Приказ Минсельхоза РФ от 05.05.2023 N 471

"О внесении изменений в Методику расчета предельных уровней минимальных и максимальных цен на сельскохозяйственную продукцию в целях проведения государственных закупочных и товарных интервенций, утвержденную Приказом Минсельхоза России от 29 октября 2021 г. N 733"
Редакция от 05.05.2023 — Документ не действует

Зарегистрировано в Минюсте России 9 июня 2023 г. N 73801


МИНИСТЕРСТВО СЕЛЬСКОГО ХОЗЯЙСТВА РОССИЙСКОЙ ФЕДЕРАЦИИ

ПРИКАЗ
от 5 мая 2023 г. N 471

О ВНЕСЕНИИ ИЗМЕНЕНИЙ В МЕТОДИКУ РАСЧЕТА ПРЕДЕЛЬНЫХ УРОВНЕЙ МИНИМАЛЬНЫХ И МАКСИМАЛЬНЫХ ЦЕН НА СЕЛЬСКОХОЗЯЙСТВЕННУЮ ПРОДУКЦИЮ В ЦЕЛЯХ ПРОВЕДЕНИЯ ГОСУДАРСТВЕННЫХ ЗАКУПОЧНЫХ И ТОВАРНЫХ ИНТЕРВЕНЦИЙ, УТВЕРЖДЕННУЮ ПРИКАЗОМ МИНСЕЛЬХОЗА РОССИИ ОТ 29 ОКТЯБРЯ 2021 Г. N 733

На основании части 5 статьи 14 Федерального закона от 29 декабря 2006 г. N 264-ФЗ "О развитии сельского хозяйства" и пункта 9 Правил приобретения сельскохозяйственной продукции у сельскохозяйственных товаропроизводителей и (или) организаций и индивидуальных предпринимателей, осуществляющих первичную и (или) последующую (промышленную) переработку сельскохозяйственной продукции, произведенной сельскохозяйственными товаропроизводителями на территории Российской Федерации, в процессе проведения государственных закупочных интервенций и ее реализации, утвержденных постановлением Правительства Российской Федерации от 5 октября 2016 г. N 1003, приказываю:

1. Внести в Методику расчета предельных уровней минимальных и максимальных цен на сельскохозяйственную продукцию в целях проведения государственных закупочных и товарных интервенций, утвержденную приказом Минсельхоза России от 29 октября 2021 г. N 733 (зарегистрирован Минюстом России 22 декабря 2021 г., регистрационный N 66499), следующие изменения:

1) в абзаце четвертом пункта 1.1 слова "три года" заменить словами "шесть лет";

2) в пункте 1.2:

а) в абзаце первом слова "три года" заменить словами "шесть лет";

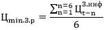
б) абзац второй изложить в следующей редакции:

" ,";

3) в абзаце четвертом пункта 1.3:

а) слова "3 года" заменить словами "шесть лет";

б) после слов "по данным Росстата" знак препинания ";" заменить знаком препинания ".";

в) дополнить предложением следующего содержания:

"В случае отсутствия данных Росстата о цене производителей для пшеницы в разрезе классов используется цена производителей на пшеницу, кроме твердой пшеницы;".

2. Настоящий приказ действует до 1 июля 2024 г.

И.о. Министра
О.Н. ЛУТ