко 2 категории контрагентов;

n равно 1, если количество обязанных лиц, отнесенных ко 2 категории контрагентов, меньше 100, n равно 10 - если меньше 50 000, n равно 100 - если больше или равно 50 000 и меньше 500 000, n равно 1 000 - если больше или равно 500 000;

i принимает значения от 0 до n - 1.

В случае если в группу попадает не менее 100 лиц, она считается заполненной. Если группа не заполнена, то она объединяется со следующей. Если последняя группа не заполнена, то она объединяется с предыдущей.

11. Оценка риска 2 для 3 категории контрагентов () производится в соответствии с пунктом 10 настоящего приложения с учетом показателя z, равного коэффициенту 2. (в ред. Указания ЦБ РФ от 22.09.2022 N 6252-У)

12. Оценка риска 2 для 4 категории контрагентов (), производится в соответствии с пунктом 10 настоящего приложения с учетом следующего:

показатель равен нулю;

PD - вероятность дефолта по 15 группе кредитного качества в соответствии с таблицей 1 приложения 2 к настоящему Положению.

13. Оценка риска 2 для 5 категории контрагентов (), производится в соответствии с пунктом 12 настоящего приложения с учетом показателя z, равного коэффициенту 2. (в ред. Указания ЦБ РФ от 22.09.2022 N 6252-У)

Приложение 2
к Положению Банка России
от 16 ноября 2021 года N 781-П
"О требованиях к финансовой устойчивости
и платежеспособности страховщиков"

ТАБЛИЦЫ КОЛИЧЕСТВЕННЫХ ПОКАЗАТЕЛЕЙ

(в ред. Указания ЦБ РФ от 22.09.2022 N 6252-У)

Таблица 1

Определение вероятности дефолта на годовом горизонте в зависимости от группы кредитного качества

N п/пНомер группы кредитного качестваВероятность дефолта в годовом горизонте, %
123
110,01
220,02
330,03
440,04
550,05
660,06
770,07
880,12
990,17
10100,25
11110,50
12120,70
13131,30
14142,10
15153,50
16165,00
17178,00
181815,00
191924,00
202035,00
212150,00
222250,00
2323100,00

Таблица 2

Коэффициент изменения кредитного спреда в зависимости от группы кредитного качества

N п/пПериодКоэффициент изменения кредитного спреда в зависимости от группы кредитного качества (абсолютное изменение в процентных пунктах)
1 группа2 - 4 группы5 - 7 группы8 - 10 группы11 - 13 группы14 - 17 группы18 - 23 группы
123456789
101.01.2023 - 30.06.20230,060,070,090,210,290,542,94
201.07.2023 - 30.06.20240,130,160,210,520,740,975,28
301.07.2024 - 30.06.20250,180,220,280,680,961,467,98
4начиная с 01.07.20250,220,270,340,81,151,9510,64

Таблица 3

Относительное увеличение или уменьшение процентных ставок, если валютой процентной ставки является российский рубль

N п/пПериодОтносительное увеличение/уменьшение процентных ставок, %
Менее 0,25 года0,5 года1 год2 года3 года5 лет7 лет10 лет20 летБолее 30 лет
123456789101112
101.01.2023 - 30.06.202314/-1213/-129/-128/-126/-126/-106/-86/-65/-24/0
201.07.2023 - 30.06.202433/-1832/-1728/-1621/-1619/-1618/-1617/-1515/-139/-87/-5
301.07.2024 - 30.06.202549/-2949/-2641/-2239/-2140/-2137/-2132/-2126/-1914/-1310/-11
4начиная с 01.07.202562/-3859/-3558/-3155/-2954/-2848/-2742/-2634/-2420/-1814/-15

Таблица 4

Относительное увеличение или уменьшение процентных ставок, если валюта процентной ставки иная, чем российский рубль

N п/пПериодОтносительное увеличение/уменьшение процентных ставок, %
Менее 0,25 года0,5 года1 год2 года3 года5 лет7 лет10 лет20 летБолее 30 лет
123456789101112
101.01.2023 - 30.06.202380/-2551/-1949/-1932/023/-79/-133/-110/-110/-91/-6
201.07.2023 - 30.06.2024167/-57114/-4398/-3657/-3254/-2840/-2432/-2026/-1815/-1511/-13
301.07.2024 - 30.06.2025278/-81169/-63118/-4875/-4772/-4257/-3345/-2936/-2624/-2318/-22
4начиная с 01.07.2025526/-87250/-74140/-6084/-5581/-4970/-4158/-3542/-3029/-3024/-27

Таблица 5

Коэффициент увеличения (снижения) стоимости акций

N п/пПериодКоэффициент 1 увеличения (up) стоимости акции (относительное изменение), %Коэффициент 1 снижения (down) стоимости акции (относительное изменение), %Коэффициент 2 увеличения (up) стоимости акции (относительное изменение), %Коэффициент 2 снижения (down) стоимости акции (относительное изменение), %
123456
101.01.2023 - 30.06.20230000
201.07.2023 - 30.06.20244-412-12
301.07.2024 - 30.06.202510-1020-20
4начиная с 01.07.202518-1825-25

Таблица 6

Коэффициент изменения курса иностранной валюты по отношению к российскому рублю

N п/пПериодКоэффициент роста (up) курса иностранной валюты по отношению к российскому рублю (относительное изменение), %Коэффициент снижения (down) курса иностранной валюты по отношению к российскому рублю (относительное изменение), %
1234
101.01.2023 - 30.06.2023100
201.07.2023 - 30.06.202418-3
301.07.2024 - 30.06.202533-7
4начиная с 01.07.202544-9

Таблица 7

Коэффициенты снижения стоимости жилой и нежилой недвижимости

N п/пПериодКоэффициент 1 снижения стоимости жилой недвижимости (относительное снижение), %Коэффициент 2 снижения стоимости нежилой недвижимости (относительное снижение), %
1234
101.01.2023 - 30.06.20231025
201.07.2023 - 30.06.20241025
301.07.2024 - 30.06.20251025
4начиная с 01.07.20251025

Таблица 8.

Коэффициенты увеличения (снижения) стоимости активов, риск изменения стоимости которых не подлежит определению в рамках оценки влияния рисков, указанных в абзацах шестом - восьмом, десятом подпункта 6.5.1 пункта 6.5 настоящего Положения

(в ред. Указания ЦБ РФ от 22.09.2022 N 6252-У)

N п/пПериодКоэффициент 1 увеличения (up) стоимости аффинированного золота (относительное изменение), %Коэффициент 1 снижения (down) стоимости аффинированного золота (относительное изменение), %Коэффициент 2 увеличения (up) стоимости иных активов (относительное изменение), %Коэффициент 2 снижения (down) стоимости иных активов (относительное изменение), %
123456
101.01.2023 - 30.06.20230050-50
201.07.2023 - 30.06.20244-450-50
301.07.2024 - 30.06.202510-1050-50
4начиная с 01.07.202518-1850-50

Таблица 9

Коэффициент концентрации (СТ)

КоэффициентЗначение, %
СТ10

Таблица 10

Предельный срок для определения задолженности перед страховой организацией страховых агентов и страховых (перестраховочных) брокеров

ПоказательСрок
Предельный срок10 рабочих дней

Таблица 11

Коэффициент риска 2 (Q)

N п/пПериодКоэффициент Q, %
123
101.01.2023 - 30.06.202360
201.07.2023 - 30.06.202475
301.07.2024 - 30.06.202585
4Начиная с 01.07.202590

Таблица 12

Коэффициенты корреляции рисков 1 и 2

i \ jРиск1Риск2
Риск110,25
Риск20,251

Таблица 13

Коэффициенты корреляции видов риска 1

i \ jКонцентрационный рискРиск изменения кредитного спредаРиск изменения процентных ставокРиск изменения стоимости акцийРиск изменения валютного курсаРиск изменения цен на недвижимостьРиск изменения цен на активы, риск изменения стоимости которых не подлежит определению в рамках оценки влияния рисков, указанных в абзацах шестом - восьмом, десятом подпункта 6.5.1 пункта 6.5 настоящего Положения
Концентрационный риск1000000
Риск изменения кредитного спреда0111111
Риск изменения процентных ставок01110,7511
Риск изменения стоимости акций0111111
Риск изменения валютного курса010,751111
Риск изменения цен на недвижимость0111111
Риск изменения цен на активы, риск изменения стоимости которых не подлежит определению в рамках оценки влияния рисков, указанных в абзацах шестом - восьмом, десятом подпункта 6.5.1 пункта 6.5 настоящего Положения0111111

Таблица 14

Коэффициенты корреляции риска 2 между категориями контрагентов

i \ j1 категория контрагентов2 категория контрагентов3 категория контрагентов4 категория контрагентов5 категория контрагентов
1 категория контрагентов10,750,750,250,25
2 категория контрагентов0,75110,250,25
3 категория контрагентов0,75110,250,25
4 категория контрагентов0,250,250,2511
5 категория контрагентов0,250,250,2511

Таблица 15.

Значения коэффициента z

(в ред. Указания ЦБ РФ от 22.09.2022 N 6252-У)

Коэффициент 1Коэффициент 2
21

Таблица 16.

Коэффициент снижения стоимости активов

(в ред. Указания ЦБ РФ от 22.09.2022 N 6252-У)

N п/пПериодКоэффициент снижения стоимости
112
1с 01.01.20231

Приложение 3
к Положению Банка России
от 16 ноября 2021 года N 781-П
"О требованиях к финансовой устойчивости
и платежеспособности страховщиков"

РАСЧЕТ ВСПОМОГАТЕЛЬНОЙ ВЕЛИЧИНЫ ДПУФ

(в ред. Указания ЦБ РФ от 22.09.2022 N 6252-У)

1. Для расчета вспомогательной величины по учетной группе данные об осуществленных до расчетной даты включительно страховых выплатах, за исключением возвратов части страховых премий при досрочном прекращении договоров страхования, по договорам страхования, относимым к учетной группе группируются:

по кварталам, на которые приходятся даты наступления страховых случаев или событий, инициирующих страховой случай, если дата наступления такого события отличается от даты страхового случая (далее - квартал наступления убытков);

по кварталам (нарастающим итогом), в которые указанные в абзаце первом настоящего пункта страховые выплаты были осуществлены страховщиком (далее - квартал оплаты убытков).

Расчет вспомогательной величины осуществляется в основной валюте учетной группы.

Для расчета вспомогательной величины строится треугольник развития убытков в соответствии со следующей таблицей:

Треугольник развития убытков

Квартал оплаты убытков (j)
123...(N - 2)(N - 1)N
Квартал наступления убытков (i)1x(1, 1)x(1, 2)x(1, 3)...x(1, N - 2)x(1, N - 1)x(1, N)
2x(2, 1)x(2, 2)x(2, 3)...x(2, N - 2)x(2, N - 1) 
3x(3, 1)x(3, 2)x(3, 3)...x(3, N - 2)  
...............   
(N - 2)x(N - 2, 1)x(N - 2, 2)x(N - 2, 3)    
(N - 1)x(N - 1, 1)x(N - 1, 2)     
Nx(N, 1)      

где:

x(i, j) - страховые выплаты, осуществленные нарастающим итогом на конец j-го квартала оплаты убытков (начиная от i-ого квартала наступления убытков включительно), по страховым случаям, относящимся к i-му кварталу наступления убытков, по договорам страхования, относимым к учетной группе;

N - число кварталов, за которые рассматриваются данные о страховых выплатах.

2. При построении треугольника развития убытков кварталом наступления убытков по договору, принятому в перестрахование, у перестраховщика является квартал наступления убытков по основному договору.

3. При построении треугольника развития убытков по учетной группе 3 при прямом возмещении убытков кварталом оплаты убытков является квартал, в котором произведено возмещение в счет страхового возмещения по договору обязательного страхования гражданской ответственности владельцев транспортных средств страховщику, осуществившему прямое возмещение убытков, возмещенных им потерпевшему вред.

4. Вспомогательная величина ЗНУ(i) по учетной группе рассчитывается как неотрицательная наилучшая оценка стоимости денежных потоков по страховым выплатам по договорам страхования, относимым к учетной группе, в отношении страховых случаев, заявленных страховщику до расчетной даты, если страховой случай или событие, инициирующее страховой случай, дата которого отличается от даты страхового случая, произошли в квартале наступления убытков i. Для оценки ЗНУ(i) используются только денежные потоки из прогноза денежных потоков, строящегося в соответствии с подпунктом 5.3.1 пункта 5.3 настоящего Положения.

При расчете величины ЗНУ(i) по учетной группе 3 при прямом возмещении убытков датой заявления страховщику о наступлении страхового случая является дата поступления предварительного уведомления.

5. На основе треугольника развития убытков оцениваются величины y(j), C(j, j + 1), H(j), L(j), U(i), , V(i), R(i), ПНУ(i), Y(i), Z(i), W(i, j), W(i, j), :

;

; (в ред. Указания ЦБ РФ от 22.09.2022 N 6252-У)

;

;

;

где:

ЗП(i) - заработанная страховая премия, рассчитанная в соответствии с подпунктом 5.5.5 пункта 5.5 настоящего Положения, за i-й квартал наступления убытков по договорам страхования, относимым к учетной группе;

;

; (в ред. Указания ЦБ РФ от 22.09.2022 N 6252-У)

R(i) = (1 - L(N - i + 1)) x V(i), i = 2 ... N;

ПНУ(i) = max(R(i) - ЗНУ(i); 0), i = 2 ... N;

Y(i) = ПНУ(i) + ЗНУ(i), i = 2 ... N;

Z(i) = Y(i) + x(i, N - i + 1), i = 2 ... N;

W(i, j) = Z(i) x L(j), i = 2 .. N, j = N .. (N - i + 2); (в ред. Указания ЦБ РФ от 22.09.2022 N 6252-У)

; (в ред. Указания ЦБ РФ от 22.09.2022 N 6252-У)

, (в ред. Указания ЦБ РФ от 22.09.2022 N 6252-У)

где:

- величина приведенной стоимости .

- сумма вспомогательных величин ЗНУ, рассчитанных в соответствии с пунктом 4 настоящего приложения, по кварталам наступления убытков i, предшествующим отчетной дате на N кварталов и более. (в ред. Указания ЦБ РФ от 22.09.2022 N 6252-У)

6. При расчете по учетным группам 1, 2, 7 - 10, 16 число N (число кварталов, за которые рассматриваются данные о страховых выплатах) должно быть не менее 12, но не более 20. При расчете ДПУФ по учетным группам 3 - 6, 11 - 15, 17 число N должно быть равно 20.

7. В случае если по учетной группе доступны данные о страховых выплатах менее чем за установленное пунктом 6 настоящего приложения число кварталов или величина заработанной страховой премии хотя бы в один из этих кварталов неположительна, ДПУФ по учетной группе не может быть менее неотрицательной разности 77 процентов от суммы заработанной страховой премии по договорам страхования, относящимся к учетной группе, за предшествующие расчетной дате 4 календарных квартала и суммы страховых выплат по договорам страхования, относящимся к учетной группе, выплаченных за тот же период.

8. При построении таблицы треугольника развития убытков на расчетную дату допускается исключение страховых выплат по не более чем трем страховым случаям, включение которых приводит к увеличению более чем на 30 процентов от вспомогательной величины , рассчитанной по скорректированным данным, или приводит к увеличению более чем на 10 процентов от заработанной страховой премии за предшествующие расчетной дате 12 месяцев по сравнению с ДПУФ, рассчитанной по скорректированным данным.

Приложение 4
к Положению Банка России
от 16 ноября 2021 года N 781-П
"О требованиях к финансовой устойчивости
и платежеспособности страховщиков"

РАСЧЕТ ВСПОМОГАТЕЛЬНОЙ ВЕЛИЧИНЫ ОРСФ

(в ред. Указания ЦБ РФ от 22.09.2022 N 6252-У)

1. В случае если по учетной группе доступны данные о страховых выплатах, менее чем за установленное пунктом 6 приложения 3 к настоящему Положению число кварталов или величина заработанной страховой премии хотя бы в один из этих кварталов неположительна, вспомогательная величина по учетной группе равна 0, иначе вспомогательная величина рассчитывается в соответствии с требованиями пунктов 2 - 6 настоящего приложения.

2. Для расчета вспомогательной величины по учетной группе данные о поступивших до расчетной даты суммах по суброгациям, регрессам и от реализации годных остатков по договорам страхования, относимым к учетной группе, группируются:

по кварталам наступления убытков, к которым относятся страховые случаи, в результате страховых выплат по которым к страховщику перешли права требования в порядке суброгации, регресса или страхователь (выгодоприобретатель) отказался от своих прав на застрахованное имущество в пользу страховщика;

по кварталам (нарастающим итогом) получения страховщиком поступлений по суброгациям, регрессам и от реализации годных остатков (далее - квартал получения средств).

Расчет вспомогательной величины осуществляется в основной валюте учетной группы.

Для расчета вспомогательной величины строится треугольник развития поступлений по суброгациям, регрессам и от реализации годных остатков в соответствии со следующей таблицей:

Треугольник развития поступлений по суброгациям, регрессам и от реализации годных остатков

Квартал поступления денежных средств (j)
123...(M - 2)(M - 1)M
Квартал наступления убытков (i)1y(1, 1)y(1, 2)y(1, 3)...y(1, M - 2)y(1, M - 1)y(1, M)
2y(2, 1)y(2, 2)y(2, 3)...y(2, M - 2)y(2, M - 1) 
3y(3, 1)y(3, 2)y(3, 3)...y(3, M - 2)  
............    
(M - 2)y(M - 2, 1)y(M - 2, 2)y(M - 2, 3)    
(M - 1)y(M - 1, 1)y(M - 1, 2)     
My(M, 1)      

где:

y(i, j) - размер поступлений по суброгациям, регрессам и от реализации годных остатков, полученных нарастающим итогом на конец j-ого квартала получения средств начиная от i-ого квартала наступления убытков включительно, по страховым случаям, относящимся к i-му кварталу наступления убытков, по договорам страхования, относимым к учетной группе;

M - число кварталов, за которые рассматриваются данные о поступлениях по суброгациям, регрессам и от реализации годных остатков.

3. На основе треугольника развития поступлений по суброгациям, регрессам и от реализации годных остатков рассчитываются величины y(j), C(j, j + 1), H(j), L(j), U(i), Z'(i), U', , V(i), O(i), W(i, j), , :

;

; (в ред. Указания ЦБ РФ от 22.09.2022 N 6252-У)

;

;

,

где:

Z'(i) определяется в следующем порядке:

величина Z(i - (M - N)) для i > M - N + 1 (где N - число кварталов, за которые рассматриваются данные о страховых выплатах, указанных в пункте 1 приложения 3 к настоящему Положению) - вспомогательная величина, рассчитанная в соответствии с пунктом 5 приложения 3 к настоящему Положению по учетной группе; для iM-N+1 - сумма страховых выплат, произведенных до расчетной даты включительно, по страховым случаям, относящимся к i-му кварталу наступления убытков, по договорам страхования, относимым к учетной группе;

;

;

0(i) = min(max((1 - L(M - i + 1)) x V(i) - ПТ(i); 0)"; Y(i)) + y(i, M - i + 1), i = 2 ... M, (в ред. Указания ЦБ РФ от 22.09.2022 N 6252-У)

где:

ПТ(i) - совокупный размер прав требований по суброгациям и регрессам по страховым случаям, относящимся к i-му кварталу наступления убытков, по договорам страхования, относимым к учетной группе;

Y(i) - вспомогательная величина, рассчитанная согласно пункту 5 приложения 3 к настоящему Положению;

W(i,j) = 0(i) x L(j), i = 2 ... M, j = M, M - 1 ... (M - i + 2); (в ред. Указания ЦБ РФ от 22.09.2022 N 6252-У)

; (в ред. Указания ЦБ РФ от 22.09.2022 N 6252-У)

,

где:

- величина приведенной стоимости ;

ОУ - 10 процентов и 15 процентов от суммы произведенных страховых выплат по договорам страхования, относимым к учетной группе 3 и 7 соответственно за четыре квартала, предшествующие расчетной дате. (в ред. Указания ЦБ РФ от 22.09.2022 N 6252-У)

4. При расчете число M (число кварталов, за которые рассматриваются данные о поступлениях по суброгациям, регрессам и от реализации годных остатков) должно быть не менее 12 и не более 32. (в ред. Указания ЦБ РФ от 22.09.2022 N 6252-У)

5. Вспомогательная величина по дополнительной учетной группе определяется по формуле:

,

где:

- величина , рассчитанная в соответствии с приложением 3 к настоящему Положению, по дополнительной учетной группе;

- сумма величин по всем дополнительным учетным группам, составляющим учетную группу;

- вспомогательная величина, рассчитанная по учетной группе.

Приложение 5
к Положению Банка России
от 16 ноября 2021 года N 781-П
"О требованиях к финансовой устойчивости
и платежеспособности страховщиков"

РАСЧЕТ ВСПОМОГАТЕЛЬНОЙ ВЕЛИЧИНЫ РМ

(в ред. Указания ЦБ РФ от 22.09.2022 N 6252-У)

1. Вспомогательная величина РМ рассчитывается по формуле: (в ред. Указания ЦБ РФ от 22.09.2022 N 6252-У)

, (в ред. Указания ЦБ РФ от 22.09.2022 N 6252-У)

где: (в ред. Указания ЦБ РФ от 22.09.2022 N 6252-У)

- величина, рассчитанная по учетной группе i в соответствии с пунктом 2 настоящего приложения; (в ред. Указания ЦБ РФ от 22.09.2022 N 6252-У)

ЭНП - вспомогательная величина, рассчитываемая в следующем порядке: (в ред. Указания ЦБ РФ от 22.09.2022 N 6252-У)

, (в ред. Указания ЦБ РФ от 22.09.2022 N 6252-У)

где: (в ред. Указания ЦБ РФ от 22.09.2022 N 6252-У)

d - расчетная дата; (в ред. Указания ЦБ РФ от 22.09.2022 N 6252-У)

- дата 31.12.2025; (в ред. Указания ЦБ РФ от 22.09.2022 N 6252-У)

- сумма резерва инвестиционных обязательств, ДПП, ДПУ, величины , РПВУ и стабилизационного резерва, уменьшенная на величину доли перестраховщиков в них. Все указанные величины формируются в соответствии с главой 5 настоящего Положения по состоянию на расчетную дату 1 января 2023 года; (в ред. Указания ЦБ РФ от 22.09.2022 N 6252-У)

СО2022 - сумма страховых резервов по страхованию жизни и по страхованию иному, чем страхование жизни, уменьшенная на величину доли перестраховщиков в них, в соответствии с данными надзорной отчетности по отчетному периоду 2022 года. (в ред. Указания ЦБ РФ от 22.09.2022 N 6252-У)

2. Расчет величины по учетной группе i осуществляется по формуле: (в ред. Указания ЦБ РФ от 22.09.2022 N 6252-У)

, (в ред. Указания ЦБ РФ от 22.09.2022 N 6252-У)

где:

n - число лет, округленное в большую сторону, от расчетной даты до максимальной предполагаемой даты полного исполнения обязательств по учитываемым в расчете договорам, относимым к учетной группе;

SCR(t) - величина, рассчитанная по учетной группе i в соответствии с пунктом 3 настоящего приложения;

PV(SCR(t)) - величина приведенной стоимости SCR(t);

t = 0 - расчетная дата, t = 1 (-1) - дата, отстоящая на календарный год вперед (назад) от расчетной даты, и так далее до t = n. Для целей настоящего приложения, если расчетная дата не совпадает с концом квартала, то показатели определяются по состоянию на конец последнего календарного квартала, предшествующего расчетной дате, иначе показатели определяются по состоянию на расчетную дату;

СтР - вспомогательная величина, рассчитанная по учетной группе i в соответствии с пунктом 4 настоящего приложения;

- ставка доходности для денежных потоков в российских рублях, определяемая согласно подпункту 5.3.14 пункта 5.3 настоящего Положения, для платежа со сроком 1 год;

Кж - вспомогательная величина по учетной группе i, определяемая в соответствии с подпунктом 6.3.1 пункта 6.3 настоящего Положения;

j - порядковый номер очередного денежного потока, входящего в состав денежных потоков, учитываемых в оценке ДПП и ДПУ по учетной группе i, с расчетной даты;

J - число денежных потоков;

- величина приведенной стоимости денежного потока j в российских рублях;

- вероятность реализации денежного потока j;

- дата денежного потока. (в ред. Указания ЦБ РФ от 22.09.2022 N 6252-У)

Абзац шестнадцатый. - Утратил силу. (в ред. Указания ЦБ РФ от 22.09.2022 N 6252-У)

3. Расчет показателя SCR(t) по учетной группе осуществляется по формуле:

,

где:

p - индекс календарного года; под p = 0 (- 1, - 2) понимается первый (второй, третий) год (четыре квартала), предшествующий дате t, под p = 1 (2, 3) понимается первый (второй, третий) год, следующий за датой t;

СУ(p) - вспомогательная величина, определяемая в следующем порядке:

для , где i - календарный квартал, где Z(i) рассчитывается в соответствии с пунктом 5 приложения 3 к настоящему Положению; (в ред. Указания ЦБ РФ от 22.09.2022 N 6252-У)

для p > 0 - взвешенная по вероятности сумма денежных потоков по страховым выплатам по договорам страхования, относимым к учетной группе, в отношении страховых случаев или событий, инициирующих страховой случай (если дата такого события отличается от даты страхового случая), произошедших в период p, из прогноза денежных потоков, строящегося в соответствии с подпунктом 5.3.1 пункта 5.3 настоящего Положения;

K - поправочный коэффициент по учетной группе, рассчитанный в соответствии с подпунктом 6.3.2.4 пункта 6.3 настоящего Положения.

4. Вспомогательная величина СтР по учетной группе определяется в следующем порядке.

Вспомогательная величина СтР по учетной группе 3 на расчетную дату принимается равной величине резерва для компенсации расходов на осуществление страховых выплат и на прямое возмещение убытков по обязательному страхованию гражданской ответственности владельцев транспортных средств в последующие периоды (стабилизационный резерв по обязательному страхованию гражданской ответственности владельцев транспортных средств) по данным отчетности, предоставленной страховщиком в Банк России по состоянию на 30 июня 2022 года. В случае если по учетной группе 9 стабилизационный резерв формируется, вспомогательная величина СтР по учетной группе 9 принимается равной вспомогательной величине СР, рассчитанной в соответствии с требованиями приложения 6 к настоящему Положению. В ином случае вспомогательная величина СтР по учетной группе 9 на расчетную дату принимается равной вспомогательной величине СтР по состоянию на предшествующую расчетную дату (для 31 декабря 2022 года - величине стабилизационного резерва по учетной группе 9 по данным отчетности, предоставленной страховщиком в Банк России по состоянию на 31 декабря 2022 года). (в ред. Указания ЦБ РФ от 22.09.2022 N 6252-У)

По учетным группам 5, 8, 11 и 15 вспомогательная величина СтР на расчетную дату принимается равной вспомогательной величине СтР по соответствующей учетной группе по состоянию на конец календарного года, предшествующего расчетной дате (для 31 декабря 2022 года - величине стабилизационного резерва по соответствующей учетной группе по данным отчетности, предоставленной страховщиком в Банк России по состоянию на 31 декабря 2022 года), уменьшенной на сумму величин страховых выплат, учитываемых для целей расчета вспомогательной величины СтР по соответствующей учетной группе, за вычетом доли перестраховщиков в них. Страховая выплата учитывается для целей расчета вспомогательной величины СтР по учетным группам 5, 8, 11 и 15, если одновременно выполнены следующие требования:

страховая выплата по договору страхования, относящемуся к соответствующей учетной группе, произведена в расчетном периоде;

величина страховой выплаты за вычетом доли перестраховщиков в ней превышает 10 процентов от заработанной страховой премии по договорам страхования, относящимся к соответствующей учетной группе, за 12 месяцев, предшествующих расчетной дате.

По учетным группам 1, 2, 4, 6, 7, 10, 12 - 14, 16, 17 вспомогательная величина СтР рассчитывается в порядке, указанном в положении о формировании страховых резервов, и не может превышать вспомогательную величину СтР по соответствующей учетной группе по состоянию на предшествующую расчетную дату (для 31 декабря 2022 года - величину стабилизационного резерва по соответствующей учетной группе по данным отчетности, предоставленной страховщиком в Банк России по состоянию на 31 декабря 2022 года).

Приложение 6
к Положению Банка России
от 16 ноября 2021 года N 781-П
"О требованиях к финансовой устойчивости
и платежеспособности страховщиков"

РАСЧЕТ ВСПОМОГАТЕЛЬНОЙ ВЕЛИЧИНЫ СР

(в ред. Указания ЦБ РФ от 22.09.2022 N 6252-У)

1. Для целей настоящего приложения расчетным периодом является период с 1 января года, содержащего расчетную дату, по конец последнего календарного квартала, предшествующего расчетной дате, если расчетная дата не совпадает с концом квартала, иначе - по расчетную дату.

2. Вспомогательная величина СР по учетной группе на расчетную дату принимается равной неотрицательной сумме вспомогательной величины СР по учетной группе на конец календарного года, предшествующего расчетной дате (на 31 декабря 2022 года - величины стабилизационного резерва по учетной группе 9, в случае если он формировался), и величины изменения СР по учетной группе, но не более установленной Федеральным законом "О государственной поддержке в сфере сельскохозяйственного страхования и о внесении изменений в Федеральный закон "О развитии сельского хозяйства" предельной величины стабилизационного резерва (для учетной группы 9). (в ред. Указания ЦБ РФ от 22.09.2022 N 6252-У)

В случае если на конец календарного года, предшествующего расчетной дате, стабилизационный резерв по учетной группе 9 не формировался, вспомогательная величина СР по указанной учетной группе на конец такого календарного года принимается равной нулю. (в ред. Указания ЦБ РФ от 22.09.2022 N 6252-У)

В случае если на конец календарного года, предшествующего дате вступления в силу настоящего Положения, стабилизационный резерв по учетным группам 5 и 11 формировался, вспомогательная величина СР по соответствующей учетной группе на конец такого календарного года принимается равной нулю.

В случае если на конец календарного года, предшествующего расчетной дате, СР по учетным группам 5 и 11 не рассчитывался, вспомогательная величина СР по соответствующей учетной группе на конец такого календарного года принимается равной нулю.

Величина изменения СР по учетной группе рассчитывается как:

неотрицательное превышение величиной доходов по такой учетной группе за расчетный период, умноженной на коэффициент 0,95, величины расходов по такой учетной группе за расчетный период;

отрицательное превышение величиной расходов по такой учетной группе за расчетный период величины доходов по такой учетной группе за расчетный период.

3. Величина доходов по учетной группе за расчетный период определяется как сумма:

страховых премий по договорам страхования, относимым к учетной группе и признанным в течение расчетного периода, за вычетом страховых премий за перестрахование таких договоров;

стоимости активов, принимаемых в составе страхового портфеля (при принятии страхового портфеля в расчетном периоде);

поступлений по суброгациям, регрессам и от реализации годных остатков за вычетом доли перестраховщиков в них;

уменьшения ДПП, ДПУ за вычетом доли перестраховщиков в них, учитываемой при определении показателя НРМП за расчетный период; (в ред. Указания ЦБ РФ от 22.09.2022 N 6252-У)

тантьем, перестраховочных и иных вознаграждений по договорам исходящего перестрахования за расчетный период;

увеличения стоимости прав требований по суброгациям и регрессам за расчетный период;

увеличения стоимости активов в виде полученного страховщиком застрахованного имущества (его годных остатков), от прав на которое страхователь (выгодоприобретатель) отказался в соответствии с пунктом 5 статьи 10 Закона Российской Федерации "Об организации страхового дела в Российской Федерации", за расчетный период.

4. Величина расходов по учетной группе за расчетный период определяется как сумма:

отчислений в фонды компенсационных выплат;

стоимости активов, передаваемых в составе страхового портфеля (при передаче страхового портфеля в расчетном периоде);

увеличения ДПП, ДПУ за вычетом доли перестраховщиков в них, учитываемой при определении показателя НРМП; (в ред. Указания ЦБ РФ от 22.09.2022 N 6252-У)

произведенных страховых выплат за вычетом страховых выплат по договорам исходящего перестрахования, заключенным в отношении обязательств по таким произведенным страховым выплатам;

расходов на сопровождение договоров страхования за расчетный период, расходов на заключение договоров страхования и исходящего перестрахования, расходов на исполнение обязательств по страховым случаям за вычетом доли перестраховщиков в указанных расходах, если это предусмотрено договором исходящего перестрахования;

тантьем, перестраховочных и иных вознаграждений по договорам, принятым в перестрахование, за расчетный период;

уменьшения стоимости прав требований по суброгациям и регрессам за расчетный период;

уменьшения стоимости активов в виде полученного страховщиком застрахованного имущества (его годных остатков), от прав на которое страхователь (выгодоприобретатель) отказался в соответствии с пунктом 5 статьи 10 Закона Российской Федерации "Об организации страхового дела в Российской Федерации", за расчетный период.

5. Пункт утратил силу. (в ред. Указания ЦБ РФ от 22.09.2022 N 6252-У)

6. Величина расходов на ведение дела по договорам страхования за расчетный период по учетной группе 5 не может превышать размер расходов, указанный в структуре тарифной ставки по обязательному страхованию гражданской ответственности перевозчика за причинение при перевозках пассажиров вреда их жизни, здоровью, имуществу пассажиров, утвержденной страховой организацией, уменьшенный на размер отчислений в компенсационный фонд.

7. Величина расходов на ведение дела по договорам страхования за расчетный период по учетной группе 11 не может превышать величину расходов на осуществление обязательного страхования гражданской ответственности владельца опасного объекта за причинение вреда в результате аварии на опасном объекте, уменьшенную на предельный размер отчислений для финансирования компенсационных выплат, утвержденные Банком России в соответствии с частью 3 статьи 7 Федерального закона "Об обязательном страховании гражданской ответственности владельца опасного объекта за причинение вреда в результате аварии на опасном объекте" (Собрание законодательства Российской Федерации, 2010, N 31, ст. 4194; 2016, N 11, ст. 1483).