Указание ЦБ РФ от 12.02.2019 N 5072-У

"Об особенностях применения надбавок к коэффициентам риска по отдельным видам активов кредитными организациями, принявшими на себя обязанность по применению банковских методик управления рисками и моделей количественной оценки рисков в целях расчета обязательных нормативов"
Редакция от 17.04.2023 — Не действует Перейти в действующую
Показать изменения

Зарегистрировано в Минюсте России 13 марта 2019 г. N 54026


ЦЕНТРАЛЬНЫЙ БАНК РОССИЙСКОЙ ФЕДЕРАЦИИ

УКАЗАНИЕ
от 12 февраля 2019 г. N 5072-У

ОБ ОСОБЕННОСТЯХ ПРИМЕНЕНИЯ НАДБАВОК К КОЭФФИЦИЕНТАМ РИСКА ПО ОТДЕЛЬНЫМ ВИДАМ АКТИВОВ КРЕДИТНЫМИ ОРГАНИЗАЦИЯМИ, ПРИНЯВШИМИ НА СЕБЯ ОБЯЗАННОСТЬ ПО ПРИМЕНЕНИЮ БАНКОВСКИХ МЕТОДИК УПРАВЛЕНИЯ РИСКАМИ И МОДЕЛЕЙ КОЛИЧЕСТВЕННОЙ ОЦЕНКИ РИСКОВ В ЦЕЛЯХ РАСЧЕТА ОБЯЗАТЕЛЬНЫХ НОРМАТИВОВ

(в ред. Указаний ЦБ РФ от 30.07.2019 N 5218-У, от 27.02.2020 N 5404-У, от 20.04.2021 N 5783-У, от 24.12.2021 N 6040-У, от 17.04.2023 N 6412-У)

1. Настоящее Указание на основании статей 45.2, 62, 72 и 72.1 Федерального закона от 10 июля 2002 года N 86-ФЗ "О Центральном банке Российской Федерации (Банке России)" (Собрание законодательства Российской Федерации, 2002, N 28, ст. 2790; 2003, N 2, ст. 157; N 52, ст. 5032; 2004, N 27, ст. 2711; N 31, ст. 3233; 2005, N 25, ст. 2426; N 30, ст. 3101; 2006, N 19, ст. 2061; N 25, ст. 2648; 2007, N 1, ст. 9, ст. 10; N 10, ст. 1151; N 18, ст. 2117; 2008, N 42, ст. 4696, ст. 4699; N 44, ст. 4982; N 52, ст. 6229, ст. 6231; 2009, N 1, ст. 25; N 29, ст. 3629; N 48, ст. 5731; 2010, N 45, ст. 5756; 2011, N 7, ст. 907; N 27, ст. 3873; N 43, ст. 5973; N 48, ст. 6728; 2012, N 50, ст. 6954; N 53, ст. 7591, ст. 7607; 2013, N 11, ст. 1076; N 14, ст. 1649; N 19, ст. 2329; N 27, ст. 3438, ст. 3476, ст. 3477; N 30, ст. 4084; N 49, ст. 6336; N 51, ст. 6695, ст. 6699; N 52, ст. 6975; 2014, N 19, ст. 2311, ст. 2317; N 27, ст. 3634; N 30, ст. 4219; N 40, ст. 5318; N 45, ст. 6154; N 52, ст. 7543; 2015, N 1, ст. 4, ст. 37; N 27, ст. 3958, ст. 4001; N 29, ст. 4348, ст. 4357; N 41, ст. 5639; N 48, ст. 6699; 2016, N 1, ст. 23, ст. 46, ст. 50; N 26, ст. 3891; N 27, ст. 4225, ст. 4273, ст. 4295; 2017, N 1, ст. 46; N 14, ст. 1997; N 18, ст. 2661, ст. 2669; N 27, ст. 3950; N 30, ст. 4456; N 31, ст. 4830; N 50, ст. 7562; 2018, N 1, ст. 66; N 9, ст. 1286; N 11, ст. 1584, ст. 1588; N 18, ст. 2557; N 24, ст. 3400; N 27, ст. 3950; N 31, ст. 4852; N 32, ст. 5115; N 49, ст. 7524; N 53, ст. 8411, ст. 8440) (далее - Федеральный закон N 86-ФЗ) и в соответствии с решением Совета директоров Банка России (протокол заседания Совета директоров Банка России от 8 февраля 2019 года N 3) устанавливает особенности применения надбавок к коэффициентам риска по отдельным видам активов для кредитных организаций, принявших на себя обязанность по применению банковских методик управления рисками и моделей количественной оценки рисков в целях расчета обязательных нормативов.

2. Кредитные организации, принявшие на себя обязанность по применению банковских методик управления рисками и моделей количественной оценки рисков в целях расчета обязательных нормативов (далее - кредитные организации), должны рассчитывать итоговый результат применения надбавок к коэффициентам риска для активов, указанных в пункте 1.1 Указания Банка России от 17 апреля 2023 года N 6411-У "О видах активов, характеристиках видов активов, к которым устанавливаются надбавки к коэффициентам риска, и о применении к указанным видам активов надбавок при определении кредитными организациями нормативов достаточности капитала", зарегистрированного Министерством юстиции Российской Федерации 23 мая 2023 года, регистрационный N 73398 (далее - Указание Банка России N 6411-У), в отношении которых одновременно соблюдены следующие требования: (в ред. Указаний ЦБ РФ от 20.04.2021 N 5783-У, от 17.04.2023 N 6412-У)

величина кредитного риска для указанных в настоящем пункте активов рассчитывается с использованием подхода на основе внутренних рейтингов (далее - ПВР) в соответствии с Положением Банка России от 6 августа 2015 года N 483-П "О порядке расчета величины кредитного риска на основе внутренних рейтингов", зарегистрированным Министерством юстиции Российской Федерации 25 сентября 2015 года N 38996, 22 декабря 2015 года N 40193 (далее - Положение Банка России N 483-П);

Банком России в соответствии со статьей 45.2 Федерального закона N 86-ФЗ на основании решения Совета директоров Банка России в отношении указанных в настоящем пункте активов установлены надбавки к коэффициентам риска.

3. Кредитная организация не рассчитывает итоговый результат применения надбавок к коэффициентам риска для следующих видов активов, соответствующих требованиям, установленным в пункте 2 настоящего Указания:

кредитные требования, относимые к классу долей участия в капитале в соответствии с пунктом 2.9 Положения Банка России N 483-П (при расчете нормативов достаточности капитала банка в соответствии с пунктами 2.1 и 2.3 либо пунктами 3.1 и 3.3 Инструкции Банка России от 29 ноября 2019 года N 199-И "Об обязательных нормативах и надбавках к нормативам достаточности капитала банков с универсальной лицензией", зарегистрированной Министерством юстиции Российской Федерации 27 декабря 2019 года N 57008 (далее - Инструкция Банка России N 199-И); (в ред. Указания ЦБ РФ от 27.02.2020 N 5404-У)

кредитные требования, по которым величина риска рассчитывается в соответствии с пунктом 2.6 Инструкции Банка России N 199-И (при расчете нормативов достаточности капитала банка в соответствии с пунктами 2.1 и 2.3 либо пунктами 3.1 и 3.3 Инструкции Банка России N 199-И); (в ред. Указания ЦБ РФ от 27.02.2020 N 5404-У)

кредитные требования, относимые к I - III группам активов в соответствии с подпунктами 2.3.1 и 2.3.3 пункта 2.3 Инструкции Банка России N 199-И (при расчете нормативов достаточности капитала банка в соответствии с пунктами 2.1 и 2.3 Инструкции Банка России N 199-И); (в ред. Указания ЦБ РФ от 27.02.2020 N 5404-У)

кредитные требования, указанные в абзацах шестом - девятом и двенадцатом подпункта 3.1.1 пункта 3.1 Инструкции Банка России N 199-И (при расчете нормативов достаточности капитала банка в соответствии с пунктами 3.1 и 3.3 Инструкции Банка России N 199-И); (в ред. Указания ЦБ РФ от 27.02.2020 N 5404-У)

кредитные требования, которые в соответствии с Инструкцией Банка России N 199-И включаются в коды 8945.1, 8945.2, 8945.0 (при расчете нормативов достаточности капитала банка в соответствии с пунктами 3.1 и 3.3 Инструкции Банка России N 199-И)."; (в ред. Указания ЦБ РФ от 27.02.2020 N 5404-У)

кредитные требования, по которым величина надбавки к коэффициентам риска применяется в соответствии с Указанием Банка России от 24 декабря 2021 года N 6037-У "О видах кредитов (займов), в отношении которых могут быть установлены макропруденциальные лимиты, о характеристиках указанных кредитов (займов), о порядке установления и применения макропруденциальных лимитов в отношении указанных кредитов (займов), о факторах риска увеличения долговой нагрузки заемщиков - физических лиц, а также о порядке применения мер, предусмотренных частью пятой статьи 45.6 Федерального закона от 10 июля 2002 года N 86-ФЗ "О Центральном банке Российской Федерации (Банке России)", зарегистрированным Министерством юстиции Российской Федерации 26 января 2022 года N 67013. (в ред. Указания ЦБ РФ от 24.12.2021 N 6040-У)

4. При определении величины кредитного риска на основе ПВР кредитная организация должна рассчитывать итоговый результат применения надбавок к коэффициентам риска для отдельных видов активов по сегментам (классам) кредитных требований (далее - сегмент) с использованием кода сегмента в соответствии с Кодами сегментов кредитных требований, в отношении которых кредитными организациями применяются надбавки к коэффициентам риска, установленными в приложении к настоящему Указанию (далее - Коды сегментов).

5. Кредитная организация должна для каждого кода сегмента, предусмотренного строками 1 - 5 Кодов сегментов, использовать один из подходов по учету надбавок к коэффициентам риска, предусмотренных подпунктами 7.1 и 7.2 пункта 7 настоящего Указания, а для кода сегмента, предусмотренного строкой 6 Кодов сегментов, выбрать один из подходов по учету надбавок к коэффициентам риска, предусмотренных подпунктами 7.1 - 7.3 пункта 7 настоящего Указания.

Кредитная организация вправе использовать подход, предусмотренный подпунктом 7.3 пункта 7 настоящего Указания, в случае, если указанная кредитная организация применяет показатель соотношения величины основного долга к справедливой стоимости предмета залога в модели количественной оценки рисков в части расчета величины кредитного риска с использованием ПВР в качестве одного из факторов, влияющих на расчет величины кредитного риска, после получения разрешения Банка России, предусмотренного пунктом 1 Указания Банка России от 6 августа 2015 года N 3752-У "О порядке получения разрешений на применение банковских методик управления кредитными рисками и моделей количественной оценки кредитных рисков в целях расчета нормативов достаточности капитала банка, а также порядке оценки их качества", зарегистрированного Министерством юстиции Российской Федерации 25 августа 2015 года N 38679 (далее - Указание Банка России N 3752-У).

6. Кредитная организация вправе изменить подход по учету надбавок к коэффициентам риска по каждому из кодов сегментов, предусмотренных Кодами сегментов, не более одного раза в год.

Для изменения подхода по учету надбавок к коэффициентам риска на один из подходов, предусмотренных подпунктами 7.1 и 7.2 пункта 7 настоящего Указания, кредитная организация должна представить информацию о принятии единоличным исполнительным органом кредитной организации решения об изменении в Банк России в письменном виде в течение семи рабочих дней с даты принятия такого решения.

Для изменения подхода по учету надбавок к коэффициентам риска на подход, предусмотренный подпунктом 7.3 пункта 7 настоящего Указания, кредитная организация обязана в соответствии с пунктом 14 Указания Банка России N 3752-У получить разрешение Банка России на применение указанного подхода.

7. При определении величины кредитного риска на основе ПВР кредитная организация рассчитывает итоговый результат применения надбавок к коэффициентам риска для активов, соответствующих требованиям пункта 2 настоящего Указания, на основании одного из следующих подходов.

7.1. Для кода сегмента, предусмотренного Кодами сегментов, кредитная организация должна определять суммарную величину кредитного риска, рассчитанную на основе ПВР, по всем кредитным требованиям, отнесенным к указанному коду сегмента, с учетом применения надбавок к коэффициентам риска, установленных Банком России в соответствии со статьей 45.2 Федерального закона N 86-ФЗ на основании решения Совета директоров Банка России (), и суммарную величину кредитного риска, рассчитанную в соответствии с пунктами 2.1 и 2.3 либо в соответствии с пунктами 3.1 и 3.3 Инструкции Банка России N 199-И, по всем кредитным требованиям, отнесенным к указанному коду сегмента, с учетом применения надбавок к коэффициентам риска, установленных Банком России в соответствии со статьей 45.2 Федерального закона N 86-ФЗ на основании решения Совета директоров Банка России (), по формулам: (в ред. Указания ЦБ РФ от 27.02.2020 N 5404-У)

;

,

где:

- величина кредитного риска по k-му кредитному требованию, участвующему в расчете норматива достаточности капитала H1.i, рассчитанная в соответствии с разделом II Положения Банка России N 483-П, в том числе с учетом надбавки, определенной в соответствии с пунктом 1.20 Положения Банка России N 483-П;

- величина надбавки к коэффициенту риска по k-му кредитному требованию, участвующему в расчете норматива достаточности капитала H1.i, установленная Банком России в соответствии со статьей 45.2 Федерального закона N 86-ФЗ на основании решения Совета директоров Банка России;

- величина k-го кредитного требования, участвующего в расчете норматива достаточности капитала H1.i, рассчитанная в соответствии с пунктами 2.1 и 2.3 либо в соответствии с пунктами 3.1 и 3.3 Инструкции Банка России N 199-И (за исключением кредитных требований, указанных в абзацах четвертом и пятом пункта 3 настоящего Указания); (в ред. Указания ЦБ РФ от 27.02.2020 N 5404-У)

- величина сформированных резервов на возможные потери или резервов на возможные потери по ссудам, ссудной и приравненной к ней задолженности по k-му кредитному требованию;

- коэффициент риска по k-му кредитному требованию, участвующему в расчете норматива достаточности капитала H1.i, определяемый в соответствии с пунктами2.1 и 2.3 либо в соответствии с пунктами 3.1 и 3.3 Инструкции Банка России N 199-И (за исключением кредитных требований, указанных в абзацах четвертом и пятом пункта 3 настоящего Указания). (в ред. Указания ЦБ РФ от 27.02.2020 N 5404-У)

В случае если для кредитного требования, отнесенного к коду сегмента, предусмотренного Кодами сегментов, коэффициент риска превышает 100 процентов, надбавка к коэффициенту риска по данному кредитному требованию заменяется на показатель который принимает одно из следующих значений:

, если надбавка к коэффициенту риска по k-му кредитному требованию превышает показатель ;

, если надбавка к коэффициенту риска по k-му кредитному требованию меньше показателя или равна ему.

В случае, когда для k-го кредитного требования, отнесенного к коду сегмента, предусмотренного Кодами сегментов, данное кредитное требование не включается в расчет величин и .

Кредитная организация должна рассчитывать итоговый результат применения надбавок к коэффициентам риска при определении величины кредитного риска для кода сегмента, предусмотренного Кодами сегментов (Ni), по формуле:

,

где:

- суммарная величина кредитного риска, рассчитанная на основе ПВР, по всем кредитным требованиям, отнесенным к коду сегмента, предусмотренного Кодами сегментов, в отношении которого применяется подход, предусмотренный настоящим подпунктом, за исключением кредитных требований, не включаемых в расчет величин и в соответствии с абзацем тринадцатым настоящего подпункта, рассчитанная по формуле:

,

7.2. Для кода сегмента, предусмотренного Кодами сегментов, кредитная организация определяет суммарную величину кредитного риска, рассчитанную в соответствии с пунктами 2.1 и 2.3 либо в соответствии с пунктами 3.1 и 3.3 Инструкции Банка России N 199-И, по всем кредитным требованиям, отнесенным к указанному коду сегмента, с учетом применения надбавок к коэффициентам риска, установленных Банком России в соответствии со статьей 45.2 Федерального закона N 86-ФЗ на основании решения Совета директоров Банка России (), по формуле: (в ред. Указания ЦБ РФ от 27.02.2020 N 5404-У)

,

В случае если для кредитного требования, отнесенного к коду сегмента, предусмотренного Кодами сегментов, коэффициент риска превышает 100 процентов, надбавка к коэффициенту риска по данному кредитному требованию заменяется на показатель , который принимает одно из следующих значений:

, если надбавка к коэффициенту риска по k-му кредитному требованию превышает показатель ;

, если надбавка к коэффициенту риска по k-му кредитному требованию меньше показателя или равна ему.

Итоговый результат применения надбавок к коэффициентам риска при определении величины кредитного риска для кода сегмента, предусмотренного Кодами сегментов (Ni), рассчитывается по формуле:

.

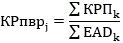
7.3. Для кода сегмента, предусмотренного строкой 6 Кодов сегментов, кредитная организация определяет средневзвешенный коэффициент риска, рассчитанный в соответствии с пунктами 2.1 и 2.3 либо в соответствии с пунктами 3.1 и 3.3 Инструкции Банка России N 199-И, по всем кредитным требованиям, отнесенным к указанному коду сегмента, с учетом применения надбавок к коэффициентам риска, установленных решением Совета директоров Банка России (), и средневзвешенный коэффициент риска, рассчитанный на основе ПВР, по кредитным требованиям и требованиям по получению начисленных (накопленных) процентов по ипотечным кредитам (займам), предоставленным физическим лицам в рублях, исполнение обязательств заемщика по которым обеспечено залогом жилого и (или) нежилого помещения, или по кредитам (займам), предоставленным физическим лицам в рублях на финансирование по договору участия в долевом строительстве (за исключением требований, предусмотренных строкой 6 Кодов сегментов, в отношении которых Банком России в соответствии со статьей 45.2 Федерального закона N 86-ФЗ на основании решения Совета директоров Банка России установлены надбавки к коэффициентам риска) ( ), по формулам: (в ред. Указаний ЦБ РФ от 27.02.2020 N 5404-У, от 20.04.2021 N 5783-У)

;

,

где:

- рассчитанная в соответствии с пунктами 2.1 и 2.3 либо в соответствии с пунктами 3.1 и 3.3 Инструкции Банка России N 199-И, величина k-го кредитного требования (за исключением кредитных требований, указанных в абзацах четвертом и пятом пункта 3 настоящего Указания), отнесенного к требованиям, предусмотренным строкой 6 Кодов сегментов; (в ред. Указания ЦБ РФ от 27.02.2020 N 5404-У)

- величина сформированных резервов на возможные потери или резервов на возможные потери по ссудам, ссудной и приравненной к ней задолженности по k-му кредитному требованию;

- величина кредитного риска по k-му кредитному требованию, относящемуся к кредитным требованиям и требованиям по получению начисленных (накопленных) процентов по ипотечным кредитам (займам), предоставленным физическим лицам в рублях, исполнение обязательств заемщика по которым обеспечено залогом жилого и (или) нежилого помещения, или по кредитам (займам), предоставленным физическим лицам в рублях на финансирование по договору участия в долевом строительстве (за исключением требований, предусмотренных строкой 6 Кодов сегментов, в отношении которых Банком России в соответствии со статьей 45.2 Федерального закона N 86-ФЗ на основании решения Совета директоров Банка России установлены надбавки к коэффициентам риска), рассчитанная в соответствии с разделом II Положения Банка России N 483-П, в том числе с учетом надбавки, определенной пунктом 1.20 Положения Банка России N 483-П; (в ред. Указания ЦБ РФ от 20.04.2021 N 5783-У)

- рассчитанная в соответствии с главой 9 Положения Банка России N 483-П величина кредитных требований, отнесенных к кредитным требованиям и требованиям по получению начисленных (накопленных) процентов по ипотечным кредитам (займам), предоставленным физическим лицам в рублях, исполнение обязательств заемщика по которым обеспечено залогом жилого и (или) нежилого помещения, или по кредитам (займам), предоставленным физическим лицам в рублях на финансирование по договору участия в долевом строительстве (за исключением требований, предусмотренных строкой 6 Кодов сегментов, в отношении которых Банком России в соответствии со статьей 45.2 Федерального закона N 86-ФЗ на основании решения Совета директоров Банка России установлены надбавки к коэффициентам риска), и подверженных риску дефолта. (в ред. Указания ЦБ РФ от 20.04.2021 N 5783-У)

Кредитная организация рассчитывает итоговый результат применения надбавок к коэффициентам риска при определении величины кредитного риска для кода сегмента, предусмотренного строкой 6 Кодов сегментов, по формуле:

,

где:

- средневзвешенный коэффициент риска, рассчитанный на основе ПВР, для кредитных требований, отнесенных к сегменту, предусмотренному строкой 6 Кодов сегментов, и определяемый в соответствии с абзацем третьим настоящего подпункта;

- рассчитанная в соответствии с главой 9 Положения Банка России N 483-П величина кредитных требований, отнесенных к сегменту, предусмотренному строкой 6 Кодов сегментов, в отношении которых Банком России в соответствии со статьей 45.2 Федерального закона N 86-ФЗ на основании решения Совета директоров Банка России установлены надбавки к коэффициентам риска, и подверженных риску дефолта.

8. Для учета надбавок к коэффициентам риска при расчете каждого из нормативов достаточности капитала H1.i (за исключением норматива финансового рычага (H1.4) суммарная величина итоговых результатов применения надбавок к коэффициентам риска, рассчитанных на основании подходов по учету надбавок к коэффициентам риска, предусмотренных подпунктами 7.1 - 7.3 пункта 7 настоящего Указания, включается кредитной организацией в знаменатель формулы расчета нормативов достаточности капитала, установленной в подпункте 2.1.1 пункта 2.1 либо в подпункте 3.1.1 пункта 3.1 Инструкции Банка России N 199-И, с использованием кода 8770, установленного в приложении 1 к Инструкции Банка России N 199-И. (в ред. Указания ЦБ РФ от 27.02.2020 N 5404-У)

9. Настоящее Указание вступает в силу по истечении 10 дней после дня его официального опубликования.

И.о. Председателя
Центрального банка
Российской Федерации
Д.В. ТУЛИН

Приложение
к Указанию Банка России
от 12 февраля 2019 года N 5072-У
"Об особенностях применения надбавок
к коэффициентам риска по отдельным
видам активов кредитными
организациями, принявшими на себя
обязанность по применению банковских
методик управления рисками
и моделей количественной оценки
рисков в целях расчета
обязательных нормативов"

КОДЫ СЕГМЕНТОВ КРЕДИТНЫХ ТРЕБОВАНИЙ, В ОТНОШЕНИИ КОТОРЫХ КРЕДИТНЫМИ ОРГАНИЗАЦИЯМИ ПРИМЕНЯЮТСЯ НАДБАВКИ К КОЭФФИЦИЕНТАМ РИСКА

(в ред. Указаний ЦБ РФ от 30.07.2019 N 5218-У, от 20.04.2021 N 5783-У, от 17.04.2023 N 6412-У)

Номер строки Определение расшифровки Код обозначения расшифровки
1 2 3
1 Кредитные требования и требования по получению начисленных (накопленных) процентов по кредитам (займам) на потребительские цели в рублях, соответствующие кодам, предусмотренным разделами I и II Кодов активов, используемых для определения надбавок к коэффициентам риска, установленных приложением 7 к Указанию Банка России N 6411-У 9901.i
(в ред. Указаний ЦБ РФ от 30.07.2019 N 5218-У, от 20.04.2021 N 5783-У, от 17.04.2023 N 6412-У)
2 Кредитные требования и требования по получению начисленных (накопленных) процентов по кредитам (займам), предоставленным физическим лицам в иностранной валюте, соответствующие кодам, предусмотренным разделами I и VI (в части кредитных требований и требований по получению начисленных (накопленных) процентов по кредитам (займам), предоставленным физическим лицам) Кодов активов, используемых для определения надбавок к коэффициентам риска, установленных приложением 7 к Указанию Банка России N 6411-У 9902.i
(в ред. Указаний ЦБ РФ от 30.07.2019 N 5218-У, от 20.04.2021 N 5783-У, от 17.04.2023 N 6412-У)
3 Кредитные требования и требования по получению начисленных (накопленных) процентов по кредитам (займам) и вложениям в долговые ценные бумаги юридических лиц в иностранной валюте, соответствующие кодам, предусмотренным разделом VI (в части кредитных требований и требований по получению начисленных (накопленных) процентов по кредитам (займам), предоставленным юридическим лицам, и требований по вложениям в долговые ценные бумаги) Кодов активов, используемых для определения надбавок к коэффициентам риска, установленных приложением 7 к Указанию Банка России N 6411-У 9903.i
(в ред. Указаний ЦБ РФ от 30.07.2019 N 5218-У, от 20.04.2021 N 5783-У, от 17.04.2023 N 6412-У)
4 Кредитные требования и требования по получению начисленных (накопленных) процентов по кредитам (займам), предоставленным физическим лицам в рублях в целях, не связанных с осуществлением ими предпринимательской деятельности, исполнение обязательств заемщика по которым обеспечено залогом автомототранспортного средства, соответствующие кодам, предусмотренным разделами I и IV Кодов активов, используемых для определения надбавок к коэффициентам риска, установленных приложением 7 к Указанию Банка России N 6411-У 9904.i
(в ред. Указаний ЦБ РФ от 30.07.2019 N 5218-У, от 20.04.2021 N 5783-У, от 17.04.2023 N 6412-У)
5 Кредитные требования и требования по получению начисленных (накопленных) процентов по кредитам (займам), предоставленным юридическим лицам в рублях на финансирование операций на рынке недвижимости, соответствующие коду, предусмотренному разделом V Кодов активов, используемых для определения надбавок к коэффициентам риска, установленных приложением 7 к Указанию Банка России N 6411-У 9905.i
(в ред. Указаний ЦБ РФ от 30.07.2019 N 5218-У, от 20.04.2021 N 5783-У, от 17.04.2023 N 6412-У)
6 Кредитные требования и требования по получению начисленных (накопленных) процентов по ипотечным кредитам (займам), предоставленным физическим лицам в рублях в целях, не связанных с осуществлением ими предпринимательской деятельности, исполнение обязательств заемщика по которым обеспечено залогом жилого и (или) нежилого помещения, или по кредитам (займам), предоставленным физическим лицам в рублях на финансирование по договору участия в долевом строительстве, соответствующие кодам, предусмотренным разделами I и III Кодов активов, используемых для определения надбавок к коэффициентам риска, установленных приложением 7 к Указанию Банка России N 6411-У 9906.i
(в ред. Указаний ЦБ РФ от 30.07.2019 N 5218-У, от 20.04.2021 N 5783-У, от 17.04.2023 N 6412-У)