Положение ЦБ РФ от 30.01.2023 N 814-П

"О порядке расчета размера операционного риска банковской группы"
Редакция от 30.01.2023 — Не действует Перейти в действующую
Показать изменения

Зарегистрировано в Минюсте России 31 мая 2023 г. N 73630

ЦЕНТРАЛЬНЫЙ БАНК РОССИЙСКОЙ ФЕДЕРАЦИИ

ПОЛОЖЕНИЕ
от 30 января 2023 г. N 814-П

О ПОРЯДКЕ РАСЧЕТА РАЗМЕРА ОПЕРАЦИОННОГО РИСКА БАНКОВСКОЙ ГРУППЫ

Настоящее Положение на основании пункта 6 части первой, части второй статьи 62, части первой статьи 72 Федерального закона от 10 июля 2002 года N 86-ФЗ "О Центральном банке Российской Федерации (Банке России)" <1> и в соответствии с решением Совета директоров Банка России (протокол заседания Совета директоров Банка России от 23 декабря 2022 года N ПСД-78) устанавливает порядок расчета размера операционного риска банковской группы при определении нормативов достаточности собственных средств (капитала) банковской группы.

<1> Собрание законодательства Российской Федерации, 2002, N 28, ст. 2790; 2013, N 27, ст. 3438.

Глава 1. Общие положения

1.1. Расчет размера операционного риска банковской группы осуществляется головной кредитной организацией банковской группы в 1 соответствии с настоящим Положением, в случае если она осуществляет расчет размера операционного риска на индивидуальной основе согласно Положению Банка России от 7 декабря 2020 года N 744-П "О порядке расчета размера операционного риска ("Базель III") и осуществления Банком России надзора за его соблюдением" <1> (далее - Положение Банка России N 744-П).

<1> Зарегистрировано Минюстом России 29 января 2021 года, регистрационный N 62290, с изменениями, внесенными Указанием Банка России от 10 января 2023 года N 6355-У (зарегистрировано Минюстом России 3 февраля 2023 года, регистрационный N 72236).

Головная кредитная организация банковской группы, указанная в абзаце первом настоящего пункта (далее - головная кредитная организация банковской группы), не применяет при расчете размера операционного риска банковской группы требование абзаца восьмого пункта 3.8 Положения Банка России от 15 июля 2020 года N 729-П "О методике определения собственных средств (капитала) и обязательных нормативов, надбавок к нормативам достаточности капитала, числовых значениях обязательных нормативов и размерах (лимитах) открытых валютных позиций банковских групп" <2> (далее - Положение Банка России N 729-П).

<2> Зарегистрировано Минюстом России 7 октября 2020 года, регистрационный N 60292, с изменениями, внесенными Указаниями Банка России от 20 апреля 2021 года N 5783-У (зарегистрировано Минюстом России 11 июня 2021 года, регистрационный N 63866), от 24 декабря 2021 года N 6040-У (зарегистрировано Минюстом России 26 января 2022 года, регистрационный N 67014).

Головная кредитная организация банковской группы рассчитывает размер операционного риска банковской группы в соответствии с настоящим Положением в целях расчета нормативов достаточности собственных средств (капитала) банковской группы, указанных в абзаце втором пункта 3.1 Положения Банка России N 729-П, за исключением норматива достаточности собственных средств (капитала) банковской группы с учетом взвешивания активов по уровню риска 100 процентов (норматив финансового рычага) (Н20.4).

1.2. Головная кредитная организация банковской группы определяет размер операционного риска банковской группы по формуле:

,

где:

i - расчетный год, по состоянию на который головная кредитная организация банковской группы рассчитывает размер операционного риска в целях расчета нормативов достаточности собственных средств (капитала) в данном году (далее - расчетный год);

- размер операционного риска банковской группы для i-го расчетного года, рассчитанный головной кредитной организацией банковской группы по состоянию на даты, указанные в пунктах 1.3 и 1.4 настоящего Положения (далее - расчетная дата);

- величина компонента расчета размера операционного риска банковской группы, рассчитанная головной кредитной организацией банковской группы в тысячах рублей по состоянию на расчетную дату i-го года в соответствии с подпунктами 2.1.1 - 2.1.3 пункта 2.1 настоящего Положения;

- величина коэффициента внутренних потерь банковской группы, рассчитанная головной кредитной организацией банковской группы по состоянию на расчетную дату i-го года в соответствии с пунктом 2.4 настоящего Положения.

1.3. Головная кредитная организация банковской группы рассчитывает ежегодно размер операционного риска банковской группы на 1 января расчетного года в сроки, предусмотренные внутренними документами банковской группы, разработанными головной кредитной организацией банковской группы для расчета обязательных нормативов банковской группы (далее - внутренний документ банковской группы), но не позднее срока, указанного в абзаце пятом пункта 3 Порядка составления и представления отчетности по форме 0409805 "Расчет собственных средств (капитала) и значений обязательных нормативов банковской группы", установленного Указанием Банка России от 8 октября 2018 года N 4927-У "О перечне, формах и порядке составления и представления форм отчетности кредитных организаций в Центральный банк Российской Федерации" <1> (далее соответственно - Указание Банка России N 4927-У, Порядок составления и представления отчетности по форме 0409805).

<1> Зарегистрировано Минюстом России 13 декабря 2018 года, регистрационный N 52992, с изменениями, внесенными Указаниями Банка России от 20 ноября 2019 года N 5320-У (зарегистрировано Минюстом России 13 декабря 2019 года, регистрационный N 56796), от 12 мая 2020 года N 5456-У (зарегистрировано Минюстом России 18 июня 2020 года, регистрационный N 58705), от 10 августа 2020 года N 5526-У (зарегистрировано Минюстом России 30 сентября 2020 года, регистрационный N 60147), от 12 января года N 5705-У (зарегистрировано Минюстом России 15 апреля 2021 года, регистрационный N 63150), от 17 февраля 2021 года N 5736-У (зарегистрировано Минюстом России 26 марта 2021 года, регистрационный N 62892), от 20 апреля 2021 года N 5783-У (зарегистрировано Минюстом России 11 июня 2021 года, регистрационный N 63 866), от 8 ноября 2021 года N 5986-У (зарегистрировано Минюстом России 14 декабря 2021 года, регистрационный N 66316), от 20 апреля 2022 года N 6121-У (зарегистрировано Минюстом России 27 июня 2022 года, регистрационный N 69018), от 22 сентября года N 6249-У (зарегистрировано Минюстом России 29 декабря 2022 года, регистрационный N 71886).

1.4. В случае если головная кредитная организация банковской группы отражает в бухгалтерском учете события, подтверждающие существовавшие на отчетную дату условия, в которых кредитная организация вела свою деятельность (далее - корректирующие события после отчетной даты), в соответствии с главой 3 Указания Банка России от 4 сентября 2013 года N 3054-У "О порядке составления кредитными организациями годовой бухгалтерской (финансовой) отчетности" <2>, влияющие на расчет величин и головная кредитная организация банковской группы осуществляет на 1 июля расчетного года перерасчет размера операционного риска банковской группы, значений и на основании отраженных в бухгалтерском учете корректирующих событий после отчетной даты в сроки, указанные в абзацах третьем и четвертом пункта 3 Порядка составления и представления отчетности по форме 0409805, по состоянию на 1 января расчетного года.

<2> Зарегистрировано Минюстом России 1 ноября 2013 года, регистрационный N 30303, с изменениями, внесенными Указаниями Банка России от 30 ноября 2014 года N 3460-У (зарегистрировано Минюстом России 16 декабря 2014 года, регистрационный N 35196), от 21 октября 2015 года N 3827-У (зарегистрировано Минюстом России 3 ноября 2015 года, регистрационный N 39599), от 24 октября 2016 года N 4167-У (зарегистрировано Минюстом России 11 ноября 2016 года, регистрационный N 44307), от 31 октября 2017 года N 4594-У (зарегистрировано Минюстом России 22 ноября 2017 года, регистрационный N 48976), от 12 ноября 2018 года N 4964-У (зарегистрировано Минюстом России 28 ноября 2018 года, регистрационный N 52825), от 1 ноября 2019 года N 5306-У (зарегистрировано Минюстом России 4 декабря 2019 года, регистрационный N 56686), от 1 октября 2020 года N 5579-У (зарегистрировано Минюстом России 30 октября 2020 года, регистрационный N 60687), от 26 сентября 2022 года N 6255-У (зарегистрировано Минюстом России 25 октября 2022 года, регистрационный N 70691).

1.5. Информационный обмен головной кредитной организации банковской группы с Банком России осуществляется с использованием личного кабинета в соответствии с Указанием Банка России от 5 октября 2021 года N 5969-У "О порядке взаимодействия Банка России с кредитными организациями, некредитными финансовыми организациями, лицами, оказывающими профессиональные услуги на финансовом рынке и другими участниками информационного обмена при использовании ими информационных ресурсов Банка России, в том числе личного кабинета" <1>.

<1> Зарегистрировано Минюстом России 12 ноября 2021 года, регистрационный N 65799, с изменениями, внесенными Указанием Банка России от 29 сентября 2022 года N 6276-У (зарегистрировано Минюстом России 13 января 2023 года, регистрационный N 71996).

Глава 2. Расчет величины компонента расчета размера операционного риска и величины коэффициента внутренних потерь банковской группы

2.1. Головная кредитная организация банковской группы рассчитывает величину в зависимости от величины бизнес-индикатора банковской группы, определенной по состоянию на расчетную дату i-го года (далее - ).

2.1.1. Головная кредитная организация банковской группы, величина которой на расчетную дату i-го года не превышает 70 миллиардов рублей, рассчитывает величину на расчетную дату i-го года по формуле:

.

2.1.2. Головная кредитная организация банковской группы, величина которой на расчетную дату i-го года превышает 70 миллиардов рублей и не превышает 2,1 триллиона рублей, рассчитывает величину на расчетную дату i-го года по формуле:

.

2.1.3. Головная кредитная организация банковской группы, величина которой на расчетную дату i-го года превышает 2,1 триллиона рублей, рассчитывает величину на расчетную дату i-го года по формуле:

.

2.2. Головная кредитная организация банковской группы рассчитывает величину банковской группы на расчетную дату i-го года по формуле:

,

где:

- величина бизнес-индикатора j-го участника банковской группы, который по состоянию на расчетную дату i-го года является кредитной организацией и осуществляет расчет размера операционного риска на индивидуальной основе в соответствии с Положением Банка России N 744-П (далее - j-й участник), рассчитанная в соответствии с пунктом 2.2 Положения Банка России N 744-П и подпунктом 2.2.1 настоящего пункта;

j - количество кредитных организаций, являющихся участниками банковской группы, осуществляющими расчет размера операционного риска в соответствии с Положением Банка России N 744-П;

- величина бизнес-индикатора f-го участника банковской группы, отчетные данные которого включаются в расчет нормативов достаточности собственных средств (капитала) банковской группы в соответствии с пунктом 1.2 Положения Банка России N 729-П и абзацами первым - третьим пункта 1.3 Положения Банка России N 729-П, не являющегося кредитной организацией, и (или) участника банковской группы, являющегося кредитной организацией, которая по состоянию на расчетную дату i-го года не осуществляет расчет размера операционного риска на индивидуальной основе в соответствии с Положением Банка России N 744-П (далее - f-й участник), рассчитанная в соответствии с пунктом 2.3 настоящего Положения;

f - количество участников банковской группы, не осуществляющих расчет размера операционного риска в соответствии с Положением Банка России N 744-П.

2.2.1. Головная кредитная организация банковской группы рассчитывает на расчетную дату i-го года величину в соответствии с пунктом 2.2 Положения Банка России N 744-П в сроки, указанные в пунктах 1.3 и 1.4 настоящего Положения, по состоянию на 1 января расчетного года с исключением из расчета величины операций и сделок, указанных в пункте 3.6 Положения Банка России от 11 марта 2015 года N 462-П "О порядке составления отчетности, необходимой для осуществления надзора за кредитными организациями на консолидированной основе, а также иной информации о деятельности банковских групп" <1> (далее - Положение Банка России N 462-П), а также иных операций, указанных в пункте 3.7 Положения Банка России N 462-П (далее - величина исключений внутригрупповых операций).

<1> Зарегистрировано Минюстом России 8 мая 2015 года, регистрационный N 37212, с изменениями, внесенными Указанием Банка России от 9 марта 2017 года N 4309-У (зарегистрировано Минюстом России 8 апреля 2017 года, регистрационный N 46241).

2.2.2. Головная кредитная организация банковской группы учитывает при расчете величины доходы и (или) расходы участников банковской группы, входящих в ее состав по состоянию на расчетную дату.

2.3. Головная кредитная организация банковской группы для f-го участника банковской группы рассчитывает величину по состоянию на расчетную дату i-го года по формуле:

,

где:

- величина процентных доходов и расходов, в том числе от финансовой аренды (лизинга), операционной аренды и в виде дивидендов, определяемая головной кредитной организацией банковской группы для f-го участника банковской группы в тысячах рублей по состоянию на расчетную дату i-го года в соответствии с подпунктом 2.3.1 настоящего пункта;

- величина комиссионных и операционных доходов и расходов, определяемая головной кредитной организацией банковской группы для f-го участника банковской группы в тысячах рублей по состоянию на расчетную дату i-го года в соответствии с подпунктом 2.3.2 настоящего пункта;

- величина чистой прибыли (убытка) по финансовым операциям, определяемая головной кредитной организацией банковской группы для f-го участника банковской группы в тысячах рублей по состоянию на расчетную дату i-го года в соответствии с подпунктом 2.3.3 настоящего пункта.

Головная кредитная организация банковской группы не включает в расчет величин показателей, участвующих в расчете , остатки по счетам учета доходов, расходов, прочего совокупного дохода, исключаемые из расчета обязательных нормативов в соответствии с пунктом 1.4 Инструкции Банка России от 29 ноября 2019 года N 199-И "Об обязательных нормативах и надбавках к нормативам достаточности капитала банков с универсальной лицензией" <1>.

<1> Зарегистрировано Минюстом России 27 декабря 2019 года, регистрационный N 57008, с изменениями, внесенными Указаниями Банка России от 26 марта 2020 года N 5423-У (зарегистрировано Минюстом России 31 марта 2020 года, регистрационный N 57913), от 3 августа 2020 года N 5520-У (зарегистрировано Минюстом России 3 ноября 2020 года, регистрационный N 60730), от 3 августа 2020 года N 5521-У (зарегистрировано Минюстом России 11 сентября 2020 года, регистрационный N 59770), от 12 января 2021 года N 5705-У (зарегистрировано Минюстом России 15 апреля 2021 года, регистрационный N 63150), от 20 апреля 2021 года N 5783-У (зарегистрировано Минюстом России 10 июня 2021 года, регистрационный N 63866), от 18 августа 2021 года N 5886-У (зарегистрировано Минюстом России 21 сентября 2021 года, регистрационный N 65078), от 24 декабря 2021 года N 6040-У (зарегистрировано Минюстом России 26 января 2022 года, регистрационный N 67014).

2.3.1. Головная кредитная организация банковской группы для f-го участника банковской группы рассчитывает величину показателя по формуле:

,

где:

q - год, за который для f-го участника банковской группы осуществляется расчет показателей, за исключением расчетного года;

- доходы в виде дивидендов, определяемые для f-го участника банковской группы в тысячах рублей за q-й год как величина, указанная в строке 12 "Доходы в виде дивидендов" графы, соответствующей данному участнику банковской группы, раздела I отчетности по форме 0409803 "Консолидированный отчет о финансовых результатах", установленной Указанием Банка России N 4927-У (далее - отчетность по форме 0409803), по состоянию на 1 января для q-го года;

p - количество лет (от 1 года до 3 лет), за которые f-й участник банковской группы обладает информацией, позволяющей рассчитать величину каждого показателя в соответствии с настоящим пунктом. В случае если f-й участник банковской группы обладает информацией, позволяющей рассчитать величину каждого показателя в соответствии с настоящим пунктом, менее чем за 1 год, указывается значение показателя p, равное единице;

- средние чистые процентные доходы и расходы, определяемые для f-го участника банковской группы по формуле:

,

где:

- процентные доходы (включая доходы от финансовой аренды (лизинга) и операционной аренды), определяемые для f-го участника банковской группы в тысячах рублей за q-й год как сумма величин, указанных в строке 1 "Процентные доходы, всего, в том числе:" и в строке 19 "Прочие операционные доходы" (в части доходов от финансовой аренды (лизинга) и операционной аренды) графы, соответствующей данному участнику банковской группы, раздела I отчетности по форме 0409803, по состоянию на 1 января для q-го года;

- процентные расходы (включая расходы от финансовой аренды (лизинга) и операционной аренды), определяемые для f-го участника банковской группы в тысячах рублей за q-й год как сумма величин, указанных в строке 2 "Процентные расходы, всего, в том числе:" и в строке 21 "Административные и прочие операционные расходы, в том числе:" (в части расходов от финансовой аренды (лизинга) и операционной аренды) графы, соответствующей данному участнику банковской группы, раздела I отчетности по форме 0409803, по состоянию на 1 января для q-го года.

2.3.2. Головная кредитная организация банковской группы для f-го участника банковской группы рассчитывает величину по формуле:

,

где:

- комиссионные доходы, полученные f-м участником банковской группы, являющимся кредитной организацией, в связи с осуществлением банковских операций и f-м участником банковской группы, не являющимся кредитной организацией, в связи с осуществлением его основной деятельности, определяемые в тысячах рублей за q-й год как величина, указанная в строке 13 "Комиссионные доходы" графы, соответствующей данному участнику банковской группы, раздела I отчетности по форме 0409803, по состоянию на 1 января для q-го года;

- комиссионные расходы, понесенные f-м участником банковской группы, являющимся кредитной организацией, в связи с осуществлением банковских операций и f-м участником банковской группы, не являющимся кредитной организацией, в связи с осуществлением его основной деятельности, определяемые в тысячах рублей за q-й год как величина, указанная в строке 14 "Комиссионные расходы" графы, соответствующей данному участнику банковской группы, раздела I отчетности по форме 0409803, по состоянию на 1 января для q-го года;

- операционные доходы, определяемые для f-го участника банковской группы в тысячах рублей за q-й год как величина, указанная в строке 19 "Прочие операционные доходы" раздела I отчетности по форме 0409803, по состоянию на 1 января для q-го года;

- операционные расходы, определяемые для f-го участника банковской группы в тысячах рублей за q-й год как величина, указанная в строке 21 "Административные и прочие операционные расходы, в том числе:" графы, соответствующей данному участнику банковской группы, раздела I отчетности по форме 0409803, по состоянию на 1 января для q-го года.

2.3.3. Головная кредитная организация банковской группы для f-го участника банковской группы рассчитывает величину по формуле:

,

где:

- чистая прибыль (убыток) по финансовым операциям, определяемая (определяемый) для f-го участника банковской группы в тысячах рублей за q-й год как сумма величин, указанных в строке 6 "Чистые доходы (чистые расходы) от операций с финансовыми активами, отражаемыми по справедливой стоимости через прибыль или убыток", строке 7 "Чистые расходы (чистые доходы) от операций с финансовыми обязательствами, оцениваемыми по справедливой стоимости через прибыль или убыток", строке 8 "Чистые доходы (чистые расходы) от операций с финансовыми активами, оцениваемыми по справедливой стоимости через прочий совокупный доход", строке 10 "Чистые доходы (чистые расходы) от операций с иностранной валютой" графы, соответствующей данному участнику банковской группы, раздела I отчетности по форме 0409803, по состоянию на 1 января для q-го года, формирующих чистую прибыль (убыток) от операций с финансовым активами и обязательствами, предназначенными для торговли, и с финансовыми активами и обязательствами, имеющимися в наличии для продажи;

- чистая прибыль (убыток) по финансовым операциям, определяемая (определяемый) для f-го участника банковской группы в тысячах рублей за q-й год как часть суммы величин, указанных в строке 9 "Чистые доходы (чистые расходы) от финансовых активов, оцениваемых по амортизированной стоимости", строке 11 "Чистые доходы (чистые расходы) от переоценки иностранной валюты" графы, соответствующей данному участнику банковской группы, раздела I отчетности по форме 0409803, по состоянию на 1 января для q-го года, формирующих чистую прибыль от операций с финансовыми активами, удерживаемыми до погашения.

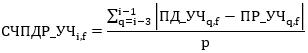
2.4. Головная кредитная организация банковской группы определяет величину по формуле:

,

где:

- коэффициент внутренних потерь для j-х участников банковской группы, определяемый в соответствии с подпунктами 3.1.1 и 3.1.2 пункта 3.1 Положения Банка России N 744-П по состоянию на расчетную дату расчетного года;

- добавочный коэффициент, определяемый в соответствии с пунктом 2.5 настоящего Положения.

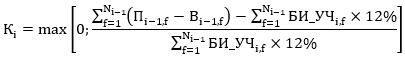
2.5. Головная кредитная организация банковской группы определяет величину показателя по формуле:

,

где:

- прямые потери в значении, установленном пунктом 3.12 Положения Банка России от 8 апреля 2020 года N 716-П "О требованиях к системе управления операционным риском в кредитной организации и банковской группе" <1> (далее - Положение Банка России N 716-П), отраженные в i-1 году на счетах бухгалтерского учета f-го участника банковской группы, зарегистрированные в базе событий, предусмотренной пунктом 4.3 приложения 1 к Указанию Банка России от 15 апреля 2015 года N 3624-У "О требованиях к системе управления рисками и капиталом кредитной организации и банковской группы" <2>, согласно порогу регистрации, устанавливаемому головной кредитной организацией банковской группы во внутренних документах банковской группы в соответствии с пунктом 6.5 Положения Банка России N 716-П (далее - прямые потери f-го участника банковской группы);

<1> Зарегистрировано Минюстом России 3 июня 2020 года, регистрационный N 58577, с изменениями, внесенными Указанием Банка России от 25 марта 2022 года N 6103-У (зарегистрировано Минюстом России 30 августа 2022 года, регистрационный N 69846).

<2> Зарегистрировано Минюстом России 26 мая 2015 года, регистрационный N 37388, с изменениями, внесенными Указаниями Банка России от 3 декабря 2015 года N 3878-У (зарегистрировано Минюстом России 28 декабря 2015 года, регистрационный N 40325), от 16 ноября 2017 года N 4606-У (зарегистрировано Минюстом России 7 декабря 2017 года, регистрационный N 49156), от 27 июня 2018 года N 4838-У (зарегистрировано Минюстом России 5 сентября 2018 года, регистрационный N 52084), от 8 апреля 2020 года N 5431-У (зарегистрировано Минюстом России 3 июня 2020 года, регистрационный N 58576).

- возмещения, поступившие в i-1 году на покрытие прямых потерь f-го участника банковской группы, реализовавшихся в i-1 году (далее - возмещения). В расчете возмещений не учитываются возмещения в соответствии с подпунктом 3.6.1 пункта 3.6 Положения Банка России N 744-П. В случае отсутствия в i-1 году возмещений f-го участника банковской группы показатель Вi-1,f принимается равным нулю;

- количество f-х участников банковской группы, по которым головной кредитной организацией банковской группы в базе событий были зарегистрированы прямые потери в i-1 году.

Головная кредитная организация банковской группы учитывает в расчете величины показателя прямые потери участников банковской группы, входящих в ее состав на расчетную дату.

2.6. В целях расчета размера операционного риска банковской группы головная кредитная организация банковской группы разрабатывает внутренние документы банковской группы и определяет в них:

порядок и методику расчета размера операционного риска банковской группы и отдельных показателей, указанных в пункте 2.3 настоящего Положения;

порядок и методику расчета величины исключений внутригрупповых операций в соответствии с подпунктом 2.2.1 пункта 2.2 настоящего Положения для j-х участников банковской группы;

порядок представления информации о событиях операционного риска, реализованных у f-х участников банковской группы, и потерях по данным событиям в соответствии с отчетом о прямых потерях от реализации событий операционного риска и возмещениях участника банковской группы (рекомендуемый образец приведен в приложении 1 к настоящему Положению).

2.7. В целях расчета размера операционного риска головная кредитная организация банковской группы формирует следующие отчеты:

отчет о прямых потерях от реализации событий операционного риска и возмещениях участника банковской группы (рекомендуемый образец приведен в приложении 1 к настоящему Положению);

отчет о расчете величины бизнес-индикатора банковской группы и размера операционного риска банковской группы (рекомендуемый образец приведен в приложении 2 к настоящему Положению).

2.8. Головная кредитная организация банковской группы устанавливает во внутренних документах банковской группы порядок и сроки рассмотрения органом управления головной кредитной организации банковской группы отчетов, указанных в пункте 2.7 настоящего Положения.

Для расчета размера операционного риска банковской группы f-е участники банковской группы ежегодно представляют в головную кредитную организацию банковской группы отчет, указанный в абзаце втором пункта 2.7 настоящего Положения, по состоянию на 1 января расчетного года в срок, указанный во внутренних документах банковской группы, но не позднее срока, указанного в абзаце пятом пункта 3 Порядка составления и представления отчетности по форме 0409805.

Головная кредитная организация банковской группы представляет в Банк России отчеты, указанные в пункте 2.7 настоящего Положения, по состоянию на 1 января расчетного года не позднее десяти рабочих дней с даты представления в Банк России отчетности по форме 0409805 "Расчет собственных средств (капитала) и значений обязательных нормативов банковской группы", установленной Указанием Банка России N 4927-У, по состоянию на 1 января расчетного года в соответствии с абзацем пятым пункта 3 Порядка составления и представления отчетности по форме 0409805 или по запросу Банка России в срок не позднее пятнадцати рабочих дней со дня получения указанного запроса.

2.9. Головная кредитная организация банковской группы при представлении в Банк России информации в соответствии с пунктами 2.7 и 2.8 настоящего Положения обеспечивает ее полноту и достоверность.

Глава 3. Заключительные положения

3.1. Настоящее Положение вступает в силу по истечении 10 дней после дня его официального опубликования.

3.2. Головная кредитная организация банковской группы должна применять настоящее Положение с 1 октября 2023 года, за исключением случая, предусмотренного пунктом 3.3 настоящего Положения.

3.3. Головная кредитная организация банковской группы вправе принять решение о применении настоящего Положения ранее 1 октября 2023 года при условии направления в Банк России информации о принятом решении в письменном виде не позднее дня, следующего за днем принятия решения.

Головная кредитная организация банковской группы, принявшая решение о применении настоящего Положения ранее 1 октября 2023 года, должна применять настоящее Положение начиная со следующего дня после дня направления информации о принятом решении в Банк России.

Председатель Центрального банка
Российской Федерации
Э.С. НАБИУЛЛИНА

Приложение 1
к Положению Банка России
от 30 января 2023 года N 814-П "О порядке расчета
размера операционного риска банковской группы"

Рекомендуемый образец

ОТЧЕТ О ПРЯМЫХ ПОТЕРЯХ ОТ РЕАЛИЗАЦИИ СОБЫТИЙ ОПЕРАЦИОННОГО РИСКА И ВОЗМЕЩЕНИЯХ УЧАСТНИКА БАНКОВСКОЙ ГРУППЫ

Полное или сокращенное фирменное наименование участника банковской группы (при наличии)  
Адрес в пределах места нахождения участника банковской группы  
Расчетный период  

Номер строки Наименование показателя Всего Преднамеренные действия персонала Преднамеренные действия третьих лиц Нарушение кадровой политики и безопасности труда Нарушение прав клиентов и контрагентов Ущерб материальным активам Нарушение и сбои систем и оборудования Нарушение организации, исполнения и управления процессами
1 2 3 4 5 6 7 8 9 10
1 Количество событий операционного риска, учтенных в строке 2 настоящей таблицы (), штук                
2 Сумма прямых потерь f-го участника банковской группы (), тысяч рублей                
3 Сумма возмещений по прямым потерям f-го участника банковской группы (), тысяч рублей                
4 Разница строк 2 и 3 настоящей таблицы (), тысяч рублей                

Приложение 2
к Положению Банка России
от 30 января 2023 года N 814-П "О порядке расчета
размера операционного риска банковской группы"

Рекомендуемый образец

ОТЧЕТ О РАСЧЕТЕ ВЕЛИЧИНЫ БИЗНЕС-ИНДИКАТОРА БАНКОВСКОЙ ГРУППЫ И РАЗМЕРА ОПЕРАЦИОННОГО РИСКА БАНКОВСКОЙ ГРУППЫ
по состоянию на __ ___________ 20__ года

Полное или сокращенное фирменное наименование головной кредитной организации банковской группы (при наличии)  
 
   
Адрес в пределах места нахождения кредитной организации, являющейся головной кредитной организацией банковской группы  
 

Номер строки Наименование показателя Кредитные организации Лизинговые организации Управляющие компании Профессиональные участники рынка ценных бумаг Структурированные организации, в том числе ипотечные агенты, специализированные общества Иные участники банковской группы Итого на расчетную дату i-го года
головная кредитная организация участник 1 участник 2 участник ... участник 1 участник 2 участник ... участник 1 участник 2 участник ... участник 1 участник 2 участник ... участник 1 участник 2 участник ... участник 1 участник 2 участник ...
1 2 3 4 5 6 7 8 9 10 11 12 13 14 15 16 17 18 19 20 21 22
1 после исключения внутригрупповых операций, тысяч рублей, в том числе:         X X X X X X X X X X X X X X X  
1.1 до исключения внутригрупповых операций, тысяч рублей         X X X X X X X X X X X X X X X X
1.2 Исключения внутригрупповых операций из , тысяч рублей         X X X X X X X X X X X X X X X X
2 , тысяч рублей, в том числе: X                                      
2.1 , тысяч рублей X                                      
2.2 , тысяч рублей X                                      
2.3 , тысяч рублей, в том числе: X                                      
3 , тысяч рублей X X X X X X X X X X X X X X X X X X X  
4 , тысяч рублей X X X X X X X X X X X X X X X X X X X  
5 , в том числе: X X X X X X X X X X X X X X X X X X X  
5.1         X X X X X X X X X X X X X X X  
5.2 X X X X X X X X X X X X X X X X X X X  
6 , тысяч рублей X X X X X X X X X X X X X X X X X X X