Постановление Правительства РФ от 07.03.2019 N 241

"Об утверждении правил оценки конкурсных предложений участников конкурса на право заключения договора аренды лесного участка, находящегося в государственной или муниципальной собственности, для заготовки древесины и критериев, на основании которых проводятся оценка предложенных условий и определение победителя конкурса на право заключения договора аренды лесного участка, находящегося в государственной или муниципальной собственности, для заготовки древесины"
Редакция от 26.09.2022 — Действует с 01.03.2023
Показать изменения

ПРАВИТЕЛЬСТВО РОССИЙСКОЙ ФЕДЕРАЦИИ

ПОСТАНОВЛЕНИЕ
от 7 марта 2019 г. N 241

ОБ УТВЕРЖДЕНИИ ПРАВИЛ ОЦЕНКИ КОНКУРСНЫХ ПРЕДЛОЖЕНИЙ УЧАСТНИКОВ КОНКУРСА НА ПРАВО ЗАКЛЮЧЕНИЯ ДОГОВОРА АРЕНДЫ ЛЕСНОГО УЧАСТКА, НАХОДЯЩЕГОСЯ В ГОСУДАРСТВЕННОЙ ИЛИ МУНИЦИПАЛЬНОЙ СОБСТВЕННОСТИ, ДЛЯ ЗАГОТОВКИ ДРЕВЕСИНЫ И КРИТЕРИЕВ, НА ОСНОВАНИИ КОТОРЫХ ПРОВОДЯТСЯ ОЦЕНКА ПРЕДЛОЖЕННЫХ УСЛОВИЙ И ОПРЕДЕЛЕНИЕ ПОБЕДИТЕЛЯ КОНКУРСА НА ПРАВО ЗАКЛЮЧЕНИЯ ДОГОВОРА АРЕНДЫ ЛЕСНОГО УЧАСТКА, НАХОДЯЩЕГОСЯ В ГОСУДАРСТВЕННОЙ ИЛИ МУНИЦИПАЛЬНОЙ СОБСТВЕННОСТИ, ДЛЯ ЗАГОТОВКИ ДРЕВЕСИНЫ

(в ред. Постановления Правительства РФ от 26.09.2022 N 1691)

В соответствии со статьей 80.2 Лесного кодекса Российской Федерации Правительство Российской Федерации постановляет:

Утвердить прилагаемые:

Правила оценки конкурсных предложений участников конкурса на право заключения договора аренды лесного участка, находящегося в государственной или муниципальной собственности, для заготовки древесины;

критерии, на основании которых проводятся оценка предложенных условий и определение победителя конкурса на право заключения договора аренды лесного участка, находящегося в государственной или муниципальной собственности, для заготовки древесины.

Председатель Правительства
Российской Федерации
Д. МЕДВЕДЕВ

УТВЕРЖДЕНЫ
постановлением Правительства
Российской Федерации
от 7 марта 2019 г. N 241

ПРАВИЛА ОЦЕНКИ КОНКУРСНЫХ ПРЕДЛОЖЕНИЙ УЧАСТНИКОВ КОНКУРСА НА ПРАВО ЗАКЛЮЧЕНИЯ ДОГОВОРА АРЕНДЫ ЛЕСНОГО УЧАСТКА, НАХОДЯЩЕГОСЯ В ГОСУДАРСТВЕННОЙ ИЛИ МУНИЦИПАЛЬНОЙ СОБСТВЕННОСТИ, ДЛЯ ЗАГОТОВКИ ДРЕВЕСИНЫ

(в ред. Постановления Правительства РФ от 26.09.2022 N 1691)

1. Настоящие Правила устанавливают порядок оценки конкурсных предложений участников конкурса на право заключения договора аренды лесного участка, находящегося в государственной или муниципальной собственности, для заготовки древесины (далее соответственно - конкурс, конкурсное предложение).

2. Оценка конкурсных предложений проводится органом государственной власти или органом местного самоуправления, осуществляющими в соответствии со статьями 81 - 84 Лесного кодекса Российской Федерации полномочия по распоряжению лесными участками (далее - уполномоченный орган), в течение 3 рабочих дней со дня вскрытия конвертов в соответствии с частью 3 статьи 80.2 Лесного кодекса Российской Федерации.

3. Оценка конкурсных предложений проводится по каждому конкурсному предложению отдельно в соответствии с критериями, утвержденными постановлением Правительства Российской Федерации от 7 марта 2019 г. N 241 "Об утверждении Правил оценки конкурсных предложений участников конкурса на право заключения договора аренды лесного участка, находящегося в государственной или муниципальной собственности, для заготовки древесины и критериев, на основании которых проводятся оценка предложенных условий и определение победителя конкурса на право заключения договора аренды лесного участка, находящегося в государственной или муниципальной собственности, для заготовки древесины" (далее - критерии оценки), в следующем порядке:

а) в соответствии с формулами, указанными в пунктах 7 - 10 настоящих Правил, и требованиями, установленными пунктами 11 и 12 настоящих Правил, определяется количество баллов, присуждаемых по каждому из критериев, содержащихся в конкурсном предложении;

б) в соответствии с формулой, указанной в пункте 6 настоящих Правил, для каждого конкурсного предложения количество баллов, присужденное по каждому критерию, предусмотренному критериями оценки, суммируется;

в) для определения победителя конкурса к лучшим конкурсным предложениям относятся конкурсные предложения, которые по результатам оценки в сумме набрали наибольшее количество баллов, рассчитанное и присужденное по каждому критерию, предусмотренному критериями оценки.

4. При оценке конкурсных предложений использование критериев, не предусмотренных критериями оценки, не допускается.

5. В случае если по результатам оценки конкурсных предложений нескольким конкурсным предложениям присуждено одинаковое количество баллов, критерием определения лучшего конкурсного предложения является наибольшая предложенная участником конкурса и указанная в конкурсном предложении цена предмета конкурса (ежегодная арендная плата) в соответствии с частью 6 статьи 80.2 Лесного кодекса Российской Федерации.

6. Суммарное количество баллов конкурсного предложения () определяется по формуле:

, (в ред. Постановления Правительства РФ от 26.09.2022 N 1691)

где:

- количество баллов, присуждаемых по критерию, предусмотренному пунктом 1 критериев оценки;

- количество баллов, присуждаемых по критерию, предусмотренному пунктом 2 критериев оценки;

- количество баллов, присуждаемых по критерию, предусмотренному пунктом 3 критериев оценки;

- количество баллов, присуждаемых по критерию, предусмотренному пунктом 4 критериев оценки;

- количество баллов, присуждаемых по критерию, предусмотренному пунктом 5 критериев оценки;

- количество баллов, присуждаемых по критерию, предусмотренному пунктом 6 критериев оценки. (в ред. Постановления Правительства РФ от 26.09.2022 N 1691)

7. Количество баллов, присуждаемых по критерию, предусмотренному пунктом 1 критериев оценки (), определяется по формуле:

,

где:

- предложенная участником конкурса и указанная в конкурсном предложении цена предмета конкурса (ежегодная арендная плата), конкурсное предложение которого оценивается (рублей);

- начальная цена предмета конкурса (ежегодная арендная плата), установленная в конкурсной документации (рублей);

- максимальная предложенная участниками конкурса и указанная в конкурсных предложениях цена предмета конкурса (ежегодная арендная плата) (рублей).

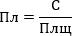
8. Значение критерия, предусмотренного пунктом 2 критериев оценки (Пл), определяется по формуле:

,

где:

С - планируемый (годовой) объем произведенной продукции из древесины с высокой долей добавленной стоимости, виды которой определяются Правительством Российской Федерации в соответствии с частью 2 статьи 80.1 Лесного кодекса Российской Федерации, при условии ее производства из древесины, которая заготовлена на лесном участке, являющемся предметом конкурса, в стоимостном выражении (рублей); (в ред. Постановления Правительства РФ от 26.09.2022 N 1691)

Плщ - площадь лесного участка, являющегося предметом конкурса (гектаров).

9. Количество баллов, присуждаемых по критерию, предусмотренному пунктом 2 критериев оценки (), определяется по формуле:

, (в ред. Постановления Правительства РФ от 26.09.2022 N 1691)

где:

- предложенное участником конкурса значение критерия, предусмотренного пунктом 2 критериев оценки, конкурсное предложение которого оценивается (рублей на 1 гектар лесного участка);

- максимальное предложенное участниками конкурса значение критерия, предусмотренного пунктом 2 критериев оценки (рублей на 1 гектар лесного участка).

Количество баллов, присуждаемых по критерию, предусмотренному пунктом 2 критериев оценки (), устанавливается равным 0, в случае если предложенное участником конкурса значение критерия, предусмотренного пунктом 2 критериев оценки, конкурсное предложение которого оценивается (), полностью или частично сформировано с учетом производства продукции из древесины, не относящейся к видам, которые определяются Правительством Российской Федерации в соответствии с частью 2 статьи 80.1 Лесного кодекса Российской Федерации. (в ред. Постановления Правительства РФ от 26.09.2022 N 1691)

10. Количество баллов, присуждаемых по критерию, предусмотренному пунктом 3 критериев оценки (), определяется по формуле:

,

где:

- предложенное участником конкурса планируемое увеличение численности работников, состоящих в штате и занятых в производстве продукции из древесины с высокой долей добавленной стоимости, виды которой определяются Правительством Российской Федерации в соответствии с частью 2 статьи 80.1 Лесного кодекса Российской Федерации, после заключения договора аренды лесного участка, являющегося предметом конкурса, конкурсное предложение которого оценивается (человек); (в ред. Постановления Правительства РФ от 26.09.2022 N 1691)

- максимальное предложенное участниками конкурса планируемое увеличение численности работников, состоящих в штате и занятых в производстве продукции из древесины с высокой долей добавленной стоимости, виды которой определяются Правительством Российской Федерации в соответствии с частью 2 статьи 80.1 Лесного кодекса Российской Федерации, после заключения договора аренды лесного участка, являющегося предметом конкурса (человек). (в ред. Постановления Правительства РФ от 26.09.2022 N 1691)

11. Участникам конкурса по критерию, предусмотренному пунктом 4 критериев оценки, присуждается:

5 баллов (максимальное количество баллов) - при наличии у участника конкурса, конкурсное предложение которого оценивается, как минимум одного договора аренды лесного участка для заготовки древесины, срок действия которого в день оценки конкурсного предложения не истек;

0 баллов - при отсутствии у участника конкурса, конкурсное предложение которого оценивается, договоров аренды лесных участков для заготовки древесины, срок действия которых в день оценки конкурсного предложения не истек.

12. Участникам конкурса по критерию, предусмотренному пунктом 5 критериев оценки, присуждается:

5 баллов (максимальное количество баллов), - если численность работников участника конкурса, конкурсное предложение которого оценивается, составляет не менее 25 процентов численности работающего населения населенного пункта, в границах которого расположены объекты лесоперерабатывающей инфраструктуры участника конкурса;

0 баллов, - если численность работников участника конкурса, конкурсное предложение которого оценивается, составляет менее 25 процентов численности работающего населения населенного пункта, в границах которого расположены объекты лесоперерабатывающей инфраструктуры участника конкурса.

12.1. Участникам конкурса по критерию, предусмотренному пунктом 6 критериев оценки, присуждается: (в ред. Постановления Правительства РФ от 26.09.2022 N 1691)

5 баллов (максимальное количество баллов), - если сведения об участнике конкурса, конкурсное предложение которого оценивается, содержатся в едином реестре субъектов малого и среднего предпринимательства; (в ред. Постановления Правительства РФ от 26.09.2022 N 1691)

0 баллов, - если сведения об участнике конкурса, конкурсное предложение которого оценивается, не содержатся в едином реестре субъектов малого и среднего предпринимательства. (в ред. Постановления Правительства РФ от 26.09.2022 N 1691)

13. Количество баллов конкурсных предложений рассчитывается с округлением до 2 знаков после запятой по правилам математического округления.

УТВЕРЖДЕНЫ
постановлением Правительства
Российской Федерации
от 7 марта 2019 г. N 241

КРИТЕРИИ, НА ОСНОВАНИИ КОТОРЫХ ПРОВОДЯТСЯ ОЦЕНКА ПРЕДЛОЖЕННЫХ УСЛОВИЙ И ОПРЕДЕЛЕНИЕ ПОБЕДИТЕЛЯ КОНКУРСА НА ПРАВО ЗАКЛЮЧЕНИЯ ДОГОВОРА АРЕНДЫ ЛЕСНОГО УЧАСТКА, НАХОДЯЩЕГОСЯ В ГОСУДАРСТВЕННОЙ ИЛИ МУНИЦИПАЛЬНОЙ СОБСТВЕННОСТИ, ДЛЯ ЗАГОТОВКИ ДРЕВЕСИНЫ

(в ред. Постановления Правительства РФ от 26.09.2022 N 1691)

1. Превышение предложенной участником конкурса на право заключения договора аренды лесного участка, находящегося в государственной или муниципальной собственности, для заготовки древесины (далее - конкурс) цены предмета конкурса (ежегодной арендной платы) над установленной в конкурсной документации начальной ценой предмета конкурса (ежегодной арендной платой).

2. Планируемый объем производства продукции из древесины с высокой долей добавленной стоимости, виды которой определяются Правительством Российской Федерации в соответствии с частью 2 статьи 80.1 Лесного кодекса Российской Федерации, на единицу площади лесного участка, являющегося предметом конкурса, в стоимостном выражении. (в ред. Постановления Правительства РФ от 26.09.2022 N 1691)

3. Планируемое увеличение численности работников, состоящих в штате и занятых в производстве продукции из древесины с высокой долей добавленной стоимости, виды которой определяются Правительством Российской Федерации в соответствии с частью 2 статьи 80.1 Лесного кодекса Российской Федерации. (в ред. Постановления Правительства РФ от 26.09.2022 N 1691)

4. Наличие у участника конкурса договоров аренды лесных участков для заготовки древесины, срок действия которых в день оценки конкурсного предложения не истек.

5. Численность работников участника конкурса по отношению к численности работающего населения населенного пункта, в границах которого расположены объекты лесоперерабатывающей инфраструктуры участника конкурса.

6. Сведения об участнике конкурса содержатся в едином реестре субъектов малого и среднего предпринимательства. (в ред. Постановления Правительства РФ от 26.09.2022 N 1691)