Свод правил. Актуализированная редакция СНиП 3.03.01-87. Несущие и ограждающие конструкции. СП 70.13330.2012

(утв. приказом Госстроя от 25.12.2012 N 109/ГС)
Редакция от 30.12.2020 — Не действует Перейти в действующую
Показать изменения

УТВЕРЖДЕН
Приказом Федерального
агентства по строительству
и жилищно-коммунальному
хозяйству (Госстрой)
от 25 декабря 2012 г. N 109/ГС

СВОД ПРАВИЛ

АКТУАЛИЗИРОВАННАЯ РЕДАКЦИЯ СНиП 3.03.01-87

НЕСУЩИЕ И ОГРАЖДАЮЩИЕ КОНСТРУКЦИИ

Load-bearing and separating constructions

СП 70.13330.2012

(в ред. Изменения N 1, утв. Приказом Минстроя РФ от 16.12.2016 N 983/пр, Изменения N 3, утв. Приказом Минстроя РФ от 26.12.2017 N 1719/пр, Изменения N 4, утв. Приказом Минстроя РФ от 30.12.2020 N 905/пр)

Дата введения
1 июля 2013 года

Предисловие

Цели и принципы стандартизации в Российской Федерации установлены Федеральным законом от 27 декабря 2002 г. N 184-ФЗ "О техническом регулировании", а правила разработки - Постановлением Правительства Российской Федерации от 19 ноября 2008 г. N 858 "О порядке разработки и утверждения сводов правил".

В связи с утратой силы Постановления Правительства РФ от 19.11.2008 N 858 с 07.07.2016 следует руководствоваться принятым взамен Постановлением Правительства РФ от 01.07.2016 N 624.

Сведения о своде правил

1. ИСПОЛНИТЕЛИ - ЗАО "ЦНИИПСК им. Мельникова"; институты ОАО "НИЦ "Строительство": НИИЖБ им. А.А. Гвоздева и ЦНИИСК им. В.А. Кучеренко; Ассоциация производителей керамических стеновых материалов; Ассоциация производителей силикатных изделий, Сибирский Федеральный университет

2. ВНЕСЕН Техническим комитетом по стандартизации ТК 465 "Строительство"

3. ПОДГОТОВЛЕН к утверждению Управлением градостроительной политики

4. УТВЕРЖДЕН Приказом Федерального агентства по строительству и жилищно-коммунальному хозяйству (Госстрой) от 25 декабря 2012 г. N 109/ГС и введен в действие с 1 июля 2013 г.

5. ЗАРЕГИСТРИРОВАН Федеральным агентством по техническому регулированию и метрологии (Росстандарт). Пересмотр СП 70.13330.2011 "СНиП 3.03.01-87 Несущие и ограждающие конструкции"

Информация об изменениях к настоящему актуализированному своду правил публикуется в ежегодно издаваемом информационном указателе "Национальные стандарты", а текст изменений и поправок - в ежемесячно издаваемых информационных указателях "Национальные стандарты". В случае пересмотра (замены) или отмены настоящего свода правил соответствующее уведомление будет опубликовано в ежемесячно издаваемом информационном указателе "Национальные стандарты". Соответствующая информация, уведомление и тексты размещаются также в информационной системе общего пользования - на официальном сайте разработчика (Госстрой) в сети Интернет

Введение

Настоящий свод правил разработан с целью повышения качества выполнения строительно-монтажных работ, долговечности и надежности зданий и сооружений, а также уровня безопасности людей на строительной площадке, сохранности материальных ценностей в соответствии с Федеральным законом от 30 декабря 2009 г. N 384-ФЗ "Технический регламент о безопасности зданий и сооружений", повышения уровня гармонизации нормативных требований с европейскими и международными нормативными документами; применения единых методов определения эксплуатационных характеристик и методов оценки.

Актуализация СНиП 3.03.01-87 выполнена следующим авторским коллективом: ЗАО "ЦНИИПСК им. Мельникова" в составе специалистов: кандидаты техн. наук Н.И. Пресняков, В.В. Евдокимов, В.Ф. Беляев; д-ра техн. наук Б.В. Остроумов, В.К. Востров; инженеры С.И. Бочкова, В.М. Бабушкин, Г.В. Калашников; Сибирский Федеральный Университет - доцент, канд. техн. наук В.Л. Игошин; институты ОАО "НИЦ "Строительство": НИИЖБ им. А.А. Гвоздева - д-ра техн. наук Б.А. Крылов, В.Ф. Степанова, Н.К. Розенталь; кандидаты техн. наук В.Р. Фаликман, М.И. Бруссер, А.Н. Болгов, В.И. Савин, Т.А. Кузьмич, М.Г. Коревицкая, Л.А. Титова; И.И. Карпухин, Г.В. Любарская, Д.В. Кузеванов, Н.К. Вернигора и ЦНИИСК им. В.А. Кучеренко - д-ра техн. наук И.И. Ведяков, С.А. Мадатян; кандидаты техн. наук О.И. Пономарев, С.Б. Турковский, А.А. Погорельцев, И.П. Преображенская, А.В. Простяков, Г.Г. Гурова, М.И. Гукова; А.В. Потапов, А.М. Горбунов, Е.Г. Фокина; Ассоциация производителей керамических стеновых материалов - В.Н. Геращенко; Ассоциация производителей силикатных изделий - Н.В. Сомов.

1. Область применения

1.1. Настоящий свод правил распространяется на производство и приемку работ, выполняемых при строительстве и реконструкции предприятий, зданий и сооружений во всех отраслях народного хозяйства:

при возведении монолитных бетонных и железобетонных конструкций из тяжелого, особо тяжелого, на пористых заполнителях, жаростойкого и щелочестойкого бетона, при производстве работ по торкретированию и подводному бетонированию;

при изготовлении сборных бетонных и железобетонных конструкций в условиях строительной площадки;

при монтаже сборных железобетонных, стальных, деревянных конструкций и конструкций из легких эффективных материалов;

при сварке монтажных соединений строительных стальных и железобетонных конструкций, соединений арматуры и закладных изделий монолитных железобетонных конструкций;

при производстве работ по возведению каменных и армокаменных конструкций из керамического и силикатного кирпича, керамических, силикатных, природных и бетонных камней, кирпичных и керамических панелей и блоков, бетонных блоков.

Требования настоящего свода правил следует учитывать при проектировании конструкций зданий и сооружений.

1.2. При возведении специальных сооружений - автомобильных дорог, мостов, труб, стальных резервуаров и газгольдеров, тоннелей, метрополитенов, аэродромов, гидротехнических мелиоративных и других сооружений, а также при возведении зданий и сооружений на вечномерзлых и просадочных грунтах, подрабатываемых территориях и в сейсмических районах следует дополнительно руководствоваться требованиями соответствующих нормативных документов.

2. Нормативные ссылки

2.1. В настоящем своде правил использованы ссылки на следующие нормативные документы:

ГОСТ 379-95 Кирпич и камни силикатные. Технические условия

ГОСТ 450-77 Кальций хлористый технический. Технические условия

ГОСТ 530-2012 Кирпич и камень керамические. Общие технические условия (в ред. Изменения N 4, утв. Приказом Минстроя РФ от 30.12.2020 N 905/пр)

ГОСТ 828-77 Натрий азотнокислый технический. Технические условия

ГОСТ 965-89 Портландцементы белые. Технические условия

ГОСТ 969-91 Цементы глиноземистые и высокоглиноземистые. Технические условия

ГОСТ 1581-96 Портландцементы тампонажные. Технические условия

ГОСТ 2081-2010 Карбамид. Технические условия

ГОСТ 2246-70 Проволока стальная сварочная. Технические условия

ГОСТ 3242-79 Соединения сварные. Методы контроля качества

ГОСТ 5264-80 Ручная дуговая сварка. Соединения сварные. Основные типы, конструктивные элементы и размеры

ГОСТ 5578-94 Щебень и песок из шлаков черной и цветной металлургии для бетонов. Технические условия

ГОСТ 5686-2012 Грунты. Методы полевых испытаний сваями (в ред. Изменения N 1, утв. Приказом Минстроя РФ от 16.12.2016 N 983/пр)

ГОСТ 5802-86 Растворы строительные. Методы испытаний

ГОСТ 6402-70 Шайбы пружинные. Технические условия

ГОСТ 6996-66 Сварные соединения. Методы определения механических свойств

ГОСТ 7076-99 Материалы и изделия строительные. Метод определения теплопроводности и термического сопротивления при стационарном тепловом режиме

ГОСТ 7473-2010 Смеси бетонные. Технические условия

ГОСТ 7512-82 Контроль неразрушающий. Соединения сварные. Радиографический метод

ГОСТ 7566-2018 Металлопродукция. Приемка, маркировка, упаковка, транспортирование и хранение (в ред. Изменения N 4, утв. Приказом Минстроя РФ от 30.12.2020 N 905/пр)

ГОСТ 8267-93 Щебень и гравий из плотных горных пород для строительных работ. Технические условия

ГОСТ 8269.0-97 Щебень и гравий из плотных горных пород и отходов промышленного производства для строительных работ. Методы физико-механических испытаний

ГОСТ 8713-79 Сварка под флюсом. Соединения сварные. Основные типы, конструктивные элементы и размеры

ГОСТ 8735-88 Песок для строительных работ. Методы испытаний

ГОСТ 8736-2014 Песок для строительных работ. Технические условия (в ред. Изменения N 1, утв. Приказом Минстроя РФ от 16.12.2016 N 983/пр)

ГОСТ 9087-81 Флюсы сварочные плавленые. Технические условия

ГОСТ 9206-80 Порошки алмазные. Технические условия

ГОСТ 9467-75 Электроды покрытые металлические для ручной дуговой сварки конструкционных и теплоустойчивых сталей. Типы

ГОСТ 32496-2013 Заполнители пористые для легких бетонов. Технические условия (в ред. Изменения N 1, утв. Приказом Минстроя РФ от 16.12.2016 N 983/пр)

ГОСТ 9758-2012 Заполнители пористые неорганические для строительных работ. Методы испытаний

ГОСТ 10060-2012 Бетоны. Методы определения морозостойкости

ГОСТ 10178-85 Портландцемент и шлакопортландцемент. Технические условия

ГОСТ 10180-2012 Бетоны. Методы определения прочности по контрольным образцам (в ред. Изменения N 1, утв. Приказом Минстроя РФ от 16.12.2016 N 983/пр)

ГОСТ 10181-2014 Смеси бетонные. Методы испытаний (в ред. Изменения N 1, утв. Приказом Минстроя РФ от 16.12.2016 N 983/пр)

ГОСТ 10243-75 Сталь. Методы испытаний и оценки макроструктуры

ГОСТ 10541-78 Масла моторные универсальные и для автомобильных карбюраторных двигателей. Технические условия

ГОСТ 10541-78 отменен. Взамен него с 01.07.2021 введен в действие ГОСТ 10541-2020.

ГОСТ 10690-73 Калий углекислый технический (поташ). Технические условия

ГОСТ 10832-2009 Песок и щебень перлитовые вспученные. Технические условия

ГОСТ 10906-78 Шайбы косые. Технические условия

ГОСТ 10922-2012 Арматурные и закладные изделия, их сварные, вязаные и механические соединения для железобетонных конструкций. Общие технические условия (в ред. Изменения N 1, утв. Приказом Минстроя РФ от 16.12.2016 N 983/пр)

ГОСТ 11052-74 Цемент гипсоглиноземистый расширяющийся

ГОСТ 11371-78 Шайбы. Технические условия

ГОСТ 11533-75 Автоматическая и полуавтоматическая дуговая сварка под флюсом. Соединения сварные под острыми и тупыми углами. Основные типы, конструктивные элементы и размеры

ГОСТ 11534-75 Ручная дуговая сварка. Соединения сварные под острыми и тупыми углами. Основные типы, конструктивные элементы и размеры

ГОСТ 12730.5-2018 Бетоны. Методы определения водонепроницаемости (в ред. Изменения N 4, утв. Приказом Минстроя РФ от 30.12.2020 N 905/пр)

ГОСТ 12865-67 Вермикулит вспученный

ГОСТ 13015-2012 Изделия бетонные и железобетонные для строительства. Общие технические требования. Правила приемки, маркировки, транспортирования и хранения (в ред. Изменения N 1, утв. Приказом Минстроя РФ от 16.12.2016 N 983/пр)

ГОСТ 13087-2018 Бетоны. Методы определения истираемости (в ред. Изменения N 4, утв. Приказом Минстроя РФ от 30.12.2020 N 905/пр)

ГОСТ 14098-2014 Соединения сварные арматуры и закладных изделий железобетонных конструкций. Типы, конструкции и размеры (в ред. Изменения N 1, утв. Приказом Минстроя РФ от 16.12.2016 N 983/пр)

ГОСТ 14771-76 Дуговая сварка в защитном газе. Соединения сварные. Основные типы, конструктивные элементы и размеры

ГОСТ Р 55724-2013 Контроль неразрушающий. Соединения сварные. Методы ультразвуковые (в ред. Изменения N 1, утв. Приказом Минстроя РФ от 16.12.2016 N 983/пр)

ГОСТ 15150-69 Машины, приборы и другие технические изделия. Исполнения для различных климатических районов. Категории, условия эксплуатации, хранения и транспортирования в части воздействия климатических факторов внешней среды

ГОСТ 15164-78 Электрошлаковая сварка. Соединения сварные. Основные типы, конструктивные элементы и размеры

ГОСТ 15825-80 Портландцемент цветной. Технические условия

ГОСТ 16037-80 Соединения сварные стальных трубопроводов. Основные типы, конструктивные элементы и размеры

ГОСТ ISO/IEC 17025-2019 Общие требования к компетентности испытательных и калибровочных лабораторий (в ред. Изменения N 4, утв. Приказом Минстроя РФ от 30.12.2020 N 905/пр)

ГОСТ 17624-2012 Бетоны. Ультразвуковой метод определения прочности (в ред. Изменения N 1, утв. Приказом Минстроя РФ от 16.12.2016 N 983/пр)

ГОСТ 18105-2018 Бетоны. Правила контроля и оценки прочности (в ред. Изменения N 4, утв. Приказом Минстроя РФ от 30.12.2020 N 905/пр)

ГОСТ 18442-80 Контроль неразрушающий. Капиллярные методы. Общие требования

ГОСТ 19906-74 Нитрит натрия технический. Технические условия

ГОСТ 20276-2012 Грунты. Методы полевого определения характеристик прочности и деформируемости (в ред. Изменения N 1, утв. Приказом Минстроя РФ от 16.12.2016 N 983/пр)

ГОСТ 20799-88 Масла индустриальные. Технические условия

ГОСТ 20850-2014 Конструкции деревянные клееные. Общие технические условия (в ред. Изменения N 4, утв. Приказом Минстроя РФ от 30.12.2020 N 905/пр)

ГОСТ 20910-2019 Бетоны жаростойкие. Технические условия (в ред. Изменения N 4, утв. Приказом Минстроя РФ от 30.12.2020 N 905/пр)

ГОСТ 21104-75 Контроль неразрушающий. Феррозондовый метод

ГОСТ 21105-87 Контроль неразрушающий. Магнитопорошковый метод

ГОСТ 21779-82 Система обеспечения точности геометрических параметров в строительстве. Технологические допуски

ГОСТ 21779-82 отменен. Взамен него с 01.01.2021 введен в действие ГОСТ Р 58942-2020.

ГОСТ 21780-2006 Система обеспечения точности геометрических параметров в строительстве. Расчет точности

ГОСТ 22263-76 Щебень и песок из пористых горных пород. Технические условия

ГОСТ 22266-2013 Цементы сульфатостойкие. Технические условия (в ред. Изменения N 1, утв. Приказом Минстроя РФ от 16.12.2016 N 983/пр)

ГОСТ 22690-2015 Бетоны. Определение прочности механическими методами неразрушающего контроля (в ред. Изменения N 4, утв. Приказом Минстроя РФ от 30.12.2020 N 905/пр)

ГОСТ 22845-2018 Лифты. Лифты электрические. Монтаж и пусконаладочные работы. Правила организации и производства работ, контроль выполнения и требования к результатам работ (в ред. Изменения N 4, утв. Приказом Минстроя РФ от 30.12.2020 N 905/пр)

ГОСТ 23118-2019 Конструкции стальные строительные. Общие технические условия (в ред. Изменения N 4, утв. Приказом Минстроя РФ от 30.12.2020 N 905/пр)

ГОСТ 23407-78 Ограждения инвентарные строительных площадок и участков производства строительно-монтажных работ. Технические условия

ГОСТ 23407-78 отменен. Взамен него с 01.01.2021 введен в действие ГОСТ Р 58967-2020.

ГОСТ 23518-79 Дуговая сварка в защитных газах. Соединения сварные под острыми и тупыми углами. Основные типы, конструктивные элементы и размеры

ГОСТ 23683-89 Парафины нефтяные твердые. Технические условия

ГОСТ 23732-2011 Вода для бетонов и строительных растворов. Технические условия

ГОСТ 23858-2019 Соединения сварные стыковые арматуры железобетонных конструкций. Ультразвуковые методы контроля качества. Правила приемки (в ред. Изменения N 4, утв. Приказом Минстроя РФ от 30.12.2020 N 905/пр)

ГОСТ 24045-2016 Профили стальные листовые гнутые с трапециевидными гофрами для строительства. Технические условия (в ред. Изменения N 4, утв. Приказом Минстроя РФ от 30.12.2020 N 905/пр)

ГОСТ 24211-2008 Добавки для бетонов и строительных растворов. Общие технические условия

ГОСТ 24379.0-2012 Болты фундаментные. Общие технические условия (в ред. Изменения N 4, утв. Приказом Минстроя РФ от 30.12.2020 N 905/пр)

ГОСТ 24846-2012 Грунты. Методы измерения деформаций оснований зданий и сооружений (в ред. Изменения N 1, утв. Приказом Минстроя РФ от 16.12.2016 N 983/пр)

ГОСТ 25192-2012 Бетоны. Классификация и общие технические требования (в ред. Изменения N 4, утв. Приказом Минстроя РФ от 30.12.2020 N 905/пр)

ГОСТ 25225-82 Контроль неразрушающий. Швы сварных соединений трубопроводов. Магнитографический метод

ГОСТ 25246-82 Бетоны химически стойкие. Технические условия

ГОСТ 25328-82 Цемент для строительных растворов. Технические условия

ГОСТ 25485-2019 Бетоны ячеистые. Общие технические условия (в ред. Изменения N 4, утв. Приказом Минстроя РФ от 30.12.2020 N 905/пр)

ГОСТ 25592-91 Смеси золошлаковые тепловых электростанций для бетонов. Технические условия

ГОСТ 25818-2017 Золы-уноса тепловых электростанций для бетонов. Технические условия (в ред. Изменения N 4, утв. Приказом Минстроя РФ от 30.12.2020 N 905/пр)

ГОСТ 25820-2014 Бетоны легкие. Технические условия (в ред. Изменения N 1, утв. Приказом Минстроя РФ от 16.12.2016 N 983/пр)

ГОСТ 26271-84 Проволока порошковая для дуговой сварки углеродистых и низколегированных сталей. Общие технические условия

ГОСТ 26633-2015 Бетоны тяжелые и мелкозернистые. Технические условия (в ред. Изменения N 4, утв. Приказом Минстроя РФ от 30.12.2020 N 905/пр)

ГОСТ 26644-85 Щебень и песок из шлаков тепловых электростанций для бетона. Технические условия

ГОСТ 26887-86 Площадки и лестницы для строительно-монтажных работ. Общие технические условия

ГОСТ 27005-2014 Бетоны легкие и ячеистые. Правила контроля средней плотности (в ред. Изменения N 1, утв. Приказом Минстроя РФ от 16.12.2016 N 983/пр)

ГОСТ 27006-2019 Бетоны. Правила подбора состава (в ред. Изменения N 4, утв. Приказом Минстроя РФ от 30.12.2020 N 905/пр)

ГОСТ 28013-98 Растворы строительные. Общие технические условия

ГОСТ 28570-2019 Бетоны. Методы определения прочности по образцам, отобранным из конструкций (в ред. Изменения N 4, утв. Приказом Минстроя РФ от 30.12.2020 N 905/пр)

ГОСТ 30515-2013 Цементы. Общие технические условия (в ред. Изменения N 4, утв. Приказом Минстроя РФ от 30.12.2020 N 905/пр)

ГОСТ 30971-2012 Швы монтажные узлов примыкания оконных блоков к стеновым проемам. Общие технические условия (в ред. Изменения N 1, утв. Приказом Минстроя РФ от 16.12.2016 N 983/пр)

ГОСТ 31108-2016 Цементы общестроительные. Технические условия (в ред. Изменения N 4, утв. Приказом Минстроя РФ от 30.12.2020 N 905/пр)

ГОСТ 31189-2015 Смеси сухие строительные. Классификация (в ред. Изменения N 1, утв. Приказом Минстроя РФ от 16.12.2016 N 983/пр)

ГОСТ 31384-2017 Защита бетонных и железобетонных конструкций от коррозии. Общие технические требования (в ред. Изменения N 4, утв. Приказом Минстроя РФ от 30.12.2020 N 905/пр)

ГОСТ 31914-2012 Бетоны высокопрочные тяжелые и мелкозернистые для монолитных конструкций. Правила контроля и оценки качества (в ред. Изменения N 1, утв. Приказом Минстроя РФ от 16.12.2016 N 983/пр)

ГОСТ 31938-2012 Арматура композитная полимерная для армирования бетонных конструкций. Общие технические условия (в ред. Изменения N 4, утв. Приказом Минстроя РФ от 30.12.2020 N 905/пр)

ГОСТ 32495-2013 Щебень, песок и песчано-щебеночные смеси из дробленого бетона и железобетона. Технические условия (в ред. Изменения N 1, утв. Приказом Минстроя РФ от 16.12.2016 N 983/пр)

ГОСТ 32496-2013 Заполнители пористые для легких бетонов. Технические условия (в ред. Изменения N 1, утв. Приказом Минстроя РФ от 16.12.2016 N 983/пр)

ГОСТ 32803-2014 Бетоны напрягающие. Технические условия (в ред. Изменения N 1, утв. Приказом Минстроя РФ от 16.12.2016 N 983/пр)

ГОСТ 12.1.046-2014 Система стандартов безопасности труда. Строительство. Нормы освещения строительных площадок (в ред. Изменения N 4, утв. Приказом Минстроя РФ от 30.12.2020 N 905/пр)

ГОСТ Р 12.4.026-2015 Система стандартов безопасности труда. Цвета сигнальные, знаки безопасности и разметка сигнальная. Назначение и правила применения. Общие технические требования и характеристики. Методы испытаний

Официальный источник электронного документа содержит неточность: имеется в виду ГОСТ 12.4.026-2015. (в ред. Изменения N 4, утв. Приказом Минстроя РФ от 30.12.2020 N 905/пр)

ГОСТ Р ИСО 3452-1-2011 Контроль неразрушающий. Проникающий контроль. Часть 1. Основные требования (в ред. Изменения N 1, утв. Приказом Минстроя РФ от 16.12.2016 N 983/пр)

ГОСТ Р ИСО 5577-2009 Контроль неразрушающий. Ультразвуковой контроль. Словарь (в ред. Изменения N 1, утв. Приказом Минстроя РФ от 16.12.2016 N 983/пр)

ГОСТ Р ИСО 9934-1-2011 Контроль неразрушающий. Магнитопорошковый метод. Часть 1. Основные требования (в ред. Изменения N 1, утв. Приказом Минстроя РФ от 16.12.2016 N 983/пр)

ГОСТ 33530-2015 (ISO 6789:2003) Инструмент монтажный для нормированной затяжки резьбовых соединений. Ключи моментные. Общие технические условия (в ред. Изменения N 4, утв. Приказом Минстроя РФ от 30.12.2020 N 905/пр)

ГОСТ 33929-2016 Полистиролбетон. Технические условия (в ред. Изменения N 4, утв. Приказом Минстроя РФ от 30.12.2020 N 905/пр)

ГОСТ Р 51634-2000 Масла моторные автотракторные. Общие технические требования

ГОСТ 34329-2017 Опалубка. Общие технические условия (в ред. Изменения N 4, утв. Приказом Минстроя РФ от 30.12.2020 N 905/пр)

ГОСТ Р 52752-2007 Опалубка. Методы испытаний

ГОСТ Р 53697-2009 Контроль неразрушающий. Основные термины и определения (в ред. Изменения N 1, утв. Приказом Минстроя РФ от 16.12.2016 N 983/пр)

ГОСТ Р 54923-2012 Композитные гибкие связи для многослойных ограждающих конструкций. Технические условия (в ред. Изменения N 4, утв. Приказом Минстроя РФ от 30.12.2020 N 905/пр)

ГОСТ Р 55224-2012 Цементы для транспортного строительства. Технические условия (в ред. Изменения N 1, утв. Приказом Минстроя РФ от 16.12.2016 N 983/пр)

ГОСТ Р 55738-2013 (ИСО 13918:2008) Шпильки и керамические кольца для сварки (в ред. Изменения N 4, утв. Приказом Минстроя РФ от 30.12.2020 N 905/пр)

ГОСТ Р 56178-2014 Модификаторы органо-минеральные типа МБ для бетонов, строительных растворов и сухих смесей. Технические условия (в ред. Изменения N 1, утв. Приказом Минстроя РФ от 16.12.2016 N 983/пр)

ГОСТ Р 56585-2015 Пигменты для бетонов и строительных растворов. Общие технические условия (в ред. Изменения N 3, утв. Приказом Минстроя РФ от 26.12.2017 N 1719/пр)

ГОСТ Р 56592-2015 Добавки минеральные для бетонов и строительных растворов. Общие технические условия (в ред. Изменения N 3, утв. Приказом Минстроя РФ от 26.12.2017 N 1719/пр)

ГОСТ Р 56593-2015 Добавки минеральные для бетонов и строительных растворов. Методы испытания (в ред. Изменения N 3, утв. Приказом Минстроя РФ от 26.12.2017 N 1719/пр)

ГОСТ Р 56703-2015 Смеси строительные сухие гидроизоляционные проникающие капиллярные на цементном вяжущем. Технические условия (в ред. Изменения N 1, утв. Приказом Минстроя РФ от 16.12.2016 N 983/пр)

ГОСТ Р 56727-2015 Цементы напрягающие. Технические условия (в ред. Изменения N 1, утв. Приказом Минстроя РФ от 16.12.2016 N 983/пр)

ГОСТ Р 58336-2018 Упоры уголковые анкерные. Методы испытаний (в ред. Изменения N 4, утв. Приказом Минстроя РФ от 30.12.2020 N 905/пр)

СП 15.13330.2012 "СНиП II-22-81* Каменные и армокаменные конструкции" (с изменениями N 1, N 2, N 3) (в ред. Изменения N 4, утв. Приказом Минстроя РФ от 30.12.2020 N 905/пр)

СП 16.13330.2017 "СНиП II-23-81* Стальные конструкции" (с изменениями N 1, N 2) (в ред. Изменения N 4, утв. Приказом Минстроя РФ от 30.12.2020 N 905/пр)

СП 20.13330.2016 "СНиП 2.01.07-85* Нагрузки и воздействия" (с изменениями N 1, N 2) (в ред. Изменения N 4, утв. Приказом Минстроя РФ от 30.12.2020 N 905/пр)

СП 25.13330.2012 "СНиП 2.02.04-88 Основания и фундаменты на вечномерзлых грунтах" (с изменениями N 1, N 2, N 3, N 4) (в ред. Изменения N 4, утв. Приказом Минстроя РФ от 30.12.2020 N 905/пр)

СП 28.13330.2017 "СНиП 2.03.11-85 Защита строительных конструкций от коррозии" (с изменениями N 1, N 2) (в ред. Изменения N 4, утв. Приказом Минстроя РФ от 30.12.2020 N 905/пр)

СП 45.13330.2017 "СНиП 3.02.01-87 Земляные сооружения, основания и фундаменты" (с изменениями N 1, N 2) (в ред. Изменения N 4, утв. Приказом Минстроя РФ от 30.12.2020 N 905/пр)

СП 46.13330.2012 "СНиП 3.06.04-91 Мосты и трубы". Дополнить словами: "(с изменениями N 1, 3, 4) (в ред. Изменения N 4, утв. Приказом Минстроя РФ от 30.12.2020 N 905/пр)

СП 48.13330.2019 "СНиП 12-01-2004 Организация строительства (в ред. Изменения N 4, утв. Приказом Минстроя РФ от 30.12.2020 N 905/пр)

СП 50.13330.2012 "СНиП 23-02-2003 Тепловая защита зданий" (с изменением N 1) (в ред. Изменения N 4, утв. Приказом Минстроя РФ от 30.12.2020 N 905/пр)

СП 63.13330.2018 "СНиП 52-01-2003 Бетонные и железобетонные конструкции. Основные положения" (с изменением N 1) (в ред. Изменения N 4, утв. Приказом Минстроя РФ от 30.12.2020 N 905/пр)

СП 130.13330.2018 "СНиП 3.09.01-85 Производство сборных железобетонных конструкций и изделий" (в ред. Изменения N 4, утв. Приказом Минстроя РФ от 30.12.2020 N 905/пр)

СП 260.1325800.2016 "Конструкции стальные тонкостенные из холодногнутых оцинкованных профилей и гофрированных листов" (с изменением N 1) (в ред. Изменения N 4, утв. Приказом Минстроя РФ от 30.12.2020 N 905/пр)

СП 266.1325800.2016 "Конструкции сталежелезобетонные. Правила проектирования" (с изменением N 1) (в ред. Изменения N 4, утв. Приказом Минстроя РФ от 30.12.2020 N 905/пр)

Примечание - При пользовании настоящим сводом правил целесообразно проверить действие ссылочных стандартов в информационной системе общего пользования - на официальном сайте национальных органов Российской Федерации по стандартизации в сети Интернет или по ежегодно издаваемому информационному указателю "Национальные стандарты", который опубликован по состоянию на 1 января текущего года, и по соответствующим ежемесячно издаваемым информационным указателям, опубликованным в текущем году. Если ссылочный документ заменен (изменен), то при пользовании настоящим сводом правил следует руководствоваться замененным (измененным) документом. Если ссылочный документ отменен без замены, то положение, в котором дана ссылка на него, применяется в части, не затрагивающей эту ссылку.

3. Общие требования

3.1. Организация и производство работ по возведению зданий и сооружений, обустройство строительной площадки и рабочих мест должны отвечать требованиям [8] и [9].

3.1а. Настоящий свод правил содержит требования к производству и приемке работ при монтаже монолитных и сборных конструкций из бетона с композитной полимерной арматурой, стальных тонкостенных конструкций из холодногнутых оцинкованных профилей и гофрированных листов (далее - ЛСТК) с элементами толщиной не более 4 мм, а также возведении сталежелезобетонных конструкций. (в ред. Изменения N 4, утв. Приказом Минстроя РФ от 30.12.2020 N 905/пр)

3.1б. При возведении зданий и сооружений для обеспечения стабильности качества и сокращения сроков выполняемых работ рекомендуется применять конструкции и элементы конструкций высокой заводской готовности при полном обеспечении проектных решений. (в ред. Изменения N 4, утв. Приказом Минстроя РФ от 30.12.2020 N 905/пр)

3.2. Организация и производство работ на строительной площадке должны проводиться при соблюдении законодательства Российской Федерации и требований [11], [12].

3.3. Работы следует выполнять в соответствии с проектом производства работ (ППР), в котором наряду с общими требованиями должны быть предусмотрены: последовательность установки конструкций; мероприятия, обеспечивающие требуемую точность установки; пространственную неизменяемость конструкций в процессе их укрупнительной сборки и установки в проектное положение; устойчивость конструкций и частей здания (сооружения) в процессе возведения; степень укрупнения конструкций и безопасные условия труда.

Совмещенный монтаж конструкций и оборудования следует производить по ППР, содержащему порядок совмещения работ, взаимоувязанные схемы монтажных ярусов и зон, графики подъемов конструкций и оборудования.

В необходимых случаях в составе ППР должны быть разработаны дополнительные технические требования, направленные на повышение строительной технологичности возводимых конструкций, которые должны быть в установленном порядке согласованы с организацией - разработчиком проекта и внесены в исполнительные рабочие чертежи.

3.4 Строительная площадка должна быть ограждена в соответствии с требованиями ГОСТ 23407 и обозначена знаками безопасности и надписями установленной формы в соответствии с требованиями ГОСТ Р 12.4.026. Строительная площадка, участки работ, рабочие места, проезды и подходы к ним в темное время суток должны быть освещены в соответствии с требованиями ГОСТ 12.1.046.

Официальный источник электронного документа содержит неточность: имеется в виду ГОСТ 12.4.026-2015.

3.5 Данные о производстве строительно-монтажных работ следует ежедневно вносить в журналы работ по монтажу строительных конструкций (приложение А), сварочных работ (приложение Б), антикоррозионной защиты сварных соединений (приложение В), замоноличивания монтажных стыков и узлов (приложение Г), выполнения монтажных соединений на болтах с контролируемым натяжением (приложение Д), журнал бетонных работ (приложение Ф), а также фиксировать по ходу монтажа конструкций их положение на геодезических исполнительных схемах. Качество строительно-монтажных работ должно быть обеспечено текущим контролем технологических процессов подготовительных и основных работ, а также при приемке работ. По результатам текущего контроля технологических процессов составляются акты освидетельствования скрытых работ.

3.6 Конструкции, изделия и материалы, применяемые при возведении бетонных, железобетонных, бетонных с композитной полимерной арматурой, сталежелезобетонных, стальных, деревянных и каменных конструкций, должны отвечать требованиям соответствующих стандартов, сводов правил и рабочих чертежей. (в ред. Изменения N 4, утв. Приказом Минстроя РФ от 30.12.2020 N 905/пр)

При возведении железобетонных, сталежелезобетонных, стальных конструкций применение изделий металлопроката, бывших в употреблении (эксплуатации), не допускается. (в ред. Изменения N 1, утв. Приказом Минстроя РФ от 16.12.2016 N 983/пр, Изменения N 4, утв. Приказом Минстроя РФ от 30.12.2020 N 905/пр)

3.7. Перевозку и временное складирование конструкций (изделий) в зоне монтажа следует выполнять в соответствии с требованиями государственных стандартов на эти конструкции (изделия), а для нестандартизированных конструкций (изделий) соблюдать следующие требования:

конструкции должны находиться, как правило, в положении, соответствующем проектному (балки, фермы, плиты, панели стен и т.п.), а при невозможности выполнения этого условия - в положении, удобном для транспортирования и передачи в монтаж (колонны, лестничные марши и т.п.), при условии обеспечения их прочности;

конструкции должны опираться на инвентарные подкладки и прокладки прямоугольного сечения, располагаемые в местах, указанных в проекте; толщина прокладок должна быть не менее 30 мм и не менее чем на 20 мм превышать высоту строповочных петель и других выступающих частей конструкций; при многоярусной погрузке и складировании однотипных конструкций подкладки и прокладки должны располагаться на одной вертикали по линии подъемных устройств (петель, отверстий) либо в других местах, указанных в рабочих чертежах;

конструкции должны быть надежно закреплены для предохранения от опрокидывания, продольного и поперечного смещения, взаимных ударов друг о друга или о конструкции транспортных средств; крепления должны обеспечивать возможность выгрузки каждого элемента с транспортных средств без нарушения устойчивости остальных;

офактуренные поверхности несущих конструкций необходимо защищать от повреждения и загрязнения;

выпуски арматуры и выступающие детали должны быть предохранены от повреждения; заводская маркировка должна быть доступной для осмотра;

мелкие детали для монтажных соединений следует прикреплять к отправочным элементам или отправлять одновременно с конструкциями в таре, снабженной бирками с указанием марок деталей и их числа; эти детали следует хранить под навесом;

крепежные изделия следует хранить в закрытом помещении, рассортированными по видам и маркам, болты и гайки - по классам прочности и диаметрам, а высокопрочные болты, гайки и шайбы - и по партиям.

3.8. Фасадные облицовочные и кровельные конструкции с офактуренной и другой финишной отделкой, тонкостенные оцинкованные элементы несущих конструкций, крепеж и детали несущих и ограждающих конструкций, фасонные элементы отделки фасадов и кровли, утеплитель и пароизоляционные материалы следует хранить в неотапливаемом складском помещении с твердым покрытием пола.

Хранение конструкций, облицовочных панелей и деталей на складе осуществляется в упакованном виде на деревянных брусьях толщиной до 10 см, с шагом 0,5 м. Склад должен быть закрытым, сухим, с твердым покрытием пола.

Запрещается хранение элементов ЛСТК россыпью, без упаковки, а также в наклонном и горизонтальном положении с опорой на две точки. (в ред. Изменения N 4, утв. Приказом Минстроя РФ от 30.12.2020 N 905/пр)

Не допускается складирование указанных в настоящем пункте конструкций, панелей и деталей на открытых площадках и вместе с агрессивными химическими продуктами.

3.9. Конструкции при складировании следует сортировать по маркам и укладывать с учетом очередности монтажа.

3.10. Запрещается перемещение любых конструкций волоком. При перемещении элементов ЛСТК недопустимы удары, рывки, сбрасывание с высоты кузова транспортного средства, волочение, скручивание и иные грубые воздействия.

При длине профилей ЛСТК 6 м и более ручную переноску осуществляют минимум трое рабочих.

Такелажные работы с ЛСТК не допускается выполнять с применением стальных захватов и жестких строп. Следует использовать мягкие обрезиненные стропы, специальные траверсы. (в ред. Изменения N 4, утв. Приказом Минстроя РФ от 30.12.2020 N 905/пр)

3.11. Для обеспечения сохранности деревянных конструкций при транспортировании и хранении следует применять инвентарные устройства (ложементы, хомуты, контейнеры, мягкие стропы) с установкой в местах опирания и соприкосновения конструкций с металлическими деталями мягких прокладок и подкладок. Конструкции следует хранить под навесом для предохранения их от воздействия солнечной радиации, попеременного увлажнения и высушивания.

3.12. Сборные конструкции следует устанавливать, как правило, с транспортных средств или стендов укрупнения.

3.13. Перед подъемом каждого монтажного элемента необходимо проверить:

соответствие его проектной марке;

состояние закладных изделий и установочных рисок, отсутствие грязи, снега, наледи, повреждений отделки, грунтовки и окраски;

наличие на рабочем месте необходимых соединительных деталей и вспомогательных материалов;

правильность и надежность закрепления грузозахватных устройств.

Каждый монтажный элемент необходимо оснастить в соответствии с ППР средствами подмащивания, лестницами и ограждениями.

3.14. Строповку монтируемых элементов следует производить в местах, указанных в рабочих чертежах, и обеспечить их подъем и подачу к месту установки в положении, близком к проектному. При необходимости изменения мест строповки они должны быть согласованы с организацией - разработчиком рабочих чертежей.

Грузоподъемные операции с тонкостенными оцинкованными конструкциями, облицовочными панелями и плитами следует производить с использованием текстильных ленточных строп, вакуумных захватов или других приспособлений, исключающих повреждение конструкций и панелей.

Запрещается строповка конструкций в произвольных местах, а также за выпуски арматуры.

Схемы строповки укрупненных плоских и пространственных блоков должны обеспечивать при подъеме их прочность, устойчивость и неизменяемость геометрических размеров и форм.

3.15. Монтируемые элементы следует поднимать плавно, без рывков, раскачивания и вращения, как правило, с применением оттяжек. При подъеме вертикально расположенных конструкций используют одну оттяжку, горизонтальных элементов и блоков - не менее двух.

Поднимать конструкции следует в два приема: сначала на высоту 20 - 30 см, затем, после проверки надежности строповки, производить дальнейший подъем.

3.16. При установке монтажных элементов должны быть обеспечены:

устойчивость и неизменяемость их положения на всех стадиях монтажа;

безопасность производства работ;

точность их положения с помощью постоянного геодезического контроля;

прочность монтажных соединений.

3.17. Конструкции следует устанавливать в проектное положение по принятым ориентирам (рискам, штырям, упорам, граням и т.п.).

Конструкции, имеющие специальные закладные или другие фиксирующие устройства, следует устанавливать по этим устройствам.

3.18. Устанавливаемые монтажные элементы до расстроповки должны быть надежно закреплены.

3.19. До окончания выверки и надежного (временного или проектного) закрепления установленного элемента не допускается опирать на него вышележащие конструкции, если такое опирание не предусмотрено ППР.

3.20. При отсутствии в рабочих чертежах специальных требований предельные отклонения совмещения ориентиров (граней или рисок) при установке сборных элементов, а также отклонения от проектного положения законченных монтажом (возведением) конструкций не должны превышать значений, приведенных в соответствующих разделах настоящего свода правил.

Отклонения на установку монтажных элементов, положение которых может измениться в процессе их постоянного закрепления и нагружения последующими конструкциями, должны назначаться в ППР с таким расчетом, чтобы они не превышали предельных значений после завершения всех монтажных работ. В случае отсутствия в ППР специальных указаний величина отклонения элементов при установке не должна превышать 0,4 предельного отклонения на приемку.

3.21. Использование установленных конструкций для прикрепления к ним грузовых полиспастов, отводных блоков и других грузоподъемных приспособлений допускается только в случаях, предусмотренных ППР и согласованных при необходимости с организацией, выполнившей рабочие чертежи конструкций.

3.22. Монтаж конструкций зданий (сооружений) следует начинать, как правило, с пространственно-устойчивой части: связевой ячейки, ядра жесткости и т.п.

Монтаж конструкций зданий и сооружений большой протяженности или высоты следует производить пространственно-устойчивыми секциями (пролеты, ярусы, этажи, температурные блоки и т.д.).

3.23. Производственный контроль качества строительно-монтажных работ следует осуществлять в соответствии с СП 48.13330.

При приемочном контроле должна быть представлена следующая документация:

исполнительные чертежи с внесенными (при их наличии) отступлениями, допущенными предприятием-изготовителем конструкций, а также монтажной организацией, согласованными с проектными организациями - разработчиками чертежей, и документы об их согласовании;

заводские технические паспорта на стальные, железобетонные, бетонные с композитной полимерной арматурой; и деревянные конструкции; (в ред. Изменения N 4, утв. Приказом Минстроя РФ от 30.12.2020 N 905/пр)

документы (сертификаты, паспорта), удостоверяющие качество материалов, примененных при производстве строительно-монтажных работ;

акты освидетельствования скрытых работ;

акты промежуточной приемки ответственных конструкций;

исполнительные геодезические схемы положения конструкций;

журналы работ;

документы о контроле качества сварных соединений;

акты испытания конструкций (если испытания предусмотрены дополнительными правилами настоящего свода правил или рабочими чертежами);

другие документы, указанные в дополнительных правилах или рабочих чертежах.

3.24. Допускается в проектах при соответствующем обосновании назначать требования к точности параметров, объемам и методам контроля, отличающиеся от предусмотренных настоящими правилами. При этом точность геометрических параметров конструкций следует назначать на основе расчета точности по ГОСТ 21780.

4. Монтаж стальных конструкций

4.1. Общие положения

4.1.1. Монтаж стальных конструкций должен осуществляться в соответствии с утвержденным проектом производства работ, разработанным с учетом специфики сооружения.

4.1.2. Исполнительными рабочими чертежами при составлении ППР должны быть чертежи марок КМ и КМД (конструкции металлические и конструкции металлические деталировочные соответственно).

Принципиальные решения, включенные в ППР, следует согласовывать с авторами чертежей марки КМ.

4.1.3. При составлении ППР следует учитывать требования, указанные в чертежах марки КМ:

описания принятых монтажных соединений;

указания по выполнению сварных соединений;

указания по выполнению соединений на болтах, винтах и других крепежных деталей;

указания по защите стальных строительных конструкций от коррозии;

требования по изготовлению и монтажу.

4.1.4. В ППР наряду с требованиями настоящего свода правил, СП 48.13330, соответствующих стандартов и рабочих чертежей марок КМ и КМД должны быть предусмотрены: последовательность установки конструктивных элементов; мероприятия, обеспечивающие требуемую точность установки; пространственную неизменяемость конструкций в процессе их укрупнительной сборки и установки в проектное положение; устойчивость конструкций и частей здания (сооружения) в процессе возведения; степень укрупнения конструкций и безопасные условия труда.

4.1.5. Все технологические процессы и операции монтажа и демонтажа стальных конструкций всех видов зданий и сооружений должны быть разработаны в ППР, при любых методах производства работ, включая подращивание, надвижку, вертолетный монтаж.

4.1.6. Монтажная оснастка: полиспасты, стропы, траверсы, стенды, кантователи и т.п. должны быть разработаны в ППР.

4.1.7. Для крупных и уникальных объектов выбор метода монтажа стальных конструкций определяется на основании вариантов, разрабатываемых в ППР.

4.1.8. К акту сдачи объекта в эксплуатацию прикладывается документация, перечень которой указывается в проекте сооружения и в ППР.

4.2. Подготовка конструкций к монтажу

4.2.1. Конструкции, поставляемые на монтаж, должны отвечать требованиям соответствующих стандартов и рабочих чертежей марок КМ и КМД.

4.2.2. Деформированные конструкции следует выправить. Правка может быть выполнена без нагрева поврежденного элемента (холодная правка) либо с предварительным нагревом (правка в горячем состоянии) термическим или термомеханическим методом. Холодная правка допускается только для плавно деформированных элементов.

Решение об исправлении, усилении поврежденных конструкций или замене их новыми должно приниматься авторами чертежей марки КМ.

Правка элементов ЛСТК и гофрированных листов не допускается. (в ред. Изменения N 4, утв. Приказом Минстроя РФ от 30.12.2020 N 905/пр)

4.2.3. Холодную правку конструкций следует производить способами, исключающими образование вмятин, выбоин и других повреждений на поверхности проката.

4.2.4. При производстве монтажных работ запрещаются ударные воздействия на сварные конструкции из сталей:

с пределом текучести 390 МПа (40 кгс/мм2) и менее - при температуре ниже минус 10 °C;

с пределом текучести свыше 390 МПа (40 кгс/мм2) - при температуре ниже 0 °C.

4.3. Укрупнительная сборка

4.3.1. При отсутствии в рабочих чертежах специальных требований на предельные отклонения размеров, определяющих собираемость конструкций (длина элементов, расстояние между группами монтажных отверстий), при сборке отдельных конструктивных элементов и блоков, не должны превышать величин, приведенных в таблице 4.1.

Таблица 4.1

Интервалы номинальных размеров, мм Значения допусков, мм Контроль (метод, объем, вид регистрации)
линейных размеров равенства диагоналей
От 500 до 2500 5 - Измерительный, каждый конструктивный элемент и блок, журнал работ
Свыше 2500 " 4000 6 16
" 4000 " 8000 8 20
" 8000 " 16000 10 24
" 16000 " 25000 12 30
" 25000 " 40000 16 40

4.4. Установка, выверка и закрепление

4.4.1. Проектное закрепление конструкций (отдельных элементов и блоков), установленных в проектное положение, с монтажными соединениями на болтах следует выполнять сразу после инструментальной проверки точности положения и выверки конструкций, кроме случаев, оговоренных в дополнительных правилах настоящего раздела или в ППР.

Число болтов и пробок для временного крепления конструкций надлежит определять расчетом; во всех случаях болтами должна быть заполнена 1/3 и пробками 1/10 всех отверстий, но не менее двух.

4.4.2. Конструкции с монтажными сварными соединениями надлежит закреплять в два этапа - сначала временно, затем по проекту. Способ временного закрепления должен быть указан в ППР в соответствии с чертежами марки КМ.

4.4.3. Соответствие каждого блока проекту и возможность выполнения на нем смежных работ надлежит оформлять актом с участием представителей монтажной организации, собравшей конструкции блока, и организации, принимающей блок для выполнения последующих работ.

4.4.4. Блоки покрытий из конструкций типа "структур" собираются по нормативной документации заводов-изготовителей.

4.5. Монтажные соединения на болтах без контролируемого натяжения

4.5.1. При сборке как расчетных, так и нерасчетных срезных соединений, а также соединений, в которых болты установлены конструктивно, отверстия в деталях конструкций должны быть совмещены, а детали зафиксированы от смещения сборочными пробками (оправками) и плотно стянуты болтами. В соединениях с двумя отверстиями сборочную пробку устанавливают в одно из них. В расчетных соединениях разность номинальных диаметров отверстий и болтов не должна превышать 3 мм.

4.5.2. В расчетных соединениях с работой болтов на срез и соединяемых элементов на смятие допускается "чернота" (несовпадение отверстий в смежных деталях собранного пакета) до 1 мм - в 50% отверстий, до 1,5 мм - 10% отверстий. В случае несоблюдения этого требования, с разрешения разработчика чертежей марок КМ или КМД, отверстия следует рассверлить на ближайший больший диаметр с установкой болта соответствующего диаметра.

В собранном пакете болты заданного в чертежах марок КМ или КМД диаметра должны пройти в 100% отверстий. Допускается прочистка 20% отверстий сверлом, диаметр которого равен диаметру отверстия, указанного в чертежах КМД.

В соединениях с работой болтов на растяжение, а также в нерасчетных соединениях чернота не должна превышать разности номинальных диаметров отверстия и болта.

4.5.3. Запрещается применение болтов и гаек, не имеющих клейма предприятия-изготовителя и маркировки, обозначающей класс прочности.

Каждая партия болтов, гаек и шайб должна быть снабжена сертификатом качества с указанием результатов механических приемо-сдаточных испытаний.

При выполнении соединений на болтах без контролируемого натяжения болты, гайки и шайбы устанавливают в соединения без удаления заводской консервирующей смазки, а при ее отсутствии резьбу болтов и гаек смазывают минеральным маслом по ГОСТ 20799.

4.5.4. Под гайки следует устанавливать не более двух круглых шайб (ГОСТ 11371).

Допускается установка одной такой же шайбы под головки болтов. В необходимых случаях следует устанавливать косые шайбы (ГОСТ 10906).

Резьба болтов, в том числе сбег резьбы, не должны входить вглубь отверстия более чем на половину толщины крайнего элемента пакета со стороны гайки.

4.5.5. Решения по предупреждению самоотвинчивания гаек - постановка пружинных шайб (ГОСТ 6402), контргаек или других способов закрепления гаек от самоотвинчивания - должны быть указаны в рабочих чертежах марки КМ.

Применение пружинных шайб не допускается при овальных отверстиях, при разности номинальных диаметров отверстия и болта более 3 мм, при совместной установке с круглой шайбой (ГОСТ 11371), а также в соединениях на болтах, работающих на растяжение. Запрещается стопорение гаек путем забивки резьбы болта или приварки гаек к стержню болта.

В конструкциях, воспринимающих статические нагрузки, гайки болтов, затянутых на усилие свыше 50% расчетного предела прочности стали болта, допускается дополнительно не закреплять. Фундаментные болты должны комплектоваться в соответствии с ГОСТ 24379.0.

4.5.6. Гайки и контргайки болтов диаметром 12 - 27 мм следует затягивать до отказа, от середины соединения к краям, с усилием 294 - 343 Н (30 - 35 кгс) монтажными ключами. Длина ключа должна составлять для болтов М12 - 150 - 200 мм; М16 - 250 - 300 мм; М20 - 350 - 400 мм; М22 - 400 - 450 мм; М24 - 500 - 550 мм; М27 - 550 - 600 мм или динамометрическими ключами по ГОСТ 33530. (в ред. Изменения N 4, утв. Приказом Минстроя РФ от 30.12.2020 N 905/пр)

4.5.7. Гайки и головки болтов, в том числе фундаментных, после затяжки должны плотно (без зазоров) соприкасаться с плоскостями шайб или элементов конструкций, а резьба болтов выступать из гаек не менее чем на один виток с полным профилем.

4.5.8. Контактные поверхности соединяемых элементов должны быть очищены от загрязнения, заусенцев, льда и других неровностей, препятствующих плотному их прилеганию. Плотность стяжки собранного пакета надлежит контролировать щупом толщиной 0,3 мм, который не должен проникать между собранными деталями в зону, ограниченную шайбой.

4.5.9. Качество затяжки постоянных болтов в расчетных соединениях следует проверять монтажными ключами длиной и с усилием, указанными в 4.5.6.

Качество затяжки болтов в нерасчетных соединениях, а также сборочных болтов сварных соединений следует проверять остукиванием молотком массой 0,4 кг, при этом болты не должны смещаться.

4.6. Монтажные соединения на болтах, в том числе высокопрочных, с контролируемым натяжением

4.6.1. Выполнение соединений на болтах с контролируемым натяжением должно проводиться рабочими, прошедшими специальное обучение, подтвержденное соответствующим удостоверением.

4.6.2. Соприкасающиеся поверхности деталей фрикционных (сдвигоустойчивых), фрикционно-срезных и фланцевых соединений должны быть обработаны способом, предусмотренным в чертежах марок КМ, КМД.

Сборку соединений следует производить не позже трех суток после обработки соприкасающихся поверхностей. На соприкасающихся поверхностях не допускается наличие грязи, масла, образование льда и других загрязнений, препятствующих плотному прилеганию деталей или способствующих снижению указанной в чертежах марок КМ, КМД расчетной величины коэффициента трения. При превышении срока между обработкой соприкасающихся поверхностей и сборкой соединений более трех суток проводится повторная обработка.

Требование повторной обработки не распространяется на налет ржавчины, образующийся на соприкасающихся поверхностях после их очистки, а также на случай попадания на них атмосферных осадков в виде влаги или конденсации водяных паров.

Состояние поверхностей после обработки и перед сборкой следует контролировать и фиксировать в журнале (см. приложение Д).

4.6.3. Перепад поверхностей (депланация) стыкуемых деталей свыше 0,5 и до 3 мм должен быть ликвидирован механической обработкой путем образования плавного скоса с уклоном не круче 1:10.

При перепаде свыше 3 мм необходимо устанавливать стальные прокладки требуемой толщины, обработанные тем же способом, что и детали соединения. Применение прокладок подлежит согласованию с организацией - разработчиком чертежей марок КМ, КМД.

4.6.4. Отверстия в деталях при сборке должны быть совмещены и зафиксированы от смещения пробками. Число пробок определяют расчетом на действие монтажных нагрузок, но их должно быть не менее 10% при числе отверстий более 20 и не менее двух - при меньшем числе отверстий.

В собранном пакете, зафиксированном пробками, допускается чернота (несовпадение отверстий), не препятствующая свободной, без перекоса, постановке болтов. Калибр диаметром на 0,5 мм больше номинального диаметра болта должен пройти в 100% отверстий каждого соединения.

Допускается прочистка отверстий плотно стянутых пакетов сверлом, диаметр которого на 0,5 мм больше номинального диаметра болта, при условии, что чернота не превышает разности номинальных диаметров отверстия и болта. Применение воды, эмульсий или масла при прочистке отверстий не допускается.

4.6.5. Запрещается применение болтов, не имеющих на головке заводской маркировки временного сопротивления, клейма предприятия-изготовителя, условного обозначения номера плавки, а на болтах климатического исполнения ХЛ (согласно ГОСТ 15150) - также и букв "ХЛ".

Каждая партия болтов, гаек и шайб должна быть снабжена сертификатом качества с указанием результатов механических приемо-сдаточных испытаний.

4.6.6. Перед установкой болты, гайки и шайбы должны быть расконсервированы, а резьба болтов и гаек, в том числе опорные поверхности гаек, смазаны. В качестве смазки допускается применение минеральных масел по ГОСТ Р 51634 или ГОСТ 10541. Нанесение смазки следует производить при комнатной температуре не позже чем за 8 ч до сборки соединений. Расконсервацию болтов, гаек и шайб и нанесение смазки на болты и гайки следует производить кипячением в воде (10 - 15 мин) с последующей промывкой в горячем состоянии в смеси, состоящей из 70 - 75% неэтилированного бензина и 30 - 25% минерального масла по ГОСТ 20799. Применяемое соотношение бензина и масла должно обеспечивать на поверхности болтов и гаек тонкий слой смазки. Срок хранения смазанных болтов и гаек не должен превышать более 10 сут. При большем сроке хранения производится повторная смазка болтов и гаек. В качестве смазки резьбы и опорных поверхностей гаек допускается применение твердых сортов парафина по ГОСТ 23683 или других эффективных видов смазки, с последующим установлением фактической величины коэффициента закручивания , средняя величина которого должна составлять не более 0,2.

Установка в соединениях болтов и гаек, в том числе с металлическими покрытиями, без применения смазки не допускается, а также болтов с нарушенным покрытием, со следами ржавчины или при более 0,2 не допускается.

При указании в проектной документации, допускается применение болтокомплектов, имеющих документ о качестве, не требующих расконсервации и смазки согласно документации завода-изготовителя в соответствии с требованиями СП 16.13330. (в ред. Изменения N 4, утв. Приказом Минстроя РФ от 30.12.2020 N 905/пр)

4.6.7. Заданное проектом натяжение болтов следует обеспечивать затяжкой гаек или вращением головок болтов до расчетного момента закручивания, либо поворотом гаек на определенный угол, либо другим способом, гарантирующим получение заданного усилия натяжения болтов.

Порядок натяжения должен исключать образование неплотностей в стягиваемых пакетах, контролируемых щупом толщиной 0,3 мм в соответствии с 4.6.14.

4.6.8. Динамометрические ключи, предназначенные для натяжения и контроля натяжения высокопрочных болтов, в том числе работающие в комплекте с ключами-мультипликаторами (редукторами крутящего момента), должны иметь паспорт с отметкой метрологической лаборатории о проведении поверки.

Тарировку динамометрических ключей следует производить на специальном стенде или с помощью контрольных грузов не реже одного раза в смену, а также после каждой замены контрольного прибора или ремонта ключа. Результаты тарировки должны быть занесены в "Журнал тарировки ключей", приложение Е. Редукция крутящего момента ключей-мультипликаторов проверяется после каждого ремонта, но не реже одного раза в год.

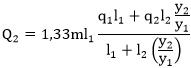
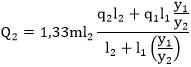
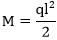
4.6.9. Расчетный момент закручивания M, Н·м (кгс·м), необходимый для натяжения болтов, следует определять по формуле

, (4.1)

где:

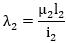
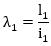
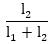
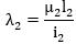
- среднее значение коэффициента закручивания для каждой партии болтов, принимаемое по результатам испытаний с помощью контрольных приборов, позволяющих одновременно фиксировать величину осевого усилия в стержне болта и приложенного к гайке крутящего момента M;

- наименьшее временное сопротивление болта разрыву, принимаемое по стандартам на применяемые болты, Н/мм2 (кгс/мм2);

- площадь сечения болта "нетто" (по резьбе), мм2;

P - расчетное осевое усилие натяжения болта, заданное в рабочих чертежах КМ, Н (кгс);

d - номинальный диаметр болта, м.

В электронном документе текст соответствует официальному источнику.

Результаты испытаний по установлению среднего значения коэффициента закручивания оформляются протоколом или актом.

4.6.10. Натяжение высокопрочных болтов М24 класса прочности 10.9 по углу поворота гайки следует производить в следующем порядке:

затянуть все болты в соединении до отказа монтажным ключом с длиной рукоятки 0,6 - 0,7 м с усилием 294 - 343 Н (30 - 35 кгс·м);

проверить плотность стяжки щупом толщиной 0,3 мм в соответствии с 4.6.14;

повернуть гайки болтов на угол 180° +/- 30°.

Указанный метод применим для соединений с числом деталей в пакете до семи и толщине пакета от 40 до 140 мм. При других диаметрах болтов и толщинах пакетов угол поворота устанавливается экспериментально.

4.6.11. Под каждую головку болта и гайку должно быть установлено по одной высокопрочной шайбе с твердостью не менее 35 единиц HRC. При разности номинальных диаметров отверстий и болтов не более 4 мм допускается установка одной шайбы только под вращаемым элементом (головкой болта или гайкой).

4.6.12. Гайки, затянутые до расчетного крутящего момента в соответствии с 4.6.9 или поворотом на определенный угол, дополнительно ничем закреплять не следует.

4.6.13. После натяжения всех болтов в соединении старший рабочий-сборщик (бригадир) обязан в предусмотренном месте поставить клеймо (присвоенный ему номер или знак), результаты занести в "Журнал выполнения соединений на болтах с контролируемым натяжением" (приложение Д) и предъявить соединение для контроля лицу, назначенному ответственным за выполнение этого вида соединений приказом по организации, производящей эти работы.

4.6.14. Независимо от способа натяжения болтов ответственное лицо в течение не более двух смен должно произвести наружный осмотр всех поставленных болтов и убедиться, что все болты соединения имеют установленную маркировку и одинаковую длину; под головки болтов и гайки поставлены шайбы; выступающие за пределы гаек части болтов имеют не менее одного витка резьбы с полным профилем над гайкой или двух витков резьбы под гайкой (внутри пакета); осевые усилия натяжения болтов соответствуют указанному в чертеже марки КМ; на собранном узле имеется клеймо бригады, выполнявшей эти работы, а результаты занесены в "Журнал выполнения соединений на болтах с контролируемым натяжением" (приложение Д).

Натяжение болтов следует контролировать: при числе болтов в соединении до четырех - все болты, свыше четырех - 10%, но не менее трех в каждом соединении.

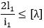
Фактический момент закручивания должен быть не менее расчетного значения, определенного по формуле (4.1), и не превышать его более чем на 15%. Отклонение угла поворота гайки допускается +/- 30°.

При обнаружении хотя бы одного болта, не удовлетворяющего этим требованиям, контролю подлежит удвоенное число болтов. В случае обнаружения при повторной проверке одного болта с меньшим значением крутящего момента или с меньшим углом поворота гайки, должны быть проконтролированы все болты соединения с доведением момента закручивания или угла поворота гайки до требуемой величины.

Щуп толщиной 0,3 мм не должен проникать между деталями соединения в зону, ограниченную радиусом 1,3 от оси болта, где - номинальный диаметр отверстия, мм.

В случае отсутствия замечаний рядом с клеймом бригады должно быть установлено клеймо ответственного лица, а соединение предъявлено для приемки представителю технического надзора заказчика.

4.6.15. После контроля натяжения и приемки соединения представителем заказчика все наружные поверхности стыков, включая головки болтов, гайки и выступающие из них части резьбы болтов, должны быть очищены, загрунтованы, окрашены, а щели в местах перепада толщин и зазоры в стыках зашпатлеваны. Огрунтовку и окраску стыков необходимо производить после приемки соединений ответственным лицом.

4.6.16. Все работы по натяжению и контролю натяжения следует регистрировать в журнале выполнения соединений на болтах с контролируемым натяжением, приложение Д.

4.6.17. Для фланцевых соединений необходимо применять высокопрочные болты из стали 40Х климатического исполнения ХЛ. Все болты должны быть затянуты на усилия, указанные в рабочих чертежах КМ, вращением гайки до расчетного момента закручивания. Контролю натяжения подлежат 100% болтов.

Фактический момент закручивания должен быть не менее расчетного, определенного по формуле (4.1), и не превышать его более чем на 10%.

Зазоры между соприкасающимися плоскостями фланцев в местах расположения болтов не допускаются. Щуп толщиной 0,1 мм не должен проникать в зону радиусом 40 мм от оси болта.

Фланцевые соединения

4.6.18. Требования по контролю и приемке фланцевых соединений принимаются в зависимости от их классификационных признаков, указываемых в проектной документации марок КМ, КМД в соответствии с пунктом 15.9.3 СП 16.13330.2017.

При отсутствии в чертежах марок КМ, КМД сведений по классификационным признакам фланцевых соединений или требований по их контролю и приемке следует руководствоваться 4.6.17. (в ред. Изменения N 4, утв. Приказом Минстроя РФ от 30.12.2020 N 905/пр)

4.6.19 Требования по контролю и натяжению болтов для фланцевых соединений с классификационными признаками по пункту 15.9.3 СП 16.13330.2017 приведены ниже:

- фланцевые соединения Iа + IIа + IIIб + IVб(в), Iа + IIб(в) + IIIб + IVб(в) и Iб + IIб(в) + IIIб + IVб - по 4.6.17, 4.20.7 и 4.20.8;

- фланцевые соединения Iб + IIа + IIIа + IVа(в), Iб + IIб(в) + IIIа + IVа, Iб + IIб(в) + IIIа + IVв, Iв + IIа + IIIа(б) + IVа и Iв + IIб(в) + IIIа(б) + IVа - по 4.5;

- фланцевые соединения Iб + IIа + IIIб + IVб и Iб + IIб(в) + IIIб + IVв - по 4.6.1 - 4.6.16. (в ред. Изменения N 4, утв. Приказом Минстроя РФ от 30.12.2020 N 905/пр)

4.6.20. В соответствии с пунктом 15.9.13 СП 16.13330.2017, при наличии указаний в проектной документации марок КМ, КМД о допустимости применения неплоских фланцев, зазоры между соединяемыми элементами фланцев должны быть не более следующих предельных значений:

1,2 мм включительно - зазоры в зоне шайбы;

4 мм включительно - краевые зазоры по периметру фланца;

0,1 мм включительно - зазоры между фланцами по центральным линиям сжатых полок и сжатых зон стенок;

1,2 мм включительно - зазоры между фланцами по центральным линиям растянутых полок и растянутых зон стенок. (в ред. Изменения N 4, утв. Приказом Минстроя РФ от 30.12.2020 N 905/пр)

4.6.21. Способ обработки и/или исключение окрашивания соприкасающихся поверхностей фланцевых соединений указывается в чертежах марок КМ, КМД. Окрашивание соприкасающихся поверхностей соединений с классификационными признаками Iа + IIб(в) + IIIб + IVб(в), Iб + IIа + IIIб + IVб, Iб + IIб(в) + IIIб + IVб не допускается. (в ред. Изменения N 4, утв. Приказом Минстроя РФ от 30.12.2020 N 905/пр)

4.7. Специальные монтажные соединения

4.7.1. К специальным монтажным соединениям (СМС) относятся:

пристрелка высокопрочными дюбелями;

постановка самонарезающих и самосверлящих винтов;

постановка заклепок; (в ред. Изменения N 4, утв. Приказом Минстроя РФ от 30.12.2020 N 905/пр)

совместное пластическое деформирование кромок;

контактная точечная сварка;

электрозаклепки;

фальцовка продольных кромок.

4.7.2. К руководству работами и выполнению соединений на СМС могут быть допущены лица, прошедшие обучение, подтвержденное соответствующим удостоверением.

4.7.3. Характерной особенностью СМС является то, что для их выполнения достаточно подхода к соединяемым элементам конструкций с одной стороны.

4.7.4. При производстве работ по постановке высокопрочных дюбелей следует соблюдать инструкции по эксплуатации пороховых монтажных инструментов, регламентирующие порядок ввода их в эксплуатацию, правила эксплуатации, технического обслуживания, требования безопасности, хранения, учета и контроля пистолетов и монтажных патронов к ним.

4.7.5. Перед началом работы надлежит выполнить контрольную пристрелку с внешним осмотром и оценкой качества соединения для уточнения мощности выстрела (номера патрона).

4.7.6. Установленный дюбель должен плотно прижимать шайбу к закрепляемой детали, а закрепляемую деталь - к опорному элементу. При этом цилиндрическая часть стержня дюбеля не должна выступать над поверхностью стальной шайбы.

Плотность прижатия проверяют визуально при операционном (100%) и выборочном (не менее 5%) приемочном контроле установленных дюбелей.

4.7.7. Применение того или иного типа СМС и расстояние между осями элементов и от оси элемента СМС до края соединяемого элемента должны соответствовать указаниям рабочих чертежей.

4.7.8. Типы СМС приведены в таблице 4.2.

Таблица 4.2

(в ред. Изменения N 4, утв. Приказом Минстроя РФ от 30.12.2020 N 905/пр)

Технологический процесс СМС в узлах на опоре СМС с продольным соединением кромок
безметизные на метизах безметизные на метизах
Автономный (ручной) - Высокопрочные дюбели, самонарезающие винты, заклепки Контактная точечная сварка Заклепки
Фальцовка ручная
С энергетическими коммуникациями Точечная сварка, электрозаклепки Самонарезающие винты, заклепки Фальцовка механическая -

4.7.9. Основной областью применения СМС является закрепление ограждающих конструкций зданий и сооружений. В отдельных случаях допускается применение СМС для закрепления конструкций, совмещающих ограждающие и несущие функции (диафрагмы жесткости, мембранно-каркасные конструкции).

4.7.10. Основные конструктивные формы СМС с указанием действия сил приведены на рисунке 4.1.

а б  
   
  в г  
   

а - фрагмент конструкции покрытия со стальным профилированным настилом и схема действия сил на опорах (1 - соединения в среднем участке; 2 и 3 - соединения соответственно по продольным и поперечным полкам; 4 - соединения в месте пересечения продольных и поперечных полок); б - схема соединений по продольным полкам (1 и 1' - при расположении полок внахлест в нижнем и верхнем положениях соответственно для утепленных и холодных покрытий; 2 и 2' - простой стоячий и лежачий фальцы; 3 и 3' - двойной фальц, стоячий и лежачий); в - сдвигоустойчивые элементы (1 и 1' - на высокопрочных дюбелях; 2 - на контактной сварке; 2' - на дуговой сварке); г - фрагмент трехслойной стеновой панели на самосверлящем винте

Рисунок 4.1. Конструктивные формы СМС

4.7.11. Монтажная точечная сварка не допускается при соединении разнородных металлов и элементов с неметаллическими покрытиями и прокладками.

4.7.12. Допускаемые сочетания толщин и прочности соединяемых стальных элементов на высокопрочных дюбелях для пристрелки по стали приведены в таблице 4.8.

4.7.13. Для самонарезающих и самосверлящих винтов допускаемое временное сопротивление стали опорного элемента не должно превышать 450 Н/мм2.

4.7.14. Толщина присоединяемых элементов определяется длиной стержня винта и может достигать 230 мм, например, для трехслойных стеновых сэндвич-панелей (см. таблицу 4.3).

4.7.15. Максимальная толщина опорного стального элемента для самонарезающих винтов приведена в таблице 4.3.

Таблица 4.3

Диаметр винта Тип соединения Толщина опорного элемента Максимальная толщина соединяемого пакета, мм
4,2 Крепления листовых и профильных конструкций к несущему каркасу 1,5 - 6,5 7 - 10
4,8 1,5 - 7,5 7 - 12
5,5 1,5 - 12 До 22
6,3 2 - 12 До 30
5,5 Крепление профилированных листов кровли через утеплитель к несущей конструкции 1 - 12 240
6,3 1 - 12 240
5,5 Крепление сэндвич-панелей к несущей конструкции 1,5 - 12 240
6,3 1,5 - 12 240

4.7.16. Длина тела заклепки в зависимости от материала тела и стержня и суммарной толщины соединяемых элементов должна быть указана в рабочей документации. При отсутствии таких указаний следует руководствоваться таблицами Ж.1, Ж.2 и Ж.3 приложения Ж.

Диаметр отверстий под комбинированные заклепки и самонарезающие винты должны отвечать требованиям, указанным в таблице 4.4.

Таблица 4.4

Наименование и номинальный диаметр метиза, мм Диаметр отверстий для постановки метиза, мм Предельное отклонение, мм
Заклепка комбинированная:   +0,08
2,4 2,5
3 3,1
3,2 3,3
4,0 4,1 +0,1
4,8 4,9
5 5,1
6,4 6,5
Винт самонарезающий типа BC6 x L, при толщине :   +0,1
3 - 4 5,4
5 - 6 5,5
7 - 8 5,6
9 - 10 5,7

4.7.17. Для крепления кровельных сэндвич-панелей к металлическим стропилам и прогонам применяют самонарезающие винты диаметром 5,5 мм, длину которых выбирают по таблице 4.5 в зависимости от толщины панелей.

Таблица 4.5

Толщина панели, мм Минимальная длина винта, мм
50 126
80 156
100 176
120 196
150 226
200 276
250 285

4.7.18. Для крепления стеновых сэндвич-панелей к металлическим конструкциям (колоннам, ригелям) применяют самонарезающие винты диаметром 5,5 мм, длину которых выбирают по таблице 4.6 в зависимости от толщины панели.

Таблица 4.6

Толщина панели, мм Минимальная длина винта, мм
Панель с обычным стыком Панель со скрытым (огнестойким) стыком
50 85 61
80 105 91
100 135 111
120 155 131
150 185 161
200 235 -
250 285 -

4.7.19. Для крепления сэндвич-панелей к железобетонным конструкциям (колоннам) применяют пружинные анкеры диаметром 4,8 и 6,3 мм, длину которых выбирают в зависимости от толщины панели по таблице 4.7.

Таблица 4.7

Толщина панели, мм Минимальная длина винта, мм
Панель с обычным стыком Панель со скрытым (огнестойким) стыком
50 4,8 x 89 4,8 x 76
80 4,8 x 115 4,8 x 89
100 4,8 x 140 4,8 x 102
120 4,8 x 152 4,8 x 127
150 6,3 x 191 6,3 x 165
200 6,3 x 254 -
250 6,3 x 292 -

Таблица 4.8

4.7.20. Допускаемые сочетания толщин соединяемых стальных элементов для различных видов СМС приведены на рисунке 4.2.

t - толщина присоединяемых элементов, мм;
- толщина опорного элемента, мм;

Ф - фальцовка; ВД - дюбель высокопрочный (1, 2 и 3 - "легкий", обыкновенного качества и высшего качества соответственно);
ССВ - самосверлящий винт; СНВ - самонарезающий винт; КЗ - комбинированная заклепка;
КТС - контактная точечная сварка; ЭЗ - электрозаклепки

Рисунок 4.2. Область применения различных видов СМС в зависимости от сочетания толщин соединяемых элементов

4.7.21. Требуемая энергия при выполнении дюбельных соединений пристрелкой пороховыми пистолетами или ударами пневмоимпульсного молотка - до 1 кДж.

4.7.22. При выполнении соединений на высокопрочных дюбелях применяются дюбели обыкновенного качества ДЛ 3,7 x 25 с патронами кольцевого воспламенения марок 6,8/18 М или 6,8/11 М. При толщинах опорного элемента от 5 до 10 мм рекомендуется применять дюбель-гвоздь рифленый марки ДГР 4,5 x 30.

4.7.23. При выполнении соединений на самонарезающих винтах и комбинированных заклепках рекомендуется применять самонарезающие винты с диаметром стержня от 3,2 до 6 мм.

4.7.24. Для получения фальцевого соединения используются профили, получаемые прокаткой из рулонной оцинкованной стали (толщина 0,5 - 1 мм), как на месте монтажа (в этом случае длина профиля равна длине ската кровли или высоте фасада), так и заводские заготовки мерной длины со специально подготовленными продольными кромками.

4.7.25. Кляммеры, закрепленные на элементах каркаса или прогонах с шагом от 0,7 до 1,5 м, фальцуются одновременно с выполнением шва. Конструкции кляммеров имеют как жесткое, так и подвижное в направлении шва крепление, допускающее температурное удлинение профиля.

4.7.26. Монтаж профилей производится порядно на всю длину фасада или ската кровли с установкой кляммеров с шагом 0,7 - 1,5 м после каждого ряда. После укладки следующего ряда необходимо добиться полного совмещения кромок смежных профилей и установить прихватки с использованием ручных фальцовочных клещей до производства машинной закатки.

4.8. Монтажные сварные соединения (в ред. Изменения N 1, утв. Приказом Минстроя РФ от 16.12.2016 N 983/пр)

4.8.1. Монтажные соединения металлических конструкций или их элементов, изготовленных по ГОСТ 23118, [13], должны выполняться при помощи сварки.

4.8.2. Производственный контроль качества монтажных сварных соединений стальных конструкций следует выполнять в соответствии с требованиями раздела 10.4 с учетом положений ГОСТ Р ИСО 9934, ГОСТ Р ИСО 3452, ГОСТ Р 55724, ГОСТ Р 53697, ГОСТ 10243, ГОСТ Р ИСО 5577.

Официальный источник электронного документа содержит неточность: имеются в виду ГОСТ Р ИСО 9934-1, ГОСТ Р ИСО 3452-1.

4.9. Предварительное напряжение конструкций

4.9.1. Стальные канаты, применяемые в качестве напрягающих элементов, должны быть перед изготовлением элементов вытянуты усилием, равным 0,6 разрывного усилия каната в целом, указанного в соответствующем стандарте, и выдержаны под этой нагрузкой в течение 20 мин.

4.9.2. Предварительное напряжение гибких элементов следует выполнять этапами:

напряжение до 50% проектного с выдержкой в течение 10 мин для осмотра и контрольных замеров;

напряжение до 100% проектного.

Предельные отклонения напряжений на обоих этапах +/- 5%.

В предусмотренных проектом случаях напряжение может быть выполнено до проектной величины с большим числом этапов.

4.9.3. Величина усилий и деформаций, а также предельные отклонения конструкций, напрягаемых гибкими элементами, должны соответствовать требованиям дополнительных правил настоящего свода правил или приведены в рабочей документации.

4.9.4. Контроль напряжения конструкций, выполненного методом предварительного выгиба (поддомкрачивание, изменение положения опор и др.), необходимо осуществлять нивелированием положения опор и геометрической формы конструкций.

Предельные отклонения должны быть указаны в проекте.

4.9.5. В предварительно напряженных конструкциях запрещается приварка деталей в местах, не предусмотренных в рабочих чертежах, в том числе сварка около мест примыкания напрягающих элементов (стальных канатов, пучков проволок).

4.9.6. Натяжные приспособления для гибких элементов должны иметь паспорт предприятия-изготовителя с данными об их тарировке.

4.9.7. Величину предварительного напряжения конструкций и результаты ее контроля необходимо регистрировать в журнале монтажных работ.

4.10. Испытание конструкций и сооружений

4.10.1. Номенклатура конструкций зданий и сооружений, подлежащих испытанию, приведена в дополнительных правилах настоящего свода правил и может быть уточнена.

4.10.2. Метод, схему и программу проведения испытания надлежит приводить в проекте, а порядок проведения - разрабатывать в специальном ППР или разделе этого проекта.

ППР на испытания подлежит согласованию с дирекцией действующего или строящегося предприятия и генподрядчиком.

4.10.3. Персонал, назначенный для проведения испытаний, может быть допущен к работе только после прохождения специального инструктажа.

4.10.4. Испытания конструкций должна проводить комиссия в составе представителей заказчика (председатель), генподрядной и субподрядной монтажной организаций, а в случаях, предусмотренных проектом, - и представителя проектной организации. Приказ о назначении комиссии издает заказчик.

4.10.5. Перед испытанием монтажная организация предъявляет комиссии документацию, перечисленную в 3.23 и 4.20 настоящего свода правил, комиссия производит осмотр конструкций и устанавливает готовность их к испытаниям.

4.10.6. На время испытаний необходимо установить границу опасной зоны, в пределах которой недопустимо нахождение людей, не связанных с испытанием.

Во время повышения и снижения нагрузок лица, занятые испытанием, а также контрольные приборы, необходимые для проведения испытаний, должны находиться за пределами опасной зоны либо в надежных укрытиях.

4.10.7. Конструкции, находящиеся при испытании под нагрузкой, запрещается остукивать, а также производить их ремонт и исправление дефектов.

4.10.8. Выявленные в ходе испытания дефекты следует устранить, после чего испытание повторить или продолжить. По результатам испытаний должен быть составлен акт (приложение И).

4.11. Дополнительные правила монтажа конструкций одноэтажных зданий

4.11.1. Настоящие дополнительные правила распространяются на монтаж и приемку конструкций одноэтажных зданий (в том числе покрытий типа "структур", крановых эстакад и др.) и не распространяются на модульные конструкции (требования к модульным конструкциям по 7.8). (в ред. Изменения N 4, утв. Приказом Минстроя РФ от 30.12.2020 N 905/пр)

4.11.2. Подкрановые балки пролетом 12 м по крайним и средним рядам колонн здания надлежит укрупнить в блоки вместе с тормозными конструкциями и крановыми рельсами, если они не поставлены блоками предприятием-изготовителем.

4.11.3. При возведении каркаса зданий необходимо соблюдать следующую очередность и правила установки конструкций:

установить первыми в каждом ряду на участке между температурными швами колонны, между которыми расположены вертикальные связи, закрепить их фундаментными болтами, а также расчалками, если они предусмотрены в ППР;

раскрепить первую пару колонн связями и подкрановыми балками (в зданиях без подкрановых балок - связями и распорками);

в случаях, когда такой порядок невыполним, первую пару монтируемых колонн следует раскрепить согласно ППР;

установить после каждой очередной колонны подкрановую балку или распорку, а в связевой панели - предварительно связи;

разрезные подкрановые балки пролетом 12 м надлежит устанавливать блоками, неразрезные - элементами, укрупненными согласно ППР;

начинать установку конструкций покрытия с панели, в которой расположены горизонтальные связи между стропильными фермами, а при их отсутствии - очередность установки должна быть указана в ППР;

устанавливать конструкции покрытия, как правило, блоками;

при поэлементном способе временно раскрепить первую пару стропильных ферм расчалками, а в последующем каждую очередную ферму - расчалками или монтажными распорками по ППР;

снимать расчалки и монтажные распорки разрешается только после закрепления и выверки положения стропильных ферм, установки и закрепления в связевых панелях вертикальных и горизонтальных связей, в рядовых панелях - распорок по верхним и нижним поясам стропильных ферм, а при отсутствии связей - после крепления стального настила.

4.11.4. При поэлементном способе монтажа балки путей подвесного транспорта, а также монтажные балки для подъема мостовых кранов следует устанавливать вслед за конструкциями, к которым они должны быть закреплены, до укладки настила или плит покрытия.

4.11.5. Крановые пути (мостовых и подвесных кранов) каждого пролета необходимо выверять и закреплять по проекту после проектного закрепления несущих конструкций каркаса каждого пролета на всей длине или на участке между температурными швами.

4.12. Требования при приемочном контроле

4.12.1. При окончательной приемке смонтированных конструкций должны быть предъявлены документы, указанные в 3.23.

4.12.2. Предельные отклонения фактического положения смонтированных конструкций не должны превышать при приемке значений, приведенных в таблице 4.9.

Таблица 4.9

Параметр Предельные отклонения, мм Контроль (метод, объем, вид регистрации)
А. Колонны и опоры
1. Отклонения отметок опорных поверхностей колонны и опор от проектных +/- 5 Измерительный, каждая колонна и опора, геодезическая исполнительная схема
2. Разность отметок опорных поверхностей соседних колонн и опор по ряду и в пролете +/- 3 То же
3. Смещение осей колонн и опор относительно разбивочных осей в опорном сечении +/- 5 "
4. Отклонение осей колонн от вертикали в верхнем сечении при длине колонн, мм:   Измерительный, каждая колонна и опора, геодезическая исполнительная схема
свыше 4000 до 8000 +/- 10
" 8000 " 16000 +/- 12
" 16000 " 25000 +/- 15
" 25000 " 40000 +/- 20
5. Стрела прогиба (кривизна) колонны, опоры и связей по колоннам 0,0013 расстояния между точками закрепления, но не более 15 Измерительный, каждый элемент, журнал работ
6. Односторонний зазор между фрезерованными поверхностями в стыках колонн 0,0007 поперечного размера сечения колонны; при этом площадь контакта должна составлять не менее 65% площади поперечного сечения То же
Б. Фермы, ригели, балки, прогоны
7. Отметки опорных узлов +/- 10 Измерительный, каждый узел, журнал работ
8. Смещение ферм, балок, ригелей с осей на оголовках колонн из плоскости рамы +/- 15 Измерительный, каждый элемент, геодезическая исполнительная схема
9. Стрела прогиба (кривизна) между точками закрепления сжатых участков пояса фермы и балки ригеля 0,0013 длины закрепленного участка, но не более 15 Измерительный, каждый элемент, журнал работ
10. Расстояние между осями ферм, балок, ригелей, по верхним поясам между точками закрепления +/- 15 То же
11. Совмещение осей нижнего и верхнего поясов ферм относительно друг друга (в плане) 0,004 высоты фермы "
12. Отклонение симметричности установки фермы, балки, ригеля, панели перекрытия и покрытия (при длине площадки опирания 50 мм и более) +/- 10 "
13. Отклонение стоек фонаря и фонарных панелей от вертикали +/- 8 "
14. Расстояние между прогонами +/- 5 "
В. Подкрановые балки
15. Смещение оси подкрановой балки с продольной разбивочной оси +/- 5 Измерительный, на каждой опоре, журнал работ
16. Смещение опорного ребра балки с оси колонны +/- 20 То же
17. Перегиб стенки в сварном стыке (измеряют просвет между шаблоном длиной 200 мм и вогнутой стороной стенки) +/- 5 "
Г. Крановые пути <*>
а) мостовых кранов    
18. Расстояние между осями рельсов одного пролета (по осям колонн, но не реже чем через 6 м) +/- 10 Измерительный, на каждой опоре, геодезическая исполнительная схема
19. Смещение оси рельса с оси подкрановой балки +/- 15 То же
20. Отклонение оси рельса от прямой на длине 40 м +/- 15 "
21. Разность отметок головок рельсов в одном поперечном разрезе пролета здания:   "
на опорах +/- 15  
в пролете +/- 20  
22. Разность отметок подкрановых рельсов на соседних колоннах (расстояние между колоннами L):   Измерительный, на каждой опоре, геодезическая исполнительная схема
при L менее 10 м +/- 10  
при L 10 м и более 0,001L, но не более 15  
23. Взаимное смещение торцов стыкуемых рельсов в плане и по высоте +/- 2 Измерительный, каждый стык, журнал работ
24. Зазор в стыках рельсов (при температуре 0 °C и длине рельса 12,5 м); при изменении температуры на 10 °C допуск на зазор изменяется на 1,5 мм +/- 4 То же
б) подвесных кранов    
25. Разность отметок нижнего ездового пояса на смежных опорах (вдоль пути) независимо от типа крана (расстояние между опорами L) 0,0007L Измерительный, на каждой опоре, геодезическая исполнительная схема
26. Разность отметок нижних ездовых поясов соседних балок в пролетах в одном поперечном сечении двух- и многоопорных подвесных кранов:   Измерительный, каждая балка, геодезическая исполнительная схема
на опорах +/- 6  
в пролете +/- 10  
27. То же, но со стыковыми замками на опорах и в пролете +/- 2 То же
28. Смещение оси балки с продольной разбивочной оси пути (для талей ручных и электрических не ограничивается) +/- 3 "
Д. Стальной оцинкованный профилированный настил
29. Отклонение длины опирания настила на прогоны в местах поперечных стыков 0; -5 Измерительный, каждый стык, журнал работ
30. Отклонение положения центров:   То же, выборочный в объеме 5%, журнал работ
высокопрочных дюбелей, самонарезающих болтов и винтов +/- 5
комбинированных заклепок:  
вдоль настила +/- 20  
поперек настила +/- 5  
<*> Согласно ПБ 10-382 [10].

4.12.3. Сварные соединения, качество которых требуется согласно проекту проверять при монтаже физическими методами, надлежит контролировать одним из следующих методов: радиографическим или ультразвуковым в объеме 5% - при ручной или механизированной сварке и 2% - при автоматизированной сварке.

Места обязательного контроля должны быть указаны в рабочей документации. Остальные сварные соединения следует контролировать в объеме, указанном в разделе 10.

4.13. Дополнительные правила монтажа конструкций многоэтажных зданий

Настоящие дополнительные правила распространяются на монтаж и приемку конструкций многоэтажных зданий высотой до 150 м.

Укрупнительная сборка конструкций

4.13.1. Предельные отклонения размеров собранных блоков и положения отдельных элементов, входящих в состав блока, не должны превышать величин, приведенных в таблице 4.10.

Таблица 4.10

Параметр Предельные отклонения, мм Контроль (метод, объем, вид регистрации)
1. Отклонение отметок опорной поверхности колонн от проектной отметки +/- 5 Измерительный, каждый элемент, геодезическая исполнительная схема
2. Разность отметок опорных поверхностей соседних колонн +/- 3 То же
3. Смещение осей колонн в нижнем сечении и разбивочных осей при опирании на фундамент +/- 5 "
4. Отклонение от совмещения рисок геометрических осей колонн в верхнем сечении с рисками разбивочных осей при длине колонн, мм:   "
    до 4000 +/- 12  
свыше 4000 до 8000 +/- 15  
" 8000 " 16000 +/- 20  
" 16000 " 25000 +/- 25  
5. Разность отметок верха колонн каждого яруса 0,5n + 9 Измерительный, каждая колонна, геодезическая исполнительная схема
6. Смещение оси ригеля, балки с оси колонны 8 То же
7. Отклонение расстояния между осями ригелей и балок в середине пролета 10 Измерительный, каждый ригель и балка, журнал работ
8. Разность отметок верха двух смежных ригелей 15 То же, каждый ригель, геодезическая исполнительная схема
9. Разность отметок верха ригеля по его концам 0,001L, но не более 15 То же
10. Односторонний зазор между фрезерованными поверхностями в стыке колонн По таблице 4.9 Измерительный, стык каждой колонны, журнал работ
n - порядковый номер яруса колонн;
L - длина ригеля.

Подъем и установка конструкций

4.13.2. Конструкции следует устанавливать поярусно. Работы на следующем ярусе надлежит начинать только после проектного закрепления всех конструкций нижележащего яруса.

Бетонирование монолитных перекрытий может отставать от установки и проектного закрепления конструкций не более чем на 5 ярусов (10 этажей) при условии обеспечения прочности и устойчивости смонтированных конструкций.

Требования при приемочном контроле

4.13.3. При окончательной приемке смонтированных конструкций должны быть предъявлены документы, указанные в 3.23.

4.13.4. Предельные отклонения положения элементов конструкций и блоков от проектных не должны превышать величин, приведенных в таблице 4.10.

4.13.5. Сварные соединения, качество которых требуется согласно рабочим чертежам проверять при монтаже физическими методами, надлежит контролировать одним из следующих методов: радиографическим или ультразвуковым в объеме 5% - при ручной или механизированной сварке и 2% - при автоматизированной сварке.

Места обязательного контроля должны быть указаны в рабочей документации.

Остальные сварные соединения следует контролировать в объеме, указанном в разделе 10.

4.14. Обеспечение устойчивости основных конструктивных элементов в процессе монтажа

4.14.1. Для устойчивости и геометрической неизменяемости монтируемых конструкций зданий и сооружений следует соблюдать последовательность установки конструктивных элементов и блоков. Это должно достигаться разбивкой зданий в плане и по высоте на отдельные устойчивые секции (пролеты, этажи, ярусы, части каркаса между температурными швами), последовательность монтажа которых обеспечивает устойчивость и неизменяемость смонтированных конструкций в данной секции.

4.14.2. Установку конструктивных элементов в одноэтажных производственных зданиях следует осуществлять в следующей последовательности:

монтаж колонн в секции следует начинать со связевой панели. Если по каким-либо условиям указанное требование выполнить невозможно, то необходимо устройство временной связевой панели из первых установленных колонн ряда, подкрановой балки или распорки и временных вертикальных связей между ними, устанавливаемых ниже уровня подкрановой балки (распорки). Затем следует установить следующую колонну и раскрепить ее к временной связевой панели подкрановой балкой или распоркой;

монтаж конструкций покрытий следует начинать со связевой панели, а если это невозможно, то с любой, установив между соседними фермами горизонтальные и вертикальные связи. Следующую установленную ферму необходимо раскрепить к связевой панели распоркой.

4.14.3. При монтаже конструкций многоэтажных зданий после установки колонн по оси в секции необходимо смонтировать ригели, обеспечивающие устойчивость полученной рамы в поперечном направлении. В продольном направлении устойчивость следует обеспечивать с помощью вертикальных связей по колоннам и распорных элементов. Если устойчивость здания в продольном направлении обеспечивается стеновыми конструкциями (о чем должно быть указано в рабочей документации), то их следует возводить одновременно с каркасом и перекрытиями.

4.14.4. Во всех случаях при возведении зданий обязательным условием является полная готовность смонтированных стальных конструкций в секции к производству последующих работ (общестроительных, электро- и механомонтажных и др.) независимо от состояния монтажа конструкций в соседних секциях.

4.14.5. Расчет устойчивости элементов конструкций, в случае необходимости, следует проводить в соответствии с указаниями, изложенными в приложении К.

4.15. Монтаж встроенных конструкций

4.15.1. К встроенным следует относить стальные конструкции, находящиеся внутри контура несущих и ограждающих стальных конструкций каркаса здания. Это конструкции помещений (будок) в производственных цехах различных отраслей промышленности для размещения бытовок, пультов управления, складов инструментов и других помещений и сооружений, предназначенных для технологических нужд данного производства. К встроенным конструкциям следует отнести площадки, предназначенные для установки и обслуживания технологического оборудования, переходные, посадочные и для ремонта мостовых кранов, а также лестницы различного назначения.

4.15.2. Монтаж встроенных стальных конструкций следует осуществлять, как правило, отдельным потоком, либо в период монтажа несущих и ограждающих конструкций каркаса здания, либо после окончания их монтажа. Для встроенных конструкций, монтируемых после завершения монтажа каркаса, следует применять средства малой механизации, используя конструкции каркаса.

4.15.3. При окончательной приемке смонтированных конструкций должна быть предъявлена документация, указанная в 3.23.

4.15.4. Предельные отклонения фактического положения смонтированных элементов встроенных конструкций от проектных не должны превышать значений, приведенных в таблице 4.11.

Таблица 4.11

Наименование показателя Предельные отклонения, мм Контроль (метод, объем, вид регистрации)
Отклонение отметок опорных поверхностей колонн (стоек) от проектных +/- 6 Измерительный, каждая колонна (стойка), геодезическая исполнительная схема
Разность отметок опорных поверхностей соседних колонн (стоек) в обоих направлениях 4 То же
Смещение осей колонн (стоек) относительно разбивочных осей в опорном сечении 10 "
Отклонение осей колонн (стоек) от вертикали в верхнем сечении при их длине, мм:    
от 2000 до 4000 включительно +/- 10 "
свыше 4000 " 8000 " +/- 12 "
" 8000 " 12000 " +/- 15 "
Стрелка прогиба (кривизна) колонны (стойки), связей по колоннам Не более 0,0015 расстояний между точками закрепления, но не более 20 Измерительный, каждый элемент, журнал работ
Смещение опирания балок, ригелей с осей колонн (стоек) 18 Измерительный, каждый элемент, геодезическая исполнительная схема
Отклонение отметок опор переходных, посадочных, ремонтных площадок и лестниц от проектных +/- 10 Измерительный, каждая опора, геодезическая исполнительная схема

4.16. Монтаж конструкций структурных покрытий

4.16.1. Конструкции структур поставляются заводами-изготовителями отдельными элементами, упакованными комплектно с приложением паспорта и монтажных схем.

4.16.2. Укрупнительная сборка блоков покрытий производится на месте подъема или вблизи строящегося объекта на временных опорах. Предельные отклонения установки временных опор должны соответствовать поз. 1 таблицы 4.11. На каждый собранный блок составляется геодезическая исполнительная схема.

4.16.3. При укрупнительной сборке блоков следует строго следить за установкой элементов в соответствии с монтажной схемой, так как замена на элемент даже большего сечения, чем в проекте, может привести при эксплуатации здания к аварийной ситуации.

4.16.4. До подъема блоков устанавливаются опорные конструкции с последующей их выверкой и закреплением по проекту.

4.16.5. При подъеме блоков в проектное положение монтажными механизмами необходимо обеспечивать его горизонтальность, не допуская перекоса блока.

4.16.6. Предельные отклонения фактических размеров структурных конструкций от проектных не должны превышать значений, приведенных в таблице 4.12.

Таблица 4.12

Параметр, мм Предельные отклонения, мм Контроль (метод, объем, вид регистрации)
Отклонения отметок опорных поверхностей блоков от проектных +/- 10 Измерительный, каждая опора, геодезическая исполнительная схема
Расстояние по ширине блока +/- 5 Измерительный, каждый блок, журнал работ
Расстояние по длине блока +/- 7 То же
Расстояние по диагонали блока +/- 10 "

4.16.7. К устройству кровельного ковра приступают только после полного проектного закрепления элементов блока на опорах.

4.17. Монтаж конструкций висячих вантовых покрытий

4.17.1. Несущие и стабилизирующие ванты и элементы вантовых ферм из стальных канатов изготовляются, как правило, на заводе и поставляются на монтажную площадку в бухтах или на барабанах.

Рекомендуются следующие диаметры бухт:

при диаметре каната до 42 мм - не менее 2 м;

при диаметре каната свыше 42 мм - не менее 3,5 м.

Каждая партия указанных элементов должна быть снабжена паспортом завода-изготовителя.

4.17.2. При изготовлении несущих и стабилизирующих вант и элементов вантовых ферм на монтажной площадке необходимо стальные канаты предварительно вытянуть на усилие, указанное в паспорте завода-изготовителя, с выдержкой в течение 20 мин.

4.17.3. Для изготовления и испытания канатных элементов на монтажной площадке необходимы следующие основные приспособления, изготовляемые на монтажной площадке по чертежам:

стенд для вытяжки и испытания;

для разматывания канатов;

верстак для разделки концов канатов;

ванна для мойки канатов;

вилки для отгибания концов канатов;

стол для заливки втулок;

горн для разогрева цинково-алюминиевого сплава.

Кроме указанного необходимо иметь шлифмашинку, вентилятор, термопару, милливольтметр, а также кокс или древесный уголь для горна.

4.17.4. Изготовленные в монтажных условиях канатные элементы подаются в зону действия монтажного крана в развернутом положении.

4.17.5. Хранение стальных канатов и канатных элементов в условиях монтажной площадки следует организовать в сухом, проветриваемом помещении с деревянным или асфальтобетонным полом.

4.17.6. Ванты из круглых арматурных стержней изготавливаются, как правило, на монтажной площадке и после вытяжки подаются в зону действия монтажного крана.

4.17.7. Опорные конструкции покрытия поставляются заводами металлоконструкций. Монтаж их следует производить мобильными кранами укрупненными элементами последовательно по периметру сооружения.

Проектное закрепление производится после выверки полностью всех смонтированных конструкций в соответствии с предельными отклонениями опорных конструкций при монтаже.

4.17.8. Монтаж элементов вантовых покрытий производится кранами с применением специальных временных опор и других приспособлений, чертежи на которые разрабатываются в ППР.

4.17.9. После полного окончания монтажа вантового покрытия производится натяжение (преднапряжение) его элементов установленным методом с последующим геодезическим контролем формы покрытия. Места контроля и предельные отклонения должны быть установлены в рабочей документации.

4.17.10. После выверки покрытия производится монтаж элементов кровли - железобетонных плит, панелей, профилированного настила.

4.17.11. Все контрольно-измерительные работы должны производиться аттестованными и тарированными приборами.

4.17.12. При окончательной приемке смонтированных конструкций должна быть предъявлена документация, указанная в 3.23.

4.18. Монтаж конструкций мембранных покрытий

4.18.1. Мембранные покрытия (далее - покрытия) проектируются из тонкого металлического листа, примыкающего к замкнутому металлическому или железобетонному контуру, опирающемуся, как правило, на колонны.

4.18.2. Конструкции мембранных покрытий (далее - покрытия) поставляются заводами-изготовителями в виде полотнищ, свальцованных в рулоны. Длина полотнищ равна величине всего пролета или (для покрытий с круглым и овальным планом) половине пролета. Ширина полотнищ из условий транспортабельности принимается не более 12 м, масса лимитируется грузоподъемным монтажным механизмом.

4.18.3. Сооружение объекта с мембранным покрытием следует начинать с установки мобильным краном колонн и связей между ними.

4.18.4. По выверенным и закрепленным колоннам этим же краном монтируется опорный контур последовательно по периметру сооружения.

4.18.5. После выверки и проектного закрепления опорного контура и закладных деталей приступают к монтажу конструкций покрытия.

4.18.6. Монтаж конструкций покрытий следует выполнять непосредственно на проектной отметке, на "постели", при этом раскатку рулонов следует выполнять с помощью лебедок с применением специальных приспособлений.

4.18.7. "Постель" состоит из направляющих и поперечных связей и определяет начальную поверхность покрытия. Устройство "постели" производится на сплошных или частичных подмостях. Рихтовка "постели" производится подтяжкой к упорам, закрепленным на опорном контуре.

4.18.8. Возможен вариант монтажа прямоугольных покрытий, когда рулоны разворачиваются внизу на спланированной площадке внутри опорного контура. В проектное положение собранное покрытие поднимается с помощью подъемников, устанавливаемых по углам опорного контура.

4.18.9. Уложенное полотнище следует временно закрепить от возможного выхлопа при срыве от ветровой нагрузки.

4.18.10. Для монтажа конструкций покрытий круглых и овальных в плане устанавливают центральную опору.

4.18.11. Натяжение и проектное закрепление покрытия выполняют после геодезического контроля в последовательности, указанной в проекте сооружения. В проекте также приводятся предельные отклонения фактического положения смонтированных конструкций.

4.18.12. Проектное закрепление полотнищ между собой выполняется сваркой под флюсом или электрозаклепками, или высокопрочными болтами.

4.19. Дополнительные правила монтажа конструкций транспортерных галерей

4.19.1. Настоящие дополнительные правила распространяются на монтаж и приемку транспортерных галерей всех типов (балочных, решетчатых, оболочечных).

4.19.2. Предельные отклонения размеров собранных блоков не должны превышать величин, приведенных в таблице 4.1. Эллиптичность цилиндрических оболочек (труб) при наружном диаметре D не должна превышать 0,005D.

4.19.3. Монтаж галерей следует начинать с пространственных опор, укрупненных на полную проектную высоту. Плоские опоры устанавливаются также одним блоком с обязательным раскреплением тросовыми расчалками в плоскости галереи.

4.19.4. Пролетные строения галерей следует устанавливать пространственными блоками, укрупненными с ограждающими конструкциями и технологическим оборудованием.

4.19.5. Последовательность установки блоков пролетных строений должна быть выбрана так, чтобы в любой период монтажа была обеспечена устойчивость (неизменяемость) смонтированной части галереи в продольном направлении.

4.19.6. Многопролетные транспортерные галереи надлежит устанавливать в направлении от анкерной (неподвижной) опоры к качающейся (подвижной).

4.19.7. Монтаж блоков галерей может осуществляться методом надвижки (в особенности наклонных пролетных строений) или полиспастами, закрепленными к конструкциям опор с соответствующим их раскреплением.

4.19.8. Блоки оболочечных галерей собираются из листовых заготовок, поставляемых заводами-изготовителями на транспортабельных барабанах.

4.19.9. Цилиндрические блоки галерей собирают из рулонных транспортабельных заготовок, поставляемых заводом-изготовителем, методом наворачивания полотнищ на барабан, изготовленный из легких профилей и проектных элементов жесткости (ребер).

4.19.10. При окончательной приемке смонтированных конструкций должны быть предъявлены документы, указанные в 3.23.

4.19.11. Предельные отклонения положения колонн и пролетных строений не должны превышать величин, приведенных в таблице 4.13.

Таблица 4.13

Параметр Предельные отклонения, мм Контроль (метод, объем, вид регистрации)
Отклонения отметок опорных поверхностей колонн от проектных +/- 5 Инструментальный, каждая колонна, геодезическая исполнительная схема
Смещение осей колонн в нижнем сечении с разбивочных осей на фундаменте +/- 5 То же
Отклонения отметок опорных плит пролетных строений от проектных +/- 15 Инструментальный, каждая плита, геодезическая исполнительная схема
Смещение оси пролетного строения с осей колонн:   Инструментальный, каждая колонна, геодезическая исполнительная схема
в плоскости +/- 20
из плоскости +/- 8

4.19.12. Сварные стыковые соединения галерей, качество которых требуется согласно проекту проверять на монтаже физическими методами, надлежит контролировать одним из следующих методов: радиографическим или ультразвуковым в объеме 10% при ручной или механизированной сварке и 5% - при автоматизированной сварке.

Остальные сварные соединения следует контролировать в объеме, указанном в разделе 10.

4.20. Дополнительные правила монтажа конструкций антенных сооружений связи и башен вытяжных труб

Дополнительные правила распространяются на монтаж и приемку конструкций мачт высотой до 500 м и башен высотой до 250 м.

Требования к фундаментам

4.20.1. Фундаменты следует принимать перед началом монтажных работ комплектно для каждой мачты или башни в соответствии с требованиями таблицы 4.14.

Таблица 4.14

Параметр Предельные отклонения Контроль (метод, объем, вид регистрации)
1. Расстояние между центрами фундаментов одной башни 10 мм + 0,001 проектного расстояния, но не более 25 мм Измерительный, каждый фундамент, геодезическая исполнительная схема
2. Отклонение фактического угла наклона к горизонту оси тяги анкера от проектного; 0; -4° То же
угол между фактическим направлением оси тяги анкера и направлением на ось мачты "
3. Отметка плиты центрального фундамента мачты и фундамента башни 10 мм "
4. Разность отметок опорных плит под пояса башни 0,0007 базы, но не более 5 мм Измерительный, каждая опорная плита, геодезическая исполнительная схема
5. Расстояние между центром мачты и осью проушины анкерного фундамента 150 мм То же, каждая проушина фундамента, геодезическая исполнительная схема
6. Отметка оси проушины анкерного фундамента мачты 50 мм "
7. Угол между разбивочной осью и направлением на центр проушины тяги анкера "

При приемке следует проверять также наличие и геометрическое положение закладных деталей для крепления монтажных устройств.

4.20.2. Бетонирование фундаментных вставок (опорных башмаков) следует выполнять после установки, выверки и закрепления первого яруса башни.

Опорные фундаментные плиты и опорные секции мачт должны быть забетонированы после их выверки и закрепления до установки первой секции ствола мачты.

Монтаж мачт и продолжение установки секций башен разрешается только после достижения бетоном 50% проектной прочности.

Работу по бетонированию оформляют актами.

Требования к оттяжкам из стальных канатов

4.20.3. Стальные канаты оттяжек должны иметь заводские сертификаты, а изоляторы, в том числе входящие в состав оттяжек, - акты механических испытаний.

4.20.4. Изготавливать и испытывать оттяжки следует, как правило, на специализированном заводе-изготовителе, за исключением случаев, когда в чертежах КМ оговорена необходимость производства этих работ на монтажной площадке.

Канаты должны быть предварительно вытянуты согласно требованиям 4.9.1.

4.20.5. Оттяжки мачт необходимо испытывать целиком, а при отсутствии такого требования в чертежах КМ - отдельными участками (с осями и соединительными звеньями) усилием, равным 0,6 разрывного усилия каната в целом.

4.20.6. Перевозить оттяжки к месту монтажа при диаметре каната до 42 мм и длине до 50 м допускается в бухтах с внутренним диаметром 2 м, при длинах более 50 м - намотанными на барабаны диаметром 2,5 м, а при диаметрах канатов более 42 мм - на барабанах диаметром 3,5 м, кроме случаев изготовления и испытания оттяжек по требованию чертежей КМ на монтажной площадке. В этом случае перемещение оттяжек от испытательного стенда надлежит выполнять без их сворачивания.

Подъем и установка конструкций

4.20.7. Мачты, имеющие опорные изоляторы, необходимо монтировать на временной опоре (предусмотренной чертежами КМ) с последующим подведением изоляторов после монтажа всей мачты.

До подъема поясов башен и негабаритных секций мачт следует производить последовательную сборку смежных монтажных элементов с целью проверки прямолинейности или проектного угла перелома осей сопрягаемых участков, а также совпадения плоскостей фланцев и отверстий в них для болтов. В стянутом болтами фланцевом стыке щуп толщиной 0,3 мм не должен доходить до наружного диаметра трубы пояса на 20 мм по всему периметру, а местный зазор у наружной кромки по окружности фланцев не должен превышать 3 мм.

4.20.8. До подъема очередной секции мачты или башни заглушки труб в верхних концах должны быть залиты битумом N 4 в уровень с плоскостью фланца, а соприкасающиеся плоскости фланцев - смазаны битумом той же марки. Выполнение этих работ должно быть оформлено актом освидетельствования скрытых работ.

Болты во фланцевых соединениях надлежит закреплять двумя гайками.

4.20.9. Натяжные приспособления для оттяжек в мачтовых сооружениях и для преднапряженных раскосов решетки в башнях должны иметь паспорта с документами о тарировке измерительного прибора.

4.20.10. Установка секций ствола мачты, расположенных выше места крепления постоянных оттяжек или временных расчалок, допускается только после полного проектного закрепления и монтажного натяжения оттяжек нижележащего яруса.

4.20.11. Все постоянные оттяжки и временные расчалки каждого яруса необходимо подтягивать к анкерным фундаментам и натягивать до заданной величины одновременно, с одинаковой скоростью и усилием.

4.20.12. Усилие монтажного натяжения в оттяжках мачтовых опор (сооружений) надлежит определять по формулам:

; (4.2)
, (4.3)

где:

N - искомая величина монтажного натяжения при температуре воздуха во время производства работ;

- величина натяжения при температуре на 40 °C выше среднегодовой температуры;

- величина натяжения при температуре на 40 °C ниже среднегодовой температуры;

- величина натяжения при среднегодовой температуре воздуха в районе установки мачты;

- среднегодовая температура воздуха в районе установки мачты, определяемая по данным гидрометеорологической службы;

T - температура воздуха во время натяжения оттяжек мачты.

Примечания

1. Величины , , должны быть указаны в чертежах КМ.

2. В чертежах КМ за среднегодовую температуру условно принята = 0 °C.

4.20.13. Выверку мачт следует производить после демонтажа монтажного крана, без подвешенных антенных полотен, при скорости ветра не более 10 м/с в уровне верхнего яруса оттяжек.

Требования при приемочном контроле

4.20.14. Предельные отклонения законченных монтажом конструкций мачт и башен от проектного положения не должны превышать величин, указанных в таблице 4.15.

Таблица 4.15

Параметр Предельные отклонения Контроль (метод, объем, вид регистрации)
1. Смещение оси ствола от проектного положения, мм:   Измерительный, каждая башня, геодезическая исполнительная схема
башни объектов связи 0,001 высоты выверяемой точки над фундаментом
башни вытяжных труб (одно- и многоствольные) 0,003 высоты выверяемой точки над фундаментом
2. Смещение оси ствола мачты, мм 0,0007 высоты выверяемой точки над фундаментом То же, каждая мачта, геодезическая исполнительная схема
3. Монтажное натяжение оттяжек мачт, % 8 Измерительный, каждая оттяжка, ведомость монтажных натяжений
4. Разница между максимальным и минимальным значениями натяжения оттяжек одного яруса после демонтажа монтажного крана, % 10 Аналитический, каждый ярус оттяжек, ведомость монтажных натяжений

4.20.15. Сварные соединения листовых трубчатых элементов, качество которых следует проверить при монтаже физическими методами, надлежит контролировать одним из следующих методов: радиографическим или ультразвуковым в объеме 10% при ручной или механизированной сварке и 5% - при автоматизированной сварке.

Места обязательного контроля должны быть указаны в чертежах КМ.

Остальные сварные соединения следует контролировать в объеме, указанном в разделе 10.

4.20.16. При сдаче сооружения в эксплуатацию наряду с документами, перечисленными в 3.23, дополнительно должны быть представлены:

заводские сертификаты на стальные канаты, сплавы для заливки втулок и изоляторы;

акты освидетельствования скрытых работ на заливку заглушек и смазку битумом фланцев трубчатых поясов мачт и башен;

акты на изготовление и испытание оттяжек для мачтовых сооружений;

акты механических испытаний изоляторов;

исполнительные геодезические схемы положения осей сооружения, включая оси элементов поясов башен и решетчатых мачт с негабаритными секциями;

ведомость замеренных монтажных натяжений оттяжек мачт.

Монтаж конструкций башен вытяжных труб методом подращивания

4.20.17. Вытяжная башня состоит из несущего решетчатого стального каркаса, который проектируется в виде сочетания нижней пирамидальной части высотой до 50 м и верхней призматической прямоугольного или треугольного сечения.

4.20.18. Монтаж башни методом подращивания эффективен при ее высоте более 120 м, так как в этом случае исключается необходимость применения крана с большими грузоподъемными характеристиками либо самоподъемных кранов.

4.20.19. В проекте стальных конструкций башни должны быть предусмотрены упоры (направляющие) для восприятия горизонтальных (ветровых) монтажных нагрузок и специальные балки для закрепления выдвигаемой части в промежутках между выдвижками, определены места крепления тяговых полиспастов.

4.20.20. Скорость ветра при выдвижке не должна превышать 7 м/с на отметке 10 м.

4.20.21. Стальные решетчатые конструкции поставляются заводами- изготовителями, максимально укрупненными транспортабельными элементами. Габаритные металлические газоотводные стволы поставляются обечайками, негабаритные - свальцованными на барабан.

4.20.22. Фундамент башен следует принимать перед началом монтажа в соответствии с требованиями таблицы 4.14.

4.20.23. Монтаж начинают с установки краном верхних секций призматической части на стенд. Затем монтируются конструкции пирамидальной части.

4.20.24. С помощью полиспастов, верх которых закрепляется внутри пирамидальной части, а низ - за стенд, выдвигается призматическая часть на высоту, достаточную для заводки очередной секции призматической части. В такой же последовательности заводится и поднимается ствол башни.

4.20.25. Технология выдвижки призматической части башни совместно с газоотводящим стволом производится только в случае, если это оговорено в проекте стальных конструкций башни.

4.20.26. Предельные отклонения законченных монтажом конструкций башен от проектного положения не должны превышать величин, указанных в таблице 4.15.

4.21. Демонтаж и монтаж конструкций объекта при реконструкции действующих производств

4.21.1. Перед началом работ в зоне реконструкции действующих производств должны быть приняты меры безопасности:

отключены энерго-, паро-, газо- и другие силовые коммуникации;

защищены близлежащие производства от пыли, искр от резки и сварки;

запрещены проходы людей, не связанных с реконструкцией.

4.21.2. При демонтажно-монтажных работах необходимо учитывать:

прочность и устойчивость конструкций, остающихся после демонтажа опорных и примыкающих к ним элементов;

предотвращение падения конструкций при освобождении их креплений (болтов или сварки).

4.21.3. При замене покрытий без остановки производства работ следует вести на отдельных захватках. При этом разборку покрытия следует совмещать с монтажом новых конструкций.

4.21.4. Наряду с башенными, башенно-стреловыми и гусеничными кранами следует применять средства малой механизации, в том числе легкие передвижные, переставные, крышевые краны, подъемники, лебедки и другие средства малой механизации.

4.21.5. При соответствующем технико-экономическом обосновании для реконструкции объектов применяются вертолеты в соответствии с требованиями раздела 4.22.

4.21.6. При демонтаже металлических колонн необходимо предусмотреть их освобождение от крепления к фундаментам. Обетонировку базы колонны следует вырубить, а анкерные болты при их неиспользовании - срезать.

4.21.7. Временное крепление, обеспечивающее прочность и устойчивость демонтируемых элементов, следует снимать только после их строповки и легкого натяжения стропа.

4.22. Монтаж и демонтаж конструкций с применением вертолетов

4.22.1. Вертолетный монтаж конструкций при строительстве, реконструкции, восстановлении объектов, а также при демонтаже конструкций следует применять после оценки результатов технико-экономического обоснования. Критерием эффективности вертолетного монтажа, по сравнению с традиционными методами, является сокращение продолжительности монтажа и ускорение сроков ввода в эксплуатацию.

4.22.2. При применении вертолетного монтажа (демонтажа) конструкций должны быть разработаны следующие мероприятия:

стройгенплан и схема монтажно-вертолетной площадки (МВП);

разделение конструкций сооружения на монтажные блоки;

обеспечение пространственной жесткости и устойчивости блоков на всех стадиях монтажа;

удобство и малая грузоподъемность монтажных соединений блоков;

система "ловителей", строповочных устройств;

требования по технике безопасности.

4.22.3. Основные мероприятия, выполняемые по МВП:

укрупнительная сборка блоков;

установка направляющих и фиксирующих приспособлений;

закрепление алюминиевых лестниц, подмостей и люлек;

пробная строповка блоков краном для уточнения их массы и устойчивого пространственного положения;

тренировочные полеты вертолета;

строповка блока к вертолету;

техническое обслуживание вертолета.

4.22.4. МВП и зона монтажа должны быть очищены от мусора, пыльную площадку следует полить водой, свежевыпавший снег убрать. Границы МВП должны быть ограждены флажками.

4.22.5. Объемные конструкции с большой парусностью во избежание их перемещения от воздушных потоков, возникающих от винтов вертолетов, следует закрепить.

4.22.6. Руководитель полета (специалист авиаотряда) с помощью системы ориентации груза или с помощью монтажников производит грубое наведение монтируемого блока в зону монтажного соединения. Точную установку блока обеспечивают фиксирующие направляющие и "ловители", закрепленные на указанных соединениях.

4.22.7. Строповку блоков следует осуществлять с помощью внешних подвесок, входящих в комплект оборудования вертолета и комплекта монтажных стропов.

4.22.8. Расстроповку блоков следует производить по команде руководителя полетов, после получения им от руководителя монтажа информации о правильности и надежности установки конструкций.

4.22.9. Технология монтажа, включая подготовительные работы, должна обеспечить максимально возможную загрузку вертолета по времени.

Грузоподъемные характеристики вертолетов приведены в таблице 4.16.

Таблица 4.16

Показатель Марка вертолета
Ми-8МВТ Ка-32 Ми-10К Ми-26
Максимальная масса груза, перевозимого на внешней подвеске, кг 5000 5000 11000 20000
Максимальная грузоподъемность на монтажных работах, кг 4000 4500 8500 18000

4.23. Дополнительные правила монтажа легких стальных тонкостенных конструкций из холодногнутых оцинкованных профилей и гофрированных листов элементами толщиной не более 4 мм (в ред. Изменения N 4, утв. Приказом Минстроя РФ от 30.12.2020 N 905/пр)

Общие требования

4.23.1. На строительную площадку ЛСТК поставляются с завода, в соответствии с чертежами марок КМ, КМД, отправочными марками, упакованными в пачки, содержащие элементы одного типа.

4.23.2. Входной контроль поступающих на строительную площадку комплектов ЛСТК начинается на этапе разгрузки. Контролируется целостность заводских упаковок и состояние отдельных элементов. В случае превышения требований по допустимым изгибным деформациям элементов, указанных в СП 260.1325800.2016 (подраздел 5.5), выполняется их замена. Не допускаются к установке в каркас элементы ЛСТК с изгибно-крутильными деформациями, загибами, заломами кромок и гофр, вмятинами на угловых участках и прочими дефектами, нарушающими их проектную геометрию, а также целостность антикоррозионного защитного покрытия. Проверяется комплектность поставки, в которую входят:

- сопроводительная документация;

- упаковка;

- профили и прочие изделия по спецификации заказчика.

Каждый комплект ЛСТК, отгружаемый в один адрес должен сопровождаться документом о качестве, составленным по ГОСТ 23118.

4.23.3. В комплект должны входить также соединительные элементы, стеновые и кровельные сэндвич-панели, профлист и крепежные изделия (самонарезающие винты, болты, заклепки).

К комплекту прилагаются техническая документация (паспорт, сертификаты, монтажные схемы, инструкции по сборке), проектная документация (АР - чертежи марки "архитектурные решения", КМ, КМД, ППР).

4.23.4. Профили поставляются в виде погонажа с отверстиями под болты или с пуклевкой, полностью готовыми к сборке.

4.23.5. При погрузке, транспортировании, разгрузке, хранении, а также сборке и монтаже ЛСТК должна быть исключена возможность нанесения механических повреждений профилям, стеновым и кровельным панелям, нарушения антикоррозионного и лакокрасочного покрытий элементов комплекта.

4.23.6. Упаковка, транспортирование и разгрузка укрупненных блоков элементов ЛСТК с завода-изготовителя должны обеспечивать их доставку без дефектов.

Укрупнительная сборка и монтаж

4.23.7. Укрупнение сборочных единиц ЛСТК (колонн, ферм, каркасов стеновых панелей) выполняется на заводе-изготовителе или на месте монтажа или вблизи от него.

Все технологические процессы и операции монтажа должны быть разработаны в ППР.

4.23.8. Монтаж каркаса ЛСТК выполняется согласно ППР на сооруженном и принятом фундаменте.

4.23.9. При установке блоков в проектное положение вручную или монтажными механизмами необходимо обеспечивать вертикальность колонн, стоек и других элементов согласно таблице 4.9.

4.23.10. Контроль отклонений осей от вертикали колонн (стоек) определяют по их боковым граням с помощью ручного измерительного инструмента - линейки, угольника, лазерного уровня.

Контроль угловых и линейных погрешностей при монтаже ЛСТК следует выполнять с применением геодезических приборов и инструментов.

Сборка узлов и соединений с помощью самосверлящих и самонарезающих винтов

4.23.11. Сборку и монтаж ЛСТК с применением самосверлящих и самонарезающих винтов следует выполнять по 4.7. Качество применяемого крепежа должно соответствовать требованиям документации завода-изготовителя и быть подтверждено документом о качестве завода-изготовителя.

4.23.12. В случае отказа при установке самосверлящего и самонарезающего винта он должен быть заменен на самосверлящий и самонарезающий винт большего диаметра с пресс-шайбой с учетом обеспечения краевого расстояния.

4.23.13. Не допускается зазор между поверхностью присоединяемого элемента и самосверлящего и самонарезающего винта после его установки.

Закручивание таких винтов выполняется только после обжатия соединяемых плоскостей с помощью струбцин.

4.23.14. Винт должен устанавливаться строго перпендикулярно соединяемым плоскостям и выходить из стянутого пакета не менее чем на 2 витка резьбы.

4.23.15. При соединении элементов из листов разной толщины с помощью самосверлящих и самонарезающих винтов, их необходимо устанавливать со стороны более тонкого элемента.

4.23.16. Минимальный крутящий момент устанавливается на инструменте в зависимости от диаметра винта и принимается в интервале от 1,5 до 14 Н·м для винтов диаметром от 4,2 до 6,3 мм. Значения моментов закручивания самосверлящих и самонарезающих винтов по их конкретным диаметрам и местам установки должны быть приведены в чертежах КМ, КМД.

Сборка узлов и соединений с помощью болтов

4.23.17. Сопряжение стержневых элементов ЛСТК и сборка из них узлов, в том числе ответственных, осуществляется на оцинкованных болтах нормальной точности. Вид примененного болтового соединения, класс прочности и усилие затяжки болтов указываются в рабочей документации.

4.23.18. Сборка болтовых соединений в соответствии с чертежами КМ, КМД выполняется через соединительные листовые элементы толщиной не менее 8 мм, изготовленные заводским способом и входящие в комплект поставки.

4.23.19. Установка болтов в ЛСТК на монтаже и объем контроля качества приведена в 4.5. Требования к болтовым соединениям в ЛСТК должны содержаться в чертежах КМ, КМД.

Сборка узлов и соединений с помощью комбинированных заклепок

4.23.20. В случае применения, в проекте, комбинированных (вытяжных) заклепок для крепления и сборки ЛСТК следует выполнять 4.7 и следующие правила:

- заклепки должны быть адаптированы к своему назначению и не образовывать электрохимической пары со скрепляемыми ими листовыми и иными материалами;

- заклепки должны соответствовать требованиям соответствующих документов завода-изготовителя, их качество должно быть подтверждено документом о качестве завода-изготовителя;

- заклепка при ее установке должна быть ориентирована строго перпендикулярно к плоскости скрепляемых элементов;

- толщина пакета скрепляемых элементов должна быть не более значения толщины, рекомендованной для заклепки применяемого типа;

- толщина пакета скрепляемых элементов для заклепки применяемого типа должна быть не менее толщины рекомендуемой изготовителем;

- скрепляемый пакет при сверлении отверстия под заклепку жестко фиксируется. Зазор между элементами пакета, а также расцентровка отверстий не допускается;

- при подгонке (коррекции) отверстий отверстие меньшего диаметра должно быть расположено сверху - непосредственно под бортиком вытяжной заклепки;

- при установке заклепки в пакет листовых материалов разной толщины более тонкий лист должен прилегать к бортику вытяжной заклепки;

- для демонтажа неправильно поставленной заклепки ее бортик высверливается сверлом соответствующего диаметра и удаляется без повреждения отверстия, после чего гильза заклепки выбивается выколоткой;

- при необходимости коррекции отверстия рассверливанием, заклепка должна быть заменена на заклепку большего диаметра с учетом обеспечения краевого расстояния.

Контроль качества установки крепежа, дополнительные требования

4.23.21. В процессе сборки и монтажа ЛСТК необходимо осуществлять следующие виды контроля качества:

а) входной контроль включает:

- проверку паспорта, документа о качестве на крепежные изделия и их соответствие требованиям чертежей КМ, КМД;

- определение требований к разметке мест установки самосверлящих и самонарезающих винтов и заклепок;

- определение ответственных узлов и конструкций;

б) контроль в процессе сборки включает:

- проверку количества установленного крепежа, шт.;

- подбор вращающего момента на инструменте для правильной установки самосверлящих и самонарезающих винтов и болтов;

- визуальный контроль соединений для выявления брака при установке крепежа;

- разметку мест расположения самонарезающих винтов и заклепок в соответствии с чертежами КМ, КМД;

в) приемочный контроль включает:

- визуальный контроль соответствия конструкции чертежам КМ, КМД;

- контроль количества и качества установки крепежных элементов в каждом расчетном соединении;

- выборочный контроль затяжки болтов и завинчивания самонарезающих винтов ручным тарированным инструментом;

- контроль линейных и угловых размеров конструкций;

- оформление акта приемки ответственных узлов и конструкций.

Требования к составу проектной и технической документации

4.23.22. Работы по укрупнению сборочных единиц и монтажу каркаса ЛСТК следует выполнять в соответствии с проектной документацией марок: АР, АС (архитектурно-строительные чертежи), КМ, КМД, ППР и технической документацией: технологические карты, инструкции по сборке, альбом узлов и т.п.

4.23.23. Основные и обязательные для применения при сборке и монтаже ЛСТК - чертежи марок КМ и КМД, должны учитывать особенности конструктивной схемы и технических решений здания в зависимости от его назначения, размеров, этажности, условий эксплуатации.

4.23.24. Техническая документация должна учитывать схемы и правила сборки узлов с применением типов крепежных изделий (болты, заклепки, самосверлящие и самонарезающие винты, комбинированные методы соединений).

4.23.25. Техническая и проектная документация наряду с общими требованиями должна задавать последовательность и методику сборки, монтажа укрупненных единиц и связевых блоков, содержать указания по обеспечению собираемости и требуемой точности установки элементов и деталей, геометрической неизменяемости и устойчивости конструкции на весь период времени до полного завершения монтажных работ.

Требования к качеству сборки при приемке конструкций

4.23.26. При приемке смонтированных каркасов из элементов ЛСТК должны быть предъявлены документы, согласно 3.23, состав и объем которых может быть откорректирован с учетом конструктивных решений ЛСТК, их сборки и монтажа.

4.23.27. Предельные отклонения фактического положения смонтированных элементов ЛСТК при приемке не должны превышать значений, указанных в таблице 4.9. Места, подлежащие обязательному контролю, должны быть указаны в чертежах марок КМ, КМД.

5. Бетонные работы

5.1. Материалы для тяжелых и мелкозернистых бетонов

5.1.1. Для приготовления бетонных смесей следует применять цементы по ГОСТ 10178 и ГОСТ 31108, сульфатостойкие цементы - по ГОСТ 22266 и другие цементы по стандартам и техническим условиям в соответствии с областями их применения для конструкций конкретных видов (приложение Л). Применение пуццоланового портландцемента допускается только в случае специального указания в проекте.

5.1.2. Для бетона дорожных и аэродромных покрытий, дымовых и вентиляционных труб, железобетонных шпал, вентиляционных и башенных градирен, опор высоковольтных линий, мостовых конструкций, железобетонных напорных и безнапорных труб, стоек опор, свай для вечномерзлых грунтов должен применяться портландцемент на основе клинкера с нормированным минералогическим составом по ГОСТ 10178.

5.1.3. Заполнители для тяжелых и мелкозернистых бетонов должны удовлетворять требованиям ГОСТ 26633, а также требованиям на конкретные виды заполнителей: ГОСТ 8267, ГОСТ 8736, ГОСТ 5578, ГОСТ 26644, ГОСТ 25592, ГОСТ 25818 (приложение М), ГОСТ 32495, ГОСТ Р 55224. (в ред. Изменения N 1, утв. Приказом Минстроя РФ от 16.12.2016 N 983/пр)

5.1.4. В качестве модификаторов свойств бетонных смесей, тяжелых и мелкозернистых бетонов следует применять добавки, удовлетворяющие требованиям ГОСТ 24211, ГОСТ Р 56178 и техническим условиям на конкретный вид добавки (приложение Н). (в ред. Изменения N 1, утв. Приказом Минстроя РФ от 16.12.2016 N 983/пр, Изменения N 3, утв. Приказом Минстроя РФ от 26.12.2017 N 1719/пр, Изменения N 4, утв. Приказом Минстроя РФ от 30.12.2020 N 905/пр)

5.1.5. Вода затворения бетонной смеси и приготовления растворов химических добавок должна соответствовать требованиям ГОСТ 23732.

5.2. Бетонные смеси

5.2.1. При возведении монолитных и сборно-монолитных конструкций и сооружений бетонные смеси на строительную площадку поставляются в готовом виде или приготовляются на стройплощадке.

5.2.2. Бетонные смеси, готовые к употреблению, приготавливают, транспортируют и хранят в соответствии с требованиями ГОСТ 7473.

Приготовление бетонной смеси на строительной площадке должно осуществляться на стационарных или передвижных бетоносмесительных установках в соответствии с требованиями ГОСТ 7473 по специально разработанному технологическому регламенту.

5.2.3. Подбор состава бетонной смеси производят с целью получения в конструкциях бетонов с заданными показателями качества (бетонные смеси заданного качества) либо иметь заданный состав (бетонные смеси заданного состава).

За основу при подборе состава бетона следует принимать определяющий для данного вида бетона и назначения конструкции показатель бетона. При этом должны быть обеспечены и другие установленные проектом показатели качества бетона.

Состав бетонной смеси заданного качества подбирают по ГОСТ 27006 с учетом требований, предъявляемых к классам эксплуатации бетонов по ГОСТ 31384.

Свойства подобранной бетонной смеси должны соответствовать технологии производства бетонных работ, включающей сроки и условия твердения бетона, способы, режимы приготовления и транспортирования бетонной смеси и другие особенности процесса (ГОСТ 7473, ГОСТ 10181).

5.2.4. Бетонные смеси должны соответствовать показателям качества по удобоукладываемости, расслаиваемости, пористости, температуре, сохраняемости свойств во времени, объему вовлеченного воздуха, коэффициенту уплотнения.

5.2.5. Транспортирование и подачу бетонных смесей следует осуществлять специализированными средствами, обеспечивающими сохранение заданных свойств бетонной смеси.

Восстановление подвижности бетонной смеси на месте укладки допускается только с помощью добавок пластификаторов в оговоренных в технологических регламентах случаях под контролем строительных лабораторий.

5.2.6. Требования к составу, приготовлению и транспортированию бетонных смесей приведены в таблице 5.1.

Таблица 5.1

Параметр Величина параметра Контроль (метод, объем, вид регистрации)
1. Число фракций крупного заполнителя при крупности зерен, мм:   Измерительный, по ГОСТ 8269.0
до 40 Не менее двух
свыше 40 Не менее трех
2. Наибольшая крупность заполнителя для:   Измерительный, по ГОСТ 8269.0
железобетонных конструкций Не более 2/3 наименьшего расстояния между стержнями арматуры
тонкостенных конструкций Не более 1/2 толщины конструкции
при перекачивании бетононасосом Не более 1/3 внутреннего диаметра трубопровода
в том числе зерен наибольшего размера лещадной и игловатой форм Не более 35% массы
при перекачивании по бетоноводам содержание песка крупностью менее, мм: Измерительный, по ГОСТ 8735
0,14 5 - 7%
0,3 15 - 20%

5.3. Подготовка основания и укладка бетонной смеси

5.3.1. Для обеспечения прочного и плотного сцепления бетонного основания со свежеуложенным бетоном требуется:

удалить поверхностную цементную пленку со всей площади бетонирования;

срубить наплывы бетона и участки нарушенной структуры;

удалить опалубку штраб, пробки и другие ненужные закладные части;

очистить поверхность бетона от мусора и пыли, а перед началом бетонирования поверхность старого бетона продуть струей сжатого воздуха.

5.3.2. Прочность бетонного основания при очистке от цементной пленки должна составлять не менее:

0,3 МПа - при очистке водной или воздушной струей;

1,5 МПа - при очистке механической металлической щеткой;

5,0 МПа - при очистке гидропескоструйной или механической фрезой.

Примечание - Прочность бетона основания определяется по ГОСТ 22690.

5.3.3. В зимнее время при укладке бетонных смесей без противоморозных добавок необходимо обеспечить температуру основания не менее 5 °C. При температуре воздуха ниже минус 10 °C бетонирование густоармированных конструкций (при расходе арматуры более 70 кг/м3 или расстоянии между параллельными стержнями в свету менее 6dmax) с арматурой диаметром более 24 мм, арматурой из жестких прокатных профилей по ГОСТ 27772 или с крупными металлическими закладными частями следует выполнять с предварительным отогревом металла до положительной температуры, за исключением случаев укладки предварительно разогретых бетонных смесей (при температуре смеси выше 45 °C).

5.3.4. Все конструкции и их элементы, закрываемые в процессе последующего производства работ (подготовленные основания конструкций, арматура, закладные изделия и др.), а также правильность установки и закрепления опалубки и поддерживающих ее элементов должны быть приняты производителем работ в соответствии с СП 48.13330.

5.3.5. В железобетонных и армированных конструкциях отдельных сооружений состояние ранее установленной арматуры должно быть перед бетонированием проверено на соответствие рабочим чертежам. При этом следует обращать внимание во всех случаях на выпуски арматуры, закладные части и элементы уплотнения, которые должны быть очищены от ржавчины и следов бетона.

5.3.6. Укладку и уплотнение бетона следует выполнять по ППР таким образом, чтобы обеспечить заданную плотность и однородность бетона, отвечающих требованиям качества бетона, предусмотренных для рассматриваемой конструкции настоящим сводом правил, ГОСТ 18105, ГОСТ 26633 и проектом.

Порядок бетонирования следует устанавливать, предусматривая расположение швов бетонирования с учетом технологии возведения здания и сооружения и его конструктивных особенностей. При этом должна быть обеспечена необходимая прочность контакта поверхностей бетона в шве бетонирования, а также прочность конструкции с учетом наличия швов бетонирования.

При бетонировании массивных конструкций самоуплотняющимися бетонными смесями возможен вариант укладки одновременно по всей площадке конструкции с взаимно перекрывающимися зонами растекания смеси.

5.3.7. Бетонную смесь укладывают бетононасосами или пневмонагнетателями при интенсивности бетонирования не менее 6 м3/ч, а также в стесненных условиях и в местах, недоступных для других средств механизации.

5.3.8. Перед началом уплотнения каждого укладываемого слоя бетонную смесь следует равномерно распределить по всей площади бетонируемой конструкции. Высота отдельных выступов над общим уровнем поверхности бетонной смеси перед уплотнением не должна превышать 10 см. Запрещается использовать вибраторы для перераспределения и разравнивания укладываемого слоя бетонной смеси. Уплотнять бетонную смесь в уложенном слое следует только после окончания распределения и разравнивания ее на бетонируемой площади.

5.3.9. Укладка следующего слоя бетонной смеси допускается до начала схватывания бетона предыдущего слоя. Продолжительность перерыва между укладкой смежных слоев бетонной смеси без образования рабочего шва устанавливается строительной лабораторией. Верхний уровень уложенной бетонной смеси должен быть на 50 - 70 мм ниже верха щитов опалубки.

5.3.10. При уплотнении бетонной смеси не допускается опирание вибраторов на арматуру и закладные изделия, тяжи и другие элементы крепления опалубки. Глубина погружения глубинного вибратора в бетонную смесь должна обеспечивать углубление его в ранее уложенный слой на 5 - 10 см. Шаг перестановки глубинных вибраторов не должен превышать полуторного радиуса их действия, поверхностных вибраторов - должен обеспечивать перекрытие на 100 мм площадкой вибратора границы уже провибрированного участка.

Бетонную смесь в каждом уложенном слое или на каждой позиции перестановки наконечника вибратора уплотняют до прекращения оседания и появления на поверхности и в местах соприкосновения с опалубкой блеска цементного теста и прекращения выхода пузырьков воздуха.

5.3.11. Виброрейки, вибробрусья или площадочные вибраторы могут быть использованы для уплотнения только бетонных конструкций; толщина каждого укладываемого и уплотняемого слоя бетонной смеси не должна превышать 25 см.

При бетонировании железобетонных конструкций поверхностное вибрирование может быть применено для уплотнения верхнего слоя бетона и отделки поверхности.

5.3.12. Поверхность рабочих швов, устраиваемых при укладке бетонной смеси с перерывами, должна быть перпендикулярна оси бетонируемых колонн и балок, поверхности плит и стен. Возобновление бетонирования допускается производить по достижении бетоном прочности не менее 1,5 МПа. Рабочие швы по согласованию с проектной организацией допускается устраивать при бетонировании:

колонн и пилонов - на отметке верха фундамента, низа порогов, балок и подкрановых консолей, верха подкрановых балок, низа капителей колонн;

балок больших размеров, монолитно соединенных с плитами, - на 20 - 30 мм ниже отметки нижней поверхности плиты, а при наличии в плите капителей - на отметке низа капителей плиты;

плоских плит - в любом месте параллельно меньшей стороне плиты;

ребристых покрытий - в направлении, параллельном второстепенным балкам;

отдельных балок - в пределах средней трети пролета балок в направлении, параллельном главным балкам (прогонам) в пределах двух средних четвертей пролета прогонов и плит; (в ред. Изменения N 1, утв. Приказом Минстроя РФ от 16.12.2016 N 983/пр)

массивов, арок, сводов, резервуаров, бункеров, гидротехнических сооружений, мостов и других сложных инженерных сооружений и конструкций - в местах, указанных в проекте.

5.3.13. Требования к укладке и уплотнению бетонных смесей приведены в таблице 5.2.

Таблица 5.2

Параметр Предельные отклонения Контроль (метод, объем, вид регистрации)
1. Прочность поверхностей бетонных оснований при очистке от цементной пленки: Не менее, МПа: Измерительный, по ГОСТ 17624, ГОСТ 22690, журнал бетонных работ
водной и воздушной струей 0,3
механической щеткой 1,5
гидропескоструйной или механической фрезой 5,0
 
2. Высота свободного сбрасывания бетонной смеси в опалубку конструкций в случаях, когда это не оговорено в технических регламентах ППР, может быть принята следующей: Не более, м: Измерительный, 2 раза в смену, журнал бетонных работ
колонн 3,5
перекрытий 1,0
стен 4,5
неармированных конструкций 6,0
слабоармированных подземных конструкций в сухих и связных грунтах 4,5
густоармированных 3,0
3. Толщина укладываемых слоев бетонной смеси:   То же
при уплотнении смеси тяжелыми подвесными вертикально расположенными вибраторами На 5 - 10 см меньше длины рабочей части вибратора
при уплотнении смеси подвесными вибраторами, расположенными под углом к вертикали (до 30°) Не более вертикальной проекции длины рабочей части вибратора
при уплотнении смеси ручными глубинными вибраторами Не более 1,25 длины рабочей части вибратора
при уплотнении смеси поверхностными вибраторами в конструкциях: Не более, см:
неармированных 25
с одиночной арматурой 15
с двойной арматурой 12
с композитной полимерной арматурой 12
(в ред. Изменения N 4, утв. Приказом Минстроя РФ от 30.12.2020 N 905/пр)

5.3.14. В процессе укладки бетонной смеси необходимо постоянно следить за состоянием форм, опалубки и поддерживающих подмостей.

При обнаружении деформаций или смещений отдельных элементов опалубки, подмостей или креплений следует приостановить работы на этом участке и принять немедленные меры к их устранению.

5.3.15. При укладке бетонной смеси при пониженных положительных и отрицательных или повышенных положительных температурах должны быть предусмотрены специальные мероприятия, обеспечивающие требуемое качество бетона.

5.4. Выдерживание и уход за бетоном

5.4.1. Открытые поверхности свежеуложенного бетона немедленно после окончания бетонирования (в том числе и при перерывах в укладке) следует надежно предохранять от испарения воды. Свежеуложенный бетон должен быть также защищен от попадания атмосферных осадков. Защита открытых поверхностей бетона должна быть обеспечена в течение срока, обеспечивающего приобретение бетоном прочности не менее 70%, в последующем поддерживать температурно-влажностный режим с созданием условий, обеспечивающих нарастание его прочности.

5.4.2. В бетоне в процессе твердения следует поддерживать расчетный температурно-влажностный режим. При необходимости для создания условий, обеспечивающих нарастание прочности бетона и снижение усадочных деформаций, следует применять специальные защитные мероприятия.

Мероприятия по уходу за бетоном (порядок, сроки и контроль), порядок и сроки распалубки конструкций должны устанавливаться в разрабатываемых для конкретного здания и сооружения технологических регламентах и ППР.

В технологическом процессе прогрева бетона в монолитных конструкциях должны быть приняты меры по снижению температурных перепадов и взаимных перемещений между опалубочной формой и бетоном.

В массивных монолитных конструкциях следует предусматривать мероприятия по уменьшению влияния температурно-влажностных полей напряжений, связанных с экзотермией при твердении бетона, на работу конструкций.

5.4.3. Движение людей по забетонированным конструкциям и установка опалубки вышележащих конструкций допускаются после достижения бетоном прочности не менее 2,5 МПа.

5.5. Контроль качества бетона в конструкциях

5.5.1. Для обеспечения требований, предъявляемых к бетонным, бетонным с композитной полимерной арматурой и железобетонным конструкциям, следует производить контроль качества бетона, включающий в себя входной, операционный и приемочный. (в ред. Изменения N 4, утв. Приказом Минстроя РФ от 30.12.2020 N 905/пр)

5.5.2. При входном контроле по документам о качестве бетонных смесей устанавливают их соответствие условиям договора, а также в соответствии с требованиями ППР и Технологического регламента проводят испытания по определению нормируемых технологических показателей качества бетонных смесей.

5.5.3. При операционном контроле устанавливают соответствие фактических способов и режимов бетонирования конструкций и условий твердения бетона предусмотренным в ППР и Технологическом регламенте.

5.5.4. При приемочном контроле устанавливают соответствие фактических показателей качества бетона конструкций всем нормируемым проектным показателям качества бетона.

5.5.5. Контроль прочности бетона монолитных конструкций в промежуточном и проектном возрасте следует проводить статистическими методами по ГОСТ 18105, ГОСТ 31914 применяя неразрушающие методы определения прочности бетона по ГОСТ 17624 и ГОСТ 22690 или разрушающий метод по ГОСТ 28570 при сплошном контроле прочности (каждой конструкции). (в ред. Изменения N 1, утв. Приказом Минстроя РФ от 16.12.2016 N 983/пр)

Примечание - Применение нестатистических методов контроля, а также методов определения прочности бетона по контрольным образцам, изготовленным у места бетонирования конструкций, допускается только в исключительных случаях, предусмотренных в ГОСТ 18105, ГОСТ 31914. (в ред. Изменения N 1, утв. Приказом Минстроя РФ от 16.12.2016 N 983/пр)

5.5.6. Контроль морозостойкости бетона конструкций проводят по результатам определения морозостойкости бетона, которые должен представить поставщик бетонной смеси.

При необходимости контроля морозостойкости бетона в конструкциях определение морозостойкости бетона проводят по ГОСТ 10060, используя контрольные образцы, отобранные из конструкций, по ГОСТ 28570.

5.5.7. Контроль водонепроницаемости бетона конструкций проводят по результатам определения водонепроницаемости бетона, которые должен представить поставщик бетонной смеси.

При необходимости контроль водонепроницаемости бетона конструкций, определение водонепроницаемости бетона проводят по ГОСТ 12730.5 - ускоренным методом по воздухопроницаемости бетона.

5.5.8. Контроль истираемости бетона конструкций проводят по ГОСТ 13087, используя контрольные образцы, отобранные из конструкций, по ГОСТ 28570.

5.5.9. Контроль других нормируемых показателей качества бетона проводят по действующим стандартам на методы испытаний этих показателей качества.

5.5.10. Контроль свободного расширения и самонапряжения напрягающего бетона производится по ГОСТ 32803 и ГОСТ Р 56593. (в ред. Изменения N 3, утв. Приказом Минстроя РФ от 26.12.2017 N 1719/пр)

5.6. Бетоны на пористых заполнителях

5.6.1. Бетоны легкие должны удовлетворять требованиям ГОСТ 25820.

5.6.2. Материалы для легких бетонов следует выбирать в соответствии с рекомендациями приложений Л, М и Н.

5.6.3. Подбор состава легкого бетона следует производить по ГОСТ 27006.

5.6.4. Легкобетонные смеси должны отвечать требованиям ГОСТ 7473.

5.6.5. Основные показатели качества пористых заполнителей, легкобетонной смеси и легкого бетона должны контролироваться в соответствии с таблицей 5.3.

Таблица 5.3

Параметр Предельные отклонения Контроль (метод, объем, вид регистрации)
1. Насыпная плотность пористых заполнителей, кг/м По стандартам на пористые заполнители Измерительный, по ГОСТ 9758, журнал бетонных работ
2. Средняя плотность легкого бетона (марка по плотности) По ГОСТ 25820 и проекту Измерительный, по ГОСТ 27005, журнал бетонных работ
3. Удобоукладываемость, пористость и сохраняемость свойств легкобетонной смеси во времени По ГОСТ 7473 и ППР Измерительный, по ГОСТ 10181, журнал бетонных работ
4. Нормируемая прочность (распалубочная, в промежуточном и проектном возрасте) По проекту и ППР Измерительный, по ГОСТ 10180, ГОСТ 17624, ГОСТ 18105, ГОСТ 22690, ГОСТ 28570, журнал бетонных работ
5. Морозостойкость (марка по морозостойкости) То же Измерительный, по ГОСТ 10060, акт испытаний
6. Водонепроницаемость (марка по водонепроницаемости) " Измерительный, по ГОСТ 12730.5, акт испытаний
7. Теплопроводность " Измерительный, по ГОСТ 7076 и другим стандартам, акт испытаний

5.7. Кислотостойкие и щелочестойкие бетоны

5.7.1. Кислотостойкие и щелочестойкие бетоны должны соответствовать требованиям ГОСТ 25246. Составы кислотостойких бетонов и требования к материалам приведены в таблице 5.4.

Таблица 5.4

Материал Количество Требования к материалам
1. Вяжущее - жидкое стекло: Не менее 280 кг/м3  
натриевое (9 - 11% массы) Плотность раствора, кг/м3, 1,38 - 1,42; кремнеземистый модуль 2,5 - 2,8
калиевое   Плотность раствора, кг/м3, 1,26 - 1,36; кремнеземистый модуль 2,5 - 3,5
2. Инициатор твердения - кремнефтористый натрий: От 25 до 40 кг/м3 (1,3 - 2% массы) Содержание чистого вещества не менее 93%, влажность не более 2%, тонкость помола, соответствующая остатку на сите 008, не более 5%
в том числе для бетона:  
кислотостойкого (КБ) 8 - 10% массы натриевого жидкого стекла
кислотоводостойкого (КВБ) 18 - 20% массы натриевого жидкого стекла или 15% массы калиевого жидкого стекла
3. Тонкомолотые наполнители - андезитовая, диабазовая или базальтовая мука В 1,3 - 1,5 раза больше расхода жидкого стекла (12 - 16%) Кислотостойкость не ниже 96%, тонкость помола, соответствующая остатку на сите 0315, не более 10%, влажность не более 2%
4. Мелкий заполнитель - кварцевый песок В 2 раза больше расхода жидкого стекла (24 - 26%) Кислотостойкость не ниже 96%, влажность не более 1%. Прочность пород, из которых получается песок и щебень, должна быть не ниже 60 МПа. Запрещается применение заполнителей из карбонатных пород (известняков, доломитов), заполнители не должны содержать металлических включений
5. Крупный заполнитель - щебень из андезита, бештаунита, кварца, кварцита, фельзита, гранита, кислотостойкой керамики В 4 раза больше расхода жидкого стекла (48 - 50%) То же

5.7.2. Приготовление бетонных смесей на жидком стекле следует осуществлять в следующем порядке. Предварительно в закрытом смесителе в сухом виде перемешивают просеянные через сито N 03 инициатор твердения, наполнитель и другие порошкообразные компоненты. Жидкое стекло перемешивают с модифицирующими добавками. Вначале в смеситель загружают щебень всех фракций и песок, затем - смесь порошкообразных материалов и перемешивают в течение 1 мин, затем добавляют жидкое стекло и перемешивают 1 - 2 мин. В гравитационных смесителях время перемешивания сухих материалов увеличивают до 2 мин, а после загрузки всех компонентов - до 3 мин. Добавление в готовую смесь жидкого стекла или воды не допускается. Жизнеспособность бетонной смеси - не более 50 мин при 20 °C, с повышением температуры она уменьшается. Требования к подвижности бетонных смесей приведены в таблице 5.5.

Таблица 5.5

Параметр Величина параметра Контроль (метод, объем, вид регистрации)
Марка по удобоукладываемости бетонных смесей в зависимости от области применения кислотостойкого бетона для:   Измерительный, по ГОСТ 10181, журнал бетонных работ
полов, неармированных конструкций, футеровки емкостей, аппаратов Ж2, Ж3
конструкции с редким армированием толщиной свыше 10 мм Ж1, П1
густоармированных тонкостенных конструкций П1, П2

5.7.3. Транспортирование, укладку и уплотнение бетонной смеси следует производить при температуре воздуха не ниже 10 °C в сроки, не превышающие ее жизнеспособности. Укладку надлежит вести непрерывно. При устройстве рабочего шва поверхность затвердевшего кислотоупорного бетона насекается, обеспыливается и грунтуется жидким стеклом.

5.7.4. Влажность поверхности бетона или кирпича, защищаемых кислотоупорным бетоном, должна быть не более 5% массы, на глубине до 10 мм.

5.7.5. Поверхность железобетонных конструкций из бетона на портландцементе перед укладкой на них кислотостойкого бетона должна быть подготовлена в соответствии с указаниями проекта или обработана горячим раствором кремнефтористого магния (3 - 5%-ный раствор с температурой 60 °C), или щавелевой кислоты (5 - 10%-ный раствор), или прогрунтована полиизоцианатом, или 50%-ным раствором полиизоцианата в ацетоне.

5.7.6. Бетонную смесь на жидком стекле следует уплотнять вибрированием каждого слоя толщиной не более 200 мм в течение 1 - 2 мин.

5.7.7. Твердение бетона в течение 28 сут должно происходить при температуре не ниже 15 °C. Допускается просушивание с помощью воздушных калориферов при температуре 60 - 80 °C в течение суток. Скорость подъема температуры - не более 20 - 30 °C/ч.

5.7.8. Кислотонепроницаемость кислотостойкого бетона обеспечивается введением в состав бетона полимерных добавок: фурилового спирта, фурфурола, фуритола, ацетоноформальдегидной смолы АЦФ-3М, тетрафурфурилового эфира ортокремневой кислоты ТФС, компаунда из фурилового спирта с фенолформальдегидной смолой ФРВ-1 или ФРВ-4 в количестве 3 - 5% массы жидкого стекла.

5.7.9. Водостойкость кислотостойкого бетона обеспечивается введением в состав бетона тонкомолотых добавок, содержащих активный кремнезем (диатомит, трепел, аэросил, кремень, халцедон и др.), 5 - 10% массы жидкого стекла или полимерных добавок до 10 - 12% массы жидкого стекла: полиизоцианата, карбамидной смолы КФЖ или КФМТ, кремнийорганической гидрофобизирующей жидкости ГКЖ-10 или ГКЖ-11, эмульсии парафина.

5.7.10. Защитные свойства кислотостойкого бетона по отношению к стальной арматуре обеспечиваются введением в состав бетона ингибиторов коррозии, 0,1 - 0,3% массы жидкого стекла: окись свинца, комплексная добавка катапина и сульфонола, фенилантранилата натрия.

5.7.11. Распалубка конструкций и последующая обработка бетона допускаются при достижении бетоном 70% проектной прочности.

5.7.12. Повышение химической стойкости конструкций из кислотостойкого бетона обеспечивается двукратной обработкой поверхности раствором серной кислоты 25 - 40%-ной концентрации.

5.7.13. Цементы для щелочестойких бетонов, контактирующих с растворами щелочей при температуре до 50 °C, должны удовлетворять требованиям ГОСТ 10178. Не допускается применение цементов с активными минеральными добавками, за исключением гранулированного шлака. Содержание гранулированного шлака должно быть не более 20%. Содержание минерала C3A в портландцементе не должно превышать 8%. Применение глиноземистого вяжущего запрещено.

5.7.14. Мелкий заполнитель (песок) для щелочестойкого бетона, эксплуатируемого при температуре до 30 °C, следует применять в соответствии с требованиями ГОСТ 8267, выше 30 °C - следует применять дробленый песок из щелочестойких пород - известняка, доломита, магнезита и т.п.

5.7.15. Крупный заполнитель (щебень) для щелочестойких бетонов, эксплуатируемых при температуре до 30 °C, следует применять из плотных изверженных пород - гранита, диабаза, базальта и др. Щебень для щелочестойких бетонов, эксплуатируемых при температуре выше 30 °C, следует применять из плотных карбонатных осадочных или метаморфических пород - известняка, доломита, магнезита и т.п. Водонасыщение щебня должно быть не более 5% массы.

5.8. Бетоны напрягающие

5.8.1. Напрягающие бетоны предназначены для компенсации усадочных деформаций, создания предварительного напряжения (самонапряжения) в конструкциях и сооружениях; повышения трещиностойкости, водонепроницаемости до W20 (с полной отменой гидроизоляции) и долговечности конструкций.

5.8.2. Напрягающие бетоны должны соответствовать требованиям ГОСТ 32803. (в ред. Изменения N 1, утв. Приказом Минстроя РФ от 16.12.2016 N 983/пр)

5.8.3. В качестве вяжущих для напрягающих бетонов применяют напрягающие цементы по ГОСТ Р 56727, либо портландцементы, соответствующие ГОСТ 10178, ГОСТ 30515 и ГОСТ 31108, с содержанием C3A в клинкере не более 8% в сочетании с добавками по ГОСТ 24211, а также с расширяющей добавкой по ГОСТ Р 56592 или с органо-минеральной по ГОСТ Р 56178, регулирующими процесс расширения при условии их оценки по критерию обеспечения требуемой марки по самонапряжению. (в ред. Изменения N 1, утв. Приказом Минстроя РФ от 16.12.2016 N 983/пр, Изменения N 3, утв. Приказом Минстроя РФ от 26.12.2017 N 1719/пр)

5.8.4. Материалы для напрягающих бетонов следует выбирать в соответствии с приложениями Л, М и Н.

При отрицательной температуре наружного воздуха ниже (-5 °C) количество противоморозных добавок в напрягающих бетонах сокращается на 10 - 15%, а до температуры (-5 °C) их применение отменяется.

5.8.5. Подбор состава напрягающего бетона следует производить по ГОСТ 27006 с учетом требований по ГОСТ 32803. (в ред. Изменения N 1, утв. Приказом Минстроя РФ от 16.12.2016 N 983/пр, Изменения N 3, утв. Приказом Минстроя РФ от 26.12.2017 N 1719/пр)

При производстве декоративного напрягающего бетона допускается применение пигментов по ГОСТ Р 56585. (в ред. Изменения N 3, утв. Приказом Минстроя РФ от 26.12.2017 N 1719/пр)

5.8.6. Изготовление конструкций и изделий с нормируемой величиной самонапряжения следует производить с обязательным влажным или водным (в воде, дождеванием, под мокрыми матами и т.д.) твердением при нормальной температуре или с прогреванием до набора прочности 7 МПа. (в ред. Изменения N 3, утв. Приказом Минстроя РФ от 26.12.2017 N 1719/пр)

Требования к производству работ при отрицательных температурах следует применять в соответствии с приложением П.

5.8.7. Основные показатели качества бетонной смеси и напрягающего бетона должны контролироваться в соответствии с таблицей 5.6.

Таблица 5.6

Контролируемые параметры Величина параметра Контроль (метод, объем, вид регистрации)
1. Марка по подвижности бетонной смеси при ее укладке:   По ГОСТ 10181 посменно, журнал бетонных работ
бетононасосом П4
"бадьей" П3
2. Величина самонапряжения бетона:
с компенсированной усадкой;
напрягающего
По проекту Посменно, заключение лаборатории, ГОСТ 32803
(в ред. Изменения N 1, утв. Приказом Минстроя РФ от 16.12.2016 N 983/пр)
3. Прочность бетона на растяжение при изгибе:
с компенсированной усадкой;
напрягающего
То же ГОСТ 10180, ГОСТ 32803
(в ред. Изменения N 1, утв. Приказом Минстроя РФ от 16.12.2016 N 983/пр)

Прочность, морозостойкость, водонепроницаемость, деформативность, а также другие показатели, установленные проектом, следует определять согласно требованиям действующих нормативных документов.

5.8.8. Твердение напрягающего бетона монолитных конструкций до начала увлажнения производится с укрытием поверхности пленочными или рулонными материалами для ограничения испарения влаги и исключения попадания атмосферных осадков.

5.8.9. При применении напрягающего бетона в конструкциях и сооружениях, предназначенных для работы в условиях агрессивной среды, должны учитываться дополнительные требования по защите строительных конструкций от коррозии бетона (СП 28.13330).

5.8.10. Конструкции и сооружения, к которым предъявляются требования по водонепроницаемости (W12 и более), выполняются из напрягающего бетона при отсутствии воздействия агрессивной среды и деформаций в результате просадки. Железобетонные конструкции, соприкасающиеся с грунтом и возведенные из напрягающих бетонов, могут быть выполнены без устройства дополнительной гидроизоляции при согласовании с проектной организацией. (в ред. Изменения N 3, утв. Приказом Минстроя РФ от 26.12.2017 N 1719/пр)

5.8.11. Железобетонные конструкции большой протяженности (более 50 м) с применением напрягающего бетона выполняются бесшовными, для чего бетонирование производится картами (захватками) и вставками, рассчитанными в соответствии с разработанной методикой (приложение Ц).

Протяженные железобетонные конструкции при согласовании с проектной организацией могут выполняться полностью из напрягающего бетона (захватки и вставки) с полной отменой гидроизоляции и комбинированными (захватки из обычного бетона и вставки из напрягающего).

Бесшовность конструкций обеспечивается благодаря самонапряжению бетона вставок, повышенным сцеплением бетона, что гарантирует монолитность всей железобетонной конструкции. (в ред. Изменения N 3, утв. Приказом Минстроя РФ от 26.12.2017 N 1719/пр)

5.9. Жаростойкие бетоны

5.9.1. Жаростойкие бетоны должны удовлетворять требованиям ГОСТ 20910.

5.9.2. Бетонные смеси плотной структуры приготовляют по ГОСТ 7473, а ячеистой структуры - по ГОСТ 25485.

5.9.3. Выбор материалов для приготовления бетонных смесей следует производить в зависимости от классов по предельно допустимой температуре применения согласно ГОСТ 20910.

5.9.4. Приемку жаростойкого бетона в конструкциях по прочности в проектном возрасте и прочности в промежуточном возрасте производят по ГОСТ 18105, а по средней плотности - по ГОСТ 27005.

5.9.5. При необходимости оценку жаростойкого бетона по предельно допустимой температуре применения, термостойкости, остаточной прочности, водонепроницаемости, морозостойкости, усадке и другим показателям качества, установленными проектом, проводят в соответствии с требованиями стандартов и технических условий на жаростойкий бетон конструкций конкретного вида.

5.10. Бетоны особо тяжелые и для радиационной защиты

5.10.1. Производство работ с применением особо тяжелых бетонов и бетонов для радиационной защиты надлежит осуществлять по обычной технологии. В случаях, когда обычные способы бетонирования неприменимы из-за расслоения смеси, сложной конфигурации сооружения, насыщенности арматурой, закладными деталями и коммуникационными проходками, следует применять метод раздельного бетонирования (способ восходящего раствора или способ втапливания крупного заполнителя в раствор). Выбор метода бетонирования должен определяться ППР.

5.10.2. Материалы, применяемые для бетонов радиационной защиты, должны соответствовать требованиям проекта.

Содержание в бетоне материалов, имеющих высокую степень поглощения радиационного излучения (бор, водород, кадмий, литий и др.), должно соответствовать проекту. Не допускается применение в бетонах добавок солей (хлорида кальция, поваренной соли), вызывающих коррозию арматуры при облучении гамма-квантами и нейтронами.

5.10.3. Требования к гранулометрическому составу, физико-механическим характеристикам должны соответствовать требованиям ГОСТ 26633. Металлические заполнители перед употреблением должны быть обезжирены. На металлических заполнителях допускается наличие неотслаивающейся ржавчины.

5.10.4. В документах о качестве на материалы, применяемые для изготовления бетонов радиационной защиты, должны указываться данные полного химического анализа этих материалов.

5.10.5. Производство работ с применением бетонов на металлических заполнителях допускается только при положительных температурах окружающего воздуха.

5.10.6. При укладке бетонных смесей запрещается применение ленточных и вибрационных транспортеров, вибробункеров, виброхоботов, сбрасывание особо тяжелой бетонной смеси допускается с высоты не более 1 м.

5.11. Производство бетонных работ при отрицательных температурах

5.11.1. При среднесуточной температуре наружного воздуха ниже 5 °C и минимальной суточной температуре ниже 0 °C необходимо принимать специальные меры по выдерживанию уложенного бетона в конструкциях и сооружениях.

5.11.2. Приготовление бетонной смеси на строительной площадке следует производить в обогреваемых бетоносмесительных установках, применяя подогретую воду, оттаянные или подогретые заполнители, обеспечивающие получение бетонной смеси с температурой не ниже требуемой по расчету. Допускается применение неотогретых сухих заполнителей, не содержащих наледи на зернах и смерзшихся комьев. При этом продолжительность перемешивания бетонной смеси рекомендуется увеличить не менее чем на 25% по сравнению с летними условиями.

5.11.3. Способы и средства транспортирования должны обеспечивать предотвращение снижения температуры бетонной смеси ниже требуемой по расчету при ее укладке в конструкцию.

5.11.4. Состояние основания, на которое укладывается бетонная смесь, а также температура основания и способ укладки должны исключать возможность замерзания бетонной смеси в зоне контакта с основанием. При выдерживании бетона в конструкции методом термоса, при предварительном разогреве бетонной смеси, а также при применении бетона с противоморозными добавками допускается укладывать смесь на неотогретое непучинистое основание или старый бетон, если по расчету в зоне контакта на протяжении расчетного периода выдерживания бетона не произойдет его замерзания. При температуре воздуха ниже минус 10 °C бетонирование густоармированных конструкций с арматурой диаметром больше 24 мм, арматурой из жестких прокатных профилей или с крупными металлическими закладными частями следует выполнять с предварительным отогревом металла до положительной температуры или местным вибрированием смеси в приарматурной и опалубочной зонах, за исключением случаев укладки предварительно разогретых бетонных смесей (при температуре смеси выше 45 °C).

5.11.5. При бетонировании элементов каркасных и рамных конструкций в сооружениях с жестким сопряжением узлов (опор) необходимость устройства разрывов в пролетах в зависимости от температуры тепловой обработки, с учетом возникающих температурных напряжений, должна быть указана в ППР. Неопалубленные поверхности забетонированных конструкций следует укрывать паро- и теплоизоляционными материалами непосредственно по окончании бетонирования.

Выпуски арматуры забетонированных конструкций должны быть укрыты или утеплены на высоту (длину) не менее чем 0,5 м.

5.11.6. До укладки бетонной смеси полости после установки арматуры и опалубки должны быть закрыты брезентом или каким-либо другим материалом от попадания в них снега, дождя и посторонних предметов. В случае если полости не закрыли и на арматуре и опалубке образовалась наледь, ее следует удалить перед укладкой бетонной смеси продувкой горячим воздухом. Не допускается для этой цели применять пар.

5.11.7. Температурно-влажностное выдерживание бетона в зимних условиях производят (приложение П):

способом термоса;

с применением противоморозных добавок;

с электротермообработкой бетона;

с обогревом бетона горячим воздухом, в тепляках.

Выдерживание бетона осуществляют по специально разработанным технологическим картам в ППР, в которых должны быть приведены:

способ и температурно-влажностный режим выдерживания бетона;

данные о материале опалубки с учетом требуемых теплоизоляционных показателей;

данные о пароизоляционном и теплоизоляционном укрытии открытых поверхностей;

схема размещения точек, в которых следует измерять температуру бетона, и наименование приборов для их измерения;

нормированные величины прочности бетона;

сроки и порядок распалубки и загружения конструкций.

В случае применения электротермообработки бетона в технологических картах дополнительно указывают:

схемы размещения и подключения электродов или электронагревателей;

требуемую электрическую мощность, напряжение, силу тока;

тип понижающего трансформатора, сечения и длину проводов.

Выбор способа производства бетонных и железобетонных работ в зимних условиях следует производить с учетом рекомендаций, приведенных в приложении П.

5.11.8. Способ термоса следует применять при обеспечении начальной температуры уложенного бетона в интервале от 5 до 10 °C и последующем сохранении средней температуры бетона в этом интервале в течение 5 - 7 сут.

5.11.9. Контактный обогрев уложенного бетона в термоактивной опалубке следует применять при бетонировании конструкций с модулем поверхности 6 и более.

После уплотнения открытые поверхности бетона и прилегающие участки щитов термоактивной опалубки должны быть защищены от потерь бетоном влаги и тепла.

5.11.10. При электродном прогреве бетона запрещается использовать в качестве электродов арматуру бетонируемой конструкции.

Электродный прогрев следует производить до приобретения бетоном не более 50% расчетной прочности. Если требуемая прочность бетона превышает эту величину, то дальнейшее выдерживание бетона следует обеспечивать методом термоса.

Для защиты бетона от высушивания при электродном прогреве и повышения однородности температурного поля в бетоне при минимальном расходе электроэнергии должна быть обеспечена надежная тепловлагоизоляция поверхности бетона.

Электродный прогрев конструкций из напрягающего бетона не допускается. (в ред. Изменения N 3, утв. Приказом Минстроя РФ от 26.12.2017 N 1719/пр)

5.11.11. Применение бетона с противоморозными добавками запрещается в конструкциях: железобетонных предварительно напряженных; железобетонных, расположенных в зоне действия блуждающих токов или находящихся ближе 100 м от источников постоянного тока высокого напряжения; железобетонных, предназначенных для эксплуатации в агрессивной среде; в частях конструкций, находящихся в зоне переменного уровня воды.

Применение бетона с противоморозными добавками разрешается в конструкциях с композитной полимерной арматурой, в том числе предварительно напряженной. Применение бетона армированного композитной полимерной арматурой не ограничивает применение противоморозных добавок в зависимости от среды эксплуатации. (в ред. Изменения N 4, утв. Приказом Минстроя РФ от 30.12.2020 N 905/пр)

5.11.12. Вид и количество противоморозной добавки назначают в зависимости от температуры окружающей среды. Для конструкций средней массивности (с модулем поверхности от 3 до 6) за расчетную температуру принимают среднюю величину температуры наружного воздуха по прогнозу на первые 20 сут от момента укладки бетона. Для массивных конструкций (с модулем поверхности менее 3) за расчетную принимают также среднюю температуру наружного воздуха на первые 20 сут твердения с увеличением температуры на 5 °C.

Для конструкций с модулем поверхности более 6 за расчетную принимают минимальную среднесуточную температуру наружного воздуха по прогнозу на первые 20 сут твердения бетона.

5.11.13. При отрицательной температуре окружающей среды конструкции следует укрывать гидротеплоизоляцией или обогреть. Толщину теплоизоляции назначают с учетом температуры наружного воздуха. При обогреве бетона с противоморозной добавкой должна быть исключена возможность местного нагрева поверхностных слоев бетона выше 25 °C.

Для защиты от вымораживания влаги открытые поверхности свежеуложенного бетона вместе с примыкающими поверхностями опалубки должны быть надежно укрыты.

5.11.14. При омоноличивании конструкций с выдерживанием бетона с противоморозными добавками поверхностные слои бетона омоноличиваемых конструкций допускается не отогревать, но необходимо удалить наледь, снег и строительный мусор с поверхностей бетона, арматуры и закладных деталей.

5.11.15. Открытые поверхности уложенного бетона в стыках омоноличивания должны быть надежно защищены от вымораживания влаги. В случае появления трещин в стыках необходимо их расшивать только при устойчивой положительной температуре воздуха.

5.11.16. Требования к производству работ при отрицательных температурах воздуха приведены в таблице 5.7.

Таблица 5.7

Параметр Величина параметра Контроль (метод, объем, вид регистрации)
1. Прочность бетона монолитных и сборно-монолитных конструкций к моменту замерзания (критическая прочность):   Измерительный, по ГОСТ 10180, ГОСТ 17624, ГОСТ 22690, журнал бетонных работ
для бетона без противоморозных добавок:  
конструкций, эксплуатирующихся внутри зданий, фундаментов под оборудование, не подвергающихся динамическим воздействиям, для класса: Не менее, % проектной прочности:
до В10 50
до В25 40
В30 и выше 30
конструкций, подвергающихся по окончании выдерживания переменному замораживанию и оттаиванию в водонасыщенном состоянии или расположенных в зоне сезонного оттаивания вечномерзлых грунтов при условии введения в бетон воздухововлекающих или газообразующих ПАВ 80
для пролетных конструкций:  
при пролете до 6 м 70
при пролете свыше 6 м 80
в преднапряженных конструкциях 80
для бетона с противоморозными добавками для классов:
до В15 30
до В25 25
В30 и выше 20
2. Загружение конструкций расчетной нагрузкой допускается после достижения бетоном прочности Не менее 100% проектной Измерительный, по ГОСТ 17624, ГОСТ 22690, журнал бетонных работ
3. Температура воды и бетонной смеси на выходе из смесителя, приготовленной: Не более: Измерительный, два раза в смену, журнал работ
на нормальнотвердеющем цементе по ГОСТ 10178 и ГОСТ 31108 воды - 70 °C, смеси - 35 °C  
на быстротвердеющем цементе по ГОСТ 10178 и ГОСТ 31108 воды - 60 °C, смеси - 30 °C  
на глиноземистом портландцементе воды - 40 °C, смеси - 25 °C  
4. Температура бетонной смеси, уложенной в опалубку, к началу выдерживания или термообработки:   Измерительный, в местах, определенных ППР, журнал работ
при методе термоса Устанавливается расчетом, но не ниже 5 °C
с противоморозными добавками Не менее чем на 5 °C выше температуры замерзания раствора затворения
при тепловой обработке Не ниже 0 °C
5. Температура в процессе выдерживания и тепловой обработки для бетона на: Определяется расчетом, но не выше, °C: Измерительный. При термообработке - через каждые 2 ч в течение первых суток. В последующие трое суток и без термообработки - не реже двух раз в смену. В остальное время выдерживания - один раз в сутки
портландцементе 80
шлакопортландцементе 90
6. Скорость подъема температуры при тепловой обработке бетона: Не более, °C/ч: Измерительный, через каждые 2 ч, журнал работ
для конструкций с модулем поверхности:  
до 4 5
от 5 до 10 10
свыше 10 15
для стыков 20
7. Скорость остывания бетона по окончании тепловой обработки для конструкций с модулем поверхности: Определяется расчетом, но не более, °C/ч: Измерительный, журнал бетонных работ
до 4 5
от 5 до 10 10
свыше 10 20
8. Разность температур наружных слоев бетона и воздуха при распалубке с коэффициентом армирования до 1%, до 3% и более 3% должна быть соответственно для конструкций с модулем поверхности:   Измерительный, журнал бетонных работ
от 2 до 5 Не более 20, 30, 40 °C
свыше 5 Не более 30, 40, 50 °C

5.11.17. При среднесуточной температуре наружного воздуха ниже 5 °C должен вестись журнал контроля температуры бетона. Измерение температуры производится в наиболее и наименее прогреваемых частях конструкции. Количество точек измерения температуры определяется размерами и конфигурацией конструкции и указывается в технологических регламентах и ППР.

Частота измерений температуры:

а) при бетонировании по способу термоса (включая бетоны с противоморозными добавками) - два раза в сутки до окончания выдерживания;

б) при прогреве - в первые 8 ч через 2 ч, в последующие 16 ч - через 4 ч, а остальное время не реже трех раз в сутки;

в) при электропрогреве - в первые 3 ч - каждый час, а в остальное время через 2 ч.

В журнале ответственными лицами за прогрев бетона заполняются графы сдачи и приемки смены. Способ прогрева бетона устанавливается в ППР и указывается для каждого конструктивного элемента.

5.12. Производство бетонных работ при температуре воздуха выше 25 °C

5.12.1. При производстве бетонных работ при температуре воздуха выше 25 °C и относительной влажности менее 50% рекомендуется применять быстротвердеющие цементы по ГОСТ 10178 и ГОСТ 31108, ГОСТ Р 56727 Для бетонов класса В22,5 и выше допускается применять нормальнотвердеющие цементы. (в ред. Изменения N 3, утв. Приказом Минстроя РФ от 26.12.2017 N 1719/пр)

Не допускается применение пуццоланового портландцемента и глиноземистого цемента для бетонирования надземных конструкций, за исключением случаев, предусмотренных проектом. Цементы не должны обладать ложным схватыванием, иметь температуру выше 50 °C.

5.12.2. Температура бетонной смеси при бетонировании конструкций с модулем поверхности более 3 не должна превышать 30 °C, а для массивных конструкций с модулем поверхности менее 3 не должна превышать 25 °C.

5.12.3. Уход за свежеуложенным бетоном следует начинать сразу после окончания укладки бетонной смеси и осуществлять до достижения 70% проектной прочности, а при соответствующем обосновании - 50%.

Свежеуложенная бетонная смесь в начальный период ухода может быть защищена от обезвоживания пленкообразующими покрытиями.

При достижении бетоном прочности 1,5 МПа последующий уход за ним должен заключаться в обеспечении влажного состояния поверхности путем устройства влагоемкого покрытия и его увлажнения, выдерживания открытых поверхностей бетона под слоем воды, непрерывного распыления влаги над поверхностью конструкций. При этом периодический полив водой открытых поверхностей твердеющих бетонных и железобетонных конструкций не допускается.

5.12.4. Для интенсификации твердения бетона следует использовать солнечную радиацию путем укрытия конструкций рулонным или листовым светопрозрачным влагонепроницаемым материалом и покрытия их пленкообразующими составами.

5.12.5. Во избежание резкого изменения термонапряженного состояния в монолитных конструкциях при прямом воздействии солнечных лучей свежеуложенный бетон следует защищать саморазрушающимися полимерными пенами, инвентарными тепловлагоизоляционными или пленкообразующими покрытиями, полимерной пленкой с коэффициентом отражения более 50% или любым другим влагоизоляционным материалом.

5.13. Специальные методы бетонирования

5.13.1. Исходя из конкретных инженерно-геологических и производственных условий, в соответствии с проектом допускается применение следующих специальных методов бетонирования:

вертикально перемещаемой трубы (ВПТ);

восходящего раствора (ВР);

инъекционного;

вибронагнетательного;

укладки бетонной смеси бункерами;

втрамбовывания бетонной смеси;

напорного бетонирования;

укатки бетонных смесей;

цементирования буросмесительным способом.

5.13.2. Метод ВПТ следует применять при возведении заглубленных конструкций при их глубине от 1,5 м и более; при этом используют бетон проектного класса не менее В25.

5.13.3. Бетонирование методом ВР с засыпкой наброски из крупного камня цементно-песчаным раствором следует применять при укладке бетона под водой на глубине до 20 м для получения прочности бетона, соответствующей прочности бутовой кладки.

Метод ВР с заливкой наброски из щебня цементно-песчаным раствором допускается применять на глубинах до 20 м для возведения конструкций из бетона класса до В25.

При глубине бетонирования от 20 до 50 м, а также при ремонтных работах для усиления конструкций и восстановительного строительства следует применять заливку щебеночного заполнителя цементным раствором без песка.

5.13.4. Инъекционный и вибронагнетательный методы следует применять для бетонирования подземных конструкций преимущественно тонкостенных из бетона класса В25 на заполнителе с максимальным размером 20 мм.

5.13.5. Метод укладки бетонной смеси бункерами может применяться при бетонировании конструкций из бетона класса В20 на глубине более 20 м.

5.13.6. Бетонирование методом втрамбовывания бетонной смеси следует применять на глубине менее 1,5 м для конструкций больших площадей, бетонируемых до отметки, расположенной выше уровня воды, при классе бетона до В25.

5.13.7. Напорное бетонирование путем непрерывного нагнетания бетонной смеси при избыточном давлении следует применять при возведении подземных конструкций в обводненных грунтах и сложных гидрогеологических условиях, при устройстве подводных конструкций на глубине более 10 м и возведении ответственных сильноармированных конструкций, а также при повышенных требованиях к качеству бетона.

5.13.8. Бетонирование путем укатки малоцементной жесткой бетонной смеси следует применять для возведения плоских протяженных конструкций из бетона класса до В20. Толщина укатываемого слоя должна приниматься в пределах 20 - 50 см.

5.13.9. Для устройства цементно-грунтовых конструкций нулевого цикла допускается использование буросмесительной технологии бетонирования путем смешивания расчетного количества цемента, грунта и воды в скважине с помощью бурового оборудования.

5.13.10. При подводном (в том числе под глинистым раствором) бетонировании необходимо обеспечивать:

изоляцию бетонной смеси от воды в процессе ее транспортирования под воду и укладки в бетонируемую конструкцию;

плотность опалубки (или другого ограждения);

непрерывность бетонирования в пределах элемента (блока, захватки);

контроль за состоянием опалубки (ограждения) в процессе укладки бетонной смеси (при необходимости силами водолазов либо с помощью установок подводного телевидения).

5.13.11. Сроки распалубливания и загружения подводных бетонных и железобетонных конструкций должны устанавливаться по результатам испытания контрольных образцов, твердевших в условиях, аналогичных условиям твердения бетона в конструкции.

5.13.12. Бетонирование способом ВПТ после аварийного перерыва допускается возобновлять только при условии:

достижения бетоном прочности 2,0 - 2,5 МПа;

удаления с поверхности подводного бетона шлама и слабого бетона;

обеспечения надежной связи вновь укладываемого бетона с затвердевшим бетоном (штрабы, анкеры и т.д.).

Не допускаются при бетонировании под глинистым раствором перерывы продолжительностью более срока схватывания бетонной смеси. При превышении указанного ограничения конструкцию следует считать бракованной и не подлежащей ремонту с применением метода ВПТ.

5.13.13. При подаче бетонной смеси под воду бункерами не допускается свободное сбрасывание смеси через слой воды, а также разравнивание уложенного бетона горизонтальным перемещением бункера.

5.13.14. При бетонировании методом втрамбовывания бетонной смеси с островка необходимо втрамбовывание вновь поступающих порций бетонной смеси производить не ближе 200 - 300 мм от уреза воды, не допуская сплыва смеси поверх откоса в воду.

Надводная поверхность уложенной бетонной смеси на время схватывания и твердения должна быть защищена от размыва и механических повреждений.

При устройстве конструкций типа "стена в грунте" бетонирование траншей следует выполнять секциями длиной не более 6 м с применением инвентарных межсекционных разделителей.

При наличии в траншее глинистого раствора бетонирование секции производится не позднее чем через 6 ч после заливки раствора в траншею; в противном случае следует заменить глинистый раствор с одновременной выработкой шлама, осевшего на дно траншеи.

Арматурный каркас перед погружением в глинистый раствор следует смачивать водой. Продолжительность с момента погружения арматурного каркаса в глинистый раствор до момента начала бетонирования не должна превышать 4 ч.

Расстояние от бетонолитной трубы до межсекционного разделителя следует принимать не более 1,5 м при толщине стены до 40 см и не более 3 м при толщине стены более 40 см.

5.13.15. Требования к бетонным смесям при их укладке специальными методами приведены в таблице 5.8.

Таблица 5.8

Параметр Величина параметра Контроль (метод, объем, вид регистрации)
1. Марка по удобоукладываемости бетонных смесей при методе бетонирования:   Измерительный, по ГОСТ 10181 (по партиям), журнал бетонных работ
ВПТ без вибрации П4
ВПТ с вибрацией П2
напорном П5
укладки бункерами П1
трамбовывание П2
2. Растворы при бетонировании методом ВР:   Измерительный, по ГОСТ 5802 (по партиям), журнал бетонных работ
марка по подвижности Пк4
водоотделение Не более 2,5%
3. Заглубление трубопровода в бетонную смесь при методе бетонирования:   Измерительный, постоянный
всех подводных, кроме напорного Не менее 0,8 м и не более 2 м
напорном Не менее 0,8 м. Максимальное заглубление принимается в зависимости от величины давления нагнетательного оборудования

5.14. Прорезка деформационных швов, технологических борозд, проемов, отверстий и обработка поверхности монолитных конструкций

5.14.1. Устройство проемов, отверстий, технологических борозд и выбор способа работ должны быть согласованы с проектной организацией и учитывать возможное влияние на прочность прорезаемой конструкции, требования санитарных и экологических норм.

5.14.2. Инструмент для механической обработки следует выбирать в зависимости от физико-механических свойств обрабатываемого бетона, бетона с композитной полимерной арматурой и железобетона с учетом требований, предъявляемых к качеству обработки действующим стандартом на алмазный инструмент, и приложения Р. (в ред. Изменения N 4, утв. Приказом Минстроя РФ от 30.12.2020 N 905/пр)

5.14.3. Охлаждение инструмента следует предусматривать водой под давлением 0,15 - 0,2 МПа, для снижения энергоемкости обработки - растворами поверхностно-активных веществ концентрации 0,01 - 1%.

5.14.4. Требования к режимам механической обработки бетона и железобетона приведены в таблице 5.9.

Таблица 5.9

Параметр Величина параметра Контроль (метод, объем, вид регистрации)
1. Прочность бетона и железобетона при обработке Не менее 50% проектной Измерительный, по ГОСТ 17624, ГОСТ 22690
2. Окружная скорость режущего инструмента при обработке бетона и железобетона, м/с:   По паспорту
резанием 40 - 80
сверлением 1 - 7
фрезерованием 35 - 80
шлифованием 25 - 45
3. Расход охлаждающей жидкости на 1 см2 площади режущей поверхности инструмента, м3/с, при:   Измерительный, 2 раза в смену
резании 0,5 - 1,2
сверлении 0,3 - 0,8
фрезеровании 1 - 1,5
шлифовании 1 - 2,0

5.15. Цементация швов. Работы по торкретированию и устройству набрызг-бетона

5.15.1. Для цементации усадочных, температурных, деформационных и конструкционных швов следует применять цемент по ГОСТ 10178 и ГОСТ Р 56727 не ниже марки (класса) М400 (ЦЕМ I 32,5).

Для гидроизоляции рабочих швов следует применять гидроизоляционные поверхностные и проникающие смеси по ГОСТ 31189. (в ред. Изменения N 3, утв. Приказом Минстроя РФ от 26.12.2017 N 1719/пр)

5.15.2. Температура поверхности шва при цементации бетонного массива должна быть положительной. Для цементации швов при отрицательной температуре следует применять растворы с противоморозными добавками. Цементацию следует выполнять до поднятия уровня воды перед гидротехническим сооружением после затухания основной части температурно-усадочных деформаций.

5.15.3. Качество цементирования швов проверяется: обследованием бетона посредством бурения контрольных скважин и гидравлического опробования их и кернов, взятых из мест пересечения швов; замером фильтрации воды через швы; ультразвуковыми испытаниями.

5.15.4. Заполнители для торкретирования и устройства набрызг-бетона должны отвечать требованиям ГОСТ 8267.

Крупность заполнителей не должна превышать половины толщины каждого торкретируемого слоя и половины размера ячейки арматурных сеток.

5.15.5. Поверхность для торкретирования должна быть очищена, продута сжатым воздухом и промыта струей воды под давлением. Не допускается наплывов по высоте более 1/2 толщины торкретируемого слоя. Устанавливаемая арматура должна быть зачищена и закреплена от смещения и колебаний.

5.16. Арматурные работы

5.16.1. Основными работами с арматурой при возведении монолитных железобетонных конструкций, устройстве конструкций узлов их сопряжения является резка, правка, гнутье, сварка, вязка, выполнение бессварных стыков с опрессованными или резьбовыми муфтами и другие процессы, требования к которым приведены в действующей нормативной документации. (в ред. Изменения N 1, утв. Приказом Минстроя РФ от 16.12.2016 N 983/пр)

5.16.2. Арматурная сталь (стержневая, проволочная) и сортовой прокат, композитная полимерная арматура, арматурные, закладные и соединительные изделия должны соответствовать проекту и требованиям соответствующих стандартов. Поставляемую для использования арматуру следует подвергать входному контролю, включающему проведение испытаний на растяжение и изгиб, не менее двух образцов от каждой партии. Для арматурного проката, поставленного с указанием в документе о качестве статистических показателей механических свойств, испытания образцов на растяжение, изгиб или изгиб с разгибом допускается не проводить. Расчленение пространственных крупногабаритных арматурных изделий должны быть согласованы с проектной организацией. (в ред. Изменения N 1, утв. Приказом Минстроя РФ от 16.12.2016 N 983/пр, Изменения N 4, утв. Приказом Минстроя РФ от 30.12.2020 N 905/пр)

5.16.3. Транспортирование и хранение арматурной стали следует выполнять по ГОСТ 7566, для композитной полимерной арматуры по ГОСТ 31938. (в ред. Изменения N 4, утв. Приказом Минстроя РФ от 30.12.2020 N 905/пр)

5.16.4. Продолжительность хранения высокопрочной проволочной арматуры, арматурных и стальных канатов в закрытых помещениях или специальных емкостях - не более одного года. Допускаемая относительная влажность воздуха не более 65%.

5.16.5. Контрольные испытания высокопрочной арматурной проволоки следует производить после ее правки.

5.16.6. Заготовку стержней мерной длины из стержневой и проволочной арматуры и изготовление ненапрягаемых арматурных изделий следует выполнять в соответствии с требованиями СП 130.13330, а изготовление несущих арматурных каркасов из стержней диаметром более 32 мм - согласно разделу 10.

5.16.7. Изготовление пространственных крупногабаритных арматурных изделий следует производить в сборочных кондукторах.

5.16.8. Арматурные и закладные изделия изготавливаются и контролируются по ГОСТ 10922.

5.16.9. Заготовку (резку, образование анкерных устройств), установку, натяжение напрягаемой арматуры в построечных условиях необходимо выполнять по проекту и в соответствии с требованиями СП 130.13330. Натянутая арматура должна быть заинъецирована, обетонирована или покрыта антикоррозионными составами, предусмотренными проектом, в сроки, исключающие ее коррозию.

Предварительное напряжение композитной полимерной арматуры следует выполнять этапами:

- напряжение до 10% проектного, с выдержкой в течение 5 мин для проверки правильности установки приспособления для натяжения;

- напряжение 50% проектного, с выдержкой в течение 10 мин для осмотра и контрольных измерений;

- напряжение на 100% проектного с перетяжкой на 5%, с выдержкой в течение 5 мин и последующим снижением до проектного. (в ред. Изменения N 4, утв. Приказом Минстроя РФ от 30.12.2020 N 905/пр)

5.16.10. Запрещается в процессе установки напрягаемой арматуры приваривать (прихватывать) к ней распределительную арматуру, хомуты и закладные детали, а также подвешивать опалубку, оборудование и т.п. Непосредственно перед установкой напрягаемых арматурных элементов каналы должны быть очищены от воды и грязи продувкой сжатым воздухом. Арматуру, натягиваемую на бетон, следует устанавливать непосредственно перед натяжением в сроки, исключающие возможность ее коррозии. При протягивании арматуры через каналы следует принимать меры по предотвращению ее повреждения.

5.16.11. Запрещается электрической дугой резка высокопрочной арматурной проволоки, канатов и стержневой арматуры, газовая резка канатов на барабане, а также выполнение сварочных работ в непосредственной близости от напрягаемой арматуры без защиты ее от воздействия повышенной температуры и искр, включение арматуры в цепь электросварочных аппаратов или заземления электроустановок. (в ред. Изменения N 1, утв. Приказом Минстроя РФ от 16.12.2016 N 983/пр)

5.16.12. Монтаж арматурных конструкций следует производить преимущественно из крупноразмерных блоков или унифицированных сеток заводского изготовления с обеспечением фиксации защитного слоя согласно таблице 5.10.

Таблица 5.10

Параметр Величина параметра, мм Контроль (метод, вид регистрации)
1. Отклонение от проекта в расстоянии между арматурными стержнями в вязаных каркасах и сетках:   Измерительный (измерение рулеткой, по шаблону), журнал работ
для продольной арматуры, в том числе в сетках (s - расстояния/шаг, указанные в проекте, мм) +/- S/4, но не более 50
для поперечной арматуры (хомутов, шпилек) (h - высота сечения балки/колонны, толщина плиты, мм) +/- h/25, но не более 25
Общее количество стержней в конструкции на 1 п.м конструкции По проекту Визуально
2. Отклонение от проекта в расстоянии между арматурными стержнями в сварных каркасах и сетках, отклонения длины арматурных элементов По ГОСТ 10922 Измерительный, по ГОСТ 10922, журнал работ
3. Отклонение от проектной длины нахлестки/анкеровки арматуры (L - длина нахлестки/анкеровки, указанная в проекте, мм) -0,05L; положительные отклонения не нормируются Измерительный (измерение рулеткой, по шаблону), журнал работ
4. Отклонение в расстоянии между рядами арматуры для:   То же
плит и балок толщиной до 1 м +/- 10
конструкций толщиной более 1 м +/- 20
5. Отклонение от проектного положения участков начала отгибов продольной арматуры +/- 20 "
6. Наименьшее допускаемое расстояние в свету между продольными арматурными стержнями (d - диаметр наименьшего стержня, мм), кроме случая стыковки стержней и объединения их в пучки по проекту, при:   Измерительный (измерение рулеткой, по шаблону), журнал работ
горизонтальном или наклонном положении стержней нижней арматуры 25  
горизонтальном или наклонном положении стержней верхней арматуры 30  
то же, при расположении нижней арматуры более чем в два ряда (кроме стержней двух нижних рядов) 50  
вертикальном положении стержней допускаемый уровень дефектности 5% 50, но не менее d  
7. Отклонение от проектной толщины защитного слоя бетона не должно превышать: при толщине защитного слоя до 15 мм и линейных размерах поперечного сечения конструкции, мм:   То же
до 100     +4
от 101 до 200 +5
при толщине защитного слоя от 16 до 20 мм включительно и линейных размерах поперечного сечения конструкций, мм:  
до 100     +4; -3
от 101 до 200 +8; -3
" 201 " 300 +10; -3
свыше 300     +15; -5
при толщине защитного слоя свыше 20 мм и линейных размерах поперечного сечения конструкций, мм:  
до 100     +4; -5
от 101 до 200 +8; -5
" 201 " 300 +10; -5
свыше 300     +15; -5

5.16.13. Установку на арматурных конструкциях пешеходных, транспортных или монтажных устройств следует осуществлять в соответствии с ППР, по согласованию с проектной организацией.

5.16.14. Бессварные соединения стержней следует производить: (в ред. Изменения N 1, утв. Приказом Минстроя РФ от 16.12.2016 N 983/пр)

стыковые - обжимными гильзами или винтовыми муфтами с обеспечением равнопрочности стыка; (в ред. Изменения N 1, утв. Приказом Минстроя РФ от 16.12.2016 N 983/пр)

крестообразные и нахлесточные - вязкой отожженной проволокой. Допускается применение специальных соединительных элементов (пластмассовых и проволочных фиксаторов). (в ред. Изменения N 1, утв. Приказом Минстроя РФ от 16.12.2016 N 983/пр)

5.16.15. Сварные соединения следует выполнять в соответствии с требованиями раздела 10. (в ред. Изменения N 1, утв. Приказом Минстроя РФ от 16.12.2016 N 983/пр)

5.16.16. Армирование конструкций должно осуществляться в соответствии с проектной документацией с учетом допускаемых отклонений по таблице 5.10.

5.16.17. При операционном контроле проверяется каждый арматурный элемент, при приемочном контроле выполняется выборочная проверка в объеме не менее 10%. При выявлении недопустимых отклонений в ходе выборочного приемочного контроля назначается сплошной контроль. При выявлении отступлений от проекта принимаются меры по устранению или согласованию с проектной организацией их допустимость. (в ред. Изменения N 1, утв. Приказом Минстроя РФ от 16.12.2016 N 983/пр)

5.16.18. При контроле состояния арматурных изделий, закладных изделий, а также сварных соединений визуально проверяют каждое изделие на предмет отсутствия ржавчины, инея, наледи, загрязнения бетоном, окалины, следов масла, отслаивающейся ржавчины и сплошной поверхностной коррозии.

5.16.19. При приемочном контроле отклонений расстояний между арматурными стержнями, рядами арматуры, а также шага арматуры выполняют измерения не менее чем на пяти участках с шагом от 0,5 до 2,0 м на каждые 10 м бетонируемой конструкции.

5.16.20. При приемочном контроле соответствия соединений стержней арматуры проектной и технологической документации проверяют не менее пяти соединений с шагом от 0,5 до 2,0 м на каждые 10 м конструкции.

5.16.21. При приемочном контроле отклонения толщины защитного слоя бетона от проектной проверяют в каждой конструкции, выполняя измерения не менее чем на пяти участках на каждые 50 м площади конструкции или на участке меньшей площадью с шагом от 0,5 до 3,0 м.

5.16.22 Приемочный контроль выполненных сварных соединений арматуры должна выполнять аккредитованная испытательная лаборатория в соответствии с требованиями проекта, ГОСТ 10922, ГОСТ 14098 и раздела 10.5 настоящего свода правил. (в ред. Изменения N 1, утв. Приказом Минстроя РФ от 16.12.2016 N 983/пр)

5.16.23. Механические соединения арматуры (муфты, резьбовые соединения) контролируются по специально разработанным регламентам.

5.16.24. Приемка армирования до получения результатов оценки качества сварных или бессварных соединений не разрешается. По результатам приемочного контроля составляются акты освидетельствования скрытых работ и разрешается бетонирование конструкций. (в ред. Изменения N 1, утв. Приказом Минстроя РФ от 16.12.2016 N 983/пр)

5.17. Опалубочные работы

5.17.1. Опалубка должна соответствовать требованиям ГОСТ 34329 и обеспечивать проектную форму, геометрические размеры и качество поверхности возводимых конструкций в пределах установленных допусков. (в ред. Изменения N 4, утв. Приказом Минстроя РФ от 30.12.2020 N 905/пр)

5.17.2. При выборе типа опалубки, применяемой при возведении бетонных и железобетонных конструкций, следует предусматривать:

точность изготовления и монтажа опалубки;

качество бетонной поверхности и монолитной конструкции после распалубки;

оборачиваемость опалубки.

Опалубка должна быть сертифицирована на соответствие ГОСТ 34329 предприятием-изготовителем. (в ред. Изменения N 4, утв. Приказом Минстроя РФ от 30.12.2020 N 905/пр)

5.17.3. Нагрузки и данные для расчета опалубки приведены в приложении Т.

5.17.4 Установка и приемка опалубки, распалубливание монолитных конструкций, очистка и смазка производится по СП 48.13330 и ППР.

5.17.5 Подготовленную к бетонированию опалубку следует принимать по ГОСТ Р 52752 и акту.

5.17.6 Поверхность опалубки, соприкасающаяся с бетоном, должна быть перед укладкой бетонной смеси покрыта смазкой. Смазку следует наносить тонким слоем на тщательно очищенную поверхность.

Поверхность опалубки после нанесения на нее смазки должна быть защищена от загрязнения, дождя и солнечных лучей. Не допускается попадание смазки на арматуру и закладные детали. Допускается для смазки деревянной опалубки использовать эмульсол в чистом виде или с добавкой известковой воды.

Для металлической и фанерной опалубки допускается применять эмульсолы с добавлением уайт-спирита или поверхностно-активных веществ, а также другие составы смазок, не влияющие отрицательно на свойства бетона и внешний вид конструкций и не уменьшающие сцепление опалубки с бетоном.

Смазку из отработанных машинных масел случайного состава применять не допускается.

5.17.7. Опалубка и арматура массивных конструкций перед бетонированием должны быть очищены сжатым (в том числе горячим) воздухом от снега и наледи. Очистка и нагрев арматуры паром или горячей водой не допускаются.

Все открытые поверхности свежеуложенного бетона после окончания бетонирования и при перерывах в бетонировании должны быть тщательно укрыты и утеплены.

5.17.8. Технические требования, которые следует выполнять при бетонировании монолитных конструкций и проверять при операционном контроле, включая допустимую прочность бетона при распалубке, приведены в таблице 5.11.

Таблица 5.11

Параметр Величина параметра Контроль (метод, объем, вид регистрации)
1. Допускаемые отклонения положения и размеров установленной опалубки По ГОСТ 34329 Измерительный (теодолитная и нивелирная съемки и измерение рулеткой)
(в ред. Изменения N 4, утв. Приказом Минстроя РФ от 30.12.2020 N 905/пр)
2. Предельные отклонения расстояния: между опорами изгибаемых элементов опалубки и между связями вертикальных поддерживающих конструкций от проектных размеров:   Измерительный (измерение рулеткой)
на 1 м длины 25 мм
на весь пролет 75 мм
от вертикали или проектного наклона плоскостей опалубки и линий их пересечений:  
на 1 м высоты 5 мм
на всю высоту:  
для фундаментов 20 мм
для тела опор и колонн высотой до 5 м 10 мм
3. Предельное смещение осей опалубки от проектного положения:   Измерительный (измерение рулеткой)
фундаментов 15 мм
тела опор и колонн фундаментов под стальные конструкции 8 мм
4. Предельное отклонение расстояния между внутренними поверхностями опалубки от проектных размеров 5 мм То же
5. Допускаемые местные неровности опалубки 3 мм Измерительный (внешний осмотр и проверка двухметровой рейкой)
6. Точность установки и качество поверхности несъемной опалубки-облицовки Определяется качеством поверхности облицовки То же
7. Точность установки несъемной опалубки, выполняющей функции внешнего армирования Определяется проектом "
8. Оборачиваемость опалубки ГОСТ Р 52085 Регистрационный, журнал работ
9. Прогиб собранной опалубки То же Измерительный (нивелирование)
10. Минимальная прочность бетона незагруженных монолитных конструкций при распалубке поверхностей:   Измерительный по ГОСТ 22690, журнал бетонных работ
вертикальных из условия сохранения формы горизонтальных и наклонных при пролете: 0,5 МПа
до 6 м 70% проектной
свыше 6 м 80% проектной
11. Минимальная прочность бетона при распалубке загруженных конструкций, в том числе от вышележащего бетона (бетонной смеси) Определяется ППР и согласовывается с проектной организацией То же

5.17.9. При установке промежуточных опор в пролете перекрытия при частичном или последовательном удалении опалубки минимальная прочность бетона при распалубке может быть снижена. В этом случае прочность бетона, свободный пролет перекрытия, число, место и способ установки опор определяются ППР и согласовываются с проектной организацией. Снятие всех типов опалубки следует производить после предварительного отрыва от бетона.

5.18. Приемка бетонных, бетонных с композитной полимерной арматурой и железобетонных конструкций или частей сооружений (в ред. Изменения N 4, утв. Приказом Минстроя РФ от 30.12.2020 N 905/пр)

5.18.1. Строительный контроль законченных конструкций или частей зданий и сооружений следует производить на соответствие:

фактических геометрических параметров конструкций рабочим чертежам и отклонениям по таблице 5.12;

качества поверхности внешнему виду монолитных конструкций (приложение Х);

свойств бетона проектным требованиям по 5.5 и арматуры - по 5.16;

применяемых в конструкции материалов, полуфабрикатов и изделий требованиям проектной документации по данным входного контроля технической документации.

5.18.2. Приемку законченных бетонных, бетонных с композитной полимерной арматурой и железобетонных конструкций или частей сооружений следует оформлять в установленном порядке актом освидетельствования скрытых работ и актом освидетельствования ответственных конструкций. (в ред. Изменения N 4, утв. Приказом Минстроя РФ от 30.12.2020 N 905/пр)

5.18.3. Требования, предъявляемые к законченным бетонным, бетонным с композитной полимерной арматурой и железобетонным конструкциям или частям сооружений, приведены в таблице 5.12. (в ред. Изменения N 4, утв. Приказом Минстроя РФ от 30.12.2020 N 905/пр)

Таблица 5.12

Параметр Предельные отклонения, мм Контроль (метод, объем, вид регистрации)
1. Отклонение линий плоскостей пересечения от вертикали или проектного наклона на всю высоту конструкций для:   Измерительный, каждый конструктивный элемент, журнал работ
фундаментов 20
стен и колонн, поддерживающих монолитные покрытия и перекрытия 15
стен и колонн, поддерживающих сборные балочные конструкции 10
стен зданий и сооружений, возводимых в скользящей опалубке, при отсутствии промежуточных перекрытий 1/500 высоты сооружения, но не более 100
стен зданий и сооружений, возводимых в скользящей опалубке, при наличии промежуточных перекрытий 1/1000 высоты сооружения, но не более 50
2. Отклонение осей колонн каркасных зданий на всю высоту здания (n - количество этажей) , но не более 50 Измерительный, всех колонн и линий их пересечения, журнал работ
(в ред. Изменения N 4, утв. Приказом Минстроя РФ от 30.12.2020 N 905/пр)
3. Отклонение от прямолинейности и плоскостности поверхности на длине 1 - 3 м и местные неровности поверхности бетона По приложению Х для монолитных конструкций. По ГОСТ 13015 для сборных конструкций Измерительный, не менее 5 измерений на каждые 50 м длины и каждые 150 м поверхности конструкций, журнал работ
4. Отклонение горизонтальных плоскостей на весь выверяемый участок 20 Измерительный, не менее 5 измерений на каждые 50 м длины и каждые 150 м поверхности конструкций, журнал работ
5. Отклонение длин или пролетов элементов, размеров в свету +/- 20 Измерительный, каждый элемент, журнал работ
6. Размер поперечного сечения элемента h при:   Измерительный, каждый элемент (не менее одного измерения на 100 м площади плит перекрытия и покрытия), журнал работ
h < 200 мм +6; -3
h = 400 мм +11; -9
h > 2000 мм +25; -20
При промежуточных значениях h величина допуска принимается интерполяцией  
(в ред. Изменения N 4, утв. Приказом Минстроя РФ от 30.12.2020 N 905/пр)
7. Отклонение от соосности вертикальных конструкций 15 Измерительный (исполнительная геодезическая съемка), каждый конструктивный элемент, журнал работ
8. Отклонение размеров оконных, дверных и других проемов +/- 12 Измерительный, каждый проем, журнал работ
9. Отметки поверхностей и закладных изделий, служащих опорами для стальных или сборных железобетонных колонн и других сборных элементов -5 Измерительный, каждый опорный элемент, исполнительная схема
10. Расположение анкерных болтов:   То же, каждый фундаментный болт, исполнительная схема
в плане внутри контура опоры 5
в плане вне контура опоры 10
по высоте +20

5.18.4. При приемочном контроле внешнего вида и качества поверхностей конструкций (наличие трещин, сколов бетона, раковин, обнажения арматурных стержней и других дефектов) визуально проверяют каждую конструкцию. Требования к качеству поверхности монолитных конструкций приведены в приложении Х. Особые требования к качеству поверхности монолитных конструкций должны быть представлены в проектной документации. Требования к качеству поверхности конструкций допускается устанавливать для монолитных конструкций по ГОСТ 13015.

5.18.5. При приемке монолитных конструкций на строительной площадке контроль качества бетона должен осуществляться комплексным применением следующих методов испытаний и контроля:

показателей качества бетона по прочности в конструкциях по ГОСТ 18105;

морозостойкости по ГОСТ 10060;

водонепроницаемости по ГОСТ 12730.5.

Примечание - При необходимости осуществляется контроль установленных в проектной документации и ГОСТ 26633 других показателей.

5.18.6. Определение показателей качества бетона по прочности в конструкциях при приемке в соответствии с ГОСТ 18105 осуществляется неразрушающими методами или по образцам, отобранным из конструкций.

5.18.7. При контроле прочности бетона конструкций в промежуточном возрасте неразрушающими методами контролируется не менее одной конструкции каждого вида (колонна, стена, перекрытие, ригели и т.д.) из контролируемой партии.

5.18.8. При контроле прочности бетона конструкций неразрушающими методами в проектном возрасте проводится сплошной неразрушающий контроль прочности бетона всех конструкций контролируемой партии. При этом согласно ГОСТ 18105 число участков испытаний должно быть не менее:

трех на каждую захватку для плоских конструкций (стена, перекрытие, фундаментная плита);

одного на 4 м длины (или три на захватку) для каждой линейной горизонтальной конструкции (балка, ригели);

шести на каждую конструкцию - для линейных вертикальных конструкций (колонна, пилон).

5.18.9. Общее число участков измерений для расчета характеристик однородности прочности бетона партии конструкций должно быть не менее 20. Число измерений, проводимых на каждом контролируемом участке, принимают по ГОСТ 17624 или ГОСТ 22690.

При инспекционном контроле (проведении обследований и экспертной оценке качества) линейных вертикальных конструкций число контролируемых участков должно быть не менее четырех.

5.18.10. Определение показателей качества бетона по прочности в конструкциях при приемке по образцам осуществляется в тех случаях, если это предусмотрено проектной документацией.

5.18.11. Отбор образцов из конструкций для определения показателей качества бетона по прочности должен производиться по ГОСТ 28570.

5.18.12. Оценка и приемка бетона конструкций по образцам, отобранным из конструкций, проводится по ГОСТ 18105 из условия и осуществляется:

с определением характеристик однородности бетона по прочности при использовании данных текущего контроля прочности бетона отдельной конструкции или партии (группы) конструкций с числом участков испытаний не менее трех;

без определения характеристик однородности бетона по прочности при использовании данных текущего контроля прочности бетона отдельной конструкции или захватки конструкции с числом участков испытаний не менее трех. При этом фактический класс бетона принимается равным 80% средней прочности бетона контролируемых участков конструкции или захватки конструкции, но не более минимального частного значения прочности бетона отдельной конструкции или участка конструкции, входящих в контролируемую партию.

Контролю по образцам, отобранным из конструкций, подлежат также те показатели качества бетона, которые приведены в проектной документации.

5.18.13. Для бетонов классов В60 и выше оценка и приемка бетона по прочности проводится в соответствии с ГОСТ 18105 с учетом следующих требований:

коэффициент требуемой прочности принимается по таблице 2 ГОСТ 18105, но не менее 1,14;

в начальный период уровень требуемой прочности бетона в партии принимается в соответствии с 6.8 ГОСТ 18105 либо по схеме "Г";

фактический класс бетона в партии (группе) монолитных конструкций определяется по контрольным образцам, изготовленным на стройплощадке, в исключительных случаях, если невозможно определить прочность бетона в конструкциях неразрушающими методами, по формулам;

при количестве единичных результатов от каждой партии конструкций не менее шести, но не более 15, без учета характеристик однородности бетона по прочности по формуле

,

где - средняя фактическая прочность бетона в партии (группе) конструкций по данным испытаний контрольных образцов, МПа;

при количестве единичных результатов от каждой партии конструкций не менее 15, с учетом характеристик однородности бетона по прочности:

,

где - коэффициент, принимаемый по таблице 3 ГОСТ 18105 в зависимости от числа единичных значений прочности бетона, по которым рассчитан коэффициент вариации прочности бетона;

- текущий коэффициент вариации прочности бетона в партии конструкций по данным испытаний контрольных образцов.

5.18.14. Партия конструкций подлежит приемке по прочности бетона, ГОСТ 18105, если фактический класс бетона в каждой отдельной конструкции этой партии не ниже проектного класса бетона по прочности :

.

5.18.15. Значения фактического класса прочности бетона каждой конструкции должны быть приведены в журнале бетонных работ.

5.18.16. На поверхности конструкций не допускается обнажение рабочей и конструктивной арматуры, за исключением арматурных выпусков, предусмотренных в рабочих чертежах.

5.18.17. Открытые поверхности стальных закладных деталей, выпуски арматуры должны быть очищены от наплывов бетона или раствора.

5.18.18. На лицевых поверхностях монолитных конструкций, предназначенных под окраску, не допускаются жировые и ржавые пятна.

5.18.19. Качество рельефных и т.п. поверхностей, не подлежащих дальнейшей отделке (окраске, оклейке, облицовке и т.д.), должно соответствовать требованиям проектной документации.

5.18.20. Предельно допустимую ширину раскрытия трещин следует устанавливать исходя из эстетических соображений, наличия требований к проницаемости конструкций, а также в зависимости от длительности действия нагрузки, вида арматурной стали и ее склонности к развитию коррозии в трещине.

При этом предельно допустимое значение ширины раскрытия трещин следует принимать не более:

из условия сохранности арматуры:

0,3 мм - при продолжительном раскрытии трещин;

0,4 мм - при непродолжительном раскрытии трещин;

из условия ограничения проницаемости и конструкции:

0,2 мм - при продолжительном раскрытии трещин;

0,3 мм - при непродолжительном раскрытии трещин.

Ширина раскрытия трещин для бетонных конструкций с композитной полимерной арматурой из условий коррозионного воздействия не нормируется по СП 28.13330. (в ред. Изменения N 4, утв. Приказом Минстроя РФ от 30.12.2020 N 905/пр)

При этом предельно допустимое значение ширины раскрытия трещин следует принимать не более:

0,5 мм - при продолжительном раскрытии трещин;

0,5 мм - при непродолжительном раскрытии трещин при эксплуатации конструкций, в среде с повышенной влажностью (эксплуатация на открытом воздухе или в грунте) и в агрессивной среде;

0,7 мм - при непродолжительном раскрытии трещин в нормальных условиях эксплуатации конструкций (эксплуатация в закрытых помещениях). (в ред. Изменения N 4, утв. Приказом Минстроя РФ от 30.12.2020 N 905/пр)

Для массивных гидротехнических сооружений предельно допустимые значения ширины раскрытия трещин устанавливают по соответствующим нормативным документам в зависимости от условий работы конструкций и других факторов, но не более 0,5 мм.

5.18.21. При выявлении по результатам строительного контроля (обследования конструкций) отклонений качества готовых конструкций от требований проекта и раздела 5.18 настоящего СП (геометрические размеры, качество бетона и поверхностей, армирование, расположение закладных деталей) составляется акт освидетельствования бетонных, бетонных с композитной полимерной арматурой и железобетонных конструкций, который согласовывается с проектной организацией на предмет обеспечения безопасности конструкций [8]. (в ред. Изменения N 4, утв. Приказом Минстроя РФ от 30.12.2020 N 905/пр)

Предельно допустимую ширину раскрытия трещин следует принимать по СП 63.13330. (в ред. Изменения N 3, утв. Приказом Минстроя РФ от 26.12.2017 N 1719/пр)

Наличие трещин в конструкциях при приемке, а также допустимая ширина их раскрытия указывается в проекте в зависимости от назначения конструкции, в условиях эксплуатации требований к проницаемости, класса арматуры, степени нагруженности и др. При отсутствии специальных требований предельное значение ширины раскрытия трещин принимают:

- для конструкций, эксплуатируемых на воздухе - 0,1 мм;

- для конструкций, эксплуатируемых внутри помещения - 0,2 мм. (в ред. Изменения N 3, утв. Приказом Минстроя РФ от 26.12.2017 N 1719/пр)

При наличии агрессивных сред максимальная допустимая ширина раскрытия трещин принимается по СП 28.13330 с учетом последующего загружения конструкций полной проектной нагрузкой. (в ред. Изменения N 3, утв. Приказом Минстроя РФ от 26.12.2017 N 1719/пр)

6. Монтаж сборных железобетонных, бетонных с композитной полимерной арматурой и бетонных конструкций (в ред. Изменения N 4, утв. Приказом Минстроя РФ от 30.12.2020 N 905/пр)

6.1. Общие указания

6.1.1. Предварительное складирование конструкций на приобъектных складах допускается только при соответствующем обосновании. Приобъектный склад должен быть расположен в зоне действия монтажного крана.

6.1.2. Монтаж конструкций каждого вышележащего этажа (яруса) многоэтажного здания следует производить после проектного закрепления всех монтажных элементов и достижения бетоном (раствором) прочности замоноличенных стыков несущих конструкций, указанной в ППР.

6.1.3. В случаях, когда прочность и устойчивость конструкций в процессе сборки обеспечиваются сваркой монтажных соединений, допускается, при соответствующем указании в проекте, монтировать конструкции нескольких этажей (ярусов) зданий без замоноличивания стыков. При этом в проекте должны быть приведены необходимые указания о порядке монтажа конструкций, сварке соединений и замоноличивании стыков.

6.1.4. В случаях, когда постоянные связи не обеспечивают устойчивость конструкций в процессе их сборки, необходимо применять временные монтажные связи. Конструкция и число связей, а также порядок их установки и снятия должны быть указаны в ППР.

6.1.5. Марка растворной смеси по подвижности на месте применения для устройства постели при монтаже стен из крупных бетонных и железобетонных блоков и панелей, расшивок горизонтальных и вертикальных швов в стенах из панелей и блоков должна быть Пк2 (4 - 8 см) по ГОСТ 28013.

6.1.6. Не допускается применение раствора, процесс схватывания которого уже начался, а также восстановление его пластичности путем добавления воды.

6.1.7. Предельные отклонения от совмещения ориентиров при установке сборных элементов, а также отклонения законченных монтажных конструкций от проектного положения не должны превышать величин, приведенных в таблице 6.1.

Таблица 6.1

Параметр Величина параметра, мм Контроль (метод, объем, вид регистрации)
1. Отклонение от совмещения установочных ориентиров фундаментных блоков и стаканов фундаментов с рисками разбивочных осей 12 Измерительный, каждый элемент, геодезическая исполнительная схема
2. Отклонение отметок опорной поверхности дна стаканов фундаментов от проектных:   Измерительный, каждый элемент, геодезическая исполнительная схема
до устройства выравнивающего слоя по дну стакана -20
после устройства выравнивающего слоя по дну стакана +/- 5
3. Отклонение от совмещения ориентиров (рисок геометрических осей, граней) в нижнем сечении установленных элементов с установочными ориентирами (рисками геометрических осей или гранями нижележащих элементов, рисками разбивочных осей):   Измерительный, каждый элемент, журнал работ
колонн, панелей и крупных блоков несущих стен, объемных блоков 8
панелей навесных стен 10
ригелей, прогонов, балок, подкрановых балок, подстропильных ферм, стропильных балок и ферм 8
4. Отклонение осей колонн одноэтажных зданий в верхнем сечении от вертикали при длине колонн, м:   Измерительный, каждый элемент, геодезическая исполнительная схема
до 4     20
свыше 4 до 8 25
" 8 " 16 30
" 16 " 25 40
5. Отклонение от совмещения ориентиров (рисок геометрических осей) в верхнем сечении колонн многоэтажных зданий с рисками разбивочных осей при длине колонн, м:   То же
до 4     12
свыше 4 до 8 15
" 8 " 16 20
" 16 " 25 25
6. Разность отметок верха колонн или их опорных площадок (кронштейнов, консолей) одноэтажных зданий и сооружений при длине колонн, м:   Измерительный, каждый элемент, геодезическая исполнительная схема
до 4     14
свыше 4 до 8 16
" 8 " 16 20
" 16 " 25 24
7. Разность отметок верха колонн каждого яруса многоэтажного здания и сооружения, а также верха стеновых панелей каркасных зданий в пределах выверяемого участка при:   То же
контактной установке (n - порядковый номер яруса колонн или число установленных по высоте панелей) 12 + 2n
установке по маякам 10
8. Отклонение от совмещения ориентиров (рисок геометрических осей, граней) в верхнем сечении установленных элементов (ригелей, прогонов, балок, подстропильных ферм, стропильных ферм и балок) на опоре с установочными ориентирами (рисками геометрических осей или граней нижестоящих элементов, рисками разбивочных осей) при высоте элемента на опоре, м:   Измерительный, каждый элемент, геодезическая исполнительная схема
до 1     6
свыше 1 до 1,6 8
" 1,6 " 2,5 10
" 1,5 " 4 12
9. Отклонение от симметричности (половина разности глубины опирания концов элемента) при установке ригелей, прогонов, балок, подкрановых балок, подстропильных ферм, стропильных ферм (балок), плит покрытий и перекрытий в направлении перекрываемого пролета при длине элемента, м: То же
до 4     5
свыше 4 до 8 6
" 8 " 16 8
" 16 " 25 10
10. Расстояние между осями верхних поясов ферм и балок в середине пролета 60 Измерительный, каждый элемент, геодезическая исполнительная схема
11. Отклонение от вертикали верха плоскостей:   То же
панелей несущих стен и объемных блоков 10
крупных блоков несущих стен, перегородок, навесных стеновых панелей 12
Отклонение от вертикали панелей несущих стен и объемных блоков на всю высоту здания 1/1000 высоты сооружения, но не более 50
12. Разность отметок лицевых поверхностей двух смежных непреднапряженных панелей (плит) перекрытий в шве при длине плит, м:   "
до 4     8
свыше 4 до 8 10
" 8 " 16 12
13. Разность отметок верхних полок подкрановых балок и рельсов: на двух соседних колоннах вдоль ряда при расстоянии между колоннами l, м:   "
l < 10 10
l > 10 0,001l, но не более 15
в одном поперечном разрезе пролета:  
на колоннах 15
в пролете 20
14. Отклонение по высоте порога дверного проема объемного элемента шахты лифта относительно посадочной площадки +/- 10 Измерительный, каждый элемент, геодезическая исполнительная схема
15. Отклонение от перпендикулярности внутренней поверхности стен ствола шахты лифта относительно горизонтальной плоскости (пола приямка) 30 (ГОСТ 22845) То же
Примечание - Глубина опирания элементов на несущие конструкции должна быть не менее указанной в рабочих чертежах.

6.2. Устройство оснований и фундаментов

Работы по устройству оснований и фундаментов следует выполнять в соответствии с требованиями СП 25.13330, СП 45.13330, СП 48.13330, указаниями настоящего раздела и проекта.

Погружение свай и свай-оболочек

6.2.1. Сваи следует забивать молотом на проектную глубину заделки до получения расчетного отказа, но менее 0,2 см от удара, а сваи-оболочки - заглублять вибропогружателем с интенсивностью погружения на последнем этапе не менее 5 см/мин. Если эти требования не могут быть выполнены, необходимо применять подмыв или установку сваи в лидерные скважины с добивкой до расчетного отказа, а для оболочек - применять опережающую разработку грунта ниже ножа или более мощный погружатель.

Опережающую разработку песчаных грунтов следует выполнять на 1 - 2 м ниже ножа оболочки при условии наличия в ее полости избыточного давления воды, превышающего на 4 - 5 м уровень поверхностных или подземных вод.

6.2.2. Глубину лидерных скважин следует принимать равной 0,9 заглубления свай в грунт, а диаметр - 0,9 диаметра цилиндрической или 0,8 диагонали призматической сваи и уточнять по результатам пробной забивки.

6.2.3. Свайные элементы следует погружать в толщу мерзлых грунтов в лидерные скважины.

Непосредственная забивка свай допускается в пластично-мерзлые глинистые или суглинистые грунты, не имеющие твердых включений.

Практическую возможность забивки имеющимся молотом свай и глубину их погружения в вечномерзлый грунт необходимо устанавливать по результатам пробной забивки в конкретных местных условиях.

Погружение свай в предварительно оттаянный грунт допускается при необходимости заглубления их низа в немерзлый грунт сквозь слой сезонного промерзания, а также в толщу твердомерзлого песка.

6.2.4. Сваи-оболочки в зоне положительных температур грунта и воды (по всей их высоте или только в нижней части) следует заполнять бетонной смесью после приемки работ по их погружению, извлечению из полости грунта, зачистки, приемки оснований (в том числе уширенной полости) и установки в случае необходимости арматурного каркаса.

После вынужденного перерыва укладку бетонной смеси можно возобновить, если длительность перерыва не привела к потере подвижности уложенной смеси. В противном случае работу допускается продолжить после осуществления мер, обеспечивающих качественное соединение укладываемой смеси с ранее уложенной. Не допускается заполнять сваи оболочки сбрасыванием бетонной смеси в воду. (в ред. Изменения N 3, утв. Приказом Минстроя РФ от 26.12.2017 N 1719/пр)

6.2.5. Работы по заполнению бетонной смесью полости железобетонных и бетонных с композитной полимерной арматурой свайных элементов в пределах зоны воздействия знакопеременных температур окружающей среды (воды, воздуха, грунта) с запасом вниз на диаметр элемента, но не менее 1 м, следует выполнять с соблюдением специальных требований, указанных в проекте и ППР (в отношении подбора состава смеси, ее укладки, очистки внутренней боковой поверхности и др.), направленных на предотвращение появления трещин в бетоне элементов. (в ред. Изменения N 4, утв. Приказом Минстроя РФ от 30.12.2020 N 905/пр)

6.2.6. Операционный и приемочный контроль качества погружения в разные грунты свай и свай-оболочек следует производить в соответствии с требованиями, приведенными в таблице 6.2, СП 45.13330 и СП 46.13330.

Таблица 6.2

Параметр Величина параметра, мм Контроль (метод, объем, вид регистрации)
1. Смещение в плане центров свай и оболочек от проектного положения в уровне низа ростверка или насадки не должны превышать:   Измерительный, геодезическая исполнительная схема
а) для свай квадратного и круглого поперечного сечений размером не более 0,6 м (стороны квадрата, меньшей стороны прямоугольника или диаметра) при монолитном ростверке или насадке, в долях стороны или диаметра:  
при расположении их в фундаменте в один ряд по фасаду:
вдоль здания или сооружения +/- 0,2
поперек здания или сооружения +/- 0,3
при расположении свай в два ряда и более по фасаду моста:  
для крайних рядов - вдоль здания или сооружения +/- 0,2
для средних рядов - вдоль здания или сооружения +/- 0,3
поперек здания или сооружения +/- 0,4
б) для свай квадратного, прямоугольного и круглого поперечного сечений размером не более 0,6 м (независимо от числа рядов) при сборных ростверках и насадках с обязательным применением направляющих устройств (каркасов, кондукторов, стрел) 5 см
в) для свай-оболочек диаметром более 0,6 м до 3 м, погруженных с отклонениями, в долях диаметра, не должны превышать:  
без применения направляющих устройств:  
для одиночных и при расположении в один ряд по фасаду здания или сооружения 0,1
при расположении в 2 ряда и более 0,15
2. Уточнение несущей способности свай и свай-оболочек, погруженных в немерзлые грунты, по результатам испытаний: По проекту Измерительный, по ГОСТ 5686, журнал работ
а) свай
по проекту фундаментов динамической нагрузкой
то же, вдавливающей статической нагрузкой
то же, выдергивающей статической нагрузкой
б) свай-оболочек (или буровых свай):
вдавливающей статической нагрузкой
то же, выдергивающей статической нагрузкой
то же, штампом грунта в основании свай-оболочек (или буровых свай)
3. Уточнение несущей способности свай и свай-оболочек (или буровых свай), погруженных в вечномерзлые грунты, по результатам испытаний: По проекту Измерительный, по ГОСТ 20276, ГОСТ 24846, журнал работ
вдавливающей статической нагрузкой
то же, выдергивающей статической нагрузкой
то же, штампом грунта в основании оболочки
Примечания
1. Значения допускаемых отклонений от проектного положения в плане приведены для свайных элементов (свай и свай-оболочек), используемых в фундаментах и безростверковых опорах с бетонируемым на месте соответственно ростверком или насадкой. В приведенные значения допускаемых отклонений от проектного положения в плане свайных элементов включены значения смещения их в уровне низа ростверка или насадки вследствие отклонения элементов от вертикали или изменения наклона.
Значения допускаемого изменения тангенса угла от вертикали (от проектного положения) наклонных свайных элементов не должно превышать 200:1 при расположении их в один ряд и 100:1 - в два ряда и более.
2. Для фундаментов и безростверковых опор со сборными ростверком или насадкой, соединяемых со свайными элементами с помощью омоноличенных бетоном выпусков стержней продольной арматуры, значения допускаемых отклонений в плане от проектного положения свайных элементов в уровне низа ростверка или насадки следует принимать до 5 см.
При сборных ростверке или насадке, соединяемых со сваями или сваями-оболочками сварными болтовыми комбинированными стыками, значения допускаемых отклонений принимают в соответствии с проектом.
3. Число свайных элементов с предельными значениями допускаемых отклонений не должно превышать 25% для однорядных фундаментов или опор и 40% - для двух- и многорядных фундаментов.
4. При фактических отклонениях свайных фундаментов от проектного положения, превышающих предельно допускаемые значения, решение о возможности использования элементов должна принимать организация, проектировавшая фундаменты или безростверковые опоры.

Устройство буровых свай

6.2.7. Избыточное давление воды или глинистый раствор допускается использовать для крепления поверхности скважин, разрабатываемых не ближе 40 м от существующих зданий и сооружений.

6.2.8. В скважинах, не обсаженных инвентарными трубами или оболочками и разрабатываемых грейфером (особенно при наличии в скважинах воды), необходимо зачищать их боковые поверхности до проектного диаметра цилиндрическим устройством (калибровщиком).

6.2.9. В целях предотвращения подъема и смещения в скважине арматурного каркаса укладываемой бетонной смесью или в процессе извлечения бетонолитной инвентарной обсадной трубы, а также во всех случаях армирования не на полную глубину буровой сваи в конструкции каркаса необходимо предусмотреть фиксаторы для закрепления его в проектном положении.

6.2.10. Сухие скважины в песках, обсаженные стальными трубами или железобетонными оболочками, а также необсаженные скважины, пробуренные в пластах суглинков и глин, расположенных выше уровня подземных вод и не имеющих прослоек и линз песков и супесей, разрешается бетонировать без применения бетонолитных труб способом свободного сброса бетонной смеси с высоты до 6 м. Допускается укладывать бетонную смесь способом свободного сброса с высоты до 20 м при условии получения положительных результатов при опытной проверке этого способа с использованием смеси со специально подобранными составом и подвижностью.

В скважины, заполненные водой, бетонную смесь следует укладывать способом вертикально перемещаемой трубы (ВПТ).

6.2.11. Операционный и приемочный контроль качества устройства буровых свай следует осуществлять в соответствии с техническими требованиями, указанными в таблице 6.3.

Таблица 6.3

Параметр Величина параметра Контроль (метод, объем, вид регистрации)
1. Отклонение от проектного положения элементов арматурного каркаса буровой сваи, см:   Операционный (измерения стальной лентой и линейкой)
взаимного расположения продольных стержней по периметру каркаса +/- 1
длины стержней +/- 5
шага спирали +/- 2
расстояний между кольцами жесткости +/- 10
расстояний между фиксаторами защитного слоя +/- 10
высоты фиксаторов +/- 1
диаметра каркаса в местах расположения колец жесткости +/- 2
2. Отклонение параметров бетонной смеси с маркой по удобоукладываемости П4 для подводной укладки ее в скважины методом ВПТ:   Операционный, проверка по ГОСТ 10181
подвижности В пределах марки
водоотделения +/- 2% Операционный и визуальный
3. Показатели бетона свай:    
нарушение сплошности Не допускается Испытания выбуренных кернов сваи
прочности, % +20; -5  

Устройство и опускание колодцев

6.2.12. Для обоснованного выбора в конкретных местных условиях лучшего решения следует обследовать техническую возможность и экономическую целесообразность осуществления (имеющимися средствами) разных способов изготовления колодцев: на месте сооружения фундаментов (на предварительно подготовленной площадке, на поверхности отсыпанного островка, на стационарных подмостях) и в стороне от места возведения фундаментов (на специальном полигоне, на плавучих или стационарных подмостях), а также способов погружения колодцев в грунт: под действием собственного веса (с дополнительной пригрузкой с помощью балласта, домкратов и без них; с применением подмыва; с использованием тиксотропной рубашки и др.) и с помощью вибропогружателей.

6.2.13. На период опускания колодцев до проектного уровня необходимо принять меры по предотвращению возможности перекосов колодцев (применять направляющие устройства, равномерную разработку грунта по площади забоя, равномерную пригрузку колодца в случае использования балласта или гидравлических домкратов и др.) или затирания их грунтом (применять тиксотропную рубашку, гидравлический или гидропневматический подмыв, пригрузки и др.).

6.2.14. Для предотвращения возможности наплыва песчаных или гравийно-песчаных грунтов в полость опускаемого колодца необходимо, чтобы его нож был постоянно заглублен в грунт на 0,5 - 1 м, а уровень воды в колодце не опускался ниже уровня воды вне его. Если при зависании колодцев или при необходимости удаления валунов из-под их ножа требуется грунт выбирать ниже ножа, то это допускается производить только при наличии в полости колодца постоянного избыточного давления воды за счет ее долива до уровня, возвышающегося на 4 - 5 м над поверхностью воды вокруг колодца.

6.2.15. Приемочный контроль качества изготовления и опускания колодцев следует осуществлять в соответствии с техническими требованиями, приведенными в таблице 6.4.

Таблица 6.4

Параметр Величина параметра Контроль (метод, объем, вид регистрации)
1. Отклонение от проектных размеров сечений колодцев, %:    
по внешнему диаметру, но не более 10 см +/- 0,5 Приемочный (измерение лентой)
по длине и ширине, но не более 12 см +/- 0,5 То же
по диагонали 1 "
по радиусу закругления, но не более 6 см 0,5 "
2. Отклонение от проектной толщины стен колодца, см:    
бетонного +/- 3 Приемочный (измерение лентой)
железобетонного +/- 1 То же
3. Отклонение от проектного положения опущенного колодца:    
глубины погружения при горизонтальном смещении в уровне его верха 0,01 Приемочный (измерения теодолитом и линейкой)
наклона от вертикали 1% То же, измерения отвесом и линейкой
по глубине погружения колодца, см +/- 30 То же, измерение лентой

Устройство фундаментов мелкого заложения

6.2.16. Перерыв между окончанием разработки котлована и устройством фундамента, как правило, не допускается. При вынужденных перерывах должны быть приняты меры к сохранению природных свойств грунта основания. Дно котлована до проектных отметок (на 5 - 10 см) необходимо зачищать непосредственно перед устройством фундамента.

6.2.17. До устройства фундаментов должны быть выполнены работы по отводу поверхностных и подземных вод от котлована. Способ удаления воды из котлована (открытый водоотлив или дренаж, водопонижение и др.) должен быть выбран с учетом местных условий и согласован с проектной организацией. При этом должны быть предусмотрены меры против выноса грунта из-под возводимых и существующих сооружений, а также против нарушения природных свойств грунтовых оснований.

6.2.18. До начала работ по устройству фундаментов подготовленное основание должно быть принято по акту комиссией с участием заказчика и представителя строительной организации, а при необходимости - представителя проектной организации и геолога.

Комиссия должна установить соответствие фундамента проекту: расположение, размеры, отметку дна котлована, фактическое напластование и свойства грунтов, а также возможность заложения фундамента на проектной или измененной отметке.

Проверки для установления отсутствия нарушений природных свойств грунтов оснований следует, при необходимости, сопровождать отбором образцов для лабораторных испытаний, проведением зондирования или штамповых испытаний основания.

В случае если комиссией установлены значительные расхождения между фактическими и проектными характеристиками грунтов основания и возникла в связи с этим необходимость пересмотра проекта, решение о проведении дальнейших работ следует принимать при обязательном участии представителей проектной организации и заказчика.

6.2.19. Блоки сборных фундаментов следует укладывать на тщательно выровненное песчаное основание или песчано-цементную подушку толщиной не менее 5 см (на глинистых грунтах основания).

Случайные переборы грунта в отдельных местах должны быть заполнены тем же грунтом, доведенным до естественной плотности.

6.2.20. Приемочный контроль качества работ следует осуществлять согласно техническим требованиям, указанным в таблице 6.5.

Таблица 6.5

Параметр Величина параметра, см Контроль (метод, объем, вид регистрации)
Отклонение фактических размеров и положения забетонированных на месте (и сборных) фундаментов и ростверков от проектных, см: +/- 5 (+/- 2) Приемочный (измерения теодолитом, лентой и линейкой)
размеров в плане +2; -0,5 То же
толщины защитного слоя (+1; -0,5) "
положения по высоте верха (обреза) фундамента или ростверка +/- 2 (+/- 1) "
положения в плане относительно разбивочных осей 2,5 (1) "
Примечание - Значения, приведенные в таблице в скобках, относятся к сборным фундаментам и ростверкам.

В процессе устройства фундаментов необходимо контролировать:

обеспечение необходимых недоборов грунта в котловане, недопущение переборов и нарушений структуры грунта основания;

недопущение нарушений структуры грунта во время срезки недоборов, подготовки оснований и укладки блоков фундаментов;

предохранение грунтов в котловане от подтапливания подземными или поверхностными водами с размягчением и размывом верхних слоев основания;

соответствие характеристик вскрытых грунтов основания предусмотренным в проекте;

достаточность примененных мер по защите грунта основания от промерзания в период от вскрытия котлована и до окончания возведения фундамента;

соответствие фактической глубины заложения и размеров фундамента, а также его конструкции и качества примененных материалов предусмотренным в проекте.

Установка блоков фундаментов и стен подземной части зданий

6.2.21. Установку блоков фундаментов стаканного типа и их элементов в плане следует производить относительно разбивочных осей по двум взаимно перпендикулярным направлениям, совмещая осевые риски фундаментов с ориентирами, закрепленными на основании, или контролируя правильность установки геодезическими приборами.

6.2.22. Установку блоков ленточных фундаментов и стен подвала следует производить, начиная с установки маячных блоков в углах здания и на пересечении осей. Маячные блоки устанавливают, совмещая их осевые риски с рисками разбивочных осей, по двум взаимно перпендикулярным направлениям. К установке рядовых блоков следует приступать после выверки положения маячных блоков в плане и по высоте.

6.2.23. Фундаментные блоки следует устанавливать на выровненный до проектной отметки слой песка. Предельное отклонение отметки выравнивающего слоя песка от проектной не должно превышать -15 мм.

Установка блоков фундаментов на покрытые водой или снегом основания не допускается.

Стаканы фундаментов и опорные поверхности должны быть защищены от загрязнения.

6.2.24. Установку блоков стен подвала следует выполнять с соблюдением перевязки. Рядовые блоки следует устанавливать, ориентируя низ по обрезу блоков нижнего ряда, верх - по разбивочной оси. Блоки наружных стен, устанавливаемые ниже уровня грунта, необходимо выравнивать по внутренней стороне стены, а выше - по наружной. Вертикальные и горизонтальные швы между блоками должны быть заполнены раствором и расшиты с двух сторон.

6.3. Установка колонн и рам

6.3.1. Проектное положение колонн и рам следует выверять по двум взаимно перпендикулярным направлениям.

6.3.2. Низ колонн следует выверять, совмещая риски, обозначающие их геометрические оси в нижнем сечении, с рисками разбивочных осей или геометрических осей ниже установленных колонн.

Способ опирания колонн на дно стакана должен обеспечивать закрепление низа колонны от горизонтального перемещения на период до замоноличивания узла.

6.3.3. Верх колонн многоэтажных зданий следует выверять, совмещая геометрические оси колонн в верхнем сечении с рисками разбивочных осей, а колонн одноэтажных зданий - совмещая геометрические оси колонн в верхнем сечении с геометрическими осями в нижнем сечении.

6.3.4. Выверку низа рам в продольном и поперечном направлениях следует производить путем совмещения рисок геометрических осей с рисками разбивочных осей или осей стоек в верхнем сечении нижестоящей рамы.

Выверку верха рам надлежит производить: из плоскости рам - путем совмещения рисок осей стоек рам в верхнем сечении относительно разбивочных осей, в плоскости рам - путем соблюдения отметок опорных поверхностей стоек рам.

6.3.5. Применение не предусмотренных проектом прокладок в стыках колонн и стоек рам для выравнивания высотных отметок и приведения их в вертикальное положение без согласования с проектной организацией не допускается.

6.3.6. Ориентиры для выверки верха и низа колонн и рам должны быть указаны в ППР.

6.4. Установка ригелей, балок, ферм, плит перекрытий и покрытий

6.4.1. Укладку элементов в направлении перекрываемого пролета надлежит выполнить с соблюдением установленных проектом размеров глубины опирания их на опорные конструкции или зазоров между сопрягаемыми элементами.

6.4.2. Установку элементов в поперечном направлении перекрываемого пролета следует выполнять:

ригелей и межколонных (связевых) плит - совмещая риски продольных осей устанавливаемых элементов с рисками осей колонн на опорах;

подкрановых балок - совмещая риски, фиксирующие геометрические оси верхних поясов балок, с разбивочной осью;

подстропильных и стропильных ферм (балок) при опирании на колонны, а также стропильных ферм при опирании на подстропильные фермы - совмещая риски, фиксирующие геометрические оси нижних поясов ферм (балок), с рисками осей колонн в верхнем сечении или с ориентирными рисками в опорном узле подстропильной фермы;

стропильных ферм (балок), опирающихся на стены, - совмещая риски, фиксирующие геометрические оси нижних поясов ферм (балок), с рисками разбивочных осей на опорах.

Во всех случаях стропильные фермы (балки) следует устанавливать с соблюдением односторонней направленности отклонений от прямолинейности их верхних поясов:

плит перекрытий - по разметке, определяющей их проектное положение на опорах и выполняемой после установки в проектное положение конструкций, на которые они опираются (балки, ригели, стропильные фермы и т.п.);

плит покрытий по фермам (стропильным балкам) - симметрично относительно центров узлов ферм (закладных изделий) вдоль их верхних поясов.

6.4.3. Ригели, межколонные (связевые) плиты, фермы (стропильные балки), плиты покрытий по фермам (балкам) укладывают насухо на опорные поверхности несущих конструкций.

6.4.4. Плиты перекрытий необходимо укладывать на слой раствора толщиной не более 20 мм, совмещая поверхности смежных плит вдоль шва со стороны потолка.

6.4.5. Выверку подкрановых балок по высоте следует производить по наибольшей отметке в пролете или на опоре с применением прокладок из стального листа. В случае применения пакета прокладок они должны быть сварены между собой, пакет приварен к опорной пластине.

6.4.6. Установку ферм и стропильных балок в вертикальной плоскости следует выполнять путем выверки их геометрических осей на опорах относительно вертикали.

6.4.7. Применение не предусмотренных проектом подкладок для выравнивания положения укладываемых элементов по отметкам без согласования с проектной организацией не допускается.

6.5. Установка панелей стен

6.5.1. Установку панелей наружных и внутренних стен следует производить, опирая их на выверенные относительно монтажного горизонта маяки. Прочность материала, из которого изготовляют маяки, не должна быть выше установленной проектом прочности на сжатие раствора, применяемого для устройства постели.

Отклонения отметок маяков относительно монтажного горизонта не должны превышать +/- 5 мм. При отсутствии в проекте специальных указаний толщина маяков должна составлять 10 - 30 мм. Между торцом панели после ее выверки и растворной постелью не должно быть щелей.

6.5.2. Выверку панелей наружных стен однорядной разрезки следует производить:

в плоскости стены - совмещая осевую риску панели в уровне низа с ориентирной риской на перекрытии, вынесенной от разбивочной оси. При наличии в стыках панелей зон компенсации накопленных погрешностей (при стыковании панелей внахлест в местах устройства лоджий, эркеров и других выступающих или западающих частей здания) выверку можно производить по шаблонам, фиксирующим проектный размер шва между панелями; из плоскости стены - совмещая нижнюю грань панели с установочными рисками на перекрытии, вынесенными от разбивочных осей;

в вертикальной плоскости - выверяя внутреннюю грань панели относительно вертикали.

6.5.3. Установку поясных панелей наружных стен каркасных зданий следует производить:

в плоскости стены - симметрично относительно оси пролета между колоннами путем выравнивания расстояний между торцами панели и рисками осей колонн в уровне установки панели;

из плоскости стены: в уровне низа панели - совмещая нижнюю внутреннюю грань устанавливаемой панели с гранью нижестоящей панели; в уровне верха панели - совмещая (с помощью шаблона) грань панели с риской оси или гранью колонны.

6.5.4. Выверку простеночных панелей наружных стен каркасных зданий следует производить:

в плоскости стены - совмещая риску оси низа устанавливаемой панели с ориентирной риской, нанесенной на поясной панели;

из плоскости стены - совмещая внутреннюю грань устанавливаемой панели с гранью нижестоящей панели;

в вертикальной плоскости - выверяя внутреннюю и торцевую грани панели относительно вертикали.

6.6. Установка вентиляционных блоков, объемных блоков шахт лифтов и санитарно-технических кабин

6.6.1. При установке вентиляционных блоков необходимо следить за совмещением каналов и тщательностью заполнения горизонтальных швов раствором. Выверку вентиляционных блоков следует выполнять, совмещая оси двух взаимно перпендикулярных граней устанавливаемых блоков в уровне нижнего сечения с рисками осей нижестоящего блока. Относительно вертикальной плоскости блоки 112 следует устанавливать, выверяя плоскости двух взаимно перпендикулярных граней. Стыки вентиляционных каналов блоков следует тщательно очищать от раствора и не допускать попадания его и других посторонних предметов в каналы.

6.6.2. Объемные блоки шахт лифтов следует монтировать, как правило, с установленными в них кронштейнами для закрепления направляющих кабин и противовесов. Низ объемных блоков необходимо устанавливать по ориентирным рискам, вынесенным на перекрытие от разбивочных осей и соответствующим проектному положению двух взаимно перпендикулярных стен блока (передней и одной из боковых). Относительно вертикальной плоскости блоки следует устанавливать, выверяя грани двух взаимно перпендикулярных стен блока.

6.6.3. Санитарно-технические кабины надлежит устанавливать на прокладки. Выверку низа и вертикальности кабин следует производить по 6.6.2. При установке кабин канализационный и водопроводный стояки необходимо тщательно совмещать с соответствующими стояками нижерасположенных кабин. Отверстия в панелях перекрытий для пропуска стояков кабин после их установки, монтажа стояков и проведения гидравлических испытаний должны быть тщательно заделаны раствором.

6.7. Возведение зданий методом подъема перекрытий

6.7.1. Перед подъемом плит перекрытий необходимо проверить наличие проектных зазоров между колоннами и воротниками плит, между плитами и стенами ядер жесткости, а также чистоту предусмотренных проектом отверстий для подъемных тяг.

6.7.2. Подъем плит перекрытий следует производить после достижения бетоном прочности, указанной в проекте.

6.7.3. Применяемое оборудование должно обеспечивать равномерный подъем плит перекрытий относительно всех колонн и ядер жесткости. Отклонение отметок отдельных опорных точек на колоннах в процессе подъема не должно превышать 0,003 пролета и должно быть не более 20 мм, если иные величины не предусмотрены в проекте.

6.7.4. Временное закрепление плит к колоннам и ядрам жесткости следует проверять на каждом этапе подъема.

6.7.5. Конструкции, поднятые до проектной отметки, следует крепить постоянными креплениями; при этом должны быть оформлены акты промежуточной приемки законченных монтажом конструкций.

6.8. Сварка и антикоррозионное покрытие закладных и соединительных изделий

6.8.1. Сварку закладных и соединительных изделий надлежит выполнять в соответствии с разделом 10.

6.8.2. Антикоррозионное покрытие сварных соединений, а также участков закладных деталей и связей надлежит выполнять во всех местах, где при монтаже и сварке нарушено заводское покрытие. Способ антикоррозионной защиты и толщина наносимого слоя должны быть указаны в проекте.

6.8.3. Непосредственно перед нанесением антикоррозионных покрытий защищаемые поверхности закладных изделий, связей и сварных соединений должны быть очищены от остатков сварочного шлака, брызг металла, жиров и других загрязнений.

6.8.4. В процессе нанесения антикоррозионных покрытий необходимо особо следить за тем, чтобы защитным слоем были покрыты углы и острые грани изделий.

6.8.5. Качество антикоррозионных покрытий надлежит проверять в соответствии с требованиями СП 28.13330.

6.8.6. Данные о выполненной антикоррозионной защите соединений должны быть оформлены актами освидетельствования скрытых работ.

6.9. Замоноличивание стыков и швов

6.9.1. Замоноличивание стыков следует выполнять после проверки правильности установки конструкций, приемки соединений элементов в узлах сопряжений и выполнения антикоррозионного покрытия сварных соединений и поврежденных участков покрытия закладных изделий.

6.9.2. Класс бетона и марка раствора для замоноличивания стыков и швов должны быть указаны в проекте.

6.9.3. Бетонные смеси, применяемые для замоноличивания стыков, должны отвечать требованиям ГОСТ 7473. Для компенсации усадки и обеспечения водонепроницаемости в стыках и швах в качестве вяжущего допускается применять напрягающий цемент по ГОСТ Р 56727 или портландцемент по ГОСТ 10178 с расширяющей добавкой по ГОСТ Р 56592 или ГОСТ Р 56178. (в ред. Изменения N 3, утв. Приказом Минстроя РФ от 26.12.2017 N 1719/пр)

6.9.4. Для приготовления бетонных смесей следует применять быстротвердеющие портландцементы или портландцементы М400 и выше. С целью интенсификации твердения бетонной смеси в стыках необходимо применять химические добавки - ускорители твердения. Наибольший размер зерен крупного заполнителя в бетонной смеси не должен превышать 1/3 наименьшего размера сечения стыка и 3/4 наименьшего расстояния в свету между стержнями арматуры. Для улучшения удобоукладываемости в смеси следует вводить пластифицирующие добавки, соответствующие требованиям ГОСТ 24211.

6.9.5. Опалубка для замоноличивания стыков и швов, как правило, должна быть инвентарной и отвечать требованиям ГОСТ 34329. (в ред. Изменения N 4, утв. Приказом Минстроя РФ от 30.12.2020 N 905/пр)

6.9.6. Непосредственно перед замоноличиванием стыков и швов необходимо: проверить правильность и надежность установки опалубки, применяемой при замоноличивании; очистить стыкуемые поверхности от мусора и грязи, снега и наледи.

Монтаж сборных железобетонных панелей на слой замерзшего раствора не допускается. Прочность раствора в горизонтальных и вертикальных стыках сборных панелей для различных стадий готовности здания в зависимости от монтируемого этажа должна быть указана в проекте или ППР.

6.9.7. При замоноличивании стыков уплотнение бетона (раствора), уход за ним, контроль режима выдерживания, а также контроль качества следует выполнять в соответствии с требованиями раздела 5.

6.9.8. Прочность бетона или раствора в стыках ко времени распалубки должна соответствовать указанной в проекте, а при отсутствии такого указания - должна быть не менее 50% проектной прочности на сжатие.

6.9.9. Фактическую прочность уложенного бетона (раствора) следует контролировать испытанием серии образцов, изготовленных на месте замоноличивания. Для проверки прочности следует изготовлять не менее трех образцов на группу стыков, бетонируемых в течение данной смены.

Испытания образцов необходимо производить по ГОСТ 10180 и ГОСТ 5802.

6.9.10. Методы предварительного обогрева стыкуемых поверхностей и прогрева замоноличенных стыков и швов, продолжительность и температурно-влажностный режим выдерживания бетона (раствора), способы утепления, сроки и порядок распалубливания и загружения конструкций с учетом особенностей выполнения работ в зимних условиях, а также в жаркую и сухую погоду должны быть указаны в ППР.

6.10. Водо-, воздухо- и паропроницаемость, тепло- и звукоизоляция стыков наружных стен и монтажных узлов примыкания оконных и дверных блоков к стеновым проемам

6.10.1. Показатели основных эксплуатационных характеристик сопротивления теплопередачи, воздухо-, водо- и паропроницаемости, звукоизоляции, деформационной устойчивости стыков наружных стен и узлов примыкания оконных и дверных блоков к стеновым панелям устанавливают в рабочей документации.

Конструкции монтажных швов узлов примыкания оконных и дверных блоков к стеновым проемам должны удовлетворять требованиям ГОСТ 30971 и СП 50.13330.

6.10.2. Стыки и швы монтажных узлов должны быть устойчивы к различным эксплуатационным воздействиям: атмосферным факторам, температурно-влажностному режиму помещения, силовым (температурным, механическим, усадочным и др.) воздействиям.

6.10.3. Выбор материалов для устройства стыков и монтажных узлов примыканий, а также определение размеров монтажных зазоров следует производить с учетом возможных эксплуатационных (температурных, осадочных) изменений линейных размеров конструкций и изделий по показателям деформационной устойчивости. При этом эластичные изоляционные материалы, предназначенные для эксплуатации в сжатом состоянии, должны быть подобраны с учетом их расчетной (рабочей) степени сжатия.

6.10.4. Величина сопротивления теплопередачи стыка и монтажного шва примыкания должны обеспечивать температуру внутренней поверхности конструкции, оконного и дверного откоса не ниже требуемой по СП 50.13330.

Значение показателей воздухо-, водонепроницаемости, звукоизоляции стыков и монтажных швов не должны быть ниже значений этих показателей для применяемых конструкций и изделий.

6.10.5. Материалы для стыков и монтажных швов должны соответствовать требованиям стандартов, условиям договоров на поставку и технической документации.

6.10.6. Транспортирование, хранение и применение изолирующих материалов следует производить в соответствии с требованиями стандартов или технических условий.

Изолирующие материалы после истечения установленного стандартами или техническими условиями срока хранения перед применением подлежат контрольной проверке в лаборатории.

6.10.7. Панели должны поставляться на объекты с огрунтованными поверхностями, образующими стыки. Грунтовка должна образовывать сплошную пленку.

6.10.8. Поверхности панелей наружных стен, образующие стыки, перед выполнением работ по устройству водо- и воздухоизоляции должны быть очищены от пыли, грязи, наплывов бетона и просушены.

Поверхностные повреждения бетонных панелей в месте устройства стыков (трещины, раковины, сколы) должны быть отремонтированы с применением полимерцементных составов. Нарушенный грунтовочный слой должен быть восстановлен в построечных условиях.

Нанесение герметизирующих мастик на влажные, заиндевевшие или обледеневшие поверхности стыков не допускается.

6.10.9. Для воздухоизоляции стыков применяются воздухозащитные ленты, закрепляемые на клеях или самоклеящиеся. Соединять воздухозащитные ленты по длине необходимо внахлест с длиной участка нахлеста 100 - 120 мм. Места соединения лент в колодцах вертикальных стыков должны располагаться на расстоянии не менее 0,3 м от пересечения вертикальных и горизонтальных стыков. При этом конец нижерасположенной ленты следует наклеивать поверх ленты, устанавливаемой в стыке монтируемого этажа.

Соединять ленты по высоте до замоноличивания колодцев стыков нижерасположенного этажа не допускается.

6.10.10. Наклеенная воздухозащитная лента должна плотно прилегать к изолируемой поверхности стыков без пузырей, вздутий и складок.

6.10.11. Теплоизоляционные вкладыши следует устанавливать в колодцы вертикальных стыков панелей наружных стен после устройства воздухоизоляции.

Материалы вкладышей должны иметь влажность, установленную стандартами или техническими условиями на эти материалы.

6.10.12. Установленные вкладыши должны плотно прилегать к поверхности колодца по всей высоте стыка и быть закреплены в соответствии с проектом.

В местах стыкования теплоизоляционных вкладышей не должно быть зазоров. При устранении зазоров между вкладышами они должны быть заполнены материалом той же плотности.

6.10.13. Уплотняющие прокладки в устьях стыков закрытого и дренированного типов следует устанавливать насухо (без обмазки клеем). В местах пересечения стыков закрытого типа уплотняющие прокладки в первую очередь следует устанавливать в горизонтальных стыках.

6.10.14. В стыках закрытого типа при сопряжении наружных стеновых панелей внахлест, в горизонтальных стыках дренированного типа (в зоне водоотводящего фартука), в горизонтальных стыках открытого типа, а также в стыках панелей пазогребневой конструкции допускается установка уплотняющих прокладок до монтажа панелей. При этом прокладки должны быть закреплены в проектном положении. В остальных случаях установку уплотняющих прокладок необходимо производить после монтажа панелей.

Прибивать уплотняющие прокладки к поверхностям, образующим стыковые сопряжения панелей наружных стен, не допускается.

6.10.15. Уплотняющие прокладки следует устанавливать в стыки без разрывов.

Соединять уплотняющие прокладки по длине необходимо "на ус", располагая место соединения на расстоянии не менее 0,3 м от пересечения вертикального и горизонтального стыков.

Уплотнять стыки двумя скрученными вместе прокладками не допускается.

6.10.16. Обжатие прокладок, установленных в стыках, должно составлять не менее 20% диаметра (ширины) их поперечного сечения.

6.10.17. Изоляцию стыков мастиками следует производить после установки уплотняющих прокладок путем нагнетания мастик в устье стыка электрогерметизаторами, пневматическими, ручными шприцами и другими средствами.

Допускается при выполнении ремонтных работ наносить отверждающиеся мастики шпателями. Разжижение мастик и нанесение их кистями не допускается.

6.10.18. При приготовлении двухкомпонентных отверждающихся мастик не допускается нарушать паспортную дозировку и разукомплектовывать их компоненты, перемешивать компоненты вручную и добавлять в них растворители.

6.10.19. Температура мастик в момент нанесения при положительных температурах наружного воздуха должна быть 15 - 20 °C. В зимние периоды температура, при которой наносят мастику, а также температура мастики в момент нанесения должны соответствовать указанным в технических условиях завода - изготовителя мастики. При отсутствии в технических условиях соответствующих указаний температура мастик в момент нанесения должна составлять: для нетвердеющих - 35 - 40 °C, для отверждающихся - 15 - 20 °C.

6.10.20. Нанесенный слой мастики должен заполнять без пустот все устье стыка до упругой прокладки, не иметь разрывов, наплывов.

Толщина нанесенного слоя мастики должна соответствовать установленной проектом. Предельное отклонение толщины слоя мастики от проектной не должно превышать плюс 2 мм.

Сопротивление нанесенных мастик отрыву от поверхности панели должно соответствовать показателям, приведенным в соответствующих стандартах или технических условиях на мастику.

6.10.21. Защита нанесенного слоя нетвердеющей мастики должна быть выполнена материалами, указанными в проекте. При отсутствии специальных указаний в проекте для защиты могут быть применены полимерцементные растворы, ПВХ, бутадиенстирольные или кумаронокаучуковые краски.

6.10.22. В стыках открытого типа жесткие водоотбойные экраны следует вводить в вертикальные каналы открытых стыков сверху вниз до упора в водоотводящий фартук.

При применении жестких водоотбойных экранов в виде гофрированных металлических лент их следует устанавливать в вертикальные стыки так, чтобы раскрытие крайних гофр было обращено к фасаду. Экран должен входить в паз свободно. При раскрытии вертикального стыка панелей более 20 мм следует устанавливать две ленты, склепанные по краям.

Гибкие водоотбойные экраны (ленты) устанавливают в вертикальные стыки как снаружи, так и изнутри здания.

6.10.23. Неметаллические водоотводящие фартуки из упругих материалов следует наклеивать на верхние грани стыкуемых панелей на длину не менее 100 мм в обе стороны от оси вертикального стыка.

6.10.24. Приемку монтажных узлов примыкания к стеновым проемам производят по ГОСТ 30971 путем проведения:

входного контроля качества применяемых материалов;

контроля качества подготовки оконных проемов и оконных блоков;

производственного операционного контроля;

приемо-сдаточных испытаний при производстве работ;

классификационных и периодических лабораторных испытаний материалов и монтажных швов.

Входной контроль качества материалов и изделий, контроль качества подготовки оконных проемов и установки оконных блоков, а также периодические испытания при производстве работ по устройству монтажных швов проводит строительная лаборатория или служба контроля качества строительной (монтажной) организации, имеющая соответствующий допуск.

Результаты всех видов контроля фиксируют в соответствующих журналах учета качества.

Завершение работ по устройству монтажных швов оформляют актом скрытых работ и актом сдачи-приемки.

7. Монтаж легких ограждающих конструкций

7.1. Общие требования при монтаже легких ограждающих конструкций

7.1.1. Перед началом монтажа легких ограждающих конструкций строительная площадка освобождается от посторонних строительных конструкций, материалов, механизмов и строительного мусора и ограждается [11]. Ограждения должны удовлетворять требованиям ГОСТ 23407; устанавливаются предупреждающие знаки по ГОСТ Р 12.4.026.

Официальный источник электронного документа содержит неточность: имеется в виду ГОСТ 12.4.026-2015.

7.1.2. Временное хранение металлических легких ограждающих конструкций осуществляется в заводской упаковке, обеспечивающей водонепроницаемость пакета, на складе (под навесом), защищающем от воздействия прямых солнечных лучей, атмосферных осадков и пыли. Склад должен быть закрытым, сухим, с твердым покрытием пола.

7.1.3. Временное хранение металлических легких ограждающих конструкций в заводской упаковке может быть организовано на открытой площадке при соблюдении следующих условий:

площадка обустраивается с уклоном в сторону дренажа воды и отвода талых вод;

пакеты панелей укладывают в штабель высотой не более 2500 мм на деревянных брусках толщиной не менее 100 см, с шагом 1 - 1,5 м. Пачки гофрированных листов могут быть уложены штабелями в составе не более двух ярусов;

пакеты и пачки зачехляют водозащитным материалом, например брезентом, так чтобы низ пакетов остался открытым и под пакетами возникла циркуляция воздуха.

7.1.4. Временное хранение теплоизоляции, крепежа, нащельников, откосов, герметиков, клея, краски и т.п. на строительной площадке осуществляется в заводской упаковке в закрытом проветриваемом складе.

Временное хранение и укладка сэндвич-панелей производятся с учетом очередности их монтажа.

7.1.5. Резку стальных оцинкованных тонкостенных профилей, фасонных, крепежных элементов и облицовки сэндвич-панелей следует выполнять лобзиками, циркулярными пилами, ручными ножовками с мелким зубом; утеплителя - специальными ножами. Стальную стружку следует немедленно удалять, чтобы она не повредила облицовочной поверхности панели.

7.1.6. Для резки панелей, фасонных и крепежных элементов не следует применять абразивные круги.

7.1.7. Сварочные и механические работы, связанные с резанием и шлифованием абразивными кругами, производят на таком расстоянии от профилированных листов, профилей наружной отделки и панелей, чтобы не повредить их облицовочных поверхностей.

7.1.8. Работы по монтажу легких ограждающих конструкций выполняются при температуре окружающего воздуха от минус 15 °C до плюс 30 °C, несколькими захватками в одну или две смены. В смену могут работать одновременно несколько бригад (звеньев) монтажников, каждая на своей вертикальной захватке, по четыре-пять человек в каждой бригаде (звене).

7.2. Ограждающие конструкции из хризотилцементных листов, экструзионных панелей и плит

7.2.1. Стены горизонтальной и вертикальной разрезок следует монтировать, как правило, с предварительной укрупнительной сборкой в "карты". При соответствующем технико-экономическом обосновании допускается поэлементный монтаж.

7.2.2. Укрупнительную сборку панелей стен в "карты" необходимо выполнять на стендах в зоне действия основного монтажного крана.

7.2.3. Панели перегородок в многоэтажных зданиях следует монтировать после монтажа несущих элементов на этаже с применением специальных приспособлений (кантователей, вышек с лебедками и др.) без использования монтажных кранов; в одноэтажных зданиях - с помощью монтажных кранов или специальных приспособлений.

7.2.4. Установка панелей и плит в плане и по высоте должна выполняться путем совмещения установочных рисок, нанесенных на монтируемых и опорных конструкциях. Верх панелей необходимо выверять относительно разбивочных осей.

7.2.5. Уплотняющие прокладки в горизонтальные и вертикальные стыки панелей необходимо укладывать до установки панелей.

7.2.6. Законченные монтажом конструкции стен из хризотилцементных листов, экструзионных панелей следует принимать поэтажно, посекционно или по пролетам.

7.2.7. При приемке следует проверять надежность закрепления панелей, отсутствие трещин, зыбкости, поврежденных мест. Промежуточному контролю подлежит изоляция стыков между панелями стен.

7.2.8. При отсутствии в проекте специальных требований отклонения смонтированных панелей в конструкциях стен и перегородок не должны превышать величин, приведенных в таблице 7.1.

Таблица 7.1

Технические требования Предельные отклонения, мм Контроль (метод, объем, вид регистрации)
1. Уступ между смежными гранями панелей из их плоскости 4 Измерительный, каждый элемент, журнал работ
2. Толщина шва между смежными панелями по длине +/- 4 То же
3. Отклонение панелей от вертикали 5 "

7.3. Монтаж металлических ограждающих конструкций кровли полистовой сборки и из сэндвич-панелей

7.3.1. Перед началом монтажа листов кровли и кровельных панелей необходимо завершить работы по устройству стропил и прогонов, проверить на соответствие проекту горизонтальность, вертикальность, параллельность и плоскостность мест монтажа кровельных панелей.

7.3.2. Перед монтажом кровельного покрытия следует соорудить на несущих конструкциях вспомогательную рабочую площадку - настил, подготовить средства подмащивания для монтажа листов кровли и панелей. При подготовке мест для монтажа панелей на стальных стропилах, ригелях, прогонах следует нанести антикоррозионное лакокрасочное покрытие на места примыкания и контакта. Производится окончательная нивелировка и разметка расположения низа первых панелей.

На кровельные прогоны приклеивается уплотнитель - терморазделяющая полоса (УПТП) для снижения воздухопроницаемости через стыки ограждающей конструкции и снижения звуковой вибрации сэндвич-панелей.

7.3.3. Панели должны быть подготовлены к монтажу в заводских условиях или на строительной площадке следующим образом:

у панелей со стороны свеса предварительно удаляются нижняя облицовка и внутренняя часть (утеплитель) на величину, указанную в проекте (обычно 100 мм);

остатки клея с внутренней стороны металлической облицовки удаляются с применением растворителя для полиуретановой пены и механическим путем, поврежденное антикоррозионное покрытие при этой операции необходимо восстановить подкрашиванием;

у первой панели, а также у панелей, примыкающих к торцу здания, должен быть обрезан по продольной кромке свободный гофр верхней обшивки заподлицо с минеральным утеплителем для установки торцевого обрамляющего нащельника.

7.3.4. На панель нижнего ряда в месте перехлеста наносят герметизирующий состав из силикона или герметизирующий бутилкаучуковый шнур. Слой герметизирующего состава наносится в замок типа "паз" нижнего листа смонтированной панели, а также в желобок замкового гофра подготовленной для продолжения монтажа панели. Допускается герметизирующий состав наносить непосредственно на вершину крайнего гофра смонтированной панели. Вместо герметика можно использовать уплотнитель замкового соединения ТСП (8 мм x 30 м) или герметизирующую ленту (10 мм x 100 м).

7.3.5. Крепление панелей производится сначала к несущим конструкциям кровли, а затем в стыке. При этом используются самонарезающие винты, диаметр и длина которых зависит от несущей конструкции кровли и толщины панелей и которые указаны в проекте кровли (см. таблицу 4.5). Крепление панелей производится от верха по уклону ската кровли вниз, от конька до свеса.

Панель допускается крепить предварительно двумя метизами, но в конце смены необходимо закрепить панель полным количеством винтов согласно проекту.

7.3.6. Установка стальных листовых гнутых профилей с трапециевидными гофрами (далее гофрированные листы) при полистовой сборке кровли и стен должна проводиться по разметке, обеспечивающей фиксацию расчетной ширины профилированного листа (расстояния между осями крайних гофров), в соответствии со значениями, установленными ГОСТ 24045 и соответствующими нормативными документами, с точностью +/- 10 мм на ширину профилированного листа.

7.3.7. При выходе торцевых свесов несущего гофрированного листа кровли на фасад здания, в случае установки фасадных торцевых гребенок отклонения от точности монтажа листа по его ширине не должна превышать +/- 4 мм.

7.3.8. Крепление гофрированных листов несущей обшивки кровли и стен к несущим элементам каркаса осуществляется с помощью самонарезающих или самосверлящих винтов либо пристрелкой дюбелями в соответствии с рабочей документацией. В тех случаях, когда в документации не оговорен шаг крепежа, гофрированные листы должны крепиться к несущим элементам кровли в поперечном направлении через волну на промежуточных опорах и в каждой волне по периметру здания. Лист допускается крепить предварительно двумя метизами, но в конце смены необходимо закрепить листы полным количеством винтов согласно рабочей документации.

7.3.9. Крепление гофрированных листов кровли с помощью электрозаклепок допускается только в тех случаях, когда листы не окрашены и когда ширина полок несущих элементов (для стропильных ферм ширина пояса или полки одного из двух уголков пояса), на которые опирается гофрированный лист, должна быть более 100 мм.

7.3.10. В продольном направлении гофрированные листы крепятся между собой с помощью комбинированных заклепок или самонарезающих винтов, шаг крепежа - 500 мм, если это не оговорено в проектной документации.

7.3.11. Пароизоляция кровли должна быть уложена на нижний гофрированный лист с перехлестом отдельных листов пленки не менее 300 мм или склеена клейкой лентой. В случае прорывов пароизоляционной пленки повреждения должны быть заклеены заплатами из той же пленки, выходящими в стороны за пределы повреждения не менее чем на 250 мм.

7.3.12. Перед укладкой пароизоляции нижний настил кровли должен быть тщательно очищен щетками от грязи, пыли, стружки, льда, снега и воды.

Теплоизоляция укладывается в сухую погоду сплошным слоем. Минеральная вата или жесткие минераловатные плиты должны иметь естественную влажность. Теплоизоляция повышенной влажности должна быть предварительно высушена.

7.3.13. Верхний водозащитный слой кровли из гофрированных листов, если он не является несущим, крепится к тетивам кровли, уложенным по несущему настилу кровли из гофрированных листов, либо по жестким минераловатным плитам утеплителя с помощью самонарезающих или самосверлящих винтов, устанавливаемых с шагом не менее 400 мм на промежуточных тетивах и с шагом 200 мм по карнизным тетивам, если в рабочей документации нет других требований.

7.3.14. Верхние листы в продольном направлении крепятся между собой глухими комбинированными заклепками либо самонарезающими и самосверлящими винтами с шагом 500 мм, если это не оговорено в рабочей документации.

7.3.15. Все продольные и поперечные стыки верхнего слоя кровли должны быть заделаны герметиком, за исключением тех случаев, когда продольный шов соседних листов закатывается в двойной фальцевый шов.

7.3.16. В случае некачественной постановки крепежа (срез стержня винта, обрыв головки, неплотная посадка и т.п.) рядом, на расстоянии не менее пяти диаметров стержня крепежа и не более 60 мм, устанавливается новый элемент крепления. В тех случаях, когда можно рассверлить старое отверстие, ставится винт большого диаметра. Старое отверстие в верхнем слое кровли заделывается герметиком, зашпатлевывается и окрашивается под цвет лакокрасочного покрытия листов кровли.

7.3.17. Во избежание повреждения лакокрасочного покрытия верхнего настила кровли при сверлении отверстий следует удалять стружку щетками с поверхности настила.

Все работы по перемещению грузов, складированию материалов и монтажу конструктивных слоев кровли должны вестись с инвентарных деревянных трапов и мостиков, исключающих повреждения укладываемых слоев кровельного покрытия и пластические деформации гидроизолирующего кровельного листа.

Порядок и объемы складирования по поверхности кровли материалов и конструктивных элементов должны быть согласованы с авторами проекта.

7.3.18. Погрузочно-разгрузочные работы на монтаже кровли следует вести с помощью мягких фалов, траверс с вертикальными стропами либо другими способами, исключающими повреждение листов и лакокрасочного покрытия.

7.3.19. Складирование гофрированных листов кровли на строительной площадке должно осуществляться на деревянных прокладках сечением не менее 50 x 100 мм, установленных на расстоянии не более 2500 мм. Пачки гофрированных листов могут быть уложены штабелями в составе не более двух ярусов.

7.3.20. При сроке хранения оцинкованных неокрашенных гофрированных листов на строительной площадке или на складе более двух недель их следует размещать под навесом или укрывать пленкой от атмосферных осадков.

7.3.21. Листы профилированного настила следует укладывать и осаживать (в местах нахлестки) без повреждения лакокрасочного и цинкового покрытия и искажения формы. Металлический инструмент надлежит укладывать только на деревянные подкладки во избежание нарушения защитного покрытия.

7.3.22. Качество монтажа фасада обеспечивается текущим контролем технологических процессов подготовительных и основных работ, а также при приемке работ. По результатам текущего контроля технологических процессов составляются акты освидетельствования скрытых работ (на монтаж несущих конструкций и утеплителя).

7.3.23. При отсутствии в рабочей документации специальных требований отклонения смонтированных панелей и профилированных листов в конструкциях кровли не должны превышать величин, приведенных в таблице 7.2.

Таблица 7.2

Технические требования Предельные отклонения, мм Контроль (метод, объем, вид регистрации)
Отклонение от расчетной ширины профилированного листа +/- 5 Измерительный, каждый профиль, журнал работ
Отклонение от расчетной ширины профилированного листа при выходе торцевых свесов с установкой гребенок +/- 4 То же
Отклонение длины опирания профилированного настила на прогоны и ригели в местах поперечных стыков От 0 до -5 "
Точность укладки сэндвич-панелей +/- 2 Измерительный, выборочный, каждый стык, журнал работ
Отклонение положения центров:   Измерительный, выборочный, каждый стык, журнал работ
высокопрочных дюбелей, самонарезающих винтов, комбинированных заклепок; +/- 3
комбинированных заклепок при креплении продольных стыков настила +/- 10
Резка утеплителя в размер +/- 1 Измерительный, все плиты, журнал работ
Зазор между плитами утеплителя Не более 2 То же
Отклонение перехлеста полотнищ ветрогидрозащитной пленки +/- 50 Измерительный, все полотнища, журнал работ

7.4. Навесные вентилируемые фасады

7.4.1. При организации монтажных работ площадь фасада здания разбивается на захватки, в пределах которых выполняются работы разными звеньями монтажников.

Размеры захватки при использовании лесов определяются, в общем случае, по общей длине рабочего настила и высоты лесов.

7.4.2. Для проведения монтажа устанавливают леса на захватке, соответствующей заводскому комплекту лесов. При монтаже облицовочных панелей на высотные здания устанавливаются специальные леса с удвоенной стойкой. При необходимости леса могут устанавливаться не на нулевой отметке, а на высоте, на междуэтажном перекрытии здания, на опорном устройстве, монтируемом в проеме здания. Установка лесов и фасадного подъемника производится в соответствии с инструкциями предприятий - изготовителей лесов и подъемника. На леса навешивается защитная полимерная сетка.

7.4.3. На открытой площадке для работ и складирования строительных материалов и конструкций производятся следующие работы:

резка направляющих профилей электропилами;

раскрой и резка плит теплоизоляции выполняется специальными ножами;

раскрой ветровлагозащитной пленки.

Для резки направляющих профилей, фасонных и крепежных элементов не следует применять абразивные круги.

По завершении монтажа строительных лесов, площадок или платформ составляют акт о готовности их к использованию. При переносе конструкций (смене захватки) следует составлять новый акт.

7.4.4. Подготовительные работы заканчиваются разметкой точек крепления кронштейнов на фасаде. Разметку со строительных лесов выполняют по фронту лесов. При использовании фасадного подъемника разметку выполняют на каждой захватке по заранее вынесенным контрольным точкам.

Монтажные работы производятся как последовательными, так и параллельными технологическими потоками.

7.4.5. При выполнении работ монтажные работы выполняются в следующей последовательности:

монтаж кронштейнов;

монтаж плит теплоизоляции;

монтаж направляющих профилей;

монтаж фасонных элементов (отливов и откосов);

монтаж облицовочных плиток.

7.4.6. Монтаж плит теплоизоляции производится на сухую стену. Перед монтажом плиту предварительно прорезают, в стене просверливают отверстия. Диаметр и глубина просверленного отверстия должны соответствовать типоразмеру дюбеля (стального или композитного полимерного). Плиту теплоизоляции предварительно крепят двумя дюбелями. Укладывают ветровлагозащитную пленку, соединяя ее по швам степлером. И только после укрытия пленкой крепят остальными дюбелями, предусмотренными проектом. Полотнища пленки устанавливаются с перехлестом 100 мм. (в ред. Изменения N 4, утв. Приказом Минстроя РФ от 30.12.2020 N 905/пр)

7.4.7. Монтаж плит теплоизоляции ведется снизу вверх. Плиты утеплителя устанавливают плотно друг к другу, чтобы не было пустот в швах. Неизбежные пустоты заделывают тем же материалом.

7.4.8. Фасонные элементы: сливы и примыкания (к оконным и дверным проемам, кровле, парапетам, цоколю и т.п.) монтируют до монтажа облицовочных плиток из керамогранита, хризотилцемента и фиброцемента. В оконных и дверных проемах устанавливают противопожарные короба.

7.4.9. В процессе монтажных работ проверяют на соответствие проекту:

точность разметки фасада;

диаметр, глубину и чистоту отверстий под анкеры (дюбели);

точность и прочность крепления кронштейнов;

правильность и прочность крепления к стене плит утеплителя;

точность установки горизонтальных и вертикальных профилей, а также зазоры в местах их стыковки;

плоскостность облицовочных плиток и воздушные зазоры между ними и плитами утеплителя;

правильность устройства обрамлений углов и проемов вентилируемого фасада, цоколя и парапета.

7.4.10. При приемке работ производится осмотр фасада в целом и особенно тщательно мест примыканий, обрамлений углов и проемов окон, цоколя и парапета здания. Обнаруженные при осмотре дефекты устраняются до сдачи объекта в эксплуатацию.

7.4.11. Законченные монтажом конструкции каркаса, ветрогидрозащитной пленки и утеплителя следует принимать по захваткам или секциям.

7.4.12. При окончательной приемке смонтированных конструкций должна быть предъявлена документация, указанная в 3.23.

7.4.13. Предельные отклонения фактического положения конструкций фасадных систем от предусмотренного проектом не должны превышать значений, приведенных в таблице 7.3.

Таблица 7.3

Параметр Предельные отклонения, мм Контроль (метод, объем, вид регистрации)
Отклонение засверливаемых отверстий под дюбели и анкерные крепления:   Измерительный, каждое отверстие, исполнительная схема
глубина отверстия H - длина дюбеля + 10
диаметр отверстия D - диаметр дюбеля + 0,2
расстояние от угла стены или кромки несущего элемента Не менее 100
отклонение оси отверстия от проектного +/- 10,0
Резка утеплителя в размер +/- 1 Измерительный, все плиты, журнал работ
Зазор между плитами утеплителя Не более 2 То же
Перехлест полотнищ ветрогидрозащитной пленки От 100 до 150 Измерительный, все полотнища, журнал работ
Отклонение направляющих каркаса:   Измерительный, все направляющие, журнал работ
расстояние между направляющими +/- 2
по соосности смежных направляющих +/- 2
уступ по высоте в стыках +/- 4
Отклонение плит и панелей облицовки от проектного размера:   Измерительный, все плиты и панели, журнал работ
зазор между плитами; +/- 2
вертикальность и горизонтальность; 2 мм на 1 м длины
плоскость фасада 1/500 высоты фасада, но не более 100
зазор между торцами сэндвич-панелей для стыков:  
Z-Lock; +/- 3
Secret-fix +/- 1,5

7.5. Каркасно-обшивные перегородки

7.5.1. Транспортирование и хранение листов обшивки необходимо производить в условиях, исключающих возможность их увлажнения, загрязнения и механических повреждений.

7.5.2. Температура в помещениях, где монтируют перегородки, должна быть не ниже 10 °C, влажность воздуха - не более 70%.

7.5.3. Стыковку листов обшивки необходимо выполнять только на элементах каркаса.

7.5.4. При двухслойной обшивке каркаса стыки между листами должны располагаться вразбежку.

7.5.5. Винты и шурупы в местах крепления двух смежных листов следует располагать вразбежку.

7.5.6. Предельные отклонения элементов перегородок от проектного положения не должны превышать величин, приведенных в таблице 7.4.

Таблица 7.4

Параметр Предельные отклонения, мм Контроль (метод, объем, вид регистрации)
1. Смещение направляющих от разбивочных осей 3 Измерительный, каждый элемент, журнал работ
2. Расстояние между осями стоек +/- 2 То же
3. Минимальная величина нахлеста листа обшивки на стойку:   Измерительный, каждый элемент, журнал работ
в металлическом каркасе 10
в деревянном " 20
4. Расстояние между деталями крепления направляющих к несущим конструкциям +/- 5 То же
5. Зазоры между звукоизоляционными плитами, а также между ними и элементами каркаса Не более 2 "
6. Размер шва между стыкуемыми листами -1; +2 "
7. Углубление головки винта или шурупа в обшивку каркаса 0,5 - 1 "
8. Уступ между смежными листами вдоль шва 1 "

7.5.7. Законченные монтажом конструкции перегородок следует принимать поэтажно или по секциям.

7.5.8. При приемке следует проверять устойчивость каркаса, надежность крепления листов обшивки, отсутствие у листов надрывов, повреждений, сбитых углов по длине грани, масляных пятен и загрязнений.

7.5.9. Законченные монтажом и подготовленные для отделки перегородки должны иметь не более двух неровностей глубиной или высотой 3 мм при накладывании правила или шаблона длиной 2 м; отклонение перегородки от вертикали - не более 2 мм на 1 м высоты и 10 мм на всю высоту помещения.

7.6. Стены из панелей типа "сэндвич" и полистовой сборки

7.6.1. Перед монтажом стеновых профилей и панелей следует проверить точность металлического каркаса: вертикальность, горизонтальность, плоскостность мест монтажа, шаг колонн. На существующих металлоконструкциях в местах контакта необходимо восстановить антикоррозионное лакокрасочное покрытие.

7.6.2. Монтаж стен и перегородок зданий из легких металлических панелей типа "сэндвич" и монопанелей вертикальной и горизонтальной разрезки, кассет следует вести преимущественно попанельно.

7.6.3. Установка лесов для монтажа стен производится в соответствии с инструкциями предприятий - изготовителей лесов. Для возможности монтажа сэндвич-панелей расстояние от лесов до плоскости крепления сэндвич-панелей на колоннах, прогонах, ригелях должно быть увеличено со 150 до 300 мм.

7.6.4. Леса допускаются к эксплуатации после приемки комиссией, назначенной руководителем строительной организации, и регистрируются в журнале учета по ГОСТ 26887. Леса следует эксплуатировать в соответствии с инструкцией предприятия-изготовителя и [11]. Техническое состояние лесов контролируется перед каждой сменой и периодическими осмотрами через каждые 10 дней. Результаты периодических осмотров отмечают в упомянутом журнале.

7.6.5. Строповку пакетов панелей допускается производить только за обвязки вертикально расположенными стропами.

7.6.6. Запрещается при монтаже панелей вертикальной разрезки строповка со стороны верхней кромки панели и подъем ее поворотом относительно противоположной кромки.

7.6.7. Уплотняющие прокладки в вертикальных и горизонтальных стыках сэндвич-панелей следует укладывать до установки панелей.

7.6.8. Укрупнительную сборку стен из легких панелей в карты необходимо выполнять на стендах в зоне действия основного монтажного крана.

Предельные отклонения карт должны быть указаны в проекте. При отсутствии таких указаний предельные отклонения по длине и ширине - +/- 6 мм, по разности размеров диагоналей - 15 мм.

7.6.9. Все накладки горизонтальных и вертикальных стыков, а также угловые элементы панелей должны быть поставлены на герметик для исключения попадания влаги внутрь стыка.

7.6.10. Для термоизоляции несущих профилей и каркаса панелей от облицовочных материалов используется терморазделяющая полоса из вспененного пенополиэтилена или из жесткой минеральной ваты толщиной 30 мм. Для заделки стыков между профилями применяется самоклеящаяся алюминиевая лента.

7.6.11. При монтаже стеновых конструкций на каркасе или стене здания отмечают расположение маячных точек крепления листовых профилей. Разметка точек выполняется в соответствии с рабочим проектом на устройство фасада.

Сначала определяют маячные линии разметки фасада - нижнюю горизонтальную линию точек установки и двух крайних по фасаду здания вертикальных линий. Крайние точки горизонтальной линии определяют с помощью нивелира и отмечают их несмываемой краской. По двум крайним точкам, используя лазерный уровень и рулетку, определяют и отмечают промежуточные точки установки сэндвич-профилей. Затем по крайним точкам горизонтальной линии определяют вертикальные линии. Несмываемой краской отмечают точки установки профилей на крайних вертикальных линиях.

7.6.12. Монтаж стен с горизонтальной разрезкой производится снизу вверх, поярусно. В местах примыкания стеновых конструкций к колоннам здания наклеивают уплотнитель. Монтаж стен с вертикальной газорезкой ведется слева направо.

7.6.13. Перед монтажом следующей панели в замок типа "паз" смонтированной панели наносится уплотняющий герметик для наружных работ, или герметизирующий бутилкаучуковый шнур диаметром 8 мм, или уплотнитель ТСП сечением 8 x 3 мм. Замок уплотняется с внутренней стороны стены.

7.6.14. Фасонные элементы - цокольные, угловые, обрамления проемов, нащельники и другие устанавливают внахлест с герметизацией стыка в соответствии с конструктивными решениями монтажных углов. Нахлест должен составлять для горизонтальных элементов не менее 50 мм, а для вертикальных - от 80 до 100 мм. Очередность монтажа должна быть такой, чтобы обеспечить герметичность оформляемых узлов. Установку фасонных элементов ведут обычно от низа (цоколя) здания до конька кровли. Подгонку фасонных элементов, их обрезку и подрезку производят при необходимости по месту. Фасонные элементы уплотняют герметиком для наружных работ по плоскостям примыкания к панелям. Пропуски и щели при этом не допускаются.

7.6.15. Фасонные элементы крепят к панелям с наружной стороны здания при помощи самонарезающих винтов 4,8 x 28 мм с ЭПДМ-прокладкой или комбинированных заклепок 3,2 x 8 мм. При необходимости крепления фасонных элементов непосредственно к металлоконструкциям применяют самонарезающие винты 5,5 x 32 мм или 5,5 x 19 мм с ЭПДМ-прокладкой (для крепления к металлоконструкциям с толщиной полки до 12 мм или до 5 мм соответственно) без предварительного засверливания.

7.6.16. К стальным колоннам и фахверковым стойкам со стенками толщиной до 12 мм стеновые конструкции крепят самонарезающими винтами, без предварительного сверления отверстий. Если колонна железобетонная, то конструкции крепят анкерами (дюбелями) с предварительным сверлением отверстий. Для установки и крепления анкера через панель в бетоне колонны просверливается отверстие диаметром 4,8 мм или 6,3 мм. При этом заглубление анкера в бетон должно быть не менее 32 мм для диаметра 4,8 мм и 38 мм для диаметра 6,3 мм, а глубина отверстия - на 20 мм больше. Для сверления отверстий используют буры с рабочей длиной 100, 250 и 300 мм с алмазной режущей кромкой.

7.6.17. Фасонные элементы: сливы и примыкания (к оконным и дверным проемам, к кровле, к парапетам, к цоколю и т.п.) монтируют до монтажа стеновых облицовочных материалов из профлиста, сайдинга, линеарных панелей, фасадных кассет и плиток из керамогранита, хризотилцементных фасадных плит и плоских листов.

7.6.18. Приемка фасада из сэндвич-панелей производится приемочной комиссией в составе представителей заказчика и подрядчика и оформляется подписанием акта о приемке. К акту прилагаются документы, указанные в 3.23.

7.6.19. Предельные отклонения фактического положения конструкций фасадных систем от предусмотренного проектом не должны превышать значений, приведенных в таблице 7.5.

Таблица 7.5

Параметр Предельные отклонения Контроль (метод, объем, вид регистрации)
Отклонение от вертикальности и горизонтальности крепления облицовочных материалов 2 мм на 1 м длины Измерительный, каждый элемент, журнал работ
Отклонение плоскости фасада от вертикали 1/500 высоты фасада, но не более 100 мм То же
Монтаж профилей стенового каркаса Зазор в местах стыка направляющих 10 мм "
Отклонение от проектного расстояния между соседними направляющими 2 мм
Уступ между смежными по высоте направляющими 4 мм
Сверление отверстий под дюбели для железобетонных колонн Глубина + 10 мм: "
Диаметр - диаметр дюбеля + 0,2 мм
Расстояние от угла колонны - 100 мм
Расстояние между отверстиями не менее 100 мм
Отклонение точек крепления +/- 10 мм
Монтаж теплоизоляции Влажность не более 10% "
Точность резки плит +/- 1 мм
Шов между плитами, не более 2 мм
Монтаж сэндвич-панелей Толщина шва между смежными панелями по длине 10 мм "
Разность отметок концов горизонтально установленных панелей при длине панели:
до 6000 мм +/- 5 мм;
свыше 6000 до 12000 мм включительно +/- 10 мм
Отклонение от вертикали продольных кромок панелей 0,001L
Отклонения плоскости наружной поверхности стенового ограждения от вертикали 0,002H
Уступ между смежными гранями панелей из их плоскости 3 мм

7.7. Каркасно-обшивные конструкции стен и перекрытий поэлементной сборки

(в реед. Изменения N 4, утв. Приказом Минстроя РФ от 30.12.2020 N 905/пр)

7.7.1. Каркасно-обшивные конструкции поэлементной сборки (сборка панелей в условиях строительной площадки) выполняются с заполнением каркаса из ЛСТК эффективным утеплителем и последующей обшивкой плитными материалами.

7.7.2. Монтаж каркасно-обшивных конструкций выполняется по проектной документации (АР, АС, КМ, КМД, ППР) и разделам 3, 4 и 7.

7.7.3. Предельное отклонение геометрических размеров панели по диагонали после сборки не должно превышать +/- 3 мм.

7.7.4. Монтаж из предварительно собранных стеновых панелей следует начинать с угловых панелей. Панели устанавливаются вертикально и фиксируются временными раскосами.

7.7.5. Теплоизоляционный материал устанавливается враспор между стойками каркаса. При высоте панели до 3 м, дополнительного крепления утеплителя к стойкам каркаса не требуется. Для панелей высотой более 3 м, для исключения проседания утеплителя, устанавливаются перемычки на высоту двух длин утеплителя.

7.7.6. Полотна пленок и мембран крепятся горизонтально (поперек стоек каркаса) с помощью самоклеящейся ленты. Крепление следует начинать с нижней части каркаса стены с нахлестом соседних полотен в соответствии с маркировкой изготовителя, но не менее 100 мм.

7.7.7. Плиты наружной обшивки крепятся к несущему каркасу или дополнительной обрешетке самонарезающими винтами с шагом не более 200 мм. Минимальное краевое расстояние не менее 15 мм.

7.7.8. Плиты обшивки монтируются с зазором между собой в соответствии с проектной документацией, но не менее 3 мм.

7.7.9. Вертикальные деформационные швы в наружной фасадной облицовке устраиваются на всю высоту стены в соответствии с проектной документацией, но не реже чем через каждые 15 м.

7.7.10. Предельные отклонения от проектного положения смонтированных каркасно-обшивных конструкций не должны быть более указанных в таблице 7.6.

Таблица 7.6

Параметр Предельное отклонение, мм
Отклонение засверливаемых отверстий под дюбели и анкерные крепления:  
глубина отверстия h - длина дюбеля + 10
диаметр отверстия d - диаметр дюбеля + 0,2
расстояние от угла стены или кромки несущего элемента Не менее 70
отклонение оси отверстия от проектного отверстия +/- 5,0
Резка теплоизоляционного материала с припуском От +10 до +15
Зазор между плитами теплоизоляционного материала Не более 2
Перехлест полотнищ диффузионной ветроводозащитной пленки и пароизоляции От 100
Отклонение стоек каркаса при поэлементной сборке:  
расстояние между стойками +/- 2
соосность смежных стоек +/- 2
отклонение стоек +/- 1
Отклонение плит и панелей облицовки от проектного размера:  
зазор между плитами +/- 2
вертикальность и горизонтальность 2 мм на 1 м длины
плоскость фасада 1/500 высоты фасада
Смещение направляющих от разбивочных осей 3
Расстояние между осями стоек +/- 2
Минимальная величина нахлеста листа обшивки на стойку стального каркаса 5
Расстояние между деталями крепления направляющих к несущим конструкциям +/- 5
Зазор между стыкуемыми листами -1; +2
Углубление головки винта или шурупа в обшивку 0,5 - 1,0
Уступ между смежными листами вдоль шва 1
Отклонение толщины КОС от принятой в проекте Не более +/- 3 мм

7.8. Модульные конструкции (в ред. Изменения N 4, утв. Приказом Минстроя РФ от 30.12.2020 N 905/пр)

7.8.1. Модульные конструкции изготавливают в виде отдельных модульных стеновых панелей или объемных блоков заводского изготовления, поставляемых на строительную площадку в готовом виде. Объемные блоки - это готовые изделия или сборочные единицы, подлежащие укрупнительной сборке на строительной площадке.

Модульные конструкции выполняются каркасными или бескаркасными с заполнением эффективным утеплителем, каркас может быть выполнен из ЛСТК, горячекатаных стальных профилей или их комбинированием.

После монтажа панелей и объемных блоков, в соответствии с проектной документацией допускается обшивка их плитными материалами.

7.8.2. На строительную площадку модульные конструкции (панели и объемные блоки), в соответствии с проектной документацией, поставляются комплектно с соединительными элементами (самонарезающие винты, болты, заклепки) и сопровождающей документацией.

В комплект сопровождающей документации должны входить:

- паспорт качества оформленный по ГОСТ 23118;

- техническая документация изготовителя в соответствии с которой изготовлены модульные конструкции (в документации должны содержаться требования к монтажу);

- монтажные схемы и спецификации.

7.8.3. Монтаж модульных конструкций выполняется в соответствии с проектной документацией, технической документацией завода-изготовителя и ППР.

8. Монтаж деревянных конструкций

8.1. Общие положения приемки и монтажа деревянных конструкций

8.1.1. Приемку деревянных конструкций (ДК) необходимо производить в соответствии с требованиями разделов 3 и 8. При приемке клееных деревянных конструкций (КДК) следует также учитывать требования ГОСТ 20850.

Конструкции, имеющие или получившие при транспортировании и хранении дефекты и повреждения, устранение которых в условиях стройплощадки не допускается (например, расслоение клеевых соединений, сквозные трещины и т.д.), запрещается монтировать до заключения проектной организации-разработчика. В заключении выносится решение о возможности применения, необходимости усиления поврежденных конструкций или замене их новыми.

8.1.2. Сборные несущие элементы деревянных конструкций следует поставлять предприятием-изготовителем на строительную площадку комплектно, после контрольной сборки, вместе со всеми деталями, необходимыми для выполнения проектных соединений - накладками, крепежными болтами, затяжками, подвесками, стяжными муфтами, элементами связей и т.п., обеспечивающими возможность монтажа объекта захватками с устройством кровли.

Плиты покрытий и стеновые панели должны поставляться укомплектованными типовыми крепежными элементами, деталями подвесок (для плит подвесного потолка), материалами для заделки стыков.

8.1.3. При выполнении работ по складированию, перевозке, хранению и монтажу деревянных конструкций следует учитывать их специфические особенности:

необходимость защиты от длительных атмосферных воздействий, в связи с чем при производстве работ следует предусматривать, как правило, монтаж здания по захваткам, включающий последовательное возведение несущих и ограждающих конструкций, кровли в короткий срок;

обеспечение минимально возможного числа операций по кантовке и перекладыванию ДК в процессе погрузки, выгрузки и монтажа.

Деревянные конструкции или их элементы следует хранить защищенными от атмосферных воздействий (дождя, снега, УФ-лучей). Конструкции следует располагать в проектном положении на подкладках или временных опорах на высоте не менее 0,5 м от уровня площадки складирования.

Если работа (характер нагружения) деревянных конструкций при транспортировании или монтаже отличается от предполагаемого характера работы в проектном положении, необходимо выполнить расчет конструкции на монтажные и транспортные нагрузки, учитывая, при необходимости, их динамические составляющие.

8.1.4. Несущие деревянные конструкции зданий надлежит монтировать в максимально укрупненном виде: в виде ферм, полурам и полуарок, арок, секций или блоков, с учетом их особенностей и видов.

Укрупнительную сборку деревянных конструкций с металлическими затяжками необходимо производить только в вертикальном (проектном) положении, без затяжек и с деревянными затяжками - как в вертикальном, так и в горизонтальном положении. Это условие должно быть оговорено и учтено в проектной документации.

Установку накладок в коньковых узлах конструкций, раскосов ферм или подкосов рам надлежит производить после достижения плотного примыкания стыкуемых поверхностей по заданной площади. При поставке с завода-изготовителя или разметке на монтаже отверстия для болтов или шпилек должны быть только в одной накладке. Через них сквозные отверстия сверлят по месту.

8.1.5. К монтажу конструкций в сборных элементах следует приступать только после подтяжки всех металлических соединений и устранения дефектов, возникающих при транспортировании и хранении, разметки мест установки прогонов, распорок и др.

8.1.6. Перед монтажом деревянных конструкций, которые контактируют с более теплопроводными материалами (кирпич, бетон и др.), необходимо выполнить работы по устройству между ними гидроизоляционных и, при необходимости, теплоизоляционных прокладок.

8.1.7. Допуски и отклонения, характеризующие точность строительных и монтажных работ, регламентируются в ППР в зависимости от заданного класса точности (определяемого функциональными, конструктивными, технологическими и экономическими требованиями, видом ограждающих конструкций) и определяются по ГОСТ 21779. Остальные предельные отклонения не должны превышать указанных в таблице 8.1.

Таблица 8.1

Технические требования Предельные отклонения Контроль (метод, объем, вид регистрации)
Отклонение глубины врубок или врезок от проектной +/- 2 мм Измерительный, каждый элемент
Отклонение в расстояниях между центрами рабочих болтов, нагелей, шпонок в соединениях относительно проектных:   Измерительный, выборочный
для входных отверстий +/- 2 мм
для выходных отверстий поперек волокон 2% толщины пакета, но не более 5 мм
для выходных отверстий вдоль волокон 4% толщины пакета, но не более 10 мм
Отклонение в расстояниях между центрами гвоздей со стороны забивки в гвоздевых соединениях +/- 2 мм Измерительный, выборочный
Отклонение граней: венцов рубленых стен от горизонтали на 1 м длины и стен перегородок от вертикали на 1 м высоты +/- 3 мм Измерительный, в каждом венце

8.1.8. Монтаж несущих деревянных конструкций следует производить в соответствии с ППР, разработанным специализированной организацией при участии проектной организации-разработчика или согласовании с ней. Монтаж сборных деревянных несущих конструкций должен производиться только специализированной монтажной организацией.

8.1.9. В процессе сборки на вклеенных стержнях стыков поясов и узлов ферм, арок, рам и других ДК, до устройства декоративных и защитных накладок, необходимо обеспечить приемку работ на соответствие проекту по сварке выпусков вклеенных стержней, по коррозие- и биозащите, по омоноличиванию зазоров полимербетоном, составить акты на скрытые работы, выполнить контроль сварных соединений, провести лабораторные испытания прочности полимербетона.

8.1.10. Огнезащитные покрытия на КДК наносятся после их монтажа в проектное положение и обязательного устройства кровли, если иное не обосновано проектом огнезащиты.

8.2. Монтаж деревянных колонн и стоек

8.2.1. До начала монтажа на колонну или стойку следует вынести метки в местах установки ригелей, прогонов, распорок, связей, панелей и т.п., а также установить узловые детали.

8.2.2. При жестком защемлении стоек, снабженных стальными башмаками на вклеенных стержнях, допускается их сварка с закладными деталями фундаментов или крепление анкерными болтами с обязательной развязкой из плоскости.

8.2.3. При шарнирном опирании стоек без опорных башмаков необходимо добиваться плотного примыкания торцов стоек к опоре через гидроизолирующие прокладки или с помощью прослойки полимербетона. На время монтажа такие стойки должны быть закреплены в опорах и развязаны в двух плоскостях временными связями.

8.3. Монтаж клееных деревянных балок

8.3.1. При монтаже балок постоянного по пролету сечения, двускатных или с другим очертанием верхней грани (волнообразных, сегментных и т.п.), т.е. у которых центр тяжести выше линии, соединяющей опоры, раскрепление верхних кромок из плоскости обязательно, как и закрепление опор и раскрепление опорных сечений.

8.3.2. Монтаж клееных прогонов и балок криволинейного очертания с выгнутой книзу кромкой, в том числе линзообразных, допускается производить без устройства связей или распорок в пролете на время монтажа, но обязательно с закреплением в опорах и раскреплением по верхним кромкам в опорных гнездах или между соседними связевыми блоками.

8.4. Монтаж деревянных сборных ферм

8.4.1. Фермы для монтажа должны быть полностью собраны и установлены на специальные временные опоры в вертикальном положении в зоне действия крана. На поясах ферм должны быть нанесены марка, риски осей прогонов, распорок, места строповки, обозначены подвижные и неподвижные опоры, для несимметричных ферм - номера осей опор.

8.4.2. Укрупнительную сборку деревянных большепролетных ферм следует производить в горизонтальном или вертикальном положении на стапеле, обеспечивающем фиксацию габаритов и возможность, при необходимости, сварки жестких стыков поясов и в узлах, омоноличивание зазоров в стыках полимербетоном, постановку нагелей и шпилек для крепления элементов решетки и поясов.

8.4.3. Для монтажа ферм на сборочном стенде следует произвести необходимое монтажное усиление стыков поясов ферм и узлов крепления раскосов для повышения их жесткости из плоскости при выведении ферм в вертикальное положение и монтаже.

8.4.4. При кантовке большепролетных ферм следует использовать специальные самоотцепляющиеся устройства, фиксирующие две точки поворота, а также траверсы, исключающие возможность выхода из плоскости элементов ферм между точками закрепления и консольными участками. Допускается эту операцию выполнять с применением дополнительных легких кранов с целью уменьшения свободной длины участков фермы при синхронном выведении ее в вертикальное положение.

8.4.5. До подъема ферм в местах стыков поясов и в других местах должны быть предусмотрены средства раскрепления из плоскости. Для шпренгелей и ферм линзообразной формы с прямолинейным верхним поясом раскрепление следует предусматривать и по нижним поясам.

8.4.6. Укрупнительная сборка металлодеревянных ферм, шпренгельных ферм с металлическим нижним поясом, в том числе с повышенным нижним поясом (выше линии опирания), должна производиться в вертикальном положении в специальных стапелях с приспособлениями для установки и рихтовки элементов ферм.

8.4.7. Места строповки ферм с металлическими нижними поясами и разрезными верхними поясами при подъеме должны обеспечивать работу металлических поясов на растяжение. При строповке в средней части пролета допускается использование временных монтажных распорок и сжимов, работающих на сжатие, для подъема металлодеревянных ферм пролетом до 18 м.

8.4.8. Для ферм пролетами более 24 м и для всех ферм с повышенным нижним поясом при устройстве шарнирно-подвижных опор необходимо обеспечить возможность беспрепятственного горизонтального перемещения опоры на расчетную величину в соответствии с проектом.

8.4.9. Монтаж ферм надвижкой следует производить жесткими пространственными блоками по 2 - 3 шт. в вертикальном проектном положении на заданной отметке с использованием сборно-разборных пространственных стапелей на стальных рельсах. Перемещение блоков следует осуществлять синхронно лебедками с креплением тросов в двух точках опирания блока и в соответствии с ППР.

8.5. Монтаж клееных деревянных арок и рам

8.5.1. Трехшарнирные арки и рамы с шарниром в ключе и с передачей распора на фундаменты следует монтировать либо с помощью двух кранов, работающих одновременно, либо с использованием передвижной монтажной башни в зоне конька, снабженной домкратами или клиньями, позволяющими рихтовку элементов по вертикали и возможность перемещения башни. Расстроповка конструкции возможна только после проектного закрепления в опорах и раскрепления из плоскости в зоне жестких стыков, в ключе и в других местах.

Трехшарнирные арки и рамы пролетами до 18 м допускается собирать в горизонтальном положении и монтировать методом поворота с предварительным монтажным усилением сжимами в ключе для обеспечения жесткости из плоскости, при этом необходимо выполнить расчет на монтажные нагрузки.

8.5.2. Сборку крупногабаритных полуарок или полурам с одним или двумя жесткими стыками перед монтажом необходимо производить в горизонтальном или вертикальном стапеле, оборудованном габаритными фиксаторами, рабочими площадками в зоне стыка, сварочными постами и устройствами, допускающими возможность омоноличивания зазоров в стыках полимербетоном. До начала монтажа на конструкции следует нанести оси прогонов, распорок, закладных деталей, ригелей, отверстий и т.д.

8.5.3. При укрупнительной сборке в горизонтальном стапеле кантовку собранных полуарок или полурам следует производить после усиления укрупнительных стыков из плоскости.

8.5.4. Монтаж большепролетных сборных двухшарнирных арок и рам с опиранием на фундаменты, а также бесшарнирных рам с железобетонными или стальными стойками с жесткими стыками в пролете необходимо производить в проектном положении с использованием передвижных монтажных опор, располагаемых в зоне стыков и оборудованных соответствующими фиксаторами, домкратами и другими приспособлениями, позволяющими обеспечить предварительный выгиб конструкций в соответствии с ППР.

8.5.5. Укрупнительную сборку и монтаж трех- и двухшарнирных арок с металлическими затяжками следует производить аналогично металлодеревянным фермам.

8.5.6. При сборке конькового узла арок и рам на деревянных накладках отверстия под шпильки и нагели должны быть выполнены заранее только в одной накладке. Эти отверстия используются как направляющие при сверлении сквозных отверстий.

8.5.7. В арках с затяжками, состоящими более чем из двух ветвей, необходимы регулировка и контроль усилий натяжения.

8.6. Монтаж ребристых куполов из клееной древесины

8.6.1. Сборку меридиональных сборных ребер сплошного или сквозного сечения с жесткими стыками на наклонно вклеенных стержнях надлежит производить на специальном стапеле, аналогично аркам или фермам с жесткими стыками. В особых случаях, при большой длине меридиональных ребер или отсутствии кранов требуемой грузоподъемности или вылета стрелы допускается укрупнительные стыки выполнять в проектном положении с использованием промежуточных монтажных башен.

8.6.2. Кантовку собранных меридиональных ребер следует производить с монтажным усилением стыков из плоскости, как в арках и фермах.

8.6.3. Складирование собранных меридиональных ребер следует производить в вертикальной плоскости на специальных опорах (козлах) с защитой от осадков так, чтобы они занимали устойчивое положение, располагались в зоне действия крана и находились не ниже 0,5 м от поверхности площадки складирования.

8.6.4. Монтаж меридиональных ребер куполов следует производить с помощью самобалансирующихся траверс и монтажной башни, устанавливаемой в центре и оснащенной системой домкратов, винтов, клиньев и др., на которые предварительно должно быть установлено верхнее опорное кольцо.

8.6.5. Для обеспечения стабильной формы купола монтажная центральная башня должна быть раскреплена тремя оттяжками (с талрепами) или подкосами, расположенными в плане под углом 120° друг к другу, которые должны оставаться до раскружаливания и демонтажа башни. При этом условии последовательность установки ребер значения не имеет.

8.6.6. Начинать монтаж каркаса следует со связевого блока сектора. Первое меридиональное ребро должно быть раскреплено из плоскости в местах стыков. Последующие ребра должны монтироваться после устройства постоянных связей в связевом секторе с закреплением ребер в опорных кольцах согласно проекту.

8.6.7. Кольцевые элементы и прогоны должны устанавливаться по мере монтажа меридиональных ребер в каждом секторе, как элементы жесткости, и в первую очередь, в зонах жестких стыков.

8.7. Монтаж стеновых панелей и плит покрытия

8.7.1. При монтаже стеновых панелей верхняя панель не должна западать относительно нижней.

8.7.2. Плиты покрытия следует укладывать в направлении от карниза к коньку с площадками их опирания на несущие конструкции не менее 5 см. Между плитами необходимо выдерживать зазоры, обеспечивающие плотную герметизацию швов.

На уложенных в покрытие плитах, не имеющих верхней обшивки, запрещается производить общестроительные и специальные работы: оформление примыканий плит к стенам, заделку стыков между плитами, кровельные и мелкие ремонтные работы. Для выполнения этих работ на покрытии, а также для складирования материалов и деталей, установки различных приспособлений и механизмов на определенных участках покрытия, в соответствии с ППР, необходимо устраивать временный дощатый настил, а также использовать переносные трапы.

После укладки плит покрытия и заделки стыков по ним сразу следует укладывать кровлю.

При укладке профнастила в местах опирания необходимо устраивать перехлест, при котором нижний лист выступает за грань деревянного элемента минимум на 20 мм, исключающий увлажнение деревянных конструкций осадками и протечками кровли.

При радиальном расположении несущих конструкций до укладки профнастила секторами под стыками по верхним граням конструкций должны быть предусмотрены локальные кровли в виде сливов из листовых материалов по герметику в виде самоклеящейся ленты. Поверхности деревянных конструкций под локальной кровлей должны быть защищены от увлажнения (самоклеящейся гидроизоляционной лентой, рулонным гидроизоляционным подплавляемым материалом, герметиком и др.).

9. Каменные конструкции

9.1. Общие положения возведения каменных конструкций

9.1.1. Требования настоящего раздела распространяются на производство и приемку работ по возведению каменных конструкций из керамического и силикатного кирпича, керамических, бетонных, силикатных и природных камней и блоков.

Сплошную кладку наружных стен из материалов с плотностью более 1400 кг/м3 следует применять для неотапливаемых зданий или для промзданий с большим выделением тепла.

9.1.2. Работы по возведению каменных конструкций должны выполняться в соответствии с проектом. Подбор состава кладочного раствора с учетом условий эксплуатации зданий и сооружений следует осуществлять, руководствуясь приложением Т.

9.1.3. Применение материалов кладки в зависимости от влажностных параметров помещений приведены в СП 15.13330.

9.1.4. Не допускается ослабление каменных конструкций отверстиями, бороздами, нишами, монтажными проемами, не предусмотренными проектом или ППР.

9.1.5. Каменную кладку заполнения каркасов следует выполнять в соответствии с требованиями, предъявляемыми к возведению несущих каменных конструкций и в соответствии с 9.3 - 9.6.

9.1.6. При вынужденных разрывах кладку необходимо выполнять в виде наклонной штрабы.

9.1.7. Разность высот возводимой кладки на смежных захватках и при кладке примыканий наружных и внутренних стен, а также, разность высот между смежными участками кладки фундаментов не должна превышать 1,2 м.

9.1.8. Установку креплений в местах примыкания железобетонных конструкций к кладке следует выполнять в соответствии с проектом.

Возведение каменных конструкций последующего этажа допускается только после укладки несущих конструкций перекрытий возведенного этажа, анкеровки стен и замоноличивания швов между плитами перекрытий. Не допускается монтаж плит перекрытий в заранее заготовленные штрабы.

9.1.9. Предельная высота возведения свободно стоящих каменных стен (без укладки перекрытий или покрытий) не должна превышать значений, указанных в таблице 9.1. При возведении свободно стоящих стен большей высоты следует применять временные крепления.

Таблица 9.1

Толщина однослойных, двухслойных и внутренней части трехслойных стен, см Объемная масса (плотность) кладки, кг/м3 Допустимая высота стен, м, для ветрового района
I II III
25 От 400 до 700 1,3 - - -
" 700 " 1000 1,6 1,3 - -
" 1000 " 1300 2,3 1,6 1,3 -
" 1300 " 1600 3 2,1 1,4 -
Более 1600 3,8 2,6 1,6 -
38 От 400 до 700 3,9 3,2 - -
" 700 " 1000 4,2 3,6 1,7 -
" 1000 " 1300 4,5 4 2,4 1,3
" 1300 " 1600 4,8 4,3 3,1 1,5
Более 1600 5,2 4,7 4,0 1,7
51 От 400 до 700 4,5 3,9 1,7 -
" 700 " 1000 5,6 4,6 3,0 1,5
" 1000 " 1300 6 5,7 4,3 2
" 1300 " 1600 6,3 6,0 5,6 2,5
Более 1600 6,5 6,3 6,0 3,1
64 От 400 до 700 5 4,6 3,0 1,3
" 700 " 1000 6 5,6 5,0 1,9
" 1000 " 1300 7 6,6 6,0 2,35
" 1300 " 1600 7,4 7 6,5 3,5
Более 1600 7,7 7,4 7 4,3

9.1.10. Высота каменных неармированных перегородок, не раскрепленных перекрытиями или временными креплениями, не должна превышать 1,5 м для перегородок толщиной 9 см, выполненных из камней и кирпича на ребро толщиной 8,8 см, и 1,8 м - для перегородок толщиной 12 см, выполненных из кирпича.

9.1.11. При связи перегородки с поперечными стенами или перегородками, а также с другими жесткими конструкциями допускаемые их высоты увеличивать на 15% при расстоянии между жесткими конструкциями менее 3,5H, на 25% - при расстоянии не более 2,5H и на 40% - не более 1,5H.

9.1.12. Контроль за качеством кладки осуществляется производителем работ, строительным мастером. Строгая прямолинейность и горизонтальность рядов в период кладки обеспечивается натяжением причалок, выкладкой маяков и поверкой уровнем; отклонение в толщине шва допускается до +/- 2 мм.

Вертикальность стен и столбов проверяется провешиванием отвесом. Отклонение от вертикальности не должно быть более 5 мм при кладке под расшивку и не более 7 мм при кладке под штукатурку. Горизонтальность и вертикальность поверхностной кладки периодически проверяется геодезическими инструментами.

9.1.13. После окончания кладки каждого этажа следует производить инструментальную проверку горизонтальности и отметок верха кладки независимо от промежуточных проверок горизонтальности ее рядов.

9.2. Кладка из керамического и силикатного кирпича, из керамических, бетонных, силикатных и природных камней правильной формы

9.2.1. Кладка из кирпича и камней правильной формы должна выполняться с перевязкой: для кладки из одинарного кирпича - 1 тычковый ряд на 6 ложковых рядов кладки; для кладки из полуторного кирпича - 1 тычковый ряд на 4 ложковых ряда кладки; для кладки из камней правильной формы - 1 тычковый ряд на 3 ложковых ряда кладки. Другие типы перевязок должны быть указаны в рабочих чертежах. Тычковые ряды в кладке необходимо укладывать из целых кирпичей и камней всех видов. Независимо от принятой системы перевязки швов укладка тычковых рядов является обязательной в нижнем (первом) и верхнем (последнем) рядах возводимых конструкций, на уровне обрезов стен и столбов, в выступающих рядах кладки (карнизах, поясах и т.д.).

При многорядной перевязке швов укладка тычковых рядов под опорные части балок, прогонов, плит перекрытий, балконов, под мауэрлаты и другие сборные конструкции является обязательной. При однорядной (цепной) перевязке швов допускается опирание сборных конструкций на ложковые ряды кладки.

9.2.2. Кирпичные столбы, пилястры и простенки шириной в два с половиной кирпича и менее, рядовые кирпичные перемычки и карнизы следует возводить из отборного целого кирпича.

9.2.3. Применение кирпича-половняка допускается только в кладке забутовочных рядов и мало нагруженных каменных конструкций (участки стен под окнами и т.п.) - не более 10%.

9.2.4. Толщина горизонтальных швов кладки из кирпича и камней правильной формы должна составлять 12 мм, вертикальных швов - 10 мм.

9.2.5. Горизонтальные и поперечные вертикальные швы кирпичной кладки стен, а также швы (горизонтальные, поперечные и продольные вертикальные) в перемычках, простенках и столбах следует заполнять раствором.

9.2.6. При кладке впустошовку глубина не заполненных раствором швов с лицевой стороны не должна превышать 15 мм в стенах и 10 мм (только вертикальных швов) в столбах.

9.2.7. Участки стен между рядовыми кирпичными перемычками при простенках шириной менее 1 м необходимо выкладывать на том же растворе, что и перемычки.

9.2.8. Стальную арматуру рядовых кирпичных перемычек следует укладывать по опалубке в слое раствора толщиной 30 мм под нижний ряд кирпичей. Число стержней устанавливается проектом, но должно быть не менее трех. Гладкие стержни для армирования перемычек должны иметь диаметр не менее 6 мм, заканчиваться крюками (отгибами) и заделываться в простенки не менее чем на 25 см. Стержни периодического профиля крюками не отгибаются.

9.2.9. При выдерживании кирпичных перемычек в опалубке необходимо соблюдать сроки, указанные в таблице 9.2.

Таблица 9.2

Конструкции перемычек Температура наружного воздуха, в период выдерживания перемычек, °C Марка раствора Продолжительность выдерживания перемычек на опалубке, не менее, сут
Рядовые армокирпичные и лотковые До 5 М50 и выше 24
" 10 18
" 15 12
" 20 8
Свыше 20 5
Арочные и клинчатые До 5 То же 10
" 10 8
Свыше 10 5

9.2.10. Клинчатые перемычки из обыкновенного кирпича следует выкладывать с клинообразными швами толщиной не менее 5 мм внизу и не более 25 мм вверху. Кладку необходимо производить одновременно с двух сторон в направлении от пят к середине.

9.2.11. Кладку карнизов следует выполнять в соответствии с проектом. При этом свес каждого ряда кирпичной кладки в карнизах не должен превышать 1/3 длины кирпича, а общий вынос кирпичного неармированного карниза должен составлять не более половины толщины стены.

Кладку анкеруемых карнизов допускается выполнять после достижения кладкой стены проектной прочности, в которую заделываются анкеры.

При устройстве карнизов после окончания кладки стены их устойчивость необходимо обеспечивать временными креплениями.

Все закладные железобетонные сборные элементы (карнизы, пояски, балконы и др.) должны обеспечиваться временными креплениями до их защемления вышележащей кладкой. Срок снятия временных креплений необходимо указывать в рабочих чертежах.

9.2.12. При возведении стен из керамических камней в свешивающихся рядах карнизов, поясков, парапетов, брандмауэров, где требуется теска кирпича, должен применяться полнотелый или специальный (профильный) лицевой кирпич морозостойкостью не менее F50 с защитой от увлажнения.

9.2.13. Вентиляционные каналы в стенах следует выполнять из керамического полнотелого кирпича марки не ниже М100 или силикатного марки М100 до уровня чердачного перекрытия, а выше - из полнотелого керамического кирпича не ниже марки М100 с затиркой швов.

Каналы могут быть выполнены из материалов кладки стены, если проектом предусмотрены специальные трубы или керамические канальные изделия. Выше уровня чердачного перекрытия - требования те же.

Дымовые каналы от индивидуальных котельных, в которых монтируются трубы из нержавеющей стали с базальтовой изоляцией, следует выполнять из полнотелого кирпича марки М100. Выше уровня покрытия или крыши трубы должны быть выложены из полнотелого керамического кирпича марки М100, заключенные в обойму из стального листа по периметру и в верхней ее части.

9.2.14. При армированной кладке необходимо соблюдать следующие требования:

толщина швов в армированной кладке должна превышать сумму диаметров пересекающейся арматуры не менее чем на 4 мм при толщине шва не более 16 мм;

при поперечном армировании столбов и простенков сетки следует изготавливать и укладывать так, чтобы было не менее двух арматурных стержней (из которых сделана сетка), выступающих на 2 - 3 мм на внутреннюю поверхность простенка или на две стороны столба;

при продольном армировании кладки стальные стержни арматуры по длине следует соединять между собой сваркой;

при устройстве стыков арматуры без сварки концы гладких стержней должны заканчиваться крюками и связываться проволокой с перехлестом стержней на 20 диаметров.

9.2.15. Обрез кирпичного цоколя и другие выступающие части кладки после их возведения следует защищать от попадания атмосферной влаги, следуя указаниям в проекте, при отсутствии указаний в проекте - цементно-песчаным раствором марки не ниже М100 и F150, а также цементно-песчаным раствором на напрягающем цементе по ГОСТ Р 56727. (в ред. Изменения N 3, утв. Приказом Минстроя РФ от 26.12.2017 N 1719/пр)

Необходимо предусматривать защиту стен и столбов от увлажнения со стороны фундаментов, а также со стороны примыкающих тротуаров и отмосток устройством гидроизоляционного слоя выше уровня тротуара или верха отмостки. Гидроизоляционный слой следует устраивать также ниже пола подвала.

9.3. Кладка многослойных облегченных наружных стен. Несущие наружные стены

9.3.1. Возведение стен из облегченной кладки с жесткими вертикальными диафрагмами необходимо выполнять в соответствии с рабочими чертежами и следующими требованиями:

все швы наружного и внутреннего слоя стен облегченной кладки следует тщательно заполнять раствором с расшивкой фасадных швов и затиркой внутренних швов при обязательном выполнении мокрой штукатурки поверхности стен со стороны помещения;

плитный утеплитель следует укладывать с обеспечением плотного примыкания к кладке;

металлические связи, устанавливаемые в кладку, должны быть защищены от коррозии;

не допускается при возведении многослойной (облегченной) кладки использовать засыпной утеплитель;

подоконные участки наружных стен необходимо защищать от увлажнения путем устройства отливов по проекту;

в процессе производства работ в период выпадения атмосферных осадков и при перерыве в работе следует принимать меры по защите утеплителя от намокания;

допускается применение композитных связей по ГОСТ Р 54923 и композитных полимерных сеток по документации завода-изготовителя. (в ред. Изменения N 4, утв. Приказом Минстроя РФ от 30.12.2020 N 905/пр)

9.4. Ненесущие (навесные) многослойные стены

9.4.1. Производство работ по кладке "навесных" стен должно выполняться после завершения строительно-монтажных работ несущего каркаса и его приемки по акту.

9.4.2. Вертикальность и соосность выступающих торцевых граней перекрытий, являющихся опорой для наружных стен, должны проверяться поэтажно геодезической съемкой. Отклонения размеров законченных бетонных и железобетонных конструкций не должны превышать указанных в таблице 5.12.

9.4.3. Выполнение работ по устройству наружных стен следует производить при наличии ППР и технологической карты с указанием операций и графика работ, при обязательном составлении акта на скрытые работы и ведении строительного контроля (технического и авторского надзора).

9.4.4. Работы по кладке трехслойных навесных стен выполняются в следующей последовательности:

а) при монтаже с перекрытия:

возведение стены начинается с кладки внутреннего слоя. Кладка производится с перекрытия каждого этажа участками высотой в этаж и длиной, равной пролету между несущими конструкциями (поперечными стенами или пилонами);

б) при монтаже со средств подмащивания:

для устройства теплоизоляционного и облицовочного слоев стены устраиваются средства подмащивания (строительные леса, навесные площадки, платформы);

теплоизоляционные плиты крепят к несущему слою стены на клею и дополнительно распорными дюбелями;

при подготовке несущей части стены до закрепления к ней теплоизоляции рекомендуется использовать при необходимости выравнивающую штукатурку и шпаклевку;

клей следует наносить на теплоизоляционную плиту с помощью штукатурного шпателя в виде валика (шириной 4 - 6 см) по всему периметру с отступлением от краев на 2 - 3 см и дополнительно "куличами" на остальную поверхность плиты, при этом площадь приклеенной поверхности плит - не менее 40%;

установку плит в проектное положение осуществляют с прижатием к поверхности несущей части стены и выравниванием по высоте относительно друг друга трамбовками. Образование излишков выступающего клея недопустимо;

выравнивание по горизонтали теплоизоляционных плит может осуществляться с помощью временно закрепленной к несущей части стены деревянной рейки или с применением металлического профиля (изготовленного из алюминия или оцинкованной стали) толщиной 1 - 1,5 мм, который закрепляют к несущей части стены дюбелями, расположенными с шагом не более 300 мм;

теплоизоляционные плиты устанавливают вплотную друг к другу. В случае если между ними образуются зазоры более 2 мм, их необходимо заполнить материалом используемого утеплителя или полиуретановой пеной;

установку и наклеивание теплоизоляционных плит следует выполнять в два слоя с перевязкой швов с устройством зубчатого защемления на внешних и внутренних углах стен;

установка дюбелей для крепления плит теплоизоляции должна выполняться после полного высыхания клеевого состава. Срок высыхания при температуре наружного воздуха 20 °C и относительной влажности 65% составляет не менее 72 ч. Каждая теплоизоляционная плита должна крепиться двумя зонтичными дюбелями.

Во время кладки облицовочного слоя по высоте, указанной в проекте, устанавливаются гибкие связи. Сверлятся отверстия во внутреннем слое стены через утеплитель и устанавливаются стальные, композитные полимерные, пластиковые распорные анкеры или пластиковые распорные или "химические анкеры", предусмотренные проектом. (в ред. Изменения N 4, утв. Приказом Минстроя РФ от 30.12.2020 N 905/пр)

9.4.5. Работы по кладке двухслойных навесных стен должны выполняться с перекрытия и средств подмащивания в следующей последовательности.

Возведение стены начинается с кладки наружного облицовочного и внутреннего слоев одновременно.

По мере выполнения кладки с указанным в проекте шагом в уширенные растворные швы (16 мм) укладываются в раствор арматурные сетки-связи, соединяющие оба слоя кладки.

С таким же шагом по высоте осуществляется крепление кладки к несущим внутренним конструкциям (стенам или пилонам) с помощью предусмотренных проектом анкеров.

Кладка навесных стен каждого этажа завершается устройством горизонтального деформационного шва толщиной 30 мм под плитой перекрытия (ригелем, балкой).

9.5. Требования к конструкциям и материалам лицевого слоя многослойных стен

9.5.1. На фасадах зданий в уровне перекрытия необходимо предусмотреть водоотбойники-карнизы не более чем через три этажа по высоте.

Вылет карнизов - не менее 50 мм, при устройстве через три этажа - не менее 150 мм.

Расшивку наружных швов следует выполнять заподлицо или с внешним валиком.

Свес нижнего ряда кладки лицевого слоя с опорной конструкцией не должен превышать 15 мм.

Сдвижка кирпичей лицевого слоя относительно друг друга из плоскости стены не допускается.

Не допускается в построечных условиях приклейка на наружный торец плиты перекрытия керамической плитки, пиленого кирпича или других декоративных элементов, а также наращивание штукатурным армированным слоем более 40 мм.

Установку на торец перекрытия декоративных элементов допускается только в опалубку до заливки бетоном с предусмотренным проектом креплением.

9.5.2. Установка и крепление к облицовочному слою трехслойных стен кондиционеров, "тарелок" связи, растяжек и тому подобное не допускается. Узлы крепления их к несущей части стены следует выполнять по проекту.

9.5.3. Горизонтальные и вертикальные деформационно-температурные швы и расстояния между ними в лицевом слое трехслойных стен должны быть предусмотрены проектом.

9.5.4. В трехслойных стенах должны предусматриваться для соединения облицовочного и внутреннего слоев гибкие связи в количестве не менее 4 шт./м2, и дополнительные - на углах и вблизи проемов. Связи следует устанавливать под прямым углом к поверхности стены; они должны иметь отгибы или утолщения (для композитных и полимерных материалов). (в ред. Изменения N 4, утв. Приказом Минстроя РФ от 30.12.2020 N 905/пр)

Глубина анкеровки в растворный шов - по проекту, материал - нержавеющая коррозионно-стойкая сталь, стеклокомпозит или базальтокомпозит. (в ред. Изменения N 4, утв. Приказом Минстроя РФ от 30.12.2020 N 905/пр)

9.5.5. Применение для кладки внутреннего слоя, к которому крепится наружный слой кладки с помощью гибких связей, из бетонов класса ниже В2, керамических и других камней марки ниже М50 не допускается.

9.5.6. В местах пересечений стен должны укладываться горизонтальные Т-образные связевые сетки, заводимые во внутренний слой кладки в каждую сторону не менее чем на 1 м. Шаг связевых сеток во внутреннем слое кладки по высоте должен быть не более 60 см.

9.5.7. Внутренний слой кладки, к которому на гибких связях крепится наружный слой, должен быть закреплен к вертикальным элементам каркаса.

9.5.8. В вертикальные швы нижних и верхних рядов кладки должны устанавливаться продухи в соответствии с СП 50.13330.

9.6. Кладка стен из крупноформатных керамических пустотелых камней

9.6.1. Кладку стен из крупноформатных камней высотой 219 мм и шириной 250 мм следует выполнять с перевязкой в 1/2 камня, но менее 1/3 камня.

9.6.2. Доборные камни изготавливаются в заводских условиях или выпиливаются из "цельных" при помощи электроинструмента для резки блоков.

9.6.3. Размеры камней должны соответствовать ГОСТ 530.

9.6.4. Кладку следует выполнять на растворах М75 и более с осадкой конуса 7 - 9 см.

9.6.5. Толщина растворных швов 8 - 12 мм, армированных сеткой для соединения с облицовочным слоем - 10 - 16 мм. Вертикальные швы раствором не заполняются, соединение камней вдоль стены - паз-гребень. При отсутствии соединения по системе паз-гребень вертикальные швы заполняются раствором.

9.6.6. Плиты перекрытий в зданиях с несущими стенами из крупноформатных камней следует опирать на глубину 120 мм на цементно-известково-песчаный раствор толщиной 15 мм, уложенный непосредственно на кладку. Монтаж плит следует производить не ранее чем через 7 - 8 дней после укладки раствора.

9.6.7. При опирании балок, прогонов должны быть предусмотрены проектом "подушки", пояса.

9.6.8. Сверление отверстий для фиксации анкеров в стены из крупноформатных камней осуществляется при помощи безударной дрели.

9.6.9. Свес крупноформатного камня над цоколем не должен превышать 1/6 длины камня.

9.7. Кладка стен из крупных силикатных блоков

9.7.1. Кладку стен из крупных силикатных блоков и панелей перегородок высотой до 62,3 см следует выполнять с перевязкой в зависимости от высоты блока и равной u = 0,4h (таблица 9.3).

Таблица 9.3

Высота блока h, см Размер перепуска u = 0,4h, см
Менее 12,3 5
24 - 25 10
49,8 20
62,3 25

9.7.2. Размеры блоков должны соответствовать ГОСТ 379.

9.7.3. Кладку следует выполнять на клеевых или обычных растворах М75 и выше.

9.7.4. Толщина растворных швов:

на клеевом растворе - 2 мм;

на цементно-известково-песчаном растворе - 12 мм;

армированных сеткой - 16 мм.

При соединении паз-гребень вертикальные швы не заполняются раствором.

9.7.5. Опирание плит перекрытий, балок, перемычек следует выполнять непосредственно на силикатные блоки через слой цементного раствора толщиной не более 15 мм марки М100 и выше.

9.7.6. Монтаж крупных силикатных блоков необходимо производить с помощью грейферного захвата краном грузоподъемностью не менее 500 кг.

Кладка блоков размером 248 x 248 x 250 мм может производиться без использования крана (вручную).

Кладка каждого этажа начинается с укладки контрольного ряда толщиной 80 - 123 мм с тщательной проверкой всех размеров, горизонтальности, вертикальности граней и углов.

9.7.7. В местах пересечения стен из крупных силикатных блоков перевязку следует осуществлять за счет пропускных рядов через ряд.

9.7.8. Крепление силикатных панельных пазогребневых перегородок к стенам и между собой следует выполнять анкерами из перфорированной полосовой коррозионно-стойкой стали, вставляемых в каждый растворный шов.

Устойчивость панельных перегородок при монтаже необходимо обеспечивать инвентарными креплениями.

9.7.9. Высота силикатных панельных пазогребневых перегородок, не раскрепленных временными креплениями, не должна превышать 1 м для перегородок толщиной 7 - 8 см и 1,5 м - для перегородок толщиной 10 см.

Высота силикатных панельных перегородок толщиной 70 мм, закрепляемых в верхней части к перекрытиям, не должна превышать 2,5 м; толщиной 80 мм - 2,7 м при длине не более 6 м.

В перегородках больших размеров должны быть предусмотрены пилястры или стойки (колонны), закрепленные к несущим конструкциям здания.

9.8. Облицовка стен в процессе возведения кладки

9.8.1. Для облицовочных работ следует применять цементно-песчаные растворы на портландцементе и пуццолановых цементах. Содержание щелочей в цементе не должно превышать 0,6%. Подвижность раствора, определяемая погружением стандартного конуса, должна быть не более 7 см, а для заполнения вертикального зазора между стеной и плиткой, в случае крепления плитки на стальных связях, - не более 8 см.

9.8.2. При облицовке кирпичных стен крупными бетонными плитами, выполняемой одновременно с кладкой, необходимо соблюдать следующие требования:

облицовку следует начинать с укладки в уровне междуэтажного перекрытия опорного Г-образного ряда облицовочных плит, заделываемого в кладку, затем устанавливать рядовые плоские плиты с креплением их к стене;

при толщине облицовочных плит более 40 мм облицовочный ряд должен ставиться раньше, чем выполняется кладка, на высоту ряда облицовки;

при толщине плит менее 40 мм необходимо сначала выполнять кладку на высоту ряда плиты, затем устанавливать облицовочную плиту;

установка тонких плит до возведения кладки стены разрешается только в случае установки креплений, удерживающих плиты;

не допускается установка облицовочных плит любой толщины выше кладки стены более чем на два ряда плит.

9.8.3. Облицовочные плиты необходимо устанавливать с растворными швами по контуру плит или вплотную друг к другу. В последнем случае стыкуемые грани плит должны быть прошлифованы.

9.8.4. Возведение стен с одновременной их облицовкой, жестко связанной со стеной (лицевым кирпичом и камнем, плитами из силикатного и тяжелого бетона), при отрицательных температурах следует, как правило, выполнять на растворе с противоморозными добавками. Кладку с облицовкой лицевым керамическим и силикатным кирпичом и камнем можно производить методом замораживания по указаниям 9.12. При этом марка раствора для кладки и облицовки должна быть не ниже марки М50.

9.9. Особенности кладки арок и сводов

9.9.1. Кладку арок (в том числе арочных перемычек в стенах) и сводов необходимо выполнять из кирпича или камней правильной формы на цементном или смешанном растворе.

Для кладки арок, сводов и их пят следует применять растворы на портландцементе. Применение шлакопортландцемента и пуццоланового портландцемента, а также других видов цементов, медленно твердеющих при пониженных положительных температурах, не допускается.

9.9.2. Кладку арок и сводов следует выполнять по проекту, содержащему рабочие чертежи опалубки для кладки сводов двоякой кривизны.

9.9.3. Отклонения размеров опалубки сводов двоякой кривизны от проектных не должны превышать: по стреле подъема в любой точке свода 1/200 подъема, по смещению опалубки от вертикальной плоскости в среднем сечении 1/200 стрелы подъема свода, по ширине волны свода - 10 мм.

9.9.4. Кладку волн сводов двоякой кривизны необходимо выполнять по устанавливаемым на опалубке передвижным шаблонам.

Кладку арок и сводов следует производить от пят к замку одновременно с обеих сторон. Швы кладки необходимо полностью заполнять раствором. Верхнюю поверхность сводов двоякой кривизны толщиной в 1/4 кирпича в процессе кладки следует затирать раствором. При большей толщине сводов из кирпича или камней швы кладки необходимо дополнительно заливать жидким раствором, при этом затирка раствором верхней поверхности сводов не производится.

9.9.5. Кладку сводов двоякой кривизны следует начинать не ранее чем через 7 сут после окончания устройства их пят при температуре наружного воздуха выше 10 °C, при температуре воздуха от 10 до 5 °C этот срок увеличивается в 1,5 раза, от 5 до 1 °C - в 2 раза.

Кладку сводов с затяжками, в пятах которых установлены сборные железобетонные элементы или стальные каркасы, допускается начинать сразу после окончания устройства пят.

9.9.6. Грани примыкания смежных волн сводов двоякой кривизны выдерживаются на опалубке не менее 12 ч при температуре наружного воздуха выше 10 °C. При более низких положительных температурах продолжительность выдерживания сводов на опалубке увеличивается в соответствии с указаниями 9.9.5.

Загрузка распалубленных арок и сводов при температуре воздуха выше 10 °C допускается не ранее чем через 7 сут после окончания кладки. При более низких положительных температурах сроки выдерживания увеличиваются согласно 9.9.5.

Утеплитель по сводам следует укладывать симметрично от опор к замку, не допуская односторонней нагрузки сводов.

Натяжение затяжек в арках и сводах следует производить сразу после окончания кладки.

9.9.7. Возведение арок, сводов и их пят в зимних условиях допускается при среднесуточной температуре не ниже минус 15 °C на растворах с противоморозными добавками (см. 9.12). Волны сводов, возведенные при отрицательной температуре, выдерживаются в опалубке не менее 3 сут.

9.10. Кладка из бутового камня и бутобетона

9.10.1. Каменные конструкции из бута и бутобетона допускается возводить с применением бутового камня неправильной формы, за исключением внешних сторон кладки, для которых следует применять постелистый камень.

9.10.2. Бутовую кладку следует выполнять горизонтальными рядами высотой до 25 см с околом камня лицевой стороны кладки, расщебенкой и заполнением раствором пустот, а также перевязкой швов.

Бутовая кладка с заливкой литым раствором швов между камнями допускается только для конструкций в зданиях высотой до 10 м, возводимых на непросадочных грунтах.

9.10.3. При выполнении облицовки бутовой кладки кирпичом или камнем правильной формы одновременно с кладкой облицовку следует перевязывать с кладкой тычковым рядом через каждые 4 - 6 ложковых рядов, но не более чем через 0,6 м. Горизонтальные швы бутовой кладки должны совпадать с перевязочными тычковыми рядами облицовки.

9.10.4. Перерывы в кладке из бутового камня допускаются после заполнения раствором промежутков между камнями верхнего ряда. Возобновление работ необходимо начинать с расстилки раствора по поверхности камней верхнего ряда.

9.10.5. Конструкции из бутобетона необходимо возводить с соблюдением следующих правил:

укладку бетонной смеси следует производить горизонтальными слоями высотой не более 0,25 м;

размер камней, втапливаемых в бетон, не должен превышать 1/3 толщины возводимой конструкции;

втапливание камней в бетон следует производить непосредственно за укладкой бетона в процессе его уплотнения;

возведение бутобетонных фундаментов в траншеях с отвесными стенами допускается выполнять без опалубки враспор;

перерывы в работе допускаются лишь после укладки ряда камней в последний (верхний) слой бетонной смеси; возобновление работы после перерыва начинается с укладки бетонной смеси.

За конструкциями из бута и бутобетона, возводимыми в сухую и жаркую погоду, следует организовать уход как за монолитными бетонными конструкциями.

9.11. Дополнительные требования к производству работ в сейсмических районах

9.11.1. Кладку из кирпича и керамических щелевых камней необходимо выполнять с соблюдением следующих требований:

кладку каменных конструкций следует производить на всю толщину конструкции в каждом ряду;

кладка стен должна выполняться с применением однорядной (цепной) перевязки;

горизонтальные, вертикальные, поперечные и продольные швы кладки следует заполнять раствором полностью с подрезкой раствора на наружных сторонах кладки;

временные (монтажные) разрывы в возводимой кладке следует оканчивать только наклонной штрабой и располагать вне мест конструктивного армирования стен.

9.11.2. Не допускается применение кирпича и керамических камней с большим содержанием солей, выступающих на поверхностях.

Поверхность кирпича, камня и блоков перед укладкой необходимо очищать от пыли и грязи:

для кладки на обычных растворах в районах с жарким климатом - струей воды;

для кладки на полимерцементных растворах - с помощью щеток или сжатым воздухом.

9.11.3. При отрицательных температурах наружного воздуха монтаж крупных блоков следует производить на растворах с противоморозными добавками. При этом необходимо соблюдать следующие требования:

до начала кладочных работ следует определять оптимальное соотношение между величиной предварительного увлажнения стенового материала и водосодержанием растворной смеси;

обычные растворы необходимо применять с высокой водоудерживающей способностью (водоотделение не более 2%).

9.11.4. Для приготовления растворов, как правило, следует применять портландцемент. Использование для полимерцементных растворов шлакопортландцемента и пуццоланового портландцемента не допускается.

Для приготовления растворов следует применять песок, удовлетворяющий требованиям ГОСТ 8736. Другие виды мелких заполнителей можно использовать после проведения исследований прочностных и деформативных свойств растворов на их основе, а также прочности сцепления с материалами кладки. В полимерцементных растворах нельзя применять пески с повышенным содержанием мелкозернистых глинистых и пылеватых частиц.

9.11.5. При выполнении кладки на полимерцементных растворах кирпич перед укладкой, а также кладку в период набора прочности увлажнять не следует.

9.11.6. Контроль прочности нормального сцепления раствора при ручной кладке следует производить в возрасте 7 сут. Величина сцепления должна составлять примерно 50% прочности в 28-дневном возрасте. При несоответствии прочности сцепления в каменной кладке проектной величине необходимо прекратить производство работ до решения вопроса проектной организацией.

9.11.7. При возведении зданий не допускается загрязнение раствором и строительным мусором ниш и разрывов в стенах, промежутков между плитами перекрытий и других мест, предназначенных для железобетонных включений, поясов и обвязок, а также расположенной в них арматуры.

9.11.8. Запрещается уменьшать ширину антисейсмических швов, указанную в проекте.

Антисейсмические швы необходимо освобождать от опалубки и строительного мусора. Запрещается заделывать антисейсмические швы кирпичом, раствором, пиломатериалами и др. При необходимости антисейсмические швы можно закрывать фартуками или заклеивать гибкими материалами.

9.11.9. При установке перемычечных и обвязочных блоков следует обеспечить возможность свободного пропуска вертикальной арматуры через предусмотренные проектом отверстия в перемычечных блоках.

9.12. Возведение каменных конструкций в зимних условиях

9.12.1. Кладку каменных конструкций в зимних условиях следует выполнять на цементных, цементно-известковых и цементно-глиняных растворах.

Состав строительного раствора заданной марки (обыкновенного и с противоморозными добавками) для зимних работ, подвижность раствора и сроки сохранения подвижности предварительно устанавливает строительная лаборатория в соответствии с требованиями действующих нормативных документов и корректирует с учетом применяемых материалов.

Для зимней кладки следует применять растворы подвижностью 9 - 13 см - для кладки из обычного кирпича и 7 - 8 см - для кладки из кирпича с пустотами и из природного камня.

9.12.2. Каменная кладка в зимнее время может осуществляться с использованием всех применяемых в летнее время систем перевязок. При выполнении кладки на растворах без противоморозных добавок следует выполнять однорядную перевязку.

При многорядной системе перевязки вертикальные продольные швы перевязывают не реже чем через каждые три ряда при кладке из кирпича и через два ряда при кладке из керамического и силикатного камня толщиной 138 мм. Кирпич и камень следует укладывать с полным заполнением вертикальных и горизонтальных швов.

9.12.3. Возведение стен и столбов по периметру здания или в пределах между осадочными швами следует выполнять равномерно, не допуская разрывов по высоте более чем на 1/2 этажа.

При кладке глухих участков стен и углов разрывы допускаются высотой не более 1/2 этажа и выполняются штрабой.

9.12.4. Не допускается при перерывах в работе укладывать раствор на верхний ряд кладки. Для предохранения от обледенения и заноса снегом на время перерыва в работе верх кладки следует накрывать.

Применяемый в кладочных растворах песок не должен содержать льда и мерзлых комьев, известковое и глиняное тесто должно быть незамороженным температурой не ниже 10 °C.

9.12.5. Конструкции из кирпича, камней правильной формы и крупных блоков в зимних условиях допускается возводить следующими способами:

с противоморозными добавками на растворах не ниже марки М50;

на обыкновенных без противоморозных добавок растворах с последующим своевременным упрочнением кладки прогревом;

способом замораживания на обыкновенных (без противоморозных добавок) растворах не ниже марки М10 при условии обеспечения достаточной несущей способности конструкций в период оттаивания (при нулевой прочности раствора).

9.13. Кладка с противоморозными добавками

9.13.1. При приготовлении растворов с противоморозными добавками следует руководствоваться приложением У, устанавливающим область применения и расход добавок, а также ожидаемую прочность в зависимости от сроков твердения растворов на морозе.

При применении поташа следует добавлять глиняное тесто - не более 40% массы цемента.

9.14. Кладка на растворах без противоморозных добавок с последующим упрочнением конструкций прогревом

9.14.1. При возведении зданий на растворах без противоморозных добавок с последующим упрочнением конструкций искусственным обогревом порядок производства работ следует предусматривать в рабочих чертежах.

9.14.2. Кладку способом прогрева конструкций необходимо выполнять с соблюдением следующих требований:

утепленная часть сооружения должна оборудоваться вентиляцией, обеспечивающей влажность воздуха в период прогрева не более 70%;

нагружение прогретой кладки допускается только после контрольных испытаний и установления требуемой прочности раствора отогретой кладки по ГОСТ 5802;

температура внутри прогреваемой части здания в наиболее охлажденных местах - у наружных стен на высоте 0,5 м от пола - должна быть не ниже 10 °C.

9.14.3. Глубина оттаивания кладки в конструкциях при обогреве их теплым воздухом с одной стороны принимается по таблице 9.4; продолжительность оттаивания кладки с начальной температурой минус 5 °C при двухстороннем отогревании - по таблице 9.5, при обогреве с четырех сторон (столбов) - по таблице 9.5 с уменьшением данных в 1,5 раза; прочность растворов, твердеющих при различных температурах - по таблице 9.6.

Таблица 9.4

Расчетная температура воздуха, °C Толщина стен в кирпичах
2 2,5 3
Глубина оттаивания при длительности отогрева, сут
наружного внутреннего 5 10 15 5 10 15 5 10 15
-5 15 50
---
40
60
---
60
70
---
60
45
---
45
60
---
55
60
---
70
40
---
30
50
---
45
55
---
50
-5 25 70
---
50
80
---
70
80
---
80
55
---
45
70
---
60
75
---
70
50
---
40
65
---
55
75
---
65
-15 25 50
---
40
50
---
50
50
---
50
40
---
30
45
---
40
55
---
45
40
---
30
45
---
45
50
---
45
-15 35 60
---
60
60
---
60
60
---
60
55
---
45
60
---
55
60
---
55
45
---
30
60
---
45
60
---
45
-25 35 45
---
40
50
---
40
50
---
40
45
---
40
50
---
40
50
---
45
40
---
30
45
---
40
45
---
45
-25 50 55
---
50
60
---
50
60
---
50
55
---
45
60
---
55
60
---
55
50
---
45
50
---
50
50
---
50
Примечания
1. Над чертой - глубина оттаивания кладки (% толщины стены) из сухого керамического кирпича, под чертой - то же, из силикатного или влажного керамического кирпича.
2. При определении глубины оттаивания мерзлой кладки стен, отогреваемых с одной стороны, расчетная величина весовой влажности кладки принята: 6% - для кладки из сухого керамического кирпича, 10% - для кладки из силикатного или керамического влажного (осенней заготовки) кирпича.

Таблица 9.5

Характеристика кладки Температура обогревающего воздуха, °C Продолжительность, сут, оттаивания кладки при толщине стен в кирпичах
1,5 2 2,5
Из красного кирпича на растворе:        
тяжелом 15 1,5 2,5 4
25 1 1,5 2,5
легком 15 2,5 4 6
25 2 3 4
Из силикатного кирпича на растворе:        
тяжелом 15 2 3,5 5
25 1,5 2 3
легком 15 3,5 4,5 6,5
25 2,5 3 4

Таблица 9.6

Возраст раствора, сут Прочность раствора от марки, %, при температуре твердения, °C
1 5 10 15 20 25 30 35 40 45 50
1 1 4 6 10 13 18 23 27 32 38 43
2 3 8 12 18 23 30 38 45 54 63 76
3 5 11 18 24 33 47 49 58 66 75 85
5 10 19 28 37 45 54 61 70 78 85 95
7 15 25 37 47 55 64 72 79 87 94 99
10 23 35 48 58 68 75 82 89 95 100 -
14 31 50 71 80 86 92 96 100 - - -
21 42 58 74 85 92 96 100 103 - - -
28 52 68 83 95 100 104 - - - - -
Примечания
1. При применении растворов, изготовленных на шлакопортландцементе и пуццолановом портландцементе, следует учитывать замедление нарастания их прочности при температуре твердения ниже 15 °C. Величина относительной прочности этих растворов определяется умножением значений, приведенных в таблице 9.5, на коэффициенты: 0,3 - при температуре твердения 0 °C; 0,7 - при 5 °C; 0,9 - при 9 °C; 1 - при 15 °C и выше.
2. Для промежуточных значений температуры твердения и возраста раствора прочность его определяется интерполяцией.

9.15. Кладка способом замораживания

9.15.1. Способом замораживания на обыкновенных (без противоморозных добавок) растворах в течение зимнего периода разрешается, при соответствующем обосновании расчетом, возводить здания высотой не более четырех этажей и не выше 15 м.

Требования к кладке, выполненной способом замораживания, распространяются также на конструкции из кирпичных блоков, выполненных из керамического кирпича положительной температуры, замороженных до набора кладкой блоков отпускной прочности и неотогретых до их нагружения. Предел прочности при сжатии кладки из таких блоков в стадии оттаивания определяется из расчета прочности раствора, равной 0,5 МПа.

Не допускается выполнение способом замораживания бутовой кладки из рваного бута.

9.15.2. При кладке способом замораживания растворов (без противоморозных добавок) необходимо соблюдать следующие требования:

температура раствора в момент его укладки должна соответствовать температуре, указанной в таблице 9.7;

выполнение работы следует осуществлять одновременно по всей захватке;

во избежание замерзания раствора его следует укладывать не более чем на два смежных кирпича при выполнении версты и не более чем на 6 - 8 кирпичей при выполнении забутовки;

на рабочем месте каменщика допускается запас раствора не более чем на 30 - 40 мин. Ящик для раствора необходимо утеплять или подогревать.

Таблица 9.7

Среднесуточная температура наружного воздуха, °C Положительная температура раствора, °C,
на рабочем месте для кладки
из кирпича и камней правильной формы из крупных блоков
при скорости ветра, м/с
До 6 Свыше 6 До 6 Свыше 6
До минус 20 5 10 10 15
От минус 11 до минус 20 10 15 10 20
Ниже минус 20 15 20 20 25
Примечание - Для получения необходимой температуры раствора может применяться подогретая (до 80 °C) вода, а также подогретый песок (не выше 60 °C).

Использование замерзшего или отогретого горячей водой раствора не допускается.

9.15.3. Перед наступлением оттепели до начала оттаивания кладки следует выполнять по всем этажам здания все предусмотренные ППР мероприятия по разгрузке, временному креплению или усилению перенапряженных ее участков (столбов, простенков, опор, ферм и прогонов и т.п.). С перекрытий необходимо удалять случайные, не предусмотренные проектом нагрузки (строительный мусор, строительные материалы).

9.16. Контроль качества работ

9.16.1. Контроль качества работ по возведению каменных зданий в зимних условиях следует осуществлять на всех этапах строительства.

В журнале производства работ помимо обычных записей о составе выполняемых работ следует фиксировать: температуру наружного воздуха, количество добавок в растворе, температуру раствора в момент укладки и другие данные, влияющие на процесс твердения раствора.

9.16.2. Возведение здания может производиться без проверки фактической прочности раствора в кладке до тех пор, пока возведенная часть здания по расчету не вызывает перегрузки нижележащих конструкций в период оттаивания. Дальнейшее возведение здания разрешается производить только после того, как раствор приобретет прочность (подтвержденную данными лабораторных испытаний) не ниже требуемой по расчету, указанной в рабочих чертежах на возведение здания в зимних условиях.

Для проведения последующего контроля прочности раствора с противоморозными добавками необходимо при возведении конструкций изготавливать образцы-кубы размером 7,07 x 7,07 x 7,07 см на отсасывающем воду основании непосредственно на объекте.

При возведении одно-, двухсекционных домов число контрольных образцов на каждом этаже (за исключением трех верхних) должно быть не менее 12. При числе секций более двух должно быть не менее 12 контрольных образцов на каждые две секции. Контрольные образцы-кубы должны быть замаркированы.

Образцы, не менее трех, испытывают после 3-часового оттаивания при температуре не ниже 20 +/- 5 °C.

Контрольные образцы-кубы следует испытывать в сроки, необходимые для поэтажного контроля прочности раствора при возведении конструкций.

Образцы следует хранить в тех же условиях, что и возводимая конструкция, и предохранять от попадания на них воды и снега.

Для определения конечной прочности раствора три контрольных образца необходимо испытывать после их оттаивания в естественных условиях и последующего 28-суточного твердения при температуре наружного воздуха не ниже 50 +/- 5 °C.

9.16.3. В дополнение к испытаниям кубов, а также в случае их отсутствия разрешается определять прочность раствора испытанием образцов с гранью 3 - 4 см, изготовленных из двух пластинок раствора, отобранных из горизонтальных швов.

9.16.4. При возведении зданий способом замораживания на обыкновенных (без противоморозных добавок) растворах с последующим упрочением кладки искусственным прогревом необходимо осуществлять постоянный контроль за температурными условиями твердения раствора с фиксацией их в журнале. Температура воздуха в помещениях при обогреве замеряется регулярно, не реже трех раз в сутки: в 1 ч, 9 ч и 17 ч. Контроль температуры воздуха следует производить не менее чем в 5 - 6 точках вблизи наружных стен обогреваемого этажа на расстоянии 0,5 м от пола.

Среднесуточная температура воздуха в обогреваемом этаже определяется как среднее арифметическое из частных замеров.

9.16.5. Перед приближением весны и в период длительных оттепелей необходимо усилить контроль за состоянием всех несущих конструкций зданий, возведенных в осенне-зимний период, независимо от их этажности и разработать мероприятия по удалению дополнительных нагрузок, устройству временных креплений и определению условий для дальнейшего продолжения строительных работ.

9.16.6. Во время естественного оттаивания, а также искусственного прогрева конструкций следует организовывать постоянные наблюдения за величиной и равномерностью осадок стен, развитием деформаций наиболее напряженных участков кладки, твердением раствора.

Наблюдение необходимо вести в течение всего периода твердения до набора раствором проектной (или близкой к ней) прочности.

9.16.7. В случае обнаружения признаков перенапряжения кладки в виде деформации, трещин или отклонений от вертикали следует принимать срочные меры по временному или постоянному усилению конструкций.

9.17. Усиление каменных конструкций реконструируемых и поврежденных зданий

9.17.1. Усиление каменных конструкций реконструируемых и поврежденных зданий производится в соответствии с рабочими чертежами, разработанными проектными организациями, в которых указывается последовательность разработки и усиления конструкций.

9.17.2. Перед усилением каменных конструкций следует подготовить поверхность: произвести визуальный осмотр и простукивание кладки молотком, очистить поверхность кладки от грязи и старой штукатурки, удалить частично разрушенную (размороженную) кладку.

9.17.3. Усиление каменных конструкций методом инъекций в зависимости от степени повреждений или требуемого повышения несущей способности конструкций следует выполнять на цементно-песчаных, беспесчаных или цементно-полимерных растворах. Для цементных и цементно-полимерных растворов необходимо применять портландцемент марки М400 или М500 с тонкостью помола не менее 2400 см3/г. Цементное тесто должно быть нормальной густоты в пределах 20 - 25%.

При изготовлении инъекционного раствора необходимо контролировать его вязкость и водоотделение. Вязкость определяют вискозиметром ВЗ-4. Она должна быть для цементных растворов 13 - 17 с, для эпоксидных - 3 - 4 мин. Водоотделение, определяемое выдержкой раствора в течение 3 ч, не должно превышать 5% общего объема пробы растворной смеси.

9.17.4. Усиление стен колонн, простенков могут быть выполнены стальными или железобетонными обоймами, бетонными обоймами с композитной полимерной арматурой, а также обоймами из углепластиков по рабочим чертежам. (в ред. Изменения N 4, утв. Приказом Минстроя РФ от 30.12.2020 N 905/пр)

9.17.5. При усилении каменных стен стальными предварительно напряженными тяжами точное усилие натяжения тяжей следует контролировать при помощи динамометрического ключа или измерением деформаций индикатором часового типа с ценой деления 0,001 мм.

При установке тяжей в зимнее время в неотапливаемых помещениях необходимо летом подтянуть тяжи с учетом перепада температур.

9.17.6. Замену простенков и столбов новой кладкой следует начинать с постановки временных креплений и демонтажа оконных заполнений в соответствии с рабочими чертежами и ППР. Новую кладку простенка необходимо выполнять тщательно, с плотным осаживанием кирпича для получения тонкого шва.

Новую кладку следует не доводить до старой на 3 - 4 см. Зазор должен тщательно зачеканиваться жестким раствором марки не ниже М100. Временное крепление допускается снимать после достижения новой кладкой не менее 70% проектной прочности.

9.17.7. При усилении каменной кладки контролю подлежат:

качество подготовки поверхности каменной кладки;

соответствие конструкций усиления проекту;

качество сварки крепежных деталей после напряжения элементов конструкций;

наличие и качество антикоррозионной защиты конструкций усиления.

9.18. Приемка каменных конструкций

9.18.1. Приемку выполненных работ по возведению каменных конструкций необходимо производить до оштукатуривания поверхностей.

9.18.2. На элементы каменных конструкций, скрытых в процессе производства строительно-монтажных работ, в том числе:

места опирания ферм, прогонов, балок, плит перекрытий на стены, столбы и пилястры и их заделка в кладке;

закрепление в кладке сборных железобетонных и бетонных с композитной полимерной арматурой изделий: карнизов, балконов и других консольных конструкций; (в ред. Изменения N 4, утв. Приказом Минстроя РФ от 30.12.2020 N 905/пр)

закладные детали и их антикоррозионная защита;

уложенная в каменные конструкции арматура;

осадочные деформационные швы, антисейсмические швы;

гидропароизоляция кладки.

На эти работы составляются акты скрытых работ, подписанные представителями заказчика, проектной и подрядной строительной организацией, удостоверяющими их соответствие проекту и нормативной документации.

9.18.3. При приемке законченных работ по возведению каменных конструкций необходимо проверять:

правильность перевязки швов, их толщину и заполнение, а также горизонтальность рядов и вертикальность углов кладки;

правильность устройства деформационных швов;

правильность устройства дымовых и вентиляционных каналов в стенах;

качество поверхностей фасадных неоштукатуриваемых стен из кирпича;

качество фасадных поверхностей, облицованных керамическими, бетонными и другими видами камней и плит;

геометрические размеры и положение конструкций.

9.18.4. При приемке каменных конструкций, выполняемых в сейсмических районах, дополнительно контролируется устройство:

антисейсмического армированного пояса в уровне верха фундаментов; поэтажных антисейсмических поясов;

армирования кладки в местах пересечения наружных и внутренних стен, крепления стен и перегородок к капитальным стенам, каркасу и перекрытиям;

усиления каменных стен включениями в кладку монолитных и сборных железобетонных элементов;

анкеровки элементов, выступающих выше чердачного перекрытия, а также прочность сцепления раствора со стеновым каменным материалом.

9.18.5. Отклонения в размерах и положении каменных конструкций от проектных не должны превышать указанных в таблице 9.8.

Таблица 9.8

Проверяемые конструкции (детали) Предельные отклонения, мм Контроль (метод, вид регистрации)
стен столбов фундамента стен столбов
из кирпича, керамических и природных камней правильной формы, крупных блоков из бута и бутобетона
Толщина конструкции +/- 15 +/- 10 +/- 30 +/- 20 +/- 20 Измерительный, журнал работ
Отметки опорных поверхностей -10 -10 -25 -15 -15 То же
Ширина простенков -15 - - -20 - "
Ширина проемов +15 - - +20 - "
Смещение вертикальных осей оконных проемов от вертикали 20 - - 20 - "
Смещение осей конструкций от разбивочных осей 10 (10) 10 20 15 10 Измерительный, геодезическая исполнительная схема
Отклонения поверхностей и углов кладки от вертикали:            
на один этаж 10 (5) 10 - 20 15 То же
на здание высотой более двух этажей 30 (30) 30 30 30 30 "
Толщина швов кладки:           Измерительный, журнал работ
горизонтальных -2; +3 -2; +3 - - -
вертикальных -2; +2 -2; +2 - - -
Отклонения рядов кладки от горизонтали на 10 м длины стены 15 (15) - 30 20 - Технический осмотр, геодезическая исполнительная схема
Неровности на вертикальной поверхности кладки, обнаруженные при накладывании рейки длиной 2 м 10 5 - 15 15 Технический осмотр, журнал работ
Размеры сечения вентиляционных каналов +/- 5 - - - - Измерительный, журнал работ
Примечание - В скобках приведены размеры допускаемых отклонений для конструкций из вибрированных кирпичных, керамических и каменных блоков и панелей.

10. Сварка монтажных соединений строительных конструкций

10.1. Общие положения

10.1.1. Руководство сварочными работами на монтаже и на приобъектном участке и ведение "Журнала сварочных работ" (ЖСР) приложения Б, должно осуществлять лицо, имеющее документ о специальном сварочном образовании или квалификационное свидетельство повышения квалификации по сварке, оформленное соответствующим приказом по объекту и записью в ЖСР, входящим в комплект исполнительной документации.

10.1.2. Сварочные работы следует производить по рабочим чертежам металлических, железобетонных и бетонных с композитной полимерной арматурой конструкций марок КМ, КЖ и КБ, деталировочным чертежам марок КМД, КЖД и КБД, утвержденному проекту производства сварочных работ (ППСР) или специальному разделу по сварке в общем проекте производства работ, технологическим картам (регламентам), входящим в комплект исполнительной документации. (в ред. Изменения N 4, утв. Приказом Минстроя РФ от 30.12.2020 N 905/пр)

В ППСР должно быть предусмотрено членение конструкций на монтажные элементы, последовательность их сборки и сварки, оснащение монтажно-сборочными приспособлениями и оборудованием, установка и навеска подмостей и лестниц, технологии сборки и сварки, виды и объемы контрольных операций, объемы партий сдаваемой продукции, маркировка, транспортирование и хранение партии и другое, с учетом технологических возможностей монтажной организации на конкретном объекте.

10.1.3. Сварку и прихватку должны выполнять рабочие-сварщики, имеющие профессиональный диплом (удостоверение) сварщика и квалификационное удостоверение, подтверждающие право производства сварочных работ с указанием способов сварки и типов сварных соединений, выданное в соответствии с "Правилами аттестации сварщиков" (ПАС) для металлоконструкций и [5] для арматуры, арматурных и закладных изделий железобетонных конструкций. В удостоверениях должна быть отметка о ежегодной переаттестации сварщиков. Сведения должны быть приведены в соответствующих разделах ЖСР приложения Б.

10.1.4. До начала работ каждый сварщик предварительно должен сварить стыковые пробные (допускные) образцы для последующих механических испытаний из того же вида проката (марки стали, диаметра, толщины), тем же способом сварки, в том же пространственном положении и при использовании тех же режимов, материалов и оборудования, что предусмотрено проектом и ППСР. Изготовление пробных образцов должно выполняться в присутствии лица, ответственного за сварочные работы по 10.1.1.

10.1.5. Размеры пластин для пробных образцов стальных конструкций, а также форма и размеры образцов для механических испытаний, изготовляемых из сваренного пробного образца после внешнего осмотра и измерения стыкового шва, должны соответствовать требованиям ГОСТ 6996. Формы и размеры заготовок стержней и пластин для пробных образцов арматуры железобетонных конструкций должны соответствовать ГОСТ 14098, ГОСТ 10922, [5].

10.1.6. После внешнего осмотра и измерений механические испытания необходимо проводить по ГОСТ 6996, ГОСТ 10922 и [6] в объеме, указанном в таблице 10.1. При неудовлетворительных результатах механических испытаний разрешается дополнительная сварка пробных образцов, при повторной ситуации сварщик к выполнению проектных (деловых) сварных соединений не допускается.

Таблица 10.1

Вид испытания Число образцов, шт. Нормируемый показатель
Стальные конструкции
Статическое растяжение 2 Временное сопротивление разрыву - не менее нижнего предела временного сопротивления основного металла, регламентируемого государственными стандартами
Статический изгиб 2 Угол статического изгиба, град, для сталей толщиной, мм:
углеродистых
до 20 - не менее 100
свыше 20 - не менее 80
низколегированных
до 20 - не менее 80
свыше 20 - не менее 60
Ударный изгиб металла шва 3 Ударная вязкость - не менее величины, указанной в технологической документации на монтажную сварку данной конструкции
Арматура железобетонных конструкций
Растяжение до разрушения 3 Оценка результатов по ГОСТ 10922, [6]

10.1.7. Свариваемые поверхности конструкций и рабочее место сварщика следует защищать от дождя, снега, ветра. При температуре окружающего воздуха ниже минус 10 °C необходимо иметь вблизи рабочего места сварщика инвентарное помещение для обогрева, при температуре ниже минус 40 °C - оборудовать тепляк.

10.1.8. Колебания напряжения питающей сети электрического тока, к которой подключено сварочное оборудование, не должны превышать +/- 5% номинального значения. Оборудование для автоматизированной и ручной многопостовой сварки следует питать от отдельного фидера.

10.1.9. Сварочные материалы (покрытые электроды, порошковые проволоки, сварочные проволоки сплошного сечения, плавленые флюсы) должны соответствовать проекту и требованиям ГОСТ 9467, ГОСТ 26271, ГОСТ 2246 и ГОСТ 9087.

10.1.10. Производственный контроль качества по ГОСТ 16037 для сварочных работ должен включать по процессу производства:

входной контроль рабочей технологической документации, наличия паспортов (сертификатов) на основной металл, металлоконструкции, арматурные и закладные изделия, основные сварочные и вспомогательные материалы, квалификации сварщиков, состояния оборудования, инструмента и приспособлений, качество сборки и подготовки элементов под сварку;

операционный контроль сборочных и сварочных процессов, технологических операций и качества выполняемых сварных соединений;

приемочный контроль качества с основными контролируемыми признаками: размеров сварного соединения, узла, конструкции, наличие наружных и внутренних дефектов, механические свойства сварных соединений, наличие маркировки и клеймения и правильность ведения документации;

по полноте охвата:

выборочный и/или сплошной;

по применяемым средствам контроля:

измерительный, неразрушающий, разрушающий и визуальный.

Документы должны входить в комплект исполнительной документации и храниться в установленном порядке.

10.1.11. Входной и операционный контроль осуществляется соответствующими службами генподрядчика (субподрядчика) или специалистами привлеченных испытательных лабораторий (ИЛ), аккредитованными в установленном порядке по ГОСТ ISO/МЭК 17025, а приемочный - только специализированными испытательными лабораториями.

10.1.12. Сварочные материалы (электроды, проволоки, флюсы) необходимо хранить на складах монтажных организаций в заводской таре отдельно по маркам, диаметрам и партиям. Помещение склада должно быть сухим, с температурой воздуха не ниже 15 °C и относительной влажностью не более 50%.

10.1.13. Покрытые электроды, порошковые проволоки и флюсы перед употреблением необходимо прокалить по режимам, указанным в паспортах, на этикетках или бирках заводов - изготовителей сварочных материалов. Сварочную проволоку сплошного сечения следует очищать от ржавчины, жировых и других загрязнений. Прокаленные сварочные материалы должны храниться в специальных пеналах, в условиях, исключающих их увлажнение.

10.1.14. Механическое, правильно-отрезное, кислородное, воздушно-дуговое, плазменное и сварочное оборудование должно проходить ежегодную паспортизацию с метрологической поверкой приборов. Сварочное оборудование, баллоны с защитными газами и пускорегулирующую аппаратуру необходимо располагать под навесами или в переносных машзалах. (в ред. Изменения N 1, утв. Приказом Минстроя РФ от 16.12.2016 N 983/пр)

10.1.15. Сварщик должен ставить личное клеймо, приведенное в ЖСР, на расстоянии 40 - 60 мм от границы выполненного им шва сварного соединения: одним сварщиком - в одном месте, при выполнении несколькими сварщиками - в начале и конце шва. Взамен постановки клейм допускается составление исполнительных схем с подписями сварщиков и фиксацией в ЖСР.

10.1.16. В технологических картах к ППСР для снижения остаточных напряжений и их влияния на прочность элементов конструкций, возможности появления горячих трещин и других дефектов должны быть предусмотрены:

определенная последовательность и порядок сборки, выполнения сварки монтажных соединений, наложения прихваток и швов;

обеспечение зазоров и скосов кромок, применение двухсторонних и симметричных угловых швов и др., для ограничения объема и концентрации наплавленного металла;

обеспечение максимальной свободы для температурных деформаций;

соблюдение температурных режимов сварки и остывания швов;

выполнение сварки без перерыва до окончания процесса, при многослойной сварке - после очистки предыдущего слоя от шлака;

выполнение сварки односторонними протяженными швами в соединениях с накладками из арматурных стержней в шахматном порядке; сварку начинать, отступив от краев накладок и нахлестки и в нахлесточных соединениях на расстояние (0,5 - 1,0);

недопущение совмещения кратеров в одном поперечном сечении стыка при многопроходной сварке;

наложение швов поверх прихваток только после зачистки последних;

поочередное наложение швов в диагонально противоположных секторах соединения колонн, в узлах крепления ригелей к колоннам. При длине шва менее 300 мм сварку ведут в одном направлении, более 300 мм - от середины к краям в двух направлениях;

в монолитном железобетоне стыки арматуры независимо от способа соединения, а в сборном железобетоне - по возможности, следует выполнять "вразбежку" с тем, чтобы в одном сечении железобетонной конструкции располагалось не более 50% стыков, а расстояние по длине (высоте) между началом и окончанием соединения стыков должно быть не менее двойного шага хомутов и составлять более 400 мм;

в узле сопряжения двутавровой колонны с фундаментной плитой выполнение вначале сварки стенки с опорной плитой с одной стороны, затем - с другой, а полки с внутренних сторон сваривают с диагонально противоположных сторон, а затем последовательно - каждую полку с наружной стороны;

мероприятия по термической и термомеханической правке и др.

10.2. Сборка и сварка монтажных соединений стальных конструкций

10.2.1. Металлические конструкции или их элементы должны поступать на объект с документом о качестве (паспортом) предприятия-изготовителя по ГОСТ 23118, [13]. (в ред. Изменения N 1, утв. Приказом Минстроя РФ от 16.12.2016 N 983/пр)

10.2.2. Допускается изготовление неответственных металлических конструкций на монтаже при наличии чертежей марки КМД, ППСР и осуществления производственного контроля качества по ГОСТ 23118 независимой специализированной испытательной лабораторией с выдачей документа о качестве на изделие.

10.2.3. Сварку конструкций при укрупнении и в проектном положении следует производить после проверки правильности сборки, осуществляемой с помощью сборочно-сварочных приспособлений, стяжных элементов и других фиксирующих устройств, обеспечивающих неизменяемость формы собираемых элементов. Вид и расположение временных закреплений должны соответствовать указанным в ППСР, а предельные отклонения геометрических размеров собранных конструкций и узлов не должны превышать приведенных в проекте. Перенос и кантовка узлов, собранных только на прихватках, не допускается.

10.2.4. Размеры конструктивных элементов кромок и швов сварных соединений, выполненных при монтаже, и предельные отклонения размеров сечения швов сварных соединений должны соответствовать указанным в ГОСТ 5264, ГОСТ 11534, ГОСТ 8713, ГОСТ 11533, ГОСТ 14771, ГОСТ 15164, ГОСТ 23518, ГОСТ 16037.

10.2.5. Кромки свариваемых элементов в местах расположения швов и прилегающие к ним поверхности шириной не менее 20 мм при ручной или механизированной дуговой сварке и не менее 50 мм при автоматизированных видах сварки, а также места примыкания начальных и выводных планок необходимо зачищать с удалением ржавчины, жиров, краски, грязи, влаги и т.п. В конструкциях из сталей с пределом текучести более 390 МПа (40 кгс/мм2), кроме того, следует зачищать места приварки и примыкающие поверхности приспособлений, а после кислородной или воздушно-дуговой резки кромки должны быть зачищены абразивным инструментом на глубину 1 - 2 мм с удалением выступов и наплывов.

10.2.6. Число прокаленных сварочных материалов на рабочем месте сварщика не должно превышать полусменной потребности. Сварочные материалы следует содержать в условиях, исключающих их увлажнение.

При сварке конструкций из сталей с пределом текучести более 390 МПа (40 кгс/мм2) электроды, взятые непосредственно из прокалочной или сушильной печи, необходимо использовать в течение 2 ч.

10.2.7. Ручную и механизированную дуговую сварку конструкций разрешается выполнять без подогрева при температуре окружающего воздуха, приведенной в таблице 10.2. При более низких температурах сварку надлежит производить с предварительным местным подогревом стали до 120 - 160 °C в зоне шириной 100 мм с каждой стороны соединения.

Таблица 10.2

Толщина свариваемых элементов, мм Минимально допустимая температура окружающего воздуха, °C,
при сварке конструкций
решетчатых листовых объемных и сплошностенчатых решетчатых листовых объемных и сплошностенчатых решетчатых и листовых
из стали
углеродистой низколегированной с пределом текучести, МПа (кгс/мм2)
390 (40) > 390 (40)
До 16     -30 -30 -20 -20 -15
Свыше 16 до 30 -30 -20 -10 0 0
" 30 " 40 -10 -10 0 5 При толщине более 25 мм предварительный местный подогрев производить независимо от температуры окружающего воздуха
" 40     0 0 5 10

10.2.8 Автоматизированную дуговую сварку под флюсом допускается выполнять без подогрева при температуре окружающего воздуха, приведенной в таблице 10.3. При температуре, ниже указанной в таблице 10.3, автоматизированную дуговую сварку под флюсом следует выполнять с предварительным местным подогревом на расстоянии 80 - 100 мм по обе стороны от оси шва до температур, указанных в 10.2.7. (в ред. Изменения N 4, утв. Приказом Минстроя РФ от 30.12.2020 N 905/пр)

Таблица 10.3

Толщина свариваемого элемента, мм Минимально допустимая температура окружающего воздуха, °C,
при сварке конструкций из стали
углеродистой низколегированной
До 30 -30 -20
Свыше 30 -20 -10

10.2.9. Автоматизированную электрошлаковую сварку элементов независимо от их толщины в конструкциях из низколегированных или углеродистых сталей допускается выполнять без предварительного подогрева при температуре воздуха до минус 65 °C.

10.2.10. Места приварки монтажных приспособлений к элементам конструкций из стали толщиной более 25 мм с пределом текучести 440 МПа (45 кгс/мм2) и более необходимо предварительно подогреть до 120 - 160 °C.

10.2.11. При устранении дефектов элементов металлоконструкций механизированную вышлифовку, кислородную и воздушно-дуговую поверхностную резку участков сварных швов с дефектами, а также заварку восстанавливаемого участка конструкции при температуре окружающего воздуха, ниже указанной в таблице 10.2, следует выполнять после подогрева зоны сварного соединения до 120 °C - 160 °C. (в ред. Изменения N 4, утв. Приказом Минстроя РФ от 30.12.2020 N 905/пр)

10.2.12. Требования к способу подогрева, оборудованию, контролю температуры и другие сведения должны содержаться в технологических регламентах к ППСР.

10.2.13. Швы соединений листовых объемных и сплошностенчатых конструкций толщиной более 20 мм при ручной дуговой сварке надлежит выполнять с применением техники сварки, обеспечивающей уменьшение скорости охлаждения сварного соединения (секционным обратноступенчатым, секционным двойным слоем, каскадом, секционным каскадом) по ППСР.

10.2.14. При двусторонней ручной или механизированной дуговой сварке стыковых, тавровых и угловых соединений с полным проплавлением необходимо перед выполнением шва с обратной стороны удалить его корень до чистого бездефектного металла.

10.2.15. При вынужденном перерыве в работе механизированную дуговую или автоматизированную дуговую сварку под флюсом разрешается возобновить после очистки от шлака кратера и прилегающего к нему концевого участка шва длиной 50 - 80 мм. Этот участок и кратер необходимо полностью перекрыть швом.

10.2.16. Придание угловым швам вогнутого профиля и плавного перехода к основному металлу, а также выполнение стыковых швов без усиления (если это предусмотрено чертежами марки КМД) следует обеспечивать подбором режимов сварки, соответствующим пространственным расположениям свариваемых элементов конструкций (при укрупнении), или механизированной зачисткой абразивным инструментом.

10.2.17. Начало и конец шва стыковых, угловых и тавровых соединений, выполняемых автоматизированными видами сварки, надлежит выводить за пределы свариваемых элементов на начальные и выводные планки. После окончания сварки планки должны быть удалены кислородной резкой. Места, где были установлены планки, необходимо зачистить абразивным инструментом.

Применение начальных и выводных планок при ручной и механизированной дуговой сварке должно быть предусмотрено в чертежах марки КМД.

Не допускается возбуждать дугу и выводить кратер на основной металл за пределы шва.

10.2.18. Каждый последующий валик (слой) многослойного шва сварного соединения надлежит выполнять после тщательной очистки предыдущего валика (слоя) от шлака и брызг металла. Участки шва с трещинами следует удалять до наложения последующих слоев.

10.2.19. Размеры прихваток, расстояния между ними, качество прихваток и сварных соединений креплений сборочных и монтажных приспособлений, определяемые внешним осмотром и измерениями, должно быть не ниже качества основных сварных соединений, а поверхности свариваемой конструкции и выполненных швов необходимо очищать от шлака, брызг и наплывов (натеков) расплавленного металла.

10.2.20. Приваренные сборочные и монтажные приспособления, начальные и выводные планки надлежит удалять без повреждения основного металла и применения ударных воздействий. Места их приварки необходимо зачистить заподлицо с основным металлом, недопустимые дефекты исправить.

Необходимость удаления сборочных болтов в монтажных сварных соединениях после окончания сварки определяется документацией марки КМД и ППСР.

10.3. Сборка и сварка монтажных соединений железобетонных конструкций

10.3.1. Типы сварных соединений арматуры между собой и с плоскими элементами проката закладных изделий, выполняемых при монтаже сборных и возведении монолитных железобетонных и бетонных с композитной полимерной арматурой конструкций, размеры конструктивных элементов, способы сварки, техника и технология, контроль качества должны соответствовать проекту, ГОСТ 14098, ГОСТ 10922, ГОСТ 23858, СП 48.13330, СП 63.13330, учитывать рекомендации [5], [6]. (в ред. Изменения N 4, утв. Приказом Минстроя РФ от 30.12.2020 N 905/пр)

10.3.2. Выполнение требований проекта по степени укрупнения арматурных изделий, точности их сборки, схемам монтажных ярусов и зон, подготовленным сборочным и сварочным работам, видам и объемам контроля, техники безопасности должно быть предусмотрено в ППСР и технологических картах (регламентных) к нему, учитывающих специфику конкретного объекта и возможности монтажной организации.

10.3.3. При наличии арматурно-сварочного участка на приобъектном полигоне для изготовления арматурных изделий и укрупнительной сборки железобетонных и бетонных с композитной полимерной арматурой элементов на сварке должен быть составлен отдельный ППСР с технологическими требованиями, аналогичными требованиям к заводской продукции. (в ред. Изменения N 4, утв. Приказом Минстроя РФ от 30.12.2020 N 905/пр)

10.3.4. Гнутье арматурной стали должно производиться с одинаковой скоростью, минимальный диаметр загиба в свету для основных классов арматуры приведен в таблице 10.4. Выпрямление гнутых стержней в арматурных изделиях не разрешается. Допускается термическая правка и гнутье (отгиб) нагревом арматуры до температуры 600 - 800 °C по технологическому регламенту (карте). Арматура из бухт может применяться только при наличии на стройплощадке соответствующего правильного оборудования.

Таблица 10.4

Класс арматуры Минимальный диаметр загиба в свету при диаметре стержня dн, мм Максимальный угол загиба, град
20 > 20
А240; А300 2,5d 2,5d Не ограничен
А400; А400С 4d 6d 180
А500; А500С; А600С 6d 7d 90 <*>
Вр-I 4d - Не ограничен
<*> Для сваренной встык арматуры, изгибаемой после сварки, минимальный диаметр загиба должен быть 10d.

10.3.5. Арматура, арматурные, закладные и соединительные изделия должны поступать на объект с документом о качестве (паспортом, сертификатом) завода-изготовителя. (в ред. Изменения N 1, утв. Приказом Минстроя РФ от 16.12.2016 N 983/пр)

Гнутые изделия из композитной полимерной арматуры поставляются на строительную площадку в готовом виде, в соответствии с проектной документацией, с документом о качестве (паспортом) завода-изготовителя. (в ред. Изменения N 4, утв. Приказом Минстроя РФ от 30.12.2020 N 905/пр)

10.3.6. Для обеспечения требуемых проектом параметров армирования перед укладкой арматуры и сборкой элементов железобетонных и бетонных с композитной полимерной арматурой конструкций необходимо установить соответствие классов и диаметров стержневой арматуры, вида композитной арматуры по типу непрерывного армирующего наполнителя, марок стали и толщин плоских элементов закладных изделий и соединительных деталей, размеров и точности сборки сопрягаемых элементов, а перед сваркой - размеров и точности подготовки сопрягаемых стержней чертежам марки КЖ проекта и требованиям ГОСТ 14098, ГОСТ 10922, а также данным, приведенным в [5] и [6]. (в ред. Изменения N 4, утв. Приказом Минстроя РФ от 30.12.2020 N 905/пр)

10.3.7. Элементы сборных железобетонных конструкций следует собирать с использованием устройств и приспособлений, фиксирующих их проектное положение. Конструкции с закладными и соединительными изделиями, нахлесточные соединения, скобы-накладки и арматурные накладки следует собирать на прихватках с применением тех же сварочных материалов, что и основные швы. Прихватки следует располагать в местах последующего наложения сварных швов. Запрещается сборка и сварка арматурных стержней конструкций, удерживаемых краном.

10.3.8. При сборке конструкций и укладке арматуры в монолитном бетоне не разрешается обрезка концов стержней и разделка их кромок перед сваркой электрической дугой.

10.3.9 Длина выпусков арматурных стержней из бетона конструкций должна быть не менее 150 мм при регламентированных нормативными документами зазорах и не менее 100 мм при применении одной вставки длиной не менее 80 мм в случае их превышения. Вставки следует изготовлять из арматуры того же класса и диаметра, что и стыкуемые стержни. При сварке стержней встык с накладками превышение зазора должно быть компенсировано соответствующим увеличением длины накладок.

10.3.10. После сборки под сварку несоосность стыкуемых арматурных стержней, переломы их осей, смещения и отклонения размеров элементов сварных соединений должны соответствовать требованиям ГОСТ 10922. Отгиб стержней для обеспечения их соосности следует осуществлять в холодном состоянии. Допускается осуществлять нагрев до температуры 600 - 800 °C по специальной технологической карте.

10.3.11. Требования к способу подогрева, оборудованию и контролю температуры должны содержаться в технологическом регламенте (картах) к ППСР.

10.3.12. Перед сваркой (ванной, многослойными или протяженными швами) арматурные стержни в месте соединения следует зачищать на длине, превышающей на 10 - 15 мм сварной шов или стык.

10.3.13. Для ручной дуговой сварки следует использовать источники постоянного сварочного тока универсальные или с падающей характеристикой и сварочные трансформаторы или инверторы на токи до 500 А, а для механизированных способов сварки - источники постоянного сварочного тока универсальные или с жесткой характеристикой до 500 А и специализированные или модернизированные полуавтоматы общего назначения. (в ред. Изменения N 1, утв. Приказом Минстроя РФ от 16.12.2016 N 983/пр)

10.3.14. Конструкции сварных соединений стержневой арматуры, их типы и способы выполнения в зависимости от условий эксплуатации, класса и марки свариваемой стали, диаметра и пространственного положения при сварке, а также предельные отклонения размеров выполненных швов должны соответствовать требованиям проекта, ГОСТ 14098, ГОСТ 10922, а также данным [5] и [6].

10.3.15. Режимы, сварочные материалы, техника, технология сварки арматуры, арматурных и закладных изделий должны соответствовать [5] и ППСР.

10.3.16. Рекомендуемые типы электродов для ручной дуговой сварки основных классов арматуры приведены в таблице 10.5, а марки сварочных проволок для механизированных способов сварки и других классов арматуры - в [5] и [6].

Таблица 10.5

Класс арматуры Рекомендуемые типы электродов для сварки
ванной, ванно-шовной и дуговой с многослойными швами стыковых соединений протяженными швами стыковых и нахлесточных соединений дуговой ручной прихватками
А240; А300 Э42, Э46, Э42А, Э46А
А-400; А400С Э50А, Э55 Э42А, Э46А, Э50А Э50А, Э55
А500; А500С; А600С Э50А, Э55, Э60
Вр-I Э50А, Э55, Э60

10.3.17. Дуговая сварка прихватками крестообразных соединений стержней и замкнутых хомутов с продольной (рабочей) арматурой разрешается для сталей классов А400С, А500С и А600С и допускается по ГОСТ 14098 для некоторых марок сталей. Прихватка дуговой сваркой в крестообразных соединениях стержней для эксплуатации при отрицательных расчетных температурах запрещается. Стержни рабочей арматуры, имеющие крестообразные соединения дуговой сваркой прихватками, не должны разупрочняться.

10.3.18. На поверхности стержней рабочей арматуры не допускаются ожоги дуговой сваркой.

10.3.19. Для выполнения ручной или механизированной сварки при отрицательной температуре окружающего воздуха до минус 30 °C необходимо:

увеличивать сварочный ток на 1% при понижении температуры воздуха на каждые 3 °C (от 0 °C);

производить предварительный подогрев газовым пламенем стержней арматуры до 200 - 250 °C на длину 90 - 150 мм от стыка;

подогрев стержней надлежит осуществлять после закрепления на них инвентарных форм, стальных скоб или круглых накладок без разборки кондукторов, используемых для временного закрепления монтируемых конструкций;

снижать скорость охлаждения соединений стержней, выполненных ванными способами сварки, посредством обмотки их хризотиловой тканью;

при наличии инвентарных формующих элементов следует снимать последние после остывания выполненного сварного соединения до 100 °C и ниже.

10.3.20. Ручную и механизированную сварку плоских элементов закладных и соединительных изделий (монтажных связей) следует выполнять в соответствии с требованиями как для металлических конструкций.

10.3.21. Допускается сварка стержневой арматуры при температуре окружающего воздуха до минус 50 °C по специально разработанной технологии, приведенной в ППСР.

10.3.22. В соединениях стержней с накладками или внахлестку и с элементами закладных и соединительных изделий, сваренных при отрицательных температурах, удаление дефектов в швах следует выполнять после подогрева прилегающего участка сварного соединения до 120 - 160 °C. Заварку восстанавливаемого участка надлежит производить также после подогрева.

10.3.23. После окончания сварки сварные соединения необходимо очистить от шлака и брызг металла.

10.3.24. Выполненные партии арматурных, закладных и соединительных изделий конструкций по ППСР после приемочного контроля качества сварных соединений по ГОСТ 10922 и ГОСТ 23858 должны оформляться актами скрытых работ, являющимися разрешением на бетонирование, с обязательным приложением протоколов по визуальному, инструментальному и ультразвуковому контролю.

10.3.25. Антикоррозионную и, при необходимости, огнезащиту выполняют после исправления отбракованных сварных соединений и положительных результатов повторного приемочного контроля.

10.4. Контроль качества сварных соединений стальных конструкций

10.4.1. Производственный контроль качества выполнения монтажных сварных соединений стальных конструкций должен осуществляться в соответствии с требованиями проекта, ГОСТ 3242, ГОСТ 6996, ГОСТ Р 55724, ГОСТ 23518, ГОСТ 7512, ГОСТ 14771, ГОСТ 11533, ГОСТ 11534, ГОСТ 18442, [11] и ППСР. (в ред. Изменения N 1, утв. Приказом Минстроя РФ от 16.12.2016 N 983/пр)

10.4.2. Контрольные операции должны производиться, пока доступ к изделию не затруднен и отсутствует антикоррозионная и огнезащита.

10.4.3. Методы и объемы контроля должны соответствовать требованиям проектной документации, таблице 10.6 и ППСР.

Таблица 10.6

Методы контроля Типы швов конструкций, объем контроля
1. Внешний осмотр и измерения с проверкой геометрических размеров и формы швов и наличия наружных дефектов Все типы швов конструкций в объеме 100%
2. Неразрушающий ультразвуковой контроль Все типы швов конструкций в объеме не менее 0,5% длины швов и более по указаниям в проекте с учетом дополнительных требований раздела 4 <*>
3. Радиографический, магнитопорошковый и др. То же
4. Испытания на непроницаемость и герметичность "
5. Механические испытания контрольных образцов Все типы сварных швов конструкций, для которых требования механических свойств предусмотрены чертежами КМ
6. Металлографические исследования макрошлифов на торцах швов контрольных образцов или на торцах стыковых швов сварных соединений То же
<*> Места обязательного контроля должны быть указаны в проекте.

(в ред. Изменения N 1, утв. Приказом Минстроя РФ от 16.12.2016 N 983/пр)

10.4.4. По внешнему осмотру и измерениям качество швов должно удовлетворять требованиям таблицы 10.7.

Таблица 10.7

Элементы сварных соединений, наружные дефекты Требования к качеству, допустимые размеры дефектов
Поверхность шва Равномерно-чешуйчатая, без прожогов, наплывов, сужений и перерывов. Плавный переход к основному металлу (следует оговорить в чертежах КМ и КМД)
Подрезы Глубина до 5% толщины свариваемого проката, но не более 1 мм
Дефекты удлиненные и сферические одиночные Глубина до 10% толщины свариваемого проката, но не более 3 мм.
Длина - до 20% длины оценочного участка <*>
Дефекты удлиненные и сферические в виде цепочки или скопления Глубина до 5% толщины свариваемого проката, но не более 2 мм.
Длина - до 30% длины оценочного участка.
Длина цепочки или скопления - более удвоенной длины оценочного участка
Дефекты (непровары, цепочки и скопления пор), соседние по длине шва Расстояние между близлежащими концами - не менее 200 мм
Швы сварных соединений конструкций, возводимых или эксплуатируемых в районах с расчетной температурой ниже минус 40 °C и до минус 65 °C включительно  
Непровары, несплавления, цепочки и скопления наружных дефектов Не допускаются
Подрезы:  
вдоль усилия Глубина - не более 0,5 мм при толщине свариваемого проката до 20 мм и не более 1 мм - при большей толщине
местные поперек усилия Длина - не более удвоенной длины оценочного участка
<*> Здесь и далее длину оценочного участка следует принимать по таблице 10.9.

10.4.5.Трещины всех видов и размеров не допускаются.

10.4.6. Предельные отклонения размеров и сечения швов сварных соединений от проектных не должны превышать величин, указанных в ГОСТ 14771, ГОСТ 23518, ГОСТ 8713, ГОСТ 11533, ГОСТ 11534, ГОСТ 16037, ГОСТ 5264. Обнаруженные дефекты должны быть исправлены в соответствии с положениями ППСР, а сварные швы подвергнуты повторному визуально-измерительному контролю.

10.4.7. Неразрушающие методы контроля следует производить на сварных швах, принятых внешним осмотром и измерениями. Контролю должны подлежать преимущественно места с признаками дефектов и участки пересечения швов. Длина контрольного участка должна быть не менее 100 мм. (в ред. Изменения N 1, утв. Приказом Минстроя РФ от 16.12.2016 N 983/пр)

10.4.8. По результатам радиографического контроля швы сварных соединений конструкций должны удовлетворять требованиям таблиц 10.8 и 10.9.

Таблица 10.8

Элементы сварных соединений, внутренние дефекты Требования к качеству, допустимые размеры дефектов
Соединения, доступные для сварки с двух сторон, соединения на подкладках  
непровары в корне шва Высота - до 5% толщины свариваемого проката, но не более 2 мм.
Длина - не более удвоенной длины оценочного участка
Соединения без подкладок, доступные для сварки с одной стороны  
непровары в корне шва Высота - до 15% толщины свариваемого проката, но не более 3 мм
удлиненные и сферические дефекты:  
одиночные Высота - не более значений h <*>
образующие цепочку или скопления Высота - не более 0,5h <*>
  Длина - не более длины оценочного участка
удлиненные Протяженность не более отношения S <*>/h
непровары, цепочки и скопления пор, соседние по длине шва Расстояние между близлежащими концами не менее 200 мм
суммарные в продольном сечении шва Суммарная площадь на оценочном участке - не более S <*>
Швы сварных соединений конструкций, возводимых или эксплуатируемых в районах с расчетной температурой ниже минус 40 °C до минус 65 °C включительно, а также конструкций, рассчитанных на выносливость  
непровары, несплавления, удлиненные дефекты, цепочки и скопления дефектов Не допускаются
одиночные сферические дефекты Высота не более 0,5h <*>
Расстояние между соседними дефектами - не менее удвоенной длины оценочного участка
<*> Значения h и S следует принимать по таблице 10.9.

Таблица 10.9

Наименьшая толщина элемента конструкции в сварном соединении, мм Длина оценочного участка, мм Допустимые размеры одиночных дефектов
h, мм S, мм2
От 4 до 6 15 0,8 3
Свыше 6 до 8 20 1,2 6
" 8 " 10 20 1,6 8
" 10 " 12 25 2,0 10
" 12 " 14 25 2,4 12
" 14 " 16 25 2,8 14
" 16 " 18 25 3,2 16
" 18 " 20 25 3,6 18
" 20 " 60 30 4,0 18
Обозначения, принятые в таблице: h - допустимая высота сферического или удлиненного одиночного дефекта; S - суммарная площадь дефектов в продольном сечении шва на оценочном участке.

Примечание - Чувствительность контроля устанавливается по третьему классу согласно ГОСТ 7512.

При оценке за высоту дефектов h следует принимать следующие размеры их изображений на радиограммах:

для сферических пор и включений - диаметр;

для удлиненных пор и включений - ширину.

10.4.9. По результатам ультразвукового контроля швы сварных соединений конструкций должны удовлетворять требованиям таблицы 10.10.

Таблица 10.10

(в ред. Изменения N 1, утв. Приказом Минстроя РФ от 16.12.2016 N 983/пр)

Типы сварных соединений Наименьшая толщина элемента конструкции в сварном соединении, мм Длина оценочного участка, мм Браковочная эквивалентная площадь одиночного дефекта, <*> мм2, не более Допустимая протяженность дефекта, мм, не более Допустимое число одиночных дефектов на оценочном участке, шт.
Стыковые, угловые, тавровые, нахлесточные Свыше 6 до 10 20 4 10 1
" 10 " 20 25 6 10 2
" 20 " 30 30 7 20 3
" 30 " 60 30 10 25 3
<*> Контрольный уровень чувствительности устанавливают на 6 дБ, а поисковый - на 12 дБ выше браковочного.

10.4.10. В швах сварных соединений конструкций, возводимых или эксплуатируемых в районах с расчетной температурой ниже минус 40 °C до минус 65 °C включительно, а также конструкций, рассчитанных на выносливость, допускаются внутренние дефекты, эквивалентная площадь которых не превышает половины значений браковочной площади (см. таблицу 10.10). Расстояние между дефектами должно быть не менее удвоенной длины оценочного участка. (в ред. Изменения N 1, утв. Приказом Минстроя РФ от 16.12.2016 N 983/пр)

10.4.11. В соединениях, доступных сварке с двух сторон, а также в соединениях на подкладках суммарная площадь дефектов (наружных, внутренних или тех и других одновременно) на оценочном участке не должна превышать 5% площади продольного сечения сварного шва на этом участке.

В соединениях без подкладок, доступных сварке только с одной стороны, суммарная площадь всех дефектов на оценочном участке не должна превышать 10% площади продольного сечения шва на этом участке.

10.4.12. В случае обнаружения недопустимого дефекта следует выявить его фактическую длину, дефект исправить (см. 10.4.18) и вновь проконтролировать удвоенную выборку.

При повторном выявлении дефекта контролю подлежат 100% сварных соединений.

10.4.13. Контроль непроницаемости швов сварных соединений следует производить пузырьковым или капиллярным методами (под непроницаемостью следует понимать способность соединения не пропускать воду или другие жидкости). (в ред. Изменения N 1, утв. Приказом Минстроя РФ от 16.12.2016 N 983/пр)

Величина разрежения при пузырьковом методе должна быть не менее 2500 Па (250 мм вод. ст.).

Продолжительность контроля капиллярным методом должна быть не менее 4 ч при положительной и менее 8 ч при отрицательной температуре окружающего воздуха.

10.4.14. Контроль герметичности (под герметичностью следует понимать способность соединения не пропускать газообразные вещества) швов сварных соединений следует производить пузырьковым методом. (в ред. Изменения N 1, утв. Приказом Минстроя РФ от 16.12.2016 N 983/пр)

10.4.15. Сварные соединения, контролируемые при отрицательной температуре окружающего воздуха, следует просушивать нагревом до полного удаления замерзшей воды и смазки.

10.4.16. Механические испытания контрольных образцов проводят при наличии требований в чертежах марки КМ к показателям прочности, пластичности и вязкости металла шва и зоны термического влияния сварного соединения.

Требования к контрольным образцам и их сварке аналогичны требованиям к пробным (допускным) образцам (см. 10.1.4).

Число контрольных образцов при механических испытаниях должно быть не менее:

на статическое растяжение стыкового соединения - двух;

на статическое растяжение металла шва стыкового, углового и таврового соединений - по три;

на статический изгиб стыкового соединения - двух;

на ударный изгиб металла шва и зоны термического влияния стыкового соединения - трех; тип образца и места надрезов должны быть указаны в чертежах КМ;

на твердость (НВ) металла и зоны термического влияния сварного соединения низколегированной стали (не менее, чем в четырех точках) - одного.

10.4.17. Металлографические исследования макрошлифов швов сварных соединений следует проводить в соответствии с чертежами. (в ред. Изменения N 1, утв. Приказом Минстроя РФ от 16.12.2016 N 983/пр)

10.4.18. Обнаруженные в результате контрольных испытаний недопустимые дефекты необходимо устранить механизированной зачисткой (абразивным инструментом) или механизированной рубкой, а участки шва с недопустимыми дефектами вновь заварить и проконтролировать.

Допускается удаление дефектов сварных соединений ручной кислородной резкой или воздушно-дуговой поверхностной резкой при обязательной последующей зачистке поверхности реза абразивным инструментом на глубину 1 - 2 мм с удалением выступов и наплывов.

10.4.19. Все ожоги поверхности основного металла сварочной дугой следует зачищать абразивным инструментом на глубину 0,5 - 0,7 мм.

10.4.20. При удалении механизированной зачисткой (абразивным инструментом) дефектов сварных соединений, корня шва и прихваток риски на поверхности металла необходимо направлять вдоль сварного соединения:

при зачистке мест установки начальных и выводных планок - вдоль торцевых кромок свариваемых элементов конструкций;

при удалении усиления шва - под углом 40 - 50° к оси шва.

Ослабление сечения при обработке сварных соединений (углубление в основной металл) не должно превышать 3% толщины свариваемого элемента, но не более 1 мм.

10.4.21. При удалении поверхностных дефектов с торца шва абразивным инструментом без последующей подварки допускается углубляться с уклоном не более 0,05 на свободной кромке в толщину металла на 0,02 ширины свариваемого элемента, но не более чем на 8 мм с каждой стороны. При этом суммарное ослабление сечения (с учетом допустимого ослабления по толщине) не должно превышать 5%. После обработки торцов швов необходимо притупить острые грани.

10.4.22. Исправление сварных соединений зачеканкой не допускается.

10.4.23. Остаточные деформации конструкций, возникшие после монтажной сварки, необходимо устранять термическим или термомеханическим воздействием по технологической карте (регламенту).

10.4.24. Методы и объемы неразрушающего контроля элементов монтируемых конструкций приведены в дополнительных правилах раздела 4.

10.4.25. Оформление результатов контроля по 10.5.4 и 10.5.5.

10.5. Контроль качества сварных соединений при монтаже железобетонных конструкций

10.5.1. Производственный контроль качества выполнения монтажных сварных соединений арматуры, закладных и соединительных изделий должен осуществляться в соответствии с ППСР и ГОСТ 10922, ГОСТ 23858, а также учитывать [5] и [6].

10.5.2. Входной и пооперационный контроль осуществляется соответствующими службами генподрядчика (субподрядчика) или специалистами привлеченной испытательной лаборатории (ИЛ), аккредитованными в установленном порядке.

10.5.3. Приемочный контроль должен осуществляться только независимыми специализированными аккредитованными испытательными лабораториями (центрами).

10.5.4. Результаты контроля должны быть оформлены протоколами (актами) испытаний, перечень которых приведен в таблице 10.11, служат основанием для оформления акта скрытых работ, входят в комплект исполнительной документации по объекту и должны храниться в установленном порядке.

Таблица 10.11

Документы по контролю качества Содержание
Протоколы, акты, заключения Результаты механических разрушающих испытаний контрольных (допускных) образцов всех типов сварных соединений, предусмотренных проектом для проверки квалификации сварщика и готовности производства к выполнению сборочно-сварочных работ на конкретном объекте
То же Результаты механических разрушающих испытаний для проверки механических свойств основного металла и сварных соединений
" Результаты проверки визуально-измерительным методом сборности и совместимости пластин закладных и соединительных изделий для последующей сварки монтажных связей, геометрических параметров сварных швов и качества поверхности для установления наружных дефектов
" Результаты неразрушающих испытаний ультразвуковой дефектоскопией и другими методами для определения внутренних дефектов
" Результаты проверки визуально-измерительным методом параметров армирования

В протоколах испытаний, кроме результатов, должны быть указаны: название испытательной лаборатории, номер аттестата аккредитации и ее область; Ф.И.О. лаборанта, контролера, оператора-дефектоскописта по неразрушающим методам контроля, номер квалификационного свидетельства с указанием уровня аттестации, даты последней переаттестации; марка (тип) испытательного оборудования, заводской номер, номер свидетельства о ежегодной метрологической поверке (калибровке); место проведения контроля или отбора проб; дата осуществления контрольных операций; сведения по сборке и сварке, предусмотренные проектом и ППСР.

10.5.5. Результаты контроля должны также фиксироваться в соответствующих графах ЖСР (приложение Б).

10.5.6. Сварные стыковые соединения, не удовлетворяющие требованиям ГОСТ 10922 и ГОСТ 23858 в монолитном железобетоне, необходимо исправить или вырезать, а в сборном - вырезать и заварить вновь через вставку длиной не менее 80 мм. Нахлесточные и крестообразные соединения должны быть исправлены подваркой после зачистки места дефекта абразивным инструментом, а при необходимости, с подогревом до 200 - 250 °C.

10.5.7. При неразрушающих методах контроля качества в случае обнаружения хотя бы одного соединения с недопустимым дефектом назначается повторная выборка удвоенного количества сварных соединений. Если в повторной выборке происходит аналогичная ситуация, партия сдаваемой продукции подлежит 100% контролю.

10.5.8. Бетонирование конструкций до получения результатов оценки качества сварных соединений арматурных стержней, арматурных, закладных и соединительных изделий не разрешается.

11. Монтаж сталежелезобетонных конструкций (в ред. Изменения N 4, утв. Приказом Минстроя РФ от 30.12.2020 N 905/пр)

11.1. Общие положения

11.1.1. Настоящим разделом установлены требования по монтажу сталежелезобетонных конструкций в соответствии с СП 266.1325800, а именно: сталежелезобетонных плит с профилированным настилом; комбинированных балок; железобетонных конструкций с жесткой арматурой; трубобетонных конструкций с внешней стальной оболочкой в виде круглой трубы с бетонным или железобетонным ядром.

11.1.2. Монтаж сталежелезобетонных конструкций должен осуществляться в соответствии с утвержденным проектом производства работ.

11.1.3. Проект производства работ должен содержать этапы и последовательность возведения стальных, бетонных или железобетонных конструкций - составных частей сталежелезобетонных конструкций.

11.1.4. Монтаж и поставляемые на монтаж конструкции должны соответствовать требованиям рабочих чертежей марок АС, КЖ, КМ и КМД.

11.1.5. Бетонные работы при монтаже сталежелезобетонных конструкций следует выполнять согласно 5.1 - 5.5, 5.8, 5.11, 5.12.

11.1.6. Монтаж сборных железобетонных плит при устройстве сталежелезобетонных перекрытий и покрытий выполняется согласно 6.1, 6.4 и 6.9.

11.1.7. Предельные отклонения от проектного положения сборных железобетонных плит не должны быть более значений, приведенных в таблице 6.10.

11.1.8. Все поверхности гибкой арматуры, жесткой арматуры, объединительных устройств, контактирующие с бетоном перед монтажом необходимо зачищать с удалением ржавчины, транспортного покрытия, масел, грязи, влаги и т.п.

Зачистка выполняется ручным или механическим способом с применением металлических щеток, сжатого воздуха и обезжиривающих составов.

11.2. Монтаж жесткой арматуры, стальных балок и стальных оболочек сталежелезобетонных конструкций

11.2.1. Требования по изготовлению жесткой арматуры, стальных балок и стальных оболочек сталежелезобетонных конструкций в соответствии с ГОСТ 23118.

11.2.2. Монтаж жесткой арматуры, стальных балок и стальных оболочек сталежелезобетонных конструкций следует выполнять согласно 4.1 - 4.6, 4.10 - 4.14 и 10.

11.2.3. Предельные отклонения жесткой арматуры, стальных балок и стальных оболочек сталежелезобетонных конструкций от проектного положения не должны быть более значений, приведенных в таблице 4.10.

11.3. Монтаж гибкой арматуры в сталежелезобетонных конструкциях

11.3.1. Арматурные работы при монтаже гибкой арматуры (стержневой арматуры и деталей из нее, сварных арматурных сеток) сталежелезобетонных конструкций следует выполнять согласно 5.16.

11.3.2. При армировании конструкций предельные отклонения от значений проектной документации не должны превышать значений, указанных в таблице 5.10.

11.3.3. Возможность применения сварных сеток должна быть указана в рабочих чертежах.

11.3.4. При отсутствии указаний в рабочих чертежах выполнение сварных соединений стержневой арматуры и деталей из нее не допускается.

11.3.5. Соединение гибкой арматуры с жесткой арматурой с помощью сварки допускается выполнять только в соответствии с проектной документацией.

11.4. Опалубочные работы

11.4.1. Опалубочные работы при монтаже сталежелезобетонных конструкций следует выполнять согласно 5.17.

11.4.2. Приемку бетонных и железобетонных частей сталежелезобетонных конструкций следует выполнять согласно 5.18.

11.4.3. Предельные отклонения от значений проектной документации смонтированных бетонных и железобетонных частей сталежелезобетонных конструкций не должны превышать значений таблиц 5.10 и 6.1.

11.5. Монтаж объединительных устройств (жестких или гибких упоров)

11.5.1. Технические требования к конструкции жестких упоров и соединениям, расчетной сдвигающей нагрузки, количеству и их расположению в конструкции указываются в рабочих чертежах марок КМ и КМД.

Предельные отклонения от проектного положения жестких упоров - по ГОСТ 23118.

11.5.2. При применении гибких упоров в проектной документации указывают типоразмеры с обозначением в соответствии с документацией завода-изготовителя количества и их расположения в конструкции.

Монтаж, контроль, приемку гибких упоров выполняют согласно проектной документации, документации завода-изготовителя и настоящему своду правил.

11.5.3. Технические требования к гибким упорам в виде комплектов из металлической шпильки и керамического кольца для сварки должны соответствовать ГОСТ Р 55738.

11.5.4. Работы по монтажу гибких упоров, прикрепляемых дюбелями с использованием пороховых монтажных пистолетов следует выполнять с учетом 4.7.2, 4.7.4 - 4.7.6.

Контрольную пристрелку следует выполнять на монтируемых конструкциях в местах, указанных в чертежах КМ или КМД. В отсутствие указания на чертежах, пристрелку проводят на образцах технологической пробы, соответствующих проекту по качеству материала и т.п.

11.5.5. При монтаже гибких упоров следует выполнять разметку или применять технологическую оснастку для обеспечения проектного положения гибких упоров. Предельные отклонения приведены в таблице 11.1.

Таблица 11.1

Параметр Предельное отклонение, мм
Расстояние от оси крайнего ряда гибких упоров до продольной кромки пояса +/- 2
Расстояние между осями соседних рядов гибких упоров:  
вдоль оси элемента +/- 5
поперек оси элемента +/- 3

11.5.6. Приемочный контроль гибких упоров в виде холодногнутых уголков, закрепленных на балках перекрытия с помощью дюбелей выполняется в соответствии с документацией изготовителя упоров.

11.5.7. Сварные швы гибких упоров должны быть без разрывов, трещин и свищей.

Приемочный контроль сварных соединений следует выполнять методом ударного загиба выборочно в количестве не менее 3 шт. для гибких упоров отдельного стального элемента сталежелезобетонной конструкции (например, стальной балки или поэтажного участка вертикальной или наклонной жесткой арматуры).

Ударный загиб следует выполнять ударами кувалды весом 5 кг. Контрольное испытание методом ударного загиба считается выдержанным при загибе гибкого упора на 30° от начального положения и отсутствии в околошовной зоне видимых надрывов и трещин.

11.6. Монтаж профилированного настила сталежелезобетонных перекрытий и покрытий

11.6.1. Монтаж профилированного настила из отдельных листов выполняется в соответствии с рабочими чертежами марки КЖ и ППР.

11.6.2. При различной ширине волн, ориентация профилированного листа принимается в соответствии с рабочими чертежами.

11.6.3. Необходимость устройства дополнительных временных опор указывается в ППР с учетом принятой технологии монтажа, бетонной смеси и применяемых механизмов.

11.6.4. Ширина опирания профилированного листа на опорах должна быть не менее 60 мм.

11.6.5. Стыковка различных профилированных листов по длине выполняется с перехлестом не менее 50 мм. При невозможности стыковки профилированных листов по длине на постоянной опоре допускается стыковка листов на дополнительной временной опоре.

11.6.6. Стыковка профилированных листов по длине на временных опорах выполняется с перехлестом не менее 150 мм и соединением между собой в середине перехлеста в каждой волне комбинированными заклепками с номинальным диаметром стержня не менее 4,8 мм.

11.6.7. Крепление профилированного листа к постоянной стальной опоре выполняется дюбелями, самонарезающимися винтами или электрозаклепками через одну волну.

11.6.8. Зазор между профилированным листом и постоянной опорой не должен превышать 0,5 мм. Продольная стыковка профилированных листов выполняется нахлестом крайних полок так, чтобы сохранялся регулярный шаг волны. Допускается отклонение от регулярного шага в волне в зоне стыковки +/- 10 мм. Соединение листов продольного стыка осуществляется комбинированными заклепками со стержнем номинальным диаметром не менее 4,8 мм с шагом не более 500 мм.

11.6.9. Перед бетонированием допустимый прогиб профилированного листа между постоянными опорами не должен превышать 1/400 пролета.

Приложение А

(в ред. Изменения N 4, утв. Приказом Минстроя РФ от 30.12.2020 N 905/пр)

ОФОРМЛЕНИЕ ОБЛОЖЕК И СТРАНИЦ ЖУРНАЛА РАБОТ ПО МОНТАЖУ СТРОИТЕЛЬНЫХ КОНСТРУКЦИЙ

Обложка

Журнал работ
по монтажу строительных конструкций
(форма)

Титульный лист

Журнал работ по монтажу строительных конструкций
N _______
                                                                               
Наименование организации, выполняющей работы                                                        
Наименование объекта строительства                                                              
Должность, фамилия, инициалы и подпись лица, ответственного за монтажные работы и ведение журнала                                
                                                                               
Организация, разработавшая проектную документацию; чертежи КЖ, КМ, КД                                              
Шифр проекта                                                                        
Организация, разработавшая проект производства работ                                                      
Шифр проекта                                                                        
Предприятие, изготовившее конструкции                                                            
Шифр заказа                                                                        
Заказчик (организация), должность, фамилия, инициалы и подпись руководителя (представителя) технического надзора                          
Основные показатели строящегося объекта:                                                
Объем работ: стальных конструкций, т                                                              
сборных железобетонных конструкций, м3                                                            
деревянных конструкций, м3                                                                  
Журнал начат "___"_________________ 20___ г.                                                    
Журнал окончен "___"_________________ 20___ г.                                          

1-я страница

Список инженерно-технического персонала, занятого на монтаже здания (сооружения)

Фамилия, имя, отчество Специальность и образование Занимаемая должность Дата начала работы на объекте Отметка о прохождении аттестации и дата аттестации Дата окончания работы на объекте
           
           
           

Перечень актов освидетельствования скрытых работ и актов промежуточной приемки ответственных конструкций

N п.п. Наименование актов Дата подписания акта
     
     
     

2-я и последующие страницы

Дата выполнения работ, смена Описание производимых работ, наименование устанавливаемых конструкций, их марка, результаты осмотра конструкций Место установки и номера монтажных схем Номера технических паспортов на конструкции Атмосферные условия (температура окружающего воздуха, осадки, скорость ветра) Фамилия, инициалы исполнителя (бригадира) Подпись исполнителя (бригадира) Замечания и предложения по монтажу конструкций руководителей монтажной организации, авторского надзора, технического надзора заказчика Подпись мастера (производителя работ), разрешившего производство работ и принявшего работу. Подпись лиц, осуществляющих авторский надзор
1 2 3 4 5 6 7 8 9
                 
                 
                 

3-я страница обложки

В журнале пронумеровано и прошнуровано
_____________________ страниц
"___" ______________ 20___ г.
 
(должность, фамилия, инициалы и подпись руководителя организации,
 
выдавшего журнал)

Место

печати

Приложение Б

(в ред. Изменения N 4, утв. Приказом Минстроя Рф от 30.12.2020 N 905/пр)

ОФОРМЛЕНИЕ ОБЛОЖЕК И СТРАНИЦ ЖУРНАЛА СВАРОЧНЫХ РАБОТ

Обложка

Журнал сварочных работ (ЖСР)
(форма)

Титульный лист

Журнал сварочных работ
N _______
                                                                               
Наименование организации, выполняющей работы                                                        
Наименование объекта строительства                                                              
Должность, фамилия, инициалы и подпись лица, ответственного за сварочные работы и ведение журнала                                
                                                                               
Организация, разработавшая проектную документацию, чертежи марки КМ, КЖ, КМД, КЖД                                        
Шифр проекта                                                                        
Организация, разработавшая проект производства сварочных работ                                                
Шифр проекта                                                                        
Предприятие, изготовившее стальные конструкции, арматурные и закладные изделия                                          
Шифр документа о качестве                                                                  
Заказчик (организация), должность, фамилия, инициалы и подпись руководителя (представителя) технического надзора                          
Журнал начат "___"_________________ 20___ г.                                                    
Журнал окончен "___"_________________ 20___ г.                                          

1-я страница

Список инженерно-технического персонала, занятого выполнением сварочных работ

Фамилия, имя, отчество Специальность и образование Занимаемая должность Дата начала работы на объекте Отметка о прохождении аттестации и дата Дата окончания работы на объекте
           
           
           

Список сварщиков, выполнявших сварочные работы на объекте

Фамилия, имя, отчество Разряд квалификационный Номер личного клейма Диплом, удостоверение на право производства сварочных работ Отметка о сварке пробных и контрольных образцов
номер срок действия допущен к сварке (швов в пространственном положении)
             
             
             

2-я и последующие страницы

Дата выполнения работ, смена Наименование соединяемых элементов; марка стали Место или номер (по чертежу или схеме) свариваемого элемента Отметка о сдаче и приемке узла под сварку (должность, фамилия, инициалы, подпись) Марка применяемых сварочных материалов (проволока, флюс, электроды), номер партии Атмосферные условия (температура воздуха, осадки, скорость ветра) Фамилия, инициалы сварщика, номер удостоверения Клеймо Подписи сварщиков, сваривших соединения Фамилия, инициалы ответственного за производство работ (мастера, производителя работ) Подпись руководителя сварочных работ Отметка о приемке сварного соединения представителя ИЛ Замечания по контрольной проверке (производителя работ, представителя ИЛ и др.)
1 2 3 4 5 6 7 8 9 10 11 12 13
                         
                         
                         

3-я страница обложки

В журнале пронумеровано и прошнуровано
_____________________ страниц
"___" ______________ 20___ г.
 
(должность, фамилия, инициалы и подпись руководителя организации,
 
выдавшего журнал)

Место

печати

Приложение В

(в ред. Изменения N 4, утв. Приказом Минстроя РФ от 30.12.2020 N 905/пр)

ОФОРМЛЕНИЕ ОБЛОЖЕК И СТРАНИЦ ЖУРНАЛА АНТИКОРРОЗИОННОЙ ЗАЩИТЫ СВАРНЫХ СОЕДИНЕНИЙ

Обложка

Журнал
антикоррозионной защиты сварных соединений
(форма)

Титульный лист

Журнал
антикоррозионной защиты сварных соединений
N ______
                                                                               
Наименование организации, выполняющей работы                                                        
Наименование объекта строительства                                                              
Должность, фамилия, инициалы и подпись лица, ответственного за выполнение работ по антикоррозионной защите сварных соединений и ведение журнала          
                                                                               
Организация, разработавшая проектную документацию, чертежи КЖ                                                
Шифр проекта                                                                        
Организация, разработавшая проект производства работ по антикоррозионной защите сварных соединений                                
Шифр проекта                                                                        
Предприятие, изготовившее конструкции                                                            
Шифр заказа                                                                        
Заказчик (организация), должность, фамилия, инициалы и подпись руководителя (представителя) технического надзора                          
Журнал начат "___"_________________ 20___ г.                                                    
Журнал окончен "___"_________________ 20___ г.                                          

1-я и последующие страницы

Дата выполнения работ Наименование соединяемых элементов и материал антикоррозионного покрытия закладных изделий, нанесенного на заводе Место или номер (по чертежу или схеме) стыкуемого элемента Отметка о сдаче и приемке узла под антикоррозионную защиту (должность, подпись) Материал покрытия сварных соединений и способ его нанесения Атмосферные условия при производстве антикоррозионной защите сварных соединений (температура воздуха, осадки) Фамилия и инициалы исполнителя Фамилия и инициалы ответственного за ведение работ по антикоррозионной защите (мастера, производителя работ) Результаты осмотра качества покрытия. Толщина покрытия Подпись исполнителя Подписи о приемке антикоррозионной защиты (мастера, производителя работ) Замечания по контрольной проверке (производителя работ, авторского надзора, технического надзора, заказчика)
1 2 3 4 5 6 7 8 9 10 11 12
                       
                       
                       

3-я страница обложки

В журнале пронумеровано и прошнуровано
_____________________ страниц
"___" ______________ 20___ г.
 
(должность, фамилия, инициалы и подпись руководителя организации, выдавшего журнал)

Место

печати

Приложение Г

(в ред. Изменения N 4, утв. Приказом Минстроя РФ от 30.12.2020 N 905/пр)

ОФОРМЛЕНИЕ ОБЛОЖЕК И СТРАНИЦ ЖУРНАЛА ЗАМОНОЛИЧИВАНИЯ МОНТАЖНЫХ СТЫКОВ И УЗЛОВ

Обложка

Журнал
замоноличивания монтажных стыков
(форма)

Титульный лист

Журнал
замоноличивания монтажных стыков и узлов
N ________
                                                                               
Наименование организации, выполняющей работы                                                        
Наименование объекта строительства                                                              
Должность, фамилия, инициалы и подпись лица, ответственного за выполнение работы по замоноличиванию и ведение журнала                      
                                                                               
Организация, разработавшая проектную документацию, чертежи КЖ                                                
Шифр проекта                                                                        
Организация, разработавшая проект производства работ по замоноличиванию монтажных стыков и узлов                                
Шифр проекта                                                                        
Предприятие, изготовившее конструкции                                                            
Шифр заказа                                                                        
Заказчик (организация), должность, фамилия, инициалы и подпись руководителя (представителя) технического надзора                          
Журнал начат "___"_________________ 20___ г.                                                    
Журнал окончен "___"_________________ 20___ г.                                          

1-я и последующие страницы

Дата замоноличивания Наименование стыков и узлов, место или номер по чертежу или схеме Заданные марки бетона (раствора) и рабочий состав бетонной (растворной) смеси Температура наружного воздуха, °C Температура предварительного обогрева элементов в узлах, °C Температура бетона в момент укладки, °C Результат испытания контрольных образцов Дата распалубки Фамилия и инициалы исполнителя (бригадира), подпись Замечания производителя работ, авторского надзора, технического надзора заказчика
1 2 3 4 5 6 7 8 9 10
                   
                   
                   

3-я страница обложки

В журнале пронумеровано и прошнуровано
_____________________ страниц
"___" ______________ 20___ г.
 
(должность, фамилия, инициалы и подпись руководителя организации, выдавшего журнал)

Место

печати

Приложение Д

(в ред. Изменения N 4, утв. Приказом Минстроя РФ от 30.12.2020 N 905/пр)

ОФОРМЛЕНИЕ ОБЛОЖЕК И СТРАНИЦ ЖУРНАЛА ВЫПОЛНЕНИЯ МОНТАЖНЫХ СОЕДИНЕНИЙ НА БОЛТАХ С КОНТРОЛИРУЕМЫМ НАТЯЖЕНИЕМ

Обложка

ЖУРНАЛ
выполнения монтажных соединений на болтах с контролируемым натяжением
(форма)

Титульный лист

Журнал
выполнения монтажных соединений на болтах с контролируемым натяжением
N _______
                                                                               
Наименование организации, выполняющей работы                                                        
                                                                               
Наименование объекта строительства                                                              
Должность, фамилия, инициалы и подпись лица, ответственного за выполнение работ и ведение журнала                                
                                                                               
Организация, разработавшая проектную документацию, чертежи КМ                                                
Диаметры и классы прочности болтов
Шифр проекта                                                                        
Организация, разработавшая проект производства работ                                                      
                                                                               
Шифр проекта                                                                        
Предприятие, разработавшее чертежи КМД и изготовившее конструкции                                                
                                                                               
Диаметры и классы прочности болтов
Шифр заказа                                                                        
Заказчик (организация), должность, фамилия, инициалы и подпись руководителя (представителя) технического надзора                          
Журнал начат "___"_________________ 20___ г.                                                    
Журнал окончен "___"_________________ 20___ г.                                          

1-я страница

Список звеньевых (монтажников), занятых установкой болтов, и лиц, ответственных за выполнение работ и ведение журнала

Фамилия, имя, отчество Присвоенный разряд Присвоенный номер или знак (клеймо) Квалификационное удостоверение Примечание
Дата выдачи Кем выдано
           
           
           

2-я и последующие страницы

Дата Номер чертежа КМД и наименование узла (стыка) в соединении, ряд, ось, отметка Постановка болтов Результаты контроля
Число поставленных болтов в соединении, шт. Номер сертификата на болты Способ обработки контактных поверхностей Расчетный момент закручивания, кгс·м, угол поворота, град Качество обработки контактных поверхностей Число проверенных болтов, шт. Результаты проверки момента закручивания, кгс·м, угла поворота, град Номер клейма, подпись бригадира Подпись лица, ответственного за постановку болтов Подпись представителя заказчика
1 2 3 4 5 6 7 8 9 10 11 12
                       
                       
                       

3-я страница обложки

В журнале пронумеровано и прошнуровано
_____________________ страниц
"___" ______________ 20___ г.
 
(должность, фамилия, инициалы и подпись руководителя организации, выдавшего журнал)

Место

печати

Приложение Е

(в ред. Изменения N 4, утв. Приказом Минстроя РФ от 30.12.2020 N 905/пр)

   
  (наименование строительной организации)  
     
  (наименование объекта строительства)  
     
  (месторасположение объекта)  

ЖУРНАЛ
КОНТРОЛЬНОЙ ТАРИРОВКИ ДИНАМОМЕТРИЧЕСКИХ КЛЮЧЕЙ

Дата Ключ Вес груза <*>, Н (кгс) Момент от контрольного груза, Н·м (кгс·м) Показания на приборе <**>, деление Подпись бригадира
Тип Номер
             
             
             
<*> Заполняется при тарировке ключей контрольными грузами.
<**> При тарировке предельных ключей в графе "Показания на приборе" делается запись "срабатывание ключа".

В настоящем журнале пронумеровано и прошнуровано _____ страниц.

Ответственный за выполнение соединений на болтах ______________

Место печати

строительной

организации

Приложение Ж

(в ред. Изменения N 4, утв. Приказом Минстроя РФ от 30.12.2020 N 905/пр)

РЕКОМЕНДАЦИИ ПО ВЫБОРУ ДЛИНЫ ВЫТЯЖНЫХ ЗАКЛЕПОК В ЗАВИСИМОСТИ ОТ ТОЛЩИНЫ СОЕДИНЯЕМОГО ПАКЕТА

Таблица Ж.1

Вытяжные заклепки с открытым торцом и телом из алюминиевого сплава и стержнем из углеродистой или коррозионно-стойкой стали
Длина тела заклепки, мм Рекомендуемые толщины соединяемых пакетов, при диаметрах заклепок, мм
минимум максимум 2,4 3 3,2 4,2 4,8 5 6 6,4
4 5 0,5 - 2 0,5 - 1,5 - - - -
6 7 2 - 4 1,5 - 3,5 1 - 3 1,5 - 2,5 - -
8 9 4 - 6 3,5 - 5 3 - 5 2,5 - 4 2 - 3 -
10 11 6 - 8 5 - 7 5 - 6,5 4 - 6 3 - 5 -
12 13 8 - 9,5 7 - 9 6,5 - 8,5 6 - 8 5 - 7 3 - 6
16 17 - 9 - 13 8,5 - 12,5 8 - 12 7 - 11 6 - 10
20 21 - 13 - 17 12,5 - 16,5 12 - 15 11 - 15 10 - 14
25 26 - 17 - 22 16,5 - 21 15 - 20 15 - 20 14 - 18
30 31 - - - 20 - 25 20 - 25 18 - 23

Таблица Ж.2

Вытяжные заклепки с открытым торцом и телом из углеродистой стали и стержнем из углеродистой стали
Длина тела заклепки, мм Рекомендуемые толщины соединяемых пакетов, при диаметрах заклепок, мм
минимум максимум 2,4 3 3,2 4,2 4,8 5 6 6,4
6 7 0,5 - 3,5 0,5 - 3 1 - 3 - - -
8 9 3,5 - 5,5 3 - 5 3 - 5 2,5 - 4 - -
10 11 - 5 - 6,5 5 - 6,5 4 - 6 3 - 4 3 - 4
12 13 5,5 - 9,5 6,5 - 8 6,5 - 9 6 - 8 4 - 6 4 - 6
16 17 - 8 - 12 9 - 12 8 - 11 6 - 10 6 - 9
20 21 - 12 - 16 12 - 16 11 - 15 10 - 14 9 - 13
25 26 - - - 15 - 19,5 14 - 19 13 - 19
30 31 - - 16 - 25 19,5 - 25 19 - 24 19 - 24

Таблица Ж.3

Вытяжные заклепки с открытым торцом и телом из аустенитной коррозионно-стойкой стали и стержнем из коррозионно-стойкой стали
Длина тела заклепки, мм Рекомендуемые толщины соединяемых пакетов, при диаметрах заклепок, мм
минимум максимум 3; 3,2 3,2; 4; 4,8 4,8; 5
6 7 0,5 - 3 1 - 2,5 1,5 - 2
8 9 3 - 5 2,5 - 4,5 2 - 4
10 11 5 - 6,5 4,5 - 6,5 4 - 6
12 13 6,5 - 8,5 6,5 - 8,5 6 - 8
14 15 8,5 - 10,5 8,5 - 10 -
16 17 10,5 - 12,5 10 - 12 8 - 11
18 19 - 12 - 14 11 - 15
20 21 - 14 - 16 15 - 19,5
25 26 - 16 - 21 19,5 - 25

Приложение И

(в ред. Изменения N 4, утв. Приказом Минстроя РФ от 30.12.2020 N 905/пр)

АКТ
ИСПЫТАНИЯ КОНСТРУКЦИЙ ЗДАНИЯ И СООРУЖЕНИЯ
(форма)

г. ___________________ "___" ______________ 20__ г.
Комиссия, назначенная                                                                    
                                                                               
(наименование организации-заказчика,
                                                                               
назначившей комиссию)
приказом от "___" _________________ 20__ г. N ______                                            
в составе:                                                                    
председателя - представителя заказчика                                                            
                    (фамилия, инициалы, должность)
членов комиссии представителей:                                                    
генерального подрядчика                                                                    
            (фамилия, инициалы, должность)
монтажной организации                                                                    
            (фамилия, инициалы, должность)
УСТАНОВИЛА:                                                                  
1. Монтажной организацией                                                                  
                                                                               
(наименование организации и ее ведомственная
                                                                               
подчиненность)
предъявлено к испытанию                                                                  
              (наименование здания, сооружения)
входящее в состав                                                                      
          (наименование объекта)
2. Конструкции смонтированы согласно проектной документации, разработанной                                    
                                                                               
(шифр проекта)
                                                                               
(наименование проектной организации и ее ведомственная подчиненность)
3. Строительные работы выполнены генеральным подрядчиком                                                  
                                                                               
(виды работ)
4. Монтаж оборудования выполнен                                                          
                                                                               
(наименование организации
                                                                               
и перечень видов работ)
5. Комиссии предъявлена документация в объеме, предусмотренном СП 70.13330 (дополнительные правила к разделу 4), перечисленная в приложении к настоящему акту.
6. Строительно-монтажные работы осуществлены в сроки:                                              
начало работ                             , окончание работ                                  
        (месяц, год)           (месяц, год)
7 Испытания проведены согласно ППР, разработанному                                                      
                                                                               
(шифр
                                                                               
проекта, наименование организации, ведомственная подчиненность)
в период                                                                          
      (дата начала и окончания испытания)
8. В процессе испытаний установлено                                                              
                  (указать результаты испытаний)
                                                                               
                                                                               
РЕШЕНИЕ КОМИССИИ
                                                                               
(наименование здания, сооружения)
считать выдержавшим испытание и готовым для выполнения последующих работ.                        

Приложения к акту:

1    
2    

Председатель комиссии    
  (подпись)  
Члены комиссии    
  (подписи)  

Приложение К

(в ред. Изменения N 4, утв. Приказом Минстроя РФ от 30.12.2020 N 905/пр)

РАСЧЕТ УСТОЙЧИВОСТИ ЭЛЕМЕНТОВ КОНСТРУКЦИЙ

К.1. Устойчивость стальных колонн

К.1.1. В процессе монтажа и демонтажа конструкций одноэтажных зданий одиночную стальную колонну, находящуюся на фундаменте и закрепленную фундаментными болтами, следует проверять на устойчивость и прочность в соответствии с указаниями, изложенными в К.1.3 - К.1.11. Проверку следует производить в плоскости наименьшей жесткости колонны.

К.1.2. Устойчивость и прочность одиночных стальных колонн первого яруса, т.е. опирающихся на фундаменты, в процессе монтажа и демонтажа конструкций многоэтажных зданий следует проверять на устойчивость и прочность в соответствии с указаниями, изложенными в К.1.3 - К.1.5. Проверку следует производить в плоскости наименьшей жесткости колонны.

Устойчивость колонн второго и последующего ярусов в процессе монтажа и демонтажа конструкций многоэтажных зданий следует оценивать по предельной гибкости, равной 300, а прочность - по несущей способности предусмотренного в ППР временного закрепления в стыках колонн от действия расчетной ветровой нагрузки, определяемой в соответствии с СП 20.13330.

К.1.3. Устойчивость колонны постоянного сечения (сплошностенчатой или решетчатой) следует проверять по формуле

, (К.1)

где:

l - высота колонны;

i - минимальный радиус инерции сечения колонны;

- предельная гибкость на период монтажа или демонтажа колонн.

К.1.4. Прочность колонны постоянного сечения (сплошностенчатой или решетчатой) следует проверять по формуле

, (К.2)

где:

- коэффициент по таблице К.1;

M - изгибающий момент от действия ветровой нагрузки в опорном сечении колонны;

; (К.3)

, (К.4)

где:

n - коэффициент по таблице К.2;

- скоростной напор ветра, принимается по СП 20.13330;

k - коэффициент изменения скоростного напора в соответствии с СП 20.13330;

c - аэродинамический коэффициент (для сплошностенчатых колонн c = 1,4; для решетчатых - c = 0,8);

h - ширина сечения колонны;

W - минимальный момент сопротивления сечения колонны;

- расчетное сопротивление стали растяжению, сжатию, изгибу по пределу текучести.

К.1.5. Прочность фундаментных болтов колонны постоянного сечения (сплошностенчатой или решетчатой) следует проверять по формуле

, (К.5)

где:

x - расстояние от оси болтов, работающих на растяжение, до центра тяжести сжатой зоны опорной плиты;

b - расстояние между фундаментными болтами;

- предельное усилие, воспринимаемое одним фундаментным болтом

, (К.6)

где:

- расчетное сопротивление растяжению фундаментных болтов;

- площадь сечения болта, нетто.

К.1.6. Устойчивость и прочность колонны переменного сечения (ступенчатой) следует проверять раздельно для верхней и нижней частей.

К.1.7. Устойчивость верхней части колонны переменного сечения (ступенчатой) следует проверять по формуле

, (К.7)

где:

- коэффициент по таблице К.3;

- высота верхней части колонны;

- минимальный радиус инерции сечения верхней части колонны;

- предельная гибкость на период монтажа или демонтажа колонн.

К.1.8. Прочность верхней части колонны переменного сечения (ступенчатой) следует проверять по формуле

, (К.8)

где - изгибающий момент от ветровой нагрузки в месте сопряжения верхней части колонны с нижней;

, (К.9)

где - скоростной напор ветра на нижнюю часть колонны по формуле (К.4);

, (К.10)

где:

m - коэффициент пульсации по таблице К.4;

- скоростной напор ветра на нижнюю часть колонны по формуле (К.4);

- высота нижней части колонны;

- относительные ординаты по таблице К.5;

- минимальный момент сопротивления сечения верхней части колонны.

К.1.9. Устойчивость нижней части колонны переменного сечения (ступенчатой) следует проверять по формуле

, (К.11)

где:

- высота нижней части колонны;

- минимальный радиус инерции сечения нижней части колонны;

- предельная гибкость на период монтажа или демонтажа колонн.

К.1.10. Прочность нижней части колонны переменного сечения (ступенчатой) следует проверять по формуле

, (К.12)

где - изгибающий момент от ветровой нагрузки в опорном сечении нижней части колонны

, (К.13)

где - коэффициент по таблице К.6;

, (К.14)

где:

- обратная величина относительных координат, помещенных в таблице К.5,
т.е. ;
 
     

- минимальный момент сопротивления сечения нижней части колонны.

К.1.11. Прочность фундаментных болтов нижней части колонны переменного сечения (ступенчатой) следует проверять по формуле

, (К.15)

где:

a - количество фундаментных болтов, работающих на растяжение;

x - расстояние от оси болтов, работающих на растяжение, до центра тяжести сжатой зоны опорной плиты;

- предельное усилие, воспринимаемое одним фундаментным болтом, определяемое по формуле (К.6).

К.1.12. Если устойчивость или прочность колонны или прочность фундаментных болтов не обеспечены, то колонну до расстроповки при монтаже или до снятия раскрепляющих элементов (подкрановых балок, распорок) при демонтаже необходимо раскрепить парой тросовых расчалок в плоскости наименьшей жесткости.

К.1.13. Не допускается оставлять отдельно стоящую колонну неразвязанной более суток, поскольку в расчетных формулах принято кратковременное (вероятностное) действие скоростного напора ветра.

Таблица К.1

Значения коэффициента

i
5 8 10
150 1,35 1,41 1,42
200 1,42 1,48 1,50
250 1,47 1,56 1,57
300 1,52 1,61 1,69

Таблица К.2

Значения коэффициента n

Ветровой район I - III IV V
n 0,58 0,65 0,67

Таблица К.3

Значения коэффициента

0 0,2 0,4 0,6 0,8 1,0
1,12 1,33 1,50 1,66 1,81 1,94

Таблица К.4

Значения коэффициента пульсации m

Ветровой район Высота, м
До 10 20 30
I - III 0,42 0,38 0,35
IV 0,45 0,40 0,38
V 0,50 0,45 0,42

Таблица К.5

Относительные ординаты

0,25 0,5 1,0 1,5
0,1 0,238 0,173 0,087 0,048
0,2 0,242 0,186 0,109 0,067
0,5 0,244 0,194 0,128 0,089
1,0 0,245 0,197 0,136 0,100

Таблица К.6

Значения коэффициента

i
10 20 30 40
150 0,25 1,1
0,50
1,00
200 0,25
0,50
1,00 1,1 - -
250 0,25 1,1 1,15
0,50 1,1 1,2 1,25
1,00 1,1 - - -
300 0,25 1,1 1,15 1,2 1,3
0,50 1,1 1,2 1,3 1,45
1,00 1,2 - - -

К.2. Устойчивость стальных ферм

К.2.1. При подъеме в процессе монтажа или при опускании в процессе демонтажа одиночных стальных ферм любого очертания следует обеспечить устойчивость их плоской формы изгиба от усилий, вызванных собственной массой. Методика проверки устойчивости плоской формы изгиба основана на расчете фермы как целого плоского упругого элемента. Методика не распространяется на арочные, предварительно напряженные и неразрезные фермы.

К.2.2. Устойчивость ферм с параллельными или слабонаклонными (до 1:10) поясами двутаврового, таврового (включая сечение из парных уголков), трубчатого (прямоугольного, круглого) или другого симметричного относительно вертикальной оси сечения независимо от направления опорных раскосов (восходящие или нисходящие) при строповке за один или два узла верхнего пояса следует проверять по формуле

, (К.16)

где:

- критическая масса фермы при подъеме (опускании);

- собственная масса фермы, определяемая по рабочей документации (массу фасонок следует распределить поровну между поясами и решеткой); если ферму поднимают или опускают с двумя опорными стойками одинаковой или разной массы или с одной опорной стойкой, то в знаменатель формулы (К.16) следует подставлять приведенную массу фермы

, (К.17)

где:

- масса одной (при двух - наибольшей) опорной стойки;

- коэффициент надежности при подъеме (опускании), принимаемый .

; (К.18)

, (К.19)

где и - массы соответственно нижнего пояса и элементов решетки фермы;

, (К.20)

(в ред. Изменения N 4, утв. Приказом Минстроя РФ от 30.12.2020 N 905/пр)

где ;

l - расстояние между точками строповки;

L - длина фермы (пролет);

- коэффициент согласно таблице К.7;

E - модуль упругости стали;

H - высота фермы в местах строповки;

, - моменты инерции соответственно нижнего и верхнего поясов фермы из плоскости; при ступенчатом уменьшении сечения по длине нижнего пояса от середины к опорам следует принимать приведенные моменты инерции, определяемые произведением моментов инерции участков с максимальным сечением на коэффициент согласно таблице К.8.

Таблица К.7

(в ред. Изменения N 4, утв. Приказом Минстроя РФ от 30.12.2020 N 905/пр)

Значения коэффициента для наиболее распространенных случаев

Длина фермы L, м 18 24 30 36
Расстояние между точками строповки l, м 3 6 6 12 6 12 6 12 18
1,15 1,77 1,36 8,73 1,21 2,55 1,14 1,79 8,73
Примечания
1. При l = 0 для любого значения L коэффициент .
2. Во всех случаях должно быть l 0,5L.

Таблица К.8

Значения коэффициентов и

При одной ступени изменения сечения на половине длины пояса При двух ступенях изменения сечения на половине длины пояса
0,2 0,746 0,252 0,878 0,308
0,4 0,906 0,482 0,921 0,532
0,6 0,959 0,685 0,957 0,712
0,8 0,985 0,850 0,981 0,870
1,0 1,000 1,000 1,000 1,000
Примечание - Значения и для промежуточных отношений следует вычислять методом линейной интерполяции.

К.2.3. Для стропильных и подстропильных ферм, изготовленных по типовым сериям 1.460-2 и 1.460-4, места их строповки при подъеме по условиям обеспечения устойчивости ферм приведены в таблице К.9.

Таблица К.9

Места строповки при подъеме по условиям обеспечения устойчивости ферм

Схема стропильных ферм по типовым сериям 1.460-2 и 1.460-4 Строповка при подъеме Временное раскрепление
без опорных стоек с одной или двумя опорными стойками при сечении уголков верхнего и нижнего поясов, не менее <*> места временного раскрепления диаметр расчалки, мм предварительное натяжение в менее напряженной расчалке , кгс предварительное натяжение в более напряженной расчалке , кгс
при сечении уголков верхнего и нижнего поясов, не менее <*> места строповки при сечении уголков верхнего и нижнего поясов, не менее <*> места строповки
160 x 12
-----------
125 x 12
1 180 x 12
----------
160 x 11
1 160 x 12
----------
125 x 12
1 22,5 352 610
140 x 9
---------
125 x 8
2; 2 140 x 9
---------
125 x 8
3; 3 140 x 9
---------
125 x 8
3; 3 22,5 353 612
- - 140 x 10
----------
125 x 9
1 160 x 11
----------
125 x 12
Не требуется - - -
110 x 8
----------
100 x 6,5
1 110 x 8
----------
100 x 6,5
3; 3 125 x 10
----------
110 x 8
1 19,5 241 418
- - - - 110 x 8
----------
100 x 6,5
3; 3 19,5 269 466
100 x 6,5
-----------
100 x 6,5
1 110 x 8
-----------
100 x 6,5
1 100 x 6,5
-----------
100 x 6,5
Не требуется - - -
<*> В числителе дан размер верхнего пояса; в знаменателе - нижнего пояса.

Примечания
1. Строповку подстропильных ферм пролетами 12, 18 и 24 м указанных типовых серий при подъеме с опорными стойками и без них следует производить за средний узел, а временное раскрепление этих ферм по условиям устойчивости не требуется.
2. Места строповки стропильных и подстропильных ферм указаны при укрупнительной сборке их в вертикальном положении (без кантовки).
3. Предварительное натяжение в расчалках каждой пары определено при углах , и , (см. рисунок К.2).
4. При натяжении расчалок значение обязательно контролируется.

Указанные типовые серии используются как справочный материал для проектирования.

К.2.4. Устойчивость ферм треугольного, полигонального и других очертаний, имеющих любые сечения поясов (включая и несимметричные) при различных способах строповки, а также ферм с параллельными или слабонаклонными (до 1:10) поясами с расстоянием между узлами строповки более 0,5 пролета или строповки за три узла следует проверять по формуле

, (К.21)

где:

- критическая нагрузка для сжатого на одной половине фермы участка нижнего или верхнего пояса в зависимости от способа строповки;

- приведенное усилие в сжатом участке нижнего или верхнего пояса.

К.2.5. Критическую нагрузку следует вычислять по формуле

, (К.22)

где - момент инерции из плоскости сжатого участка нижнего или верхнего пояса;

при ступенчатом уменьшении сечения по длине сжатого участка пояса (нижнего или верхнего) от середины к опорам следует принимать приведенные моменты инерции, определяемые произведением моментов инерции участков с максимальным сечением на коэффициент для нижнего пояса и для верхнего пояса согласно таблице К.8;

при ступенчатом уменьшении сечения по длине сжатого участка пояса от опор к середине фермы момент инерции следует принимать по минимальному сечению;

- длина пояса от середины пролета фермы до конца сжатого участка; при наличии растяжения в средних панелях пояса усилия в них в запас устойчивости следует принимать равными нулю.

К.2.6. Приведенное усилие в сжатом участке пояса следует определять по формуле

, (К.23)

где , , , ..., - узловые нагрузки на сжатый стержень, определяемые разностью усилий в соседних панелях пояса фермы от ее собственной массы (рисунок К.1) и равные , , , .

Рисунок К.1. Расчетная схема сжатых участков пояса фермы

К.2.7. Если при всех возможных способах строповки условия формул (К.16) или (К.21) не выполняются, то необходимо усилить сжатый пояс фермы и проверить устойчивость фермы с учетом усиления. При этом приведенные моменты инерции для определения или следует вычислять:

при жестком креплении элементов усиления к нижнему поясу - как для целого сечения;

при податливом креплении - как сумму моментов инерции сечений пояса и усиления.

К.2.8. После установки стальных ферм любого очертания на опоры в процессе монтажа необходимо до расстроповки обеспечить их устойчивость против опрокидывания от ветровых нагрузок и устойчивость плоской формы изгиба от усилий, вызванных собственной массой. Устойчивость необходимо обеспечить и в процессе демонтажа после снятия раскрепляющих ферму конструкций (прогонов, связей, плит покрытия).

К.2.9. Действующий на ферму опрокидывающий момент от расчетной ветровой нагрузки следует рассчитывать в соответствии с требованиями СП 20.13330. Несущая способность опорных узлов ферм должна определяться их конструктивным решением, а также болтами и сварными швами, закрепляющими ферму к опорам. Удерживающее влияние собственной массы фермы учитывать не следует. Для ферм, опирающихся верхним поясом (с нисходящим опорным раскосом), проверка на опрокидывание не требуется.

К.2.10. Если устойчивость против опрокидывания не обеспечена, то верхний пояс в узлах необходимо раскрепить парными расчалками или распорками, число которых и места их установки следует принимать с учетом обеспечения устойчивости плоской формы изгиба ферм (см. К.2.11 - К.2.18).

Рекомендуемые диаметры канатов расчалок приведены в таблице К.10.

Таблица К.10

Рекомендуемые диаметры канатов расчалок

Пролет фермы, м Рекомендуемые диаметры каната расчалок, мм Предельное усилие предварительного натяжения в расчалке , кгс
24 15 - 17,5 500
30 17 - 19,5 750
36 20 - 22,5 750
42 24 - 25,5 1000

Площадь сечения расчалки или распорки следует проверять на усилие, возникающее от действия расчетной ветровой нагрузки (для расчалок необходимо добавлять усилие от предварительного натяжения - по таблице К.10) без учета работы болтов и сварных швов в опорных узлах ферм. Коэффициент надежности каната расчалок должен быть не менее 3.

Винтовые стяжки для натяжения расчалок, якоря или смонтированные конструкции следует подбирать (рассчитывать) на усилие, равное 1/3 разрывного усилия каната, принятого для расчалок данной пары.

К.2.11. Устойчивость плоской формы изгиба ферм с параллельными или слабонаклонными (до 1:10) поясами двутаврового, таврового (включая сечение из парных уголков), трубчатого (прямоугольного, круглого) или другого симметричного относительно вертикальной оси сечения следует проверять по формуле

, (К.24)

- критическая масса фермы, определяемая в зависимости от наличия раскреплений верхнего пояса (расчалками или распорками);

- собственная масса фермы, определяемая по рабочей документации;

- коэффициент надежности при временном раскреплении фермы, принимаемый .

К.2.12. Для ферм, не раскрепленных в пролете против опрокидывания, критическую массу следует определять по формуле

, (К.25)

где:

E - модуль упругости стали;

- момент инерции верхнего пояса из плоскости фермы; при ступенчатом уменьшении сечения по длине пояса от середины к опорам следует принимать приведенный момент инерции, определяемый произведением момента инерции участка с максимальным сечением на коэффициент согласно таблице К.8;

H - высота фермы (при слабонаклонном поясе следует принимать высоту, усредненную в одной четверти пролета);

- приведенная длина верхнего пояса, которую для ферм, опирающихся нижним поясом, следует принимать равной:

при неослабленных сечениях верхнего пояса в крайних панелях - фактической длине верхнего пояса с учетом наклона;

при ослабленных сечениях верхнего пояса в крайних панелях - длине верхнего пояса между узлами примыкания восходящих опорных раскосов и суммарной длине этих раскосов;

L - длина (пролет) фермы; для ферм, опирающихся верхним поясом, за следует принимать фактическую длину пояса (пролет фермы), а за L - длину нижнего пояса между узлами примыкания нисходящих опорных раскосов и их суммарную длину;

- коэффициент упругой поддержки верхнего пояса, определяемый по формуле

, (К.26)

где

, (К.27)

G - модуль сдвига стали;

- момент инерции нижнего пояса на кручение; при ступенчатом изменении сечения по длине нижнего пояса указанный момент инерции следует принимать как среднее значение для всех участков пояса.

, (К.28)

где:

- момент инерции из плоскости фермы i-го элемента решетки;

- длина i-го элемента решетки;

K - число элементов решетки в ферме.

К.2.13. Если критическая масса фермы, подсчитанная по формуле (К.24), не соответствует условию формулы (К.25), то верхний пояс в узлах необходимо раскрепить парными расчалками или распорками.

К.2.14. Для ферм, раскрепленных в пролете от опрокидывания или по условиям обеспечения устойчивости плоской формы изгиба парными расчалками, критическую массу следует определять по формуле

, (К.29)

где:

n - число равных по длине участков сжатого пояса между узлами раскреплений (разница длин участков допускается не более 3 м);

- величина, учитывающая дополнительное усилие в верхнем поясе от усилий в расчалках и определяемая по формуле

, (К.30)

где:

- предельное усилие предварительного натяжения в наиболее напряженной расчалке, определяемое по таблице К.10;

K - коэффициент, зависящий от числа пар расчалок:

при одной паре K = 0,25;

при двух парах K = 0,333;

при трех парах K = 0,375;

раскрепление ферм больше чем тремя парами расчалок не допускается;

, (К.31)

. (К.32)

Величину D следует вычислять для каждой пары расчалок. При этом индекс 1 относится к углам наиболее напряженной расчалки данной пары, т.е. такой, для которой произведение косинусов углов () меньше аналогичного произведения для другой расчалки (рисунок К.2). Для расчалок, расположенных с углами в пределах 30° - 45° и в пределах 0° - 45°, допускается принять D = 1,7.

1 - ферма; 2 - расчалка; 3 - якорь

Рисунок К.2. Схема раскрепления ферм расчалками

К.2.15. Для обеспечения устойчивости ферм, раскрепленных расчалками, необходимо до расстроповки довести с помощью винтовых стяжек усилие предварительного натяжения в менее напряженной расчалке данной пары (у которой произведение косинусов углов большее) до значения

, (К.33)

где

; (К.34)

- длина менее напряженной расчалки;

- площадь сечения каната расчалки;

- угол наклона к горизонту проекции расчалки длиной на плоскость расчаливания;

; (К.35)

и - углы для расчалки ;

и - коэффициенты, зависящие от числа пар расчалок:

при одной паре = 1290 и = 570;

при двух парах = 6550 и = 2890;

при трех парах = 17650 и = 7770.

Величину в процессе натяжения следует контролировать в менее напряженной расчалке пары.

К.2.16. Усилие предварительного натяжения в более напряженной расчалке данной пары следует определять по формуле

, (К.36)

где индекс 1 относится к углам более напряженной расчалки.

При этом должно соблюдаться условие

. (К.37)

Если условие по формуле (К.37) не соблюдается, то необходимо изменить углы расположения или длину расчалок (одной или обеих).

К.2.17. Для ферм, раскрепленных в пролете от опрокидывания или по условиям обеспечения устойчивости плоской формы изгиба распорками, критическую массу следует определять по формуле (К.29) без дополнительного усилия в верхнем поясе, т.е. при = 0.

Площадь сечения распорок для обеспечения устойчивости плоской формы изгиба ферм следует подбирать на следующие условные усилия в зависимости от марки стали верхнего пояса:

для стали С235 и С245 - 20Ab;

для стали С345 - 30Ab;

для стали С375 - 40Ab,

где Ab - площадь сечения пояса в узлах раскрепления.

К.2.18. Устойчивость плоской формы изгиба ферм треугольного, полигонального и других очертаний при любых сечениях поясов следует проверять по формуле

, (К.38)

где следует принимать меньшим из значений:

, (К.39)

- наибольшее усилие в сжатом участке пояса фермы от монтажных нагрузок;

- коэффициент надежности при временном раскреплении фермы, принимаемый .

Гибкость из плоскости фермы сжатых участков верхнего пояса между точками раскреплений в соответствии с требованиями СП 16.13330 не должна превышать 220.

При ступенчатом изменении сечение участка пояса между точками раскреплений (таблица К.11) его гибкость следует определять по данным таблиц К.12 и К.13 и по формулам:

и . (К.40)

Таблица К.11

Определение гибкостей сжатых поясов между точками раскрепления

Схема участка сжатого пояса между точками раскрепления Условная расчетная схема l, см , см4 , см Гибкость (не более 220)
1   -
2   (по таблице К.12)
3   (по таблице К.12)
4   -
5   (по таблице К.13)
 
Схема участка сжатого пояса между точками раскрепления Условная расчетная схема l, см , см4 , см Гибкость (не более 220)
6   (по таблице К.13)
Примечания
1. - ось симметрии фермы; схемы 4, 5 и 6 относятся к случаям отсутствия расчалки или распорки по оси симметрии фермы.
2. При ослабленных сечениях верхнего пояса в крайних панелях длину сжатых участков верхнего пояса между точками раскреплений (опорой) следует принимать с учетом длин опорных раскосов.

Таблица К.12

Коэффициент расчетной длины для схем 2 и 3 таблицы К.11

0,1 0,2 0,3 0,4 0,5 0,6 0,7 0,8 0,9
0,2 22,3 11,0 7,05 4,97 3,63 2,67 1,94 1,41 1,13
0,4 15,8 7,80 5,05 3,61 2,70 2,07 1,61 1,30 1,12
0,6 12,9 6,39 4,18 3,04 2,33 1,84 1,50 1,27 1,11
0,8 11,27 5,56 3,67 2,71 2,13 1,73 1,46 1,26 1,11

Таблица К.13

Коэффициент расчетной длины для схем 5 и 6 таблицы К.11

0,1 0,2 0,3 0,4 0,5 0,6 0,7 0,8 0,9
0,2 41,1 18,8 11,4 7,65 5,45 4,05 3,14 2,57 2,23
0,4 29,7 13,9 8,68 6,08 4,56 3,59 2,95 2,53 2,23
0,6 24,8 11,9 7,61 5,49 4,25 3,44 2,90 2,51 2,22
0,8 21,90 10,7 7,03 5,19 4,09 3,37 2,87 2,50 2,22

Если гибкость сжатых участков между точками раскреплений верхнего пояса меньше 105, то такая ферма устойчива и условие (К.38) проверять не следует.

Выбор диаметра каната для расчалок, площадь сечения распорок, а также определение величины предварительного натяжения в них следует производить аналогично изложенному для ферм с параллельными (слабонаклонными) поясами (см. К.2.10 - К.2.17). При этом величину B для вычисления следует определять по формуле

. (К.41)

К.2.19. Если в фермах узел примыкания верхнего пояса к опорному раскосу не имеет достаточной жесткости из плоскости фермы (элементы верхнего пояса не состыкованы жесткими накладками друг с другом или с опорным раскосом), то в этих узлах до расстроповки ферм необходимо установить расчалки или распорки.

Приложение Л

(в ред. Изменения N 4, утв. Приказом Минстроя РФ от 30.12.2020 N 905/пр)

ОБЛАСТЬ ПРИМЕНЕНИЯ ЦЕМЕНТОВ В СТРОИТЕЛЬСТВЕ

Общестроительные цементы выпускаются по ГОСТ 10178, ГОСТ 31108 и ГОСТ Р 56727. (в ред. Изменения N 3, утв. Приказом Минстроя РФ от 26.12.2017 N 1719/пр)

По прочности на сжатие цементы подразделяются:

на марки 300 - 600 по ГОСТ 10178;

на классы 22,5 - 52,5 МПа по ГОСТ 31108.

Портландцемент ПЦ без минеральных добавок - Д:

ПЦ-Д0 по ГОСТ 10178;

ЦЕМ I по ГОСТ 31108 - содержание клинкера 95 - 100%, вспомогательных компонентов 0 - 5%.

Портландцементы с минеральными добавками: доменный или гранулированный электротермофосфорный шлак, пуццоланы, глиеж с содержанием добавок 5 - 20% массы:

ПЦ-Д5, ПЦ-Д20 по ГОСТ 10178;

ЦЕМ II/A по ГОСТ 31108 с содержанием минеральных добавок 6 - 20% массы: доменных или гранулированных электротермофосфорных шлаков, пуццоланы, глиежа или обожженного сланца, золы-уноса, известняка, микрокремнезема - 8 - 10%;

ЦЕМ II/B - по ГОСТ 31108 портландцемент с содержанием доменных или гранулированных электротермофосфорных шлаков 21 - 35% массы.

Шлакопортландцементы:

ШПЦ по ГОСТ 10178 с содержанием доменных или гранулированных электротермофосфорных шлаков более 20 до 80% массы;

ЦЕМ III по ГОСТ 31108 с содержанием доменных или гранулированных электротермофосфорных шлаков от 36 до 65% массы.

Требования к цементам по ГОСТ 10178 и ГОСТ 31108 по области их применения в строительстве приведены в таблице Л.1 (обозначения цементов по ГОСТ 10178).

Таблица Л.1

Вид и марка цемента Основное назначение Допускается применять Не допускается применять
ГОСТ 10178
Портландцемент:
ПЦ 600-Д0 и Д20
ПЦ 550-Д0 и Д20
Пластифицированный портландцемент:
ПЦ 550-Д0-ПЛ и Д20-ПЛ
ПЦ 500-Д0-ПЛ и Д20-ПЛ
Высокопрочные бетонные, бетонные с композитной полимерной арматурой и железобетонные сборные и монолитные конструкции класса прочности В45 и выше, обычные и предварительно напряженные Для бетона конструкций в условиях эксплуатации: сухая, влажная, мокрая среды, при систематическом увлажнении и высушивании, замораживании и оттаивании в средах неагрессивная, слабо-, средне- и сильноагрессивная по ГОСТ 31384  
(в ред. Изменения N 4, утв. Приказом Минстроя РФ от 30.12.2020 N 905/пр)
Портландцемент ПЦ 500-Д0 и Д20 Бетонные, бетонные с композитной полимерной арматурой и железобетонные сборные и монолитные конструкции То же  
(в ред. Изменения N 4, утв. Приказом Минстроя РФ от 30.12.2020 N 905/пр)
Портландцемент на клинкере нормированного состава
ПЦ 500-Д0-Н и Д20-Н
То же "  
Пластифицированный портландцемент
ПЦ 500-Д0-ПЛ и Д20-ПЛ
" "  
Быстротвердеющий портландцемент
ПЦ 500-Д0-Б и Д20-Б
Бетонные, бетонные с композитной полимерной арматурой и железобетонные конструкции с ускоренным циклом твердения "  
(в ред. Изменения N 4, утв. Приказом Минстроя РФ от 30.12.2020 N 905/пр)
Гидрофобный портландцемент
ПЦ 500-Д0-ГФ и Д20-ГФ
Бетонные, бетонные с композитной полимерной арматурой и железобетонные сборные и монолитные конструкции Для бетона конструкций в условиях эксплуатации: сухая, влажная, мокрая среды, при систематическом увлажнении и высушивании, замораживании и оттаивании в средах неагрессивная, слабо-, средне- и сильноагрессивная по ГОСТ 31384. Для длительного хранения и транспортирования цемента  
(в ред. Изменения N 4, утв. Приказом Минстроя РФ от 30.12.2020 N 905/пр)
Портландцемент
ПЦ 400-Д0, Д5 и Д20
Бетонные, бетонные с композитной полимерной арматурой и железобетонные сборные и монолитные конструкции Для бетона конструкций в условиях эксплуатации: сухая, влажная, мокрая среды, при систематическом увлажнении и высушивании, замораживании и оттаивании в средах: неагрессивная, слабо-, средне- и сильноагрессивная по ГОСТ 31384  
(в ред. Изменения N 4, утв. Приказом Минстроя РФ от 30.12.2020 N 905/пр)
Портландцемент на клинкере нормированного состава
ПЦ 400-Д0-Н и Д20-Н
То же То же  
Пластифицированный портландцемент
ПЦ 400-Д0-ПЛ и Д20-ПЛ
" "  
Быстротвердеющий портландцемент
ПЦ 400-Д0-Б и Д20-Б
Бетонные, бетонные с композитной полимерной арматурой и железобетонные конструкции с ускоренным циклом твердения "  
(в ред. Изменения N 4, утв. Приказом Минстроя РФ от 30.12.2020 N 905/пр)
Гидрофобный портландцемент
ПЦ 400-Д0-ГФ и Д20-ГФ
Бетонные, бетонные с композитной полимерной арматурой и железобетонные сборные и монолитные конструкции Для бетона конструкций в условиях эксплуатации: сухая, влажная, мокрая среды, при систематическом увлажнении и высушивании, замораживании и оттаивании в средах неагрессивная, слабо-, средне- и сильноагрессивная по ГОСТ 31384. Для длительного хранения и транспортирования цемента  
(в ред. Изменения N 4, утв. Приказом Минстроя РФ от 30.12.2020 N 905/пр)
Портландцемент
ПЦ 300-Д20
Бетонные, бетонные с композитной полимерной арматурой и железобетонные сборные и монолитные конструкции Для бетона конструкций в условиях эксплуатации: неагрессивная среда Для бетона конструкций в условиях эксплуатации при систематическом увлажнении и высушивании, замораживании и оттаивании и в средах слабо-, средне- и сильноагрессивная по ГОСТ 31384
(в ред. Изменения N 4, утв. Приказом Минстроя РФ от 30.12.2020 N 905/пр)
Шлакопортландцемент:
ШПЦ 400
ШПЦ 300
В подводной и внутренней зоне массивных конструкций, постоянно находящихся в подземной и морской воде, в подземной воде, агрессивной по содержанию сульфатов При одновременном систематическом увлажнении и высушивании, замораживании и оттаивании допускается применять только ШПЦ 400 ШПЦ 300 не допускается.
Для бетона конструкций в условиях эксплуатации при систематическом увлажнении и высушивании, замораживании и оттаивании
ГОСТ 22266
Сульфатостойкий портландцемент без добавок ССПЦ Коррозионная стойкость бетона: при действии сред, агрессивных по содержанию сульфатов для бетона с низкой экзотермией, для бетонов высокой морозостойкости При действии сред, агрессивных по содержанию сульфатов при одновременном систематическом увлажнении и высушивании, замораживании и оттаивании  
Сульфатостойкий портландцемент с минеральными добавками:
ССПЦ 500-Д20
ССПЦ 400-Д20
Коррозионная стойкость бетона: при действии сред, агрессивных по содержанию сульфатов для бетона с низкой экзотермией То же  
Сульфатостойкий шлакопортландцемент
ССШПЦ 400
ССШПЦ 300
  При действии сред, агрессивных по содержанию сульфатов при одновременном систематическом увлажнении и высушивании, замораживании и оттаивании, разрешается применять только ССШПЦ 400 ССШПЦ 300 не допускается для бетона конструкций в условиях эксплуатации при систематическом увлажнении и высушивании, замораживании и оттаивании
Пуццолановый портландцемент
ППЦ 400
ППЦ 300
В подводной и внутренней зоне массивных конструкций, постоянно находящихся в подземной и морской воде, в подземной воде, агрессивной по содержанию сульфатов   При одновременном систематическом увлажнении и высушивании, замораживании и оттаивании
ГОСТ 25328 Цемент для строительных растворов. Технические условия Для изготовления неармированных строительных растворов Для бетона конструкций в условиях эксплуатации: неагрессивная среда Для бетона конструкций в условиях эксплуатации: слабо-, средне- и сильноагрессивная среды по ГОСТ 31384
(в ред. Изменения N 3, утв. Приказом Минстроя РФ от 26.12.2017 N 1719/пр)
Цементы специального назначения
ГОСТ 969
Глиноземистый цемент
ГЦ-40, 50, 60 <*>
Высокоглиноземистый цемент
ВГЦ I-50 <*>
ВГЦ II-25 и 35
ВГЦ III-25
Для изготовления быстротвердеющих бетонов и растворов При соблюдении требований по температурному режиму твердения эксплуатация в жидких средах, агрессивных по суммарному содержанию хлоридов, сульфатов, нитратов и других солей, при наличии испаряющих поверхностей по ГОСТ 31384  
ГОСТ 11052
Глиноземистый расширяющийся цемент
Для получения расширяющихся водонепроницаемых при давлении 10 атм (0,1 МПа) бетонов, гидроизоляционной штукатурки и растворов, применяемых для омоноличивания стыков конструкций, для зачеканки раструбов стыковых труб, рассчитанных на рабочее давление до 10 МПа, создаваемое в трубе через 24 ч после омоноличивания   Строительные работы при температуре ниже 0 °C.
Для конструкций в условиях эксплуатации при температуре более 80 °C
ГОСТ 1581 Портландцементы тампонажные. Технические условия Для цементирования нефтяных, газовых и других скважин    
(в ред. Изменения N 3, утв. Приказом Минстроя РФ от 26.12.2017 N 1719/пр)
Портландцемент бездобавочный
ПЦТ-I-50
Температура применения цемента 15 - 50 °C    
Портландцемент с минеральными добавками
ПЦТ-II-50
То же    
Портландцемент бездобавочный с нормируемыми требованиями при водоцементном отношении 0,44 высокой сульфатостойкости
ПЦТ-I-G-CC-1
"    
Портландцемент бездобавочный
ПЦТ-I-100
Температура применения цемента 51 - 100 °C    
Портландцемент с минеральными добавками
ПЦТ-II-100
То же    
ГОСТ 965
ПЦБ 2-400 Д0
Декоративно-отделочные работы    
ГОСТ 15825
ПЦ 500 Д0 и Д20
ПЦ 400 Д0 и Д20
То же    
ГОСТ Р 56727
Напрягающий цемент [2]
Для бетонов с компенсированной усадкой и напрягающих для компенсации усадочных явлений и создания нормированного самонапряжения в ограждающих конструкциях подземной части зданий и сооружений без применения гидроизоляции Напрягающий цемент, полученный из портландцемента (без минеральных добавок) по ГОСТ 10178 или портландцемента типа ЦЕМ I и расширяющей добавки по ГОСТ Р 56592. При усилении конструкций, омоноличивании стыков, при ремонте и реконструкции зданий и сооружений Для бетонов конструкций в условиях сильноагрессивной среды по ГОСТ 31384
(в ред. Изменения N 1, утв. Приказом Минстроя РФ от 16.12.2016 N 983/пр, Изменения N 3, утв. Приказом Минстроя РФ от 26.12.2017 N 1719/пр)
<*> Прочность при сжатии в возрасте 3 сут, МПа.

Приложение М

(в ред. Изменения N 4, утв. Приказом Минстроя РФ от 30.12.2020 N 905/пр)

МАТЕРИАЛЫ ДЛЯ БЕТОНОВ И РАСТВОРОВ

(в ред. Изменения N 1, утв. Приказом Минстроя РФ от 16.12.2016 N 983/пр)

Материалы Нормативный документ
Цемент ГОСТ 965, ГОСТ 969, ГОСТ 10178, ГОСТ 11052, ГОСТ 1581, ГОСТ 15825, ГОСТ 22266, ГОСТ 25328, ГОСТ 30515, ГОСТ 31108, ГОСТ Р 55224, ГОСТ Р 56727
Заполнители для бетонов:  
тяжелых и мелкозернистых ГОСТ 26633, ГОСТ 8267, ГОСТ 8736, ГОСТ 25818, ГОСТ 25592, ГОСТ 26644, ГОСТ 32495
легких ГОСТ 25820, ГОСТ 10832, ГОСТ 12865, ГОСТ 22263, ГОСТ 25592, ГОСТ 26644, ГОСТ 32496
полистиролбетона ГОСТ 33929
(в ред. Изменения N 4, утв. Приказом Минстроя РФ от 30.12.2020 N 905/пр)
ячеистых ГОСТ 25485
жаростойких ГОСТ 20910
химически стойких ГОСТ 25246
вода ГОСТ 23732
химические добавки ГОСТ 24211, ГОСТ Р 56178

Приложение Н

(в ред. Изменения N 4, утв. Приказом Минстроя РФ от 30.12.2020 N 905/пр)

ОБЛАСТЬ ПРИМЕНЕНИЯ ДОБАВОК В БЕТОН

(в ред. Изменения N 3, утв. Приказом Минстроя РФ от 26.12.2017 N 1719/пр, Изменения N 4, утв. Приказом Минстроя РФ от 30.12.2020 N 905/пр)

Таблица Н.1

Тип конструкций и условия их эксплуатации Добавки
Допускаются к применению Безопасность для бетона и арматуры должна быть подтверждена экспериментально Не допускаются к применению
Железобетонные и бетонные с арматурой композитной полимерной конструкции с ненапрягаемой рабочей арматурой П, В, ГО, У, М, Г, А - У и М, содержащие хлориды
(в ред. Изменения N 4, утв. Приказом Минстроя РФ от 30.12.2020 N 905/пр)
Железобетонные и бетонные с арматурой композитной полимерной конструкции, а также стыки с ненапрягаемой рабочей арматурой, имеющие выпуски арматуры и закладные детали:     У и М, содержащие хлориды
(в ред. Изменения N 4, утв. Приказом Минстроя РФ от 30.12.2020 N 905/пр)
без специальной защиты стали П, В, ГО, У, М, Г, А -  
с цинковыми и алюминиевыми покрытиями П, В, ГО, У, М, Г, А - У и М, содержащие хлориды, нитраты; сульфатов не более 1%
с комбинированными покрытиями П, В, ГО, У, М, Г, А - У и М, содержащие хлориды
Предварительно напряженные железобетонные и бетонные с композитной полимерной арматурой конструкции П, В, У, М, Г, А - У и М, содержащие хлориды; нитриты и нитраты для сталей, склонных к коррозионному растрескиванию; ГО, выделяющие водород
(в ред. Изменения N 4, утв. Приказом Минстроя РФ от 30.12.2020 N 905/пр)
Бетонные, бетонные с композитной полимерной арматурой и железобетонные конструкции, предназначенные для эксплуатации:      
(в ред. Изменения N 4, утв. Приказом Минстроя РФ от 30.12.2020 N 905/пр)
в агрессивных газовых средах П, В, ГО, У, М, Г А У и М, содержащие хлориды
в неагрессивных и агрессивных водных средах при постоянном погружении П, В, ГО, У, М, Г, А - -
в агрессивных жидких сульфатных средах П, В, ГО, У, М, Г, А - У, содержащие сульфаты более 1% массы цемента
в растворах солей при наличии испаряющей поверхности П, В, ГО, Г - У, М; А - в количестве более 5% массы цемента
в зоне переменного уровня воды П, В, ГО, Г - У, М, А
в газовых средах при относительной влажности более 60% при наличии в заполнителе реакционно-способного кремнезема П, В, ГО, У, М, Г, А - У, М при наличии в добавках солей натрия и калия
в зоне действия токов от посторонних источников П, В, ГО, Г, А - У, М
Предварительно напряженные конструкции и стыки (каналы) сборно-монолитных и сборных конструкций П, В, ГО, У, М, Г, А - У и М, содержащие хлориды, ГО - добавки, выделяющие водород
Конструкции из бетона на глиноземистом цементе П, В, ГО, Г А У, М
Конструкции на напрягающем цементе П, В, ГО, У, М, Г, А - У и М, содержащие хлориды
(в ред. Изменения N 3, утв. Приказом Минстроя РФ от 26.12.2017 N 1719/пр)
Условные обозначения: П - пластифицирующие, В - увеличивающие воздухосодержание, ГО - газообразующие, У - ускорители твердения, М - противоморозные, Г - гидрофобизаторы, А - активные минеральные добавки.

Приложение П

(в ред. Изменения N 4, утв. Приказом Минстроя РФ от 30.12.2020 N 905/пр)

Таблица П.1

Выбор наиболее экономичного метода выдерживания бетона при зимнем бетонировании монолитных конструкций

Вид конструкций Минимальная температура воздуха, °C, до Способ бетонирования
Массивные бетонные и железобетонные фундаменты, блоки и плиты с модулем поверхности до 3 -15 Термос
-20 Термос с применением ускорителей твердения (У) и противоморозными добавками (М) по приложению Н
Фундаменты под конструкции зданий и оборудование, массивные стены и т.п. с модулем поверхности 3 - 6 -15 Термос, включая с применением противоморозных <*> добавок и ускорителей твердения по приложению Н
-25 Электротермообработка
-40 То же
Колонны, балки, прогоны, элементы рамных конструкций, свайные ростверки, стены, перекрытия с модулем поверхности 6 - 10 -15 Термос с химдобавками, электротермообработка
-40 Электротермообработка
Полы, перегородки, плиты перекрытий, тонкостенные конструкции с модулем поверхности 10 - 20 -40 То же
<*> Противоморозные добавки, как правило, следует применять в комплексе с пластифицирующими.

Таблица П.2

Методы прогрева бетона в монолитных конструкциях при зимнем бетонировании и рациональные области их применения

Метод электротермообработки бетона Краткая характеристика и рациональная область применения Ориентировочный расход электроэнергии на 1 м3 бетона, кВт/ч Примечание
1. Электродный прогрев:      
сквозной Прогрев монолитных бетонных конструкций и малоармированных железобетонных конструкций путем пропускания тока через всю толщу бетона. Применение наиболее эффективно для ленточных фундаментов, а также колонн, стен и перегородок толщиной до 50 см, стен подвалов 80 - 110 Режимы прогрева мягкие. Скорость подъема температуры должна быть по возможности мягкой 8 - 10 °C/ч, но не превышать 20 °C/ч. В качестве электродов используются стержни и струны диаметром не менее 6 мм, пластины или полосы шириной не менее 20 мм, выполненные из листовой стали и закрепленные на опалубке
периферийный Прогрев периферийных зон бетона массивных и средней массивности бетонных и железобетонных монолитных конструкций. Применяется в качестве одностороннего прогрева конструкций, имеющих толщину не более 20 см, и двухстороннего прогрева при толщине конструкции более 20 см. К таким конструкциям относятся: ленточные фундаменты, бетонные подготовки и полы, плоские перекрытия и доборные элементы, стены, перегородки и т.д. 90 - 120 При прогреве массивных конструкций необходимо поддерживать температуру в периферийных слоях на 5 - 10 °C ниже или на уровне температуры в ядре. Режимы прогрева мягкие. Скорость подъема температуры - не выше 15 °C/ч. В качестве электродов применяются полосы, ленты из сплошного или напыленного металла, закрепленные (напыленные) на опалубку или на специальные щиты, устанавливаемые на неопалубленную поверхность конструкции (при прогреве бетона в конструкциях с большой открытой поверхностью)
2. Форсированный электроразогрев:      
предварительный электроразогрев бетонной смеси Бетонная смесь быстро разогревается вне опалубки, быстро укладывается, уплотняется в горячем состоянии и укрывается. Применяется при возведении массивных монолитных бетонных и железобетонных конструкций 40 - 80 Для конструкций с <*> требуемая прочность достигается путем термосного выдерживания. Для конструкций с необходим дополнительный прогрев или обогрев бетона
форсированный электроразогрев бетона в конструкции с повторным уплотнением Бетонная смесь в холодном состоянии укладывается и уплотняется в опалубке, а затем быстро разогревается и повторно уплотняется. Применяется при возведении монолитных бетонных и малоармированных железобетонных конструкций, дорожных покрытий 40 - 60 То же
3. Электрообогрев:      
с помощью низкотемпературных электронагревателей Обогрев монолитных конструкций с помощью вмонтированных жестких в виде пластин электронагревателей в опалубку или гибких - в греющие маты и одеяла. Применяются практически для всех видов конструкций 100 - 130 Обогрев осуществляется по мягким режимам. Опалубка или маты с вмонтированными электронагревателями должны иметь теплоизоляцию с наружной стороны для предупреждения больших теплопотерь в окружающую среду. В качестве нагревателей используются: трубчатые ТЭНы, трубчато-стержневые, уголковостержневые, коаксиальные и др.; плоские - сетчатые, пластинчатые и др.; струнные - стальная или нихромовая проволока и др.
с помощью греющего провода Прогрев бетона с помощью греющего провода, закладываемого в бетон. Применяется для прогрева бетона в любых конструкциях 80 - 110 Обогрев греющим проводом, устанавливаемым в бетон прогреваемой конструкции. Эти нагреватели имеют температуру на контакте с бетоном - не выше 80 °C, а в воздушной среде она может подняться до 300 °C
с помощью высокотемпературных нагревателей инфракрасного излучения Обогрев бетона осуществляется по периферийным зонам конструкции путем подачи тепла непосредственно на бетон или опалубку. Применяется при возведении монолитных конструкций различной конфигурации и армированных по любой схеме, а также при сушке теплоизоляционного бетона и штукатурки 120 - 200 Обогрев следует осуществлять с обязательной защитой неопалубленных поверхностей от потерь влаги. Температура на обогреваемой поверхности не должна превышать 80 - 90 °C. В качестве нагревателей используются лампы, трубчатые, спиральные, проволочные и другие нагреватели - с температурой на поверхности нагревателя выше 300 °C
4. Нагрев бетона в электромагнитном поле (индукционный) Нагрев железобетонных конструкций линейного типа с равномерно распределенной по сечению арматурой путем устройства индуктора вокруг элемента. Применяется при прогреве густоармированных монолитных конструкций, с равномерно распределенной по сечению арматурой, таких как: колонны, ригели, балки, прогоны, элементы рамных конструкций, стволы труб и силосов, коллекторы и опускные колодцы, сваи и перемычки, а также при замоноличивании стыков каркасных конструкций 110 - 150 Режимы прогрева мягкие. Скорость подъема температуры - не выше 20 °C/ч. Нагрев бетона происходит от нагреваемой в электромагнитном поле арматуры или обогрев бетона от металлической опалубки. Нагревание бетона через арматуру или обогрев его опалубкой следует производить по мягким режимам. Температура на контакте арматуры или опалубки с бетоном не должна превышать 80 °C
5. Конвективный прогрев с применением электрокалориферов Применяется для обогрева бетона в перекрытиях, стенах, перегородках (замкнутые пространства) 120 - 200 Режимы прогрева мягкие. Прогрев бетона осуществляется нагретым воздухом, перемешиваемым вентиляторами. Нагретый воздух может подаваться по шлангам в местные брезентовые тепляки вокруг прогреваемых конструкций
<*> - модуль поверхности.

Приложение Р

(в ред. Изменения N 4, утв. Приказом Минстроя РФ от 30.12.2020 N 905/пр)

РЕКОМЕНДУЕМЫЕ МАРКИ ПОРОШКА И СВЯЗКИ АЛМАЗНОГО ИНСТРУМЕНТА ДЛЯ ОБРАБОТКИ БЕТОНА И ЖЕЛЕЗОБЕТОНА

Вид обрабатываемого бетона Рекомендуемая марка по ГОСТ 9206 алмазного порошка (тип связки)
Бетон тяжелый на заполнителях из силикатных и силикатно-карбонатных пород с пределом прочности при сжатии исходной горной породы до 450 МПа (4500 кгс/см2) (граниты, гранитоиды, андезиты, диабазы, базальты, габбро, песчаники и др.) АСК, А, АСС, МЖ (МОЗ, М50)
Бетон тяжелый на заполнителях из карбонатных пород с пределом прочности при сжатии исходной горной породы до 300 МПа (3000 кгс/см2) (плотные известняки, доломиты, мраморы) АСВ, АСК, АСС (М1, М3, МЖ)
Бетон легкий на заполнителях из силикатных пород с пределом прочности исходной породы 5 - 70 МПа (50 - 700 кгс/см2) (туфы, шлаковые пемзы) и на искусственных пористых заполнителях (керамзит, шлак) и ячеистый бетон АСВ, А (М3, МЖ, М1)
Специальные бетоны - полимербетоны на силикатном и карбонатном заполнителях, силикатный бетон, особо тяжелый бетон с заполнителями из чугунной дроби и скрапа, железобетон А, АСК, АСС, АСВ (МЖ, МОЗ, М50, М1, М3)

Приложение С
(обязательное)

НАГРУЗКИ И ДАННЫЕ ДЛЯ РАСЧЕТА ОПАЛУБКИ МОНОЛИТНЫХ БЕТОННЫХ, БЕТОННЫХ С КОМПОЗИТНОЙ ПОЛИМЕРНОЙ АРМАТУРОЙ И ЖЕЛЕЗОБЕТОННЫХ КОНСТРУКЦИЙ

(в ред. Изменения N 4, утв. Приказом Минстроя РФ от 30.12.2020 N 905/пр)

С.1. Вертикальные нагрузки

С.1.1. Собственная масса опалубки определяется по чертежам.

С.1.2. Масса бетонной смеси принимается: для тяжелого бетона 2500 кг/м3, для других бетонов - по фактической массе.

С.1.3. Масса арматуры принимается по проекту, при отсутствии проектных данных - 100 кг/м3.

С.1.4. Нагрузки от людей и транспортных средств - 250 кгс/м2. Кроме того, опалубка должна проверяться на сосредоточенную нагрузку от технологических средств согласно фактическому возможному загружению по ППР.

С.2. Горизонтальные нагрузки

С.2.1. Ветровые нагрузки принимают по СП 20.13330.

С.2.2. Максимальное боковое давление бетонной смеси , кгс (тс)/м2.

С.2.2.1. При уплотнении смеси наружными вибраторами (а также внутренними при радиусе действия вибратора , где H - высота опалубки, м, давление принимается гидростатическим с треугольной эпюрой распределения давления в соответствии с рисунком С.1, а.

. (С.1)

Результирующее давление

. (С.2)

а) б)  

а - гидростатическое давление; б - расчетное давление при уплотнении смеси внутренними вибраторами

Рисунок С.1. Расчетные эпюры бокового давления бетонной смеси

С.2.2.2. При уплотнении бетонной смеси внутренними вибраторами

2, (С.3)

где:

g - объемная масса бетонной смеси, кг/м3;

V - скорость бетонирования (скорость заполнения опалубки по высоте), м, в течение часа;

- коэффициент, учитывающий влияние подвижности (жесткости) бетонной смеси:

= 0,8 для смесей с маркой подвижности П1;

= 1 для смесей - П2;

= 1,2 для смесей - П3 и более;

- коэффициент, учитывающий влияние температуры бетонной смеси:

= 1,15 для смесей с температурой 5 - 10 °C;                          
= 1,01 " " " " 10 - 25 °C;                          
= 0,85 " " " " более 25 °C.                          

С.2.2.3. Динамические нагрузки, возникающие при выгрузке бетонной смеси, принимаются по таблице С.1.

Таблица С.1

Дополнительные динамические нагрузки, возникающие при выгрузке бетонной смеси

Способ подачи бетонной смеси в опалубку Нагрузка, кгс/м2
Спуск по лоткам, хоботам 400
Выгрузка из бадей вместимостью, м3  
до 0,8 400
более 0,8 600
Укладка бетононасосами 800

С.2.2.4. Нагрузки от вибрирования бетонной смеси принимаются 400 кгс/м2.

С.2.2.5. Коэффициенты запаса при расчете давления бетонной смеси принимаются по таблице С.2.

Таблица С.2

Коэффициенты запаса при расчете давления бетонной смеси

Нагрузки Коэффициент
Собственный вес опалубки 1,1
Вес бетонной смеси и арматуры 1,2
От движения людей, транспортных средств, сосредоточенные нагрузки 1,3
От вибрирования бетонной смеси 1,3
Боковое давление бетонной смеси 1,3
То же, при бетонировании колонн 1,5
Динамические при выгрузке бетонной смеси в опалубку 1,3

С.2.2.6. Расчетная эпюра давления бетонной смеси - согласно рисунку С.1, б.

- высота, на которой достигается максимальное давление бетонной смеси, м;

, (С.4)

где g - средняя плотность для тяжелого бетона, принимается равной 2500 кг/м3.

С.2.2.7. Максимальные нагрузки во всех случаях с учетом всех коэффициентов должны приниматься не выше гидростатических.

Приложение Т

(в ред. Изменения N 4, утв. Приказом Минстроя РФ от 30.12.2020 N 905/пр)

ВЯЖУЩИЕ ДЛЯ КЛАДОЧНЫХ СТРОИТЕЛЬНЫХ РАСТВОРОВ И ИХ СОСТАВЫ

При выборе вяжущих и требуемой марки раствора с учетом условий эксплуатации конструкций необходимо руководствоваться требованиями таблицы Т.1, для подбора состава цементно-известковых, цементно-глиняных и цементных растворов - таблица Т.2.

Таблица Т.1

Применяемые и допускаемые к применению вяжущие для растворов с учетом условий эксплуатации каменных конструкций

Вид конструкции Вяжущие
применяемые допускаемые к применению
Растворы марки 25 и выше
Надземные конструкции при относительной влажности воздуха помещений до 60% и фундаменты, возводимые в маловлажных грунтах Портландцемент Пуццолановый портландцемент
Пластифицированный и гидрофобный портландцемент Цемент для строительных растворов
Шлакопортландцемент Известково-шлаковые вяжущие
Растворы марки 10
  Известь гидравлическая Известково-пуццолановые и известково-зольные вяжущие
Известково-шлаковые вяжущие
Цемент для строительных растворов
Растворы марки 25 и выше
Надземные конструкции при относительной влажности воздуха помещений более 60% и фундаменты, возводимые во влажных грунтах Пуццолановый портландцемент Цемент для строительных растворов
Шлакопортландцемент
Пластифицированный и гидрофобный портландцементы Известково-шлаковые вяжущие
Портландцемент
Растворы марки 10 и выше
Фундаменты при агрессивных сульфатных водах (независимо от марки растворов) Цемент для строительных растворов Известково-пуццолановые и известково-зольные вяжущие
Известково-шлаковые вяжущие Известь гидравлическая
Сульфатостойкий портландцемент Пуццолановый портландцемент
Растворы марки 25 и выше
Крупноблочные и крупнопанельные бетонные и каменные стены (монтаж) Портландцемент Шлакопортландцемент
Пластифицированный и гидрофобный портландцементы Пуццолановый портландцемент
Примечания
1. При применении растворов на шлакопортландцементе и пуццолановом портландцементе для надземных конструкций в жаркую и сухую погоду необходимо строго соблюдать влажностный режим твердения путем увеличения дозировки воды и смачивания водой стеновых каменных материалов.
2. Цемент для строительных растворов, а также известково-шлаковые, известково-пуццолановые и известково-зольные вяжущие следует применять для растворов низких марок (25 и ниже), строго соблюдая влажностный режим твердения раствора.
3. Применение известково-шлаковых, известково-пуццолановых и известково-зольных вяжущих при температуре воздуха ниже 10 °C не допускается.

Таблица Т.2

Составы цементно-известковых, цементно-глиняных и цементных растворов для каменных конструкций

Марка вяжущего Объемная дозировка для растворов марок
200 150 100 75 50 25 10 4
Составы цементно-известковых растворов для надземных конструкций (цемент:известь:песок)
500 1:0,2:3 1:0,3:4 1:0,5:5,5 1:0,8:7 - - - -
400 1:0,1:2,5 1:0,2:3 1:0,4:4,5 1:0,5:5,5 1:0,9:8 - - -
300 - 1:0,1:2,5 1:0,2:3,5 1:0,3:4 1:0,6:6 1:1,4:10,5 - -
200 - - - 1:0,1:2,5 1:0,3:4 1:0,8:7 - -
150 - - - - - 1:0,3:4 1:1,2:9,5 -
100 - - - - - 1:0,1:2 1:0,5:5 -
50 - - - - - - 1:0,1:2,5 1:0,7:6
25 - - - - - - - 1:0,2:3
Составы цементно-известковых и цементно-глиняных растворов для надземных конструкций (цемент:известь:песок или глина) при относительной влажности воздуха помещений более 60% и для фундаментов во влажных грунтах
500 1:0,2:3 1:0,3:4 1:0,5:5,5 1:0,8:7 - - - -
400 1:0,1:2,5 1:0,2:3 1:0,4:4,5 1:0,5:5,5 1:0,9:8 - - -
300 - 1:0,1:2,5 1:0,2:3,5 1:0,3:4 1:0,6:6 1:1:10,5
-----------
1:1:9 <*>
- -
200 - - - 1:0,1:2,5 1:0,3:4 1:0,8:7 - -
150 - - - - - 1:0,3:4 1:1:9
-----------
1:0,8:7 <*>
-
100 - - - - - 1:0,1:2 1:0,5:5 -
Составы цементных растворов для фундаментов и других конструкций (цемент:известь:песок), расположенных в водонасыщенных грунтах и ниже грунтовых вод
500 1:0:3 1:0:4 1:0:5,5 1:0:6 - - - -
400 1:0:2,5 1:0:3 1:0:4,5 1:0:5,5 - - - -
300 - 1:0:2,5 1:0:3 1:0:4 1:0:6 - - -
200 - - - 1:0:2,5 1:0:4 - - -
<*> Над чертой приведены составы цементно-известковых растворов, под чертой - цементно-глиняных растворов.

Раствор, применяемый при возведении каменных конструкций, следует использовать до начала схватывания и периодически перемешивать во время использования. Применение обезвоженных растворов не допускается.

Доставленный раствор на строительную площадку должен разгружаться в емкости. В случае его расслоения необходимо перемешивать.

При возведении каменных конструкций в жаркую и сухую погоду (при температуре воздуха 25 °C и выше и относительной влажности воздуха менее 50%) следует выполнять дополнительные требования:

водопотребность растворов, приготовленных на шлакопортландцементах и пуццолановых портландцементах, необходимо обеспечивать путем подбора в лаборатории соответствующей консистенции раствора и поддержания кладки в увлажненном состоянии способами, предусмотренными ППР, в течение жаркого периода суток;

водоудерживающую способность растворов следует устанавливать на месте производства работ один раз в смену для каждого состава раствора путем определения показателя водоудерживающей способности, равного не менее 75% водоудерживающей способности, установленной в лабораторных условиях;

при кладке стен в сухую погоду при температуре воздуха 25 °C и более из каменных материалов с водопоглощением до 15% необходимо перед укладкой кирпич и камни увлажнять, а материалы с водопоглощением более 15% - увлажнять с минутной выдержкой;

при перерывах в работе на верхний ряд кладки не следует укладывать раствор. После перерыва кладку необходимо увлажнять.

Уход за выполненной кладкой в жаркую и сухую погоду следует производить по рекомендациям строительных лабораторий.

Приложение У

(в ред. Изменения N 4, утв. Приказом Минстроя РФ от 30.12.2020 N 905/пр)

ПРОТИВОМОРОЗНЫЕ И ПЛАСТИФИЦИРУЮЩИЕ ДОБАВКИ В РАСТВОРЫ, УСЛОВИЯ ИХ ПРИМЕНЕНИЯ И ОЖИДАЕМАЯ ПРОЧНОСТЬ РАСТВОРА

Таблица У.1

Противоморозные и пластифицирующие добавки в растворы

Добавки Химическая формула Условное сокращенное обозначение Нормативный документ
Армированные и неармированные конструкции
1.Нитрит натрия НН ГОСТ 19906
2. Поташ П ГОСТ 10690
(в ред. Изменения N 3, утв. Приказом Минстроя РФ от 26.12.2017 N 1719/пр)
3. Нитрат натрия ННа ГОСТ 828
4. Нитрат кальция НК  
(в ред. Изменения N 3, утв. Приказом Минстроя РФ от 26.12.2017 N 1719/пр)
5. Мочевина М ГОСТ 2081
6. Сульфитно-дрожжевая бражка - СДБ  
7. Пластификатор адипиновый - ПАЩ-1  
8. Соединение нитрита кальция с мочевиной - НКМ  
9. Комплексная пластифицированная добавка - НК + ПАЩ-1  
10. То же   НН + ПАЩ-1 ГОСТ 19906
Неармированные конструкции
Хлорид натрия NaCl ХН  
Хлорид кальция ХК ГОСТ 450
Нитрит-нитрат-хлорид кальция с мочевиной   ННХК + М  

Таблица У.2

Условия применения добавок в растворы

Вид конструкций и условия их эксплуатации Добавки и их сочетания
НКМ ННХК + М НН П НН + П
1. Конструкции, а также стыки и швы (в том числе в кладке):          
а) без специальной защиты стали + - + + +
б) с цинковыми покрытиями стали - - + - -
в) с алюминиевыми покрытиями стали - - - - -
г) с комбинированными покрытиями (щелочестойкими лакокрасочными или другими щелочестойкими защитными слоями по металлической основе) + - + + +
2. Конструкции, предназначенные для эксплуатации:          
а) в неагрессивной газовой среде при относительной влажности воздуха до 60% + + + + +
б) в агрессивной газовой среде + - + + +
в) в воде и при относительной влажности воздуха более 60%, если заполнитель имеет включения реакционно-способного кремнезема + + - - -
г) в зонах действия блуждающих токов постоянного напряжения от посторонних источников + - + + +
д) конструкции электрифицированного транспорта, промышленных предприятий, потребляющих постоянный электрический ток - - - - -
Примечания
1. Возможность применения добавок в случаях, перечисленных в поз. 1, необходимо уточнять в соответствии с поз. 2.
2. При применении добавок по поз. 2 б и 2 г следует учитывать требования СП 28.13330 в части плотности и толщины защитного слоя бетона и защиты конструкций химически стойкими антикоррозионными покрытиями. В газовой среде, содержащей хлор и хлористый водород, противоморозные добавки допускаются при наличии специального обоснования.
(в ред. Изменения N 3, утв. Приказом Минстроя РФ от 26.12.2017 N 1719/пр)
3. Конструкции, периодически увлажняемые водой, конденсатом или технологическими жидкостями при относительной влажности воздуха менее 60%, приравниваются к эксплуатируемым при относительной влажности воздуха более 60%.
4. Знак "плюс" - добавка допускается, знак "минус" - не допускается.

Таблица У.3

Количество противоморозных химических добавок к кладочным растворам, % массы цемента в растворе

Противоморозные добавки Среднесуточная температура наружного воздуха, °C Количество противоморозной добавки, % массы цемента Ожидаемая прочность раствора, % от марки, при твердении на морозе, сут
7 28 90
1. Нитрит натрия (НН) От 0 до -2 2 - 3 15 50 70
" -3 " -5 4 - 5 10 40 55
" -6 " -15 8 - 10 5 30 40
2. Поташ (П) До -5     5 25 60 80
От -6 " -15 10 20 50 65
" -16 " -30 12 10 35 50
3. Нитрит натрия + поташ
(НН + П)
" 0 до -2 1,5 + 1,5 25 60 80
" -3 " -5 2,5 + 2,5 20 55 75
" -6 " -15 5 + 5 15 40 60
" -16 " -30 6 + 6 5 35 45
4. Комплексная добавка
(НКМ)
" 0 " -2 2 - 3 15 50 70
" -3 " -5 4 - 5 10 30 50
" -6 " -20 8 - 10 3 20 30
5. Комплексная пластифицированная добавка
(НК + ПАЩ-1),
(НН + ПАЩ-1)
" 0 " -5 2 15 50 70
" -6 " -15 5 - 6 10 30 50
6. Хлорид натрия + хлорид кальция
(ХН + ХК)
" 0 " -5 2 + 0,5 30 80 100
" -6 " -15 4 + 2 15 35 50
7. ННХК + М (готовый продукт + мочевина) " -3 " -5 5 30 55 85
" -6 " -15 10 20 40 50
" -16 " -30 12 5 20 30
Примечания
1. В таблице приведены величины ожидаемой прочности растворов марки М50 и выше, приготовленных на портландцементах. В случае применения добавки нитрита натрия в виде жидкого продукта ожидаемая прочность растворов принимается с коэффициентом 0,8.
2. При приготовлении раствора на шлакопортландцементе следует принимать коэффициент 0,8 с добавкой нитрита натрия в виде жидкого продукта - 0,65.
3. В связи с различной скоростью твердения растворов с противоморозными добавками, приготовленных на цементах с разными минералогическими составами, данные настоящей таблицы от ожидаемой прочности растворов необходимо предварительно уточнять пробными замесами и испытанием образцов раствора.
4. Число противоморозных добавок рекомендуется назначать исходя из среднесуточной температуры на предстоящую декаду по прогнозам метеослужбы.
В случае резкого замедления твердения растворов с противоморозными добавками при температуре ниже приведенной в настоящей таблице допускается применять дополнительный обогрев конструкций путем установки в помещениях воздухонагревателей или других приборов до температуры не выше 40 °C.

Приложение Ф

(в ред. Изменения N 4, утв. Приказом Минстроя РФ от 30.12.2020 N 905/пр)

ЖУРНАЛ БЕТОННЫХ РАБОТ N

Организация                                                                        
Наименование объекта                                                                    
                                                                               
Адрес                                                                            
                                                                               
                                                                               
Проектные данные:                                                              
1. Класс бетона по прочности на сжатие конструктивных элементов                                            
                                                                               
                                                                               
                                                                               
2. Объем бетона общий                                                                   м3
Объем бетона неармированного                                                               м3
Объем бетона армированного                                                                 м3
Производитель работ                                                                      
                                                                               
Ведение журнала: начало                                                                   .
Окончание                                                                        

Окончание Приложения Ф

Дата и время укладки бетона Наименование бетонируемой конструкции и ее расположение (оси, отметка) Изготовитель (поставщик) бетонной смеси Условное обозначение бетонной смеси и номер документа о качестве по ГОСТ 7473 Объем партии бетонной смеси, уложенной в конструкцию, м3 Температура наружного воздуха, °C Способ и режим твердения бетона Проектный класс прочности бетона В Прочность бетона в промежуточном возрасте при распалубке или нагружении конструкций (% Внорм) Средняя прочность серий контрольных образцов бетона (МПа) по результатам входного контроля прочности бетонной смеси по пункту 5.4 ГОСТ 18105 или по примечанию к пункту 4.3 ГОСТ 18105 Подписи ответственных исполнителей работ по бетонированию и контролю качества
Нормируемый () Фактический (Вф) в проектном возрасте в контролируемой партии конструкций по результатам сплошного неразрушающего контроля прочности по ГОСТ 18105 Нормируемая Фактическая в контролируемой партии конструкций по результатам сплошного неразрушающего контроля прочности по ГОСТ 18105 В промежуточном возрасте В проектном возрасте
1 2 3 4 5 6 7 8 9 10 11 12 13 14
                           
                           
                           

Приложение Х
(рекомендуемое)

ТРЕБОВАНИЯ К КАЧЕСТВУ ПОВЕРХНОСТИ И ВНЕШНЕМУ ВИДУ МОНОЛИТНЫХ БЕТОННЫХ, БЕТОННЫХ С КОМПОЗИТНОЙ ПОЛИМЕРНОЙ АРМАТУРОЙ И ЖЕЛЕЗОБЕТОННЫХ КОНСТРУКЦИЙ

(в ред. Изменения N 4, утв. Приказом Минстроя РФ от 30.12.2020 N 905/пр)

Для оценки качества поверхности монолитных бетонных, бетонных с композитной полимерной арматурой и железобетонных конструкций применяют четыре класса, определяемые по предельным допускам прямолинейности и местных неровностей, приведенным в таблице Х.1. Классы распространяются на перекрытия, стены, колонны, фундаменты и другие конструкции с прямолинейными поверхностями. Основное назначение бетонных поверхностей приведено в таблице Х.2. Класс бетонной поверхности монолитных конструкций и качество бетонных поверхностей с особыми требованиями к внешнему виду должны оговариваться в проектной документации. В неоговоренных случаях класс поверхности принимается А6 или А7 (в зависимости от назначения). (в ред. Изменения N 4, утв. Приказом Минстроя РФ от 30.12.2020 N 905/пр)

Таблица Х.1

Классы бетонных поверхностей

Класс бетонной поверхности Допуски прямолинейности для измеряемых расстояний, мм
местные неровности (0,1 м) 1 м 2 м 3 м
А3 2 4,5 7 9,5
А4 3 7,5 10,5 14
А6 5 10 12 15
А7 10 15 15 15
Примечание - Допуски прямолинейности применяются при условии выполнения допусков по толщине защитного слоя и по размерам сечений (толщинам) элементов.

Таблица Х.2

Основное назначение бетонных поверхностей монолитных конструкций

Класс бетонной поверхности Основное назначение поверхностей конструкций
А3 Лицевая поверхность стен, колонн и нижняя поверхность перекрытий с повышенными требованиями к внешнему виду. Поверхность под улучшенную окраску без шпатлевки
А4 Лицевая поверхность стен, колонн и нижняя поверхность перекрытий, подготовленная под отделку (оклейка обоями, облицовка)
А6 Лицевая поверхность стен, колонн, нижняя поверхность перекрытий без специальных требований к качеству поверхности. Поверхность без отделки или под простую окраску
А7 Минимальные требования к качеству поверхности бетона. Оштукатуриваемые и скрываемые поверхности

В проектной документации должны быть указаны дополнительные требования к бетонным поверхностям, которые подвергаются постоянному воздействию движущейся воды или другим агрессивным воздействиям.

Требования к изогнутым криволинейным поверхностям должны быть оговорены в проектной документации отдельно.

На бетонных поверхностях не допускаются:

участки неуплотненного бетона;

жировые пятна и пятна ржавчины (кроме поверхностей класса А7);

обнажение арматуры, кроме рабочих выпусков арматуры и монтажных крепежных элементов опалубки;

обнажение стальных закладных изделий без антикоррозионной обработки;

трещины шириной раскрытия, указываемой проектной организацией (рекомендуемое значение 0,1 мм для конструкций без защиты от атмосферных осадков, 0,2 мм - в помещении);

раковины, сколы бетона ребер для поверхностей класса:

А3 - раковины диаметром более 4 мм, глубиной более 2 мм, сколы ребра глубиной 5 мм, суммарной длиной более 50 мм на 1 м ребра;

А4 - раковины диаметром более 10 мм, глубиной более 2 мм, сколы ребра глубиной 5 м, суммарной длиной более 50 мм на 1 м ребра;

В электронном документе текст соответствует официальному источнику.

А6 - раковины диаметром более 15 мм, глубиной более 5 мм, сколы ребра глубиной 10 мм, суммарной длиной более 100 мм на 1 м ребра;

А7 - раковины диаметром более 20 мм и сколы ребер глубиной более 20 мм, длина сколов не регламентируется.

Местные неровности (наплывы, выступы или впадины), размеры которых превышают допуски для классов поверхности по таблице Ц.1 при измеряемом расстоянии, равном 0,1 м. Для поверхностей класса А3 наплывы и выступы не допускаются.

На бетонных поверхностях допускаются:

для стеновых конструкций - отверстия под тяжи с оставляемыми в них пластмассовыми защитными трубками тяжа, отверстия под анкеры (заделка отверстий должна быть оговорена в проектной документации или ППР отдельно);

отпечатки щитов и элементов опалубки;

обнажение арматурных фиксаторов;

для нижней поверхности перекрытий - отпечатки щитов и элементов палубы, элементы крепления пластмассовых конструкций, электрической разводки и т.п.

Для обеспечения требований для бетонных поверхностей классов А3 и А4 рекомендуется шлифование местных выступов и затирка местных впадин для достижения требуемых показателей.

На бетонных поверхностях конструкций армированных композитной полимерной арматурой допускаются трещины шириной раскрытия, принятой в проектной документации (рекомендуемое значение 0,5 мм для конструкций без защиты от атмосферных осадков, 0,7 мм - в помещении). (в ред. Изменения N 4, утв. Приказом Минстроя РФ от 30.12.2020 N 905/пр)

Приложение Ц

(в ред. Изменения N 3, утв. Приказом Минстроя РФ от 26.12.2017 N 1719/пр)

Ширина вставок рассчитывается с учетом размеров конструкций (ширина, длина, высота) и ее армирования, условий твердения, класса по прочности и величине требуемого самонапряжения.

Схема вычислений ширины вставок

Исходные данные железобетона конструкций   Исходные данные материалов вставки  
                     
  V   V  
  Обработка параметров конструкций и таблиц
- Предел отн.деф. усадки после 14 суток твердения
- Предел отн.деф. усадки при заданной влажности
- Отн. деф. усадки в заданный момент времени
- Учет армирования конструкций
- Окончательные отн.деф. усадки
  Обработка параметров бетона шва и таблиц- Связанные отн.деф. расширения при наличии армирования и твердении в воде
- Отн.деф. усадки вставки в зависимости от влажности и расхода НЦ при = 1%
- Пересчет усадки вставки для заданного
- Окончательная отн.деф. расширения
 
     
     
     
     
                     
      V   V      
      Вычисление ширины вставки      

Ширину вставок рассчитывают по формуле

,

где:

- требуемая ширина вставки;

- длина конструкции;

- деформация усадки в момент времени;

- величина деформации вставки после проявления потерь.

Приложение Ш

ПРИМЕНЕНИЕ ГИБКИХ КОМПОЗИТНЫХ ПОЛИМЕРНЫХ СВЯЗЕЙ

(в ред. Изменения N 4, утв. Приказом Минстроя РФ от 30.12.2020 N 905/пр)

Ш.1. Трехслойные стены с несущей стеной из кирпича или керамзитобетонных блоков

В трехслойных стенах с несущим слоем из кирпича или керамзитобетонных блоков, с облицовочным слоем из кирпича применяют гибкие композитные полимерные связи с двумя анкерными участками диаметрами от 4 до 8 мм включительно.

Длина гибкой композитной полимерной связи определяется из условия, что глубина ее заделки в растворный шов для стен из керамзитобетонных блоков - не менее 60 мм, для кирпичных стен - не менее 80 мм. Для возможности устройства воздушной прослойки между слоем теплоизоляции и наружным слоем стены гибкие композитные полимерные связи комплектуются фиксатором-ограничителем.

Монтаж трехслойных стен с несущим слоем из кирпича или керамзитобетонных блоков, облицовочным слоем из кирпича и слоем теплоизоляции выполняют в следующей последовательности:

- наружный слой до следующего уровня композитных гибких связей;

- внутренний слой до следующего уровня композитных гибких связей;

- теплоизоляционный слой.

Далее кладка выполняется по вышеприведенной последовательности.

Ш.2. Трехслойные стены с несущей монолитной железобетонной стеной

В трехслойных стенах с несущим внутренним слоем из монолитного бетона, наружного облицовочного слоя из кирпича применяют композитные полимерные гибкие связи диаметрами от 4 до 8 мм включительно.

Длина гибкой композитной полимерной связи определяется из условия, что глубина заделки композитной гибкой связи для внутренних стен из бетона составляет 60 мм, для внешних кирпичных стен толщиной 120 мм - от 90 до 110 мм, для внешних кирпичных стен толщиной 88 мм - 80 мм.

Для возможности устройства воздушной прослойки между утеплителем и наружным слоем стены гибкие композитные полимерные связи комплектуются фиксатором-ограничителем.

Трехслойные стены с несущим внутренним слоем из монолитного бетона, наружным облицовочным слоем из кирпича и теплоизоляцией выполняют в следующей последовательности:

- возводится стена из монолитного бетона;

- монтируется слой теплоизоляции;

- выполняются отверстия в бетонной стене через слой теплоизоляции с глубиной отверстия в стене больше длины анкеровки от 10 до 15 мм;

- выполняется очистка отверстия от пыли;

- выполняется забивка связи в отверстие до расклинивания гильзы в основании бетонной стены;

- возведение наружной облицовочной стены из кирпича до уровня установленных композитных гибких связей;

- заделывание свободного конца связей в растворный шов наружной облицовочной стены.

Ш.3. Трехслойные стены из сборных железобетонных панелей

В сборных железобетонных панелях применяют гибкие композитные полимерные связи диаметром не менее 7 мм.

Анкерующие части гибких композитных полимерных связей располагают в бетонных слоях панели. Конструкцией и материалами анкерующих частей гибких связей должна быть обеспечена принятая при проектировании панели прочность сцепления гибкой связи с бетоном в течение расчетного срока эксплуатации панели.

Анкерующие части гибких связей из композитных полимерных щелочестойких материалов должны быть сформированы из рабочей части изгибом, загибом, уширением. Не допускается формировать анкерующую часть путем наклеивания, напрессовывания элементов или материалов, навивки (подмотки) материалов на рабочий стержень (рабочую часть).

Размещение гибких композитных полимерных связей по телу панели должно обеспечивать совместную работу наружного и внутреннего бетонных слоев панели при всех видах нагрузок, воздействующих на панель при эксплуатации здания.

БИБЛИОГРАФИЯ

[1] - [4] - Ссылки исключены. (в ред. Изменения N 1, утв. Приказом Минстроя РФ от 16.12.2016 N 983/пр)

[5] РТМ 393-94 Руководящие технологические материалы по сварке и контролю качества соединений арматуры и закладных изделий железобетонных конструкций

[6] ТСН 102-00* Железобетонные конструкции с арматурой классов А500С и А400С (территориальные строительные нормы г. Москвы, 2005)

[7] СП 53-101-98 Изготовление и контроль качества стальных строительных конструкций

[8] Федеральный закон Технический регламент о безопасности зданий и сооружений от 30 декабря 2009 г. N 384-ФЗ

[9] Федеральный закон Технический регламент о требованиях пожарной безопасности от 22 июля 2008 г. N 123-ФЗ (с изменениями на 13 июля 2015 г.) (в ред. Изменения N 1, утв. Приказом Минстроя РФ от 16.12.2016 N 983/пр)

[10] Приказ Федеральной службы по экологическому, технологическому и атомному надзору от 12 ноября 2013 г. N 533 "Об утверждении Федеральных норм и правил в области промышленной безопасности "Правила безопасности опасных производственных объектов, на которых используются подъемные сооружения" (в ред. Изменения N 4, утв. Приказом Минстроя РФ от 30.12.2020 N 905/пр)

В связи с утратой силы Приказа Ростехнадзора от 12.11.2013 N 533 с 01.01.2021 следует руководствоваться принятым взамен Приказом Ростехнадзора от 26.11.2020 N 461.

[11] СНиП 12-03-2001 Безопасность труда в строительстве. Часть 1. Общие требования

[12] СНиП 12-04-2002 Безопасность труда в строительстве. Часть 2. Строительное производство

[13] МДС 53-1.2001 Рекомендации по монтажу стальных строительных конструкций