Постановление Правительства РФ от 30.05.2023 N 878

"О внесении изменений в методику комплексного определения показателей технико-экономического состояния объектов электроэнергетики, в том числе показателей физического износа и энергетической эффективности объектов электросетевого хозяйства"
Редакция от 30.05.2023 — Действует с 10.06.2023

ПРАВИТЕЛЬСТВО РОССИЙСКОЙ ФЕДЕРАЦИИ

ПОСТАНОВЛЕНИЕ
от 30 мая 2023 г. N 878

О ВНЕСЕНИИ ИЗМЕНЕНИЙ В МЕТОДИКУ КОМПЛЕКСНОГО ОПРЕДЕЛЕНИЯ ПОКАЗАТЕЛЕЙ ТЕХНИКО-ЭКОНОМИЧЕСКОГО СОСТОЯНИЯ ОБЪЕКТОВ ЭЛЕКТРОЭНЕРГЕТИКИ, В ТОМ ЧИСЛЕ ПОКАЗАТЕЛЕЙ ФИЗИЧЕСКОГО ИЗНОСА И ЭНЕРГЕТИЧЕСКОЙ ЭФФЕКТИВНОСТИ ОБЪЕКТОВ ЭЛЕКТРОСЕТЕВОГО ХОЗЯЙСТВА

Правительство Российской Федерации постановляет:

Утвердить прилагаемые изменения, которые вносятся в методику комплексного определения показателей технико-экономического состояния объектов электроэнергетики, в том числе показателей физического износа и энергетической эффективности объектов электросетевого хозяйства, утвержденную постановлением Правительства Российской Федерации от 19 декабря 2016 г. N 1401 "О комплексном определении показателей технико-экономического состояния объектов электроэнергетики, в том числе показателей физического износа и энергетической эффективности объектов электросетевого хозяйства, и об осуществлении мониторинга таких показателей" (Собрание законодательства Российской Федерации, 2016, N 52, ст. 7665).

Председатель Правительства
Российской Федерации
М. МИШУСТИН

УТВЕРЖДЕНЫ
постановлением Правительства
Российской Федерации
от 30 мая 2023 г. N 878

ИЗМЕНЕНИЯ, КОТОРЫЕ ВНОСЯТСЯ В МЕТОДИКУ КОМПЛЕКСНОГО ОПРЕДЕЛЕНИЯ ПОКАЗАТЕЛЕЙ ТЕХНИКО-ЭКОНОМИЧЕСКОГО СОСТОЯНИЯ ОБЪЕКТОВ ЭЛЕКТРОЭНЕРГЕТИКИ, В ТОМ ЧИСЛЕ ПОКАЗАТЕЛЕЙ ФИЗИЧЕСКОГО ИЗНОСА И ЭНЕРГЕТИЧЕСКОЙ ЭФФЕКТИВНОСТИ ОБЪЕКТОВ ЭЛЕКТРОСЕТЕВОГО ХОЗЯЙСТВА

1. Абзацы третий, восьмой - четырнадцатый и двадцать первый пункта 2 признать утратившими силу.

2. В пункте 3:

а) в абзаце первом слова "пунктах 13 и 14" заменить словами "пунктах 13 - 14(13)";

б) в абзаце втором слова "с использованием автоматизированной системы мониторинга и комплексного расчета показателей технико-экономического состояния объектов электроэнергетики" исключить;

в) дополнить абзацами следующего содержания:

"Комплексное определение показателей технико-экономического состояния объектов электроэнергетики в соответствии с настоящей методикой применяется для оценки субъектов электроэнергетики, владеющих на праве собственности или на ином законном основании:

объектами по производству электрической энергии (электрическими станциями) суммарной установленной мощностью 25 МВт и более;

объектами электросетевого хозяйства высшим классом номинального напряжения 110 кВ и выше либо обособленных структурных подразделений субъекта электроэнергетики (филиалов) (при их наличии), осуществляющих эксплуатацию объектов электросетевого хозяйства и регулируемую деятельность на территориях субъектов Российской Федерации как территориальные сетевые организации.

Расчет показателей технико-экономического состояния объектов электроэнергетики выполняется в отношении следующего основного технологического оборудования (далее - единицы оборудования):

турбины (паровые, газовые, гидротурбины) установленной мощностью 5 МВт и более;

генераторы (турбогенераторы, гидрогенераторы) номинальной мощностью 5 МВт и более;

котлы энергетические (паровые, котлы-утилизаторы);

силовые (авто-) трансформаторы высшим классом номинального напряжения 110 кВ и выше;

линии электропередачи высшим классом номинального напряжения 110 кВ и выше.".

3. Пункт 5 изложить в следующей редакции:

"5. Комплексный показатель технико-экономического состояния объектов электроэнергетики определяется на основе анализа следующей информации:

а) сведения о техническом состоянии объектов электроэнергетики;

б) сведения о технико-экономической эффективности ремонтной деятельности на объектах электроэнергетики;

в) сведения об энергетической эффективности объектов электроэнергетики.".

4. Подпункт "б" пункта 6 изложить в следующей редакции:

"б) неудовлетворительное состояние - высокий уровень риска;".

5. Подпункты "б" и "в" пункта 8 изложить в следующей редакции:

"б) неудовлетворительное состояние - состояние оборудования и (или) объекта электроэнергетики, при котором требуется усиленный контроль технического состояния оборудования и (или) объекта электроэнергетики и планирование технического воздействия в рамках технического перевооружения, при этом эксплуатация объекта электроэнергетики или оборудования возможна с ограничениями;

в) удовлетворительное состояние - состояние оборудования и (или) объекта электроэнергетики, при котором требуется усиленный контроль технического состояния оборудования и (или) объекта электроэнергетики и планирование технического воздействия в рамках реконструкции или капитального ремонта;".

6. В абзаце первом пункта 10 цифру "1" заменить цифрами "100".

7. В пункте 12:

а) в абзаце первом слова "с пунктом 13" заменить словами "с пунктами 14 - 14(13)";

б) абзацы второй - четвертый изложить в следующей редакции:

"Уровень физического износа (Износ) рассчитывается по формуле:

где ИТС - индекс технического состояния.".

8. Пункты 13 и 14 изложить в следующей редакции:

"13. В качестве исходных данных для расчетов показателей техникоэкономической эффективности объектов электроэнергетики принимается информация, предоставляемая субъектами электроэнергетики в соответствии с требованиями, предусмотренными перечнем предоставляемой субъектами электроэнергетики информации, формой и порядком ее предоставления, утвержденными Министерством энергетики Российской Федерации.

Оцениваемым показателем технико-экономической эффективности объектов электроэнергетики является технико-экономическая эффективность ремонтной деятельности объектов оценки.

Для определения показателя технико-экономической эффективности ремонтной деятельности величина снижения технических рисков после выполненных технических воздействий, связанных с изменением индекса технического состояния оборудования, сопоставляется с величиной максимального снижения технических рисков при условии выполнения технических воздействий на оборудовании с учетом фактических затрат на технические воздействия в отчетном периоде.

Для целей оценки технико-экономической эффективности объектов электроэнергетики используется информация, предоставляемая субъектами электроэнергетики в соответствии с перечнем форм предоставления в обязательном порядке федеральными органами исполнительной власти, органами исполнительной власти субъектов Российской Федерации, органами местного самоуправления информации для включения в государственную информационную систему топливно-энергетического комплекса, утвержденным распоряжением Правительства Российской Федерации от 27 июля 2019 г. N 1677-р.

В качестве данных, используемых для расчета показателя энергетической эффективности объектов электроэнергетики, принимается следующая информация:

фактические потери и величина отпуска электрической энергии в электрическую сеть для субъектов электросетевого хозяйства;

фактические потери электрической энергии в трансформаторах электростанции и станционной электрической сети и величина выработки электрической энергии для субъектов генерации.

Показатель энергетической эффективности объектов электроэнергетики определяется уровнем потерь в отчетном и предшествующем отчетному периодах.

14. Порядок расчета технико-экономической эффективности ремонтной деятельности приведен в пунктах 14(1) - 14(13) настоящей методики.".

9. Дополнить пунктами 14(1) - 14(13) следующего содержания:

"14(1). Технический риск отказа единицы оборудования объекта оценки, техническое воздействие на которую выполнено в оцениваемом периоде, определяется в состоянии до технического воздействия () и после технического воздействия (). Расчет технического риска проводится в соответствии с методическими указаниями по расчету вероятности отказа функционального узла и единицы основного технологического оборудования и оценки последствий такого отказа, утверждаемыми Министерством энергетики Российской Федерации (далее - методические указания).

14(2).Величина суммарного снижения технических рисков на объекте оценки в результате выполнения технического воздействия на оборудование () рассчитывается по формуле:

,

где:

- технический риск отказа i-й единицы оборудования объекта оценки, техническое воздействие на которую выполнено в отчетном периоде, в состоянии до технического воздействия (тыс. руб.);

- технический риск отказа i-й единицы оборудования объекта оценки после выполненного технического воздействия в отчетном периоде (тыс. руб.).

14(3).Величина возможного снижения риска отказа единицы оборудования, приводящего к повышению индекса технического состояния единицы оборудования до установленной величины, при условии выполнения технических воздействий () рассчитывается по формуле:

,

где:

- технический риск отказа j-й единицы оборудования объекта оценки по состоянию на начало оцениваемого периода (года) (тыс. руб.);

- технический риск отказа j-й единицы оборудования объекта оценки при условии выполнения технического воздействия, приводящего к повышению индекса технического состояния единицы оборудования до установленной величины (тыс. руб.).

Под установленной величиной понимается:

ИТС > 70 при условии наличия на объекте оценки оборудования с ИТС 70;

ИТС > 85 при условии отсутствия на объекте оценки оборудования с ИТС 70;

рассчитывается на основании прогнозного значения индекса технического состояния j-й единицы оборудования объекта оценки с учетом устранения в ходе технического воздействия имеющихся на j-й единице оборудования объекта оценки дефектов.

14(4). Величина затрат для снижения риска отказа единицы оборудования с учетом средних затрат для однотипного оборудования при условии выполнения технических воздействий, приводящих к повышению индекса технического состояния единицы оборудования до установленной величины (), рассчитывается по формуле:

,

где:

- индекс технического состояния j-й единицы оборудования при условии выполнения на ней технического воздействия, приводящего к повышению индекса технического состояния до установленной величины;

- индекс технического состояния j-й единицы оборудования по состоянию на начало оцениваемого периода (года);

- средние затраты по отрасли за последние 3 года для оцениваемого однотипного оборудования (признаки групп оборудования приведены в приложении N 7 к настоящей методике) при условии выполнения на нем технических воздействий, приводящих к повышению индекса технического состояния оборудования до установленной величины.

14(5). Величина средних затрат по отрасли за последние 3 года для оцениваемого однотипного оборудования (признаки групп оборудования приведены в приложении N 7 к настоящей методике) при условии выполнения на нем технических воздействий, приводящих к повышению индекса технического состояния оборудования до установленной величины (), рассчитывается по формуле:

,

где:

- фактические затраты на техническое воздействие, которое привело к повышению индекса технического состояния j-й единицы оборудования в группе однотипного оборудования за 3 года, предшествующие периоду оценки (тыс. руб.);

- изменение значения индекса технического состояния j-й единицы оборудования в группе однотипного оборудования после выполнения на ней технического воздействия (ед. ИТС).

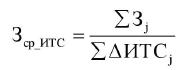
14(6). Максимальное снижение рисков на объекте оценки при условии выполнения технических воздействий, приводящих к повышению индекса технического состояния единицы оборудования до установленной величины при фактических затратах на техническое воздействие в отчетном периоде (), рассчитывается по формуле:

,

где - суммарные фактические затраты на объекте на выполнение технических воздействий на оборудование, приведших к изменению индекса технического состояния единиц оборудования в отчетном периоде (тыс. руб.).

14(7). Технико-экономическая эффективность ремонтной деятельности () рассчитывается по формуле:

,

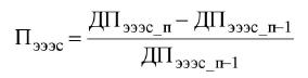
14(8). Показатель энергетической эффективности объектов генерации () рассчитывается по формуле:

,

где и - доля потерь электрической энергии в отчетном году (п) и году, предшествующем отчетному (п-1).

14(9). Доля потерь электрической энергии в отчетном году (п) и году, предшествующем отчетному (п-1), по объектам генерации () рассчитывается по формуле:

,

где:

- фактические потери электрической энергии в трансформаторах электростанции и станционной электрической сети (МВтч);

- выработка электрической энергии электростанцией (МВт ч).

14(10). Показатель энергетической эффективности электрических сетей () рассчитывается по формуле:

,

где:

и - доля потерь электрической энергии в отчетном году (п) и году, предшествующем отчетному (п-1).

14(11). Доля потерь электрической энергии в отчетном году (п) и году, предшествующем отчетному (п-1), по объектам электрических сетей () рассчитывается по формуле:

,

где:

- фактические потери электрической энергии в электрической сети в отчетном году и году, предшествующем отчетному (МВтч);

- отпуск электрической энергии в электрическую сеть в отчетном году и году, предшествующем отчетному (МВтч).

14(12). Комплексная оценка технико-экономического состояния объектов электроэнергетики () рассчитывается по формуле:

,

где - коэффициент динамики величины потерь электрической энергии для > 0, что соответствует росту уровня потерь;

1,05 - при значении показателя энергетической эффективности объекта оценки 0, что соответствует снижению уровня потерь.

14(13). Результаты комплексной оценки технико-экономического состояния объектов электроэнергетики () определяются следующим образом:

при 0,9 - фактическое технико-экономическое состояние сопоставимо с максимально возможным, деятельность объекта оценки считается высокоэффективной;

при 0,8 < 0,9 - фактическое технико-экономическое состояние имеет резерв повышения, деятельность объекта оценки считается умеренно эффективной;

при < 0,8 - фактическое технико-экономическое состояние существенно ниже максимально возможного, деятельность объекта оценки считается низкоэффективной. Итоговый рейтинг объектов оценки по технико-экономическому состоянию формируется таким образом, что наибольшему значению соответствует наивысшая эффективность, а наименьшему - низшая.".

10. В абзаце первом пункта 15 слова "посредством автоматизированной системы мониторинга и комплексного расчета показателей техникоэкономического состояния объектов электроэнергетики" исключить.

11. Пункт 16 признать утратившим силу.

12. Пункт 17 изложить в следующей редакции:

"17. Ежегодные результаты мониторинга показателей технико-экономического состояния объектов электроэнергетики, включая итоговую информацию по проведенным расчетам этих показателей и значение средних затрат по отрасли на выполнение технических воздействий, публикуются Министерством энергетики Российской Федерации в информационно-телекоммуникационной сети "Интернет" на официальном сайте Министерства.".

13. Приложения N 1 - 6 к указанной методике признать утратившими силу.

14. Дополнить приложением N 7 следующего содержания:

"Приложение N 7
к методике комплексного определения
показателей технико-экономического состояния
объектов электроэнергетики,
в том числе показателя физического износа
и энергетической эффективности
объектов электросетевого хозяйства

ПРИЗНАКИ ГРУПП ОБОРУДОВАНИЯ

Класс оборудования Вид оборудования Признаки
Турбины паровые, газовые, гидравлические мощность, МВт:
до 25
от 25 до 100
от 100 до 250
от 250 до 300
Генераторы турбогенераторы, гидрогенераторы мощность, МВт:
до 25
от 25 до 100
от 100 до 250
от 250 до 300
Котлы энергетические паровые, котлы-утилизаторы вид топлива:
уголь
газ
мазут
паропроизводительность, тонн в час:
до 100
от 100 до 250
от 250 до 500
от 500 до 1000
Трансформаторы (автотрансформаторы) класс напряжения, кВ:
110 (150)
220 - 330 (400)
500 - 750
мощность, MBA:
до 40
63 - 125
160 - 250
Линии электропередачи воздушные, кабельные класс напряжения, кВ:
110 (150)
220 - 330 (400)
500 - 750
протяженность, км".