Постановление Правительства РФ от 16.09.2020 N 1475

"Об утверждении Правил определения размеров земельных долей, выраженных в гектарах или балло-гектарах, в виде простой правильной дроби"
Редакция от 24.10.2022 — Действует с 01.03.2023
Показать изменения

ПРАВИТЕЛЬСТВО РОССИЙСКОЙ ФЕДЕРАЦИИ

ПОСТАНОВЛЕНИЕ
от 16 сентября 2020 г. N 1475

ОБ УТВЕРЖДЕНИИ ПРАВИЛ ОПРЕДЕЛЕНИЯ РАЗМЕРОВ ЗЕМЕЛЬНЫХ ДОЛЕЙ, ВЫРАЖЕННЫХ В ГЕКТАРАХ ИЛИ БАЛЛО-ГЕКТАРАХ, В ВИДЕ ПРОСТОЙ ПРАВИЛЬНОЙ ДРОБИ

(в ред. Постановления Правительства РФ от 24.10.2022 N 1895)

В соответствии с пунктом 4 статьи 15 Федерального закона "Об обороте земель сельскохозяйственного назначения" Правительство Российской Федерации постановляет:

Утвердить прилагаемые Правила определения размеров земельных долей, выраженных в гектарах или балло-гектарах, в виде простой правильной дроби. (в ред. Постановления Правительства РФ от 24.10.2022 N 1895)

Председатель Правительства
Российской Федерации
М. МИШУСТИН

УТВЕРЖДЕНЫ
постановлением Правительства
Российской Федерации
от 16 сентября 2020 г. N 1475

ПРАВИЛА ОПРЕДЕЛЕНИЯ РАЗМЕРОВ ЗЕМЕЛЬНЫХ ДОЛЕЙ, ВЫРАЖЕННЫХ В ГЕКТАРАХ ИЛИ БАЛЛО-ГЕКТАРАХ, В ВИДЕ ПРОСТОЙ ПРАВИЛЬНОЙ ДРОБИ

(в ред. Постановления Правительства РФ от 24.10.2022 N 1895)

1. Настоящие Правила устанавливают порядок определения размеров земельных долей в отношении земельного участка из категории земель сельскохозяйственного назначения, находящегося в общей долевой собственности, выраженных в гектарах или балло-гектарах, в виде простой правильной дроби. (в ред. Постановления Правительства РФ от 24.10.2022 N 1895)

2. В целях определения размеров земельных долей, указанных в пункте 1 настоящих Правил, используются сведения:

а) Единого государственного реестра недвижимости о площади земельного участка, его правообладателях, размере принадлежащих им земельных долей;

б) архивные сведения о площади земельного участка, его правообладателях, размере принадлежащих им земельных долей (если права на земельный участок не зарегистрированы);

в) о бонитете (балльной оценке) приватизированного земельного участка, содержащиеся в решении о его приватизации;

г) государственного фонда данных, полученные в результате проведения землеустройства, о площади, видах угодий, бонитете приватизированных земельных участков (при отсутствии сведений, указанных в подпунктах "а" - "в" настоящего пункта).

3. Для определения размеров земельных долей, указанных в пункте 1 настоящих Правил, используются сведения Единого государственного реестра недвижимости, полученные не позднее чем за 30 дней до дня определения размеров земельных долей.

4. В целях определения в виде простой правильной дроби земельной доли, выраженной в балло-гектарах, в отношении земельного участка из категории земель сельскохозяйственного назначения используется следующая формула: (в ред. Постановления Правительства РФ от 24.10.2022 N 1895)

,

где:

Р(д) - размер земельной доли в виде простой правильной дроби;

Р(б) - размер земельной доли, выраженной в балло-гектарах, округленный до целого значения; (в ред. Постановления Правительства РФ от 24.10.2022 N 1895)

P(s) - показатель оценки качества сельскохозяйственных угодий приватизированного земельного участка, выраженный в балло-гектарах, значение которого определяется по следующей формуле и округляется до целого значения: (в ред. Постановления Правительства РФ от 24.10.2022 N 1895)

,

где:

П - средний показатель оценки качества сельскохозяйственных угодий приватизированного земельного участка, в отношении которого осуществляется определение размера земельных долей, выраженных в балло-гектарах и определенных на день принятия решения о приватизации земельного участка; (в ред. Постановления Правительства РФ от 24.10.2022 N 1895)

S - площадь земельного участка (в гектарах).

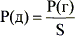
5. В целях определения в виде простой правильной дроби земельной доли, выраженной в гектарах, в отношении земельного участка из категории земель сельскохозяйственного назначения используется следующая формула:

,

где:

Р(д) - размер земельной доли в виде простой правильной дроби;

Р(г) - размер земельной доли, выраженной в гектарах, округленный до целого значения;

S - площадь земельного участка (в гектарах), округленная до целого значения.