Постановление Правительства РФ от 29.05.2023 N 846

"О внесении изменений в некоторые акты Правительства Российской Федерации, признании утратившими силу некоторых актов Правительства Российской Федерации и отдельных положений акта Правительства Российской Федерации"
Редакция от 29.05.2023 — Не действует Перейти в действующую
Показать изменения

ПРАВИТЕЛЬСТВО РОССИЙСКОЙ ФЕДЕРАЦИИ

ПОСТАНОВЛЕНИЕ
от 29 мая 2023 г. N 846

О ВНЕСЕНИИ ИЗМЕНЕНИЙ В НЕКОТОРЫЕ АКТЫ ПРАВИТЕЛЬСТВА РОССИЙСКОЙ ФЕДЕРАЦИИ, ПРИЗНАНИИ УТРАТИВШИМИ СИЛУ НЕКОТОРЫХ АКТОВ ПРАВИТЕЛЬСТВА РОССИЙСКОЙ ФЕДЕРАЦИИ И ОТДЕЛЬНЫХ ПОЛОЖЕНИЙ АКТА ПРАВИТЕЛЬСТВА РОССИЙСКОЙ ФЕДЕРАЦИИ

Правительство Российской Федерации постановляет:

1. Утвердить прилагаемые изменения, которые вносятся в акты Правительства Российской Федерации.

2. Установить, что:

приложения N 11 и 12 к государственной программе Российской Федерации "Развитие туризма", утвержденной постановлением Правительства Российской Федерации от 24 декабря 2021 г. N 2439 "Об утверждении государственной программы Российской Федерации "Развитие туризма" (в редакции настоящего постановления), применяются к правоотношениям, возникающим при составлении проекта федерального бюджета и исполнении федерального бюджета, начиная с бюджета на 2024 год и на плановый период 2025 и 2026 годов;

положения пункта 2 изменений, утвержденных настоящим постановлением, распространяются на правоотношения, возникшие с 1 января 2023 г.

3. Министерству экономического развития Российской Федерации разместить государственную программу Российской Федерации "Развитие туризма" с изменениями, утвержденными настоящим постановлением, на своем официальном сайте, а также на портале государственных программ Российской Федерации в информационно-телекоммуникационной сети "Интернет" в 2-недельный срок со дня официального опубликования настоящего постановления.

4. Пункт 2 изменений, утвержденных настоящим постановлением, действует до 1 января 2024 г.

5. Признать утратившими силу:

Абзацы второй, третий пункта 5 действуют с 01.01.2024 (пункт 6).

постановление Правительства Российской Федерации от 30 декабря 2021 г. N 2577 "Об утверждении Правил предоставления субсидий из федерального бюджета бюджетам субъектов Российской Федерации в целях софинансирования расходных обязательств субъектов Российской Федерации, возникающих при реализации комплекса мер, направленных на повышение доступности и популяризацию туризма для детей школьного возраста" (Собрание законодательства Российской Федерации, 2022, N 2, ст. 528);

постановление Правительства Российской Федерации от 30 декабря 2021 г. N 2581 "Об утверждении Правил предоставления и распределения субсидий из федерального бюджета бюджетам субъектов Российской Федерации на осуществление государственной поддержки региональных программ по проектированию туристского кода центра города" (Собрание законодательства Российской Федерации, 2022, N 2, ст. 531);

постановление Правительства Российской Федерации от 18 февраля 2022 г. N 212 "Об утверждении Правил предоставления в 2022 году иного межбюджетного трансферта из федерального бюджета бюджету г. Санкт-Петербурга на реализацию мероприятий по повышению кадрового потенциала отрасли туризма в соответствии с международными стандартами Всемирной туристской организации (ЮНВТО)" (Собрание законодательства Российской Федерации, 2022, N 9, ст. 1328);

Абзац пятый пункта 5 действует с 01.01.2024 (пункт 6).

пункты 22 и 23 изменений, которые вносятся в акты Правительства Российской Федерации, утвержденных постановлением Правительства Российской Федерации от 26 декабря 2022 г. N 2426 "О внесении изменений в некоторые акты Правительства Российской Федерации" (Собрание законодательства Российской Федерации, 2023, N 1, ст. 247).

6. Настоящее постановление вступает в силу со дня его официального опубликования, за исключением абзацев второго, третьего и пятого пункта 5 настоящего постановления, которые вступают в силу с 1 января 2024 г.

Председатель Правительства
Российской Федерации
М. МИШУСТИН

УТВЕРЖДЕНЫ
постановлением Правительства
Российской Федерации
от 29 мая 2023 г. N 846

ИЗМЕНЕНИЯ, КОТОРЫЕ ВНОСЯТСЯ В АКТЫ ПРАВИТЕЛЬСТВА РОССИЙСКОЙ ФЕДЕРАЦИИ

1. В государственной программе Российской Федерации "Развитие туризма", утвержденной постановлением Правительства Российской Федерации от 24 декабря 2021 г. N 2439 "Об утверждении государственной программы Российской Федерации "Развитие туризма" (Собрание законодательства Российской Федерации, 2022, N 1, ст. 147; N 9, ст. 1334; N 16, ст. 2661; N 48, ст. 8476; 2023, N 17, ст. 3143):

а) раздел II дополнить абзацами следующего содержания:

"Правила предоставления субсидий из федерального бюджета бюджетам субъектов Российской Федерации в целях софинансирования расходных обязательств субъектов Российской Федерации, возникающих при реализации комплекса мер, направленных на повышение доступности и популяризацию туризма для детей школьного возраста, приведены в приложении N 11.

Правила предоставления и распределения субсидий из федерального бюджета бюджетам субъектов Российской Федерации на осуществление государственной поддержки региональных программ по проектированию туристского кода центра города приведены в приложении N 12.

Правила предоставления иного межбюджетного трансферта из федерального бюджета бюджету Московской области в целях софинансирования в полном объеме расходных обязательств Московской области по финансовому обеспечению создания федерального ресурсного центра подготовки кадров для индустрии туризма и гостеприимства приведены в приложении N 13.

Правила предоставления иного межбюджетного трансферта из федерального бюджета бюджету Республики Татарстан в целях софинансирования в полном объеме расходных обязательств Республики Татарстан по финансовому обеспечению создания центра развития кадрового потенциала туристской отрасли и обучения по программам профессиональной переподготовки приведены в приложении N 14.

Правила предоставления иного межбюджетного трансферта из федерального бюджета бюджету г. Санкт-Петербурга в целях софинансирования в полном объеме расходных обязательств г. Санкт-Петербурга по финансовому обеспечению деятельности международного центра компетенций в сфере туризма и гостеприимства приведены в приложении N 15.";

б) дополнить приложениями N 11 - 15 следующего содержания:

"Приложение N 11
к государственной программе
Российской Федерации
"Развитие туризма"

ПРАВИЛА ПРЕДОСТАВЛЕНИЯ СУБСИДИЙ ИЗ ФЕДЕРАЛЬНОГО БЮДЖЕТА БЮДЖЕТАМ СУБЪЕКТОВ РОССИЙСКОЙ ФЕДЕРАЦИИ В ЦЕЛЯХ СОФИНАНСИРОВАНИЯ РАСХОДНЫХ ОБЯЗАТЕЛЬСТВ СУБЪЕКТОВ РОССИЙСКОЙ ФЕДЕРАЦИИ, ВОЗНИКАЮЩИХ ПРИ РЕАЛИЗАЦИИ КОМПЛЕКСА МЕР, НАПРАВЛЕННЫХ НА ПОВЫШЕНИЕ ДОСТУПНОСТИ И ПОПУЛЯРИЗАЦИЮ ТУРИЗМА ДЛЯ ДЕТЕЙ ШКОЛЬНОГО ВОЗРАСТА

1. Настоящие Правила устанавливают цели, условия и порядок предоставления субсидий из федерального бюджета бюджетам субъектов Российской Федерации в целях софинансирования расходных обязательств субъектов Российской Федерации, возникающих при реализации региональных проектов, обеспечивающих достижение целей, показателей и результатов федерального проекта "Повышение доступности туристических продуктов", входящего в состав национального проекта "Туризм и индустрия гостеприимства", направленных на повышение доступности и популяризацию туризма для детей школьного возраста (далее - субсидии).

2. Субсидии предоставляются бюджетам субъектов Российской Федерации в пределах лимитов бюджетных обязательств, доведенных до Министерства экономического развития Российской Федерации как получателя средств федерального бюджета на предоставление субсидий на цели, указанные в пункте 1 настоящих Правил.

3. Условиями предоставления субсидий являются:

а) наличие правового акта субъекта Российской Федерации, утверждающего перечень мероприятий (результатов), направленных на повышение доступности и популяризацию туризма для детей школьного возраста, при реализации которых возникают расходные обязательства субъекта Российской Федерации, в целях софинансирования которых предоставляется субсидия, предусматривающих финансовое обеспечение (возмещение) затрат исполнителей государственных (муниципальных) услуг в социальной сфере в соответствии с социальным сертификатом на получение государственной (муниципальной) услуги в социальной сфере из бюджета субъекта Российской Федерации, связанных с реализацией туристского продукта, соответствующего следующим требованиям:

продолжительность путешествия не менее 24 часов подряд;

категория потребителей туристского продукта - учащиеся 5 - 9 классов;

б) наличие в бюджете субъекта Российской Федерации бюджетных ассигнований на исполнение расходного обязательства субъекта Российской Федерации, софинансирование которого осуществляется из федерального бюджета, в объеме, необходимом для его исполнения;

в) заключение соглашения о предоставлении субсидии из федерального бюджета бюджету субъекта Российской Федерации между Министерством экономического развития Российской Федерации и высшим исполнительным органом субъекта Российской Федерации (далее - соглашение) в соответствии с пунктом 10 Правил формирования, предоставления и распределения субсидий из федерального бюджета бюджетам субъектов Российской Федерации, утвержденных постановлением Правительства Российской Федерации от 30 сентября 2014 г. N 999 "О формировании, предоставлении и распределении субсидий из федерального бюджета бюджетам субъектов Российской Федерации" (далее - Правила формирования, предоставления и распределения субсидий).

4. Предоставление субсидии осуществляется на основании соглашения, заключенного в форме электронного документа с использованием государственной интегрированной информационной системы управления общественными финансами "Электронный бюджет" в соответствии с типовой формой, утвержденной Министерством финансов Российской Федерации.

5. Критериями отбора субъекта Российской Федерации для предоставления субсидии являются:

а) нахождение в перечне субъектов Российской Федерации, в которых вступает в силу Федеральный закон "О государственном (муниципальном) социальном заказе на оказание государственных (муниципальных) услуг в социальной сфере", утвержденного распоряжением Правительства Российской Федерации от 7 октября 2020 г. N 2579-р;

б) наличие принятых в соответствии со статьей 8 Федерального закона "О государственном (муниципальном) социальном заказе на оказание государственных (муниципальных) услуг в социальной сфере" решений соответствующих органов государственной власти субъектов Российской Федерации об организации оказания государственной услуги в социальной сфере по направлению деятельности "Создание благоприятных условий для развития туристской индустрии в субъектах Российской Федерации".

6. Результатом использования субсидии является количество потребителей туристского продукта (учащиеся 5 - 9 классов), совершивших путешествие продолжительностью не менее 24 часов подряд в рамках реализации разработанного комплекса мер, направленного на повышение доступности и популяризацию туризма для детей школьного возраста.

7. Оценка эффективности использования субсидий осуществляется Министерством экономического развития Российской Федерации путем сравнения установленного соглашением планового значения результата использования субсидии и фактически достигнутого значения результата использования субсидии.

8. Исполнительный орган субъекта Российской Федерации, уполномоченный высшим исполнительным органом субъекта Российской Федерации, размещает в государственной интегрированной информационной системе управления общественными финансами "Электронный бюджет" по установленной соглашением форме:

а) отчет о расходах бюджета субъекта Российской Федерации, в целях софинансирования которых предоставляется субсидия, - ежемесячно в сроки, предусмотренные соглашением, но не позднее 10-го числа месяца, следующего за отчетным месяцем;

б) отчет о достижении значения результата использования субсидии - в сроки, предусмотренные соглашением.

9. Размер предоставляемой бюджету i-го субъекта Российской Федерации субсидии () определяется по формуле:

,

где:

- общий объем бюджетных ассигнований, предусмотренных в федеральном бюджете на предоставление субсидий на соответствующий финансовый год;

- весовой коэффициент численности учащихся 5 - 9 классов в i-м субъекте Российской Федерации;

- предельный уровень софинансирования расходного обязательства i-го субъекта Российской Федерации из федерального бюджета, определяемый в соответствии с пунктом 13(1.1) Правил формирования, предоставления и распределения субсидий.

Весовой коэффициент численности учащихся 5 - 9 классов в i-м субъекте Российской Федерации () определяется по формуле:

,

где:

- количество учащихся 5 - 9 классов в i-м субъекте Российской Федерации;

n - количество субъектов Российской Федерации - получателей субсидии.

10. Перечисление субсидий осуществляется в установленном порядке на единые счета бюджетов, открытые финансовым органам субъектов Российской Федерации в территориальных органах Федерального казначейства.

11. Порядок и условия возврата средств из бюджета субъекта Российской Федерации в федеральный бюджет в случае нарушения субъектом Российской Федерации обязательств, предусмотренных соглашением, а также основания для освобождения субъекта Российской Федерации от применения мер финансовой ответственности установлены пунктами 16 - 18 и 20 Правил формирования, предоставления и распределения субсидий.

12. В случае нарушения целей, установленных при предоставлении субсидии, применяются бюджетные меры принуждения, предусмотренные бюджетным законодательством Российской Федерации.

13. На основании письменного обращения высшего исполнительного органа субъекта Российской Федерации, у которого в текущем финансовом году не предусмотрены бюджетные ассигнования на исполнение расходного обязательства субъекта Российской Федерации, софинансирование которого осуществляется из федерального бюджета, в объеме, необходимом для его исполнения, невостребованная субсидия может быть перераспределена между другими субъектами Российской Федерации, имеющими право на получение субсидии, в соответствии с настоящими Правилами и бюджетным законодательством Российской Федерации.

14. Ответственность за достоверность представляемых в Министерство экономического развития Российской Федерации информации и документов, предусмотренных настоящими Правилами, возлагается на высший исполнительный орган субъекта Российской Федерации.

15. Контроль за соблюдением субъектами Российской Федерации условий предоставления субсидий осуществляется Министерством экономического развития Российской Федерации и уполномоченными органами государственного финансового контроля.

Приложение N 12
к государственной программе
Российской Федерации
"Развитие туризма"

ПРАВИЛА ПРЕДОСТАВЛЕНИЯ И РАСПРЕДЕЛЕНИЯ СУБСИДИЙ ИЗ ФЕДЕРАЛЬНОГО БЮДЖЕТА БЮДЖЕТАМ СУБЪЕКТОВ РОССИЙСКОЙ ФЕДЕРАЦИИ НА ОСУЩЕСТВЛЕНИЕ ГОСУДАРСТВЕННОЙ ПОДДЕРЖКИ РЕГИОНАЛЬНЫХ ПРОГРАММ ПО ПРОЕКТИРОВАНИЮ ТУРИСТСКОГО КОДА ЦЕНТРА ГОРОДА

1. Настоящие Правила устанавливают цели, условия и порядок предоставления и распределения субсидий из федерального бюджета бюджетам субъектов Российской Федерации в целях софинансирования расходных обязательств субъектов Российской Федерации, возникающих при реализации региональных проектов, обеспечивающих достижение целей, показателей и результатов федерального проекта "Развитие туристической инфраструктуры", входящего в состав национального проекта "Туризм и индустрия гостеприимства", связанных с поощрением муниципальных образований в рамках осуществления государственной поддержки региональных программ по проектированию туристского кода центра города (далее - субсидии).

2. Понятие "проект", используемое в настоящих Правилах, означает комплекс мероприятий (результатов) по реализации туристского кода центра города, оформляемый в альбом-презентацию в электронном виде, содержащий описание в текстовой и графической формах туристских функций и комплекса запланированных мероприятий по обустройству туристского центра города на территории муниципального образования, а также описание прогнозируемой туристской привлекательности через развитие общественной территории муниципального образования в случае реализации проекта.

3. Комплекс мероприятий по отбору заявок региональных программ по проектированию туристского кода центра города, организация и проведение которых осуществляются в соответствии с пунктом 4 настоящих Правил (далее - конкурс), проводится ежегодно, до 1 июля текущего финансового года, в отношении представляемых муниципальными образованиями проектов, реализация которых предусмотрена в очередном финансовом году.

4. Организация и проведение конкурса осуществляются в соответствии с положением, утвержденным Министерством экономического развития Российской Федерации.

5. Субсидии предоставляются в пределах лимитов бюджетных обязательств, доведенных в установленном порядке до Министерства экономического развития Российской Федерации как получателя средств федерального бюджета на предоставление субсидий на цели, указанные в пункте 1 настоящих Правил.

6. Субсидии предоставляются при соблюдении субъектом Российской Федерации следующих условий:

а) наличие правового акта субъекта Российской Федерации, утверждающего перечень мероприятий (результатов), при реализации которых возникают расходные обязательства субъекта Российской Федерации, в целях софинансирования которых предоставляется субсидия;

б) наличие в бюджете субъекта Российской Федерации бюджетных ассигнований на исполнение расходного обязательства субъекта Российской Федерации, софинансирование которого осуществляется из федерального бюджета, в объеме, необходимом для его исполнения;

в) заключение соглашения о предоставлении субсидии из федерального бюджета бюджету субъекта Российской Федерации между Министерством экономического развития Российской Федерации и высшим исполнительным органом субъекта Российской Федерации, подготавливаемого (формируемого) и заключаемого в государственной интегрированной информационной системе управления общественными финансами "Электронный бюджет" в соответствии с типовой формой, утвержденной Министерством финансов Российской Федерации, и пунктом 10 Правил формирования, предоставления и распределения субсидий из федерального бюджета бюджетам субъектов Российской Федерации, утвержденных постановлением Правительства Российской Федерации от 30 сентября 2014 г. N 999 "О формировании, предоставлении и распределении субсидий из федерального бюджета бюджетам субъектов Российской Федерации" (далее соответственно - Правила формирования, предоставления и распределения субсидий, соглашение).

7. Критериями отбора субъектов Российской Федерации для предоставления субсидии являются:

а) наличие потребности муниципальных образований с населением от 5 тыс. до 2000 тыс. человек, расположенных на территории соответствующего субъекта Российской Федерации и имеющих в своем составе кварталы исторической застройки на площади до 100 гектаров с размещенными в ее границах объектами туристского притяжения, в создании благоприятных условий для посещения, обеспечения информационной доступности и объединения основных объектов туристского показа в единое привлекательное архитектурно-культурное пространство;

б) наличие согласованного высшим исполнительным органом субъекта Российской Федерации проекта.

8. Субсидия предоставляется на основании соглашения.

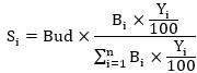
9. Размер субсидии, предоставляемой бюджету i-го субъекта Российской Федерации в очередном финансовом году (), определяется по формуле:

,

где:

Bud - объем бюджетных ассигнований федерального бюджета на предоставление субсидии на соответствующий финансовый год;

- размер потребности в субсидии, определенный по i-му субъекту Российской Федерации в решении по итогам конкурса;

- предельный уровень софинансирования расходного обязательства i-го субъекта Российской Федерации из федерального бюджета, определяемый в соответствии с пунктом 13(1.1) Правил формирования, предоставления и распределения субсидий;

n - количество субъектов Российской Федерации, включенных в решение по итогам конкурса.

10. Объем бюджетных ассигнований бюджета субъекта Российской Федерации на исполнение расходного обязательства субъекта Российской Федерации, софинансирование которого осуществляется из федерального бюджета, может быть увеличен субъектом Российской Федерации в одностороннем порядке, что не влечет обязательств по увеличению размера предоставляемой субсидии.

11. Перечисление субсидии осуществляется в установленном порядке на единые счета бюджетов, открытые финансовым органам субъектов Российской Федерации в территориальных органах Федерального казначейства.

12. Результатами использования субсидии являются:

количество реализованных проектов;

количество человек, размещенных в коллективных средствах размещения муниципального образования через 2 года после реализации проекта, к году проведения конкурса.

Оценка эффективности использования субсидии осуществляется Министерством экономического развития Российской Федерации ежегодно путем сравнения фактически достигнутых значений результатов использования субсидии и плановых значений результатов использования субсидии, установленных соглашением.

13. Порядок и условия возврата средств из бюджетов субъектов Российской Федерации в федеральный бюджет в случае нарушения обязательств по достижению значений результата использования субсидии, предусмотренных соглашением, а также основания для освобождения субъекта Российской Федерации от применения мер ответственности определяются в соответствии с пунктами 16 - 18 и 20 Правил формирования, предоставления и распределения субсидий.

14. Исполнительный орган субъекта Российской Федерации в сфере туризма, уполномоченный высшим исполнительным органом субъекта Российской Федерации, направляет в Министерство экономического развития Российской Федерации в сроки, установленные соглашением, следующие отчеты:

отчет об осуществлении расходов бюджета субъекта Российской Федерации, в целях софинансирования которых предоставляется субсидия, по форме, определенной типовой формой соглашения, утвержденной Министерством финансов Российской Федерации;

отчет о достижении значений результатов использования субсидии по форме, определенной типовой формой соглашения, утвержденной Министерством финансов Российской Федерации.

Министерство экономического развития Российской Федерации вправе устанавливать в соглашении сроки и формы представления получателем субсидии дополнительной отчетности.

15. Ответственность за достоверность представляемых в Министерство экономического развития Российской Федерации сведений возлагается на исполнительный орган субъекта Российской Федерации в сфере туризма, уполномоченный высшим исполнительным органом субъекта Российской Федерации.

16. В случае нарушения целей, установленных при предоставлении субсидии, применяются бюджетные меры принуждения, предусмотренные бюджетным законодательством Российской Федерации.

17. Контроль за соблюдением субъектами Российской Федерации условий предоставления субсидий осуществляется Министерством экономического развития Российской Федерации и уполномоченными органами государственного финансового контроля.

Приложение N 13
к государственной программе
Российской Федерации
"Развитие туризма"

ПРАВИЛА ПРЕДОСТАВЛЕНИЯ ИНОГО МЕЖБЮДЖЕТНОГО ТРАНСФЕРТА ИЗ ФЕДЕРАЛЬНОГО БЮДЖЕТА БЮДЖЕТУ МОСКОВСКОЙ ОБЛАСТИ В ЦЕЛЯХ СОФИНАНСИРОВАНИЯ В ПОЛНОМ ОБЪЕМЕ РАСХОДНЫХ ОБЯЗАТЕЛЬСТВ МОСКОВСКОЙ ОБЛАСТИ ПО ФИНАНСОВОМУ ОБЕСПЕЧЕНИЮ СОЗДАНИЯ ФЕДЕРАЛЬНОГО РЕСУРСНОГО ЦЕНТРА ПОДГОТОВКИ КАДРОВ ДЛЯ ИНДУСТРИИ ТУРИЗМА И ГОСТЕПРИИМСТВА

1. Настоящие Правила устанавливают цели, условия и порядок предоставления иного межбюджетного трансферта из федерального бюджета бюджету Московской области на создание федерального ресурсного центра подготовки кадров для индустрии туризма и гостеприимства в целях реализации федерального проекта "Совершенствование управления в сфере туризма" в рамках национального проекта "Туризм и индустрия гостеприимства" (далее - иной межбюджетный трансферт).

2. Иной межбюджетный трансферт предоставляется в пределах лимитов бюджетных обязательств, доведенных в установленном порядке до Министерства экономического развития Российской Федерации как получателя средств федерального бюджета на цели, указанные в пункте 1 настоящих Правил.

3. Иной межбюджетный трансферт предоставляется при выполнении следующих условий:

а) наличие правового акта Московской области, утверждающего перечень мероприятий (результатов), при реализации которых возникают расходные обязательства Московской области, в целях софинансирования которых предоставляется иной межбюджетный трансферт;

б) заключение соглашения о предоставлении иных межбюджетных трансфертов из федерального бюджета бюджету Московской области (далее - соглашение).

4. Иной межбюджетный трансферт предоставляется бюджету Московской области на основании соглашения, подготавливаемого (формируемого) и заключаемого Министерством экономического развития Российской Федерации и Правительством Московской области с использованием государственной интегрированной информационной системы управления общественными финансами "Электронный бюджет" в соответствии с типовой формой соглашения, утвержденной Министерством финансов Российской Федерации.

5. Перечисление иного межбюджетного трансферта осуществляется на единый счет бюджета Московской области, открытый Министерству экономики и финансов Московской области в территориальном органе Федерального казначейства.

6. Исполнительный орган Московской области, на который возлагаются функции и ответственность за исполнение соглашения, представляет в Министерство экономического развития Российской Федерации отчетность об исполнении условий предоставления иного межбюджетного трансферта в сроки, предусмотренные соглашением.

7. Контроль за соблюдением условий предоставления иного межбюджетного трансферта осуществляется Министерством экономического развития Российской Федерации и органом государственного финансового контроля на основании отчетности об исполнении условий предоставления иного межбюджетного трансферта, представленной уполномоченным органом в соответствии с пунктом 6 настоящих Правил.

8. В случае если Московской областью по состоянию на 31 декабря года предоставления иного межбюджетного трансферта допущены нарушения обязательств по достижению значения результата предоставления иного межбюджетного трансферта, предусмотренных соглашением, и до первой даты представления отчетности о достижении результата предоставления иного межбюджетного трансферта в году, следующем за годом его предоставления, указанные нарушения не устранены, объем средств, подлежащих возврату из бюджета Московской области в федеральный бюджет до 1 июня года, следующего за годом предоставления иного межбюджетного трансферта (), определяется по формуле:

,

где:

- размер иного межбюджетного трансферта, предоставленного бюджету Московской области;

k - коэффициент возврата иного межбюджетного трансферта, который составляет 0,01;

m - количество показателей результативности использования иного межбюджетного трансферта, по которым индекс, отражающий уровень недостижения i-го показателя результативности использования иного межбюджетного трансферта, имеет положительное значение;

n - общее количество показателей результативности использования иного межбюджетного трансферта.

9. Индекс, отражающий уровень недостижения i-го показателя результативности использования иного межбюджетного трансферта (), для показателей результативности использования иного межбюджетного трансферта, по которым большее значение фактически достигнутого значения отражает большую эффективность использования иного межбюджетного трансферта, определяется по формуле:

,

где:

- фактически достигнутое значение i-го показателя результативности использования иного межбюджетного трансферта на отчетную дату;

- плановое значение i-го показателя результативности использования иного межбюджетного трансферта, установленное соглашением.

10. Индекс, отражающий уровень недостижения i-го показателя результативности использования иного межбюджетного трансферта (), для показателей результативности использования иного межбюджетного трансферта, по которым большее значение фактически достигнутого значения отражает меньшую эффективность использования иного межбюджетного трансферта, определяется по формуле:

.

11. Ответственность за достоверность представляемых в Министерство экономического развития Российской Федерации сведений и соблюдение условий, предусмотренных настоящими Правилами и соглашением, возлагается на Правительство Московской области.

12. Оценка эффективности предоставления иного межбюджетного трансферта осуществляется Министерством экономического развития Российской Федерации по итогам финансового года путем сравнения планового значения результата предоставления иного межбюджетного трансферта, установленного соглашением, и фактически достигнутого значения результата предоставления иного межбюджетного трансферта, указанного в пункте 13 настоящих Правил.

13. Результатом предоставления иного межбюджетного трансферта является количество человек, успешно завершивших обучение в федеральном ресурсном центре подготовки кадров для индустрии туризма и гостеприимства по практико-ориентированным программам профессиональной переподготовки в целях подготовки кадров для туристской отрасли.

14. В случае нарушения целей, установленных при предоставлении иного межбюджетного трансферта, применяются бюджетные меры принуждения, предусмотренные бюджетным законодательством Российской Федерации.

15. Основанием для освобождения Московской области от применения мер ответственности, предусмотренных настоящими Правилами, является документально подтвержденное наступление обстоятельств непреодолимой силы, препятствующих исполнению соответствующих обязательств. Документально подтвержденными обстоятельствами непреодолимой силы, препятствующими исполнению соответствующих обязательств, являются:

а) установление регионального (межмуниципального) и (или) местного уровня реагирования на чрезвычайную ситуацию, подтвержденного правовым актом органа государственной власти субъекта Российской Федерации и (или) органа местного самоуправления;

б) установление карантина и (или) иных ограничений, направленных на предотвращение распространения и ликвидацию очагов заразных и иных болезней животных, подтвержденных правовым актом органа государственной власти субъекта Российской Федерации;

в) аномальные погодные условия, подтвержденные справкой территориального органа федерального органа исполнительной власти, осуществляющего функции по оказанию государственных услуг в области гидрометеорологии и смежных с ней областях;

г) наличие вступившего в законную силу в году предоставления иного межбюджетного трансферта решения арбитражного суда о признании несостоятельной (банкротом) организации, деятельность которой оказывала влияние на исполнение обязательств, предусмотренных соглашением.

Приложение N 14
к государственной программе
Российской Федерации
"Развитие туризма"

ПРАВИЛА ПРЕДОСТАВЛЕНИЯ ИНОГО МЕЖБЮДЖЕТНОГО ТРАНСФЕРТА ИЗ ФЕДЕРАЛЬНОГО БЮДЖЕТА БЮДЖЕТУ РЕСПУБЛИКИ ТАТАРСТАН В ЦЕЛЯХ СОФИНАНСИРОВАНИЯ В ПОЛНОМ ОБЪЕМЕ РАСХОДНЫХ ОБЯЗАТЕЛЬСТВ РЕСПУБЛИКИ ТАТАРСТАН ПО ФИНАНСОВОМУ ОБЕСПЕЧЕНИЮ СОЗДАНИЯ ЦЕНТРА РАЗВИТИЯ КАДРОВОГО ПОТЕНЦИАЛА ТУРИСТСКОЙ ОТРАСЛИ И ОБУЧЕНИЯ ПО ПРОГРАММАМ ПРОФЕССИОНАЛЬНОЙ ПЕРЕПОДГОТОВКИ

1. Настоящие Правила устанавливают цели, условия и порядок предоставления иного межбюджетного трансферта из федерального бюджета бюджету Республики Татарстан в целях софинансирования в полном объеме расходных обязательств Республики Татарстан по финансовому обеспечению создания центра развития кадрового потенциала туристской отрасли и обучения по программам профессиональной переподготовки в целях реализации федерального проекта "Совершенствование управления в сфере туризма" в рамках национального проекта "Туризм и индустрия гостеприимства" (далее - иной межбюджетный трансферт).

2. Иной межбюджетный трансферт предоставляется в пределах лимитов бюджетных обязательств, доведенных в установленном порядке до Министерства экономического развития Российской Федерации как получателя средств федерального бюджета на цели, указанные в пункте 1 настоящих Правил.

3. Иной межбюджетный трансферт предоставляется при выполнении следующих условий:

а) наличие правового акта Республики Татарстан, утверждающего перечень мероприятий (результатов), при реализации которых возникают расходные обязательства Республики Татарстан, в целях софинансирования которых предоставляется иной межбюджетный трансферт;

б) заключение соглашения о предоставлении иных межбюджетных трансфертов из федерального бюджета бюджету Республики Татарстан (далее - соглашение).

4. Иной межбюджетный трансферт предоставляется бюджету Республики Татарстан на основании соглашения, подготавливаемого (формируемого) и заключаемого Министерством экономического развития Российской Федерации и Правительством Республики Татарстан с использованием государственной интегрированной информационной системы управления общественными финансами "Электронный бюджет" в соответствии с типовой формой соглашения, утвержденной Министерством финансов Российской Федерации.

5. Перечисление иного межбюджетного трансферта осуществляется на единый счет бюджета Республики Татарстан, открытый Министерству финансов Республики Татарстан в территориальном органе Федерального казначейства.

6. Исполнительный орган Республики Татарстан, на который возлагаются функции и ответственность за исполнение соглашения, представляет в Министерство экономического развития Российской Федерации отчетность об исполнении условий предоставления иного межбюджетного трансферта в сроки, предусмотренные соглашением.

7. Контроль за соблюдением условий предоставления иного межбюджетного трансферта осуществляется Министерством экономического развития Российской Федерации и уполномоченным органом государственного финансового контроля на основании отчетности об исполнении условий предоставления иного межбюджетного трансферта, представленной уполномоченным органом в соответствии с пунктом 6 настоящих Правил.

8. В случае если Республикой Татарстан по состоянию на 31 декабря года предоставления иного межбюджетного трансферта допущены нарушения обязательств по достижению значения результата предоставления иного межбюджетного трансферта, предусмотренных соглашением, и до первой даты представления отчетности о достижении результата предоставления иного межбюджетного трансферта в году, следующем за годом его предоставления, указанные нарушения не устранены, объем средств, подлежащих возврату из бюджета Республики Татарстан в федеральный бюджет до 1 июня года, следующего за годом предоставления иного межбюджетного трансферта (), определяется по формуле:

,

где:

- размер иного межбюджетного трансферта, предоставленного бюджету Республики Татарстан;

k - коэффициент возврата иного межбюджетного трансферта, который составляет 0,01;

m - количество показателей результативности использования иного межбюджетного трансферта, по которым индекс, отражающий уровень недостижения i-го показателя результативности использования иного межбюджетного трансферта, имеет положительное значение;

n - общее количество показателей результативности использования иного межбюджетного трансферта.

9. Индекс, отражающий уровень недостижения i-го показателя результативности использования иного межбюджетного трансферта (), для показателей результативности использования иного межбюджетного трансферта, по которым большее значение фактически достигнутого значения отражает большую эффективность использования иного межбюджетного трансферта, определяется по формуле:

,

где:

- фактически достигнутое значение i-го показателя результативности использования иного межбюджетного трансферта на отчетную дату;

- плановое значение i-го показателя результативности использования иного межбюджетного трансферта, установленное соглашением.

10. Индекс, отражающий уровень недостижения i-го показателя результативности использования иного межбюджетного трансферта (), для показателей результативности использования иного межбюджетного трансферта, по которым большее значение фактически достигнутого значения отражает меньшую эффективность использования иного межбюджетного трансферта, определяется по формуле:

.

11. Ответственность за достоверность представляемых в Министерство экономического развития Российской Федерации сведений и соблюдение условий, предусмотренных настоящими Правилами и соглашением, возлагается на Правительство Республики Татарстан.

12. Оценка эффективности предоставления иного межбюджетного трансферта осуществляется Министерством экономического развития Российской Федерации по итогам финансового года путем сравнения планового значения результата предоставления иного межбюджетного трансферта, установленного соглашением, и фактически достигнутого значения результата предоставления иного межбюджетного трансферта, указанного в пункте 13 настоящих Правил.

13. Результатом предоставления иного межбюджетного трансферта является количество человек, успешно завершивших обучение в центре развития кадрового потенциала туристской отрасли и обучения по программам профессиональной переподготовки.

14. В случае нарушения целей, установленных при предоставлении иного межбюджетного трансферта, применяются бюджетные меры принуждения, предусмотренные бюджетным законодательством Российской Федерации.

15. Основанием для освобождения Республики Татарстан от применения мер ответственности, предусмотренных настоящими Правилами, является документально подтвержденное наступление обстоятельств непреодолимой силы, препятствующих исполнению соответствующих обязательств. Документально подтвержденными обстоятельствами непреодолимой силы, препятствующими исполнению соответствующих обязательств, являются:

а) установление регионального (межмуниципального) и (или) местного уровня реагирования на чрезвычайную ситуацию, подтвержденного правовым актом органа государственной власти субъекта Российской Федерации и (или) органа местного самоуправления;

б) установление карантина и (или) иных ограничений, направленных на предотвращение распространения и ликвидацию очагов заразных и иных болезней животных, подтвержденных правовым актом органа государственной власти субъекта Российской Федерации;

в) аномальные погодные условия, подтвержденные справкой территориального органа федерального органа исполнительной власти, осуществляющего функции по оказанию государственных услуг в области гидрометеорологии и смежных с ней областях;

г) наличие вступившего в законную силу в году предоставления иного межбюджетного трансферта решения арбитражного суда о признании несостоятельной (банкротом) организации, деятельность которой оказывала влияние на исполнение обязательств, предусмотренных соглашением.

Приложение N 15
к государственной программе
Российской Федерации
"Развитие туризма"

ПРАВИЛА ПРЕДОСТАВЛЕНИЯ ИНОГО МЕЖБЮДЖЕТНОГО ТРАНСФЕРТА ИЗ ФЕДЕРАЛЬНОГО БЮДЖЕТА БЮДЖЕТУ Г. САНКТ-ПЕТЕРБУРГА В ЦЕЛЯХ СОФИНАНСИРОВАНИЯ В ПОЛНОМ ОБЪЕМЕ РАСХОДНЫХ ОБЯЗАТЕЛЬСТВ Г. САНКТ-ПЕТЕРБУРГА ПО ФИНАНСОВОМУ ОБЕСПЕЧЕНИЮ ДЕЯТЕЛЬНОСТИ МЕЖДУНАРОДНОГО ЦЕНТРА КОМПЕТЕНЦИЙ В СФЕРЕ ТУРИЗМА И ГОСТЕПРИИМСТВА

1. Настоящие Правила устанавливают цели, условия и порядок предоставления иного межбюджетного трансферта из федерального бюджета бюджету г. Санкт-Петербурга в целях софинансирования в полном объеме расходных обязательств г. Санкт-Петербурга по финансовому обеспечению деятельности международного центра компетенций в сфере туризма и гостеприимства в целях реализации федерального проекта "Совершенствование управления в сфере туризма" в рамках национального проекта "Туризм и индустрия гостеприимства" (далее соответственно - центр, иной межбюджетный трансферт).

2. Иной межбюджетный трансферт предоставляется в пределах лимитов бюджетных обязательств, доведенных в установленном порядке до Министерства экономического развития Российской Федерации как получателя средств федерального бюджета на цели, указанные в пункте 1 настоящих Правил.

3. Иной межбюджетный трансферт предоставляется при выполнении следующих условий:

а) наличие нормативного правового акта г. Санкт-Петербурга, предусматривающего расходные обязательства г. Санкт-Петербурга на обеспечение деятельности центра, в целях софинансирования которых предоставляется иной межбюджетный трансферт;

б) заключение соглашения о предоставлении иных межбюджетных трансфертов из федерального бюджета бюджету г. Санкт-Петербурга (далее - соглашение).

4. Иной межбюджетный трансферт предоставляется бюджету г. Санкт-Петербурга на основании соглашения, подготавливаемого (формируемого) и заключаемого Министерством экономического развития Российской Федерации и Правительством Санкт-Петербурга с использованием государственной интегрированной информационной системы управления общественными финансами "Электронный бюджет" в соответствии с типовой формой соглашения, утвержденной Министерством финансов Российской Федерации.

5. Перечисление иного межбюджетного трансферта осуществляется на единый счет бюджета г. Санкт-Петербурга, открытый Комитету финансов Санкт-Петербурга в территориальном органе Федерального казначейства.

6. Исполнительный орган г. Санкт-Петербурга, на который возлагаются функции и ответственность за исполнение соглашения, представляет в Министерство экономического развития Российской Федерации отчетность об исполнении условий предоставления иного межбюджетного трансферта в сроки, предусмотренные соглашением.

7. Контроль за соблюдением условий предоставления иного межбюджетного трансферта осуществляется Министерством экономического развития Российской Федерации и уполномоченным органом государственного финансового контроля на основании отчетности об исполнении условий предоставления иного межбюджетного трансферта, представленной уполномоченным органом в соответствии с пунктом 6 настоящих Правил.

8. В случае если г. Санкт-Петербургом по состоянию на 31 декабря года предоставления иного межбюджетного трансферта допущены нарушения обязательств по достижению значения результата предоставления иного межбюджетного трансферта, предусмотренных соглашением, и до первой даты представления отчетности о достижении результата предоставления иного межбюджетного трансферта в году, следующем за годом его предоставления, указанные нарушения не устранены, объем средств, подлежащих возврату из бюджета г. Санкт-Петербурга в федеральный бюджет до 1 июня года, следующего за годом предоставления иного межбюджетного трансферта (), определяется по формуле:

,

где:

- размер иного межбюджетного трансферта, предоставленного бюджету г. Санкт-Петербурга;

k - коэффициент возврата иного межбюджетного трансферта, который составляет 0,01;

m - количество показателей результативности использования иного межбюджетного трансферта, по которым индекс, отражающий уровень недостижения i-го показателя результативности использования иного межбюджетного трансферта, имеет положительное значение;

n - общее количество показателей результативности использования иного межбюджетного трансферта.

9. Индекс, отражающий уровень недостижения i-го показателя результативности использования иного межбюджетного трансферта (), для показателей результативности использования иного межбюджетного трансферта, по которым большее значение фактически достигнутого значения отражает большую эффективность использования иного межбюджетного трансферта, определяется по формуле:

,

где:

- фактически достигнутое значение i-го показателя результативности использования иного межбюджетного трансферта на отчетную дату;

- плановое значение i-го показателя результативности использования иного межбюджетного трансферта, установленное соглашением.

10. Индекс, отражающий уровень недостижения i-го показателя результативности использования иного межбюджетного трансферта (), для показателей результативности использования иного межбюджетного трансферта, по которым большее значение фактически достигнутого значения отражает меньшую эффективность использования иного межбюджетного трансферта, определяется по формуле:

.

11. Ответственность за достоверность представляемых в Министерство экономического развития Российской Федерации сведений и соблюдение условий, предусмотренных настоящими Правилами и соглашением, возлагается на Правительство Санкт-Петербурга.

12. Оценка эффективности предоставления иного межбюджетного трансферта осуществляется Министерством экономического развития Российской Федерации по итогам финансового года путем сравнения планового значения результата предоставления иного межбюджетного трансферта, установленного соглашением, и фактически достигнутого значения результата предоставления иного межбюджетного трансферта, указанного в пункте 13 настоящих Правил.

13. Результатом предоставления иного межбюджетного трансферта является количество человек, успешно завершивших обучение в центре по программам профессиональной переподготовки и повышения квалификации для отрасли туризма.

14. В случае нарушения целей, установленных при предоставлении иного межбюджетного трансферта, применяются бюджетные меры принуждения, предусмотренные бюджетным законодательством Российской Федерации.

15. Основанием для освобождения г. Санкт-Петербурга от применения мер ответственности, предусмотренных настоящими Правилами, является документально подтвержденное наступление обстоятельств непреодолимой силы, препятствующих исполнению соответствующих обязательств. Документально подтвержденными обстоятельствами непреодолимой силы, препятствующими исполнению соответствующих обязательств, являются:

а) установление регионального (межмуниципального) и (или) местного уровня реагирования на чрезвычайную ситуацию, подтвержденного правовым актом органа государственной власти субъекта Российской Федерации и (или) органа местного самоуправления;

б) установление карантина и (или) иных ограничений, направленных на предотвращение распространения и ликвидацию очагов заразных и иных болезней животных, подтвержденных правовым актом органа государственной власти субъекта Российской Федерации;

в) аномальные погодные условия, подтвержденные справкой территориального органа федерального органа исполнительной власти, осуществляющего функции по оказанию государственных услуг в области гидрометеорологии и смежных с ней областях;

г) наличие вступившего в законную силу в году предоставления иного межбюджетного трансферта решения арбитражного суда о признании несостоятельной (банкротом) организации, деятельность которой оказывала влияние на исполнение обязательств, предусмотренных соглашением.".

2. В Правилах предоставления и распределения субсидий из федерального бюджета бюджетам субъектов Российской Федерации на осуществление государственной поддержки региональных программ по проектированию туристского кода центра города, утвержденных постановлением Правительства Российской Федерации от 30 декабря 2021 г. N 2581 "Об утверждении Правил предоставления и распределения субсидий из федерального бюджета бюджетам субъектов Российской Федерации на осуществление государственной поддержки региональных программ по проектированию туристского кода центра города" (Собрание законодательства Российской Федерации, 2022, N 2, ст. 531; 2023, N 1, ст. 247):

а) пункт 1 после слов "расходных обязательств субъектов Российской Федерации," дополнить словами "возникающих при реализации региональных проектов, обеспечивающих достижение целей, показателей и результатов федерального проекта "Развитие туристической инфраструктуры", входящего в состав национального проекта "Туризм и индустрия гостеприимства",";

б) подпункт "а" пункта 6 после слова "мероприятий" дополнить словом "(результатов)";

в) в абзаце шестом пункта 9 слова "пунктом 13" заменить словами "пунктом 13(1.1)";

г) в абзаце третьем пункта 12 слова "рост численности лиц," заменить словами "количество человек,".