Аккумуляторы свинцовые стационарные. Общие технические условия. ГОСТ 26881-86

(утв. Постановлением Госстандарта СССР от 25.04.86 N 1101)
Редакция от 27.09.1988 — Действует с 01.04.1989

Ограничение срока действия снято по Протоколу N 4-93 Межгосударственного Совета по стандартизации, метрологии и сертификации.


ГОСУДАРСТВЕННЫЙ СТАНДАРТ СОЮЗА ССР

АККУМУЛЯТОРЫ СВИНЦОВЫЕ СТАЦИОНАРНЫЕ

ОБЩИЕ ТЕХНИЧЕСКИЕ УСЛОВИЯ

Stationary lead-acid cells. General specifications

ГОСТ 26881-86

(в ред. Изменения N 1, утв. Постановлением Госстандарта СССР от 28.09.88 N 3299)

Постановлением Государственного комитета СССР по стандартам от 25 апреля 1986 г. N 1101 срок действия установлен с 01.01.1988 до 01.01.1993.

Настоящий стандарт распространяется на кислотные свинцовые стационарные аккумуляторы, используемые в качестве источника постоянного тока на электрических станциях и подстанциях, телеграфных, телефонных узлах связи, на железных дорогах для питания устройств автоматики, телемеханики, а также для экспорта.

Аккумуляторы предназначены для работы в условиях эксплуатации группы М1 по ГОСТ 17516-72 в режимах постоянного подзаряда и заряда-разряда.

1. ОСНОВНЫЕ ПАРАМЕТРЫ И РАЗМЕРЫ

1.1. Свинцовые стационарные аккумуляторы подразделяют:

по конструктивному исполнению:

закрытые - с пастированными и панцирными электродными пластинами, (в ред. Изменения N 1, утв. Постановлением Госстандарта СССР от 28.09.88 N 3299)

открытые - с поверхностными и коробчатыми электродными пластинами;

по категории размещения:

закрытые - категории 2, 4.2,

открытые - категории 4.2 по ГОСТ 15150-69. (в ред. Изменения N 1, утв. Постановлением Госстандарта СССР от 28.09.88 N 3299)

1.2. Номинальное напряжение аккумулятора - 2,0 В.

1.3. Основные параметры и размеры аккумуляторов должны соответствовать требованиям, установленным в нормативно-технической документации.

Номинальная емкость аккумуляторов (, А x ч) устанавливается в диапазоне от 36 до 6000 А x ч и должна быть указана в стандарте или технических условиях на аккумулятор конкретного типа.

1.4. Условное обозначение аккумуляторов устанавливают в соответствии с нормативно-технической документацией.

Пример условного обозначения аккумулятора должен быть указан в стандарте или технических условиях на аккумулятор конкретного типа.

Условное обозначение электродных пластин аккумуляторов открытого исполнения (далее - электродных пластин) указывается в стандарте или технических условиях на аккумулятор конкретного типа.

2. ТЕХНИЧЕСКИЕ ТРЕБОВАНИЯ

2.1. Аккумуляторы должны изготовлять в соответствии с требованиями настоящего стандарта и стандарта или технических условий на аккумулятор конкретного типа по конструкторской и технологической документации, утвержденной в установленном порядке.

2.2. Требования к конструкции

2.2.1. Габаритные, установочные и присоединительные размеры аккумуляторов, а также электродных пластин должны соответствовать чертежам, приведенным в стандарте или технических условиях на аккумулятор конкретного типа.

Масса аккумулятора не должна превышать значений, установленных в стандарте или технических условиях на аккумулятор конкретного типа.

2.2.2. Баки аккумуляторов должны соответствовать требованиям нормативно-технической или конструкторской документации, утвержденной в установленном порядке.

2.2.3. Сепараторы аккумуляторов должны соответствовать требованиям нормативно-технической документации, утвержденной в установленном порядке.

2.2.4. Аккумуляторы закрытого исполнения должны иметь фильтр-пробки, задерживающие аэрозоли серной кислоты, или каталитические пробки, что указывают в стандарте или технических условиях на аккумулятор конкретного типа.

2.2.5. Аккумуляторы закрытого исполнения должны быть герметизированы в выводах и в зазорах между крышкой и баком, и выдерживать давление повышенное или пониженное по сравнению с атмосферным на 20 кПа (150 мм рт. ст. +/- 10 мм рт. ст.) при температуре (25 +/- 10) °C.

2.2.6. Аккумуляторы закрытого исполнения должны выпускать в разряженном состоянии без электролита или с загущенным электролитом. (в ред. Изменения N 1, утв. Постановлением Госстандарта СССР от 28.09.88 N 3299)

Аккумуляторы открытого исполнения должны выпускаться в виде комплекта деталей (электродные пластины в разряженном состоянии, баки, сепараторы и другие детали).

Внешний вид аккумуляторов и комплекта деталей должен соответствовать требованиям, указанным в стандарте или технических условиях на аккумулятор конкретного типа.

2.2.7. Токоведущие детали аккумуляторов и батарей должны выдерживать кратковременную электрическую нагрузку током до (открытого исполнения), током до (закрытого исполнения).

2.2.8. Конструкция аккумулятора должна предусматривать возможность механизированного перемещения их при техническом обслуживании, что указывается в стандарте или технических условиях на аккумулятор конкретного типа.

2.2.9. Конструкция аккумулятора по согласованию с потребителем должна предусматривать возможность визуального контроля уровня электролита, а также применения устройств автоматического контроля напряжения, температуры, плотности и уровня электролита, что указывается в стандарте или технических условиях на аккумулятор конкретного типа.

2.2.10. Аккумуляторы должны быть взрыво- и пожаробезопасны.

2.3. Требования к электрическим параметрам и режимам эксплуатации

2.3.1. Электрические параметры аккумуляторов должны соответствовать требованиям пп. 2.3.1.1 - 2.3.1.3.

2.3.1.1. Емкость аккумуляторов при температуре электролита (20 +/- 5) °C и плотности электролита, указанной в стандарте или технических условиях на аккумулятор конкретного типа, должна соответствовать указанной в табл. 1. (в ред. Изменения N 1, утв. Постановлением Госстандарта СССР от 28.09.88 N 3299)

Таблица 1

Режим разряда
Продолжительность, ч Ток, А Конечное напряжение, В, не менее Емкость, А x ч
10 0,1 1,8
5 0,165 0,82
3 0,25 0,75
1 0,5 1,75 0,5
0,5 0,7 0,35
0,25 0,88 0,22

Емкость аккумуляторов закрытого исполнения категории размещения 4.2 при 10-, 5-, 3-, 1-часовых режимах разряда должна быть достигнута на первом цикле, при 0,5- и 0,25-часовых режимах разряда - на 4 цикле.

Для аккумуляторов закрытого исполнения категории 2 и открытого - 4.2 (электродные пластины) допускается достижение номинальной емкости не позднее 10-го цикла, что должно быть указано в стандарте или технических условиях на аккумулятор конкретного типа. (в ред. Изменения N 1, утв. Постановлением Госстандарта СССР от 28.09.88 N 3299)

Емкость аккумуляторов на первом цикле при 10-, 5-, 3-, 1-, 0,5-, 0,25-часовых режимах разряда должна быть не менее 70% емкости от указанной в табл. 1 для соответствующего режима разряда. (в ред. Изменения N 1, утв. Постановлением Госстандарта СССР от 28.09.88 N 3299)

Допускается разряд аккумуляторов 25-, 7,5- и 2-часовыми режимами разряда. Значение разрядного тока, емкости и конечного напряжения устанавливают в стандарте или технических условиях на аккумулятор конкретного типа.

Для 0,5- и 0,25-часовых режимов разряда аккумуляторов с панцирными пластинами конечное напряжение должно быть не менее 1,7 В. (в ред. Изменения N 1, утв. Постановлением Госстандарта СССР от 28.09.88 N 3299)

2.3.1.2. Напряжение разомкнутой цепи, начальное напряжение, среднее напряжение аккумулятора в заданных режимах разряда по согласованию с потребителем указывают в стандарте или технических условиях на аккумулятор конкретного типа.

2.3.1.3. Аккумуляторы открытого исполнения (электродные пластины) должны обеспечивать кратковременный (не более 5 с) разряд током не более , при этом напряжение полностью заряженных аккумуляторов (электродных пластин) не должно снижаться более чем на 0,4 В от напряжения в момент, предшествующий разряду.

Аккумуляторы закрытого исполнения должны обеспечивать кратковременный (1 мин) разряд током . Конечное напряжение указывается в стандарте или технических условиях на аккумулятор конкретного типа.

2.3.2. Электрические параметры аккумуляторов в процессе и после воздействия внешних воздействующих факторов должны соответствовать указанным в пп. 2.3.2.1 и 2.3.2.2, а остальные - требованиям п. 2.3.1.

2.3.2.1. Емкость аккумуляторов категории размещения 4.2 при температуре электролита 5 и 45 °C указывается в стандарте или технических условиях на аккумулятор конкретного типа.

2.3.2.2. Емкость аккумуляторов категории размещения 2 при температуре электролита минус 10 °C указывается в стандарте или технических условиях на аккумулятор конкретного типа и должна быть не менее 0,4.

2.3.3. Электрические параметры аккумуляторов при их эксплуатации и хранении в режимах и условиях, установленных настоящим стандартом и стандартом или техническими условиями на аккумулятор конкретного типа в конце срока службы (наработки) и срока сохраняемости, установленных в п. 2.5, должны соответствовать указанным в п. 2.3.3.1, а остальные требования - п. 2.3.1.

2.3.3.1. Емкость аккумуляторов в конце срока службы (наработки) должна быть не менее 80% емкости, указанной в п. 2.3.1.1. (в ред. Изменения N 1, утв. Постановлением Госстандарта СССР от 28.09.88 N 3299)

2.3.4. Среднесуточный саморазряд аккумуляторов и электродных пластин при температуре окружающей среды (20 +/- 5) °C после хранения их в заряженном состоянии в течение 15 сут не должен превышать 0,7% для аккумуляторов закрытого исполнения и 0,9% для электродных пластин аккумуляторов открытого исполнения.

2.3.5. Значение полного внутреннего сопротивления к переменному току в диапазоне частот до 1000 Гц для различных режимов работы в соответствии с табл. 1 устанавливается в приложении к стандарту или техническим условиям на аккумулятор конкретного типа. (в ред. Изменения N 1, утв. Постановлением Госстандарта СССР от 28.09.88 N 3299)

2.3.6. Допускаемые значения зарядных токов аккумуляторов при различных режимах заряда и разрядные кривые для указанных в табл. 1 режимов разряда по согласованию с потребителем должны быть приведены в приложении к стандарту или техническим условиям на аккумулятор конкретного типа.

2.3.7. Удельная энергия аккумуляторов по массе и объему, удельная материалоемкость должны быть указаны в стандарте или технических условиях на аккумулятор конкретного типа. (в ред. Изменения N 1, утв. Постановлением Госстандарта СССР от 28.09.88 N 3299)

2.3.8. Вольт-секундные характеристики аккумуляторов при переходе из режима заряда или подзаряда в разряд при нормальных климатических условиях по согласованию с потребителем должны быть указаны в приложении к стандарту или техническим условиям на аккумулятор конкретного типа.

2.4. Требования по стойкости к внешним воздействующим факторам

2.4.1. Аккумуляторы должны изготовлять:

для электрических станций, подстанций и др. - исполнения 0, категории размещения 4.2 по ГОСТ 15150-69, для работы при температуре от 5 до 45 °C;

для устройств автоматики, телемеханики на железных дорогах и др. - исполнения 0, категории размещения 2 по ГОСТ 15150-69 для работы при температуре от минус 50 до 55 °C (при этом температура электролита не должна быть ниже минус 10 °C).

2.4.2. Аккумуляторы должны быть стойкими к воздействию изменения температуры окружающей среды от минус 60 до 60 °C при транспортировании.

2.5. Требования к надежности

2.5.1. Полный средний ресурс в режимах и условиях, установленных в настоящем стандарте, должен быть не менее:

800 циклов для аккумуляторов закрытого исполнения категории размещения 4.2 по ГОСТ 15150-69, при этом емкость с 10-го по 450-й цикл при 10- или 1-часовых режимах разряда должна быть не менее указанной в табл. 1, с 451-го по 800-й цикл - не менее 80% от указанной в табл. 1; (в ред. Изменения N 1, утв. Постановлением Госстандарта СССР от 28.09.88 N 3299)

400 циклов для аккумуляторов закрытого исполнения категории размещения 2 по ГОСТ 15150-69, при этом емкость с 10-го по 250-й цикл при 10- или 1-часовых режимах разряда должна быть не менее указанной в табл. 1, с 251-го по 400-й цикл - не менее 80% от указанной в табл. 1. (в ред. Изменения N 1, утв. Постановлением Госстандарта СССР от 28.09.88 N 3299)

2.5.2. Полный средний срок службы в режимах постоянного подзаряда и условиях, установленных в настоящем стандарте, должен быть не менее: (в ред. Изменения N 1, утв. Постановлением Госстандарта СССР от 28.09.88 N 3299)

10 лет - для аккумуляторов закрытого исполнения категории размещения 4.2;

20 лет - для аккумуляторов открытого исполнения;

5 лет - для аккумуляторов закрытого исполнения категории размещения 2.

2.5.3. Полный средний срок службы аккумуляторов открытого исполнения в буферном режиме и условиях, установленных в настоящем стандарте, должен быть 10 лет.

2.5.4. Допустимый срок сохраняемости должен быть:

4 года - для аккумуляторов закрытого исполнения категории размещения 4.2;

2 года - для аккумуляторов закрытого исполнения категории размещения 2;

1 год - для электродных пластин аккумуляторов открытого исполнения.

2.5.5. Наработку на отказ аккумуляторов открытого исполнения выбирают из ряда 500, 1000, 2000, 3000, 5000 и 10000 ч, что устанавливают в стандарте или технических условиях на аккумулятор конкретного типа.

3. ТРЕБОВАНИЯ БЕЗОПАСНОСТИ

3.1. Требования безопасности к конструкции производственного оборудования, применяемого при производстве и эксплуатации аккумуляторов, должны соответствовать требованиям ГОСТ 12.2.003-74 и ГОСТ 12.2.049-80.

3.2. Требования безопасности к конструкции аккумуляторов должны соответствовать требованиям ГОСТ 12.2.007.12-88. (в ред. Изменения N 1, утв. Постановлением Госстандарта СССР от 28.09.88 N 3299)

3.3. Требования по обеспечению взрыво- и пожарной безопасности должны соответствовать требованиям ГОСТ 12.1.010-76 и ГОСТ 12.1.004-85.

В связи с утратой силы Приказа Минэнерго РФ от 13.01.2003 N 6 с 07.01.2023 следует руководствоваться принятым взамен Приказом Минэнерго РФ от 12.08.2022 N 811.

Правила техники безопасности при эксплуатации электроустановок потребителей, утвержденные Госэнергонадзором фактически утратили силу. Аналогичные нормы содержатся в Приказе Минтруда РФ от 15.12.2020 N 903н.

3.4. Электрические испытания и измерения, осуществляемые для проверки качества и обслуживания аккумуляторов, должны соответствовать требованиям ГОСТ 12.3.019-80 и ГОСТ 12.2.007.12-75, Правилам устройства электроустановок, Правилам технической эксплуатации электроустановок потребителей и Правилам техники безопасности при эксплуатации электроустановок потребителей, утвержденным Госэнергонадзором.

3.5. Требования к защитному заземлению и занулению электроустановок постоянного и переменного тока должны соответствовать требованиям ГОСТ 12.1.030-81.

3.6. Содержание вредных веществ свинца и его соединений, серной кислоты и других, применяемых при производстве аккумуляторов материалов, в воздухе рабочей зоны не должны превышать предельно допустимых концентраций по ГОСТ 12.1.005-76.

3.7. Требования к организации обучения безопасности труда работающих на производстве аккумуляторов должны соответствовать требованиям ГОСТ 12.0.004-79.

4. КОМПЛЕКТНОСТЬ

4.1. Комплектность аккумуляторов закрытого исполнения устанавливают в стандарте или технических условиях на аккумулятор конкретного типа.

В комплект входят:

аккумуляторы;

техническое описание;

инструкция по эксплуатации;

паспорт;

товаросопроводительная документация в соответствии с требованиями ГОСТ 6.37-79;

ЗИП.

Комплектность аккумуляторов открытого исполнения устанавливают в стандарте или технических условиях на аккумулятор конкретного типа.

Допускается объединять эксплуатационные документы в соответствии с требованиями ГОСТ 2.601-68.

По согласованию с потребителем допускается не включать в комплект техническое описание и инструкцию по эксплуатации.

5. ПРАВИЛА ПРИЕМКИ

5.1. Для проверки соответствия аккумуляторов требованиям настоящего стандарта устанавливают следующие категории испытаний:

приемосдаточные, периодические, на надежность, типовые, а также входной контроль потребителя.

5.2. Приемосдаточные испытания

5.2.1. Аккумуляторы закрытого исполнения и комплекты деталей аккумуляторов открытого исполнения предъявляют к приемке партиями.

За партию принимают аккумуляторы закрытого исполнения (комплекты деталей аккумуляторов открытого исполнения) одного типа, изготовленные в одинаковых технологических условиях за период не более 30 сут. Объем партии устанавливают в стандарте или технических условиях на аккумулятор конкретного типа.

5.2.2. Состав испытаний, деление его на группы и последовательность проведения испытаний в пределах каждой группы должны соответствовать указанным в табл. 2.

Таблица 2

Группа испытания Вид испытания или проверки Пункт
требований методов контроля
С-1 Проверка внешнего вида 2.1; 2.2.4; 2.2.6 6.2.3
  Проверка комплектности 4.1 6.2.3
  Проверка маркировки 7.1 6.2.3
  Проверка герметичности аккумуляторов закрытого исполнения в выводах и зазорах 2.2.5 6.2.4
С-2 Проверка размеров: 2.2.1 6.2.1
  аккумуляторов закрытого исполнения; 2.2.1 6.2.1
  электродных пластин аккумуляторов открытого исполнения; 2.2.2  
  баков аккумуляторов открытого исполнения. 2.2.1 6.2.2
  Проверка массы    
С-3 Проверка емкости:    
аккумуляторов закрытого исполнения электродных пластин 2.3.1.1 6.3.1
аккумуляторов открытого исполнения 6.3.2

5.2.3. Испытания по группе С-1 проводят по плану сплошного контроля.

Испытания по группам С-2 и С-3 проводят последовательно на одной и той же выборке.

Испытания проводят по плану выборочного двухступенчатого контроля.

Объем выборок ( и ) устанавливают для партий аккумуляторов:

до 150 шт. = 3 шт., = 3 шт.;
от 151 до 500 шт. = 5 шт., = 5 шт.;
от 501 до 1200 шт. = 8 шт., = 8 шт;
от 1201 до 10000 шт. = 10 шт., = 10 шт.

(в ред. Изменения N 1, утв. Постановлением Госстандарта СССР от 28.09.88 N 3299)

свыше 10000 шт. = 20 шт., = 20 шт.

(в ред. Изменения N 1, утв. Постановлением Госстандарта СССР от 28.09.88 N 3299)

Допускается проверку емкости проводить по плану выборочного контроля по количественному признаку по ГОСТ 20736-75, при этом значение контрольного норматива устанавливают в стандарте или технических условиях на аккумулятор конкретного типа.

5.2.4. Если при выборочном контроле при испытаниях выборки не будет обнаружено дефектных аккумуляторов, то результаты испытаний считают удовлетворительными и испытания выборки не проводят;

если при испытаниях выборки будет обнаружен один дефектный аккумулятор, то проводят испытания выборки ;

результаты испытаний считают удовлетворительными, если в выборке не обнаружено ни одного дефектного аккумулятора, и неудовлетворительными, если обнаружен хотя бы один;

если при испытаниях выборки обнаружено два или более дефектных аккумуляторов, то результаты испытаний считают неудовлетворительными и испытания выборки не проводят.

5.2.5. Приемку аккумуляторов приостанавливают, если из десяти последовательно предъявленных партий три партии забракованы.

Приемку возобновляют после анализа причин дефектов и принятия мер по их устранению и предупреждению.

5.3. Периодические испытания

5.3.1. Состав испытаний, деление его на группы, последовательность испытаний в пределах каждой группы и периодичность проведения испытаний должны соответствовать указанным в табл. 3.

Таблица 3

Группа испытания Вид испытания или проверки Периодичность испытания, мес Пункт
требований методов контроля
П-1 Испытание на безотказность аккумуляторов закрытого исполнения 3 2.5.1 6.5.2.1
П-2 Проверка саморазряда 12 2.3.4 6.3.4
П-3 Проверка конечного напряжения при 1-минутном режиме разряда аккумуляторов закрытого исполнения 2.3.1.3 6.3.5
Проверка падения напряжения аккумуляторов открытого исполнения при разряде 2.3.1.3 6.3.3
П-4 Испытание на воздействие пониженной рабочей температуры среды 12 2.3.2.1, 2.3.2.2 6.4.1
  Испытание на воздействие повышенной рабочей температуры среды   2.3.2.1 6.4.2
П-5 Испытание упаковки на прочность <*> - 7.2 6.6

<*> Испытания проводят при наличии рекламаций.

5.3.2. Испытания по группам П-1, П-3 - П-5 проводят на самостоятельных выборках.

Испытания аккумуляторов открытого исполнения (электродных пластин) по группе П-2 проводят на самостоятельной выборке; испытания аккумуляторов закрытого исполнения по группе П-2 проводят в процессе испытаний на долговечность (п. 5.4.1).

Испытания по группе П-4 проводят на аккумуляторах, выдержавших испытания по группе П-3.

Отбор выборок для испытаний по группам П-1 и П-3 проводят из числа аккумуляторов, по группе П-2 - электродных пластин, выдержавших испытания по группе С-3; отбор выборки для испытания по группе П-5 проводят из числа принятых аккумуляторов (комплектов деталей).

5.3.3. Испытания по группе П-1 проводят по плану выборочного одноступенчатого контроля с приемочным числом, равным нулю, на выборке объемом 5 аккумуляторов.

5.3.4. Испытание по группе П-2 проводят по плану выборочного одноступенчатого контроля, по группам П-3 и П-4 - по планам выборочного двухступенчатого контроля. Объем выборки по группе П-3: = 5 шт., = 5 шт. Объемы выборок по группе П-5: = 3 шт., = 3 шт.

5.3.5. Если при испытаниях выборки не будет обнаружено дефектных аккумуляторов, то результаты испытаний считают удовлетворительными и испытания выборки не проводят.

Если при испытаниях выборки будет обнаружен один дефектный аккумулятор, то проводят испытания выборки . Результаты испытаний считают удовлетворительными, если на выборке не обнаружено ни одного дефектного аккумулятора, и неудовлетворительными, если обнаружен хотя бы один.

Если при испытаниях выборки обнаружено два или более дефектных аккумуляторов, то результаты испытаний считают неудовлетворительными и испытания выборки не проводят.

5.3.6. Результаты испытаний оформляют протоколом по ГОСТ 15.001-73. Протоколы испытаний предъявляют потребителю по его требованию.

5.3.7. Требования пп. 2.3.5 - 2.3.8 проверяют при постановке аккумуляторов на производство. (в ред. Изменения N 1, утв. Постановлением Госстандарта СССР от 28.09.88 N 3299)

5.4. Испытания на надежность

5.4.1. Испытания на долговечность

5.4.1.1. Испытания аккумуляторов на долговечность (п. 2.5.1) являются продолжением испытаний на безотказность, проведенных в составе периодических испытаний.

Испытания аккумуляторов закрытого исполнения проводят в режиме, установленном в п. 6.5.3.1, один раз в год. Объем выборки 5 аккумуляторов.

5.4.1.2. Результаты испытаний считают удовлетворительными, если односторонняя нижняя граница полного среднего ресурса аккумуляторов с доверительной вероятностью 0,8 не ниже требований, установленных в п. 2.5.1. (в ред. Изменения N 1, утв. Постановлением Госстандарта СССР от 28.09.88 N 3299)

5.4.1.3. При неудовлетворительных результатах испытаний проводят анализ отказов, устанавливают их причины и проводят мероприятия по повышению долговечности аккумуляторов.

После внедрения указанных мероприятий проводят испытания на выборке аккумуляторов, изготовленных после реализации плана мероприятий.

5.4.1.4. Результаты испытаний оформляют протоколом. Протоколы испытаний предъявляют потребителю по его требованию.

5.4.1.5. Контроль соответствия аккумуляторов требованиям по сроку службы (пп. 2.5.2, 2.5.3) проводят методом наблюдения. Планирование наблюдений - по ГОСТ 27.502-83, методы оценки - по ГОСТ 27.503-81.

5.4.2. Испытания на сохраняемость

5.4.2.1. Испытания на сохраняемость (п. 2.5.4) проводят один раз на выборке объемом 20 аккумуляторов, отобранных методом случайного отбора в течение первого года серийного производства.

5.4.2.2. По окончании срока хранения аккумуляторы подвергают проверкам в составе групп С-1 и С-3 последовательно. Затем аккумуляторы открытого исполнения подвергают испытаниям по группе П-2, а аккумуляторы закрытого исполнения - по группе П-1 и испытаниям на долговечность.

5.4.2.3. Результаты испытаний считают удовлетворительными, если в процессе хранения и последующих испытаний обнаружено не более одного отказа. При неудовлетворительных результатах принимают меры для устранения причин, вызывающих отказы, а затем проводят повторные испытания.

5.4.2.4. Результаты испытаний оформляют протоколом. Протоколы испытаний предъявляют потребителю по его требованию.

5.5. Типовые испытания

5.5.1. Испытания проводят по программе, утвержденной в установленном порядке.

5.5.2. Результаты испытаний оформляют протоколом. Протоколы испытаний предъявляют потребителю по его требованию.

5.6. Входной контроль

5.6.1. Потребитель проводит входной контроль аккумуляторов по требованиям, правилам и методам, установленным в настоящем стандарте и стандарте или технических условиях на аккумулятор конкретного типа.

За партию принимают аккумуляторы закрытого исполнения (комплекты деталей аккумуляторов открытого исполнения) одного типа, полученные потребителем по одному товаросопроводительному документу.

6. МЕТОДЫ КОНТРОЛЯ

6.1. Все испытания, условия которых не оговорены в настоящем стандарте и стандарте или технических условиях на аккумулятор конкретного типа, проводят в нормальных климатических условиях по ГОСТ 20.57.406-81.

6.1.1. При проведении испытаний применяют:

ГОСТ 6709-72 отменен. Взамен него с 01.07.2019 введен в действие ГОСТ Р 58144-2018.

воду по ГОСТ 6709-72;

аккумуляторную серную кислоту по ГОСТ 667-73, сорт А;

зарядно-разрядное устройство;

вольтметр постоянного тока класса точности не ниже 0,5 по ГОСТ 8711-78;

амперметр постоянного тока по ГОСТ 8711-78;

термометр ртутный стеклянный по ГОСТ 2045-71;

термометр спиртовой стеклянный метеорологический низкоградусный по ГОСТ 112-78;

ареометр по ГОСТ 18481-81;

манометр или вакуумметр по ГОСТ 9933-75;

весы по ГОСТ 23676-79;

камеру тепла ТВ-1000;

камеру холода ТВ-1000;

измерительный инструмент или шаблон, обеспечивающий точность измерения по ГОСТ 8.051-81;

часы по ГОСТ 3145-84;

трубки стеклянные с внутренним диаметром 3 - 5 мм для измерения уровня электролита.

Допускается применение других типов приборов, обеспечивающих установленные режимы испытаний и точность измерения.

6.1.2. Пределы измерений применяемых амперметров и вольтметров подбирают по отношению к значениям измеряемых напряжений и токов так, чтобы показания приборов приходились на последнюю треть шкалы.

6.1.3. Допускаемые отклонения на токи заряда и разряда при испытаниях устанавливают в стандарте или технических условиях на аккумулятор конкретного типа.

6.1.4. Точность измерения и тип применяемых приборов, измерительного инструмента устанавливают в стандарте или технических условиях на аккумулятор конкретного типа.

6.1.5. Допускаемые отклонения климатических факторов должны соответствовать требованиям ГОСТ 20.57.406-81.

6.2. Контроль аккумуляторов на соответствие требованиям к конструкции

6.2.1. Габаритные и присоединительные размеры аккумуляторов (п. 2.2.1) и размеры электродных пластин, баков проверяют в соответствии с ГОСТ 20.57.406-81, метод 404-1.

6.2.2. Массу аккумуляторов (п. 2.2.1) проверяют в соответствии с ГОСТ 20.57.406-81, метод 406-1.

6.2.3. Внешний вид аккумуляторов (пп. 2.1, 2.2.4, 2.2.6, 4.1 и 7.1) и баков (п. 2.2.2) проверяют в соответствии с ГОСТ 20.57.406-81, метод 405-1.

Маркировку проверяют в соответствии с ГОСТ 24287-80.

Конкретный вид испытания устанавливают в стандарте или технических условиях на аккумулятор конкретного типа.

6.2.4. Герметичность аккумуляторов закрытого исполнения в выводах и зазорах (п. 2.2.5) проверяют, создавая внутри сухого (не залитого электролитом) аккумулятора повышенное или пониженное по сравнению с атмосферным на 20 кПа (150 мм рт. ст. +/- 10 мм рт. ст.) давление.

Аккумуляторы считают выдержавшими испытания, если показания прибора не меняются в течение 10 с.

6.3. Контроль аккумуляторов на соответствие требованиям к электрическим параметрам и режимам эксплуатации

6.3.1. Проверка емкости аккумуляторов закрытого исполнения

6.3.1.1. Для проверки емкости (п. 2.3.1.1) аккумуляторы заливают электролитом плотностью, указанной в стандарте или технических условиях на аккумулятор конкретного типа, до уровня между минимальной и максимальной отметками. После 3 - 4 ч пропитки необходимо проверить уровень электролита, довести до нормы и включить на первый заряд током . (в ред. Изменения N 1, утв. Постановлением Госстандарта СССР от 28.09.88 N 3299)

Аккумуляторы включают на заряд, если температура электролита не будет превышать 35 °C. Заряд проводят до постоянства напряжения и плотности электролита в течение 2 ч, но общая продолжительность заряда должна быть не менее 55 ч.

Перерывы при заряде допустимы не ранее сообщения аккумуляторам двукратной емкости 10-часового режима разряда.

Во время заряда на каждом аккумуляторе измеряют напряжение, плотность и температуру электролита через каждые 4 ч, а начиная с 45 ч - через каждый час.

При температуре электролита 45 °C зарядный ток снижают наполовину или прерывают заряд до тех пор, пока температура не снизится на 5 - 10 °C.

Значение плотности электролита в конце заряда должно быть приведено в стандарте или технических условиях на аккумулятор конкретного типа. (в ред. Изменения N 1, утв. Постановлением Госстандарта СССР от 28.09.88 N 3299)

При плотности электролита в конце заряда более требуемой проводят ее корректировку добавлением дистиллированной воды и продолжают заряд в течение 2 ч до полного перемешивания электролита. (в ред. Изменения N 1, утв. Постановлением Госстандарта СССР от 28.09.88 N 3299)

При плотности электролита в конце заряда менее требуемой проводят ее корректировку раствором аккумуляторной серной кислоты плотностью 1,300 г/см3 и продолжают заряд в течение 2 ч до полного перемешивания. (в ред. Изменения N 1, утв. Постановлением Госстандарта СССР от 28.09.88 N 3299)

Уровень электролита аккумуляторов в конце заряда должен быть 35 - 40 мм над предохранительным щитком.

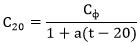
Плотность электролита, имеющего температуру, отличающуюся от 20 °C, приводят к плотности при температуре 20 °C по формуле

,

где:

- плотность электролита при температуре 20 °C, г/см3;

- плотность электролита при температуре t °C, г/см3;

0,0007 - коэффициент изменения плотности электролита с изменением температуры на 1 °C;

t - температура электролита, °C.

6.3.1.2. Второй и последующие заряды проводят в две ступени: I ступень - током , II ступень - током . Заряд на первой ступени продолжают до напряжения 2,35 В, затем переключают на вторую ступень и заряжают до постоянства напряжения и плотности электролита аккумуляторов в течение 2 ч.

Заряд при температуре электролита от 35 до 45 °C и после 1-, 0,5- и 0,25-часовых режимов разряда проводят током второй ступени.

Во время заряда проводят измерения напряжения (U), температуры (t) и плотности () электролита в соответствии с табл. 4.

Таблица 4

Порядок измерения Измеряемый параметр
Перед включением U, t,
Через 10 мин после включения U
Перед переходом на вторую ступень U, t
Через 3 ч заряда током второй ступени, затем через каждый час и в конце заряда U, t,

На всех зарядах аккумуляторам должно быть сообщено не менее 115% емкости от снятой на предыдущем разряде.

По окончании первого заряда не позднее, чем через 1 ч, на аккумуляторах проводят первый контрольный разряд током 10-часового или 1-часового режима в соответствии с п. 2.3.1.1. После 1-часового режима разряда проводят доразряд током . (в ред. Изменения N 1, утв. Постановлением Госстандарта СССР от 28.09.88 N 3299)

Четвертый контрольный разряд аккумуляторов категории размещения 4.2 проводят током 0,5- или 0,25-часового режима в соответствии с п. 2.3.1.1. (в ред. Изменения N 1, утв. Постановлением Госстандарта СССР от 28.09.88 N 3299)

Контрольный разряд аккумуляторов категории размещения 2 проводят током 10-часового режима в соответствии с п. 2.3.1.1, но не позднее 10 цикла. (в ред. Изменения N 1, утв. Постановлением Госстандарта СССР от 28.09.88 N 3299)

6.3.1.3. При разрядах проводят измерения напряжения (U), температуры (t) и плотности электролита () в соответствии с табл. 5.

Таблица 5

Порядок измерения Измеряемый параметр
Для 10-, 5- и 3-часовых разрядов  
Перед включением U, t
Через 10 мин после включения U
Через каждые 2 ч (считая от включения) для 10-часового режима разряда U, t
Через каждый час (считая от включения) для 5-часового режима разряда U, t
(в ред. Изменения N 1, утв. Постановлением Госстандарта СССР от 28.09.88 N 3299)
В конце разряда при напряжении 1,80 В U, , t
(в ред. Изменения N 1, утв. Постановлением Госстандарта СССР от 28.09.88 N 3299)
Для 1,05- и 0,25-часовых разрядов  
Перед включением U, t
Через 2 мин после включения U
Через каждые 10 мин (считая от начала разряда) для 1-часового режима разряда U
Через каждые 5 мин (считая от начала разряда) для 0,5- и 0,25-часовых режимов разряда U
В конце разряда при напряжении 1,75 В U, , t

Если средняя температура электролита во время разряда будет отличаться от 20 °C, то полученная фактическая емкость должна быть приведена к емкости при температуре 20 °C по формуле

,

где:

- емкость, приведенная к температуре 20 °C, А x ч;

- емкость, фактически полученная при разряде, А x ч;

a - температурный коэффициент;

t - средняя температура электролита при разряде, °C.

Значения температурного коэффициента приведены в табл. 6.

Таблица 6

Продолжительность разряда, ч Температурный коэффициент
от 5 до 20 °C от 20 до 45 °C
10 0,0060 0,0026
3 0,0104 0,0050
1 0,0125 0,0078
0,5 0,0182 0,0095
0,25 0,0228 0,0166

Аккумуляторы считают выдержавшими испытания, если их емкость не менее указанной в п. 2.3.1.1.

6.3.2. Проверка емкости электродных пластин аккумуляторов открытого исполнения

6.3.2.1. Для проверки емкости (п. 2.3.1.1) электродные пластины устанавливают в ячейки, пропорциональные объему аккумуляторов, или собирают в макеты аккумуляторов, заливают электролитом плотностью 1,18 г/см3, приведенной к температуре 20 °C. Уровень электролита устанавливают в стандарте или технических условиях на аккумулятор конкретного типа.

После 2 - 4 ч пропитки аккумуляторы следует включить на первый заряд, который проводят в следующем режиме:

заряд до получения аккумуляторами 4, 5-кратной номинальной емкости при условии достижения напряжения на каждом аккумуляторе не ниже 2,4 В;

перерыв (нахождение аккумуляторов в бездействии) 1 ч;

заряд до увеличения полученной емкости на однократную номинальную емкость;

перерыв 1 ч;

заряд до увеличения полученной емкости на однократную номинальную емкость, затем делают перерыв на 1 ч и т.д., пока не будет сообщена аккумуляторам 9-кратная емкость 10-часового режима разряда.

Значение тока устанавливается 18 А для одной электродной пластины типа И-4.

По окончании заряда не позднее, чем через 1 ч, проводят первый контрольный разряд током 10-часового режима до напряжения 1,8 В на аккумулятор.

Затем проводят два прогоночных цикла: заряд на втором и последующих циклах проводят в две ступени в соответствии с инструкцией по эксплуатации до достижения постоянства напряжения не ниже 2,5 В на аккумулятор и постоянства плотности электролита в течение 1 ч.

Во время заряда температура электролита не должна превышать 40 °C. При температуре электролита 40 °C зарядный ток должен быть снижен до значения, обеспечивающего указанную температуру.

В конце заряда плотность электролита, приведенная к плотности электролита при температуре 20 °C, должна быть (1,205 +/- 0,005) г/см3. Между окончанием заряда и началом разряда должен быть перерыв от 0,5 до 3,0 ч.

Разряды проводят током 10-часового режима. Четвертый цикл - контрольный, разряд - током 10- или 3-часового режима до напряжения 1,8 В.

Контроль параметров (напряжения, температуры, плотности электролита и емкости) проводят в соответствии с п. 6.3.1.

Электродные пластины считают выдержавшими испытания, если их емкость не менее указанной в п. 2.3.1.1.

6.3.3. Проверку падения напряжения (п. 2.3.1.3) проводят следующим образом.

Полностью заряженные аккумуляторы (электродные пластины) открытого исполнения через 0,5 ч после окончания заряда включают на разряд током . Аккумуляторы считают выдержавшими испытания, если через 5 с после начала разряда напряжение снизится не более чем на 0,4 В от значения напряжения, замеренного перед разрядом. (в ред. Изменения N 1, утв. Постановлением Госстандарта СССР от 28.09.88 N 3299)

6.3.4. Проверку саморазряда (п. 2.3.4) аккумуляторов закрытого исполнения проводят в процессе испытаний на долговечность после ста циклов наработки. Перед испытаниями аккумуляторов на саморазряд проводят контрольный цикл (заряд - пп. 6.3.1.2, 6.3.1.3, разряд током 10-часового режима), затем аккумуляторы заряжают по п. 6.3.1.2, протирают насухо и оставляют в бездействии в течение времени, указанного в п. 2.3.4.

Проверку саморазряда (п. 2.3.4) электродных пластин проводят после приемосдаточных испытаний. Перед испытанием электродных пластин на саморазряд проводят контрольный цикл (заряд по п. 6.3.2, разряд током 10-часового режима), затем макеты аккумуляторов заряжают по п. 6.3.2, протирают насухо и оставляют в бездействии в течение времени, указанного в п. 2.3.4.

По истечении установленного срока измеряют напряжение, температуру электролита и проводят разряд током 10-часового режима в соответствии с табл. 1.

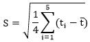
Среднесуточный саморазряд (S) в процентах вычисляют по формуле

,

где:

- емкость, полученная на контрольном разряде, проведенном перед установкой на саморазряд, А x ч;

- емкость, полученная при разряде после окончания срока бездействия, А x ч;

n - число суток бездействия аккумуляторов.

Емкость и должны быть приведены к емкости при температуре 20 °C.

Аккумуляторы считают выдержавшими испытания, если их среднесуточный саморазряд соответствует указанному в п. 2.3.4.

6.3.5. Проверка конечного напряжения аккумуляторов при 1-минутном режиме разряда (п. 2.3.1.3) устанавливается в стандарте или технических условиях на аккумулятор конкретного типа.

6.3.6. Проверка значения полного внутреннего сопротивления (п. 2.3.5) устанавливается в стандарте или технических условиях на аккумулятор конкретного типа.

6.4. Контроль аккумуляторов на соответствие требованиям по стойкости к внешним воздействующим факторам.

6.4.1. Испытания аккумуляторов на воздействие пониженной рабочей температуры среды (при температуре электролита не ниже минус 10 °C для аккумуляторов категории размещения 2 (пп. 2.3.2.1, 2.3.2.2) проводят по ГОСТ 20.57.406-81, метод 203-1.

Режим испытаний, время выдержки в нормальных условиях и в камере холода и значения параметров-критериев годности указывают в стандарте или технических условиях на аккумулятор конкретного типа.

6.4.2. Испытания аккумуляторов на воздействие повышенной рабочей температуры среды (п. 2.3.2.1) проводят по ГОСТ 20.57.406-81, метод 201-2.1.

Режим испытаний, время выдержки в нормальных условиях и в камере тепла и значения параметров-критериев годности указывают в стандарте или технических условиях на аккумулятор конкретного типа.

6.4.3. Испытания аккумуляторов на воздействие изменения температуры окружающей среды (п. 2.4.2) проводят по ГОСТ 20.57.406-81, метод 205-1 (1 цикл).

Аккумуляторы, не залитые электролитом, помещают в камеру холода с пониженной температурой, и выдерживают в течение времени, необходимого для достижения пониженной температуры, установленного в стандарте или технических условиях на аккумулятор конкретного типа.

После выдержки в камере холода аккумуляторы переносят в камеру с повышенной температурой и выдерживают в течение времени, установленного в стандарте или технических условиях на аккумулятор конкретного типа. Затем аккумуляторы извлекают из камеры, выдерживают при нормальных климатических условиях в течение времени, необходимого для достижения нормальной температуры, установленного в стандарте или технических условиях на аккумулятор конкретного типа. Затем проводят заряд и разряд в соответствии с п. 2.3.1.1.

Аккумуляторы считают выдержавшими испытания, если внешний вид аккумуляторов соответствует указанному в п. 2.2.6, а емкость - указанной в п. 2.3.1.1. Допускается проверку емкости проводить после испытаний на прочность при транспортировании (п. 6.6).

Испытания проводят при постановке аккумуляторов на производство.

6.5. Контроль соответствия требованиям надежности

6.5.1. Надежность аккумуляторов закрытого исполнения (п. 2.5) контролируют испытаниями на безотказность (п. 2.5.1), долговечность (п. 2.5.1) и сохраняемость (п. 2.5.4). Надежность аккумуляторов открытого исполнения испытаниями не контролируют. Надежность электродных пластин контролируют испытаниями на сохраняемость. (в ред. Изменения N 1, утв. Постановлением Госстандарта СССР от 28.09.88 N 3299)

6.5.2. Испытания на безотказность

6.5.2.1. Испытания проводят в режиме циклирования. Продолжительность испытаний должна быть 25 циклов.

Циклы, проведенные в процессе испытаний по группе С-3, включают в продолжительность испытаний на безотказность.

Аккумуляторы подвергают прогоночным и контрольным циклам:

каждый пятый цикл - контрольный, остальные - прогоночные.

Заряд аккумуляторов в соответствии с п. 6.3.1 и разряд на прогоночных циклах током 10-часового режима в течение 10 ч, но до напряжения не ниже 1,8 В на аккумулятор, на контрольных - током 10-часового режима до напряжения 1,8 В на аккумулятор.

В процессе испытаний контролируют емкость, которая должна быть не менее указанной в п. 2.3.1.1.

6.5.3. Испытания на долговечность

6.5.3.1. Испытания проводят режимами, указанными в п. 6.5.2.1.

Периодически проводят контрольные циклы:

каждый 49-ый - током 10-часового режима; (в ред. Изменения N 1, утв. Постановлением Госстандарта СССР от 28.09.88 N 3299)

каждый 50-ый - током 1-часового режима. (в ред. Изменения N 1, утв. Постановлением Госстандарта СССР от 28.09.88 N 3299)

Если во время циклирования на прогоночном разряде емкость будет менее указанной в п. 2.3.2.1, то следует провести два внеочередных контрольных цикла.

Отказом аккумулятора считают снижение емкости ниже указанной в п. 2.3.3.1.

Примечание. Метод испытания на долговечность аккумуляторов категории размещения 2 устанавливают в стандарте или технических условиях на аккумулятор конкретного типа.

6.5.3.2. Испытание проводят по плану [N, U, N] ГОСТ 27.002-83 (испытания до отказа всех аккумуляторов выборки). В результате испытаний получают 5 значений наработок , ,..., .

Оценку результатов испытаний проводят по ГОСТ 27.503-81 в предположении нормального закона распределения наработки следующим образом:

оценку односторонней нижней границы средней наработки вычисляют по формуле

,

где:

- выборочная средняя наработка;
- выборочное среднее квадратическое отклонение наработки;

(в ред. Изменения N 1, утв. Постановлением Госстандарта СССР от 28.09.88 N 3299)

- наработка i-го аккумулятора выборки;

0,421 - коэффициент для объема выборки n = 5 и доверительной вероятности P = 0,8.

Допускается проводить испытания по плану [N, U, r] ГОСТ 27.002-83 при . Оценку результатов проводят по ГОСТ 27.503-81.

Допускается после получения трех последовательных результатов испытаний по плану [N, U, N] проводить испытания по плану [N, U, (r, T)] ГОСТ 27.002-83 при N = 5, r = 2, T = 1000 циклов. Оценка результатов по ГОСТ 27.503-81.

6.5.4. Испытания на сохраняемость

6.5.4.1. Аккумуляторы (электродные пластины) (п. 2.5.4) хранят в сухом виде в условиях, указанных в п. 7.4.

По окончании срока хранения электродные пластины проверяют на соответствие требованиям п. 2.3.1.1, а аккумуляторы закрытого исполнения на соответствие требованиям п. 2.3.1.1 и п. 2.5.1 (безотказность и долговечность).

6.6. Механические испытания упакованных аккумуляторов закрытого исполнения и комплектов деталей аккумуляторов открытого исполнения (п. 7.2.2) на прочность при транспортировании проводят по ГОСТ 23216-78.

Упаковку и упакованные аккумуляторы закрытого исполнения (комплекты деталей аккумуляторов открытого исполнения) считают выдержавшими испытания, если они будут соответствовать требованиям пп. 2.2.2 - 2.2.6, 2.3.1.1, а упаковка не будет иметь повреждений.

7. МАРКИРОВКА, УПАКОВКА, ТРАНСПОРТИРОВАНИЕ И ХРАНЕНИЕ

7.1. Маркировка

7.1.1. Требования к качеству маркировки аккумуляторов должны соответствовать ГОСТ 18620-86. (в ред. Изменения N 1, утв. Постановлением Госстандарта СССР от 28.09.88 N 3299)

7.1.2. На крышке бака аккумулятора закрытого исполнения должны быть нанесены:

товарный знак предприятия-изготовителя;

условное обозначение аккумулятора;

знак полярности: плюс "+" и минус "-";

обозначение стандарта или технических условий на аккумулятор конкретного типа;

абзац - Исключен; (в ред. Изменения N 1, утв. Постановлением Госстандарта СССР от 28.09.88 N 3299)

дата изготовления (месяц, год).

На стенке бака из прозрачной пластмассы должна быть нанесена отметка максимального и минимального уровня электролита.

Для аккумулятора открытого исполнения маркировка должна быть нанесена на табличке из кислотостойкого материала, прикладываемой к комплекту аккумуляторов и в дальнейшем прикрепляемой к стеллажу, на котором монтируют аккумуляторы. Дата изготовления и знаки полярности должны быть нанесены на ушках электродных пластин.

Маркировка аккумуляторов, предназначенных для экспорта, должна содержать:

товарный знак предприятия-изготовителя, если он зарегистрирован в установленном порядке за границей;

условное обозначение аккумулятора;

знак полярности: плюс "+" и минус "-";

дату изготовления (месяц, год);

надпись "Сделано в СССР".

7.2. Упаковка

7.2.1. Упаковка аккумуляторов должна соответствовать требованиям ГОСТ 23216-78, настоящего стандарта, стандарта или технических условий на аккумулятор конкретного типа.

7.2.2. В качестве транспортной тары аккумуляторов закрытого исполнения должны применяться стоечные поддоны (многооборотная тара), изготовленные по нормативно-техническим документам, утвержденным в установленном порядке, контейнеры по ГОСТ 18477-79 или ящики по ГОСТ 2991-85, ГОСТ 16511-86. Аккумуляторы должны устанавливаться в вертикальном положении. (в ред. Изменения N 1, утв. Постановлением Госстандарта СССР от 28.09.88 N 3299)

Комплекты деталей аккумуляторов открытого исполнения должны упаковываться в ящики по ГОСТ 2991-85, ГОСТ 16511-86. Деревянные баки аккумуляторов открытого исполнения по согласованию с потребителем допускается транспортировать без упаковки. (в ред. Изменения N 1, утв. Постановлением Госстандарта СССР от 28.09.88 N 3299)

Конкретный тип ящика устанавливают в стандарте или технических условиях на аккумулятор конкретного типа.

Допускается применение другой тары, обеспечивающей сохранность аккумуляторов при транспортировании.

Деревянные ящики допускается формировать в транспортные пакеты по ГОСТ 21929-76 с размерами по ГОСТ 24957-81 и средствами скрепления по ГОСТ 21650-76.

7.2.3. Упаковывание документации должно соответствовать требованиям ГОСТ 23216-78.

В транспортную тару должны быть вложены эксплуатационная и товаросопроводительная документации, завернутые в двухслойную упаковочную бумагу по ГОСТ 8828-75 или в герметичный пакет из полиэтиленовой пленки толщиной не менее 0,1 мм по ГОСТ 10354-82.

7.2.4. Транспортная маркировка груза должна быть выполнена по ГОСТ 14192-77 с нанесением манипуляционных знаков: "Осторожно, хрупкое", "Верх, не кантовать", "Боится сырости", "Боится нагрева".

Другие манипуляционные знаки и предупредительные надписи устанавливают в стандарте или технических условиях на аккумулятор конкретного типа.

7.2.5. Требования к таре, упаковке, маркировке, эксплуатационной и товаросопроводительной документации аккумуляторов, отгружаемых для экспорта, должны быть указаны в заказе-наряде внешнеторгового объединения.

Ящики для аккумуляторов, отгружаемых для экспорта, должны изготовляться в соответствии с требованиями ГОСТ 24634-81 по нормативно-технической документации, указанной в стандарте или технических условиях на аккумулятор конкретного типа.

Товаросопроводительная документация должна соответствовать ГОСТ 6.37-79.

7.3. Транспортирование

7.3.1. Транспортирование аккумуляторов производят по ГОСТ 23216-78 всеми видами транспорта в крытых транспортных средствах в соответствии с правилами перевозки грузов, действующими на каждом виде транспорта.

7.3.2. Условия транспортирования аккумуляторов в части воздействия механических факторов - по группе условий транспортирования (Л) ГОСТ 23216-78 и группы (С) или (Ж) по ГОСТ 23216-78 - для аккумуляторов, поставляемых для экспорта; в части воздействия климатических факторов внешней среды - по группе условий хранения (Ж2) ГОСТ 15150-69.

7.3.3. Транспортирование аккумуляторов закрытого исполнения должно производиться в вертикальном положении.

7.4. Хранение

7.4.1. Аккумуляторы должны храниться по ГОСТ 23216-78.

7.4.2. Условия хранения в части воздействия климатических факторов внешней среды должны соответствовать группе (Ж2) по ГОСТ 15150-69, но при температуре окружающего воздуха от минус 40 до 50 °C.

7.4.3. Аккумуляторы должны храниться в закрытых помещениях на стеллажах в вертикальном положении защищенными от воздействия солнечных лучей, аккумуляторы закрытого исполнения - с плотно закрытыми пробками.

7.4.4. Расстояние от отопительных приборов должно быть не менее 1 м.

7.4.5. Совместное хранение свинцовых и щелочных аккумуляторов не допускается. Не допускается также хранение щелочи в одном помещении со свинцовыми аккумуляторами.

7.4.6. Аккумуляторы должны храниться без электролита.

8. УКАЗАНИЯ ПО ЭКСПЛУАТАЦИИ

8.1. Эксплуатация аккумуляторов должна производиться в соответствии с технической документацией по эксплуатации, в которой должны быть предусмотрены режимы подзаряда и заряда-разряда на аккумулятор конкретного типа, и требованиями настоящего стандарта.

При эксплуатации допускается применение аккумуляторов экспортного исполнения.

8.2. Аккумуляторы должны монтироваться на месте эксплуатации в соответствии с конструкторской и технической документациями на аккумулятор конкретного типа и инструкцией монтажных предприятий.

При проведении работ по сборке и монтажу аккумуляторы должны выдерживать воздействие ударов с ускорением 1,5 g при длительности удара 2 - 20 мс.

8.3. Аккумуляторы должны устанавливаться на стеллажи в соответствии с требованиями нормативно-технической документации. (в ред. Изменения N 1, утв. Постановлением Госстандарта СССР от 28.09.88 N 3299)

8.4. При монтаже допускается как последовательное, так и параллельное соединение аккумуляторов.

При разряде батареи 10-часовым режимом разряда до конечного напряжения (1,8 В) разница между напряжением отдельных аккумуляторов должна быть не более 0,1 В.

8.5. При эксплуатации аккумуляторов в режиме:

постоянного подзаряда должно поддерживаться напряжение (2,18 +/- 0,04) В на аккумулятор закрытого исполнения и (2,20 +/- 0,05) В - на аккумулятор открытого исполнения;

при постоянном напряжении напряжение аккумуляторов должно поддерживаться 2,30 - 2,35 В.

При соединении аккумуляторов в батарею устанавливают разброс по напряжению в стандарте или технических условиях на аккумулятор конкретного типа.

8.6. Введение аккумуляторов в действие должно производиться после достижения ими номинальной емкости ().

Для приведения в действие аккумуляторов открытого исполнения с положительными электродными пластинами в незаряженном состоянии (белого формирования) им необходимо сообщать емкость, соответствующую 9-кратной емкости 10-часового режима разряда ().

8.7. Для снижения испарения электролита аккумуляторов открытого исполнения следует применять покровные стекла (прозрачную пластмассу).

8.8. Показатели технического обслуживания и ремонта, виды, периодичность, объем технического обслуживания и плановых ремонтов, основной способ восстановления работоспособности аккумуляторов открытого исполнения по согласованию с потребителем устанавливают в стандарте или технических условиях на аккумуляторы конкретного типа.

9. ГАРАНТИИ ИЗГОТОВИТЕЛЯ

9.1. Изготовитель гарантирует соответствие аккумуляторов требованиям настоящего стандарта при соблюдении условий эксплуатации, транспортирования и хранения.

9.2. Гарантийный срок хранения:

аккумуляторов закрытого исполнения категории размещения 4.2 - 4 года;

аккумуляторов закрытого исполнения категории размещения 2 - 2 года;

комплектов деталей аккумуляторов открытого исполнения категории размещения 4.2 - 1 год со дня изготовления.

9.3. Гарантийный срок эксплуатации:

аккумуляторов закрытого исполнения категории размещения 4.2 - 5 лет;

аккумуляторов закрытого исполнения категории размещения 2 - 4 года;

аккумуляторов открытого исполнения категории размещения 4.2 - 4 года с момента ввода в эксплуатацию.

Вводом в эксплуатацию считают заливку аккумулятора электролитом.

9.4. Гарантийный срок эксплуатации аккумуляторов, поставляемых на экспорт, - 5,5 лет для аккумуляторов закрытого исполнения и 4,5 года для аккумуляторов открытого исполнения с момента проследования через Государственную границу СССР.