Приказ ФАС РФ от 15.11.2022 N 810/22

"Об утверждении методических указаний по расчету цен (тарифов) и предельных (минимальных и (или) максимальных) уровней цен (тарифов) на услуги по оперативно-диспетчерскому управлению в электроэнергетике, устанавливаемых с применением метода долгосрочной индексации необходимой валовой выручки"
Редакция от 15.11.2022 — Действует с 01.01.2024

Данный документ не поддерживается в сервисе Норматив.

Зарегистрировано в Минюсте России 30 декабря 2022 г. N 71934


ФЕДЕРАЛЬНАЯ АНТИМОНОПОЛЬНАЯ СЛУЖБА

ПРИКАЗ
от 15 ноября 2022 г. N 810/22

ОБ УТВЕРЖДЕНИИ МЕТОДИЧЕСКИХ УКАЗАНИЙ ПО РАСЧЕТУ ЦЕН (ТАРИФОВ) И ПРЕДЕЛЬНЫХ (МИНИМАЛЬНЫХ И (ИЛИ) МАКСИМАЛЬНЫХ) УРОВНЕЙ ЦЕН (ТАРИФОВ) НА УСЛУГИ ПО ОПЕРАТИВНО-ДИСПЕТЧЕРСКОМУ УПРАВЛЕНИЮ В ЭЛЕКТРОЭНЕРГЕТИКЕ, УСТАНАВЛИВАЕМЫХ С ПРИМЕНЕНИЕМ МЕТОДА ДОЛГОСРОЧНОЙ ИНДЕКСАЦИИ НЕОБХОДИМОЙ ВАЛОВОЙ ВЫРУЧКИ

В соответствии с абзацами первым и вторым пункта 12 и пунктом 83 Основ ценообразования в области регулируемых цен (тарифов) в электроэнергетике, утвержденных постановлением Правительства Российской Федерации от 29 декабря 2011 г. N 1178 (Собрание законодательства Российской Федерации, 2012, N 4, ст. 504; 2015, N 37, ст. 5153), пунктом 3.1 постановления Правительства Российской Федерации от 30 июня 2004 г. N 331 "Об утверждении Положения о Федеральной антимонопольной службе" (Собрание законодательства Российской Федерации, 2004, N 31, ст. 3259; 2015, N 49, ст. 6994), приказываю:

1. Утвердить Методические указания по расчету цен (тарифов) и предельных (минимальных и (или) максимальных) уровней цен (тарифов) на услуги по оперативно-диспетчерскому управлению в электроэнергетике, устанавливаемых с применением метода долгосрочной индексации необходимой валовой выручки, согласно приложению к настоящему приказу.

2. Признать утратившими силу:

приказ ФСТ России от 23 октября 2009 г. N 267-э/8 "Об утверждении Методических указаний по расчету цен (тарифов) и предельных (минимальных и (или) максимальных) уровней цен (тарифов) на услуги по оперативно-диспетчерскому управлению в электроэнергетике" (зарегистрирован Минюстом России 17 ноября 2009 г., регистрационный N 15243);

приказ ФСТ России от 23 сентября 2010 г. N 233-э/1 "О внесении изменений в Приказ ФСТ России от 23.10.2009 N 267-э/8 "Об утверждении Методических указаний по расчету цен (тарифов) и предельных (минимальных и (или) максимальных) уровней цен (тарифов) на услуги по оперативно-диспетчерскому управлению в электроэнергетике" (зарегистрирован Минюстом России 21 октября 2010 г., регистрационный N 18785);

приказ ФАС России от 30 апреля 2019 г. N 551/19 "О внесении изменений в Методические указания по расчету цен (тарифов) и предельных (минимальных и (или) максимальных) уровней цен (тарифов) на услуги по оперативно-диспетчерскому управлению в электроэнергетике, утвержденные приказом Федеральной службы по тарифам от 23.10.2009 N 267-э/8" (зарегистрирован Минюстом России 29 мая 2019 г., регистрационный N 54772);

приказ ФАС России от 3 ноября 2022 г. N 781/22 "О внесении изменений в Методические указания по расчету цен (тарифов) и предельных (минимальных и (или) максимальных) уровней цен (тарифов) на услуги по оперативно-диспетчерскому управлению в электроэнергетике, утвержденные приказом Федеральной службы по тарифам от 23 октября 2009 г. N 267-э/8" (зарегистрирован Минюстом России 28 ноября 2022 г., регистрационный N 71178).

3. Настоящий приказ вступает в силу с 1 января 2024 г.

4. Контроль за исполнением настоящего приказа возложить на заместителя руководителя ФАС России В.Г. Королева.

Руководитель
М.А. ШАСКОЛЬСКИЙ

Приложение
к приказу ФАС России
от 15.11.2022 N 810/22

МЕТОДИЧЕСКИЕ УКАЗАНИЯ
ПО РАСЧЕТУ ЦЕН (ТАРИФОВ) И ПРЕДЕЛЬНЫХ (МИНИМАЛЬНЫХ И (ИЛИ) МАКСИМАЛЬНЫХ) УРОВНЕЙ ЦЕН (ТАРИФОВ) НА УСЛУГИ ПО ОПЕРАТИВНО-ДИСПЕТЧЕРСКОМУ УПРАВЛЕНИЮ В ЭЛЕКТРОЭНЕРГЕТИКЕ, УСТАНАВЛИВАЕМЫХ С ПРИМЕНЕНИЕМ МЕТОДА ДОЛГОСРОЧНОЙ ИНДЕКСАЦИИ НЕОБХОДИМОЙ ВАЛОВОЙ ВЫРУЧКИ

I. Общие положения

1. Настоящие Методические указания предназначены для использования федеральным органом исполнительной власти, осуществляющим государственное регулирование цен (тарифов) (далее - регулирующий орган), и системным оператором электроэнергетических систем России, осуществляющим виды деятельности, в которых применяется государственное регулирование цен (тарифов) (далее - регулируемые виды деятельности), в области оказания услуг по оперативно-диспетчерскому управлению в электроэнергетике (далее - субъект оперативно-диспетчерского управления в электроэнергетике), для расчета цен (тарифов) и предельных (минимальных и (или) максимальных) уровней цен (тарифов) на услуги по оперативно-диспетчерскому управлению в электроэнергетике, устанавливаемых с применением метода долгосрочной индексации необходимой валовой выручки.

2. Понятия, используемые в настоящих Методических указаниях, соответствуют определениям, данным в Федеральном законе от 26 марта 2003 г. N 35-ФЗ "Об электроэнергетике" (Собрание законодательства Российской Федерации, 2003, N 13, ст. 1177; 2022, N 24, ст. 3934), Основах ценообразования в области регулируемых цен (тарифов) в электроэнергетике, утвержденных постановлением Правительства Российской Федерации от 29 декабря 2011 г. N 1178 (Собрание законодательства Российской Федерации, 2012, N 4, ст. 504; 2022, N 36, ст. 6236) (далее - Основы ценообразования), а также иных нормативных правовых актах Российской Федерации в сфере электроэнергетики.

3. Настоящие Методические указания определяют основные положения по расчету:

а) цен (тарифов) на услуги по оперативно-диспетчерскому управлению в электроэнергетике в части управления технологическими режимами объектов электроэнергетики и энергопринимающих устройств потребителей электрической энергии, обеспечения функционирования технологической инфраструктуры оптового и розничных рынков и осуществления проектирования развития электроэнергетических систем (далее - услуги по оперативно-диспетчерскому управлению в электроэнергетике в части управления технологическими режимами);

б) предельных (минимальных и (или) максимальных) уровней цен (тарифов) на услуги по оперативно-диспетчерскому управлению в электроэнергетике в части организации отбора исполнителей и оплаты услуг по обеспечению системной надежности (далее - услуги по оперативно-диспетчерскому управлению в электроэнергетике в части обеспечения надежности функционирования электроэнергетики).

II. Общие принципы формирования цен (тарифов)

4. Расчет цен (тарифов) на услуги по оперативно-диспетчерскому управлению в электроэнергетике в части управления технологическими режимами (далее - цены (тарифы) и предельных (минимальных и (или) максимальных) уровней цен (тарифов) на услуги по оперативно-диспетчерскому управлению в электроэнергетике в части обеспечения надежности функционирования электроэнергетики (далее - предельные уровни цен (тарифов) осуществляется исходя из принципа обязательности ведения раздельного учета доходов и расходов субъекта оперативно-диспетчерского управления в электроэнергетике по видам деятельности в соответствии с пунктом 6 Основ ценообразования (Собрание законодательства Российской Федерации, 2012, N 4, ст. 504; 2022, N 1, ст. 194).

5. При установлении цен (тарифов) и предельных уровней цен (тарифов) в соответствии с пунктом 12 Основ ценообразования (Собрание законодательства Российской Федерации, 2012, N 4, ст. 504; 2022, N 1, ст. 135) применяется метод долгосрочной индексации необходимой валовой выручки.

Долгосрочные цены (тарифы) и предельные уровни цен (тарифов) рассчитываются с применением метода долгосрочной индексации необходимой валовой выручки на период длительностью не менее 5 лет (не менее 3 лет при установлении впервые долгосрочных цен (тарифов), их предельных уровней) в соответствии с абзацем шестым пункта 2 Основ ценообразования (Собрание законодательства Российской Федерации, 2012, N 4, ст. 504).

Субъект оперативно-диспетчерского управления представляет в регулирующий орган исходные данные, используемые для расчета указанных цен (тарифов) и предельных уровней цен (тарифов), с приложением экономического обоснования исходных данных, включающего материалы в соответствии с приложением к настоящим Методическим указаниям.

Долгосрочные цены (тарифы) и предельные уровни цен (тарифов) определяются на основе следующих долгосрочных параметров регулирования, которые в течение долгосрочного периода регулирования не меняются:

а) базовый уровень подконтрольных расходов, устанавливаемый регулирующим органом в соответствии с пунктом 13 настоящих Методических указаний;

б) индекс эффективности подконтрольных расходов, устанавливаемый регулирующим органом в размере 0,1 процента.

6. Исходными данными для расчета цен (тарифов) и предельных уровней цен (тарифов) являются:

а) расчетный (плановый) объем необходимой валовой выручки, требуемый для возмещения экономически обоснованных расходов субъекта оперативно-диспетчерского управления в электроэнергетике, связанных с оказанием соответствующих услуг по оперативно-диспетчерскому управлению в электроэнергетике, и обеспечения субъекта оперативно-диспетчерского управления в электроэнергетике необходимой прибылью, а также средствами для уплаты всех налогов и иных обязательных платежей;

б) расчетный объем услуг по оперативно-диспетчерскому управлению в электроэнергетике.

7. Цены (тарифы) и предельные уровни цен (тарифов) устанавливаются с календарной разбивкой исходя из непревышения величины цен (тарифов) и их предельных уровней без учета налога на добавленную стоимость в первом полугодии очередного годового периода регулирования над величиной соответствующих цен (тарифов) и их предельных уровней без учета налога на добавленную стоимость во втором полугодии предшествующего годового периода регулирования по состоянию на 31 декабря, если иное не установлено законодательством Российской Федерации.

8. В случае, если субъект оперативно-диспетчерского управления в электроэнергетике кроме деятельности по оперативно-диспетчерскому управлению в электроэнергетике осуществляет иные виды деятельности, расходы на их осуществление и полученные доходы (убытки) от этих видов деятельности не учитываются при расчете размера цен (тарифов) и предельных уровней цен (тарифов).

9. Экономически необоснованные доходы и расходы субъекта оперативно-диспетчерского управления в электроэнергетике исключаются из расчетов цен (тарифов) и предельных уровней цен (тарифов) в соответствии с пунктом 7 Основ ценообразования (Собрание законодательства Российской Федерации, 2012, N 4, ст. 504; 2020, N 36, ст. 5617).

10. В случае, если субъект оперативно-диспетчерского управления в электроэнергетике в течение расчетного периода регулирования (года долгосрочного периода регулирования) понес экономически обоснованные расходы, не учтенные при установлении цен (тарифов) и (или) предельных уровней цен (тарифов) на расчетный период регулирования, в том числе расходы, связанные с объективным и незапланированным ростом цен на продукцию (работы, услуги), потребляемые в течение расчетного периода регулирования, расходы, связанные с выполнением субъектом оперативно-диспетчерского управления в электроэнергетике функций, предусмотренных нормативными правовыми актами, вступившими в силу в течение расчетного или предшествующего ему периода регулирования, а также расходы, связанные с осуществлением оперативно-диспетчерского управления в электроэнергетике в отношении объектов электроэнергетики и энергопринимающих установок потребителей электрической энергии, введенных в эксплуатацию в течение расчетного или предшествующего ему периода регулирования, эти расходы учитываются регулирующим органом при установлении цен (тарифов) и (или) предельных уровней цен (тарифов) на последующий расчетный период регулирования, включая расходы, связанные с обслуживанием заемных средств, привлекаемых для покрытия недостатка средств.

Расходы, связанные с обслуживанием заемных средств, учитываются в размере, рассчитанном исходя из ставки процента, равной ключевой ставке Центрального банка Российской Федерации, действующей на дату привлечения таких средств (заключения договора займа, кредитного договора), увеличенной не более чем на 4 процентных пункта.

В случае, если субъект оперативно-диспетчерского управления в электроэнергетике в течение расчетного периода регулирования недополучил доходы в связи с изменением установленной генерирующей мощности или средней мощности поставки электростанций (энергоблоков) в течение расчетного или предшествующего ему периода регулирования, указанные суммы учитываются регулирующим органом при установлении цен (тарифов) на последующий расчетный период регулирования (включая расходы, связанные с обслуживанием заемных средств, привлекаемых для покрытия недостатка средств).

В случае, если субъект оперативно-диспетчерского управления в электроэнергетике в течение расчетного периода регулирования недополучил доходы в связи с отклонением фактического объема потребления (покупки) электрической энергии по всем группам точек поставки потребления, зарегистрированным на оптовом или розничных рынках, от показателей сводного прогнозного баланса производства и поставок электрической энергии и мощности в рамках Единой энергетической системы России по субъектам Российской Федерации (далее - сводный прогнозный баланс) на соответствующий период, указанные суммы учитываются регулирующим органом при установлении предельного уровня цен (тарифов) на последующий расчетный период регулирования (включая расходы, связанные с обслуживанием заемных средств, привлекаемых для покрытия недостатка средств).

III. Расчет необходимой валовой выручки на услуги по оперативно-диспетчерскому управлению в электроэнергетике в части управления технологическими режимами

11. Необходимая валовая выручка на услуги по оперативно-диспетчерскому управлению в электроэнергетике в части управления технологическими режимами на год i долгосрочного периода регулирования (, тыс. руб.) определяется по формуле:

, (1),

где:

i - год долгосрочного периода регулирования (i >= 1);

- подконтрольные расходы, учтенные в году i и определяемые в соответствии с пунктом 12 настоящих Методических указаний, тыс. руб.;

- неподконтрольные расходы на услуги по оперативно-диспетчерскому управлению в электроэнергетике в части управления технологическими режимами года i, определяемые в соответствии с пунктом 14 настоящих Методических указаний, тыс. руб.;

- нормативная прибыль, устанавливаемая регулирующим органом на год i в соответствии с пунктом 15 настоящих Методических указаний, тыс. руб.;

- расчетная предпринимательская прибыль, учитываемая при определении необходимой валовой выручки, остающаяся в распоряжении субъекта оперативно-диспетчерского управления в электроэнергетике и расходуемая им по своему усмотрению, устанавливаемая регулирующим органом на год i в соответствии с пунктом 16 настоящих Методических указаний, тыс. руб.;

- корректировка необходимой валовой выручки года i, осуществляемая в связи с компенсацией незапланированных расходов (со знаком "плюс") или полученного избытка (со знаком "минус"), выявленных в том числе по итогам последнего истекшего года долгосрочного периода регулирования, за который известны фактические значения параметров расчета цен (тарифов), определяемые в соответствии с пунктом 17 настоящих Методических указаний, тыс. руб.;

- величина изменения необходимой валовой выручки в году i, проводимого в целях сглаживания роста цен (тарифов), определяемая в соответствии с пунктом 21 настоящих Методических указаний, тыс. руб.

При установлении цен (тарифов) на услуги по оперативно-диспетчерскому управлению в электроэнергетике в части управления технологическими режимами учету подлежат расходы субъекта оперативно-диспетчерского управления в электроэнергетике на выполнение комплекса мероприятий, входящих в соответствии с законодательством Российской Федерации об электроэнергетике в содержание услуг по оперативно-диспетчерскому управлению в электроэнергетике в части управления технологическими режимами.

12. Подконтрольные расходы (, тыс. руб.) рассчитываются по формуле:

, (2),

где:

- подконтрольные расходы, определенные на год i - 1 долгосрочного периода регулирования, тыс. руб.;

- индекс потребительских цен, определенный на год i долгосрочного периода регулирования, предусмотренный одобренным Правительством Российской Федерации в соответствии со статьей 26 Федерального закона от 28 июня 2014 г. N 172-ФЗ "О стратегическом планировании в Российской Федерации" (Собрание законодательства Российской Федерации, 2014, N 26, ст. 3378) прогнозом социально-экономического развития Российской Федерации (далее - прогноз социально-экономического развития Российской Федерации), в процентах;

, - площадь производственных помещений, используемых для оказания услуг по регулируемым видам деятельности, соответственно в годах i и i-1 долгосрочного периода регулирования, м2;

- индекс эффективности подконтрольных расходов, равный 0,1 процента.

для первого года долгосрочного периода регулирования (базовый уровень подконтрольных расходов () определяется в соответствии с пунктом 13 настоящих Методических указаний.

13. При расчете базового уровня подконтрольных расходов, связанных с услугами по оперативно-диспетчерскому управлению в электроэнергетике в части управления технологическими режимами, в первом году долгосрочного периода регулирования учитываются следующие расходы:

а) расходы на покупную энергию;

б) расходы на сырье и материалы;

в) расходы на работы и услуги производственного характера;

г) расходы на оплату труда;

д) расходы на ремонт основных средств;

е) расходы на услуги сторонних организаций;

ж) командировочные расходы;

з) расходы на подготовку и переподготовку кадров;

и) расходы на обеспечение нормальных условий труда и мер по технике безопасности;

к) прочие расходы;

л) внереализационные расходы;

м) расходы из прибыли до распределения.

Указанные выше расходы определяются методом экономически обоснованных расходов в соответствии с пунктами 16 и 17 Основ ценообразования (Собрание законодательства Российской Федерации, 2012, N 4, ст. 504).

14. Неподконтрольные расходы, связанные с услугами по оперативно-диспетчерскому управлению в электроэнергетике в части управления технологическими режимами, включают в себя:

а) расходы на оплату продукции (услуг) организаций, осуществляющих регулируемые виды деятельности, рассчитанные исходя из размера цен (тарифов), установленных в отношении товаров и услуг указанных организаций;

б) арендную плату;

в) оплату налогов на прибыль, имущество, землю и других обязательных платежей, предусмотренных законодательством Российской Федерации;

г) расходы на обязательные виды страхования;

д) отчисления на социальные нужды;

е) амортизацию основных средств и нематериальных активов;

ж) расходы на выплаты и обслуживание заемных средств, в том числе проценты по ним, направляемых на покрытие кассовых разрывов по регулируемой деятельности и (или) компенсацию изменения необходимой валовой выручки, производимого в целях сглаживания, а также другие цели, связанные с осуществлением регулируемого вида деятельности, за исключением расходов на выплаты и обслуживание заемных средств, в том числе процентов по ним, учитываемых в величине нормативной прибыли в соответствии с пунктом 15 настоящих Методических указаний;

з) прочие неподконтрольные расходы, связанные с изменением законодательства Российской Федерации.

Расходы, указанные выше, определяются методом экономически обоснованных расходов (затрат).

15. Нормативная прибыль (, тыс. руб.) определяется по формуле:

, (3),

где:

- расходы на финансирование капитальных вложений из прибыли, тыс. руб.;

- расходы на погашение и обслуживание заемных средств, привлекаемых на реализацию мероприятий инвестиционной программы, в размере, определяемом исходя из срока их возврата, предусмотренного договорами займа и кредитными договорами, тыс. руб.

Объем прибыли, направляемой на финансирование капитальных вложений, определяется как разница между общим размером финансирования инвестиционной программы, утвержденной в соответствии с законодательством Российской Федерации об электроэнергетике, и размером амортизации, учтенной в необходимой валовой выручке, и иными источниками финансирования, предусмотренными инвестиционной программой, утвержденной в соответствии с законодательством Российской Федерации об электроэнергетике.

При определении величины нормативной прибыли субъекта оперативно-диспетчерского управления в электроэнергетике расходы на капитальные вложения (инвестиции) на период регулирования рассчитываются с учетом расходов на реализацию мероприятий инвестиционной программы в размере, предусмотренном утвержденной в соответствии с законодательством Российской Федерации об электроэнергетике инвестиционной программой такого субъекта на соответствующий год ее действия, с учетом источников финансирования, определенных инвестиционной программой.

Величина нормативной прибыли может быть изменена в случае утверждения изменений в инвестиционную программу (корректировки инвестиционной программы) субъекта оперативно-диспетчерского управления в электроэнергетике в соответствии с Правилами утверждения инвестиционных программ субъектов электроэнергетики, утвержденными постановлением Правительства Российской Федерации от 1 декабря 2009 г. N 977 (Собрание законодательства, 2009, N 49, ст. 5978; 2022, N 21, ст. 3473). Указанные изменения учитываются регулирующим органом при установлении (корректировке) цен (тарифов) начиная со следующего периода регулирования (следующего года долгосрочного периода регулирования).

16. Расчетная предпринимательская прибыль субъекта оперативно-диспетчерского управления в электроэнергетике (, тыс. руб.) определяется в размере 2 процентов текущих расходов на каждый год долгосрочного периода регулирования за исключением расходов из прибыли (в том числе расходов на выплаты по договорам займа и кредитным договорам, включая возврат сумм основного долга и процентов по ним), налога на прибыль и расходов на амортизацию основных средств и нематериальных активов.

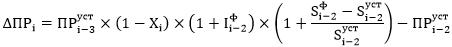
17. Корректировка необходимой валовой выручки (, тыс. руб.) определяется по формуле:

, (4),

где:

- корректировка подконтрольных расходов в связи с изменением планируемых параметров расчета цен (тарифов), определяемая в соответствии с пунктом 18 настоящих Методических указаний, тыс. руб.;

- корректировка неподконтрольных расходов исходя из фактических значений указанного параметра, определяемая в соответствии с пунктом 19 настоящих Методических указаний, тыс. руб.;

- корректировка необходимой валовой выручки по доходам от осуществления оперативно-диспетчерского управления в электроэнергетике, определяемая в соответствии с пунктом 20 настоящих Методических указаний, тыс. руб.;

- корректировка необходимой валовой выручки, осуществляемая в связи с изменением (неисполнением) инвестиционной программы в году i-2, тыс. руб.

для первого и второго года первого долгосрочного периода регулирования определяется по результатам деятельности регулируемой организации до перехода к регулированию цен (тарифов) на услуги по оперативно-диспетчерскому управлению в электроэнергетике с применением метода долгосрочной индексации необходимой валовой выручки в соответствии с пунктами 7 и 32 Основ ценообразования (Собрание законодательства Российской Федерации, 2012 N 4, ст. 504; 2020, N 36, ст. 5617; 2020, N 49, ст. 7947).

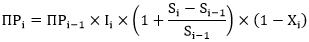
18. Корректировка подконтрольных расходов (, тыс. руб.) рассчитывается по формуле:

, (5),

где:

, - подконтрольные расходы, установленные соответственно на годы i-2 и i-3, тыс. руб.;

- фактический индекс потребительских цен за год i-2 долгосрочного периода регулирования, в процентах;

- площадь производственных помещений, используемых для оказания услуг по регулируемым видам деятельности, установленная на год i-2, м2;

- фактическая площадь производственных помещений, используемых для оказания услуг по регулируемым видам деятельности за год i-2, м2.

Корректировка площади производственных помещений осуществляется только в случаях:

а) перехода производственных помещений в собственность субъекта оперативно-диспетчерского управления в электроэнергетике вследствие реализации инвестиционной программы;

б) увеличения территории (зоны диспетчерской ответственности), в пределах которой субъектом оперативно-диспетчерского управления в электроэнергетике осуществляется деятельность по оперативно-диспетчерскому управлению в электроэнергетике (включая присоединение новых электроэнергетических систем к Единой энергетической системе России и передачу субъекту оперативно-диспетчерского управления в электроэнергетике функций по оперативно-диспетчерскому управлению в отношении технологически изолированных территориальных электроэнергетических систем), и необходимости создания диспетчерских центров и (или) новых рабочих мест.

19. Корректировка неподконтрольных расходов (, тыс. руб.) определяется по формуле:

, (6),

где:

, - неподконтрольные расходы, фактические и установленные соответственно на год i-2, тыс. руб.

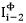
20. Корректировка необходимой валовой выручки по доходам от осуществления оперативно-диспетчерского управления в электроэнергетике (, тыс. руб.) определяется по формуле:

, (7),

где:

- фактический объем выручки на услуги по оперативно-диспетчерскому управлению в электроэнергетике за год i-2, определяемый исходя из установленных на год i-2 цен (тарифов) на услуги по оперативно-диспетчерскому управлению в электроэнергетике и фактических объемов оказанных услуг, тыс. руб.;

- необходимая валовая выручка на услуги по оперативно-диспетчерскому управлению в электроэнергетике, установленная на год i-2, тыс. руб.

21. Величина изменения необходимой валовой выручки (, тыс. руб.) в целях сглаживания роста цен (тарифов) определяется в размере не более 12 процентов необходимой валовой выручки, рассчитанной без учета сглаживания, по формуле:

, (8),

где:

- величина сглаживания необходимой валовой выручки, определенная регулирующим органом, тыс. руб.;

- необходимая валовая выручка, устанавливаемая на год i долгосрочного периода регулирования без учета сглаживания, тыс. руб.

Изменение необходимой валовой выручки, производимое в целях сглаживания роста цен (тарифов), применяется регулирующим органом с целью непревышения уровня цен (тарифов) второго полугодия года i долгосрочного периода регулирования относительно уровня цен (тарифов) первого полугодия на значение (, в процентах), рассчитанное по формуле:

, (9).

В целях сглаживания роста цен (тарифов) регулирующий орган осуществляет перераспределение необходимой валовой выручки между годами в пределах одного долгосрочного периода регулирования. Суммарная величина изменения необходимой валовой выручки, произведенного регулирующим органом в целях сглаживания роста цен (тарифов) за все годы долгосрочного периода регулирования, должна равняться нулю.

IV. Расчет необходимой валовой выручки на услуги по оперативно-диспетчерскому управлению в электроэнергетике в части обеспечения надежности функционирования электроэнергетики

22. Необходимая валовая выручка на услуги по оперативно-диспетчерскому управлению в электроэнергетике в части обеспечения надежности функционирования электроэнергетики на год i долгосрочного периода регулирования (, тыс. руб.) определяется по формуле:

, (10),

где:

i - год долгосрочного периода регулирования (i >= 1);

- подконтрольные расходы, учтенные соответственно в году i, определяемые в соответствии с пунктом 12 настоящих Методических указаний, тыс. руб.;

- неподконтрольные расходы на услуги по оперативно-диспетчерскому управлению в электроэнергетике в части обеспечения надежности функционирования электроэнергетики года i, определяемые в соответствии с пунктом 23 настоящих Методических указаний, тыс. руб.;

- нормативная прибыль, устанавливаемая регулирующим органом на год i в соответствии с пунктом 15 настоящих Методических указаний, тыс. руб.;

- расчетная предпринимательская прибыль, учитываемая при определении необходимой валовой выручки, остающаяся в распоряжении субъекта оперативно-диспетчерского управления в электроэнергетике и расходуемая им по своему усмотрению, устанавливаемая регулирующим органом на год i в соответствии с пунктом 16 настоящих Методических указаний, тыс. руб.;

- корректировка необходимой валовой выручки года i, осуществляемая в связи с компенсацией незапланированных расходов (со знаком "плюс") или полученного избытка (со знаком "минус"), выявленных в том числе по итогам последнего истекшего года долгосрочного периода регулирования, за который известны фактические значения параметров расчета цен (тарифов), определяемые в соответствии с пунктом 17 настоящих Методических указаний, тыс. руб.;

- величина изменения необходимой валовой выручки в году i, проводимого в целях сглаживания роста цен (тарифов), определяемая в соответствии с пунктом 21 настоящих Методических указаний, тыс. руб.

При установлении предельных уровней цен (тарифов) на услуги по оперативно-диспетчерскому управлению в электроэнергетике в части обеспечения надежности функционирования электроэнергетики учету подлежат расходы субъекта оперативно-диспетчерского управления в электроэнергетике на выполнение в пределах Единой энергетической системы России комплекса мероприятий, входящих в соответствии с законодательством Российской Федерации об электроэнергетике в содержание услуг по оперативно-диспетчерскому управлению в электроэнергетике в части обеспечения надежности функционирования электроэнергетики.

23. Неподконтрольные расходы на услуги по оперативно-диспетчерскому управлению в электроэнергетике в части обеспечения надежности функционирования электроэнергетики включают в себя:

а) расходы на оплату продукции (услуг) организаций, осуществляющих регулируемые виды деятельности, рассчитанные исходя из размера цен (тарифов), установленных в отношении товаров и услуг указанных организаций;

б) арендную плату;

в) оплату налогов на прибыль, имущество, землю и других обязательных платежей, предусмотренных законодательством Российской Федерации;

г) расходы на обязательные виды страхования;

д) отчисления на социальные нужды;

е) амортизацию основных средств и нематериальных активов;

ж) расходы на оплату услуг по обеспечению системной надежности;

з) расходы на выплаты и обслуживание заемных средств, в том числе проценты по ним, направляемых на покрытие кассовых разрывов по регулируемой деятельности и (или) компенсацию изменения необходимой валовой выручки, производимого в целях сглаживания, а также другие цели, связанные с осуществлением регулируемого вида деятельности, за исключением расходов на выплаты и обслуживание заемных средств, в том числе процентов по ним, учитываемых в величине нормативной прибыли в соответствии с пунктом 15 настоящих Методических указаний;

и) прочие неподконтрольные расходы, связанные с изменением законодательства Российской Федерации.

Расходы, указанные выше, определяются методом экономически обоснованных расходов (затрат).

24. При расчете предельных уровней цен (тарифов) на услуги по оперативно-диспетчерскому управлению в электроэнергетике в части обеспечения надежности функционирования электроэнергетики учитываются расходы на организацию отбора исполнителей и оплату услуг по обеспечению системной надежности, включая расходы на определение спроса на услуги по обеспечению системной надежности, зон оказания услуг, требований к объектам электроэнергетики и оборудованию, используемым при оказании услуг по обеспечению системной надежности, их характеристикам, параметрам функционирования и уровню автоматизации, а также расходы на разработку технико-экономических обоснований создания систем противоаварийного управления в Единой энергетической системе России.

Перечень услуг по обеспечению системной надежности определен пунктом 2 Правил отбора субъектов электроэнергетики и потребителей электрической энергии, оказывающих услуги по обеспечению системной надежности, и оказания таких услуг, утвержденных постановлением Правительства Российской Федерации от 3 марта 2010 г. N 117 (Собрание законодательства Российской Федерации, 2010, N 12 ст. 1333; 2022, N 1, ст. 194).

25. При установлении предельного уровня цен (тарифов) на услуги по оперативно-диспетчерскому управлению в электроэнергетике в части обеспечения надежности функционирования электроэнергетики определяется предельный объем средств, предназначенных для оплаты услуг по обеспечению системной надежности, в отношении которых отбор исполнителей осуществляется путем проведения отбора на конкурентной основе, запроса предложений у субъектов электроэнергетики о готовности оказывать соответствующие услуги или путем заключения договора с субъектом электроэнергетики, являющимся единственным возможным исполнителем соответствующих услуг (далее - предельный объем средств для оплаты услуг по обеспечению системной надежности).

Предельный объем средств для оплаты услуг по обеспечению системной надежности определяется отдельно в отношении каждого вида услуг по обеспечению системной надежности исходя из потребности в приобретении (оказании) соответствующей услуги по обеспечению системной надежности (спроса на услуги по обеспечению системной надежности) и прогнозной стоимости указанной услуги, определяемой в соответствии с пунктами 26 и (или) 27 настоящих Методических указаний.

26. В отношении услуг по обеспечению системной надежности, оказание которых в периоды, предшествующие расчетному периоду регулирования, не осуществлялось, прогнозная стоимость услуг рассчитывается исходя из экономически обоснованных расходов, связанных с оказанием соответствующего вида услуг по обеспечению системной надежности, определяемых на основании полученных от субъекта оперативно-диспетчерского управления в электроэнергетике фактических и прогнозных данных о величине указанных расходов с учетом обеспечения субъектов электроэнергетики необходимой для оказания соответствующего вида услуг по обеспечению системной надежности прибылью.

При определении предельного объема средств для оплаты услуг по обеспечению системной надежности учитываются следующие расходы субъектов электроэнергетики, связанные с оказанием услуг по обеспечению системной надежности:

капитальные затраты, связанные с необходимостью подготовки оборудования к оказанию услуг по обеспечению системной надежности, включая расходы на модернизацию оборудования и внедрение современных автоматизированных систем управления;

эксплуатационные затраты, обусловленные работой объекта электроэнергетики в соответствующем технологическом режиме.

В случае использования в расчетах информации о фактических расходах субъектов электроэнергетики, связанных с оказанием услуг по обеспечению системной надежности, полученные данные о затратах приводятся к прогнозному уровню расходов на оказание услуг по обеспечению системной надежности на расчетный период регулирования с учетом фактических индексов цен производителей в периоды, предшествующие расчетному, и прогнозного индекса цен производителей на расчетный период регулирования, предусмотренных прогнозом социально-экономического развития Российской Федерации.

27. В отношении услуг по обеспечению системной надежности, оказание которых осуществлялось в периоды, предшествующие расчетному периоду регулирования, прогнозная стоимость услуг определяется как произведение спроса на соответствующий вид услуг и цены, рассчитанной как средневзвешенная цена по результатам отборов субъектов электроэнергетики, оказывающих услуги по обеспечению системной надежности, проведенных в периоде, предшествующем расчетному периоду регулирования, увеличенной на прогнозный индекс цен производителей, предусмотренный прогнозом социально-экономического развития Российской Федерации на расчетный период регулирования.

V. Расчет цен (тарифов) и предельных уровней цен (тарифов) на услуги по оперативно-диспетчерскому управлению в электроэнергетике

28. Размер цен (тарифов) на услуги по оперативно-диспетчерскому управлению в электроэнергетике в части управления технологическими режимами, оказываемые субъектом оперативно-диспетчерского управления в электроэнергетике, на год i долгосрочного периода регулирования (, руб./МВт в месяц) рассчитывается по формуле:

, (11),

где:

- установленная генерирующая мощность электростанции t, входящей в Единую энергетическую систему России или технологически изолированную территориальную электроэнергетическую систему и принадлежащей на праве собственности или ином законном основании юридическому лицу, осуществляющему на оптовом или розничном рынках деятельность по производству электрической энергии (в том числе электростанции, принадлежащей хозяйствующему субъекту, осуществляющему деятельность по производству, передаче и купле-продаже электрической энергии с использованием данной электростанции и иных объектов электроэнергетики, непосредственно связанных между собой и (или) с принадлежащими такому субъекту энергопринимающими устройствами, преимущественно для удовлетворения собственных производственных нужд, в случае, если в отношении указанной электростанции данным хозяйствующим субъектом или иной организацией, получившей статус субъекта оптового рынка, на оптовом рынке в установленном в соответствии с законодательством Российской Федерации об электроэнергетике порядке зарегистрированы группы точек поставки, в которых исполняются обязанности по поставке электрической энергии и мощности, производимой на такой электростанции), определяемая в соответствии с абзацем первым пункта 29 настоящих Методических указаний, МВт;

- средняя мощность поставки электрической энергии электростанции k, входящей в Единую энергетическую систему России или технологически изолированную территориальную электроэнергетическую систему и принадлежащей на праве собственности или ином законном основании хозяйствующему субъекту, осуществляющему деятельность по производству, передаче и купле-продаже на розничном рынке электрической энергии с использованием данной электростанции и иных объектов электроэнергетики, непосредственно связанных между собой и (или) с принадлежащими такому субъекту энергопринимающими устройствами, преимущественно для удовлетворения собственных производственных нужд (за исключением хозяйствующих субъектов, указанных в абзаце четвертом настоящего пункта), определяемая в соответствии с абзацем первым пункта 29 настоящих Методических указаний, МВт;

- средняя мощность поставки электрической энергии по всем зарегистрированным за субъектом m оптового рынка, осуществляющим деятельность по поставке импортируемой электрической энергии, группам точек поставки импорта, определяемая в соответствии с абзацем четвертым пункта 29 настоящих Методических указаний, МВт.

Цены (тарифы) на услуги по оперативно-диспетчерскому управлению в электроэнергетике в части управления технологическими режимами могут устанавливаться регулирующим органом с календарной разбивкой, в том числе по полугодиям. При этом доход, получаемый по установленным ценам (тарифам) на услуги по оперативно-диспетчерскому управлению в электроэнергетике в части управления технологическими режимами, должен суммарно обеспечивать необходимую валовую выручку в части управления технологическими режимами, определенную регулирующим органом на соответствующий год долгосрочного периода регулирования.

29. Установленная генерирующая мощность и средняя мощность поставки электрической энергии электростанций определяются на основании данных, содержащихся в реестре лиц, подлежащих обязательному обслуживанию при оказании услуг по оперативно-диспетчерскому управлению в электроэнергетике, который ведет субъект оперативно-диспетчерского управления в электроэнергетике в соответствии с пунктом 9 Правил отнесения субъектов электроэнергетики и потребителей электрической энергии к кругу лиц, подлежащих обязательному обслуживанию при оказании услуг по оперативно-диспетчерскому управлению в электроэнергетике, утвержденных постановлением Правительства Российской Федерации от 14 февраля 2009 г. N 114 (Собрание законодательства Российской Федерации, 2009, N 9, ст. 1103):

а) при подаче субъектом оперативно-диспетчерского управления в электроэнергетике в соответствии с пунктом 14 Правил государственного регулирования (пересмотра, применения) цен (тарифов) в электроэнергетике, утвержденных постановлением Правительства Российской Федерации от 29 декабря 2011 г. N 1178 (Собрание законодательства Российской Федерации, 2012, N 4, ст. 504; 2022, N 1, ст. 135) (далее - Правила государственного регулирования), заявления об установлении цен (тарифов) в регулирующий орган - по состоянию на 1 число месяца, предшествующего дате подачи заявления об установлении цен (тарифов) в регулирующий орган;

б) при установлении цен (тарифов) регулирующим органом - по состоянию на 1 число месяца, предшествующего дате утверждения цен (тарифов) регулирующим органом.

Средняя мощность поставки электрической энергии по группам точек поставки импорта на оптовом рынке рассчитывается как отношение объема поставки электрической энергии в мегаватт-часах по всем группам точек поставки импорта, зарегистрированным за соответствующим лицом на оптовом рынке, указанного в сводном прогнозном балансе на период, предшествующий расчетному периоду регулирования, к количеству астрономических часов в данном периоде.

30. Предельный уровень цен (тарифов) на услуги по оперативно-диспетчерскому управлению в электроэнергетике в части обеспечения надежности функционирования электроэнергетики, оказываемые субъектом оперативно-диспетчерского управления в электроэнергетике, на год i долгосрочного периода регулирования (, руб./МВт*ч) рассчитывается по формуле:

, (12),

где:

- суммарный объем потребления (покупки) электрической энергии по всем группам точек поставки потребления, зарегистрированным на оптовом рынке, определяемый как объем покупки электрической энергии на оптовом рынке, указанный в сводном прогнозном балансе на расчетный период регулирования (за вычетом потерь электрической энергии в электрических сетях и объемов потребления (покупки) электрической энергии для удовлетворения собственных и (или) хозяйственных нужд электростанций), в мегаватт-часах;

- суммарный объем поставки электрической энергии на экспорт из России, указанный в сводном прогнозном балансе на расчетный период регулирования, в мегаватт-часах.

31. Цены на услуги по оперативно-диспетчерскому управлению в электроэнергетике в части обеспечения надежности функционирования электроэнергетики рассчитываются субъектом оперативно-диспетчерского управления в электроэнергетике самостоятельно в соответствии с законодательством Российской Федерации в рамках, установленных регулирующим органом предельных уровней цен (тарифов).

Расчет цен на услуги по оперативно-диспетчерскому управлению в электроэнергетике в части обеспечения надежности функционирования электроэнергетики осуществляется субъектом оперативно-диспетчерского управления в электроэнергетике исходя из:

а) планового объема необходимой валовой выручки, необходимого для возмещения экономически обоснованных расходов субъекта оперативно-диспетчерского управления в электроэнергетике, связанных с оказанием указанных услуг в течение расчетного периода регулирования, и обеспечения субъекта оперативно-диспетчерского управления в электроэнергетике необходимой прибылью, а также средствами для уплаты всех налогов и иных обязательных платежей;

б) расчетного объема услуг по оперативно-диспетчерскому управлению в электроэнергетике, определяемого в порядке, предусмотренном для установления предельного уровня цен (тарифов) на услуги по оперативно-диспетчерскому управлению в электроэнергетике в части обеспечения надежности функционирования электроэнергетики, в соответствии с пунктом 30 настоящих Методических указаний.

Приложение
к Методическим указаниям
по расчету цен (тарифов) и предельных
(минимальных и (или) максимальных)
уровней цен (тарифов) на услуги
по оперативно-диспетчерскому управлению
в электроэнергетике, устанавливаемых
с применением метода долгосрочной
индексации необходимой валовой выручки,
утвержденным приказом ФАС России
от 15.11.2022 N 810/22

ПЕРЕЧЕНЬ
МАТЕРИАЛОВ, ПРЕДСТАВЛЯЕМЫХ В РЕГУЛИРУЮЩИЙ ОРГАН СУБЪЕКТАМИ ОПЕРАТИВНО-ДИСПЕТЧЕРСКОГО УПРАВЛЕНИЯ В ЦЕЛЯХ УСТАНОВЛЕНИЯ ЦЕН (ТАРИФОВ) И ПРЕДЕЛЬНЫХ (МИНИМАЛЬНЫХ И (ИЛИ) МАКСИМАЛЬНЫХ) УРОВНЕЙ ЦЕН (ТАРИФОВ) НА УСЛУГИ ПО ОПЕРАТИВНО-ДИСПЕТЧЕРСКОМУ УПРАВЛЕНИЮ В ЭЛЕКТРОЭНЕРГЕТИКЕ С ПРИМЕНЕНИЕМ МЕТОДА ДОЛГОСРОЧНОЙ ИНДЕКСАЦИИ НЕОБХОДИМОЙ ВАЛОВОЙ ВЫРУЧКИ

1. Материалы по формированию необходимой валовой выручки:

а) расчетный объем услуг по оперативно-диспетчерскому управлению в электроэнергетике (рекомендуемый образец приведен в приложении N 1 к настоящему приложению);

б) расчет подконтрольных расходов на первый год долгосрочного периода регулирования (базовый уровень подконтрольных расходов) (рекомендуемый образец приведен в приложении N 2 к настоящему приложению);

в) расчет подконтрольных расходов на каждый год долгосрочного периода регулирования (рекомендуемый образец приведен в приложении N 3 к настоящему приложению);

г) расчет амортизационных отчислений на восстановление основных производственных фондов и нематериальных активов (заполняется с разбивкой по кварталам в разрезе амортизационных групп: здания и сооружения, машины и оборудование, нематериальные активы, прочие) (рекомендуемый образец приведен в приложении N 4 к настоящему приложению);

д) расчет неподконтрольных расходов (рекомендуемый образец приведен в приложении N 5 к настоящему приложению);

е) справка о финансировании и освоении инвестиций (рекомендуемый образец приведен в приложении N 6 к настоящему приложению);

ж) расчет источников финансирования инвестиций (рекомендуемый образец приведен в приложении N 7 к настоящему приложению).

2. Материалы по расчету регулируемых цен (тарифов):

расчет цен (тарифов) на услуги по оперативно-диспетчерскому управлению в электроэнергетике в части управления технологическими режимами (рекомендуемый образец приведен в приложении N 8 к настоящему приложению) и предельных (минимальных и (или) максимальных) уровней цен (тарифов) на услуги по оперативно-диспетчерскому управлению в электроэнергетике в части. обеспечения надежности функционирования электроэнергетики (рекомендуемый образец приведен в приложении N 9 к настоящему приложению).

3. Дополнительные документы и материалы, прилагаемые к заявлению об установлении цен (тарифов):

документы и материалы, не включенные в пункты 1 - 2 настоящего перечня материалов, но предусмотренные пунктом 17 Правил государственного регулирования (Собрание законодательства Российской Федерации, 2012, N 4, ст. 504; 2022, N 19, ст. 3222).

4. При заполнении приложений, включенных в настоящий перечень материалов, в столбце "базовый период" указываются фактические показатели за последний истекший финансовый год и показатели, утвержденные регулирующим органом на период, предшествующий расчетному периоду регулирования.

Приложение N 1
к приложению к Методическим указаниям
по расчету цен (тарифов) и предельных
(минимальных и (или) максимальных)
уровней цен (тарифов) на услуги
по оперативно-диспетчерскому управлению
в электроэнергетике, устанавливаемых
с применением метода долгосрочной
индексации необходимой валовой выручки,
утвержденным приказом ФАС России
от 15.11.2022 N 810/22

Рекомендуемый образец

РАСЧЕТНЫЙ ОБЪЕМ УСЛУГ ПО ОПЕРАТИВНО-ДИСПЕТЧЕРСКОМУ УПРАВЛЕНИЮ В ЭЛЕКТРОЭНЕРГЕТИКЕ

N п/пПоказателиЕд. изм.Базовый периодПериод регулирования
12345
1Расчетный объем услуг в части управления технологическими режимамиМВт  
 в том числе:   
1.1Установленная генерирующая мощность электростанцийМВт  
 ...   
1.2Средняя мощность поставки хозяйствующих субъектовМВт  
 ...   
1.3Средняя мощность поставки по импортуМВт  
     
2Расчетный объем услуг в части обеспечения надежности функционирования электроэнергетикиМВт x ч  
 в том числе:   
2.1Объем потребления (покупки) электрической энергииМВт x ч  
 ...   
2.2Объем экспортаМВт x ч  
 ...   

Приложение N 2
к приложению к Методическим указаниям
по расчету цен (тарифов) и предельных
(минимальных и (или) максимальных)
уровней цен (тарифов) на услуги
по оперативно-диспетчерскому управлению
в электроэнергетике, устанавливаемых
с применением метода долгосрочной
индексации необходимой валовой выручки,
утвержденным приказом ФАС России
от 15.11.2022 N 810/22

Рекомендуемый образец

РАСЧЕТ
ПОДКОНТРОЛЬНЫХ РАСХОДОВ НА ПЕРВЫЙ ГОД ДОЛГОСРОЧНОГО ПЕРИОДА РЕГУЛИРОВАНИЯ (БАЗОВЫЙ УРОВЕНЬ ПОДКОНТРОЛЬНЫХ РАСХОДОВ)

тыс. руб.

N п/пНаименование расходовБазовый периодПериод регулирования
1234
1Покупная энергия  
2Сырье и материалы  
3Работы и услуги производственного характера  
4Расходы на оплату труда  
5Ремонт основных средств  
6Услуги сторонних организаций  
7Командировочные расходы  
8Расходы на подготовку и переподготовку кадров  
9Расходы на обеспечение нормальных условий труда и мер по технике безопасности  
10Прочие расходы  
11Внереализационные расходы  
12Расходы из прибыли, в том числе:  
12.1Выплаты сотрудникам  
12.2Выплаты членам совета директоров и ревизионной комиссии  
12.3Прочие расходы из прибыли  
13ИТОГО базовый уровень подконтрольных расходов  

Приложение N 3
к приложению к Методическим указаниям
по расчету цен (тарифов) и предельных
(минимальных и (или) максимальных)
уровней цен (тарифов) на услуги
по оперативно-диспетчерскому управлению
в электроэнергетике, устанавливаемых
с применением метода долгосрочной
индексации необходимой валовой выручки,
утвержденным приказом ФАС России
от 15.11.2022 N 810/22

Рекомендуемый образец

РАСЧЕТ
ПОДКОНТРОЛЬНЫХ РАСХОДОВ НА КАЖДЫЙ ГОД ДОЛГОСРОЧНОГО ПЕРИОДА РЕГУЛИРОВАНИЯ

N п/пПараметры расчета расходовЕдиница измеренияБазовый периодДолгосрочный период регулирования
год i0 (первый год долгосрочного периода регулирования)год i0 + 1год i1 (последний год долгосрочного периода регулирования)
123456n
1Индекс потребительских цен на расчетный период регулирования (I)%--  
2Индекс эффективности подконтрольных расходов (X)%--  
3Площадь производственных помещений, используемых для оказания услуг по регулируемым видам деятельности на расчетный период регулирования (S)м2--  
4Подконтрольные расходы (графа 5 заполняется по данным расчета подконтрольных расходов на первый год долгосрочного периода регулирования (базовый уровень подконтрольных расходов), рекомендуемый образец которого приведен в приложении N 2 к приложению к настоящим Методическим указаниям)тыс. руб.-   

Приложение N 4
к приложению к Методическим указаниям
по расчету цен (тарифов) и предельных
(минимальных и (или) максимальных)
уровней цен (тарифов) на услуги
по оперативно-диспетчерскому управлению
в электроэнергетике, устанавливаемых
с применением метода долгосрочной
индексации необходимой валовой выручки,
утвержденным приказом ФАС России
от 15.11.2022 N 810/22

Рекомендуемый образец

РАСЧЕТ
АМОРТИЗАЦИОННЫХ ОТЧИСЛЕНИЙ НА ВОССТАНОВЛЕНИЕ ОСНОВНЫХ ПРОИЗВОДСТВЕННЫХ ФОНДОВ И НЕМАТЕРИАЛЬНЫХ АКТИВОВ (ЗАПОЛНЯЕТСЯ С РАЗБИВКОЙ ПО КВАРТАЛАМ В РАЗРЕЗЕ АМОРТИЗАЦИОННЫХ ГРУПП: ЗДАНИЯ И СООРУЖЕНИЯ, МАШИНЫ И ОБОРУДОВАНИЕ, НЕМАТЕРИАЛЬНЫЕ АКТИВЫ, ПРОЧИЕ)

млн руб.

N п/пПоказателиБазовый периодПериод регулирования
1234
1Балансовая стоимость основных производственных фондов и нематериальных активов на начало периода  
2Ввод основных производственных фондов и нематериальных активов  
3Выбытие основных производственных фондов и нематериальных активов  
4Средняя стоимость основных производственных фондов и нематериальных активов  
5Средняя норма амортизации  
6Сумма амортизационных отчислений (пункт 4 x пункт 5)  

Приложение N 5
к приложению к Методическим указаниям
по расчету цен (тарифов) и предельных
(минимальных и (или) максимальных)
уровней цен (тарифов) на услуги
по оперативно-диспетчерскому управлению
в электроэнергетике, устанавливаемых
с применением метода долгосрочной
индексации необходимой валовой выручки,
утвержденным приказом ФАС России
от 15.11.2022 N 810/22

Рекомендуемый образец

РАСЧЕТ НЕПОДКОНТРОЛЬНЫХ РАСХОДОВ

тыс. руб.

N п/пНаименование расходовБазовый периодДолгосрочный период регулирования
год i0 (первый год долгосрочного периода регулирования)год i0 + 1год i1 (последний год долгосрочного периода регулирования)
12345n
1Расходы на оплату услуг, оказываемых организациями, осуществляющими регулируемые виды деятельности    
2Арендная плата    
3Расходы на уплату налогов, сборов и других обязательных платежей, в том числе:    
3.1Плата за выбросы и сбросы загрязняющих веществ в окружающую среду, размещение отходов и другие виды негативного воздействия на окружающую среду в пределах установленных нормативов и (или) лимитов    
3.2Налог на землю    
3.3Транспортный налог    
3.4Налог на имущество    
3.5Прочие налоги    
4Расходы на обязательное страхование    
5Расходы на уплату страховых взносов    
6Амортизация основных средств и нематериальных активов    
7Расходы на выплаты по договорам займа в случае возникновения кассовых разрывов    
8Расходы на организацию и оплату услуг по обеспечению системной надежности, в том числе:    
8.1Расходы на оплату услуг по нормированному первичному регулированию частоты    
8.2Расходы на оплату услуг по автоматическому вторичному регулированию частоты и перетоков активной мощности    
8.3Расходы на оплату услуг по регулированию реактивной мощности без производства электрической энергии    
9Налог на прибыль    
10Прочие неподконтрольные расходы    
11Итого неподконтрольных расходов    

Приложение N 6
к приложению к Методическим указаниям
по расчету цен (тарифов) и предельных
(минимальных и (или) максимальных)
уровней цен (тарифов) на услуги
по оперативно-диспетчерскому управлению
в электроэнергетике, устанавливаемых
с применением метода долгосрочной
индексации необходимой валовой выручки,
утвержденным приказом ФАС России
от 15.11.2022 N 810/22

Рекомендуемый образец

СПРАВКА О ФИНАНСИРОВАНИИ И ОСВОЕНИИ ИНВЕСТИЦИЙ

млн руб.

НаименованиеУтверждено на базовый периодВ течение базового периодаОстаток финансированияПлан на долгосрочный период регулированияИсточник финансирования
освоено фактическипрофинансировано
1234567
Всего      
в том числе:      
       
       
       
       

Приложение N 7
к приложению к Методическим указаниям
по расчету цен (тарифов) и предельных
(минимальных и (или) максимальных)
уровней цен (тарифов) на услуги
по оперативно-диспетчерскому управлению
в электроэнергетике, устанавливаемых
с применением метода долгосрочной
индексации необходимой валовой выручки,
утвержденным приказом ФАС России
от 15.11.2022 N 810/22

Рекомендуемый образец

РАСЧЕТ ИСТОЧНИКОВ ФИНАНСИРОВАНИЯ ИНВЕСТИЦИЙ

млн руб.

N п/пНаименованиеБазовый периодДолгосрочный период регулирования
год i0 (первый год долгосрочного периода регулирования)год i0 + 1год i1 (последний год долгосрочного периода регулирования)
12345n
1Объем капитальных вложений, в том числе:    
1.1На производственное и научно-техническое развитие    
1.2На непроизводственное развитие    
2Финансирование капитальных вложений за счет:    
2.1Амортизационных отчислений    
2.2Прибыли предприятия    
2.3Бюджета    
2.4Заемных средств    
2.5Неиспользованных средств на начало года    
2.6Прочих источников    

Приложение N 8
к приложению к Методическим указаниям
по расчету цен (тарифов) и предельных
(минимальных и (или) максимальных)
уровней цен (тарифов) на услуги
по оперативно-диспетчерскому управлению
в электроэнергетике, устанавливаемых
с применением метода долгосрочной
индексации необходимой валовой выручки,
утвержденным приказом ФАС России
от 15.11.2022 N 810/22

Рекомендуемый образец

РАСЧЕТ
ЦЕН (ТАРИФОВ) НА УСЛУГИ ПО ОПЕРАТИВНО-ДИСПЕТЧЕРСКОМУ УПРАВЛЕНИЮ В ЭЛЕКТРОЭНЕРГЕТИКЕ В ЧАСТИ УПРАВЛЕНИЯ ТЕХНОЛОГИЧЕСКИМИ РЕЖИМАМИ

N п/пПоказателиЕдиница измеренияБазовый периодДолгосрочный период регулирования
год i0 (первый год долгосрочного периода регулирования)год i0 + 1год i1 (последний год долгосрочного периода регулирования)
123456n
1Подконтрольные расходытыс. руб.    
2Неподконтрольные расходытыс. руб.    
3Нормативная прибыльтыс. руб.    
4Расчетная предпринимательская прибыльтыс. руб.    
5Размер корректировки подконтрольных расходов по результатам года i-2тыс. руб.    
6Размер корректировки неподконтрольных расходов по результатам года i-2тыс. руб.    
7Размер корректировки необходимой валовой выручки по доходамтыс. руб.    
8Величина изменения необходимой валовой выручки, проводимого в целях сглаживания роста цен (тарифов) на услуги по оперативно-диспетчерскому управлению в электроэнергетике в части управления технологическими режимамитыс. руб.    
9Необходимая валовая выручкатыс. руб.    
10Расчетный объем услугМВт    
10.1Расчетный объем услуг на 1 полугодиеМВт    
10.2Расчетный объем услуг на 2 полугодиеМВт    
11Цена (тариф) на услуги по оперативно-диспетчерскому управлению в электроэнергетике в части управления технологическими режимами на 1 полугодиеруб./МВт в месяц    
12Цена (тариф) на услуги по оперативно-диспетчерскому управлению в электроэнергетике в части управления технологическими режимами на 2 полугодиеруб./МВт в месяц    

Приложение N 9
к приложению к Методическим указаниям
по расчету цен (тарифов) и предельных
(минимальных и (или) максимальных)
уровней цен (тарифов) на услуги
по оперативно-диспетчерскому управлению
в электроэнергетике, устанавливаемых
с применением метода долгосрочной
индексации необходимой валовой выручки,
утвержденным приказом ФАС России
от 15.11.2022 N 810/22

Рекомендуемый образец

РАСЧЕТ
ПРЕДЕЛЬНЫХ (МИНИМАЛЬНЫХ И (ИЛИ) МАКСИМАЛЬНЫХ) УРОВНЕЙ ЦЕН (ТАРИФОВ) НА УСЛУГИ ПО ОПЕРАТИВНО-ДИСПЕТЧЕРСКОМУ УПРАВЛЕНИЮ В ЭЛЕКТРОЭНЕРГЕТИКЕ В ЧАСТИ ОБЕСПЕЧЕНИЯ НАДЕЖНОСТИ ФУНКЦИОНИРОВАНИЯ ЭЛЕКТРОЭНЕРГЕТИКИ

N п/пПоказателиЕдиница измеренияБазовый периодДолгосрочный период регулирования
год i0 (первый год долгосрочного периода регулирования)год i0 + 1год i1 (последний год долгосрочного периода регулирования)
123456n
1Подконтрольные расходытыс. руб.    
2Неподконтрольные расходытыс. руб.    
3Нормативная прибыльтыс. руб.    
4Расчетная предпринимательская прибыльтыс. руб.    
5Размер корректировки подконтрольных расходов по результатам года i-2тыс. руб.    
6Размер корректировки неподконтрольных расходов по результатам года i-2тыс. руб.    
7Размер корректировки необходимой валовой выручки по доходамтыс. руб.    
8Величина изменения необходимой валовой выручки, проводимого в целях сглаживания роста предельных (минимальных и (или) максимальных) уровней цен (тарифов) на услуги по оперативно-диспетчерскому управлению в электроэнергетике в части обеспечения надежности функционирования электроэнергетикитыс. руб.    
9Необходимая валовая выручкатыс. руб.    
10Расчетный объем услугМВт*ч    
10.1Расчетный объем услуг на 1 полугодиеМВт*ч    
10.2Расчетный объем услуг на 2 полугодиеМВт*ч    
11Предельный (минимальный и (или) максимальный) уровень цен (тарифов) на услуги по оперативно-диспетчерскому управлению в электроэнергетике в части обеспечения надежности функционирования электроэнергетики на 1 полугодиеруб./МВт*ч    
12Предельный (минимальный и (или) максимальный) уровень цен (тарифов) на услуги по оперативно-диспетчерскому управлению в электроэнергетике в части обеспечения надежности функционирования электроэнергетики на 2 полугодиеруб./МВт*ч