Постановление Правительства РФ от 22.02.2023 N 295

"О государственной поддержке организаций, реализующих инвестиционные проекты, направленные на производство приоритетной продукции"
Редакция от 22.02.2023 — Действует с 07.03.2023

ПРАВИТЕЛЬСТВО РОССИЙСКОЙ ФЕДЕРАЦИИ

ПОСТАНОВЛЕНИЕ
от 22 февраля 2023 г. N 295

О ГОСУДАРСТВЕННОЙ ПОДДЕРЖКЕ ОРГАНИЗАЦИЙ, РЕАЛИЗУЮЩИХ ИНВЕСТИЦИОННЫЕ ПРОЕКТЫ, НАПРАВЛЕННЫЕ НА ПРОИЗВОДСТВО ПРИОРИТЕТНОЙ ПРОДУКЦИИ

Правительство Российской Федерации постановляет:

1. Утвердить прилагаемые:

Правила предоставления субсидий из федерального бюджета российским кредитным организациям и государственной корпорации развития "ВЭБ.РФ" на возмещение недополученных ими доходов по кредитам, предоставленным российским организациям промышленности на цели реализации инвестиционных проектов, направленных на производство приоритетной продукции, по льготной процентной ставке;

Положение о Межведомственной комиссии по вопросам льготного кредитования инвестиционных проектов, направленных на производство приоритетной продукции.

2. Согласиться с предложением Министерства промышленности и торговли Российской Федерации и федерального государственного автономного учреждения "Российский фонд технологического развития" о наделении указанного автономного учреждения функциями оператора, указанными в абзаце третьем пункта 3 Правил, утвержденных настоящим постановлением, и об их выполнении на безвозмездной основе.

Председатель Правительства
Российской Федерации
М. МИШУСТИН

УТВЕРЖДЕНЫ
постановлением Правительства
Российской Федерации
от 22 февраля 2023 г. N 295

ПРАВИЛА ПРЕДОСТАВЛЕНИЯ СУБСИДИЙ ИЗ ФЕДЕРАЛЬНОГО БЮДЖЕТА РОССИЙСКИМ КРЕДИТНЫМ ОРГАНИЗАЦИЯМ И ГОСУДАРСТВЕННОЙ КОРПОРАЦИИ РАЗВИТИЯ "ВЭБ.РФ" НА ВОЗМЕЩЕНИЕ НЕДОПОЛУЧЕННЫХ ИМИ ДОХОДОВ ПО КРЕДИТАМ, ПРЕДОСТАВЛЕННЫМ РОССИЙСКИМ ОРГАНИЗАЦИЯМ ПРОМЫШЛЕННОСТИ НА ЦЕЛИ РЕАЛИЗАЦИИ ИНВЕСТИЦИОННЫХ ПРОЕКТОВ, НАПРАВЛЕННЫХ НА ПРОИЗВОДСТВО ПРИОРИТЕТНОЙ ПРОДУКЦИИ, ПО ЛЬГОТНОЙ ПРОЦЕНТНОЙ СТАВКЕ

1. Настоящие Правила устанавливают цели, порядок и условия предоставления субсидий из федерального бюджета российским кредитным организациям (далее - кредитные организации) и государственной корпорации развития "ВЭБ.РФ" (далее - ВЭБ.РФ) на возмещение недополученных ими доходов по кредитам, предоставленным российским организациям промышленности на цели реализации инвестиционных проектов, направленных на производство приоритетной продукции, по льготной процентной ставке (далее соответственно - субсидии, кредиты).

Субсидии предоставляются в рамках федерального проекта "Содействие в реализации инвестиционных проектов и поддержка производителей высокотехнологической продукции в гражданских отраслях промышленности" государственной программы Российской Федерации "Развитие промышленности и повышение ее конкурентоспособности" в целях улучшения условий для создания и развития предприятий гражданских отраслей промышленности.

Сведения о субсидиях размещаются на едином портале бюджетной системы Российской Федерации в информационно-телекоммуникационной сети "Интернет" не позднее 15-го рабочего дня, следующего за днем принятия федерального закона о федеральном бюджете (федерального закона о внесении изменений в федеральный закон о федеральном бюджете).

2. Понятия, используемые в настоящих Правилах, означают следующее:

"заемщик" - юридическое лицо, созданное в соответствии с законодательством Российской Федерации, являющееся получателем кредита в соответствии с настоящими Правилами;

"инвестиционный проект" - комплекс взаимосвязанных мероприятий и процессов по созданию, развитию или модернизации производственных мощностей (в том числе по созданию предприятия как имущественного комплекса) и (или) объектов промышленной инфраструктуры, созданию и (или) внедрению технологий, расширению созданных производственных мощностей, направленный на производство приоритетной продукции;

"индикативные условия" - перечень основных предварительных требований и условий финансирования инвестиционного проекта;

"кредитный договор (соглашение)" - кредитный договор (в том числе договор синдицированного кредита), по которому уполномоченный банк предоставил заемщику кредит в российских рублях;

"льготная процентная ставка" - процентная ставка, установленная кредитным договором (соглашением), в размере значения 30 процентов ключевой ставки Центрального банка Российской Федерации, действующей на каждую дату начисления процентов за пользование кредитом по кредитному договору (соглашению), увеличенного на 3 процентных пункта, если иное не предусмотрено решением Правительства Российской Федерации;

"паспорт инвестиционного проекта" - паспорт инвестиционного проекта, составленный по форме согласно приложению N 1;

"перечень продукции" - перечень приоритетной продукции, который определяется в соответствии с методикой определения перечня приоритетной продукции, устанавливаемой Министерством промышленности и торговли Российской Федерации;

"период льготного кредитования" - период с даты заключения кредитного договора (соглашения) до истечения 2 лет, начиная с последнего дня месяца завершения фазы строительства (инвестиционной фазы), определяемой в соответствии с подпунктом "а" пункта 12 паспорта инвестиционного проекта, в течение которого уполномоченному банку возмещаются недополученные доходы по кредитам, если иное не предусмотрено решением Правительства Российской Федерации;

"приоритетная продукция" - продукция, классифицируемая в соответствии с Общероссийским классификатором продукции по видам экономической деятельности (ОКПД 2), в том числе импортозамещающая промышленная продукция промышленного кластера, соответствующего требованиям к промышленным кластерам и специализированным организациям промышленных кластеров в целях применения к ним мер стимулирования деятельности в сфере промышленности, утвержденным постановлением Правительства Российской Федерации от 31 июля 2015 г. N 779 "О промышленных кластерах и специализированных организациях промышленных кластеров", включенная в перечень продукции;

"рыночная процентная ставка" - процентная ставка по кредиту, рассчитанная без учета предоставления субсидии;

"удовлетворительные индикативные условия" - индикативные условия, соответствующие условиям, предусмотренным подпунктами "в", "д" - "ж" пункта 11 настоящих Правил;

"уполномоченный банк" - кредитная организация и (или) ВЭБ.РФ, соответствующие требованиям, предусмотренным пунктом 35 настоящих Правил, предоставившие заемщику по итогам рассмотрения документов, представленных заемщиком в соответствии с пунктом 18 настоящих Правил, удовлетворительные индикативные условия в соответствии с пунктом 21 настоящих Правил.

Иные понятия и термины, используемые в настоящих Правилах, применяются в значениях, установленных законодательством Российской Федерации.

3. Субсидии предоставляются Министерством промышленности и торговли Российской Федерации уполномоченным банкам, в отношении которых Министерством промышленности и торговли Российской Федерации приняты решения о включении уполномоченного банка в перечень получателей субсидий и заключении соглашения о предоставлении субсидии в соответствии с абзацем вторым подпункта "б" пункта 40 настоящих Правил (далее - получатели субсидии), в целях возмещения фактически недополученных ими доходов, возникших в связи с предоставлением заемщикам кредитов по кредитным договорам (соглашениям), исходя из 90 процентов значения ключевой ставки Центрального банка Российской Федерации, действующей на каждую дату начисления процентов за пользование кредитом по кредитному договору (соглашению), или в ином размере, определяемом решениями Правительства Российской Федерации.

В случае изменения ключевой ставки Центрального банка Российской Федерации ее новое значение для расчета размера субсидии применяется начиная со дня, следующего за днем ее изменения.

В случае перехода прав (требований) по денежному обязательству от получателя субсидии к другому уполномоченному банку или получателю субсидии субсидия предоставляется получателю субсидии, к которому перешли такие права (требования), на основании соглашения о предоставлении субсидии, заключаемого между получателем субсидии, к которому перешли такие права (требования), федеральным государственным автономным учреждением "Российский фонд технологического развития", выполняющим функции оператора по проведению комплексной экспертизы инвестиционных проектов, по рассмотрению документов, представленных уполномоченными банками и (или) получателями субсидий в целях заключения соглашений о предоставлении субсидий и получения субсидий, а также заемщиками в целях включения инвестиционных проектов в перечень инвестиционных проектов, ведение которого осуществляется Министерством промышленности и торговли Российской Федерации в соответствии с пунктом 14 настоящих Правил (далее - перечень проектов), по осуществлению мониторинга реализации инвестиционных проектов в порядке, определяемом оператором по согласованию с Министерством промышленности и торговли Российской Федерации (далее - мониторинг инвестиционного проекта), по проведению консультаций заемщиков в целях доработки инвестиционных проектов (далее - оператор), и Министерством промышленности и торговли Российской Федерации в порядке, предусмотренном настоящими Правилами.

В случае заявления одним из участников синдиката кредиторов требования о расторжении договора синдицированного кредита и сохранения действия договора синдицированного кредита в отношении других участников синдиката кредиторов участники синдиката кредиторов, в отношении которых такой договор сохраняет свое действие, сохраняют право на получение субсидии.

В случае отзыва Центральным банком Российской Федерации у одного из участников синдиката кредиторов лицензии на осуществление банковских операций или аннулирования такой лицензии и сохранения действия договора синдицированного кредита в отношении других участников синдиката кредиторов участники синдиката кредиторов, в отношении которых такой договор сохраняет свое действие, сохраняют право на получение субсидии.

4. Субсидии предоставляются Министерством промышленности и торговли Российской Федерации получателям субсидии ежеквартально в пределах лимитов бюджетных обязательств, доведенных в установленном порядке до Министерства промышленности и торговли Российской Федерации как получателя средств федерального бюджета на цели, предусмотренные пунктом 1 настоящих Правил (далее - лимит бюджетных обязательств).

В случае необходимости заключения соглашения о предоставлении субсидии на срок, превышающий срок действия лимитов бюджетных обязательств, решение о заключении такого соглашения принимается в порядке, установленном бюджетным законодательством Российской Федерации, по инициативе Министерства промышленности и торговли Российской Федерации исходя из сведений, указанных в подпункте "а" пункта 32 настоящих Правил.

5. Кредит предоставляется получателем субсидии заемщику для осуществления заемщиком следующих расходов в целях реализации инвестиционного проекта (в том числе авансовых платежей):

а) расходы на приобретение (в том числе на оплату первоначального платежа по договору финансовой аренды (лизинга), сооружение, изготовление, доставку, монтаж основных средств, включая наладку и иные мероприятия по подготовке основных средств ко вводу в эксплуатацию, в том числе необходимых для производства приоритетной продукции в рамках инвестиционного проекта;

б) расходы на уплату таможенных пошлин и таможенных сборов;

в) расходы на выплату вознаграждения по лицензионному (сублицензионному) договору (лицензионных платежей);

г) расходы на выполнение опытно-конструкторских работ;

д) расходы на выполнение проектных и изыскательских работ, включая подготовку проектной документации, рабочей документации, а также расходы на оплату консультационных услуг, связанных с проектированием и строительством зданий и сооружений;

е) расходы на строительство, реконструкцию, текущий и (или) капитальный ремонт, включая монтажные, пусконаладочные, инжиниринговые и иные работы, неразрывно связанные со строительством объекта промышленной инфраструктуры, в том числе расходы на оплату по договорам строительного подряда;

ж) расходы на приобретение расходных материалов, сырья и комплектующих изделий для производства приоритетной продукции в объеме, не превышающем 20 процентов суммы кредита, установленной кредитным договором (соглашением);

з) расходы на приобретение расходных материалов и комплектующих изделий к оборудованию, используемому для производства приоритетной продукции (в том числе в случае замены выбывших из строя частей);

и) расходы на сертификацию продукции и услуг, а также расходы, связанные с получением лицензий, сертификатов и иных разрешительных документов, необходимых для реализации инвестиционного проекта;

к) расходы, необходимые для запуска производства и (или) ввода объекта (объектов) промышленной инфраструктуры в эксплуатацию в объеме, не превышающем 20 процентов суммы кредита, установленной кредитным договором (соглашением);

л) расходы на оплату услуг по договорам на проведение оценки основных средств и объектов промышленной инфраструктуры;

м) расходы на оплату услуг по проведению строительного контроля; н) расходы на приобретение или аренду земельных участков в целях создания новых производственных мощностей (за исключением случаев, когда земельный участок, на котором реализуется инвестиционной проект, находится в собственности заемщика);

о) расходы на аренду зданий, сооружений, помещений и оборудования;

п) расходы на обслуживание и содержание основных средств; р) расходы на оплату коммунальных услуг;

с) расходы на оплату топливно-энергетических ресурсов, необходимых для эксплуатации основных средств;

т) расходы на оплату услуг связи, а также услуг, технологически неразрывно связанных с услугами связи;

у) расходы на возврат займов, предоставленных заемщику федеральным государственным автономным учреждением "Российский фонд технологического развития".

6. Не подлежат возмещению за счет субсидии, независимо от источников их финансового обеспечения, расходы:

а) по выплате вознаграждения за оказание услуг по подготовке к заключению на определенных условиях договора синдицированного кредита (услуг по организации синдицированного кредита), если заемщик заключил договор об организации синдицированного кредита;

б) по выплате комиссий (плат), вознаграждения кредитному управляющему и возмещению его расходов, а также по выплате вознаграждения управляющему залогом и возмещению его расходов, если договором синдицированного кредита на заемщика возложены обязанности по таким выплате и возмещению.

7. Для осуществления расходов, указанных в пункте 5 настоящих Правил, в целях реализации инвестиционного проекта за счет кредита допускается формирование заемщиком покрытия по безотзывному аккредитиву.

8. Допускается конвертация средств кредитов (в том числе с участием иной кредитной организации) в иностранную валюту для расчетов с поставщиками по внешнеторговым контрактам при условии последующего представления получателю субсидии документов, подтверждающих факт получения заемщиком имущества (принятия им результатов выполненных работ, оказанных услуг).

Допускается предоставление уполномоченным банком или получателем субсидии кредита на расчетный счет заемщика, открытый в иной кредитной организации, в случае осуществления расчетов с поставщиками по внешнеторговым контрактам при условии последующего представления заемщиком получателю субсидии документов, подтверждающих факт получения заемщиком имущества (принятия им результатов выполненных работ, оказанных услуг).

9. Субсидия предоставляется получателю субсидии при условии соответствия заемщика по соответствующему кредитному договору (соглашению) следующим условиям:

а) заемщик реализует инвестиционный проект, включенный в перечень проектов;

б) заемщик обладает статусом налогового резидента Российской Федерации;

в) заемщик не имеет просроченной задолженности по возврату в федеральный бюджет субсидий, бюджетных инвестиций, предоставленных из федерального бюджета, и иной просроченной (неурегулированной) задолженности по денежным обязательствам перед Российской Федерацией;

г) заемщик не находится в процессе реорганизации (за исключением реорганизации в форме присоединения к заемщику другого юридического лица), ликвидации, в отношении его не введена процедура банкротства, а также деятельность заемщика не приостановлена в порядке, предусмотренном законодательством Российской Федерации;

д) заемщик в период с даты заключения кредитного договора (соглашения) не имел просроченных на срок свыше 90 дней платежей перед кредитными организациями, направленных на исполнение обязательств заемщика по кредитным договорам, договорам поручительства, требований о возмещении заемщиком гаранту выплаченных в соответствии с условиями независимой гарантии денежных сумм;

е) у заемщика отсутствует на дату не ранее чем за 30 дней до даты заключения кредитного договора (соглашения) и в течение периода льготного кредитования неисполненная обязанность по уплате налогов, сборов, страховых взносов, пеней, штрафов, процентов, подлежащих уплате в соответствии с законодательством Российской Федерации о налогах и сборах, превышающая 500 тыс. рублей;

ж) в реестре дисквалифицированных лиц отсутствуют сведения о дисквалифицированных руководителе, членах коллегиального исполнительного органа, лице, исполняющем функции единоличного исполнительного органа, или главном бухгалтере (при наличии) заемщика;

з) заемщик не находится в перечне организаций и физических лиц, в отношении которых имеются сведения об их причастности к экстремистской деятельности или терроризму, либо в перечне организаций и физических лиц, в отношении которых имеются сведения об их причастности к распространению оружия массового уничтожения;

и) заемщик при заключении кредитного договора (соглашения) обязался предоставлять информацию и отчетность в порядке, объеме и сроки, которые предусмотрены настоящими Правилами;

к) заемщик не является стороной другого кредитного договора (соглашения), заключенного в соответствии с настоящими Правилами в целях финансирования одного и того же инвестиционного проекта или направленного на производство одной и той же приоритетной продукции (в соответствии с Общероссийским классификатором продукции по видам экономической деятельности (ОКПД 2) (за исключением договора синдицированного кредита);

л) заемщик осуществляет свою операционную деятельность на территории Российской Федерации, в случае если такой заемщик является российским юридическим лицом, в уставном (складочном) капитале которого доля прямого или косвенного (через третьих лиц) участия иностранных юридических лиц, в том числе местом регистрации которых является государство или территория, включенные в утверждаемый Министерством финансов Российской Федерации перечень государств и территорий, используемых для промежуточного (офшорного) владения активами в Российской Федерации (далее - офшорные компании), в совокупности превышает 50 процентов.

10. Для подтверждения соответствия условиям, предусмотренным подпунктами "б" - "з", "к" и "л" пункта 9 настоящих Правил, после заключения кредитного договора (соглашения) заемщик в течение срока действия кредитного договора (соглашения) по запросу получателя субсидии представляет получателю субсидии письмо в свободной форме, подписанное руководителем заемщика или уполномоченным им лицом (далее - уполномоченное лицо заемщика), с приложением подтверждающих документов.

11. Субсидия предоставляется получателю субсидии при условии соответствия кредитного договора (соглашения) следующим условиям:

а) кредитный договор (соглашение) заключен не ранее IV квартала 2022 г.;

б) кредит предоставляется на цели реализации инвестиционного проекта, включенного в перечень проектов;

в) сумма кредита по кредитному договору (соглашению) составляет: не менее 1 млрд. рублей, но не более 100 млрд рублей, - для реализации инвестиционных проектов, направленных на производство продукции, классифицируемой в соответствии с Общероссийским классификатором продукции по видам экономической деятельности (ОКПД 2) по коду 21 "Средства лекарственные и материалы, применяемые в медицинских целях";

не менее 1 млрд рублей, но не более 100 млрд рублей, - для реализации инвестиционных проектов, направленных на реализацию соглашений о намерениях между Правительством Российской Федерации и заинтересованными организациями в целях развития высокотехнологичных направлений;

не менее 5 млрд рублей (не менее 15 млрд рублей для группы лиц, определяемой в соответствии со статьей 9 Федерального закона "О защите конкуренции"), но не более 100 млрд рублей, если иное не предусмотрено решением Правительства Российской Федерации, - для реализации инвестиционных проектов, в рамках которых заключены долгосрочные контракты на поставку приоритетной продукции (на срок не менее 5 лет и на сумму не менее 10 млрд рублей);

не менее 2 млрд рублей, но не более 100 млрд рублей, если иное не предусмотрено решением Правительства Российской Федерации, - для реализации инвестиционных проектов, не предусмотренных абзацами вторым - четвертым настоящего подпункта;

г) сумма кредита в соответствии с кредитным договором (соглашением) составляет не более 80 процентов общей стоимости инвестиционного проекта, если иное не предусмотрено решением Правительства Российской Федерации. При расчете общей стоимости инвестиционного проекта могут быть учтены инвестиции, осуществленные в инвестиционный проект не ранее 5 лет, предшествующих дате представления заемщиком в кредитные организации и (или) ВЭБ.РФ документов, предусмотренных пунктом 18 настоящих Правил, при условии документального подтверждения соответствующих понесенных затрат. При этом не учитываются инвестиции (затраты), осуществляемые (осуществленные) за счет средств, предоставляемых в целях реализации инвестиционного проекта из бюджетов бюджетной системы Российской Федерации, а также проценты за пользование кредитом по кредитному договору (соглашению) и иным договорам (соглашениям) по привлечению заемного финансирования;

д) условия кредитного договора (соглашения) предусматривают установление льготной процентной ставки на период льготного кредитования;

е) условия кредитного договора (соглашения) предусматривают возможность предоставления заемщику отсрочки исполнения обязательств по возврату суммы основного долга и (или) уплате процентов за пользование кредитом до момента завершения фазы строительства (инвестиционной фазы), определенной в подпункте "а" пункта 12 паспорта инвестиционного проекта, в случае поступления соответствующего запроса заемщика до заключения кредитного договора (соглашения);

ж) кредитный договор (соглашение) не предусматривает взимания с заемщика в течение периода льготного кредитования комиссий, сборов и иных платежей, за исключением (если иное не предусмотрено решением Правительства Российской Федерации):

платы за пользование лимитом кредитной линии, взимаемой за не использованный заемщиком остаток лимита кредитной линии, в размере не более 0,5 процента годовых от неиспользованного остатка лимита кредитной линии;

комиссии за досрочный возврат кредита в размере не более 1 процента досрочно возвращаемой суммы кредита;

штрафных санкций в случае неисполнения заемщиком условий кредитного договора (соглашения);

выплат вознаграждения кредитному управляющему и (или) управляющему залогом в случае, если кредитный договор (соглашение) заключен в форме договора синдицированного кредита;

з) кредитный договор (соглашение) содержит условие, в соответствии с которым предоставленный заемщику кредит не может быть размещен на депозитах по ставке, равной или превышающей льготную процентную ставку, установленную кредитным договором (соглашением), а также в иные финансовые инструменты (ценные бумаги, денежные обязательства, фьючерсы, опционы и др.), в результате продажи или передачи которых заемщик получает денежные средства;

и) кредитный договор (соглашение) содержит условие о запрете на выплату дивидендов (распределение прибыли) заемщиком за счет кредита;

к) кредитный договор (соглашение) содержит обязательство заемщика не заключать в соответствии с настоящими Правилами кредитные договоры (соглашения) с иными кредитными организациями на цели финансирования одного и того же инвестиционного проекта или в целях производства одной и той же приоритетной продукции (в соответствии с Общероссийским классификатором продукции по видам экономической деятельности (ОКПД 2) (за исключением заключения договора синдицированного кредита);

л) кредитный договор (соглашение) содержит обязательство заемщика при заключении кредитного договора (соглашения) представлять информацию и отчетность в порядке, объеме и сроки, которые предусмотрены настоящими Правилами, в том числе отчетность, предусмотренную пунктом 64 настоящих Правил;

м) кредитный договор (соглашение) содержит обязательство заемщика уплатить получателю субсидии средства в целях возврата субсидии в соответствии с пунктом 76 настоящих Правил;

н) кредитный договор (соглашение) содержит обязательство о возврате в течение 12 месяцев с даты заключения кредитного договора (соглашения) займов (в случае их наличия), предоставленных заемщику федеральным государственным автономным учреждением "Российский фонд технологического развития", если такие займы предоставлены на цели реализации одного и того же инвестиционного проекта, результатом реализации которого является производство одной и той же приоритетной продукции;

о) кредитный договор (соглашение) содержит обязательство заемщика в течение 10 рабочих дней с даты заключения кредитного договора (соглашения) направить в электронной форме с использованием государственной информационной системы промышленности, созданной в соответствии с постановлением Правительства Российской Федерации от 25 июля 2015 г. N 757 "О порядке создания, эксплуатации и совершенствования государственной информационной системы промышленности" (далее - информационная система), а при отсутствии технической возможности - на бумажном носителе в Министерство промышленности и торговли Российской Федерации и оператору сведения о заключении с получателем субсидии кредитного договора (соглашения), которые содержат:

сведения о заключенном кредитном договоре (соглашении);

сведения об инвестиционном проекте, включенном в перечень проектов, в целях реализации которого заключен кредитный договор (соглашение);

согласие заемщика на осуществление мониторинга инвестиционного проекта.

12. Ответственность за соответствие заемщиков и кредитных договоров (соглашений) условиям, предусмотренным настоящими Правилами, а также за мониторинг целевого использования кредита несет получатель субсидии.

13. Получатель субсидии вправе изменить процентную ставку по кредитному договору (соглашению) с льготной процентной ставки на рыночную процентную ставку только в случаях:

а) непредоставления ему субсидии ввиду отсутствия лимитов бюджетных обязательств - со дня получения уведомления Министерства промышленности и торговли Российской Федерации об отказе в предоставлении субсидии в соответствии с абзацем третьим пункта 54 настоящих Правил, а в случае, если получателем субсидии является ВЭБ.РФ, - со дня получения такого уведомления при условии внесения изменений в соглашение о предоставлении субсидии в связи с согласованием его новых условий или расторжения соглашения о предоставлении субсидии при недостижении согласия по его новым условиям в соответствии с подпунктом "ж" пункта 44 настоящих Правил;

б) выявления нецелевого использования заемщиком кредита в отношении суммы кредита, в объеме которой выявлено указанное нарушение, - со дня выявления факта нецелевого использования заемщиком кредита;

в) невыполнения заемщиком обязательств по возврату суммы основного долга и уплате начисленных процентов за пользование кредитом в соответствии с графиком платежей по кредитному договору (соглашению) - со дня, следующего за днем неисполнения заемщиком обязательства, до последнего дня отчетного периода, в котором указанное обязательство было исполнено (включительно). В случае исполнения заемщиком своих просроченных обязательств по возврату суммы основного долга и уплате начисленных процентов за пользование кредитом по кредитному договору (соглашению) уполномоченный банк вправе изменить процентную ставку по кредитному договору (соглашению) с рыночной процентной ставки на льготную процентную ставку, начиная с первого дня отчетного периода, следующего за отчетным периодом, в котором заемщик исполнил указанные обязательства надлежащим образом;

г) принятия Межведомственной комиссией по вопросам льготного кредитования инвестиционных проектов, направленных на производство приоритетной продукции, в соответствии с Положением о Межведомственной комиссии по вопросам льготного кредитования инвестиционных проектов, направленных на производство приоритетной продукции, утвержденным постановлением Правительства Российской Федерации от 22 февраля 2023 г. N 295 "О государственной поддержке организаций, реализующих инвестиционные проекты, направленные на производство приоритетной продукции" (далее соответственно - Межведомственная комиссия, Положение о Межведомственной комиссии), решения о невозможности внесения изменений в инвестиционный проект, предусмотренного пунктом 70 настоящих Правил, - со дня принятия такого решения;

д) несоответствия заемщика условиям, предусмотренным пунктом 9 настоящих Правил, - со дня возникновения такого несоответствия.

14. Министерство промышленности и торговли Российской Федерации на основании решений Межведомственной комиссии осуществляет ведение перечня продукции и перечня проектов.

15. Перечень продукции и перечень проектов размещаются Министерством промышленности и торговли Российской Федерации в информационной системе.

16. Информационное взаимодействие между Министерством промышленности и торговли Российской Федерации, оператором, уполномоченными банками, получателями субсидий, заемщиками и членами Межведомственной комиссии осуществляется в электронной форме с использованием информационной системы, а при отсутствии технической возможности - на бумажном носителе.

17. Решение о сроках приема заявок на включение инвестиционного проекта в перечень проектов, подаваемых заемщиками в целях включения инвестиционного проекта в перечень проектов (далее - заявки на включение в перечень проектов), принимается Министерством промышленности и торговли Российской Федерации не реже одного раза в год.

18. Заемщики в целях включения инвестиционного проекта в перечень проектов самостоятельно выбирают кредитные организации и (или) ВЭБ.РФ для заключения кредитного договора (соглашения) и представляют им следующие документы, необходимые для получения индикативных условий (далее - комплект документов):

а) заявление на финансирование инвестиционных проектов в целях включения инвестиционных проектов в перечень проектов с указанием наименования заемщика, его места нахождения, основного вида деятельности, осуществляемого заемщиком согласно Общероссийскому классификатору видов экономической деятельности (ОКВЭД 2), подписанное руководителем заемщика или уполномоченным лицом заемщика, скрепленное печатью (при наличии) заемщика, с приложением доверенности уполномоченного лица заемщика, удостоверяющей его право на подписание соответствующих документов, в случае если указанные документы подписаны уполномоченным лицом заемщика;

б) справка о соответствии заемщика на дату не ранее чем за 30 дней, предшествующих дате представления комплекта документов, условиям, предусмотренным подпунктами "б" - "г", "ж", "з", "к" и "л" пункта 9 настоящих Правил, подписанная руководителем заемщика или уполномоченным лицом заемщика, скрепленная печатью (при наличии) заемщика;

в) паспорт инвестиционного проекта;

г) бизнес-план инвестиционного проекта, включающий финансовую модель инвестиционного проекта;

д) справка налогового органа об отсутствии у заемщика на дату не ранее чем за 30 дней, предшествующих дате представления комплекта документов, неисполненной обязанности по уплате налогов, сборов, страховых взносов, пеней, штрафов, процентов, подлежащих уплате в соответствии с законодательством Российской Федерации о налогах и сборах, превышающей 500 тыс. рублей;

е) иные документы по запросу кредитной организации или ВЭБ.РФ, необходимые для предоставления индикативных условий.

19. Заемщики вправе представить комплект документов в соответствии с пунктом 18 настоящих Правил в неограниченное количество кредитных организаций и (или) ВЭБ.РФ.

20. Возможность предоставления индикативных условий определяется каждой кредитной организацией и (или) ВЭБ.РФ, в которые от заемщика поступил комплект документов, самостоятельно в соответствии с правилами и процедурами, принятыми в соответствующей кредитной организации или ВЭБ.РФ.

21. В случае предоставления кредитной организацией или ВЭБ.РФ удовлетворительных индикативных условий заемщику по результатам рассмотрения представленного им комплекта документов такая кредитная организация или ВЭБ.РФ направляют заемщику следующие документы:

а) письмо в свободной форме, содержащее основные параметры кредитного договора (соглашения), который может быть заключен с заемщиком (размер процентной ставки по кредиту, сумма кредита, срок и иные условия предоставления кредита);

б) заверенная уполномоченным банком (или уполномоченным им лицом), скрепленная его печатью (при наличии) копия паспорта инвестиционного проекта, подготовленного заемщиком.

22. В случае непредоставления кредитными организациями или ВЭБ.РФ удовлетворительных индикативных условий заемщик вправе доработать комплект документов, в том числе изменить параметры инвестиционного проекта, и повторно представить комплект документов в соответствии с пунктом 18 настоящих Правил.

В целях доработки инвестиционного проекта заемщик вправе обратиться к оператору в порядке, определяемом оператором по согласованию с Министерством промышленности и торговли Российской Федерации.

23. В случае предоставления заемщику удовлетворительных индикативных условий такой заемщик в целях включения инвестиционного проекта в перечень проектов направляет в электронной форме с использованием информационной системы, а при отсутствии технической возможности - на бумажном носителе комплект документов оператору для проведения оператором комплексной экспертизы в порядке, определяемом оператором по согласованию с Министерством промышленности и торговли Российской Федерации и Министерством экономического развития Российской Федерации.

Оператор вправе запросить у заемщика иные документы, не входящие в комплект документов и необходимые для проведения комплексной экспертизы.

24. По итогам проведения комплексной экспертизы оператор направляет заемщику в электронной форме с использованием информационной системы, а при отсутствии технической возможности - на бумажном носителе одно из следующих заключений:

заключение о возможности включения инвестиционного проекта в перечень проектов (далее - заключение оператора о включении в перечень проектов);

заключение о необходимости доработки инвестиционного проекта с рекомендациями по такой доработке.

В случае направления оператором заемщику заключения о необходимости доработки инвестиционного проекта с рекомендациями по такой доработке заемщик вправе доработать инвестиционный проект и повторно представить комплект документов оператору в соответствии с пунктом 23 настоящих Правил, а также в кредитную организацию и (или) ВЭБ.РФ в соответствии с пунктом 18 настоящих Правил в случае необходимости получения новых индикативных условий.

25. Заключение оператора о включении в перечень проектов должно содержать:

а) оценку объема отгруженной приоритетной продукции или объема произведенной приоритетной продукции, непосредственно использованной в технологическом процессе производства другой продукции, заявленной в инвестиционном проекте, накопленным итогом (в натуральном и стоимостном выражении) по годам реализации инвестиционного проекта и на дату окончания срока реализации инвестиционного проекта, определенного в соответствии с подпунктом "г" пункта 9 паспорта инвестиционного проекта;

б) оценку соответствия производимой в рамках инвестиционного проекта продукции перечню продукции;

в) оценку отраслевой принадлежности инвестиционного проекта.

26. Извещение о приеме заявок на включение в перечень проектов размещается на официальном сайте информационной системы не позднее чем за один рабочий день до дня начала такого приема. Указанное извещение содержит следующие сведения:

а) сроки начала и окончания приема заявок на включение в перечень проектов;

б) наименование, место нахождения, почтовый адрес и адрес электронной почты Министерства промышленности и торговли Российской Федерации;

в) доменное имя и (или) указатель страниц официального сайта информационной системы, на котором обеспечивается прием заявок на включение в перечень проектов;

г) результат реализации инвестиционного проекта и его характеристики (показатели, необходимые для достижения результата реализации инвестиционного проекта), предусмотренные пунктом 63 настоящих Правил;

д) условия, предусмотренные подпунктами "б" - "г", "ж", "з", "к" и "л" пункта 9 настоящих Правил, которым должен соответствовать заемщик, и перечень документов, представляемых заемщиками для подтверждения их соответствия указанным условиям;

е) порядок подачи заявок на включение в перечень проектов и требования, предъявляемые к форме и содержанию заявок на включение в перечень проектов;

ж) порядок отзыва заявок на включение в перечень проектов, порядок возврата заявок на включение в перечень проектов, определяющий в том числе основания для возврата заявок на включение в перечень проектов, а также порядок внесения изменений в заявки на включение в перечень проектов;

з) порядок рассмотрения заявок на включение в перечень проектов;

и) дата размещения результатов рассмотрения заявок на включение в перечень проектов на официальном сайте информационной системы (не позднее 14-го календарного дня, следующего за днем определения инвестиционных проектов, в отношении которых Межведомственной комиссией принято решение о включении в перечень проектов);

к) адрес сайта в информационно-телекоммуникационной сети "Интернет", на котором обеспечивается размещение перечня продукции.

27. В случае предоставления заемщику удовлетворительных индикативных условий и получения заемщиком заключения оператора о включении в перечень проектов такой заемщик в срок, установленный в соответствии с подпунктом "а" пункта 26 настоящих Правил, направляет в электронной форме с использованием информационной системы, а при отсутствии технической возможности - на бумажном носителе в Министерство промышленности и торговли Российской Федерации заявку на включение в перечень проектов, содержащую:

а) заявление на включение инвестиционного проекта в перечень проектов;

б) комплект документов;

в) заверенные руководителем заемщика или уполномоченным лицом заемщика копии представленных уполномоченным банком документов, указанных в пункте 21 настоящих Правил;

г) заверенную руководителем заемщика или уполномоченным лицом заемщика копию заключения оператора о включении в перечень проектов.

28. Министерство промышленности и торговли Российской Федерации выносит на рассмотрение Межведомственной комиссии заявки на включение в перечень проектов, соответствующие требованиям, предусмотренным пунктом 27 настоящих Правил, и поступившие в соответствии с пунктом 27 настоящих Правил до 1-го числа месяца, в котором Министерством промышленности и торговли Российской Федерации принято решение о проведении заседания Межведомственной комиссии.

29. В целях рассмотрения Межведомственной комиссией заявок на включение в перечень проектов Министерство промышленности и торговли Российской Федерации обеспечивает направление с использованием информационной системы, а при отсутствии технической возможности - на бумажном носителе всем членам Межведомственной комиссии не позднее чем за 5 рабочих дней до даты проведения заседания Межведомственной комиссии:

а) уведомления о дате, времени и месте проведения заседания Межведомственной комиссии;

б) заявок на включение в перечень проектов, которые подлежат рассмотрению на соответствующем заседании Межведомственной комиссии.

30. Межведомственная комиссия осуществляет рассмотрение заявок на включение в перечень проектов в соответствии с Положением о Межведомственной комиссии и с учетом удовлетворительных индикативных условий и заключения оператора о включении в перечень проектов принимает одно из следующих решений:

а) о включении инвестиционного проекта в перечень проектов;

б) об отказе во включении инвестиционного проекта в перечень проектов, в том числе в случае повторного представления в Межведомственную комиссию заявки на включение в перечень проектов без устранения ранее полученных по ней замечаний или представления иной заявки на включение в перечень проектов, аналогичной рассматриваемой заявке на включение в перечень проектов в части заемщика и приоритетной продукции.

31. Министерство промышленности и торговли Российской Федерации уведомляет в электронной форме с использованием информационной системы, а при отсутствии технической возможности - на бумажном носителе уполномоченные банки, оператора и заемщиков (по каждому инвестиционному проекту) о принятых Межведомственной комиссией решениях, указанных в пункте 30 настоящих Правил, в течение 10 рабочих дней со дня принятия решения Межведомственной комиссией.

На основании решений Межведомственной комиссии о включении инвестиционного проекта в перечень проектов Министерством промышленности и торговли Российской Федерации в течение 30 дней со дня принятия Межведомственной комиссией указанных решений формируется перечень проектов (вносятся соответствующие изменения в перечень проектов).

32. Перечень проектов должен включать в себя следующие сведения по каждому инвестиционному проекту:

а) об уполномоченных банках с указанием прогнозного необходимого объема средств федерального бюджета на предоставление субсидий в целях, предусмотренных пунктом 1 настоящих Правил, в том числе по годам;

б) об удовлетворительных индикативных условиях;

в) о заемщиках;

г) о результатах реализации инвестиционных проектов и характеристиках (показателях, необходимых для достижения результатов реализации инвестиционных проектов).

33. Отбор получателей субсидий осуществляется путем проведения Министерством промышленности и торговли Российской Федерации запроса предложений с использованием информационной системы на основании заявок на участие в отборе получателей субсидий (далее - отбор), поданных уполномоченными банками, претендующими на заключение соглашения о предоставлении субсидии (далее - заявки на участие в отборе), исходя из соответствия уполномоченного банка критериям отбора, установленным настоящими Правилами, и очередности поступления заявок на участие в отборе.

Решение о сроках приема заявок на участие в отборе принимается Министерством промышленности и торговли Российской Федерации не реже одного раза в год (в пределах лимитов бюджетных обязательств).

Информация о результатах рассмотрения заявок на участие в отборе, об участниках отбора, о результатах отбора и получателях субсидии является информацией ограниченного доступа.

34. Объявление о проведении отбора размещается на официальном сайте информационной системы (с размещением указателя страницы указанного сайта на едином портале бюджетной системы Российской Федерации) не позднее чем за один рабочий день до даты начала подачи документов и содержит следующие сведения:

а) сроки проведения отбора;

б) дата начала подачи заявок на участие в отборе и дата окончания их приема, которая не может быть ранее 10-го календарного дня, следующего за днем размещения объявления о проведении отбора;

в) наименование, место нахождения, почтовый адрес и адрес электронной почты Министерства промышленности и торговли Российской Федерации;

г) результат предоставления субсидии, указанный в пункте 56 настоящих Правил;

д) доменное имя и (или) указатель страниц информационной системы, в которой обеспечивается проведение отбора;

е) требования к уполномоченным банкам, претендующим на заключение соглашения о предоставлении субсидии, и перечень документов, представляемых уполномоченными банками для подтверждения их соответствия указанным требованиям;

ж) порядок подачи заявок на участие в отборе и требования, предъявляемые к форме и содержанию заявок на участие в отборе, подаваемых уполномоченными банками, претендующими на заключение соглашения о предоставлении субсидии;

з) порядок отзыва заявок на участие в отборе, порядок возврата заявок на участие в отборе, определяющий в том числе основания для возврата заявок на участие в отборе, а также порядок внесения изменений в заявки на участие в отборе;

и) порядок рассмотрения заявок на участие в отборе;

к) порядок предоставления уполномоченным банкам разъяснений положений объявления о проведении отбора, даты начала и окончания срока такого предоставления;

л) срок, в течение которого уполномоченные банки, в отношении которых Министерством промышленности и торговли Российской Федерации принято решение о включении уполномоченного банка в перечень получателей субсидий и заключении соглашения о предоставлении субсидии, должны подписать соглашение о предоставлении субсидии;

м) условия признания уполномоченных банков, в отношении которых Министерством промышленности и торговли Российской Федерации принято решение о включении уполномоченного банка в перечень получателей субсидий и заключении соглашения о предоставлении субсидии, уклонившимися от заключения соглашения о предоставлении субсидии;

н) дата размещения результатов отбора в информационной системе (не позднее 14-го календарного дня, следующего за днем определения уполномоченных банков, в отношении которых Министерством промышленности и торговли Российской Федерации принято решение о включении уполномоченного банка в перечень получателей субсидий и заключении соглашения о предоставлении субсидии).

35. Уполномоченный банк на дату не ранее чем за 30 дней до даты подачи заявки на участие в отборе должен соответствовать следующим требованиям:

а) в случае если уполномоченным банком является кредитная организация:

у кредитной организации отсутствует неисполненная обязанность по уплате налогов, сборов, страховых взносов, пеней, штрафов, процентов, подлежащих уплате в соответствии с законодательством Российской Федерации о налогах и сборах;

у кредитной организации отсутствует просроченная задолженность по возврату в федеральный бюджет субсидий, бюджетных инвестиций, предоставленных из федерального бюджета, в том числе в соответствии с иными нормативными правовыми актами Российской Федерации, и иная просроченная (неурегулированная) задолженность по денежным обязательствам перед Российской Федерацией;

кредитная организация не является иностранным юридическим лицом, в том числе офшорной компанией, а также российским юридическим лицом, в уставном (складочном) капитале которого доля прямого или косвенного (через третьих лиц) участия офшорных компаний в совокупности превышает 25 процентов (если иное не предусмотрено законодательством Российской Федерации);

кредитная организация не получает средства из федерального бюджета на цели, предусмотренные пунктом 1 настоящих Правил, на основании иных нормативных правовых актов Российской Федерации;

кредитная организация не находится в процессе реорганизации (за исключением реорганизации в форме присоединения к кредитной организации другого юридического лица), ликвидации, в отношении ее не введена процедура банкротства, а также ее деятельность не приостановлена в порядке, предусмотренном законодательством Российской Федерации;

в реестре дисквалифицированных лиц отсутствуют сведения о дисквалифицированных руководителе, членах коллегиального исполнительного органа, лице, исполняющем функции единоличного исполнительного органа, или главном бухгалтере (при наличии) кредитной организации;

кредитная организация не находится в перечне организаций и физических лиц, в отношении которых имеются сведения об их причастности к экстремистской деятельности или терроризму, либо в перечне организаций и физических лиц, в отношении которых имеются сведения об их причастности к распространению оружия массового уничтожения;

б) в случае если уполномоченным банком является ВЭБ.РФ:

у ВЭБ.РФ отсутствует неисполненная обязанность по уплате налогов, сборов, страховых взносов, пеней, штрафов, процентов, подлежащих уплате в соответствии с законодательством Российской Федерации о налогах и сборах;

у ВЭБ.РФ отсутствует просроченная задолженность по возврату в федеральный бюджет субсидий, бюджетных инвестиций, предоставленных из федерального бюджета, в том числе в соответствии с иными нормативными правовыми актами Российской Федерации, и иная просроченная (неурегулированная) задолженность по денежным обязательствам перед Российской Федерацией;

ВЭБ.РФ не находится в процессе реорганизации, ликвидации;

ВЭБ.РФ не получает средства из федерального бюджета на цели, предусмотренные пунктом 1 настоящих Правил, на основании иных нормативных правовых актов Российской Федерации;

в реестре дисквалифицированных лиц отсутствуют сведения о дисквалифицированных руководителе, членах коллегиального исполнительного органа, лице, исполняющем функции единоличного исполнительного органа, или главном бухгалтере ВЭБ.РФ;

ВЭБ.РФ не находится в перечне организаций и физических лиц, в отношении которых имеются сведения об их причастности к экстремистской деятельности или терроризму, либо в перечне организаций и физических лиц, в отношении которых имеются сведения об их причастности к распространению оружия массового уничтожения.

36. Уполномоченные банки для участия в отборе подают в Министерство промышленности и торговли Российской Федерации в электронном виде с использованием информационной системы, а при отсутствии технической возможности - на бумажном носителе в сроки, установленные в объявлении о проведении отбора, заявку на участие в отборе, подписанную усиленной квалифицированной электронной подписью руководителя уполномоченного банка или уполномоченного им лица (с представлением документов, подтверждающих полномочия указанного лица), с приложением следующих документов и указанием следующей информации:

а) в случае если уполномоченным банком является кредитная организация:

сведения о государственной регистрации кредитной организации в качестве юридического лица и копия лицензии на осуществление банковских операций, выданной Центральным банком Российской Федерации (в случае непредставления копии указанной лицензии Министерство промышленности и торговли Российской Федерации запрашивает ее самостоятельно);

заверенные кредитной организацией или нотариально удостоверенные копии учредительных документов кредитной организации (в случае непредставления копий указанных документов Министерство промышленности и торговли Российской Федерации запрашивает их самостоятельно);

справка, подписанная руководителем кредитной организации или уполномоченным им лицом, действующим на основании доверенности (далее - уполномоченное лицо кредитной организации), скрепленная печатью (при наличии) кредитной организации, с указанием банковских реквизитов и счетов, на которые следует перечислять субсидию;

справка, подписанная руководителем кредитной организации или уполномоченным лицом кредитной организации, скрепленная печатью (при наличии) кредитной организации, подтверждающая, что на дату не ранее чем за 30 дней до даты подачи заявки на участие в отборе кредитная организация соответствует требованиям, предусмотренным подпунктом "а" пункта 35 настоящих Правил;

доверенность уполномоченного лица кредитной организации, удостоверяющая его право на подписание заявки на участие в отборе и (или) иных документов (в случае если заявка на участие в отборе и (или) иные документы подписаны уполномоченным лицом кредитной организации);

согласие на публикацию (размещение) в информационной системе информации о кредитной организации, подаваемой заявке на участие в отборе и иной информации о кредитной организации, связанной с отбором, а также согласие на обработку персональных данных физических лиц, уполномоченных кредитной организацией на взаимодействие с Министерством промышленности и торговли Российской Федерации и оператором в рамках настоящих Правил;

б) в случае если уполномоченным банком является ВЭБ.РФ: справка, подписанная председателем ВЭБ.РФ или уполномоченным им лицом, действующим на основании доверенности (далее уполномоченное лицо ВЭБ.РФ), скрепленная печатью ВЭБ.РФ, с указанием реквизитов и счетов, на которые следует перечислять субсидию;

справка, подписанная председателем ВЭБ.РФ или уполномоченным лицом ВЭБ.РФ, скрепленная печатью ВЭБ.РФ, подтверждающая, что на дату не ранее чем за 30 дней до даты подачи заявки на участие в отборе ВЭБ.РФ соответствует требованиям, предусмотренным подпунктом "б" пункта 35 настоящих Правил;

доверенность уполномоченного лица ВЭБ.РФ, удостоверяющая его право на подписание заявки на участие в отборе и (или) иных документов (в случае если заявка на участие в отборе и (или) иные документы подписаны уполномоченным лицом ВЭБ.РФ);

согласие на публикацию (размещение) в информационной системе информации о ВЭБ.РФ, подаваемой заявке на участие в отборе и иной информации о ВЭБ.РФ, связанной с отбором, а также согласие на обработку персональных данных физических лиц, уполномоченных ВЭБ .РФ на взаимодействие с Министерством промышленности и торговли Российской Федерации и оператором в рамках настоящих Правил.

37. Министерство промышленности и торговли Российской Федерации направляет оператору заявки на участие в отборе и прилагаемые к ним документы, представленные в соответствии с пунктом 36 настоящих Правил, с использованием информационной системы для их проверки и совершения иных действий в соответствии с пунктом 38 настоящих Правил.

38. Оператор с использованием информационной системы в течение 20 рабочих дней со дня получения заявки на участие в отборе и прилагаемых к ней документов в соответствии с пунктом 37 настоящих Правил:

а) проводит проверку заявки на участие в отборе и прилагаемых к ней документов, представленных в соответствии с пунктом 36 настоящих Правил, на предмет их соответствия требованиям, предусмотренным настоящими Правилами и установленным в объявлении о проведении отбора;

б) в случае если по результатам проверки, предусмотренной подпунктом "а" настоящего пункта, имеются основания для принятия решения об отказе в заключении соглашения о предоставлении субсидии, указанные в подпунктах "а" - "г" пункта 41 настоящих Правил, направляет уполномоченному банку уведомление о необходимости доработки заявки на участие в отборе и прилагаемых к ней документов с указанием замечаний к ним;

в) в случае если по результатам проверки, предусмотренной подпунктом "а" настоящего пункта, заявка на участие в отборе и прилагаемые к ней документы, представленные в соответствии с пунктом 36 настоящих Правил, соответствуют требованиям, предусмотренным настоящими Правилами и установленным в объявлении о проведении отбора, осуществляет подготовку заключения о возможности заключения соглашения о предоставлении субсидии, в котором в том числе указывается информация:

о соответствии уполномоченного банка требованиям, предусмотренным пунктом 35 настоящих Правил;

о соответствии заявки на участие в отборе и прилагаемых к ней документов требованиям, предусмотренным настоящими Правилами и установленным в объявлении о проведении отбора;

о плановом размере субсидии с распределением по годам по каждому инвестиционному проекту, включенному в перечень проектов, рассчитанном на основании сведений, указанных в подпункте "а" пункта 32 настоящих Правил;

о результате предоставления субсидии с распределением по годам на срок реализации инвестиционного проекта по каждому инвестиционному проекту, включенному в перечень проектов, рассчитанном на основании сведений, указанных в подпункте "г" пункта 32 настоящих Правил;

г) направляет в Министерство промышленности и торговли Российской Федерации заключение о возможности заключения соглашения о предоставлении субсидии с приложением заявки на участие в отборе и прилагаемых к ней документов, представленных в соответствии с пунктом 36 настоящих Правил.

39. Уполномоченный банк в течение 5 рабочих дней со дня получения уведомления, указанного в подпункте "б" пункта 38 настоящих Правил, но не позднее даты окончания приема заявок на участие в отборе, вправе повторно направить в Министерство промышленности и торговли Российской Федерации доработанную заявку на участие в отборе и прилагаемые к ней документы в соответствии с пунктом 36 настоящих Правил. Министерство промышленности и торговли Российской Федерации направляет указанные документы оператору в порядке, предусмотренном пунктом 37 настоящих Правил. Оператор в течение 5 рабочих дней со дня получения указанных документов в соответствии с пунктом 37 настоящих Правил проводит их проверку и совершает иные действия в соответствии с пунктом 38 настоящих Правил.

40. Министерство промышленности и торговли Российской Федерации в течение 20 рабочих дней со дня получения заключения о возможности заключения соглашения о предоставлении субсидии в соответствии с подпунктом "г" пункта 38 настоящих Правил:

а) обеспечивает рассмотрение заключения о возможности заключения соглашения о предоставлении субсидии и по результатам его рассмотрения в случае несоответствия указанного заключения предусмотренным настоящими Правилами требованиям направляет его на доработку оператору. Оператор дорабатывает такое заключение в течение 3 рабочих дней со дня его получения на доработку и направляет в Министерство промышленности и торговли Российской Федерации доработанное заключение о возможности заключения соглашения о предоставлении субсидии с приложением заявки на участие в отборе и прилагаемых к ней документов, представленных в соответствии с пунктом 36 настоящих Правил;

б) принимает одно из следующих решений:

о включении уполномоченного банка в перечень получателей субсидий и заключении соглашения о предоставлении субсидии;

об отказе в заключении соглашения о предоставлении субсидии;

в) направляет информацию о решении, принятом в соответствии с подпунктом "б" настоящего пункта, оператору, который уведомляет уполномоченный банк об указанном решении в течение 5 рабочих дней со дня получения указанной информации.

41. Основаниями для принятия решения об отказе в заключении соглашения о предоставлении субсидии являются:

а) непредставление или представление не в полном объеме документов, указанных в пункте 36 настоящих Правил;

б) несоответствие представленных уполномоченным банком заявки на участие в отборе и прилагаемых к ней документов требованиям, предусмотренным настоящими Правилами и установленным в объявлении о проведении отбора;

в) недостоверность представленной уполномоченным банком информации, в том числе информации о месте нахождения и адресе уполномоченного банка;

г) несоответствие уполномоченного банка требованиям, предусмотренным пунктом 35 настоящих Правил;

д) недостаток лимитов бюджетных обязательств;

е) подача уполномоченным банком заявки на участие в отборе и прилагаемых к ней документов после даты и (или) времени, определенных для подачи заявок на участие в отборе в объявлении о проведении отбора.

42. В течение 20 рабочих дней со дня включения уполномоченного банка в перечень получателей субсидий Министерство промышленности и торговли Российской Федерации и оператор заключают с получателем субсидии соглашение о предоставлении субсидии в соответствии с типовой формой соглашения о предоставлении субсидии, утвержденной Министерством финансов Российской Федерации, в государственной интегрированной информационной системе управления общественными финансами "Электронный бюджет".

Соглашение о предоставлении субсидии на возмещение недополученных доходов по кредитам, предоставленным заемщикам по договору синдицированного кредита, заключается Министерством промышленности и торговли Российской Федерации и оператором отдельно с каждым получателем субсидии, являющимся участником синдиката кредиторов.

43. Субсидии предоставляются на основании соглашения о предоставлении субсидии, заключаемого между Министерством промышленности и торговли Российской Федерации, оператором и получателем субсидии, сведения о котором включены в перечень проектов в соответствии с подпунктом "а" пункта 32 настоящих Правил, подписанного усиленной квалифицированной электронной подписью лиц, имеющих право действовать от имени каждой из его сторон.

44. В соглашении о предоставлении субсидии предусматриваются в том числе:

а) цели, условия, порядок предоставления субсидии и срок, на который заключено соглашение о предоставлении субсидии;

б) обязанность получателя субсидии по представлению в Министерство промышленности и торговли Российской Федерации отчетов с использованием государственной интегрированной информационной системы управления общественными финансами "Электронный бюджет" в соответствии с пунктом 60 настоящих Правил, а также сроки и формы представления дополнительной отчетности, в том числе отчетов:

о выполнении соглашения о предоставлении субсидии;

о подтверждении соблюдения получателем субсидии условий и порядка предоставления субсидии, предусмотренных настоящими Правилами;

в) согласие получателя субсидии на осуществление Министерством промышленности и торговли Российской Федерации проверок соблюдения получателем субсидии порядка и условий предоставления субсидии, в том числе в части достижения результата предоставления субсидии, указанного в пункте 56 настоящих Правил, а также проверок органами государственного финансового контроля в соответствии со статьями 268.1 и 269.2 Бюджетного кодекса Российской Федерации;

г) ответственность получателя субсидии за нарушение условий предоставления субсидии и порядок возврата субсидии в случае нарушения условий, установленных при предоставлении субсидии, выявленного в том числе по фактам проверок, проведенных Министерством промышленности и торговли Российской Федерации и органом государственного финансового контроля, а также в случае недостижения значения результата предоставления субсидии или в случае расторжения соглашения о предоставлении субсидии;

д) значение результата предоставления субсидии, указанного в пункте 56 настоящих Правил;

е) положение об обязательстве получателя субсидии по неувеличению применяемых льготных процентных ставок и размеров платежей заемщика по кредитам, включенным в заявление на получение субсидии по форме, установленной соглашением о предоставлении субсидии (далее - заявление на субсидию), за исключением:

штрафных санкций в случае неисполнения заемщиком условий кредитного договора (соглашения);

случаев, предусмотренных пунктом 13 настоящих Правил;

ж) порядок внесения изменений в соглашение о предоставлении субсидии.

В случае если получателем субсидии является ВЭБ.РФ, в соглашении о предоставлении субсидии предусматривается также условие о согласовании его новых условий или о расторжении соглашения о предоставлении субсидии при недостижении согласия по его новым условиям в случае, предусмотренном подпунктом "а" пункта 13 настоящих Правил;

з) порядок и условия расторжения соглашения о предоставлении субсидии, включая условие расторжения Министерством промышленности и торговли Российской Федерации соглашения о предоставлении субсидии в одностороннем порядке в следующих случаях:

реорганизация (за исключением реорганизации, не влекущей за собой перехода прав и обязанностей к иному юридическому лицу одновременно с уменьшением активов реорганизуемого получателя субсидии, а также за исключением реорганизации в форме присоединения к получателю субсидии другого юридического лица), ликвидация или прекращение деятельности получателя субсидии;

отзыв у кредитной организации Центральным банком Российской Федерации лицензии на осуществление банковских операций;

и) условие о согласовании новых условий соглашения о предоставлении субсидии или о расторжении соглашения о предоставлении субсидии при недостижении согласия по новым условиям в случае уменьшения Министерству промышленности и торговли Российской Федерации как получателю средств федерального бюджета ранее доведенных лимитов бюджетных обязательств, приводящего к невозможности предоставления субсидии в размере, определенном в соглашении о предоставлении субсидии;

к) порядок приостановления предоставления субсидии в отношении кредитных договоров (соглашений), по которым получателем субсидии принято решение о временном или частичном изменении льготной процентной ставки на рыночную процентную ставку в связи с нарушениями условий таких кредитных договоров (соглашений) со стороны заемщика;

л) требование о возврате субсидии получателем субсидии в случае нарушения условий, установленных при предоставлении субсидии, выявленного в том числе по фактам проверок, проведенных Министерством промышленности и торговли Российской Федерации и органом государственного финансового контроля, нарушения порядка предоставления субсидии, установленного настоящими Правилами и соглашением о предоставлении субсидии, недостижения значения результата предоставления субсидии, а также в случае и порядке, которые предусмотрены пунктом 74 настоящих Правил;

м) требование о возврате субсидии получателем субсидии в случае и порядке, которые предусмотрены пунктом 76 настоящих Правил;

н) условие об уплате получателем субсидии в доход федерального бюджета пеней за каждый день просрочки представления в Министерство промышленности и торговли Российской Федерации в полном объеме отчетов, предусмотренных пунктом 60 настоящих Правил (Р), рассчитанных по формуле:

,

где d - количество календарных дней просрочки начиная со дня, следующего за установленной датой представления отчета, до фактической даты его представления в Министерство промышленности и торговли Российской Федерации;

о) порядок и формы представления получателем субсидии в Министерство промышленности и торговли Российской Федерации документов для получения субсидии;

и) право получателя субсидии в случае отказа в предоставлении субсидии в связи с недостатком лимитов бюджетных обязательств представить в Министерство промышленности и торговли Российской Федерации повторно документы для получения субсидии в соответствии с пунктом 49 настоящих Правил.

45. Оператор осуществляет ведение реестра соглашений о предоставлении субсидии, содержащего в том числе информацию о заключенных кредитных договорах (соглашениях), в отношении которых предоставляются субсидии, по форме и в порядке, которые определены Министерством промышленности и торговли Российской Федерации.

46. Получатели субсидий или уполномоченные банки не позднее 6 месяцев со дня включения инвестиционных проектов в перечень проектов самостоятельно заключают с заемщиками, инвестиционные проекты которых включены в перечень проектов, кредитные договоры (соглашения) (дополнительные соглашения к ним).

При этом получатель субсидии, в отношении которого Министерством промышленности и торговли Российской Федерации принято решение о включении уполномоченного банка в перечень получателей субсидий и заключении соглашения о предоставлении субсидии, в течение 10 рабочих дней с даты заключения кредитного договора (соглашения), в отношении которого предоставляются субсидии, представляет в Министерство промышленности и торговли Российской Федерации и оператору копию заключенного с заемщиком кредитного договора (соглашения).

47. Право на получение субсидии возникает у получателя субсидии с даты заключения соглашения о предоставлении субсидии, но не ранее даты фактического перечисления заемщиком процентов за пользование кредитом по кредитному договору (соглашению) (в объеме средств, начисленных к уплате в отчетном периоде).

48. Перечисление субсидии осуществляется ежеквартально в размере, установленном пунктом 3 настоящих Правил (S), рассчитанном по формуле:

,

где:

К - общее количество кредитных договоров (соглашений); к - порядковый номер кредитного договора (соглашения);

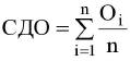
СДО - среднедневной остаток ссудной задолженности заемщиков за отчетный квартал по кредитным договорам (соглашениям), в отношении которых получателю субсидии фактически уплачены проценты за пользование кредитом, начисленные по льготной процентной ставке, в отчетном квартале (рублей), определяемый по формуле:

,

где:

n - количество дней в отчетном квартале;

- остаток ссудной задолженности заемщиков по кредитным договорам (соглашениям) на начало i-ro дня в отчетном квартале;

ПС - субсидируемая процентная ставка по кредитному договору (соглашению), определяемая в размере, рассчитанном исходя из 90 процентов значения ключевой ставки Центрального банка Российской Федерации, действующей на каждую дату начисления процентов за пользование кредитом по кредитному договору (соглашению), или в ином размере, определяемом решениями Правительства Российской Федерации;

N - количество дней в текущем году.

49. Получатель субсидии для получения субсидии представляет в Министерство промышленности и торговли Российской Федерации и оператору с использованием информационной системы, а при отсутствии технической возможности - на бумажном носителе не позднее 10-го числа месяца (за исключением случая, указанного в абзаце десятом настоящего пункта), следующего за отчетным кварталом, следующие документы (по состоянию на 1-е число месяца, следующего за отчетным кварталом):

заявление на субсидию;

реестр заемщиков, заключивших кредитные договоры (соглашения), по форме согласно приложению N 2;

расчет размера субсидии и среднедневного остатка ссудной задолженности заемщиков за отчетный квартал по кредитным договорам (соглашениям), в отношении которых получателю субсидии фактически уплачены проценты за пользование кредитом, начисленные по льготной процентной ставке, в отчетном квартале;

справка, скрепленная печатью (при наличии) получателя субсидии, подтверждающая, что кредитные договоры (соглашения), заключенные с заемщиками, соответствуют условиям, предусмотренным пунктом 11 настоящих Правил, на дату не ранее чем за 30 дней до даты представления заявления на субсидию, и заемщики, включенные в реестр заемщиков, указанный в абзаце третьем настоящего пункта, соответствуют условиям, предусмотренным пунктом 9 настоящих Правил, на дату не ранее чем за 30 дней до даты представления заявления на субсидию;

документы, подтверждающие уплату заемщиком процентов за пользование кредитом по льготной процентной ставке;

отчет о целевом использовании кредита, полученного заемщиком, по форме, установленной соглашением о предоставлении субсидии;

письмо о подтверждении достоверности информации, содержащейся в документах, указанных в абзацах втором - седьмом настоящего пункта.

Документы, указанные в абзацах втором - восьмом настоящего пункта, представляются за подписью руководителя получателя субсидии или уполномоченного им лица (с представлением копий документов, подтверждающих полномочия этого лица).

Получатель субсидии для получения субсидии за последний месяц IV квартала предшествующего календарного года представляет в Министерство промышленности и торговли Российской Федерации и оператору документы, указанные в абзацах втором - восьмом настоящего пункта, не позднее 16 января текущего года.

50. Получатель субсидии несет ответственность за комплектность и достоверность документов, представленных в соответствии с пунктом 49 настоящих Правил.

51. Министерство промышленности и торговли Российской Федерации направляет оператору документы, представленные в соответствии с пунктом 49 настоящих Правил, с использованием информационной системы, а при отсутствии технической возможности - на бумажном носителе для осуществления их проверки и совершения иных действий в соответствии с пунктом 52 настоящих Правил.

52. Оператор не позднее 20 рабочих дней со дня получения в соответствии с пунктом 51 настоящих Правил документов, указанных в пункте 49 настоящих Правил:

а) проводит проверку документов, представленных в соответствии с пунктом 49 настоящих Правил, на предмет их соответствия требованиям, предусмотренным настоящими Правилами;

б) в случае если по результатам проверки, предусмотренной подпунктом "а" настоящего пункта, имеются основания, предусмотренные подпунктами "а" - "в" пункта 53 настоящих Правил, направляет получателю субсидии уведомление о необходимости доработки документов, представленных в соответствии с пунктом 49 настоящих Правил, в течение 5 рабочих дней со дня получения указанного уведомления с указанием замечаний к ним;

в) в случае если по результатам проверки, предусмотренной подпунктом "а" настоящего пункта, отсутствуют основания, предусмотренные подпунктами "а" - "в" пункта 53 настоящих Правил, осуществляет подготовку заключения о возможности предоставления субсидии, в котором в том числе указывается информация:

о соответствии документов, представленных в соответствии с пунктом 49 настоящих Правил, требованиям, предусмотренным настоящими Правилами;

о сведениях по кредитным договорам (соглашениям), в отношении которых предоставляется субсидия;

о соответствии расчета размера субсидии в рамках кредитного договора (соглашения) или траншей договора синдицированного кредита требованиям, предусмотренным настоящими Правилами;

о льготной процентной ставке, установленной получателем субсидии для заемщика;

о направлении заемщиком кредита на осуществление расходов, соответствующих пункту 5 настоящих Правил;

г) направляет в Министерство промышленности и торговли Российской Федерации заключение о возможности предоставления субсидии с приложением документов, представленных в соответствии с пунктом 49 настоящих Правил.

53. Основаниями для доработки документов, представленных в соответствии с пунктом 49 настоящих Правил, или для отказа в предоставлении субсидии являются:

а) непредставление или представление не в полном объеме документов в соответствии с пунктом 49 настоящих Правил;

б) несоответствие документов, представленных в соответствии с пунктом 49 настоящих Правил, требованиям, предусмотренным настоящими Правилами;

в) установление факта недостоверности информации, представленной получателем субсидии;

г) исключение Министерством промышленности и торговли Российской Федерации инвестиционного проекта из перечня проектов в соответствии с пунктом 74 настоящих Правил;

д) отсутствие инвестиционного проекта, реализуемого заемщиком, в перечне проектов;

е) недостаток лимитов бюджетных обязательств.

54. Министерство промышленности и торговли Российской Федерации в течение 20 рабочих дней со дня получения заключения о возможности предоставления субсидии:

обеспечивает рассмотрение заключения о возможности предоставления субсидии и по результатам рассмотрения в случае несоответствия заключения о возможности предоставления субсидии предусмотренным настоящими Правилами требованиям направляет его на доработку оператору. Оператор дорабатывает такое заключение в течение 3 рабочих дней со дня его получения на доработку и направляет в Министерство промышленности и торговли Российской Федерации доработанное заключение о возможности предоставления субсидии с приложением документов, представленных в соответствии с пунктом 49 настоящих Правил;

принимает решение о предоставлении субсидии или отказывает в предоставлении субсидии при наличии оснований, указанных в пункте 53 настоящих Правил, и направляет получателю субсидии уведомление о принятом решении о предоставлении субсидии или об отказе в предоставлении субсидии.

В случае принятия решения о предоставлении субсидии Министерство промышленности и торговли Российской Федерации обеспечивает в установленном порядке перечисление субсидии на расчетный или корреспондентский счет получателя субсидии, открытый в учреждении Центрального банка Российской Федерации, в течение 10 рабочих дней со дня принятия решения о предоставлении субсидии.

55. В случае если получателю субсидии отказано в предоставлении субсидии в связи с недостатком лимитов бюджетных обязательств, получатель субсидии вправе повторно представить в Министерство промышленности и торговли Российской Федерации и оператору документы в соответствии с пунктом 49 настоящих Правил.

Оператор рассматривает документы, полученные в соответствии с абзацем первым настоящего пункта, в порядке, предусмотренном пунктом 52 настоящих Правил.

Министерство промышленности и торговли Российской Федерации рассматривает документы, полученные в соответствии с абзацем первым настоящего пункта, в порядке, предусмотренном пунктом 54 настоящих Правил.

Министерство промышленности и торговли Российской Федерации обеспечивает в приоритетном порядке перечисление субсидии получателю субсидии, представившему документы, предусмотренные пунктом 49 настоящих Правил, в Министерство промышленности и торговли Российской Федерации и оператору в соответствии с абзацем первым настоящего пункта.

В случае необходимости предоставления Министерством промышленности и торговли Российской Федерации субсидии нескольким получателям субсидии, представившим документы, предусмотренные пунктом 49 настоящих Правил, в соответствии с абзацем первым настоящего пункта, очередность предоставления субсидий устанавливается в порядке поступления указанных документов, в отношении которых ранее Министерством промышленности и торговли Российской Федерации направлено уведомление об отказе в предоставлении субсидии в связи с недостатком лимитов бюджетных обязательств.

56. Результатом предоставления субсидии является объем кредита, предоставленного получателем субсидии, из расчета на один рубль предоставленной субсидии.

Значение результата предоставления субсидии устанавливается в соглашении о предоставлении субсидии.

57. Министерство промышленности и торговли Российской Федерации при подготовке предложений в проект федерального бюджета на очередной финансовый год и плановый период определяет необходимый объем бюджетных ассигнований на цели предоставления субсидий с учетом информации, представляемой оператором не позднее 15 мая текущего финансового года по форме, определенной Министерством промышленности и торговли Российской Федерации, содержащей сведения в том числе:

а) о кредитных договорах (соглашениях), соглашениях о предоставлении субсидии, информация о которых включается оператором в реестр соглашений о предоставлении субсидии по состоянию на 1 мая текущего финансового года;

б) о кредитных договорах (соглашениях), которые планируется заключить получателем субсидии на основании перечня проектов;

в) об оценке оператором потребности в бюджетных ассигнованиях на цели предоставления субсидий на очередной финансовый год и плановый период и объемов финансирования, предусмотренных на соответствующие годы реализации настоящих Правил.

58. Министерство промышленности и торговли Российской Федерации проводит проверки соблюдения получателем субсидии порядка и условий предоставления субсидии, в том числе в части достижения результата предоставления субсидии.

Орган государственного финансового контроля проводит проверки в соответствии со статьями 268.1 и 269.2 Бюджетного кодекса Российской Федерации.

59. Министерство промышленности и торговли Российской Федерации осуществляет мониторинг достижения получателем субсидии результата предоставления субсидии исходя из достижения значений результата предоставления субсидии, определенных соглашением о предоставлении субсидии, и событий, отражающих факт завершения соответствующего мероприятия по получению результата предоставления субсидии (контрольная точка), в порядке и по формам, которые установлены Министерством финансов Российской Федерации.

При этом мониторинг достижения получателем субсидии результата предоставления субсидии осуществляется исходя из фактически полученной им субсидии.

60. Получатель субсидии представляет в Министерство промышленности и торговли Российской Федерации с использованием государственной интегрированной информационной системы управления общественными финансами "Электронный бюджет" следующие отчеты:

а) отчет о целевом использовании кредита, полученного заемщиком, в соответствии с абзацем седьмым пункта 49 настоящих Правил;

б) отчет о достижении значения результата предоставления субсидии - ежеквартально, до 20-го числа месяца, следующего за отчетным кварталом, по форме, установленной Министерством финансов Российской Федерации.

61. В случае нарушения получателем субсидии условий, установленных при предоставлении субсидии, выявленного в том числе по фактам проверок, проведенных Министерством промышленности и торговли Российской Федерации и органом государственного финансового контроля в соответствии с пунктом 58 настоящих Правил, а также в случае недостижения значений результата предоставления субсидии, указанного в пункте 56 настоящих Правил, субсидия в объеме выявленных нарушений, но не превышающем размер субсидии, предоставленной получателю субсидии, подлежит возврату в доход федерального бюджета в порядке, установленном бюджетным законодательством Российской Федерации:

в течение 15 рабочих дней со дня получения получателем субсидии соответствующего требования Министерства промышленности и торговли Российской Федерации, направленного заказным почтовым отправлением с уведомлением о вручении;

в сроки, установленные в соответствии с бюджетным законодательством Российской Федерации, на основании представления и (или) предписания органа государственного финансового контроля.

При этом получатель субсидии обязан уплатить за каждый день использования субсидии с нарушением условий, установленных при предоставлении субсидии, пени, размер которых составляет одну трехсотую ключевой ставки Центрального банка Российской Федерации, которая действует по состоянию на 1-й день использования субсидии с нарушением этих условий, от суммы субсидии, использованной с нарушением этих условий.

62. Ответственность за реализацию инвестиционного проекта, включенного в перечень проектов, в том числе за достижение результата реализации инвестиционного проекта и его характеристик (показателей, необходимых для достижения результата реализации инвестиционного проекта), предусмотренных инвестиционным проектом, несет заемщик.

В случае недостижения результата реализации инвестиционного проекта и его характеристик (показателей, необходимых для достижения результата реализации инвестиционного проекта) заемщик несет ответственность в порядке, предусмотренном настоящими Правилами.

63. В перечне проектов заемщику устанавливаются значения результата реализации инвестиционного проекта и его характеристик (показателей, необходимых для достижения результата реализации инвестиционного проекта).

Результатом реализации инвестиционного проекта является объем отгруженной приоритетной продукции или объем произведенной приоритетной продукции, непосредственно использованной в технологическом процессе производства другой продукции, заявленной в инвестиционном проекте, включенном в перечень проектов, в объеме (в натуральном выражении) и в сроки, которые установлены инвестиционным проектом.

Характеристиками (показателями, необходимыми для достижения результата реализации инвестиционного проекта) является достижение ключевых событий в плане-графике реализации инвестиционного проекта в установленные инвестиционным проектом сроки (далее - контрольные точки).

64. В целях осуществления мониторинга инвестиционного проекта заемщик представляет в электронной форме с использованием информационной системы, а при отсутствии технической возможности - на бумажном носителе оператору отчет о достижении значений результата реализации инвестиционного проекта и достижении контрольных точек по форме согласно приложению N 3 ежегодно, до 15 февраля и до 15 августа (по состоянию на 31 декабря и 31 июня соответственно), с приложением копий документов, подтверждающих достижение значений результата реализации инвестиционного проекта и контрольных точек.

65. Заемщик вправе подать оператору с использованием информационной системы, а при отсутствии технической возможности - на бумажном носителе мотивированное заявление об изменении инвестиционного проекта в части изменения срока реализации инвестиционного проекта, внесения изменений в контрольные точки, исправления технических ошибок в инвестиционном проекте и изменения получателя субсидии на другого получателя субсидии или другой уполномоченный банк по следующим основаниям:

а) введение торговых и экономических санкций иностранными государствами, совершающими недружественные действия в отношении заемщиков, уполномоченных банков и получателей субсидий после даты включения инвестиционного проекта в перечень проектов;

б) принятие Правительством Российской Федерации мер, ограничивающих закупку иностранного оборудования, сырья и комплектующих, повлекших изменение срока реализации инвестиционного проекта, значений контрольных точек, установленных в перечне проектов;

в) признание получателя субсидии несостоятельным (банкротом) либо отзыв Центральным банком Российской Федерации у получателя субсидии, предоставившего кредит, лицензии на осуществление банковских операций;

г) необходимость внесения изменений, связанных с изменением уполномоченного банка и (или) получателя субсидии;

д) изменение (увеличение) стоимости реализации инвестиционного проекта более чем на 10 процентов и связанной с ней структуры финансирования инвестиционного проекта вследствие существенных изменений макроэкономических показателей экономики Российской Федерации (уровня ключевой ставки Центрального банка Российской Федерации, курса национальной валюты, индекса потребительских цен, а также условий налогообложения и бухгалтерского учета), не приводящее к увеличению размера предоставляемой субсидии получателю субсидии по такому инвестиционному проекту;

е) изменение валютных курсов более чем на 15 процентов с фиксацией измененного курса в течение не менее 6 месяцев, предшествующих дате подачи заявления об изменении инвестиционного проекта;

ж) необходимость исправления технических ошибок (описка, опечатка, грамматическая или арифметическая ошибка);

з) возникновение обстоятельств непреодолимой силы;

и) необходимость внесения в контрольные точки изменений, не приводящих к изменению результата предоставления субсидии получателя субсидии и результата реализации инвестиционного проекта заемщика;

к) снижение в соответствующем сегменте рынка спроса на приоритетную продукцию и (или) цен на приоритетную продукцию более чем на 30 процентов в течение не менее одного года, предшествующего дате подачи заявления об изменении инвестиционного проекта;

л) недостижение заемщиком контрольных точек;

м) реализация инфраструктурных, технологических, логистических и производственных рисков, в том числе связанных с закупкой запланированного в рамках инвестиционного проекта оборудования из иностранных государств, совершающих недружественные действия в отношении Российской Федерации, граждан Российской Федерации или российских юридических лиц, а также ранее не испытанных его аналогов из иных государств в связи с торговыми и экономическими санкциями в отношении заемщиков, уполномоченных банков и получателей субсидий после включения инвестиционного проекта в перечень проектов (фактическое несоответствие требованиям технического задания, невозможность приемки оборудования на производственных площадках изготовителей, неприбытие сервисных специалистов производителя и иные риски);

н) иные основания по решению Правительства Российской Федерации.

66. Заявление об изменении инвестиционного проекта составляется заемщиком в произвольной форме с указанием оснований для внесения изменений, указанных в пункте 65 настоящих Правил, и описанием воздействия выбранных оснований на возможность достижения результата реализации инвестиционного проекта и контрольных точек, с приложением следующих документов, актуализированных на дату подачи указанного заявления:

а) документы, предусмотренные подпунктами "б" - "д" пункта 18 настоящих Правил, актуализированные не позднее чем за 7 рабочих дней до даты их подачи;

б) согласие получателя субсидии на продолжение предоставления кредита заемщику с учетом предлагаемых изменений инвестиционного проекта, за исключением изменений, предусмотренных подпунктом "в" пункта 65 настоящих Правил, либо согласие уполномоченного банка предоставить кредит заемщику и удовлетворительные индикативные условия в случае, предусмотренном подпунктом "г" пункта 65 настоящих Правил;

в) отчет о достижении значений результата реализации инвестиционного проекта и достижении контрольных точек, предусмотренный пунктом 64 настоящих Правил, по состоянию на дату подачи заявления об изменении инвестиционного проекта.

67. При получении от заемщика заявления об изменении инвестиционного проекта оператор в течение 20 рабочих дней со дня его получения:

а) регистрирует документы, представленные в соответствии с пунктом 66 настоящих Правил, в порядке их поступления;

б) проводит проверку документов, представленных в соответствии с пунктом 66 настоящих Правил, на соответствие требованиям, предусмотренным настоящими Правилами;

в) по результатам проверки, предусмотренной подпунктом "б" настоящего пункта, формирует и направляет уведомление о принятии документов, представленных в соответствии с пунктом 66 настоящих Правил, заемщику или направляет заемщику на доработку документы, представленные в соответствии с пунктом 66 настоящих Правил, в случае их представления не в полном объеме или недостоверности данных, содержащихся в указанных документах.

68. В случае направления заемщику уведомления о принятии документов в соответствии с подпунктом "в" пункта 67 настоящих Правил оператор в течение 20 рабочих дней со дня направления указанного уведомления обеспечивает проведение комплексной экспертизы на предмет целесообразности внесения изменений в инвестиционный проект в порядке, определяемом оператором по согласованию с Министерством промышленности и торговли Российской Федерации и Министерством экономического развития Российской Федерации, по результатам проведения которой оператор направляет в Министерство промышленности и торговли Российской Федерации заключение о целесообразности внесения изменений в инвестиционный проект с приложением копий документов, представленных в соответствии с пунктом 66 настоящих Правил.

69. Министерство промышленности и торговли Российской Федерации в течение 30 дней со дня получения заключения о целесообразности внесения изменений в инвестиционный проект, указанного в пункте 68 настоящих Правил, рассматривает указанное заключение и по результатам рассмотрения:

а) в случае несоответствия заключения о целесообразности внесения изменений в инвестиционный проект предусмотренным настоящими Правилами требованиям направляет указанное заключение оператору на доработку. Оператор дорабатывает заключение о целесообразности внесения изменений в инвестиционный проект в течение 5 рабочих дней со дня его получения на доработку и направляет в Министерство промышленности и торговли Российской Федерации доработанное заключение о целесообразности внесения изменений в инвестиционный проект с приложением копий документов, представленных в соответствии с пунктом 66 настоящих Правил;

б) выносит заявление об изменении инвестиционного проекта и прилагаемые к нему документы, по которому оператором представлено заключение о целесообразности внесения изменений в инвестиционный проект, указанное в пункте 68 настоящих Правил, на рассмотрение Межведомственной комиссии на ее очередном заседании.

70. По результатам рассмотрения заявления об изменении инвестиционного проекта и прилагаемых к нему документов в соответствии с подпунктом "б" пункта 69 настоящих Правил и на основании заключения о целесообразности внесения изменений в инвестиционный проект, представленного в соответствии с пунктом 68 настоящих Правил, Межведомственная комиссия принимает решение о возможности (невозможности) внесения изменений в инвестиционный проект, в том числе в значения результата реализации инвестиционного проекта и (или) контрольные точки, указанные в перечне проектов, или о необходимости доработки заявления об изменении инвестиционного проекта в случае необходимости представления дополнительных (в том числе подтверждающих) документов.

В случае принятия Межведомственной комиссией решения о невозможности внесения изменений в инвестиционный проект основания принятия такого решения указываются в протоколе заседания Межведомственной комиссии.

71. В случае принятия Межведомственной комиссией решения о возможности внесения изменений в инвестиционный проект Министерство промышленности и торговли Российской Федерации обеспечивает внесение изменений в перечень проектов.

Соответствующие изменения (при необходимости) вносятся получателем субсидии в кредитный договор (соглашение), заключенный с соответствующим заемщиком, в течение 15 рабочих дней со дня внесения изменений в перечень проектов (в отношении соответствующего инвестиционного проекта).

72. В случае недостижения заемщиком контрольных точек (накопленным итогом) в течение 12 месяцев с даты, установленной соответствующими контрольными точками, на основании сведений, представленных оператором, Министерство промышленности и торговли Российской Федерации принимает решение о приостановлении предоставления субсидии получателю субсидии по соответствующему соглашению о предоставлении субсидии, направляет уведомление оператору о принятом решении, в том числе для информирования получателя субсидии о принятом решении.

Оператор направляет получателю субсидии соответствующую информацию в течение 5 рабочих дней со дня получения уведомления, указанного в абзаце первом настоящего пункта.

73. В случае, предусмотренном пунктом 70 настоящих Правил, получатель субсидии вправе изменить процентную ставку по кредитному договору (соглашению) с льготной процентной ставки на рыночную процентную ставку в соответствии с подпунктом "г" пункта 13 настоящих Правил.

74. В случае если контрольные точки не были достигнуты заемщиком накопленным итогом в течение 6 месяцев со дня принятия решения, указанного в пункте 72 настоящих Правил, и заемщиком не представлены документы в соответствии с пунктом 66 настоящих Правил, Министерство промышленности и торговли Российской Федерации исключает инвестиционный проект из перечня проектов. В этом случае получатель субсидии осуществляет возврат субсидии, полученной в отношении соответствующего кредитного договора (соглашения), в соответствии с пунктом 76 настоящих Правил.

75. В случае если заемщиком контрольные точки достигнуты накопленным итогом в течение 6 месяцев со дня принятия решения, указанного в пункте 72 настоящих Правил, получатель субсидии возобновляет предоставление кредита.

76. В случае установления факта недостижения заемщиком контрольных точек в течение 18 месяцев с даты, установленной соответствующими контрольными точками, получатель субсидии за счет средств, уплата которых осуществляется заемщиком в соответствии с подпунктом "м" пункта 11 настоящих Правил, обязан осуществить возврат субсидии в размере субсидии, предоставленной на цели реализации соответствующего инвестиционного проекта, на основании требования Министерства промышленности и торговли Российской Федерации в течение 10 дней со дня получения указанного требования.

77. Решения Правительства Российской Федерации, указанные в настоящих Правилах, принимаются по итогам рассмотрения Правительственной комиссии по импортозамещению.

Приложение N 1
к Правилам предоставления субсидий
из федерального бюджета российским
кредитным организациям и государственной
корпорации развития "ВЭБ.РФ"
на возмещение недополученных ими
доходов по кредитам, предоставленным
российским организациям промышленности
на цели реализации инвестиционных проектов,
направленных на производство приоритетной
продукции, по льготной процентной ставке

(форма)

ПАСПОРТ ИНВЕСТИЦИОННОГО ПРОЕКТА, НАПРАВЛЕННОГО НА ПРОИЗВОДСТВО ПРИОРИТЕТНОЙ ПРОДУКЦИИ

1. Полное наименование инвестиционного проекта.

2. Краткое описание инвестиционного проекта.

3. Информация о заемщике:

а) наименование, адрес, место нахождения, идентификационный номер налогоплательщика и (или) код причины постановки на учет налогоплательщика, основной государственный регистрационный номер;

б) состав участников (учредителей) заемщика, реализующих инвестиционные проекты, с указанием доли в уставном капитале (при наличии);

в) описание схемы взаимодействия организаций, участвующих в реализации инвестиционного проекта (далее - участники инвестиционного проекта), и их долей в общем объеме инвестиций, планируемых в рамках инвестиционного проекта, приходящихся на каждого участника инвестиционного проекта.

4. Территория реализации инвестиционного проекта.

5. Отраслевая принадлежность инвестиционного проекта в соответствии со следующей отраслевой классификацией: автомобильная промышленность, железнодорожное машиностроение, авиационная промышленность, судостроение, станкоинструментальная промышленность, тяжелое машиностроение, нефтегазовое машиностроение, энергетическое машиностроение, химическая промышленность, сельскохозяйственное машиностроение, строительно-дорожное машиностроение, машиностроение для пищевой и перерабатывающей промышленности, черная металлургия, цветная металлургия, промышленность строительных материалов, легкая промышленность, лесопромышленный комплекс, фармацевтическая промышленность, медицинская промышленность, радиоэлектронная промышленность.

6. Соответствие перечню продукции.

7. Цели и задачи реализации инвестиционного проекта.

8. Значения показателей (индикаторов) реализации инвестиционного проекта, достижение которых будет способствовать достижению показателей государственной программы Российской Федерации "Развитие промышленности и повышение ее конкурентоспособности".

9. Конечная продукция реализации инвестиционного проекта:

а) характер продукции (имеются ли российские или зарубежные аналоги, продукция импортозамещающего и (или) экспортного характера);

б) преимущества продукции (услуг) в сравнении с продукцией российских и международных производителей;

в) патентная ситуация и защита товара в стране лицензиата на внутреннем и экспортном рынках;

г) объем отгруженной приоритетной продукции или объем произведенной приоритетной продукции, непосредственно использованной в технологическом процессе производства другой продукции, заявленной в инвестиционном проекте, накопленным итогом (в натуральном и стоимостном выражении) по годам реализации инвестиционного проекта и на дату окончания срока реализации инвестиционного проекта.

10. Оценка потенциального спроса (объема рынка) на продукцию:

а) краткое описание целевых рыночных сегментов;

б) прогноз общего объема потребления продукции в целевых рыночных сегментах;

в) прогноз темпов роста средних цен в целевых сегментах;

г) основные конкуренты в целевых рыночных сегментах с указанием их текущей рыночной доли.

11. Перечень объектов капитального строительства, создаваемых в рамках инвестиционного проекта, стоимость строительства и иных капитальных вложений.

12. Срок реализации инвестиционного проекта:

а) фаза строительства (инвестиционная фаза), включая месяц и год ввода производственных мощностей по инвестиционному проекту;

б) фаза эксплуатации (период производства продукции и поступления выручки от ее реализации, соответствующий горизонту планирования выпуска продукции при расчете заявителем основных показателей инвестиционного проекта, указанных в пункте 17 настоящего документа).

13. Срок окупаемости инвестиционного проекта.

14. Общая стоимость инвестиционного проекта.

15. Объем финансирования инвестиционного проекта по годам и на дату окончания срока реализации:

а) размер собственных средств (собственный капитал) заемщика;

б) размер требуемых заемных средств (заемное финансирование);

в) средства участников инвестиционного проекта;

г) бюджетные средства.

16. Планируемый размер субсидии, подлежащей предоставлению за весь срок реализации инвестиционного проекта (с разбивкой по годам).

17. Основные показатели инвестиционного проекта:

а) чистая приведенная стоимость инвестиционного проекта;

б) ставка дисконтирования и обоснование выбора указанной ставки;

в) внутренняя норма доходности;

г) дисконтированный срок окупаемости инвестиционного проекта;

д) дисконтированные налоговые поступления в бюджеты бюджетной системы Российской Федерации (с разбивкой по годам);

е) добавленная стоимость, создаваемая заемщиком за каждый год прогнозного периода реализации инвестиционного проекта накопленным итогом;

ж) количество создаваемых высокопроизводительных рабочих мест (с разбивкой по годам);

з) средняя заработная плата работников заемщика за каждый год прогнозного периода реализации инвестиционного проекта;

и) производительность труда заемщика в расчете на одного работника за каждый год прогнозного периода реализации инвестиционного проекта (в стоимостном выражении).

18. План-график реализации инвестиционного проекта с указанием номера этапа, наименования и содержания работ этапа, результата, сроков выполнения (начало и окончание этапа) и контрольных точек в рамках этапа.

Примечание. Понятия и термины в настоящем документе используются в значениях, установленных Правилами предоставления субсидий из федерального бюджета российским кредитным организациям и государственной корпорации развития "ВЭБ.РФ" на возмещение недополученных ими доходов по кредитам, предоставленным российским организациям промышленности на цели реализации инвестиционных проектов, направленных на производство приоритетной продукции, по льготной процентной ставке, утвержденными постановлением Правительства Российской Федерации от 22 февраля 2023 г. N 295 "О государственной поддержке организаций, реализующих инвестиционные проекты, направленные на производство приоритетной продукции".

Приложение N 2
к Правилам предоставления субсидий
из федерального бюджета российским
кредитным организациям и государственной
корпорации развития "ВЭБ.РФ"
на возмещение недополученных ими
доходов по кредитам, предоставленным
российским организациям промышленности
на цели реализации инвестиционных проектов,
направленных на производство приоритетной
продукции, по льготной процентной ставке

(форма)

РЕЕСТР ЗАЕМЩИКОВ, ЗАКЛЮЧИВШИХ КРЕДИТНЫЕ ДОГОВОРЫ (СОГЛАШЕНИЯ), ПО СОСТОЯНИЮ НА __________________ 202_ Г.

Наименование получателя субсидии  
БИК получателя субсидии  
ИНН получателя субсидии  

N п/п Сведения о заемщике Сведения о кредитном договоре (соглашении) Размер субсидии
полное наименование заемщика ИНН заемщика отрасль промышленности место нахождения заемщика (субъект Российской Федерации, муниципальное образование) номер кредитного договора (соглашения) дата заключения кредитного договора (соглашения) дата предоставления кредита заемщику (первой части кредита) срок, на который предоставлен кредит по кредитном) договору (соглашению), месяцев размер кредита по кредитному договору (соглашению), рублей номер дополнительного соглашения к кредитному договору (соглашению) дата заключения дополнительного соглашения к кредитному договору (соглашению) цель кредитования сумма среднедневного остатка ссудной задолженности заемщика по кредитному договору (соглашению) за отчетный месяц, рублей сумма задолженности по кредитному договору (соглашению), рублей действующая ставка по кредитному договору (соглашению), процентов ставка субсидирования, применяемая по кредитному договору (соглашению), процентов размер субсидии за отчетный период, рублей размер планируемых к предоставлению субсидий в текущем финансовом году, за исключением субсидии за отчетный период, рублей размер планируемых к предоставлению субсидий в очередном финансовом году, рублей
1 2 3 4 5 6 7 8 9 10 11 12 13 14 15 16 17 18 19 20
1
2
Итого
Руководитель (уполномоченное лицо)      
  (подпись)   (фамилия, имя. отчество)
Исполнитель      
  (подпись)   (фамилия, имя. отчество)
М.П. (при наличии)      
"___" _______________ 202_ г.      

Понятия и термины в настоящем документе используются в значениях, установленных Правилами предоставления субсидий из федерального бюджета российским кредитным организациям и государственной корпорации развития "ВЭБ.РФ" на возмещение недополученных ими доходов по кредитам, предоставленным российским организациям промышленности на цели реализации инвестиционных проектов, направленных на производство приоритетной продукции, по льготной процентной ставке, утвержденными постановлением Правительства Российской Федерации от 22 февраля 2023 г. N 295 "О государственной поддержке организаций, реализующих инвестиционные проекты, направленные на производство приоритетной продукции".

Приложение N 3
к Правилам предоставления субсидий
из федерального бюджета российским
кредитным организациям и государственной
корпорации развития "ВЭБ.РФ"
на возмещение недополученных ими
доходов по кредитам, предоставленным
российским организациям промышленности
на цели реализации инвестиционных проектов,
направленных на производство приоритетной
продукции, по льготной процентной ставке

(форма)

ОТЧЕТ О ДОСТИЖЕНИИ ЗНАЧЕНИЙ РЕЗУЛЬТАТА РЕАЛИЗАЦИИ ИНВЕСТИЦИОННОГО ПРОЕКТА И ДОСТИЖЕНИИ КОНТРОЛЬНЫХ ТОЧЕК <*>

1. Объем отгруженной приоритетной продукции или объем произведенной приоритетной продукции, непосредственно использованной в технологическом процессе производства другой продукции, заявленной в инвестиционном проекте (достижение на отчетную дату)

N Наименование продукции Единица измерения Ход реализации Реквизиты подтверждающих документов Комментарий
план факт
1
2
3

2. Динамика достижения контрольных точек

N Наименование этапа, содержание работ этапа Контрольные точки Сроки выполнения (начало и окончание) Реквизиты подтверждающих документов Комментарий
план факт
1
2
3
Руководитель (уполномоченное лицо)              
  М.П. (при наличии)   (подпись)   (фамилия, имя, отчество)   (дата)
Главный бухгалтер (при наличии) организации              
      (подпись)   (фамилия, имя, отчество)   (дата)

<*> Понятия и термины в настоящем документе используются в значениях, установленных Правилами предоставления субсидий из федерального бюджета российским кредитным организациям и государственной корпорации развития "ВЭБ.РФ" на возмещение недополученных ими доходов по кредитам, предоставленным российским организациям промышленности на цели реализации инвестиционных проектов, направленных на производство приоритетной продукции, по льготной процентной ставке, утвержденными постановлением Правительства Российской Федерации от 22 февраля 2023 г. N 295 "О государственной поддержке организаций, реализующих инвестиционные проекты, направленные на производство приоритетной продукции".

УТВЕРЖДЕНО
постановлением Правительства
Российской Федерации
от 22 февраля 2023 г. N 295

ПОЛОЖЕНИЕ О МЕЖВЕДОМСТВЕННОЙ КОМИССИИ ПО ВОПРОСАМ ЛЬГОТНОГО КРЕДИТОВАНИЯ ИНВЕСТИЦИОННЫХ ПРОЕКТОВ, НАПРАВЛЕННЫХ НА ПРОИЗВОДСТВО ПРИОРИТЕТНОЙ ПРОДУКЦИИ

1. Настоящее Положение определяет порядок формирования и деятельности Межведомственной комиссии по вопросам льготного кредитования инвестиционных проектов, направленных на производство приоритетной продукции (далее - Межведомственная комиссия).

Межведомственная комиссия создана в целях реализации Правил предоставления субсидий из федерального бюджета российским кредитным организациям и государственной корпорации развития "ВЭБ.РФ" на возмещение недополученных ими доходов по кредитам, предоставленным российским организациям промышленности на цели реализации инвестиционных проектов, направленных на производство приоритетной продукции, по льготной процентной ставке, утвержденных постановлением Правительства Российской Федерации от 22 февраля 2023 г. N 295 "О государственной поддержке организаций, реализующих инвестиционные проекты, направленные на производство приоритетной продукции".

2. Понятия и термины используются в настоящем Положении в значениях, установленных Правилами предоставления субсидий из федерального бюджета российским кредитным организациям и государственной корпорации развития "ВЭБ.РФ" на возмещение недополученных ими доходов по кредитам, предоставленным российским организациям промышленности на цели реализации инвестиционных проектов, направленных на производство приоритетной продукции, по льготной процентной ставке, утвержденными постановлением Правительства Российской Федерации от 22 февраля 2023 г. N 295 "О государственной поддержке организаций, реализующих инвестиционные проекты, направленные на производство приоритетной продукции".

3. Межведомственная комиссия в своей деятельности руководствуется Конституцией Российской Федерации, федеральными законами, актами Президента Российской Федерации, постановлением Правительства Российской Федерации от 15 апреля 2014 г. N 328 "Об утверждении государственной программы Российской Федерации "Развитие промышленности и повышение ее конкурентоспособности" и иными нормативными правовыми актами Российской Федерации.

4. Межведомственная комиссия осуществляет следующие функции:

а) рассмотрение заявок на включение в перечень проектов и принятие решения о включении инвестиционного проекта в перечень проектов либо решения об отказе во включении инвестиционного проекта в перечень проектов;

б) рассмотрение заявлений об изменении инвестиционного проекта и прилагаемых к нему документов и принятие решения о возможности (невозможности) внесения изменений в инвестиционный проект, в том числе в значения результата реализации инвестиционного проекта и (или) контрольные точки, указанные в перечне проектов, или о необходимости доработки заявления об изменении инвестиционного проекта в случае необходимости представления дополнительных (в том числе подтверждающих) документов;

в) определение перечня приоритетной продукции в соответствии с методикой определения перечня приоритетной продукции, устанавливаемой Министерством промышленности и торговли Российской Федерации.

5. В состав Межведомственной комиссии входят:

а) председатель Межведомственной комиссии - первый заместитель Министра промышленности и торговли Российской Федерации или заместитель Министра промышленности и торговли Российской Федерации;

б) заместитель председателя Межведомственной комиссии представитель Министерства промышленности и торговли Российской Федерации;

в) 1 член Межведомственной комиссии - представитель Министерства промышленности и торговли Российской Федерации;

г) 1 член Межведомственной комиссии - представитель Министерства экономического развития Российской Федерации;

д) 1 член Межведомственной комиссии - представитель Министерства финансов Российской Федерации;

е) 1 член Межведомственной комиссии - представитель федерального государственного автономного учреждения "Российский фонд технологического развития";

ж) 1 член Межведомственной комиссии - представитель государственной корпорации развития "ВЭБ.РФ";

з) 1 член Межведомственной комиссии - представитель автономной некоммерческой организации "Агентство по технологическому развитию" (по согласованию);

и) 1 член Межведомственной комиссии - представитель Общероссийской общественной организации "Российский союз промышленников и предпринимателей" (по согласованию).

6. Министерство промышленности и торговли Российской Федерации образовывает Межведомственную комиссию и утверждает ее состав. Представители федеральных органов исполнительной власти, указанные в пункте 5 настоящего Положения, включаются в состав Межведомственной комиссии по представлению соответствующего федерального органа исполнительной власти. Представители федерального государственного автономного учреждения "Российский фонд технологического развития", автономной некоммерческой организации "Агентство по технологическому развитию" и Общероссийской общественной организации "Российский союз промышленников и предпринимателей" включаются в состав Межведомственной комиссии по представлению Министерства промышленности и торговли Российской Федерации.

7. Председатель Межведомственной комиссии:

а) организует работу Межведомственной комиссии и обеспечивает контроль за исполнением ее решений;

б) определяет перечень, сроки и порядок рассмотрения вопросов на заседаниях Межведомственной комиссии;

в) организует планирование работы Межведомственной комиссии на текущий год;

г) представляет Межведомственную комиссию при взаимодействии с федеральными органами исполнительной власти, исполнительными органами субъектов Российской Федерации, органами местного самоуправления и российскими организациями, а также ведет переписку с указанными органами и российскими организациями.

8. В отсутствие председателя Межведомственной комиссии его обязанности исполняет заместитель председателя Межведомственной комиссии.

9. Межведомственная комиссия для осуществления своих функций имеет право:

а) взаимодействовать по вопросам, входящим в компетенцию Межведомственной комиссии, с федеральными органами исполнительной власти, исполнительными органами субъектов Российской Федерации, органами местного самоуправления и российскими организациями, в том числе федеральным государственным автономным учреждением "Российский фонд технологического развития", получать от них в установленном порядке необходимые материалы и информацию;

б) пользоваться в установленном порядке информационными базами данных и информационными системами федеральных органов исполнительной власти;

в) использовать государственные системы связи и коммуникации;

г) привлекать на безвозмездной основе для осуществления аналитических работ представителей научных организаций и специалистов инженерно-технического профиля, которые не участвуют в голосовании и принятии решений Межведомственной комиссии.

10. Заседания Межведомственной комиссии проводятся по мере необходимости. Созыв и проведение заседаний Межведомственной комиссии осуществляет Министерство промышленности и торговли Российской Федерации.

Решения Межведомственной комиссии могут быть приняты путем проведения заочного голосования членов Межведомственной комиссии.

11. Члены Межведомственной комиссии обладают равными правами при обсуждении вопросов, рассматриваемых на заседании Межведомственной комиссии.

Решение Межведомственной комиссии принимается простым большинством голосов присутствующих на ее заседании членов Межведомственной комиссии, за исключением случаев одновременного голосования членами Межведомственной комиссии от Министерства финансов Российской Федерации и Министерства экономического развития Российской Федерации против включения инвестиционного проекта в перечень проектов и внесения изменений в инвестиционный проект.

В случае одновременного голосования членами Межведомственной комиссии от Министерства финансов Российской Федерации и Министерства экономического развития Российской Федерации против включения инвестиционного проекта в перечень проектов и внесения изменений в инвестиционный проект считаются принятыми решение

об отказе во включении инвестиционного проекта в перечень проектов и решение о невозможности внесения изменений в инвестиционный проект (решение о необходимости доработки заявления об изменении инвестиционного проекта) соответственно.

В случае равенства голосов членов Межведомственной комиссии решающим является голос председательствующего на заседании Межведомственной комиссии.

Члены Межведомственной комиссии, участвующие в заседании Межведомственной комиссии посредством видео-конференц-связи, считаются присутствующими на заседании.

Члены Межведомственной комиссии не вправе делегировать свои полномочия иным лицам.

Член Межведомственной комиссии от государственной корпорации развития "ВЭБ.РФ" не вправе участвовать в голосовании по инвестиционным проектам, претендующим на получение кредита в государственной корпорации развития "ВЭБ.РФ".

12. Члены Межведомственной комиссии не позднее чем за 5 рабочих дней до даты проведения заседания Межведомственной комиссии получают уведомление о дате, времени и месте проведения заседания Межведомственной комиссии и материалы, которые будут рассматриваться на этом заседании.

Заседание Межведомственной комиссии считается правомочным, если на нем присутствует не менее половины ее членов.

13. При принятии решения о проведении заочного голосования члены Межведомственной комиссии в обязательном порядке уведомляются об этом с указанием срока, до которого они могут в письменной форме представить мнение по вопросу, вынесенному на заочное голосование.

При проведении заочного голосования решения принимаются большинством голосов от общего числа лиц, участвующих в заочном голосовании. При этом число лиц, участвующих в заочном голосовании, должно составлять более половины членов Межведомственной комиссии. В случае равенства голосов решающим является голос председателя Межведомственной комиссии.

14. Решения, принимаемые на заседании Межведомственной комиссии, оформляются протоколом, который подписывают присутствующие на заседании члены Межведомственной комиссии.

15. Информационно-аналитическое обеспечение деятельности Межведомственной комиссии осуществляется Министерством промышленности и торговли Российской Федерации с участием федеральных органов исполнительной власти, представители которых входят в состав Межведомственной комиссии.