Постановление Правительства РФ от 23.06.2021 N 978

"Об утверждении Правил предоставления субсидий российским организациям на финансовое обеспечение затрат на разработку, испытание и внедрение инновационной продукции реабилитационной направленности с участием инвалидов"
Редакция от 19.05.2023 — Действует с 20.05.2023
Показать изменения

ПРАВИТЕЛЬСТВО РОССИЙСКОЙ ФЕДЕРАЦИИ

ПОСТАНОВЛЕНИЕ
от 23 июня 2021 г. N 978

ОБ УТВЕРЖДЕНИИ ПРАВИЛ ПРЕДОСТАВЛЕНИЯ СУБСИДИЙ РОССИЙСКИМ ОРГАНИЗАЦИЯМ НА ФИНАНСОВОЕ ОБЕСПЕЧЕНИЕ ЗАТРАТ НА РАЗРАБОТКУ, ИСПЫТАНИЕ И ВНЕДРЕНИЕ ИННОВАЦИОННОЙ ПРОДУКЦИИ РЕАБИЛИТАЦИОННОЙ НАПРАВЛЕННОСТИ С УЧАСТИЕМ ИНВАЛИДОВ

(в ред. Постановлений Правительства РФ от 30.11.2021 N 2134, от 13.05.2022 N 869, от 12.09.2022 N 1597, от 19.05.2023 N 787)

Правительство Российской Федерации постановляет:

Утвердить прилагаемые Правила предоставления субсидий российским организациям на финансовое обеспечение затрат на разработку, испытание и внедрение инновационной продукции реабилитационной направленности с участием инвалидов.

Председатель Правительства
Российской Федерации
М. МИШУСТИН

УТВЕРЖДЕНЫ
постановлением Правительства
Российской Федерации
от 23 июня 2021 г. N 978

ПРАВИЛА ПРЕДОСТАВЛЕНИЯ СУБСИДИЙ РОССИЙСКИМ ОРГАНИЗАЦИЯМ НА ФИНАНСОВОЕ ОБЕСПЕЧЕНИЕ ЗАТРАТ НА РАЗРАБОТКУ, ИСПЫТАНИЕ И ВНЕДРЕНИЕ ИННОВАЦИОННОЙ ПРОДУКЦИИ РЕАБИЛИТАЦИОННОЙ НАПРАВЛЕННОСТИ С УЧАСТИЕМ ИНВАЛИДОВ

(в ред. Постановлений Правительства РФ от 30.11.2021 N 2134, от 13.05.2022 N 869, от 12.09.2022 N 1597, от 19.05.2023 N 787)

1. Настоящие Правила устанавливают цели, условия и порядок предоставления субсидий российским организациям (далее - организации) на финансовое обеспечение затрат на разработку, испытание и внедрение инновационной продукции реабилитационной направленности с участием инвалидов (далее - субсидии).

Субсидии предоставляются в рамках федерального проекта "Научное обеспечение развития производства медицинских изделий" государственной программы Российской Федерации "Научно-технологическое развитие Российской Федерации" в целях стимулирования деятельности организаций в сфере реабилитационной индустрии по разработке, улучшению технических и потребительских свойств товаров, которые предназначены для инвалидов и других маломобильных граждан и ориентированы на создание им наряду с другими членами общества равных возможностей осуществления жизнедеятельности, в том числе технических средств реабилитации, ассистивных устройств, программного обеспечения для реабилитации и абилитации инвалидов, оборудования, оснащения и тренажеров для медицинской и медико-социальной реабилитации, а также оснащения доступной среды (далее - продукция). (в ред. Постановления Правительства РФ от 30.11.2021 N 2134)

Сведения о субсидии размещаются на едином портале бюджетной системы Российской Федерации в информационно-телекоммуникационной сети "Интернет" (далее соответственно - сеть "Интернет", единый портал) не позднее 15-го рабочего дня, следующего за днем принятия федерального закона о федеральном бюджете (федерального закона о внесении изменений в федеральный закон о федеральном бюджете). (в ред. Постановления Правительства РФ от 19.05.2023 N 787)

2. Понятия, используемые в настоящих Правилах, означают следующее:

"комплексный проект" - система ограниченных по времени и ресурсам взаимосвязанных мероприятий и процессов, направленных на разработку и улучшение технических и потребительских свойств продукции, включающая в себя:

разработку продукции (в случае если реализация комплексного проекта предполагает ее осуществление), а именно выполнение научно-исследовательских работ и выполнение опытно-конструкторских работ;

проведение испытаний и опытной эксплуатации продукции, созданной в рамках реализации комплексного проекта, а именно разработку методики и технической документации проведения испытаний, проведение испытаний, разработку методики опытной эксплуатации и ее распространение, осуществление опытной эксплуатации, выявление технологических дефектов разработок и дефектов процесса производства, оценку реабилитационной эффективности разработанной продукции в условиях практического использования в реабилитационных центрах, а также выявление имеющихся недостатков при проведении реабилитационных мероприятий и других сопутствующих услуг; (в ред. Постановления Правительства РФ от 13.05.2022 N 869)

доработку продукции с учетом выявленных недостатков и совершенствование современных реабилитационных методик, а именно определение конкретных конструкторских и (или) технологических решений, направленных на улучшение технических и эксплуатационных характеристик и на повышение реабилитационной эффективности, улучшение руководств по эксплуатации, уточнение показаний и противопоказаний для назначения продукции, а также совершенствование реабилитационных программ, основанных на применении нового технического средства реабилитации (ассистивного устройства, оснащения доступной среды);

выпуск продукции в промышленную эксплуатацию, а именно обеспечение объемов продаж (в случае коммерциализации продукции) или обеспечение количества пользователей (в случае если целью комплексного проекта является дальнейшее некоммерческое использование); (в ред. Постановления Правительства РФ от 13.05.2022 N 869)

"партия продукции" - созданная в рамках реализуемого комплексного проекта или ранее и используемая для целей проведения испытаний и опытной эксплуатации партия продукции, отвечающая следующим критериям: (в ред. Постановления Правительства РФ от 13.05.2022 N 869)

относится к техническим средствам реабилитации, ассистивным устройствам, программному обеспечению для реабилитации и абилитации инвалидов, оборудованию, тренажерам и устройствам для медицинской или медико-социальной реабилитации, оснащению доступной среды;

произведена в количестве, необходимом для проведения испытаний и опытной эксплуатации инновационной продукции в реабилитационных центрах с участием инвалидов;

не является материально-производственными запасами. (в ред. Постановления Правительства РФ от 13.05.2022 N 869)

3. Результатом предоставления субсидии является достижение заявленного на конкурс количества реализованной продукции (скачиваний программного обеспечения для реабилитации и абилитации инвалидов) (штук), созданной в ходе реализации комплексного проекта в срок, установленный в плане-графике реализации комплексного проекта и не превышающий 36 месяцев со дня начала реализации комплексного проекта (далее - результат предоставления субсидии). (в ред. Постановлений Правительства РФ от 13.05.2022 N 869, от 19.05.2023 N 787)

4. Характеристиками (показателями, необходимыми для достижения результата предоставления субсидии) (далее - характеристики) являются: (в ред. Постановления Правительства РФ от 19.05.2023 N 787)

а) количество инвалидов, привлеченных к тестированию продукции, созданной в рамках реализации комплексного проекта: (в ред. Постановления Правительства РФ от 13.05.2022 N 869)

не менее 500 инвалидов - в случае тестирования программного обеспечения для реабилитации и абилитации инвалидов; (в ред. Постановления Правительства РФ от 13.05.2022 N 869)

не менее 100 инвалидов - в случае тестирования продукции реабилитационной направленности, за исключением протезов и ортезов; (в ред. Постановления Правительства РФ от 13.05.2022 N 869)

не менее 20 инвалидов - в случае тестирования протезов и ортезов; (в ред. Постановления Правительства РФ от 13.05.2022 N 869)

б) размер внебюджетных средств (не менее 20 процентов суммы полученной субсидии), привлеченных в рамках реализации комплексного проекта. (в ред. Постановления Правительства РФ от 13.05.2022 N 869)

5. Субсидии предоставляются в пределах лимитов бюджетных обязательств, доведенных в установленном порядке до Министерства промышленности и торговли Российской Федерации как получателя средств федерального бюджета на цели, указанные в пункте 1 настоящих Правил.

Организации определяются в качестве получателей субсидий по итогам конкурса, который проводится исходя из наилучших условий достижения результата предоставления субсидии и характеристик (далее - конкурс), на основании представленных организациями заявок на участие в конкурсе (далее - заявка). (в ред. Постановления Правительства РФ от 19.05.2023 N 787)

Конкурс на право получения субсидии проводится Министерством промышленности и торговли Российской Федерации не чаще 2 раз в год.

Субсидии предоставляются на реализацию комплексного проекта, в котором срок работ, указанных в абзацах третьем - пятом пункта 2 настоящих Правил, не превышает 24 месяцев. (в ред. Постановления Правительства РФ от 13.05.2022 N 869)

6. Субсидия предоставляется организациям на финансовое обеспечение следующих затрат и расходов, непосредственно относящихся к реализации комплексного проекта:

а) расходы на оплату труда работников, непосредственно участвующих в реализации комплексного проекта, за период выполнения ими работ в рамках комплексного проекта (в размере, не превышающем размера средней заработной платы по соответствующему виду экономической деятельности, установленному Федеральной службой государственной статистики за предыдущий год по соответствующему субъекту Российской Федерации), а также расходы на обязательное пенсионное страхование, обязательное социальное страхование на случай временной нетрудоспособности и в связи с материнством, обязательное медицинское страхование, обязательное социальное страхование от несчастных случаев на производстве и профессиональных заболеваний;

б) затраты на разработку (в случае если реализация комплексного проекта предполагает ее осуществление) и производство партии продукции (программного обеспечения для реабилитации и абилитации инвалидов), необходимой для реализации комплексного проекта;

в) затраты на оплату изготовления и (или) аренды необходимой оснастки, средств тестирования, измерения и контроля, а также расходного инструмента для реализации комплексного проекта;

г) затраты на оплату стоимости работ и услуг, непосредственно связанных с реализацией комплексного проекта, по договорам с реабилитационными центрами и инвалидами, их родственниками и законными представителями и юридическими лицами, привлекающими инвалидов; (в ред. Постановления Правительства РФ от 13.05.2022 N 869)

д) расходы, осуществляемые в рамках договоров аренды технологического оборудования и технологической оснастки, необходимых для реализации комплексного проекта;

е) расходы, осуществляемые в рамках договоров страхования жизни и здоровья лиц, участвующих в испытаниях и опытной эксплуатации продукции, созданной в рамках комплексного проекта, в случае отсутствия условия об указанном страховании в договорах, указанных в подпункте "г" настоящего пункта.

7. Министерство промышленности и торговли Российской Федерации принимает решение о проведении конкурса в пределах лимитов бюджетных обязательств, доведенных в установленном порядке до Министерства как получателя средств федерального бюджета на цели, указанные в пункте 1 настоящих Правил, с учетом лимитов бюджетных обязательств, необходимых для завершения оказания государственной поддержки комплексных проектов по ранее заключенным соглашениям.

В случае если лимиты бюджетных обязательств, доведенные в установленном порядке до Министерства промышленности и торговли Российской Федерации как получателя средств федерального бюджета на цели, указанные в пункте 1 настоящих Правил, не превышают размер субсидии, предусмотренный в текущем финансовом году организациям по ранее заключенным соглашениям, Министерство не вправе принимать решение о проведении конкурса.

7.1. Обмен документами и информацией при проведении конкурса, подаче заявки, а также при осуществлении мониторинга и контроля за соблюдением российскими организациями условий и порядка предоставления субсидий осуществляется с использованием государственной информационной системы промышленности. В период до 31 декабря 2022 г. в случае отсутствия технической возможности осуществления взаимодействия с использованием государственной информационной системы промышленности, такое взаимодействие осуществляется путем представления документов на бумажном носителе. (в ред. Постановления Правительства РФ от 12.09.2022 N 1597)

8. В целях проведения конкурса Министерство промышленности и торговли Российской Федерации:

а) разрабатывает конкурсную документацию, содержащую требования к оформлению заявки, в том числе к паспорту комплексного проекта, его целям, задачам и описанию комплексного проекта, формам плана-графика реализации комплексного проекта и плана-графика финансового обеспечения затрат на реализацию комплексного проекта, а также проект соглашения о предоставлении субсидии, заключаемого Министерством промышленности и торговли Российской Федерации с организацией - победителем конкурса в соответствии с типовой формой, установленной Министерством финансов Российской Федерации (далее - соглашение); (в ред. Постановления Правительства РФ от 13.05.2022 N 869)

б) принимает решение о проведении конкурса и в течение 10 рабочих дней со дня принятия такого решения размещает в государственной информационной системе промышленности, а также на официальном сайте Министерства промышленности и торговли Российской Федерации в сети "Интернет" объявление о проведении конкурса с указанием следующей информации: (в ред. Постановления Правительства РФ от 12.09.2022 N 1597)

сроки проведения конкурса; (в ред. Постановления Правительства РФ от 13.05.2022 N 869)

дата начала подачи или окончания приема заявок участников конкурса, которая не может быть ранее 30-го календарного дня, следующего за днем размещения объявления о проведении конкурса; (в ред. Постановления Правительства РФ от 13.05.2022 N 869)

наименование, место нахождения, почтовый адрес, адрес электронной почты Министерства промышленности и торговли Российской Федерации как главного распорядителя средств федерального бюджета;

результат предоставления субсидии и характеристики;" (в ред. Постановления Правительства РФ от 19.05.2023 N 787)

доменное имя и (или) указатели страниц сайта государственной информационной системы промышленности в сети "Интернет", на котором обеспечивается проведение конкурса; (в ред. Постановлений Правительства РФ от 13.05.2022 N 869, от 19.05.2023 N 787)

требования к организациям - участникам конкурса в соответствии с пунктом 10 и абзацем вторым пункта 9 настоящих Правил, а также перечни документов, представляемых организациями - участниками конкурса для подтверждения их соответствия указанным требованиям в соответствии с пунктами 11 и 12 настоящих Правил;

порядок подачи заявок и требования, предъявляемые к форме и содержанию заявок, в соответствии с пунктами 9 - 12 настоящих Правил и в соответствии с конкурсной документацией;

порядок отзыва заявок, порядок возврата заявок, определяющий в том числе основания для возврата заявок, и порядок внесения изменений в заявки;

правила рассмотрения и оценки заявок в соответствии с пунктами 16 - 18 настоящих Правил;

порядок предоставления организациям разъяснений положений объявления о проведении конкурса, дата начала (окончания) срока такого предоставления;

срок, в течение которого организация - победитель конкурса (организации - победители конкурса) должна подписать соглашение;

условия признания организации - победителя конкурса (организаций - победителей конкурса) уклонившейся от заключения соглашения;

дата размещения результатов конкурса в государственной информационной системе промышленности, а также на официальном сайте Министерства промышленности и торговли Российской Федерации в сети "Интернет" (с размещением указателя страницы сайта на едином портале), которая не может быть позднее 14-го календарного дня, следующего за днем определения победителя конкурса (с соблюдением сроков, установленных пунктом 26.2 Положения о мерах по обеспечению исполнения федерального бюджета, утвержденного постановлением Правительства Российской Федерации от 9 декабря 2017 г. N 1496 "О мерах по обеспечению исполнения федерального бюджета"); (в ред. Постановлений Правительства РФ от 13.05.2022 N 869, от 12.09.2022 N 1597, от 19.05.2023 N 787)

в) образует межведомственную конкурсную комиссию, в которую входят представители Министерства труда и социальной защиты Российской Федерации, федерального государственного бюджетного учреждения "Федеральное бюро медико-социальной экспертизы" Министерства труда и социальной защиты Российской Федерации, Министерства финансов Российской Федерации и Фонда пенсионного и социального страхования Российской Федерации, а также члены общественного совета при Министерстве промышленности и торговли Российской Федерации и отраслевые эксперты по соответствующим направлениям (далее - комиссия); (в ред. Постановления Правительства РФ от 19.05.2023 N 787)

г) размещает на едином портале и официальном сайте Министерства промышленности и торговли Российской Федерации в сети "Интернет" конкурсную документацию; (в ред. Постановления Правительства РФ от 19.05.2023 N 787)

д) размещает на едином портале указатели страниц сайта государственной информационной системы промышленности, на котором обеспечиваются проведение конкурса и размещение объявления о проведении конкурса; (в ред. Постановления Правительства РФ от 19.05.2023 N 787)

е) при предоставлении субсидии в соответствии с настоящими Правилами обеспечивает информационное взаимодействие государственной информационной системы промышленности и единого портала, включая оперативный обмен информацией. (в ред. Постановления Правительства РФ от 19.05.2023 N 787)

9. Одна заявка подается в отношении реализации одного комплексного проекта. Одна организация - участник конкурса вправе представить не более 3 обособленных заявок, однако по результатам конкурса одной организации - участнику конкурса может быть предоставлена субсидия на осуществление только одного комплексного проекта.

К конкурсу допускается принимать комплексные проекты, реализация которых начата организацией - участником конкурса самостоятельно, однако расходы, понесенные организацией - участником конкурса до заключения соглашения, считаются собственным вкладом в комплексный проект и не подлежат возмещению.

10. К конкурсу допускаются организации, которые на дату не ранее чем за 30 календарных дней до даты подачи заявки отвечают следующим требованиям: (в ред. Постановлений Правительства РФ от 13.05.2022 N 869, от 12.09.2022 N 1597)

а) у организации отсутствует неисполненная обязанность по уплате налогов, сборов, страховых взносов, пеней, штрафов и процентов, подлежащих уплате в соответствии с законодательством Российской Федерации о налогах и сборах;

б) у организации отсутствуют просроченная задолженность по возврату в федеральный бюджет субсидий, бюджетных инвестиций, предоставленных в том числе в соответствии с иными правовыми актами, а также иная просроченная (неурегулированная) задолженность по денежным обязательствам перед Российской Федерацией;

в) организация не находится в процессе реорганизации (за исключением реорганизации в форме присоединения к организации другого юридического лица), ликвидации, в отношении организации не введена процедура банкротства, ее деятельность не приостановлена в порядке, предусмотренном законодательством Российской Федерации;

г) организация не является иностранным юридическим лицом, в том числе местом регистрации которого является государство или территория, включенные в утверждаемый Министерством финансов Российской Федерации перечень государств и территорий, используемых для промежуточного (офшорного) владения активами в Российской Федерации (далее - офшорные компании), а также российским юридическим лицом, в уставном (складочном) капитале которого доля прямого или косвенного (через третьих лиц) участия офшорных компаний в совокупности превышает 25 процентов. (в ред. Постановления Правительства РФ от 19.05.2023 N 787)

При расчете доли участия офшорных компаний в капитале российских юридических лиц не учитывается прямое и (или) косвенное участие офшорных компаний в капитале публичных акционерных обществ (в том числе со статусом международной компании), акции которых обращаются на организованных торгах в Российской Федерации, а также косвенное участие таких офшорных компаний в капитале других российских юридических лиц, реализованное через участие в капитале указанных публичных акционерных обществ; (в ред. Постановления Правительства РФ от 19.05.2023 N 787)

д) организация не получает средства из федерального бюджета на основании иных нормативных правовых актов Российской Федерации на цели, указанные в пункте 1 настоящих Правил;

е) в реестре дисквалифицированных лиц отсутствуют сведения о дисквалифицированных руководителе, членах коллегиального исполнительного органа, лице, исполняющем функции единоличного исполнительного органа, или главном бухгалтере (при наличии) организации;

ж) срок государственной регистрации организации в качестве юридического лица должен быть не менее одного календарного года;

з) организация включена в единый реестр субъектов малого и среднего предпринимательства и находится в указанном реестре, а также включена в перечень субъектов экономической деятельности, являющихся производителями продукции реабилитационной индустрии, предусмотренный постановлением Правительства Российской Федерации от 16 сентября 2020 г. N 1460 "Об утверждении Положения о формировании и ведении перечня субъектов экономической деятельности, являющихся производителями продукции реабилитационной индустрии" (далее - перечень). (в ред. Постановления Правительства РФ от 19.05.2023 N 787)

В случае если организация не включена в перечень, участие в конкурсе допускается при представлении организацией в письменной форме обязательства по представлению в Министерство промышленности и торговли Российской Федерации документов, подтверждающих соответствие организации условиям, установленным пунктом 2 Положения о формировании и ведении перечня субъектов экономической деятельности, являющихся производителями продукции реабилитационной индустрии, утвержденного постановлением Правительства Российской Федерации от 16 сентября 2020 г. N 1460 "Об утверждении Положения о формировании и ведении перечня субъектов экономической деятельности, являющихся производителями продукции реабилитационной индустрии", для включения организации в перечень в срок реализации комплексного проекта, с приложением документов, подтверждающих наличие не менее 90 процентов выручки от реализации продукции реабилитационной направленности в текущем календарном году; (в ред. Постановления Правительства РФ от 19.05.2023 N 787)

и) организация не находится в перечне организаций и физических лиц, в отношении которых имеются сведения об их причастности к экстремистской деятельности или терроризму, либо в перечне организаций и физических лиц, в отношении которых имеются сведения об их причастности к распространению оружия массового уничтожения; (в ред. Постановления Правительства РФ от 13.05.2022 N 869)

к) при проведении конкурса в период до 31 декабря 2022 г. организация не должна находиться в реестре недобросовестных поставщиков (подрядчиков, исполнителей) в связи с отказом от исполнения заключенных государственных (муниципальных) контрактов о поставке товаров, выполнении работ, оказании услуг по причине введения политических или экономических санкций иностранными государствами, совершающими недружественные действия в отношении Российской Федерации, граждан Российской Федерации или российских юридических лиц, и (или) введением иностранными государствами, государственными объединениями и (или) союзами и (или) государственными (межгосударственными) учреждениями иностранных государств или государственных объединений и (или) союзов мер ограничительного характера. (в ред. Постановления Правительства РФ от 13.05.2022 N 869)

11. Для участия в конкурсе организация представляет следующие документы: (в ред. Постановления Правительства РФ от 13.05.2022 N 869)

а) заявка (в соответствии с конкурсной документацией); (в ред. Постановления Правительства РФ от 13.05.2022 N 869)

б) план-график реализации комплексного проекта, содержащий контрольные точки и плановые значения результата предоставления субсидии и характеристик, по годам реализации комплексного проекта, подписанный руководителем организации; (в ред. Постановлений Правительства РФ от 13.05.2022 N 869, от 19.05.2023 N 787)

в) план-график финансового обеспечения затрат на реализацию комплексного проекта (по годам реализации комплексного проекта), подписанный руководителем организации; (в ред. Постановления Правительства РФ от 13.05.2022 N 869)

г) сведения о среднесписочной численности работников организации за год, предшествующий календарному году подачи заявки, представленные в составе расчета по страховым взносам по форме, утвержденной Федеральной налоговой службой; (в ред. Постановления Правительства РФ от 13.05.2022 N 869)

д) справка, подписанная руководителем организации, подтверждающая соответствие организации требованиям, предусмотренным подпунктами "б" - "ж", "и" и "к" пункта 10 настоящих Правил; (в ред. Постановления Правительства РФ от 13.05.2022 N 869)

е) выписка из Единого государственного реестра юридических лиц (в случае непредставления организацией такого документа Министерство промышленности и торговли Российской Федерации запрашивает его самостоятельно); (в ред. Постановления Правительства РФ от 13.05.2022 N 869)

ж) справка налогового органа об отсутствии у организации на дату не ранее чем за 30 календарных дней до даты подачи заявки неисполненной обязанности по уплате налогов, сборов, страховых взносов, пеней, штрафов и процентов, подлежащих уплате в соответствии с законодательством Российской Федерации о налогах и сборах (в случае непредставления организацией такого документа Министерство промышленности и торговли Российской Федерации запрашивает его самостоятельно); (в ред. Постановлений Правительства РФ от 13.05.2022 N 869, от 12.09.2022 N 1597)

з) согласие на размещение (публикацию) в сети "Интернет" информации об организации, о подаваемой организацией заявке, иной информации об организации, связанной с конкурсом; (в ред. Постановления Правительства РФ от 13.05.2022 N 869)

и) выписка из единого реестра субъектов малого и среднего предпринимательства, выданная не ранее чем за 30 календарных дней до даты подачи заявки; (в ред. Постановления Правительства РФ от 12.09.2022 N 1597)

к) копия регистрационного удостоверения на медицинское изделие (в случае если продукция комплексного проекта относится к медицинским изделиям согласно статье 38 Федерального закона "Об основах охраны здоровья граждан в Российской Федерации"). (в ред. Постановления Правительства РФ от 13.05.2022 N 869)

л) обязательство по представлению в Министерство промышленности и торговли Российской Федерации документов, подтверждающих соответствие организации условиям, установленным пунктом 2 Положения о формировании и ведении перечня субъектов экономической деятельности, являющихся производителями продукции реабилитационной индустрии, утвержденного постановлением Правительства Российской Федерации от 16 сентября 2020 г. N 1460 "Об утверждении Положения о формировании и ведении перечня субъектов экономической деятельности, являющихся производителями продукции реабилитационной индустрии", подписанное руководителем организации, для включения организации в перечень в срок реализации комплексного проекта, с приложением документов, подтверждающих наличие не менее 90 процентов выручки от реализации продукции реабилитационной направленности в текущем календарном году (представляется организацией в случае, если организация не включена в перечень). (в ред. Постановления Правительства РФ от 19.05.2023 N 787)

12. Документы, указанные в пункте 11 настоящих Правил, прошиваются, нумеруются и запечатываются в конверт.

13. Субсидия предоставляется организации на следующих условиях:

а) максимальный размер субсидии для одного комплексного проекта не превышает 50 млн. рублей за весь срок действия соглашения;

б) план-график реализации комплексного проекта предусматривает срок разработки (в случае если реализация комплексного проекта предполагает ее осуществление), срок проведения испытаний и опытной эксплуатации, включая анализ ее результатов и учет их на практике, не более 36 месяцев со дня начала реализации комплексного проекта; (в ред. Постановления Правительства РФ от 13.05.2022 N 869)

в) комплексный проект направлен на достижение целей, указанных в пункте 1 настоящих Правил;

г) комплексный проект не предполагает финансирование из бюджетов бюджетной системы Российской Федерации в соответствии с иными нормативными правовыми актами.

14. Основаниями для отклонения заявки являются: (в ред. Постановления Правительства РФ от 13.05.2022 N 869)

а) несоответствие организации - участника конкурса требованиям, установленным в соответствии с пунктом 10 и абзацем вторым пункта 9 настоящих Правил;

б) несоответствие представленных организацией - участником конкурса заявок и документов требованиям к заявкам и документам, установленным конкурсной документацией и объявлением о проведении конкурса, а также несоответствие комплексного проекта условиям, предусмотренным пунктом 13 настоящих Правил;

в) недостоверность представленной организацией - участником конкурса информации, в том числе информации о месте нахождения и адресе организации;

г) подача организацией заявки после даты и (или) времени, определенных для подачи заявок.

15. В рамках обеспечения проведения конкурса Министерство промышленности и торговли Российской Федерации:

а) регистрирует в порядке поступления конверты с заявками и документами, указанными в пункте 11 настоящих Правил;

б) в срок, не превышающий 3 рабочих дней с даты окончания приема заявок, указанной в объявлении о проведении конкурса:

вскрывает конверты, рассматривает документы, указанные в пункте 11 настоящих Правил, и проверяет их на наличие оснований для отклонения заявок, определенных пунктом 14 настоящих Правил и указанных в объявлении о проведении конкурса;

в случае наличия в представленных документах оснований для отклонения возвращает их в течение 5 рабочих дней, следующих за днем вскрытия конвертов, организации с мотивированным отказом в допуске к конкурсу, а в случае отсутствия - направляет документы в комиссию в сроки, указанные в конкурсной документации.

16. Комиссия в порядке и сроки, которые установлены конкурсной документацией, проводит рассмотрение и оценку поданных на конкурс заявок в соответствии с методикой определения рейтинга заявок, представленных российскими организациями для участия в конкурсе на право получения субсидии на финансовое обеспечение затрат на разработку, испытание и внедрение инновационной продукции реабилитационной направленности с участием инвалидов, согласно приложению N 1 по следующим критериям:

а) размер внебюджетных средств (процентов), планируемых к привлечению в рамках реализации комплексного проекта; (в ред. Постановления Правительства РФ от 13.05.2022 N 869)

б) количество инвалидов (человек), привлеченных к тестированию продукции, созданной в рамках реализации комплексного проекта;

в) количество реализованной продукции (скачиваний программного обеспечения для реабилитации и абилитации инвалидов), созданной в ходе реализации комплексного проекта (штук).

17. Комиссия в результате оценки заявок рассчитывает рейтинг в отношении каждой заявки в соответствии с методикой, предусмотренной приложением N 1 к настоящим Правилам, и на его основании присваивает порядковый номер.

Победителями признаются организации, следующие в рейтинге в убывающем порядке до исчерпания лимитов бюджетных обязательств, доведенных в установленном порядке до Министерства промышленности и торговли Российской Федерации как получателя средств федерального бюджета на цели, указанные в пункте 1 настоящих Правил. (в ред. Постановления Правительства РФ от 13.05.2022 N 869)

18. В течение 15 рабочих дней после проведения оценки на едином портале и официальном сайте Министерства промышленности и торговли Российской Федерации в сети "Интернет", а также в государственной информационной системе промышленности размещается (с размещением указателя страницы сайта на едином портале) информация о результатах рассмотрения заявок, включающая следующие сведения: (в ред. Постановлений Правительства РФ от 12.09.2022 N 1597, от 19.05.2023 N 787)

а) дата, время и место проведения рассмотрения заявок;

б) дата, время и место оценки заявок;

в) информация об организациях - участниках конкурса, заявки которых были рассмотрены;

г) информация об организациях - участниках конкурса, заявки которых были отклонены, с указанием причин их отклонения, в том числе положений объявления о проведении конкурса, которым не соответствуют заявки;

д) последовательность оценки заявок, присвоенные заявкам значения по каждому из критериев оценки заявок, указанных в пункте 16 настоящих Правил, а также принятое на основании результатов оценки заявок решение о присвоении заявкам порядковых номеров;

е) наименование организаций - победителей конкурса, с которыми заключается соглашение, и размер предоставляемой субсидии.

18.1. B 2023 году информация об организациях - победителях конкурса, с которыми заключается соглашение, и размер предоставляемой субсидии являются информацией ограниченного доступа. (в ред. Постановления Правительства РФ от 19.05.2023 N 787)

Сведения, указанные в подпункте "е" пункта 18 настоящих Правил, направляются Министерством промышленности и торговли Российской Федерации организации - победителю конкурса с использованием государственной информационной системы промышленности в течение 15 рабочих дней после проведения оценки комиссии. (в ред. Постановления Правительства РФ от 19.05.2023 N 787)

19. При наличии неиспользованных лимитов бюджетных обязательств, образовавшихся по результатам проведения конкурса, Министерство промышленности и торговли Российской Федерации вправе провести дополнительный конкурс в порядке, установленном пунктами 7 - 18 настоящих Правил.

20. В случае если по результатам определения рейтинга заявок у нескольких заявок имеются идентичные характеристики, приоритет отдается организации - участнику конкурса, которая запрашивает меньший размер субсидии. (в ред. Постановления Правительства РФ от 19.05.2023 N 787)

21. Министерство промышленности и торговли Российской Федерации в течение 30 рабочих дней со дня определения рейтинга заявок заключает соглашения с организациями - победителями конкурса, в которых в обязательном порядке предусматриваются: (в ред. Постановления Правительства РФ от 13.05.2022 N 869)

а) размер субсидии, рассчитанный согласно приложению N 2, в соответствии с перечнем расходов, предусмотренных пунктом 6 настоящих Правил, на финансовое обеспечение которых предоставляется субсидия, по годам реализации комплексного проекта;

б) значение результата предоставления субсидии и характеристик, значения которых не менее значений, заявленных организацией для участия в конкурсе; (в ред. Постановления Правительства РФ от 19.05.2023 N 787)

в) срок реализации комплексного проекта, не превышающий срока, заявленного организацией для участия в конкурсе;

г) план-график реализации комплексного проекта, содержащий контрольные точки и плановые значения результата предоставления субсидии и характеристик, по годам реализации комплексного проекта; (в ред. Постановлений Правительства РФ от 13.05.2022 N 869, от 19.05.2023 N 787)

д) согласие организации - победителя конкурса на проведение Министерством промышленности и торговли Российской Федерации проверок соблюдения организацией - победителем конкурса порядка и условий предоставления субсидии, в том числе в части достижения результата предоставления субсидии, а также проверки органами государственного финансового контроля соблюдения организацией - победителем конкурса порядка и условий предоставления субсидии в соответствии со статьями 268.1 и 269.2 Бюджетного кодекса Российской Федерации; (в ред. Постановления Правительства РФ от 13.05.2022 N 869)

е) обязательство организации - победителя конкурса при заключении договоров с юридическими лицами, являющимися поставщиками по договорам, заключенным в целях исполнения обязательств по соглашению, обеспечить их согласие на осуществление в отношении их Министерством промышленности и торговли Российской Федерации проверок соблюдения порядка и условий предоставления субсидии, в том числе в части достижения результата предоставления субсидии, а также проверок органами государственного финансового контроля соблюдения порядка и условий предоставления субсидии в соответствии со статьями 268.1 и 269.2 Бюджетного кодекса Российской Федерации; (в ред. Постановления Правительства РФ от 13.05.2022 N 869)

ж) порядок и сроки возврата субсидии, перечисленной организации - победителю конкурса, при установлении фактов отклонения от значений характеристик, установленных соглашением и относящихся к существенным условиям его выполнения; (в ред. Постановления Правительства РФ от 19.05.2023 N 787)

з) условия расторжения соглашения, в том числе одностороннего его расторжения, Министерством промышленности и торговли Российской Федерации в случаях, предусмотренных пунктом 29 настоящих Правил;

и) формы и сроки представления: (в ред. Постановления Правительства РФ от 13.05.2022 N 869)

отчета о достижении значений результата предоставления субсидии (по форме, установленной типовой формой соглашения, утвержденной Министерством финансов Российской Федерации); (в ред. Постановлений Правительства РФ от 13.05.2022 N 869, от 19.05.2023 N 787)

отчета о реализации плана мероприятий по достижению результата предоставления субсидии (по форме, установленной Министерством финансов Российской Федерации); (в ред. Постановления Правительства РФ от 13.05.2022 N 869)

отчета о расходах, связанных с проведением работ в рамках реализации комплексного проекта; (в ред. Постановления Правительства РФ от 13.05.2022 N 869)

отчета о расходах, источником финансового обеспечения которых является субсидия (по форме, установленной типовой формой соглашения, утвержденной Министерством финансов Российской Федерации); (в ред. Постановления Правительства РФ от 13.05.2022 N 869)

итогового отчета о реализации комплексного проекта, включающего в себя сведения: (в ред. Постановления Правительства РФ от 13.05.2022 N 869)

о соответствии инновационной продукции реабилитационной направленности требованиям, установленным документами, разрабатываемыми и применяемыми в национальной системе стандартизации, принятыми в соответствии с законодательством Российской Федерации о стандартизации; (в ред. Постановления Правительства РФ от 13.05.2022 N 869)

об эффективности применения инновационной продукции реабилитационной направленности для компенсации или устранения стойких ограничений жизнедеятельности инвалида с учетом заявленных функциональных и технических характеристик, а также показаний к его применению; (в ред. Постановления Правительства РФ от 13.05.2022 N 869)

о наличии функциональных и технических преимуществ инновационной продукции реабилитационной направленности по сравнению с аналогами, обеспечивающими компенсацию или устранение аналогичных стойких ограничений жизнедеятельности инвалида, входящими в федеральный перечень реабилитационных мероприятий, технических средств реабилитации и услуг, предоставляемых инвалиду, утвержденный распоряжением Правительства Российской Федерации от 30 декабря 2005 г. N 2347-р; (в ред. Постановления Правительства РФ от 13.05.2022 N 869)

об экономической целесообразности (сравнение заявленной среднерыночной стоимости инновационной продукции реабилитационной направленности с аналогами, обеспечивающими компенсацию или устранение аналогичных стойких ограничений жизнедеятельности инвалида, входящими в федеральный перечень реабилитационных мероприятий, технических средств реабилитации и услуг, предоставляемых инвалиду, утвержденный распоряжением Правительства Российской Федерации от 30 декабря 2005 г. N 2347-р); (в ред. Постановления Правительства РФ от 13.05.2022 N 869)

о востребованности инновационной продукции реабилитационной направленности инвалидами, в том числе о предоставлении инновационной продукции реабилитационной направленности за счет средств бюджетов субъектов Российской Федерации; (в ред. Постановления Правительства РФ от 13.05.2022 N 869)

к) требование о ведении организацией - победителем конкурса раздельного учета доходов и расходов при реализации комплексного проекта; (в ред. Постановления Правительства РФ от 13.05.2022 N 869)

л) запрет приобретения организацией - победителем конкурса иностранной валюты, а также иными юридическими лицами, получающими средства на основании договоров, заключенных с организацией - победителем конкурса, за счет полученных из федерального бюджета средств, за исключением операций, осуществляемых в соответствии с валютным законодательством Российской Федерации при закупке (поставке) высокотехнологичного импортного оборудования, сырья и комплектующих изделий, а также связанных с достижением результата предоставления этих средств иных операций, определенных настоящими Правилами; (в ред. Постановления Правительства РФ от 13.05.2022 N 869)

м) запрет на размещение полученных из федерального бюджета средств на депозитных счетах в кредитных или иных финансовых организациях;

н) запрет на перечисление в качестве взноса в уставный (складочный) капитал другой организации полученных из федерального бюджета средств;

о) порядок пересмотра условий соглашения и согласования новых условий соглашения в случае уменьшения Министерству промышленности и торговли Российской Федерации как получателю средств федерального бюджета ранее доведенных лимитов бюджетных обязательств в соответствии с пунктом 5 настоящих Правил, приводящего к невозможности предоставления субсидии в размере, определенном в соглашении, а также порядок расторжения соглашения в случае недостижения согласия по новым условиям;

п) положения о казначейском сопровождении, установленные правилами казначейского сопровождения в соответствии с бюджетным законодательством Российской Федерации;

р) план мероприятий по получению результата предоставления субсидии, содержащий контрольные события, отражающие факт завершения соответствующего мероприятия по получению результата предоставления субсидии (контрольные точки). (в ред. Постановления Правительства РФ от 30.11.2021 N 2134)

22. Соглашение, дополнительное соглашение к соглашению, в том числе дополнительное соглашение о его расторжении, заключается с соблюдением требований о защите государственной тайны в государственной интегрированной информационной системе управления общественными финансами "Электронный бюджет" и подписывается усиленной квалифицированной электронной подписью лиц, имеющих право действовать от имени каждой из сторон.

23. В случае отказа организации - победителя конкурса заключить соглашение Министерство промышленности и торговли Российской Федерации заключает соглашение с организацией - участником конкурса, занявшей место, следующее за местом, занятым организацией - победителем конкурса, отказавшейся от заключения соглашения.

24. Министерство промышленности и торговли Российской Федерации ведет реестр комплексных проектов, в отношении которых предоставляется субсидия, с указанием объемов и источников финансирования.

25. Организация - победитель конкурса ежегодно, не позднее 30-го рабочего дня года, следующего за годом получения субсидии, и не позднее 30-го рабочего дня после окончания срока реализации комплексного проекта, представляет: (в ред. Постановления Правительства РФ от 13.05.2022 N 869)

а) справку, подписанную руководителем и главным бухгалтером (при наличии) организации - победителя конкурса, подтверждающую, что организация - победитель конкурса не получает средства из федерального бюджета на реализацию комплексного проекта на основании иных нормативных правовых актов Российской Федерации; (в ред. Постановления Правительства РФ от 13.05.2022 N 869)

б) отчет о расходах, источником финансового обеспечения которых является субсидия, - по форме, установленной типовой формой соглашения, утвержденной Министерством финансов Российской Федерации; (в ред. Постановления Правительства РФ от 13.05.2022 N 869)

в) отчет о достижении значений результата предоставления субсидии - по форме, установленной типовой формой соглашения, утвержденной Министерством финансов Российской Федерации. (в ред. Постановления Правительства РФ от 19.05.2023 N 787)

25.1. Организация - победитель конкурса ежеквартально, не позднее 15-го рабочего дня, следующего за отчетным кварталом, нарастающим итогом, представляет: (в ред. Постановления Правительства РФ от 30.11.2021 N 2134)

а) отчет о расходах, источником финансового обеспечения которых является субсидия, - по форме, установленной типовой формой соглашения, утвержденной Министерством финансов Российской Федерации; (в ред. Постановления Правительства РФ от 30.11.2021 N 2134)

б) отчет о достижении значений результата предоставления субсидии - по форме, установленной типовой формой соглашения, утвержденной Министерством финансов Российской Федерации. (в ред. Постановления Правительства РФ от 19.05.2023 N 787)

25.2. Организация - победитель конкурса ежемесячно, не позднее 10-го рабочего дня, следующего за отчетным месяцем, представляет отчет о реализации плана мероприятий по достижению результата предоставления субсидии по форме, установленной Министерством финансов Российской Федерации. (в ред. Постановления Правительства РФ от 13.05.2022 N 869)

25.3. Комиссия рассматривает документы, направленные организацией - победителем конкурса в соответствии с пунктом 25 настоящих Правил, и принимает решение о соответствии документов требованиям, определенным объявлением о проведении конкурса и настоящими Правилами. В течение 30 рабочих дней со дня принятия решения Министерство промышленности и торговли Российской Федерации уведомляет организацию - победителя конкурса о принятом решении. (в ред. Постановлений Правительства РФ от 13.05.2022 N 869, от 12.09.2022 N 1597)

26. По окончании проведения работ, указанных в абзаце третьем пункта 2 настоящих Правил (в случае если реализация комплексного проекта предполагает их осуществление), организация - победитель конкурса: (в ред. Постановления Правительства РФ от 19.05.2023 N 787)

а) представляет сведения о проведении научно-исследовательских и опытно-конструкторских работ в Министерство науки и высшего образования Российской Федерации в порядке, предусмотренном постановлением Правительства Российской Федерации от 12 апреля 2013 г. N 327 "О единой государственной информационной системе учета научно-исследовательских, опытно-конструкторских и технологических работ гражданского назначения"; (в ред. Постановления Правительства РФ от 19.05.2023 N 787)

б) подтверждает получение по итогам прикладных научных исследований и (или) экспериментальных разработок охраняемых результатов интеллектуальной деятельности, предусмотренных Гражданским кодексом Российской Федерации. (в ред. Постановления Правительства РФ от 19.05.2023 N 787)

27. Перечисление субсидии организации - получателю субсидии осуществляется на казначейский счет для осуществления и отражения операций с денежными средствами участников казначейского сопровождения, открытый в территориальном органе Федерального казначейства, не позднее 2-го рабочего дня после представления в территориальный орган Федерального казначейства организацией - получателем субсидии распоряжений о совершении казначейских платежей для оплаты денежного обязательства организации - получателя субсидии. (в ред. Постановления Правительства РФ от 19.05.2023 N 787)

28. Основаниями для отказа в предоставлении субсидии и (или) возвращения для доработки представленных в соответствии с настоящими Правилами документов являются:

а) несоответствие представленных организацией - получателем субсидии документов в соответствии с пунктами 25, 25.1 и 26 настоящих Правил, требованиям, определенным объявлением о проведении отбора и настоящими Правилами, или непредставление (представление не в полном объеме) указанных документов; (в ред. Постановления Правительства РФ от 30.11.2021 N 2134)

б) установление факта недостоверности информации, содержащейся в документах, представленных организацией - получателем субсидии.

29. Основаниями для расторжения соглашения и возврата субсидии являются:

а) несоответствие повторно представленных документов требованиям, установленным пунктами 25, 25.1 и 26 настоящих Правил, а также условиям соглашения; (в ред. Постановления Правительства РФ от 30.11.2021 N 2134)

б) наличие в повторно представленных документах неполной и (или) недостоверной информации;

в) непредставление документов, указанных в пунктах 25 и 26 настоящих Правил, не позднее 30-го рабочего дня года, следующего за годом получения субсидии, и не позднее 30-го рабочего дня после окончания срока реализации комплексного проекта;

г) неисполнение обязательств, предусмотренных соглашением;

д) недостижение согласия по новым условиям соглашения в случае уменьшения Министерству промышленности и торговли Российской Федерации ранее доведенных в соответствии с пунктом 5 настоящих Правил лимитов бюджетных обязательств, приводящего к невозможности предоставления субсидии в размере, определенном в соглашении;

е) неисполнение организацией обязательства, предусмотренного абзацем вторым подпункта "з" пункта 10 настоящих Правил. (в ред. Постановления Правительства РФ от 19.05.2023 N 787)

30. Министерство промышленности и торговли Российской Федерации проводит проверки соблюдения организациями условий и порядка предоставления субсидий, в том числе в части достижения результата предоставления субсидии. Органы государственного финансового контроля проводят проверки соблюдения организациями условий и порядка предоставления субсидий в соответствии со статьями 268.1 и 269.2 Бюджетного кодекса Российской Федерации. (в ред. Постановления Правительства РФ от 13.05.2022 N 869)

30.1. Министерство промышленности и торговли Российской Федерации проводит мониторинг достижения результата предоставления субсидии исходя из достижения значений результатов предоставления субсидии, определенных соглашением, и событий, отражающих факт завершения соответствующего мероприятия по получению результата предоставления субсидии (контрольных точек), в порядке и по формам, которые установлены Министерством финансов Российской Федерации. (в ред. Постановлений Правительства РФ от 30.11.2021 N 2134, от 19.05.2023 N 787)

31. В случае нарушения организацией - получателем субсидии условий, установленных при предоставлении субсидии, выявленного в том числе по фактам проверок, проведенных Министерством промышленности и торговли Российской Федерации и органами государственного финансового контроля, а также в случае недостижения значений результата предоставления субсидии и характеристик, соответствующие средства подлежат возврату в доход федерального бюджета: (в ред. Постановлений Правительства РФ от 12.09.2022 N 1597, от 19.05.2023 N 787)

а) на основании требования Министерства промышленности и торговли Российской Федерации - не позднее 10-го рабочего дня со дня получения организацией - получателем субсидии указанного требования;

б) на основании представления и (или) предписания органа государственного финансового контроля - в сроки, установленные в соответствии с бюджетным законодательством Российской Федерации.

Приложение N 1
к Правилам предоставления субсидий
российским организациям на финансовое
обеспечение затрат на разработку,
испытание и внедрение инновационной
продукции реабилитационной
направленности с участием инвалидов

МЕТОДИКА ОПРЕДЕЛЕНИЯ РЕЙТИНГА ЗАЯВОК, ПРЕДСТАВЛЕННЫХ РОССИЙСКИМИ ОРГАНИЗАЦИЯМИ ДЛЯ УЧАСТИЯ В КОНКУРСЕ НА ПРАВО ПОЛУЧЕНИЯ СУБСИДИИ НА ФИНАНСОВОЕ ОБЕСПЕЧЕНИЕ ЗАТРАТ НА РАЗРАБОТКУ, ИСПЫТАНИЕ И ВНЕДРЕНИЕ ИННОВАЦИОННОЙ ПРОДУКЦИИ РЕАБИЛИТАЦИОННОЙ НАПРАВЛЕННОСТИ С УЧАСТИЕМ ИНВАЛИДОВ

(в ред. Постановления Правительства РФ от 13.05.2022 N 869)

1. Настоящая методика определяет рейтинг заявок, представленных российскими организациями (далее - организации) для участия в конкурсе на право получения субсидий на финансовое обеспечение затрат на разработку, испытание и внедрение инновационной продукции реабилитационной направленности с участием инвалидов в соответствиями с Правилами предоставления субсидий российским организациям на финансовое обеспечение затрат на разработку, испытание и внедрение инновационной продукции реабилитационной направленности с участием инвалидов, утвержденными постановлением Правительства Российской Федерации от 23 июня 2021 г. N 978 "Об утверждении Правил предоставления субсидий российским организациям на финансовое обеспечение затрат на разработку, испытание и внедрение инновационной продукции реабилитационной направленности с участием инвалидов" (далее соответственно - конкурс, заявка, субсидии, продукция).

2. Рейтинг заявки () определяется по формуле:

,

где:

- рейтинг, присуждаемый i-й заявке по критерию, касающемуся размера внебюджетных средств, планируемых к привлечению в рамках реализации комплексного проекта; (в ред. Постановления Правительства РФ от 13.05.2022 N 869)

- удельный вес рейтинга, присуждаемого i-й заявке по критерию, касающемуся размера внебюджетных средств, планируемых к привлечению в рамках реализации комплексного проекта, значимость которого составляет 25 процентов; (в ред. Постановления Правительства РФ от 13.05.2022 N 869)

- рейтинг, присуждаемый i-й заявке по критерию, касающемуся количества инвалидов, привлеченных к тестированию продукции, созданной в рамках реализации комплексного проекта (человек);

- удельный вес рейтинга, присуждаемого i-й заявке по критерию, касающемуся количества инвалидов, привлеченных к тестированию продукции, созданной в рамках реализации комплексного проекта, значимость которого составляет 30 процентов;

- рейтинг, присуждаемый i-й заявке по критерию, касающемуся количества реализованной продукции (скачиваний программного обеспечения для реабилитации и абилитации инвалидов) (штук), созданной в ходе реализации комплексного проекта;

- удельный вес рейтинга, касающегося количества реализованной продукции (скачиваний программного обеспечения для реабилитации и абилитации инвалидов), созданной в ходе реализации комплексного проекта, значимость которого составляет 45 процентов.

3. Рейтинг, присуждаемый i-й заявке по критерию, касающемуся размера внебюджетных средств, планируемых к привлечению в рамках реализации комплексного проекта (), определяется по формуле: (в ред. Постановления Правительства РФ от 13.05.2022 N 869)

,

где:

- предложение i-й организации - участника конкурса о размере внебюджетных средств (процентов), планируемых к привлечению в рамках реализации комплексного проекта; (в ред. Постановления Правительства РФ от 13.05.2022 N 869)

- максимальный размер внебюджетных средств (процентов), планируемых к привлечению в рамках реализации комплексного проекта, заявленный одним из участников конкурса. (в ред. Постановления Правительства РФ от 13.05.2022 N 869)

4. Рейтинг, присуждаемый i-й заявке по критерию, касающемуся количества инвалидов, привлеченных к тестированию продукции, созданной в рамках реализации комплексного проекта (), определяется по формуле: (в ред. Постановления Правительства РФ от 13.05.2022 N 869)

, (в ред. Постановления Правительства РФ от 13.05.2022 N 869)

где: (в ред. Постановления Правительства РФ от 13.05.2022 N 869)

- расчетный показатель i-й организации - участника конкурса о количестве инвалидов, привлеченных к тестированию продукции, созданной в рамках реализации комплексного проекта; (в ред. Постановления Правительства РФ от 13.05.2022 N 869)

- максимальное значение расчетного показателя о количестве инвалидов, привлеченных к тестированию продукции, созданной в рамках реализации комплексного проекта, заявленное одним из участников конкурса. (в ред. Постановления Правительства РФ от 13.05.2022 N 869)

4.1. Расчетный показатель i-й организации - участника конкурса о количестве инвалидов, привлеченных к тестированию продукции, созданной в рамках реализации комплексного проекта, определяется по формуле: (в ред. Постановления Правительства РФ от 13.05.2022 N 869)

, (в ред. Постановления Правительства РФ от 13.05.2022 N 869)

где: (в ред. Постановления Правительства РФ от 13.05.2022 N 869)

- предложение i-й организации - участника конкурса о количестве инвалидов, привлеченных к тестированию продукции, созданной в рамках реализации комплексного проекта; (в ред. Постановления Правительства РФ от 13.05.2022 N 869)

- поправочный коэффициент для i-й организации - участника конкурса принимает следующие значения: (в ред. Постановления Правительства РФ от 13.05.2022 N 869)

"1" - в случае если комплексным проектом предполагается тестирование программного обеспечения для реабилитации и абилитации инвалидов; (в ред. Постановления Правительства РФ от 13.05.2022 N 869)

"5" - в случае если комплексным проектом предполагается тестирование продукции реабилитационной направленности, за исключением протезов и ортезов; (в ред. Постановления Правительства РФ от 13.05.2022 N 869)

"25" - в случае если комплексным проектом предполагается тестирование протезов и ортезов. (в ред. Постановления Правительства РФ от 13.05.2022 N 869)

5. Рейтинг, присуждаемый i-й заявке по критерию, касающемуся количества реализованной продукции (скачиваний программного обеспечения для реабилитации и абилитации инвалидов) (штук), созданной в ходе реализации комплексного проекта (), определяется по формуле: (в ред. Постановления Правительства РФ от 13.05.2022 N 869)

, (в ред. Постановления Правительства РФ от 13.05.2022 N 869)

где: (в ред. Постановления Правительства РФ от 13.05.2022 N 869)

- расчетный показатель i-й организации - участника конкурса о количестве реализованной продукции (скачиваний программного обеспечения для реабилитации и абилитации инвалидов) (штук), созданной в ходе реализации комплексного проекта; (в ред. Постановления Правительства РФ от 13.05.2022 N 869)

- наибольшее значение расчетного показателя о количестве реализованной продукции (скачиваний программного обеспечения для реабилитации и абилитации инвалидов) (штук), созданной в ходе реализации комплексного проекта, заявленное одним из участников конкурса. (в ред. Постановления Правительства РФ от 13.05.2022 N 869)

6. Расчетный показатель i-й организации - участника конкурса о количестве реализованной продукции (скачиваний программного обеспечения для реабилитации и абилитации инвалидов) (штук), созданной в ходе реализации комплексного проекта, определяется по формуле: (в ред. Постановления Правительства РФ от 13.05.2022 N 869)

, (в ред. Постановления Правительства РФ от 13.05.2022 N 869)

где: (в ред. Постановления Правительства РФ от 13.05.2022 N 869)

- предложение i-й организации - участника конкурса о количестве реализованной продукции (скачиваний программного обеспечения для реабилитации и абилитации инвалидов) (штук), созданной в ходе реализации комплексного проекта; (в ред. Постановления Правительства РФ от 13.05.2022 N 869)

- поправочный коэффициент для i-й организации - участника конкурса принимает следующие значения: (в ред. Постановления Правительства РФ от 13.05.2022 N 869)

"1" - в случае если комплексным проектом предполагается реализация программного обеспечения для реабилитации и абилитации инвалидов; (в ред. Постановления Правительства РФ от 13.05.2022 N 869)

"5" - в случае если комплексным проектом предполагается реализация продукции реабилитационной направленности, за исключением протезов и ортезов; (в ред. Постановления Правительства РФ от 13.05.2022 N 869)

"25" - в случае если комплексным проектом предполагается реализация протезов и ортезов. (в ред. Постановления Правительства РФ от 13.05.2022 N 869)

Приложение N 2
к Правилам предоставления субсидий
российским организациям на финансовое
обеспечение затрат на разработку,
испытание и внедрение инновационной
продукции реабилитационной
направленности с участием инвалидов

РАСЧЕТ РАЗМЕРА СУБСИДИИ, ПРЕДОСТАВЛЯЕМОЙ РОССИЙСКИМ ОРГАНИЗАЦИЯМ НА ФИНАНСОВОЕ ОБЕСПЕЧЕНИЕ ЗАТРАТ НА РАЗРАБОТКУ, ИСПЫТАНИЕ И ВНЕДРЕНИЕ ИННОВАЦИОННОЙ ПРОДУКЦИИ РЕАБИЛИТАЦИОННОЙ НАПРАВЛЕННОСТИ С УЧАСТИЕМ ИНВАЛИДОВ

(в ред. Постановления Правительства РФ от 13.05.2022 N 869)

Размер субсидии, предоставляемой российским организациям на финансовое обеспечение затрат на разработку, испытание и внедрение инновационной продукции реабилитационной направленности с участием инвалидов (S), рассчитывается по формуле:

,

где:

- расходы на оплату труда работников, непосредственно участвующих в реализации комплексного проекта, за период выполнения ими работ в рамках комплексного проекта (в размере, не превышающем размера средней заработной платы по соответствующему виду экономической деятельности, установленному Федеральной службой государственной статистики за предыдущий год по соответствующему субъекту Российской Федерации), а также расходы на обязательное пенсионное страхование, обязательное социальное страхование на случай временной нетрудоспособности и в связи с материнством, обязательное медицинское страхование, обязательное социальное страхование от несчастных случаев на производстве и профессиональных заболеваний;

- затраты на производство (разработку, в случае если реализация комплексного проекта предполагает ее осуществление) партии продукции (программного обеспечения для реабилитации и абилитации инвалидов), необходимой для реализации комплексного проекта;

- затраты на оплату изготовления и (или) аренды необходимой оснастки, средств тестирования, измерения и контроля, а также расходного инструмента для реализации комплексного проекта;

- затраты на оплату стоимости работ и услуг, непосредственно связанных с реализацией комплексного проекта, по договорам с реабилитационными центрами и инвалидами, их родственниками и законными представителями и юридическими лицами, привлекающими инвалидов; (в ред. Постановления Правительства РФ от 13.05.2022 N 869)

- расходы, осуществляемые в рамках договоров аренды технологического оборудования и технологической оснастки, необходимых для реализации комплексного проекта;

- расходы, осуществляемые в рамках договоров страхования жизни и здоровья лиц, участвующих в испытаниях и опытной эксплуатации продукции, созданной в рамках комплексного проекта, в случае отсутствия условия об указанном страховании в договорах, указанных в подпункте "г" пункта 6 Правил предоставления субсидий российским организациям на финансовое обеспечение затрат на разработку, испытание и внедрение инновационной продукции реабилитационной направленности с участием инвалидов, утвержденных постановлением Правительства Российской Федерации от 23 июня 2021 г. N 978 "Об утверждении Правил предоставления субсидий российским организациям на финансовое обеспечение затрат на разработку, испытание и внедрение инновационной продукции реабилитационной направленности с участием инвалидов".

Приложение N 3
к Правилам предоставления субсидий
российским организациям на финансовое
обеспечение затрат на разработку,
испытание и внедрение инновационной
продукции реабилитационной
направленности с участием инвалидов

РАСЧЕТ РАЗМЕРА СРЕДСТВ, ПОДЛЕЖАЩИХ ВОЗВРАТУ В ФЕДЕРАЛЬНЫЙ БЮДЖЕТ РОССИЙСКИМИ ОРГАНИЗАЦИЯМИ, ПОЛУЧИВШИМИ СУБСИДИИ НА ФИНАНСОВОЕ ОБЕСПЕЧЕНИЕ ЗАТРАТ НА РАЗРАБОТКУ, ИСПЫТАНИЕ И ВНЕДРЕНИЕ ИННОВАЦИОННОЙ ПРОДУКЦИИ РЕАБИЛИТАЦИОННОЙ НАПРАВЛЕННОСТИ С УЧАСТИЕМ ИНВАЛИДОВ

(в ред. Постановлений Правительства РФ от 13.05.2022 N 869, от 19.05.2023 N 787)

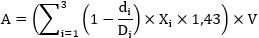
1. Размер средств, подлежащих возврату в федеральный бюджет российскими организациями, получившими субсидии на финансовое обеспечение затрат на разработку, испытание и внедрение инновационной продукции реабилитационной направленности с участием инвалидов (далее - субсидии) (A), рассчитывается по формуле:

,

где:

- достигнутое значение i-й характеристики (показателя, необходимого для достижения результатов предоставления субсидии) (далее - характеристика) в соглашении о предоставлении субсидии, на дату окончания срока реализации комплексного проекта; (в ред. Постановления Правительства РФ от 19.05.2023 N 787)

- плановое значение i-й характеристики, указанной, указанной в соглашении о предоставлении субсидии; (в ред. Постановления Правительства РФ от 19.05.2023 N 787)

- рейтинг заявки, определенный в соответствии с приложением N 1 к Правилам предоставления субсидий российским организациям на финансовое обеспечение затрат на разработку, испытание и внедрение инновационной продукции реабилитационной направленности с участием инвалидов, утвержденным постановлением Правительства Российской Федерации от 23 июня 2021 г. N 978 "Об утверждении Правил предоставления субсидий российским организациям на финансовое обеспечение затрат на разработку, испытание и внедрение инновационной продукции реабилитационной направленности с участием инвалидов";

V - размер средств федерального бюджета, использованных организацией - получателем субсидии в рамках реализации комплексного проекта на день окончания срока реализации комплексного проекта.

2. Размер средств, подлежащих возврату в федеральный бюджет российскими организациями, получившими субсидии на финансовое обеспечение затрат на разработку, испытание и внедрение инновационной продукции реабилитационной направленности с участием инвалидов, пропорционален степени недостижения значений результата предоставления субсидии и характеристик, указанных в соглашении. (в ред. Постановлений Правительства РФ от 13.05.2022 N 869, от 19.05.2023 N 787)