Приказ Минтранса РФ от 28.11.2022 N 473

"О внесении изменений в приложения N 1 и N 2 к приказу Министерства транспорта Российской Федерации от 29 декабря 2021 г. N 474 "Об утверждении методики оценки эффективности налоговых расходов Российской Федерации, куратором которых определено Министерство транспорта Российской Федерации"
Редакция от 28.11.2022 — Действует с 28.11.2022

МИНИСТЕРСТВО ТРАНСПОРТА РОССИЙСКОЙ ФЕДЕРАЦИИ

ПРИКАЗ
от 28 ноября 2022 г. N 473

О ВНЕСЕНИИ ИЗМЕНЕНИЙ В ПРИЛОЖЕНИЯ N 1 И N 2 К ПРИКАЗУ МИНИСТЕРСТВА ТРАНСПОРТА РОССИЙСКОЙ ФЕДЕРАЦИИ ОТ 29 ДЕКАБРЯ 2021 Г. N 474 "ОБ УТВЕРЖДЕНИИ МЕТОДИКИ ОЦЕНКИ ЭФФЕКТИВНОСТИ НАЛОГОВЫХ РАСХОДОВ РОССИЙСКОЙ ФЕДЕРАЦИИ, КУРАТОРОМ КОТОРЫХ ОПРЕДЕЛЕНО МИНИСТЕРСТВО ТРАНСПОРТА РОССИЙСКОЙ ФЕДЕРАЦИИ"

В соответствии с пунктом 2 постановления Правительства Российской Федерации от 12 апреля 2019 г. N 439 "Об утверждении Правил формирования перечня налоговых расходов Российской Федерации и оценки налоговых расходов Российской Федерации" приказываю:

Внести изменения в приложения N 1 и N 2 к приказу Министерства транспорта Российской Федерации от 29 декабря 2021 г. N 474 "Об утверждении Методики оценки эффективности налоговых расходов Российской Федерации, куратором которых определено Министерство транспорта Российской Федерации", изложив их в редакции согласно приложениям N 1 и N 2 к настоящему приказу.

Министр
В.Г. САВЕЛЬЕВ

Приложение N 1
к приказу Минтранса России
от 28 ноября 2022 г. N 473

Приложение N 1
Утверждена
приказом Минтранса России
от 29 декабря 2021 г. N 474
(в редакции
приказа Минтранса России
от ___________ N ____)

МЕТОДИКА ОЦЕНКИ ЭФФЕКТИВНОСТИ НАЛОГОВЫХ РАСХОДОВ РОССИЙСКОЙ ФЕДЕРАЦИИ, КУРАТОРОМ КОТОРЫХ ОПРЕДЕЛЕНО МИНИСТЕРСТВО ТРАНСПОРТА РОССИЙСКОЙ ФЕДЕРАЦИИ

I. Общие положения

1. Методика оценки эффективности налоговых расходов Российской Федерации предназначена для оценки эффективности налоговых расходов, куратором которых определено Министерство транспорта Российской Федерации (далее соответственно - Методика, Министерство).

2. Оценка эффективности осуществляется по каждому налоговому расходу Российской Федерации, указанному в приложении N 1 к настоящей Методике, в соответствии с требованиями, установленными постановлением Правительства Российской Федерации от 12 апреля 2019 г. N 439 "Об утверждении Правил формирования перечня налоговых расходов Российской Федерации и оценки налоговых расходов Российской Федерации" (далее - Правила).

Распределение налоговых расходов Российской Федерации по целевым категориям приведено в приложении N 2 к настоящей Методике.

3. В качестве источников информации о нормативных, целевых и фискальных характеристиках налоговых расходов, подлежащей включению в паспорта налоговых расходов, а также используемой для проведения оценки эффективности налоговых расходов в соответствии с настоящей Методикой, могут использоваться данные Федеральной налоговой службы, Федеральной таможенной службы, Федеральной службы государственной статистики, Министерства финансов Российской Федерации, Министерства транспорта Российской Федерации, федеральных агентств, находящихся в ведении Министерства транспорта Российской Федерации.

4. Оценка эффективности налогового расхода Российской Федерации включает:

оценку целесообразности налогового расхода Российской Федерации;

оценку результативности налогового расхода Российской Федерации.

II. Оценка целесообразности налогового расхода Российской Федерации

5. Критериями целесообразности налогового расхода Российской Федерации являются:

соответствие налогового расхода Российской Федерации целям государственной программы Российской Федерации "Развитие транспортной системы" (далее - государственная программа), ее структурным элементам, иным государственным программам, а также целям социально-экономической политики Российской Федерации, не относящимся к государственной программе;

востребованность плательщиками предоставленных льгот.

Налоговый расход должен соответствовать обоим критериям целесообразности. В случае несоответствия налогового расхода Российской Федерации хотя бы одному из критериев Министерство представляет в Министерство финансов Российской Федерации предложения о сохранении (уточнении, отмене) льгот для плательщиков.

5.1. При оценке соответствия налогового расхода Российской Федерации целям следует учитывать, что налоговый расход Российской Федерации должен оказывать прямое или косвенное влияние на достижение целей государственной программы, а также целей других государственных программ Российской Федерации и социально-экономической политики.

Прямое влияние предполагает, что связь между налоговыми расходами и вышеуказанными целями должна быть понятной и однозначно воспринимаемой.

Косвенное влияние должно сопровождаться описанием обоснования взаимосвязи между налоговым расходом и вышеуказанными целями.

При этом один налоговый расход может соответствовать нескольким целям государственной программы и (или) социально-экономической политики, которые могут носить разнородный характер.

5.1.1. Соответствие налоговых расходов Российской Федерации целям осуществляется по следующим элементам:

цели государственной программы. Налоговые расходы, оказывающие влияние на достижение целей государственной программы, приведены в приложении N 3 к настоящей Методике (таблицы 1, 2);

цели других государственных программ Российской Федерации. Налоговые расходы, оказывающие влияние на достижение целей других государственных программ Российской Федерации, приведены в приложении N 4 к настоящей Методике;

цели социально-экономической политики.

5.1.2. Цели социально-экономической политики, которым могут соответствовать налоговые расходы Российской Федерации, отражены в следующих документах:

Указ Президента Российской Федерации от 21 июля 2020 г. N 474 "О национальных целях развития Российской Федерации на период до 2030 года";

документы стратегического планирования Российской Федерации (Стратегия социально-экономического развития Российской Федерации, Стратегия национальной безопасности Российской Федерации, Стратегия пространственного развития Российской Федерации на период до 2025 года);

отраслевые документы стратегического планирования Российской Федерации (Транспортная стратегия Российской Федерации до 2030 года с прогнозом на период до 2035 года, Стратегия развития внутреннего водного транспорта Российской Федерации на период до 2030 года, Стратегия развития железнодорожного транспорта в Российской Федерации до 2030 года).

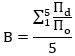
5.2. Востребованность плательщиками предоставленных льгот (В) характеризуется соотношением количества плательщиков, воспользовавшихся правом на льготы, и общим количеством плательщиков, потенциально имеющих право на получение данной льготы, за 5-летний период.

Расчет востребованности налоговой льготы (В) определяется по формуле:

,

где:

- количество плательщиков, воспользовавшихся правом на льготы;

- общее количество плательщиков, потенциально имеющих право на получение данной льготы.

5.2.1. Общее количество плательщиков, потенциально имеющих право на получение льготы, определяется на основании положений нормативных правовых актов, статистических данных, выданных лицензий и иных сведений общедоступных источников информации.

Источники информации о количестве плательщиков-организаций по видам хозяйствующих субъектов, потенциально имеющих право на получение льгот, представлены в приложении N 5 к настоящей Методике.

5.2.2. В случае если налоговая льгота действует менее 5 лет, то оценка ее востребованности проводится за фактический и прогнозный периоды действия льготы, сумма которых составляет 5 лет (например, если льгота введена в 2017 году, то оценка востребованности проводится за 2017 - 2021 годы).

5.2.3. Налоговая льгота считается востребованной при достижении порогового значения востребованности.

Пороговое значение, при котором льгота является востребованной, приведено в приложении N 6 к настоящей Методике.

III. Оценка результативности налогового расхода Российской Федерации

6. Оценка результативности налогового расхода включает:

оценку вклада налоговой льготы, обуславливающей налоговый расход, в изменение значения как минимум одного показателя (индикатора) достижения соответствующих целей программных документов стратегического планирования и структурных элементов программных документов стратегического планирования;

оценку бюджетной эффективности налогового расхода;

оценку совокупного бюджетного эффекта (самоокупаемости) налогового расхода (в отношении стимулирующих налоговых расходов).

6.1. Для оценки результативности налогового расхода рекомендуется использовать ту цель государственной программы и (или) социально-экономической политики, по отношению к которой проведена оценка целесообразности данного налогового расхода (раздел II настоящей Методики).

6.1.1. Под показателем достижения целей государственной программы, целей ее структурных элементов и (или) целей социально-экономической политики Российской Федерации (далее - целевой показатель) в пределах настоящей Методики понимается показатель, количественно характеризующий достижение цели (целей) государственной программы, ее структурных элементов и (или) социально-экономической политики Российской Федерации.

Соответствие налоговых расходов Российской Федерации целевым показателям государственной программы приведено в приложении N 7 к настоящей Методике (таблицы 1, 2).

6.1.2. Оценка вклада, предусмотренных для плательщиков льгот, изменение значения целевого показателя рассчитываются как разница между значением указанного целевого показателя с учетом льгот и значением указанного целевого показателя без учета льгот.

6.1.3. Количественное определение вклада налогового расхода Российской Федерации в достижение целевого показателя определяется с использованием корреляционно-регрессионных и статистических моделей, а также экспертных оценок.

Определение вклада налогового расхода Российской Федерации в достижение целевого показателя приведено в приложении N 8 к настоящей Методике.

6.2. Для проведения оценки бюджетной эффективности налогового расхода Российской Федерации осуществляется сравнительный анализ результативности предоставления льгот и результативности применения альтернативных механизмов достижения целей государственной программы и (или) целей социально-экономической политики Российской Федерации, не относящихся к государственной программе.

6.2.1. Сравнительный анализ включает сопоставление объемов расходов федерального бюджета в случае применения альтернативных механизмов достижения целей государственной программы и (или) целей социально-экономической политики и объемов предоставленных льгот на 1 рубль налоговых расходов и на 1 рубль расходов федерального бюджета для достижения того же целевого показателя.

Вид альтернативного механизма достижения целей государственной программы и (или) целей социально-экономической политики, применяемый к каждому налоговому расходу, указывается в результатах оценки бюджетной эффективности налоговых расходов.

6.2.2. К альтернативным механизмам поддержки для целей настоящей Методики относятся:

предоставление межбюджетных трансфертов субъектам Российской Федерации для непосредственной финансовой поддержки плательщиков, имеющих право на льготы, за счет федерального бюджета;

субсидии юридическим лицам (кроме некоммерческих организаций), индивидуальным предпринимателям, физическим лицам - производителям товаров, работ, услуг;

субсидии государственным корпорациям (компаниям), публично-правовым компаниям;

совершенствование нормативного регулирования в сфере деятельности плательщиков, имеющих право на льготы.

6.2.3. Оценка бюджетной эффективности определяется по формуле:

Bj = Atj - Ntj,

где:

Bj - бюджетная эффективность по j-му налоговому расходу;

Ntj - общий объем налоговых льгот по j-му налоговому расходу, полученный плательщиками, обеспечившими достижение t-го показателя (индикатора) в отчетном году;

Atj - сумма средств федерального бюджета (с учетом средств, предусмотренных на администрирование мер государственной поддержки), направленная получателям по альтернативному для j-й льготы механизму поддержки, обеспечившим достижение t-го показателя в отчетном году.

Объем государственной поддержки может определяться как объем предоставленных налоговых льгот, скорректированный на коэффициент, учитывающий расходы на администрирование предоставления мер государственной поддержки.

Бюджетная эффективность по j-му налоговому расходу признается положительной при достижении Bj неотрицательного значения.

6.3. Оценка совокупного бюджетного эффекта (самоокупаемости) налоговых расходов Российской Федерации проводится в отношении стимулирующих налоговых расходов Российской Федерации отдельно по каждому налоговому расходу Российской Федерации в соответствии с пунктами 19 - 21 Правил.

6.4. Налоговый расход признается результативным в случае одновременного соблюдения следующих условий:

оценка вклада налоговой льготы в изменение значения целевого показателя (индикатора) принимает положительное значение;

оценка бюджетной эффективности принимает неотрицательное значение;

оценка совокупного бюджетного эффекта принимает неотрицательное значение.

IV. Порядок формирования выводов об оценке эффективности налогового расхода Российской Федерации

7. По результатам оценки эффективности налогового расхода Российской Федерации формулируются выводы:

о соответствии или несоответствии налогового расхода Российской Федерации критериям целесообразности, в том числе о его соответствии целям государственной программы и (или) целям социально-экономической политики Российской Федерации, не относящимся к государственной программе, а также востребованности налоговых льгот;

о вкладе налогового расхода Российской Федерации в достижение целевых показателей;

о наличии или об отсутствии более результативных (менее затратных для федерального бюджета) альтернативных механизмов достижения целей государственной программы Российской Федерации и (или) целей социально-экономической политики Российской Федерации, не относящихся к государственным программам Российской Федерации;

о результативности налогового расхода, рекомендации о необходимости сохранения, уточнения или отмене налоговой льготы.

8. Департамент финансов Министерства доводит до департаментов Министерства в соответствии с установленными полномочиями в соответствующей сфере деятельности информацию, представляемую ежегодно до 15 ноября Министерством финансов Российской Федерации, в части фискальных характеристик налогового расхода Российской Федерации.

9. По результатам оценки эффективности каждого налогового расхода ответственные департаменты Министерства совместно с соисполнителями представляют в Департамент финансов Министерства в срок до 1 декабря текущего года (уточненные данные - до 15 февраля очередного финансового года) следующие документы:

а) паспорт налогового расхода согласно приложению N 9 к настоящей Методике;

б) результаты оценки эффективности налогового расхода (приложение N 10 к настоящей Методике);

в) рекомендации по результатам оценки эффективности налоговых расходов (приложение N 11 к настоящей Методике);

г) сводную информацию в формате электронной таблицы, содержащую данные из паспорта налогового расхода, краткое описание результатов оценки эффективности налогового расхода и рекомендации по результатам оценки эффективности налогового расхода.

10. Департамент финансов Министерства на основании представленной информации обеспечивает формирование сводных сведений о налоговых расходах Российской Федерации в части компетенции Министерства по форме и в порядке, установленным Министерством финансов Российской Федерации.

11. Паспорта налоговых расходов Российской Федерации, результаты оценки эффективности налоговых расходов Российской Федерации, рекомендации по результатам указанной оценки, включая рекомендации Министерству финансов Российской Федерации о необходимости сохранения (уточнения, отмены) предоставленных плательщикам льгот, а также сводная информация в формате электронной таблицы направляются Министерством в Министерство финансов Российской Федерации ежегодно до 15 декабря (уточненные данные - до 1 марта), в Министерство экономического развития Российской Федерации ежегодно до 1 марта.

Приложение N 1
к Методике оценки эффективности
налоговых расходов Российской
Федерации, куратором которых
определено Министерство транспорта
Российской Федерации

ПЕРЕЧЕНЬ НАЛОГОВЫХ РАСХОДОВ РОССИЙСКОЙ ФЕДЕРАЦИИ, КУРАТОРОМ КОТОРЫХ ОПРЕДЕЛЕНО МИНИСТЕРСТВО ТРАНСПОРТА РОССИЙСКОЙ ФЕДЕРАЦИИ

1. Освобождение от уплаты НДС реализации услуг по перевозке пассажиров в общественном транспорте (налоговый расход обусловлен льготой, установленной подпунктом 7 пункта 2 статьи 149 Налогового кодекса Российской Федерации).

2. Освобождение от уплаты НДС реализации работ, связанных с осуществлением регулярных перевозок пассажиров и багажа автомобильным транспортом (налоговый расход обусловлен льготой, установленной подпунктом 7.1 пункта 2 статьи 149 Налогового кодекса Российской Федерации).

3. Освобождение от уплаты НДС услуг по предоставлению права проезда транспортных средств по платным автомобильным дорогам общего пользования федерального значения (налоговый расход обусловлен льготой, установленной подпунктом 4.2 пункта 2 статьи 146 Налогового кодекса Российской Федерации).

4. Пониженная ставка НДС на услуги по внутренним воздушным перевозкам пассажиров и багажа в (из) Республику Крым и г. Севастополь (налоговый расход обусловлен льготой, установленной подпунктом 4.1 пункта 1 статьи 164 Налогового кодекса Российской Федерации).

5. Пониженная ставка НДС на услуги по внутренним воздушным перевозкам пассажиров и багажа в (из) Калининградской области/Дальневосточного федерального округа (налоговый расход обусловлен льготой, установленной подпунктом 4.2 пункта 1 статьи 164 Налогового кодекса Российской Федерации).

6. Пониженная ставка НДС на услуги по внутренним воздушным перевозкам пассажиров и багажа (налоговый расход обусловлен льготой, установленной подпунктом 6 пункта 2 статьи 164 Налогового кодекса Российской Федерации).

7. Пониженная ставка НДС на услуги по перевозке пассажиров железнодорожным транспортом в пригородном сообщении (налоговый расход обусловлен льготой, установленной подпунктом 9.2 пункта 1 статьи 164 Налогового кодекса Российской Федерации).

8. Пониженная ставка НДС на услуги по перевозке пассажиров железнодорожным транспортом общего пользования в дальнем сообщении (налоговый расход обусловлен льготой, установленной подпунктом 9.3 пункта 1 статьи 164 Налогового кодекса Российской Федерации).

9. Пониженная сумма налогообложения по налогу на имущество организаций в отношении железнодорожных путей общего пользования (налоговый расход обусловлен льготой, установленной статьей 385.3 Налогового кодекса Российской Федерации).

10. Пониженная ставка налога на имущество организаций в отношении железнодорожных путей общего пользования (налоговый расход обусловлен льготой, установленной пунктом 3.2 статьи 380 Налогового кодекса Российской Федерации).

11. Освобождение от уплаты ввозной таможенной пошлины при ввозе гражданских пассажирских самолетов (налоговый расход обусловлен льготой, установленной пунктом 7.1.13 Решения Комиссии Таможенного союза от 27 ноября 2009 N 130 "О едином таможенно-тарифном регулировании Евразийского экономического союза").

12. Освобождение от уплаты ввозной таможенной пошлины при ввозе авиационных двигателей (налоговый расход обусловлен льготой, установленной пунктом 7.1.15 Решения Комиссии Таможенного союза от 27 ноября 2009 N 130 "О едином таможенно-тарифном регулировании Евразийского экономического союза").

13. Исключение из состава объектов налогообложения по транспортному налогу пассажирских и грузовых морских, речных и воздушных судов, используемых для перевозок (налоговый расход обусловлен льготой, установленный подпунктом 4 пункта 2 статьи 358 Налогового кодекса Российской Федерации).

14. Освобождение от уплаты НДС при ввозе авиационных двигателей (налоговый расход обусловлен льготой, установленной подпунктом 22 части 1 статьи 150 Налогового кодекса Российской Федерации).

15. Освобождение от уплаты ввозной таможенной пошлины гражданских пассажирских самолетов (налоговый расход обусловлен льготой, установленной решением Комиссии Таможенного союза от 27 ноября 2009 г. N 130 "О едином таможенно-тарифном регулировании Евразийского экономического союза").

16. Пониженная ставка НДС при реализации авиационных двигателей, запасных частей и комплектующих изделий (налоговый расход обусловлен льготой, установленной подпунктом 16 части 1 статьи 164 Налогового кодекса Российской Федерации).

17. Освобождение от уплаты НДС при ввозе гражданских воздушных судов, зарегистрированных в государственном реестре гражданских воздушных судов иностранного государства (налоговый расход обусловлен льготой, установленной подпунктом 21 части 1 статьи 150 Налогового кодекса Российской Федерации).

18. Пониженная ставка НДС на услуги по внутренним воздушным перевозкам пассажиров и багажа вне территории Московской области и территории г. Москвы (налоговый расход обусловлен льготой, установленной подпунктом 4.3 части 1 статьи 164 Налогового кодекса Российской Федерации).

19. Освобождение от уплаты НДС при ввозе гражданских воздушных судов (налоговый расход обусловлен льготой, установленной подпунктом 20 части 1 статьи 150 Налогового кодекса Российской Федерации).

20. Пониженная ставка НДС при реализации гражданских воздушных судов (налоговый расход обусловлен льготой, установленной подпунктом 15 части 1 статьи 164 Налогового кодекса Российской Федерации).

21. Пониженная ставка НДС на услуги по передаче гражданских воздушных судов (налоговый расход обусловлен льготой, установленной подпунктом 17 части 1 статьи 164 Налогового кодекса Российской Федерации).

22. Освобождение от уплаты налога на имущество организаций в отношении федеральных автомобильных дорог общего пользования (налоговый расход обусловлен льготой, установленной подпунктом 11 части 1 статьи 381 Налогового кодекса Российской Федерации).

23. Исключение из состава объектов налогообложения по налогу на имущество организаций воздушных судов, зарегистрированных в Государственном реестре гражданских воздушных судов Российской Федерации (налоговый расход обусловлен льготой, установленной подпунктом 10 части 4 статьи 374 Налогового кодекса Российской Федерации).

24. Исключение из состава объектов налогообложения по транспортному налогу воздушных судов, зарегистрированных в Государственном реестре гражданских воздушных судов Российской Федерации (налоговый расход обусловлен льготой, установленной подпунктом 12 части 2 статьи 358 Налогового кодекса Российской Федерации).

Приложение N 2
к Методике оценки эффективности
налоговых расходов Российской
Федерации, куратором которых
определено Министерство транспорта
Российской Федерации

РАСПРЕДЕЛЕНИЕ НАЛОГОВЫХ РАСХОДОВ РОССИЙСКОЙ ФЕДЕРАЦИИ ПО ЦЕЛЕВЫМ КАТЕГОРИЯМ

N Краткое наименование налогового расхода Российской Федерации Целевая категория налоговых расходов
1. Освобождение от уплаты НДС реализации услуг по перевозке пассажиров в общественном транспорте Социальная
2. Освобождение от уплаты НДС реализации работ, связанных с осуществлением регулярных перевозок пассажиров и багажа автомобильным транспортом Социальная
3. Освобождение от уплаты НДС услуг по предоставлению права проезда транспортных средств по платным автомобильным дорогам общего пользования федерального значения Техническая
4. Пониженная ставка НДС на услуги по внутренним воздушным перевозкам пассажиров и багажа в (из) Республику Крым и г. Севастополь Социальная
5. Пониженная ставка НДС на услуги по внутренним воздушным перевозкам пассажиров и багажа в (из) Калининградской области/Дальневосточного федерального округа Социальная
6. Пониженная ставка НДС на услуги по внутренним воздушным перевозкам пассажиров и багажа Социальная
7. Пониженная ставка НДС на услуги по перевозке пассажиров железнодорожным транспортом в пригородном сообщении Социальная
8. Пониженная ставка НДС на услуги по перевозке пассажиров железнодорожным транспортом общего пользования в дальнем сообщении Социальная
9. Пониженная сумма налогообложения по налогу на имущество организаций в отношении железнодорожных путей общего пользования Стимулирующая
10. Пониженная ставка налога на имущество организаций в отношении железнодорожных путей общего пользования Стимулирующая
11. Освобождение от уплаты ввозной таможенной пошлины при ввозе гражданских пассажирских самолетов Стимулирующая
12. Освобождение от уплаты ввозной таможенной пошлины при ввозе авиационных двигателей Стимулирующая
13. Освобождение от уплаты НДС при ввозе авиационных двигателей Стимулирующая
14. Освобождение от уплаты ввозной таможенной пошлины гражданских пассажирских самолетов Стимулирующая
15. Пониженная ставка НДС при реализации авиационных двигателей, запасных частей и комплектующих изделий Стимулирующая
16. Освобождение от уплаты НДС при ввозе гражданских воздушных судов, зарегистрированных в государственном реестре гражданских воздушных судов иностранного государства Стимулирующая
17. Пониженная ставка НДС на услуги по внутренним воздушным перевозкам пассажиров и багажа вне территории Московской области и территории г. Москвы Социальная
18. Освобождение от уплаты НДС при ввозе гражданских воздушных судов Стимулирующая
19. Пониженная ставка НДС при реализации гражданских воздушных судов Стимулирующая
20. Пониженная ставка НДС на услуги по передаче гражданских воздушных судов Стимулирующая
21. Исключение из состава объектов налогообложения по налогу на имущество организаций воздушных судов, зарегистрированных в Государственном реестре гражданских воздушных судов Стимулирующая
22. Исключение из состава объектов налогообложения по транспортному налогу пассажирских и грузовых морских, речных и воздушных судов, используемых для перевозок Техническая
23. Исключение из состава объектов налогообложения по транспортному налогу воздушных судов, зарегистрированных в Государственном реестре гражданских воздушных судов Стимулирующая
24. Освобождение от уплаты налога на имущество организаций в отношении федеральных автомобильных дорог общего пользования Техническая

Приложение N 3
к Методике оценки эффективности
налоговых расходов Российской
Федерации, куратором которых
определено Министерство транспорта
Российской Федерации

Таблица 1

Соответствие налоговых расходов Российской Федерации целям государственной программы Российской Федерации "Развитие транспортной системы"

N Краткое наименование налогового расхода Российской Федерации Наименование государственной программы Цель государственной программы
1. Освобождение от уплаты НДС реализации услуг по перевозке пассажиров в общественном транспорте "Развитие транспортной системы" Повышение доступности качественных транспортных услуг для обеспечения транспортной подвижности населения на уровне 14,2 тыс. пасс.-км на 1 жителя
2. Освобождение от уплаты НДС реализации работ, связанных с осуществлением регулярных перевозок пассажиров и багажа автомобильным транспортом "Развитие транспортной системы" Повышение доступности качественных транспортных услуг для обеспечения транспортной подвижности населения на уровне 14,2 тыс. пасс.-км на 1 жителя
3. Освобождение от уплаты НДС услуг по предоставлению права проезда транспортных средств по платным автомобильным дорогам общего пользования федерального значения "Развитие транспортной системы" Ускорение товародвижения на основе повышения качества транспортной инфраструктуры на 17,1% относительно уровня 2021 года
4. Пониженная ставка НДС на услуги по внутренним воздушным перевозкам пассажиров и багажа в (из) Республику Крым и г. Севастополь "Развитие транспортной системы" Повышение доступности качественных транспортных услуг для обеспечения транспортной подвижности населения на уровне 14,2 тыс. пасс.-км на 1 жителя
5. Пониженная ставка НДС на услуги по внутренним воздушным перевозкам пассажиров и багажа в (из) Калининградской области/Дальневосточного федерального округа "Развитие транспортной системы" Повышение доступности качественных транспортных услуг для обеспечения транспортной подвижности населения на уровне 14,2 тыс. пасс.-км на 1 жителя
6. Пониженная ставка НДС на услуги по перевозке пассажиров железнодорожным транспортом в пригородном сообщении "Развитие транспортной системы" Повышение доступности качественных транспортных услуг для обеспечения транспортной подвижности населения на уровне 14,2 тыс. пасс.-км на 1 жителя
7. Пониженная ставка НДС на услуги по перевозке пассажиров железнодорожным транспортом общего пользования в дальнем сообщении "Развитие транспортной системы" Повышение доступности качественных транспортных услуг для обеспечения транспортной подвижности населения на уровне 14,2 тыс. пасс.-км на 1 жителя
8. Пониженная ставка НДС на услуги по внутренним воздушным перевозкам пассажиров и багажа "Развитие транспортной системы" Повышение доступности качественных транспортных услуг для обеспечения транспортной подвижности населения на уровне 14,2 тыс. пасс.-км на 1 жителя
9. Пониженная сумма налогообложения по налогу на имущество организаций в отношении железнодорожных путей общего пользования "Развитие транспортной системы" Повышение доступности качественных транспортных услуг для обеспечения транспортной подвижности населения на уровне 14,2 тыс. пасс.-км на 1 жителя
10. Пониженная ставка налога на имущество организаций в отношении железнодорожных путей общего пользования "Развитие транспортной системы" Повышение доступности качественных транспортных услуг для обеспечения транспортной подвижности населения на уровне 14,2 тыс. пасс.-км на 1 жителя
11. Освобождение от уплаты ввозной таможенной пошлины при ввозе гражданских пассажирских самолетов "Развитие транспортной системы" Повышение доступности качественных транспортных услуг для обеспечения транспортной подвижности населения на уровне 14,2 тыс. пасс.-км на 1 жителя
12. Освобождение от уплаты ввозной таможенной пошлины при ввозе авиационных двигателей "Развитие транспортной системы" Повышение доступности качественных транспортных услуг для обеспечения транспортной подвижности населения на уровне 14,2 тыс. пасс.- км на 1 жителя
13. Освобождение от уплаты НДС при ввозе авиационных двигателей "Развитие транспортной системы" Повышение доступности качественных транспортных услуг для обеспечения транспортной подвижности населения на уровне 14,2 тыс. пасс.- км на 1 жителя
14. Освобождение от уплаты ввозной таможенной пошлины гражданских пассажирских самолетов "Развитие транспортной системы" Повышение доступности качественных транспортных услуг для обеспечения транспортной подвижности населения на уровне 14,2 тыс. пасс.-км на 1 жителя
15. Пониженная ставка НДС при реализации авиационных двигателей, запасных частей и комплектующих изделий "Развитие транспортной системы" Повышение доступности качественных транспортных услуг для обеспечения транспортной подвижности населения на уровне 14,2 тыс. пасс.-км на 1 жителя
16. Освобождение от уплаты НДС при ввозе гражданских воздушных судов, зарегистрированных в государственном реестре гражданских воздушных судов иностранного государства "Развитие транспортной системы" Повышение доступности качественных транспортных услуг для обеспечения транспортной подвижности населения на уровне 14,2 тыс. пасс.-км на 1 жителя
17. Пониженная ставка НДС на услуги по внутренним воздушным перевозкам пассажиров и багажа вне территории Московской области и территории г. Москвы "Развитие транспортной системы" Повышение доступности качественных транспортных услуг для обеспечения транспортной подвижности населения на уровне 14,2 тыс. пасс.-км на 1 жителя
18. Освобождение от уплаты НДС при ввозе гражданских воздушных судов "Развитие транспортной системы" Повышение доступности качественных транспортных услуг для обеспечения транспортной подвижности населения на уровне 14,2 тыс. пасс.-км на 1 жителя
19. Пониженная ставка НДС при реализации гражданских воздушных судов "Развитие транспортной системы" Повышение доступности качественных транспортных услуг для обеспечения транспортной подвижности населения на уровне 14,2 тыс. пасс.-км на 1 жителя
20. Пониженная ставка НДС на услуги по передаче гражданских воздушных судов "Развитие транспортной системы" Повышение доступности качественных транспортных услуг для обеспечения транспортной подвижности населения на уровне 14,2 тыс. пасс.-км на 1 жителя
21. Исключение из состава объектов налогообложения по налогу на имущество организаций воздушных судов, зарегистрированных в Государственном реестре гражданских воздушных судов "Развитие транспортной системы" Повышение доступности качественных транспортных услуг для обеспечения транспортной подвижности населения на уровне 14,2 тыс. пасс.-км на 1 жителя
22. Исключение из состава объектов налогообложения по транспортному налогу пассажирских и грузовых морских, речных и воздушных судов, используемых для перевозок "Развитие транспортной системы" Повышение доступности качественных транспортных услуг для обеспечения транспортной подвижности населения на уровне 14,2 тыс. пасс.-км на 1 жителя
23. Исключение из состава объектов налогообложения по транспортному налогу воздушных судов, зарегистрированных в Государственном реестре гражданских воздушных судов "Развитие транспортной системы" Повышение доступности качественных транспортных услуг для обеспечения транспортной подвижности населения на уровне 14,2 тыс. пасс.-км на 1 жителя
24. Освобождение от уплаты налога на имущество организаций в отношении федеральных автомобильных дорог общего пользования "Развитие транспортной системы" Ускорение товародвижения на основе повышения индекса качества транспортной инфраструктуры на 17,1% относительно уровня 2021 года

Таблица 2

Соответствие налоговых расходов Российской Федерации целям государственной программы Российской Федерации "Развитие транспортной системы" в 2021 году <*>

N Краткое наименование налогового расхода Российской Федерации Наименование государственной программы Цель государственной программы
1. Освобождение от уплаты НДС реализации услуг по перевозке пассажиров в общественном транспорте "Развитие транспортной системы" Повышение доступности качественных транспортных услуг для обеспечения транспортной подвижности населения на уровне 9,5 тыс. пасс.-км на 1 жителя
2. Освобождение от уплаты НДС реализации работ, связанных с осуществлением регулярных перевозок пассажиров и багажа автомобильным транспортом "Развитие транспортной системы" Повышение доступности качественных транспортных услуг для обеспечения транспортной подвижности населения на уровне 9,5 тыс. пасс.-км на 1 жителя
3. Освобождение от уплаты НДС услуг по предоставлению права проезда транспортных средств по платным автомобильным дорогам общего пользования федерального значения "Развитие транспортной системы" Ускорение товародвижения на основе повышения индекса качества транспортной инфраструктуры на 15,5% относительно уровня 2017 года
4. Пониженная ставка НДС на услуги по внутренним воздушным перевозкам пассажиров и багажа в (из) Республику Крым и г. Севастополь "Развитие транспортной системы" Повышение доступности качественных транспортных услуг для обеспечения транспортной подвижности населения на уровне 9,5 тыс. пасс.-км на 1 жителя
5. Пониженная ставка НДС на услуги по внутренним воздушным перевозкам пассажиров и багажа в (из) Калининградской области/Дальневосточного федерального округа "Развитие транспортной системы" Повышение доступности качественных транспортных услуг для обеспечения транспортной подвижности населения на уровне 9,5 тыс. пасс.-км на 1 жителя
6. Пониженная ставка НДС на услуги по перевозке пассажиров железнодорожным транспортом в пригородном сообщении "Развитие транспортной системы" Повышение доступности качественных транспортных услуг для обеспечения транспортной подвижности населения на уровне 9,5 тыс. пасс.-км на 1 жителя
7. Пониженная ставка НДС на услуги по перевозке пассажиров железнодорожным транспортом общего пользования в дальнем сообщении "Развитие транспортной системы" Повышение доступности качественных транспортных услуг для обеспечения транспортной подвижности населения на уровне 9,5 тыс. пасс.-км на 1 жителя
8. Пониженная ставка НДС на услуги по внутренним воздушным перевозкам пассажиров и багажа "Развитие транспортной системы" Повышение доступности качественных транспортных услуг для обеспечения транспортной подвижности населения на уровне 9,5 тыс. пасс.-км на 1 жителя
9. Пониженная сумма налогообложения по налогу на имущество организаций в отношении железнодорожных путей общего пользования "Развитие транспортной системы" Реальный рост инвестиций в основной капитал транспортного комплекса не менее 11,0% относительно уровня 2020 года
10. Пониженная ставка налога на имущество организаций в отношении железнодорожных путей общего пользования "Развитие транспортной системы" Реальный рост инвестиций в основной капитал транспортного комплекса не менее 11,0% относительно уровня 2020 года
11. Освобождение от уплаты ввозной таможенной пошлины при ввозе гражданских пассажирских самолетов "Развитие транспортной системы" Реальный рост инвестиций в основной капитал транспортного комплекса не менее 11,0% относительно уровня 2020 года
12. Освобождение от уплаты ввозной таможенной пошлины при ввозе авиационных двигателей "Развитие транспортной системы" Реальный рост инвестиций в основной капитал транспортного комплекса не менее 11,0% относительно уровня 2020 года
13. Освобождение от уплаты НДС при ввозе авиационных двигателей "Развитие транспортной системы" Реальный рост инвестиций в основной капитал транспортного комплекса не менее 11,0% относительно уровня 2020 года
14. Освобождение от уплаты ввозной таможенной пошлины гражданских пассажирских самолетов "Развитие транспортной системы" Реальный рост инвестиций в основной капитал транспортного комплекса не менее 11,0% относительно уровня 2020 года
15. Пониженная ставка НДС при реализации авиационных двигателей, запасных частей и комплектующих изделий "Развитие транспортной системы" Реальный рост инвестиций в основной капитал транспортного комплекса не менее 11,0% относительно уровня 2020 года
16. Освобождение от уплаты НДС при ввозе гражданских воздушных судов, зарегистрированных в государственном реестре гражданских воздушных судов иностранного государства "Развитие транспортной системы" Реальный рост инвестиций в основной капитал транспортного комплекса не менее 11,0% относительно уровня 2020 года
17. Пониженная ставка НДС на услуги по внутренним воздушным перевозкам пассажиров и багажа вне территории Московской области и территории г. Москвы "Развитие транспортной системы" Повышение доступности качественных транспортных услуг для обеспечения транспортной подвижности населения на уровне 9,5 тыс. пасс.-км на 1 жителя
18. Освобождение от уплаты НДС при ввозе гражданских воздушных судов "Развитие транспортной системы" Реальный рост инвестиций в основной капитал транспортного комплекса не менее 11,0% относительно уровня 2020 года
19. Пониженная ставка НДС при реализации гражданских воздушных судов "Развитие транспортной системы" Реальный рост инвестиций в основной капитал транспортного комплекса не менее 11,0% относительно уровня 2020 года
20. Пониженная ставка НДС на услуги по передаче гражданских воздушных судов "Развитие транспортной системы" Реальный рост инвестиций в основной капитал транспортного комплекса не менее 11,0% относительно уровня 2020 года
21. Исключение из состава объектов налогообложения по налогу на имущество организаций воздушных судов, зарегистрированных в Государственном реестре гражданских воздушных судов "Развитие транспортной системы" Реальный рост инвестиций в основной капитал транспортного комплекса не менее 11,0% относительно уровня 2020 года
22. Исключение из состава объектов налогообложения по транспортному налогу пассажирских и грузовых морских, речных и воздушных судов, используемых для перевозок "Развитие транспортной системы" Реальный рост инвестиций в основной капитал транспортного комплекса не менее 11,0% относительно уровня 2020 года
23. Исключение из состава объектов налогообложения по транспортному налогу воздушных судов, зарегистрированных в Государственном реестре гражданских воздушных судов "Развитие транспортной системы" Реальный рост инвестиций в основной капитал транспортного комплекса не менее 11,0% относительно уровня 2020 года
24. Освобождение от уплаты налога на имущество организаций в отношении федеральных автомобильных дорог общего пользования "Развитие транспортной системы" Ускорение товародвижения на основе повышения индекса качества транспортной инфраструктуры на 15,5% относительно уровня 2017 года

<*> Цели государственной программы Российской Федерации "Развитие транспортной системы" в 2021 году приведены в соответствии с редакцией государственной программы, утвержденной постановлением Правительства Российской Федерации от 30 марта 2021 г. N 483.

Приложение N 4
к Методике оценки эффективности
налоговых расходов Российской
Федерации, куратором которых
определено Министерство транспорта
Российской Федерации

СООТВЕТСТВИЕ НАЛОГОВЫХ РАСХОДОВ РОССИЙСКОЙ ФЕДЕРАЦИИ ЦЕЛЯМ ДРУГИХ ГОСУДАРСТВЕННЫХ ПРОГРАММ РОССИЙСКОЙ ФЕДЕРАЦИИ

N Краткое наименование налогового расхода Российской Федерации Наименование государственной программы Цель государственной программы
1. Освобождение от уплаты НДС реализации услуг по перевозке пассажиров в общественном транспорте "Социально-экономическое развитие Республики Крым и г. Севастополя" Устранение диспропорций в региональном развитии, в том числе обеспечение Республики Крым и г. Севастополя социальной, транспортной и иной инфраструктурой в целях обеспечения устойчивого роста численности населения Республики Крым и г. Севастополя на уровне 2549,4 тыс. человек в 2025 году
"Социально-экономическое развитие Дальневосточного федерального округа" Повышение уровня социально-экономического развития Дальневосточного федерального округа путем создания 153,5 тыс. рабочих мест и вложения инвестиций в объеме 3207,7 млрд. рублей накопленным итогом к 2030 году (включительно)
"Социально-экономическое развитие Калининградской области" Обеспечение Калининградской области социальной, транспортной и иной инфраструктурой в целях достижения устойчивого роста среднегодовой численности населения на уровне 1045 тыс. человек в 2025 году
"Социально-экономическое развитие Арктической зоны Российской Федерации" Повышение уровня социально-экономического развития Арктической зоны Российской Федерации путем создания 13,274 тыс. рабочих мест, вложения внебюджетных инвестиций в объеме 399,19 млрд. рублей к 2030 году
"Развитие Северо-Кавказского федерального округа" Повышение качества жизни населения к 2030 году путем увеличения среднего индекса качества городской среды до 57,6 процента по отношению к 2019 году, увеличения доли дорожной сети городских агломераций, находящейся в нормативном состоянии, до 86,6 процента, увеличения доли населения, обеспеченного качественной питьевой водой из систем централизованного водоснабжения, до 96,3 процента
2. Освобождение от уплаты НДС реализации работ, связанных с осуществлением регулярных перевозок пассажиров и багажа автомобильным транспортом "Социально-экономическое развитие Республики Крым и г. Севастополя" Устранение диспропорций в региональном развитии, в том числе обеспечение Республики Крым и г. Севастополя социальной, транспортной и иной инфраструктурой в целях обеспечения устойчивого роста численности населения Республики Крым и г. Севастополя на уровне 2549,4 тыс. человек в 2025 году
"Социально-экономическое развитие Дальневосточного федерального округа" Повышение уровня социально-экономического развития Дальневосточного федерального округа путем создания 153,5 тыс. рабочих мест и вложения инвестиций в объеме 3207,7 млрд. рублей накопленным итогом к 2030 году (включительно)
"Социально-экономическое развитие Калининградской области" Обеспечение Калининградской области социальной, транспортной и иной инфраструктурой в целях достижения устойчивого роста среднегодовой численности населения на уровне 1045 тыс. человек в 2025 году
"Социально-экономическое развитие Арктической зоны Российской Федерации" Повышение уровня социально-экономического развития Арктической зоны Российской Федерации путем создания 13,274 тыс. рабочих мест, вложения внебюджетных инвестиций в объеме 399,19 млрд. рублей к 2030 году
"Развитие Северо-Кавказского федерального округа" Повышение качества жизни населения к 2030 году путем увеличения среднего индекса качества городской среды до 57,6 процента по отношению к 2019 году, увеличения доли дорожной сети городских агломераций, находящейся в нормативном состоянии, до 86,6 процента, увеличения доли населения, обеспеченного качественной питьевой водой из систем централизованного водоснабжения, до 96,3 процента
3. Пониженная ставка НДС на услуги по внутренним воздушным перевозкам пассажиров и багажа в (из) Республику Крым и г. Севастополь "Социально-экономическое развитие Республики Крым и г. Севастополя" Устранение диспропорций в региональном развитии, в том числе обеспечение Республики Крым и г. Севастополя социальной, транспортной и иной инфраструктурой в целях обеспечения устойчивого роста численности населения Республики Крым и г. Севастополя на уровне 2549,4 тыс. человек в 2025 году
4. Пониженная ставка НДС на услуги по внутренним воздушным перевозкам пассажиров и багажа в (из) Калининградской области/Дальневосточного федерального округа "Социально-экономическое развитие Калининградской области" Обеспечение Калининградской области социальной, транспортной и иной инфраструктурой в целях достижения устойчивого роста среднегодовой численности населения на уровне 1045 тыс. человек в 2025 году
"Социально-экономическое развитие Дальневосточного федерального округа" Повышение уровня социально-экономического развития Дальневосточного федерального округа путем создания 153,5 тыс. рабочих мест и вложения инвестиций в объеме 3207,7 млрд. рублей накопленным итогом к 2030 году (включительно)
5 Пониженная ставка НДС на услуги по внутренним воздушным перевозкам пассажиров и багажа вне территории Московской области и территории г. Москвы "Социально-экономическое развитие Республики Крым и г. Севастополя" Устранение диспропорций в региональном развитии, в том числе обеспечение Республики Крым и г. Севастополя социальной, транспортной и иной инфраструктурой в целях обеспечения устойчивого роста численности населения Республики Крым и г. Севастополя на уровне 2549,4 тыс. человек в 2025 году
"Социально-экономическое развитие Дальневосточного федерального округа" Повышение уровня социально-экономического развития Дальневосточного федерального округа путем создания 153,5 тыс. рабочих мест и вложения инвестиций в объеме 3207,7 млрд. рублей накопленным итогом к 2030 году (включительно)
"Социально-экономическое развитие Калининградской области" Обеспечение Калининградской области социальной, транспортной и иной инфраструктурой в целях достижения устойчивого роста среднегодовой численности населения на уровне 1045 тыс. человек в 2025 году
"Социально-экономическое развитие Арктической зоны Российской Федерации" Повышение уровня социально-экономического развития Арктической зоны Российской Федерации путем создания 13,274 тыс. рабочих мест, вложения внебюджетных инвестиций в объеме 399,19 млрд. рублей к 2030 году
"Развитие Северо-Кавказского федерального округа" Повышение качества жизни населения к 2030 году путем увеличения среднего индекса качества городской среды до 57,6 процента по отношению к 2019 году, увеличения доли дорожной сети городских агломераций, находящейся в нормативном состоянии, до 86,6 процента, увеличения доли населения, обеспеченного качественной питьевой водой из систем централизованного водоснабжения, до 96,3 процента
6. Пониженная ставка НДС на услуги по перевозке пассажиров железнодорожным транспортом в пригородном сообщении "Социально-экономическое развитие Республики Крым и г. Севастополя" Устранение диспропорций в региональном развитии, в том числе обеспечение Республики Крым и г. Севастополя социальной, транспортной и иной инфраструктурой в целях обеспечения устойчивого роста численности населения Республики Крым и г. Севастополя на уровне 2549,4 тыс. человек в 2025 году
"Социально-экономическое развитие Дальневосточного федерального округа" Повышение уровня социально-экономического развития Дальневосточного федерального округа путем создания 153,5 тыс. рабочих мест и вложения инвестиций в объеме 3207,7 млрд. рублей накопленным итогом к 2030 году (включительно)
"Социально-экономическое развитие Арктической зоны Российской Федерации" Повышение уровня социально-экономического развития Арктической зоны Российской Федерации путем создания 13,274 тыс. рабочих мест, вложения внебюджетных инвестиций в объеме 399,19 млрд. рублей к 2030 году
"Социально-экономическое развитие Калининградской области" Обеспечение Калининградской области социальной, транспортной и иной инфраструктурой в целях достижения устойчивого роста среднегодовой численности населения на уровне 1045 тыс. человек в 2025 году
"Развитие Северо-Кавказского федерального округа" Повышение качества жизни населения к 2030 году путем увеличения среднего индекса качества городской среды до 57,6 процента по отношению к 2019 году, увеличения доли дорожной сети городских агломераций, находящейся в нормативном состоянии, до 86,6 процента, увеличения доли населения, обеспеченного качественной питьевой водой из систем централизованного водоснабжения, до 96,3 процента
7. Пониженная ставка НДС на услуги по перевозке пассажиров железнодорожным транспортом общего пользования в дальнем сообщении "Социально-экономическое развитие Республики Крым и г. Севастополя" Устранение диспропорций в региональном развитии, в том числе обеспечение Республики Крым и г. Севастополя социальной, транспортной и иной инфраструктурой в целях обеспечения устойчивого роста численности населения Республики Крым и г. Севастополя на уровне 2549,4 тыс. человек в 2025 году
"Социально-экономическое развитие Калининградской области" Обеспечение Калининградской области социальной, транспортной и иной инфраструктурой в целях достижения устойчивого роста среднегодовой численности населения на уровне 1045 тыс. человек в 2025 году
"Социально-экономическое развитие Дальневосточного федерального округа" Повышение уровня социально-экономического развития Дальневосточного федерального округа путем создания 153,5 тыс. рабочих мест и вложения инвестиций в объеме 3207,7 млрд. рублей накопленным итогом к 2030 году (включительно)
"Социально-экономическое развитие Арктической зоны Российской Федерации" Повышение уровня социально-экономического развития Арктической зоны Российской Федерации путем создания 13,274 тыс. рабочих мест, вложения внебюджетных инвестиций в объеме 399,19 млрд. рублей к 2030 году
"Развитие Северо-Кавказского федерального округа" Повышение качества жизни населения к 2030 году путем увеличения среднего индекса качества городской среды до 57,6 процента по отношению к 2019 году, увеличения доли дорожной сети городских агломераций, находящейся в нормативном состоянии, до 86,6 процента, увеличения доли населения, обеспеченного качественной питьевой водой из систем централизованного водоснабжения, до 96,3 процента
8. Освобождение от уплаты ввозной таможенной пошлины при ввозе авиационных двигателей "Развитие авиационной промышленности" Удовлетворение потребностей внутрироссийских перевозок за счет авиационной техники российского производства с достижением к 2030 году доли самолетов и вертолетов российского производства в парке крупнейших российских авиаперевозчиков не менее 30 процентов и 90 процентов соответственно
9. Освобождение от уплаты НДС при ввозе авиационных двигателей
10. Пониженная ставка НДС при реализации авиационных двигателей, запасных частей и комплектующих изделий
11. Пониженная ставка НДС на услуги по внутренним воздушным перевозкам пассажиров и багажа "Социально-экономическое развитие Республики Крым и г. Севастополя" Устранение диспропорций в региональном развитии, в том числе обеспечение Республики Крым и г. Севастополя социальной, транспортной и иной инфраструктурой в целях обеспечения устойчивого роста численности населения Республики Крым и г. Севастополя на уровне 2549,4 тыс. человек в 2025 году
"Социально-экономическое развитие Дальневосточного федерального округа" Повышение уровня социально-экономического развития Дальневосточного федерального округа путем создания 153,5 тыс. рабочих мест и вложения инвестиций в объеме 3207,7 млрд. рублей накопленным итогом к 2030 году (включительно)
"Социально-экономическое развитие Калининградской области" Обеспечение Калининградской области социальной, транспортной и иной инфраструктурой в целях достижения устойчивого роста среднегодовой численности населения на уровне 1045 тыс. человек в 2025 году
"Социально-экономическое развитие Арктической зоны Российской Федерации" Повышение уровня социально-экономического развития Арктической зоны Российской Федерации путем создания 13,274 тыс. рабочих мест, вложения внебюджетных инвестиций в объеме 399,19 млрд. рублей к 2030 году
"Развитие Северо-Кавказского федерального округа" Повышение качества жизни населения к 2030 году путем увеличения среднего индекса качества городской среды до 57,6 процента по отношению к 2019 году, увеличения доли дорожной сети городских агломераций, находящейся в нормативном состоянии, до 86,6 процента, увеличения доли населения, обеспеченного качественной питьевой водой из систем централизованного водоснабжения, до 96,3 процента
12. Пониженная сумма налогообложения по налогу на имущество организаций в отношении железнодорожных путей общего пользования "Социально-экономическое развитие Республики Крым и г. Севастополя" Устранение диспропорций в региональном развитии, в том числе обеспечение Республики Крым и г. Севастополя социальной, транспортной и иной инфраструктурой в целях обеспечения устойчивого роста численности населения Республики Крым и г. Севастополя на уровне 2549,4 тыс. человек в 2025 году
"Социально-экономическое развитие Дальневосточного федерального округа" Повышение уровня социально-экономического развития Дальневосточного федерального округа путем создания 153,5 тыс. рабочих мест и вложения инвестиций в объеме 3207,7 млрд. рублей накопленным итогом к 2030 году (включительно)
"Социально-экономическое развитие Калининградской области" Обеспечение Калининградской области социальной, транспортной и иной инфраструктурой в целях достижения устойчивого роста среднегодовой численности населения на уровне 1045 тыс. человек в 2025 году
"Социально-экономическое развитие Арктической зоны Российской Федерации" Повышение уровня социально-экономического развития Арктической зоны Российской Федерации путем создания 13,274 тыс. рабочих мест, вложения внебюджетных инвестиций в объеме 399,19 млрд. рублей к 2030 году
13. Пониженная ставка налога на имущество организаций в отношении железнодорожных путей общего пользования "Социально-экономическое развитие Республики Крым и г. Севастополя" Устранение диспропорций в региональном развитии, в том числе обеспечение Республики Крым и г. Севастополя социальной, транспортной и иной инфраструктурой в целях обеспечения устойчивого роста численности населения Республики Крым и г. Севастополя на уровне 2549,4 тыс. человек в 2025 году
"Социально-экономическое развитие Дальневосточного федерального округа" Повышение уровня социально-экономического развития Дальневосточного федерального округа путем создания 153,5 тыс. рабочих мест и вложения инвестиций в объеме 3207,7 млрд. рублей накопленным итогом к 2030 году
"Социально-экономическое развитие Калининградской области" Обеспечение Калининградской области социальной, транспортной и иной инфраструктурой в целях достижения устойчивого роста среднегодовой численности населения на уровне 1045 тыс. человек в 2025 году
"Социально-экономическое развитие Арктической зоны Российской Федерации" Повышение уровня социально-экономического развития Арктической зоны Российской Федерации путем создания 13,274 тыс. рабочих мест, вложения внебюджетных инвестиций в объеме 399,19 млрд. рублей к 2030 году
"Развитие Северо-Кавказского федерального округа" Повышение качества жизни населения к 2030 году путем увеличения среднего индекса качества городской среды до 57,6 процента по отношению к 2019 году, увеличения доли дорожной сети городских агломераций, находящейся в нормативном состоянии, до 86,6 процента, увеличения доли населения, обеспеченного качественной питьевой водой из систем централизованного водоснабжения, до 96,3 процента

Приложение N 5
к Методике оценки эффективности
налоговых расходов Российской
Федерации, куратором которых
определено Министерство транспорта
Российской Федерации

ИСТОЧНИКИ ИНФОРМАЦИИ О КОЛИЧЕСТВЕ ПЛАТЕЛЬЩИКОВ

N Налоговый расход Российской Федерации, которым обусловлена налоговая льгота Общее количество плательщиков, относящееся к целевой категории Источник информации
1. Освобождение от уплаты НДС реализации услуг по перевозке пассажиров в общественном транспорте Организации, которым выданы лицензии на осуществление деятельности по перевозке пассажиров и иных лиц автобусами Организации, которые осуществляют перевозки пассажиров городским электрическим транспортом, железнодорожным, речным и морским транспортом Реестр лицензий на осуществление деятельности по перевозке пассажиров и иных лиц автобусами. Официальный сайт Ространснадзора в информационно-телекоммуникационной сети "Интернет" (https://rostransnadzor.ru/deyatel-nost/litsenzii).
Данные ЕМИСС (1.32.6).
Количество зарегистрированных организаций по видам экономической деятельности "Регулярные перевозки пассажиров троллейбусами в городском и пригородном сообщении", "Регулярные перевозки пассажиров трамваями в городском и пригородном сообщении", "Перевозка пассажиров метрополитеном", "Перевозка пассажиров железнодорожным транспортом в городском и пригородном сообщении", "Перевозка пассажиров морскими судами каботажного плавания, подчиняющимися расписанию", "Перевозка пассажиров по внутренним водным путям"
2. Освобождение от уплаты НДС реализации работ, связанных с осуществлением регулярных перевозок пассажиров и багажа автомобильным транспортом Организации, которым выданы лицензии на осуществление деятельности по перевозке пассажиров и багажа автобусами и городским наземным электрическим транспортом Реестр лицензий на осуществление деятельности по перевозке пассажиров и иных лиц автобусами. Официальный сайт Ространснадзора в информационно-телекоммуникационной сети "Интернет" (https://rostransnadzor.ru/deyatel-nost/litsenzii).
Данные ЕМИСС (1.32.6).
Количество зарегистрированных организаций по видам экономической деятельности "Регулярные перевозки пассажиров троллейбусами в городском и пригородном сообщении", "Регулярные перевозки пассажиров трамваями в городском и пригородном сообщении"
3. Освобождение от уплаты НДС услуг по предоставлению права проезда транспортных средств по платным автомобильным дорогам общего пользования федерального значения Организации, оказывающие услуги по организации проезда транспортных средств по платным автомобильным дорогам общего пользования федерального значения (Государственная компания "Автодор") Минтранс России (статистика управленческого учета организаций, оказывающих данный вид услуг)
4. Пониженная ставка НДС на услуги по внутренним воздушным перевозкам пассажиров и багажа в (из) Республику Крым и г. Севастополь Организации, которым выдан сертификат эксплуатанта для осуществления коммерческих воздушных перевозок, осуществляющие перевозку пассажиров и багажа в (из) Республику Крым и г. Севастополь Перечень авиакомпаний, имеющих сертификат эксплуатанта для осуществления коммерческих воздушных перевозок.
Официальный сайт Росавиации в информационно-телекоммуникационной сети "Интернет" (http://www.favt.ru/dejatelnost-aviakompanii-reestr-komercheskie-perevozki/)
5. Пониженная ставка НДС на услуги по внутренним воздушным перевозкам пассажиров и багажа в (из) Калининградской области/Дальневосточного федерального округа Организации, которым выдан сертификат эксплуатанта для осуществления коммерческих воздушных перевозок, осуществляющие перевозку пассажиров и багажа в (из) Калининградской области/Дальневосточного федерального округа Перечень авиакомпаний, имеющих сертификат эксплуатанта для осуществления коммерческих воздушных перевозок.
Официальный сайт Росавиации в информационно-телекоммуникационной сети "Интернет" (http://www.favt.ru/dejatelnost-aviakompanii-reestr-komercheskie-perevozki/)
6. Пониженная ставка НДС на услуги по перевозке пассажиров железнодорожным транспортом в пригородном сообщении Организации, которым выданы лицензии на осуществление деятельности по перевозке пассажиров железнодорожным транспортом, осуществляющие перевозки в пригородном сообщении по регулируемым тарифам Реестр лицензий на осуществление деятельности по перевозке пассажиров железнодорожным транспортом.
Официальный сайт Ространснадзора в информационно-телекоммуникационной сети "Интернет") (https://rostransnadzor.ru/deyatel-nost/litsenzii).
Данные ЕМИСС (1.32.6).
Количество зарегистрированных организаций по виду экономической деятельности "Перевозка пассажиров железнодорожным транспортом в пригородном сообщении"
7. Пониженная ставка НДС на услуги по перевозке пассажиров железнодорожным транспортом общего пользования в дальнем сообщении Организации, которым выданы лицензии на осуществление деятельности по перевозке пассажиров железнодорожным транспортом, осуществляющие перевозку пассажиров в дальнем сообщении Реестр лицензий на осуществление деятельности по перевозке пассажиров железнодорожным транспортом.
Официальный сайт Ространснадзора в информационно-телекоммуникационной сети "Интернет") (https://rostransnadzor.ru/deyatel-nost/litsenzii).
Данные ЕМИСС (1.32.6).
Количество зарегистрированных организаций по виду экономической деятельности "Деятельность железнодорожного транспорта: междугородные и международные пассажирские перевозки"
8. Пониженная ставка НДС на услуги по внутренним воздушным перевозкам пассажиров и багажа Организации, которым выдан сертификат эксплуатанта для осуществления коммерческих воздушных перевозок Перечень авиакомпаний, имеющих сертификат эксплуатанта для осуществления коммерческих воздушных перевозок.
Официальный сайт Росавиации в информационно-телекоммуникационной сети "Интернет"
(http://www.favt.ru/dejatelnost-aviakompanii-reestr-komercheskie-perevozki/
9. Пониженная сумма налогообложения по налогу на имущество организаций в отношении железнодорожных путей общего пользования Организации, эксплуатирующие железнодорожные пути общего пользования Налогоплательщиками налога признаются организации, имеющие имущество, признаваемое объектом налогообложения в соответствии со статьей 374 Налогового кодекса Российской Федерации.
Владелец инфраструктуры - (путей общего пользования) - юридическое лицо, имеющее инфраструктуру на праве собственности или на ином праве и оказывающее услуги по ее использованию на основании соответствующих лицензии и договора.
Данные - ведомственная статистика Росжелдора
10. Пониженная ставка налога на имущество организаций в отношении железнодорожных путей общего пользования Организации, эксплуатирующие железнодорожные пути общего пользования Налогоплательщиками налога признаются организации, имеющие имущество, признаваемое объектом налогообложения в соответствии со статьей 374 Налогового кодекса Российской Федерации.
Владелец инфраструктуры (путей общего пользования) - юридическое лицо, имеющее инфраструктуру на праве собственности или на ином праве и оказывающее услуги по ее использованию на основании соответствующих лицензии и договора.
Данные - ведомственные статистика Росжелдора
11. Освобождение от уплаты ввозной таможенной пошлины при ввозе гражданских пассажирских самолетов Физические и юридические лица, осуществляющие сделки, связанные с ввозом гражданских воздушных судов Единый государственный реестр прав на воздушные суда и сделок с ними. Официальный сайт Росавиации в информационно-телекоммуникационной сети "Интернет" (http://www.favt.ru/dejatelnost-gosudarstvennaja-registracija-vozdushnyh-sudov-edinyj-gosudarstvennyj-reestr/)
12. Освобождение от уплаты ввозной таможенной пошлины при ввозе авиационных двигателей Организации, которым выдана лицензия на осуществление деятельности по разработке, производству, испытанию и ремонту авиационной техники Реестр лицензий на разработку, производство, испытание и ремонт авиационной техники. Официальный сайт Минпромторга России в информационно-телекоммуникационной сети "Интернет"
(http://minpromtorg.gov.ru/activities/services/licensing/1_1)
13. Исключение из состава объектов налогообложения по транспортному налогу пассажирских и грузовых морских, речных и воздушных судов, используемых для перевозок Владельцы пассажирских и грузовых морских, речных и воздушных судов, используемых для перевозок Данные ЕМИСС (1.32.6).
Количество зарегистрированных организаций по видам экономической деятельности "Деятельность водного транспорта", "Деятельность пассажирского воздушного транспорта",
"Деятельность грузового воздушного транспорта".
Данные ЕМИСС (1.5.2).
Количество зарегистрированных индивидуальных предпринимателей по видам экономической деятельности "Деятельность водного транспорта", "Деятельность пассажирского воздушного
транспорта", "Деятельность грузового воздушного транспорта"
14. Освобождение от уплаты НДС при ввозе авиационных двигателей Организации, которым выдана лицензия на осуществление деятельности по разработке, производству, испытанию и ремонту авиационной техники Реестр лицензий на разработку, производство, испытание и ремонт авиационной техники. Официальный сайт Минпромторга России в информационно-телекоммуникационной сети "Интернет"
(http://minpromtorg.gov.ru/activities/services/licensing/1_1)
15. Освобождение от уплаты ввозной таможенной пошлины гражданских пассажирских самолетов Физические и юридические лица, осуществляющие сделки, связанные с ввозом гражданских воздушных судов Единый государственный реестр прав на воздушные суда и сделок с ними. Официальный сайт Росавиации в информационно-телекоммуникационной сети "Интернет"
(http://www.favt.ru/dejatelnost-gosudarstvennaja-registracija-vozdushnyh-sudov-edinyj-gosudarstvennyj-reestr/)
16. Пониженная ставка НДС при реализации авиационных двигателей, запасных частей и комплектующих изделий Организации, которым выдана лицензия на осуществление деятельности по разработке, производству, испытанию и ремонту авиационной техники Реестр лицензий на разработку, производство, испытание и ремонт авиационной техники. Официальный сайт Минпромторга России в информационно-телекоммуникационной сети "Интернет"
(http://minpromtorg.gov.ru/activities/services/licensing/1_1)
17. Освобождение от уплаты НДС при ввозе гражданских воздушных судов, зарегистрированных в государственном реестре гражданских воздушных судов иностранного государства Физические и юридические лица, осуществляющие сделки, связанные с ввозом гражданских воздушных судов. Единый государственный реестр прав на воздушные суда и сделок с ними. Официальный сайт Росавиации в информационно-телекоммуникационной сети "Интернет"
(http://www.favt.ru/dejatelnost-gosudarstvennaja-registracija-vozdushnyh-sudov-edinyj-gosudarstvennyj-reestr/)
18. Пониженная ставка НДС на услуги по внутренним воздушным перевозкам пассажиров и багажа вне территории Московской области и территории г. Москвы Организации, которым выдан сертификат эксплуатанта для осуществления коммерческих воздушных перевозок Перечень авиакомпаний, имеющих сертификат эксплуатанта для осуществления коммерческих воздушных перевозок.
Официальный сайт Росавиации в информационно-телекоммуникационной сети "Интернет"
(http://www.favt.ru/dejatelnost-aviakompanii-reestr-komercheskie-perevozki/
19. Освобождение от уплаты НДС при ввозе гражданских воздушных судов Физические и юридические лица, осуществляющие сделки, связанные с ввозом гражданских воздушных судов Единый государственный реестр прав на воздушные суда и сделок с ними. Официальный сайт Росавиации в информационно-телекоммуникационной сети "Интернет"
(http://www.favt.ru/dejatelnost-gosudarstvennaja-registracija-vozdushnyh-sudov-edinyj-gosudarstvennyj-reestr/)
20. Пониженная ставка НДС при реализации гражданских воздушных судов Физические и юридические лица, осуществляющие сделки, связанные с ввозом гражданских воздушных судов Единый государственный реестр прав на воздушные суда и сделок с ними. Официальный сайт Росавиации в информационно-телекоммуникационной сети "Интернет"
(http://www.favt.ru/dejatelnost-gosudarstvennaja-registracija-vozdushnyh-sudov-edinyj-gosudarstvennyj-reestr/)
21. Пониженная ставка НДС на услуги по передаче гражданских воздушных судов Организации, которым выдан сертификат эксплуатанта для осуществления коммерческих воздушных перевозок Перечень авиакомпаний, имеющих сертификат эксплуатанта для осуществления коммерческих воздушных перевозок, Единый государственный реестр прав на воздушные суда и сделок с ними. Официальный сайт Росавиации в информационно-телекоммуникационной сети "Интернет"
(http://www.favt.ru/dejatelnost-gosudarstvennaja-registracija-vozdushnyh-sudov-edinyj-gosudarstvennyj-reestr/)
22. Освобождение от уплаты налога на имущество организаций в отношении федеральных автомобильных дорог общего пользования Федеральные казенные учреждения, подведомственные Росавтодору Официальный сайт Росавтодора в информационно-телекоммуникационной сети "Интернет"
(http://www.rosavtodor.ru)
23. Исключение из состава объектов налогообложения по налогу на имущество организаций воздушных судов, зарегистрированных в Государственном реестре гражданских воздушных судов Организации, которым выдан сертификат эксплуатанта для осуществления коммерческих воздушных перевозок Единый государственный реестр прав на воздушные суда и сделок с ними.
Официальный сайт Росавиации в информационно-телекоммуникационной сети "Интернет"
(http://www.favt.ru/dejatelnost-gosudarstvennaja-registracija-vozdushnyh-sudov-edinyj-gosudarstvennyj-reestr/)
24. Исключение из состава объектов налогообложения по транспортному налогу воздушных судов, зарегистрированных в Государственном реестре гражданских воздушных судов Организации, которым выдан сертификат эксплуатанта для осуществления коммерческих воздушных перевозок Единый государственный реестр прав на воздушные суда и сделок с ними.
Официальный сайт Росавиации в информационно-телекоммуникационной сети "Интернет"
(http://www.favt.ru/dejatelnost-gosudarstvennaja-registracija-vozdushnyh-sudov-edinyj-gosudarstvennyj-reestr/)

Приложение N 6
к Методике оценки эффективности
налоговых расходов Российской
Федерации, куратором которых
определено Министерство транспорта
Российской Федерации

ПОРОГОВЫЕ ЗНАЧЕНИЯ ДЛЯ ОПРЕДЕЛЕНИЯ ВОСТРЕБОВАННОСТИ НАЛОГОВЫХ ЛЬГОТ

N Краткое наименование налогового расхода Российской Федерации Пороговое значение для определения востребованности, % <*>
1. Освобождение от уплаты НДС реализации услуг по перевозке пассажиров в общественном транспорте 100
2. Освобождение от уплаты НДС реализации работ, связанных с осуществлением регулярных перевозок пассажиров и багажа автомобильным транспортом 100
3. Освобождение от уплаты НДС услуг по предоставлению права проезда транспортных средств по платным автомобильным дорогам общего пользования федерального значения 100
4. Пониженная ставка НДС на услуги по перевозке пассажиров железнодорожным транспортом в пригородном сообщении 100
5. Пониженная ставка НДС на услуги по перевозке пассажиров железнодорожным транспортом общего пользования в дальнем сообщении 100
6. Пониженная ставка НДС на услуги по внутренним воздушным перевозкам пассажиров и багажа в (из) Республику Крым и г. Севастополь 100
7. Пониженная ставка НДС на услуги по внутренним воздушным перевозкам пассажиров и багажа в (из) Калининградской области/Дальневосточного федерального округа 100
8. Пониженная ставка НДС на услуги по внутренним воздушным перевозкам пассажиров и багажа 100
9. Пониженная сумма налогообложения по налогу на имущество организаций в отношении железнодорожных путей общего пользования 100
10. Пониженная ставка налога на имущество организаций в отношении железнодорожных путей общего пользования 100
11. Освобождение от уплаты ввозной таможенной пошлины при ввозе гражданских пассажирских самолетов 100
12. Освобождение от уплаты ввозной таможенной пошлины при ввозе авиационных двигателей 10
13. Исключение из состава объектов налогообложения по транспортному налогу пассажирских и грузовых морских, речных и воздушных судов, используемых для перевозок 90
14. Освобождение от уплаты НДС при ввозе авиационных двигателей 10
15. Освобождение от уплаты ввозной таможенной пошлины гражданских пассажирских самолетов 10
16. Пониженная ставка НДС при реализации авиационных двигателей, запасных частей и комплектующих изделий 10
17. Освобождение от уплаты НДС при ввозе гражданских воздушных судов, зарегистрированных в государственном реестре гражданских воздушных судов иностранного государства 15
18. Пониженная ставка НДС на услуги по внутренним воздушным перевозкам пассажиров и багажа вне территории Московской области и территории г. Москвы 100
19. Освобождение от уплаты НДС при ввозе гражданских воздушных судов 30
20. Пониженная ставка НДС при реализации гражданских воздушных судов 20
21. Пониженная ставка НДС на услуги по передаче гражданских воздушных судов 60
22. Освобождение от уплаты налога на имущество организаций в отношении федеральных автомобильных дорог общего пользования 100
23. Исключение из состава объектов налогообложения по налогу на имущество организаций воздушных судов, зарегистрированных в Государственном реестре гражданских воздушных судов 100
24. Исключение из состава объектов налогообложения по транспортному налогу воздушных судов, зарегистрированных в Государственном реестре гражданских воздушных судов 100

<*> При определении порогового значения востребованности льгот по НДС, связанных с перевозкой пассажиров всеми видами транспорта во всех сообщениях, а также услуг по предоставлению права проезда транспортных средств по платным автомобильным дорогам общего пользования федерального значения необходимо исходить из того, что все потенциальные плательщики НДС пользуются пониженной ставкой (освобождением от налогообложения) в соответствии с нормами законодательства в целях сохранения социально ориентированного уровня тарифов на перевозки.

Востребованность льгот в части освобождения от уплаты ввозной таможенной пошлины при ввозе гражданских пассажирских самолетов, авиационных двигателей, пониженной ставки НДС при реализации авиационных двигателей, запасных частей и комплектующих изделий, при реализации и передаче гражданских воздушных судов определяется исходя из количества соответственно авиакомпаний и организаций, имеющих сертификат эксплуатанта для осуществления авиационных работ, и фактического количества плательщиков, воспользовавшихся правом на получение данных льгот.

Риск недостижения пороговых значений по пунктам 9, 10, 12 - 24 является высоким, так как пороговое значение может быть не достигнуто, если хотя бы одна компания не воспользуется данной льготой.

Приложение N 7
к Методике оценки эффективности
налоговых расходов Российской
Федерации, куратором которых
определено Министерство транспорта
Российской Федерации

Таблица 1

Соответствие налоговых расходов Российской Федерации целевым и аналитическим показателям государственной программы

N Краткое наименование налогового расхода Российской Федерации Цель государственной программы Показатель достижения цели государственной программы, (аналитический показатель, показатель федерального проекта)
1. Освобождение от уплаты НДС реализации услуг по перевозке пассажиров в общественном транспорте Повышение доступности качественных транспортных услуг для обеспечения транспортной подвижности населения на уровне 14,2 тыс. пасс.-км на 1 жителя Транспортная подвижность населения, тыс. пасс-км
2. Освобождение от уплаты НДС реализации работ, связанных с осуществлением регулярных перевозок пассажиров и багажа автомобильным транспортом Повышение доступности качественных транспортных услуг для обеспечения транспортной подвижности населения на уровне 14,2 тыс. пасс.-км на 1 жителя Транспортная подвижность населения, тыс. пасс-км
3. Освобождение от уплаты НДС услуг по предоставлению права проезда транспортных средств по платным автомобильным дорогам общего пользования федерального значения Ускорение товародвижения на основе повышения качества транспортной инфраструктуры на 17,1 процента относительно уровня 2021 года Доля автомобильных дорог общего пользования федерального значения, переданных в доверительное управление Государственной компании "Российские автомобильные дороги", приведенных к соответствующим нормативным требованиям к транспортно-эксплуатационным показателям, в том числе за счет мероприятий по капитальному ремонту
4. Пониженная ставка НДС на услуги по внутренним воздушным перевозкам пассажиров и багажа в (из) Республику Крым и г. Севастополь Повышение доступности качественных транспортных услуг для обеспечения транспортной подвижности населения на уровне 14,2 тыс. пасс.-км на 1 жителя Транспортная подвижность населения, на железнодорожном транспорте, пасс.-км
5. Пониженная ставка НДС на услуги по внутренним воздушным перевозкам пассажиров и багажа в (из) Калининградской области/Дальневосточного федерального округа Повышение доступности качественных транспортных услуг для обеспечения транспортной подвижности населения на уровне 14,2 тыс. пасс.-км на 1 жителя Транспортная подвижность населения на железнодорожном транспорте, пасс.-км
6. Пониженная ставка НДС на услуги по перевозке пассажиров железнодорожным транспортом в пригородном сообщении Повышение доступности качественных транспортных услуг для обеспечения транспортной подвижности населения на уровне 14,2 тыс. пасс.-км на 1 жителя Транспортная подвижность населения на железнодорожном транспорте, пасс.-км
7. Пониженная ставка НДС на услуги по перевозке пассажиров железнодорожным транспортом общего пользования в дальнем сообщении Повышение доступности качественных транспортных услуг для обеспечения транспортной подвижности населения на уровне 14,2 тыс. пасс.-км на 1 жителя Транспортная подвижность населения на железнодорожном транспорте, пасс.-км
8. Пониженная ставка НДС на услуги по внутренним воздушным перевозкам пассажиров и багажа Повышение доступности качественных транспортных услуг для обеспечения транспортной подвижности населения на уровне 14,2 тыс. пасс.-км на 1 жителя Транспортная подвижность населения на железнодорожном транспорте, пасс.-км
9. Пониженная сумма налогообложения по налогу на имущество организаций в отношении железнодорожных путей общего пользования Ускорение товародвижения на основе повышения качества транспортной инфраструктуры на 17,1% относительно уровня 2021 года Индекс физического объема инвестиций в основной капитал по видам деятельности транспортного комплекса, % к 2021 году
10. Пониженная ставка налога на имущество организаций в отношении железнодорожных путей общего пользования Ускорение товародвижения на основе повышения качества транспортной инфраструктуры на 17,1% относительно уровня 2021 года Индекс физического объема инвестиций в основной капитал по видам деятельности транспортного комплекса, % к 2021 году
11. Освобождение от уплаты ввозной таможенной пошлины при ввозе гражданских пассажирских самолетов Повышение доступности качественных транспортных услуг для обеспечения транспортной подвижности населения на уровне 14,2 тыс. пасс.-км на 1 жителя Индекс физического объема инвестиций в основной капитал по видам деятельности транспортного комплекса, % к 2021 году
12. Освобождение от уплаты ввозной таможенной пошлины при ввозе авиационных двигателей Повышение доступности качественных транспортных услуг для обеспечения транспортной подвижности населения на уровне 14,2 тыс. пасс.-км на 1 жителя Индекс физического объема инвестиций в основной капитал по видам деятельности транспортного комплекса, % к 2021 году
13. Исключение из состава объектов налогообложения по транспортному налогу пассажирских и грузовых морских, речных и воздушных судов, используемых для перевозок Повышение доступности качественных транспортных услуг для обеспечения транспортной подвижности населения на уровне 14,2 тыс. пасс.-км на 1 жителя Индекс физического объема инвестиций в основной капитал по видам деятельности транспортного комплекса, % к 2021 году
14. Освобождение от уплаты НДС при ввозе авиационных двигателей Повышение доступности качественных транспортных услуг для обеспечения транспортной подвижности населения на уровне 14,2 тыс. пасс.-км на 1 жителя Индекс физического объема инвестиций в основной капитал по видам деятельности транспортного комплекса, % к 2021 году
15. Освобождение от уплаты ввозной таможенной пошлины гражданских пассажирских самолетов Повышение доступности качественных транспортных услуг для обеспечения транспортной подвижности населения на уровне 14,2 тыс. пасс.-км на 1 жителя Индекс физического объема инвестиций в основной капитал по видам деятельности транспортного комплекса, % к 2021 году
16. Пониженная ставка НДС при реализации авиационных двигателей, запасных частей и комплектующих изделий Повышение доступности качественных транспортных услуг для обеспечения транспортной подвижности населения на уровне 14,2 тыс. пасс.-км на 1 жителя Индекс физического объема инвестиций в основной капитал по видам деятельности транспортного комплекса, % к 2021 году
17. Освобождение от уплаты НДС при ввозе гражданских воздушных судов, зарегистрированных в государственном реестре гражданских воздушных судов иностранного государства Повышение доступности качественных транспортных услуг для обеспечения транспортной подвижности населения на уровне 14,2 тыс. пасс.-км на 1 жителя Индекс физического объема инвестиций в основной капитал по видам деятельности транспортного комплекса, % к 2021 году
18. Пониженная ставка НДС на услуги по внутренним воздушным перевозкам пассажиров и багажа вне территории Московской области и территории г. Москвы Повышение доступности качественных транспортных услуг для обеспечения транспортной подвижности населения на уровне 14,2 тыс. пасс.-км на 1 жителя Транспортная подвижность населения на железнодорожном транспорте, пасс.-км
19. Освобождение от уплаты НДС при ввозе гражданских воздушных судов Повышение доступности качественных транспортных услуг для обеспечения транспортной подвижности населения на уровне 14,2 тыс. пасс.-км на 1 жителя Индекс физического объема инвестиций в основной капитал по видам деятельности транспортного комплекса, % к 2021 году
20. Пониженная ставка НДС при реализации гражданских воздушных судов Повышение доступности качественных транспортных услуг для обеспечения транспортной подвижности населения на уровне 14,2 тыс. пасс.-км на 1 жителя Индекс физического объема инвестиций в основной капитал по видам деятельности транспортного комплекса, % к 2021 году
21. Пониженная ставка НДС на услуги по передаче гражданских воздушных судов Повышение доступности качественных транспортных услуг для обеспечения транспортной подвижности населения на уровне 14,2 тыс. пасс.-км на 1 жителя Индекс физического объема инвестиций в основной капитал по видам деятельности транспортного комплекса, % к 2021 году
22. Освобождение от уплаты налога на имущество организаций в отношении федеральных автомобильных дорог общего пользования Ускорение товародвижения на основе повышения качества транспортной инфраструктуры на 17,1% относительно уровня 2021 года Протяженность построенных и реконструированных федеральных автомобильных дорог, км
23. Исключение из состава объектов налогообложения по налогу на имущество организаций воздушных судов, зарегистрированных в Государственном реестре гражданских воздушных судов Повышение доступности качественных транспортных услуг для обеспечения транспортной подвижности населения на уровне 14,2 тыс. пасс.-км на 1 жителя Индекс физического объема инвестиций в основной капитал по видам деятельности транспортного комплекса, % к 2021 году
24. Исключение из состава объектов налогообложения по транспортному налогу воздушных судов, зарегистрированных в Государственном реестре гражданских воздушных судов Повышение доступности качественных транспортных услуг для обеспечения транспортной подвижности населения на уровне 14,2 тыс. пасс.-км на 1 жителя Индекс физического объема инвестиций в основной капитал по видам деятельности транспортного комплекса, % к 2021 году

Таблица 2

Соответствие налоговых расходов Российской Федерации целевым показателям государственной программы в 2021 году

N Краткое наименование налогового расхода Российской Федерации Цель государственной программы (структурного элемента государственной программы) Показатель достижения цели государственной программы (показатель достижения цели структурного элемента)
1. Освобождение от уплаты НДС реализации услуг по перевозке пассажиров в общественном транспорте Цель государственной программы - повышение доступности качественных транспортных услуг для обеспечения транспортной подвижности населения на уровне 9,5 тыс. пасс.-км на 1 жителя Транспортная подвижность населения, тыс. пасс-км
2. Освобождение от уплаты НДС реализации работ, связанных с осуществлением регулярных перевозок пассажиров и багажа автомобильным транспортом Цель государственной программы - повышение доступности качественных транспортных услуг для обеспечения транспортной подвижности населения на уровне 9,5 тыс. пасс.-км на 1 жителя Транспортная подвижность населения, тыс. пасс-км
3. Освобождение от уплаты НДС услуг по предоставлению права проезда транспортных средств по платным автомобильным дорогам общего пользования федерального значения Цель ведомственной целевой программы "Доверительное управление федеральными автомобильными дорогами общего пользования Государственной компанией "Российские автомобильные дороги" - повышение доли протяженности автомобильных дорог, переданных в доверительное управление Государственной компании, соответствующих нормативным требованиям к транспортно-эксплуатационным показателям, в общей протяженности автомобильных дорог Государственной компании до 91,1% к 2024 году Доля протяженности автомобильных дорог, переданных в доверительное управление Государственной компании, соответствующих нормативным требованиям к транспортно-эксплуатационным показателям, в общей протяженности автомобильных дорог Государственной компании, %
4. Пониженная ставка НДС на услуги по внутренним воздушным перевозкам пассажиров и багажа в (из) Республику Крым и г. Севастополь Цель ведомственной целевой программы "Содействие повышению доступности воздушных перевозок населению, в том числе в части развития региональных и внутрирегиональных перевозок" - обеспечение доступности региональных воздушных перевозок населению и рост объема перевозок пассажиров по региональным маршрутам в 1,77 раза" Индекс роста региональных перевозок, ед.
5. Пониженная ставка НДС на услуги по внутренним воздушным перевозкам пассажиров и багажа в (из) Калининградской области/Дальневосточного федерального округа Цель ведомственной целевой программы "Содействие повышению доступности воздушных перевозок населению, в том числе в части развития региональных и внутрирегиональных перевозок" - обеспечение доступности региональных воздушных перевозок населению и рост объема перевозок пассажиров по региональным маршрутам в 1,77 раза" Индекс роста региональных перевозок, ед.
6. Пониженная ставка НДС на услуги по перевозке пассажиров железнодорожным транспортом в пригородном сообщении Цель ведомственной целевой программы "Обеспечение доступности услуг железнодорожного транспорта" - обеспечение транспортной подвижности населения на железнодорожном транспорте на уровне 971 пасс.-км на 1 жителя в 2024 году Транспортная подвижность населения на железнодорожном транспорте, пасс.-км
7. Пониженная ставка НДС на услуги по перевозке пассажиров железнодорожным транспортом общего пользования в дальнем сообщении Цель ведомственной целевой программы "Обеспечение доступности услуг железнодорожного транспорта" - обеспечение транспортной подвижности населения на железнодорожном транспорте на уровне 971 пасс.-км на 1 жителя в 2024 году Транспортная подвижность населения на железнодорожном транспорте, пасс.-км
8. Пониженная ставка НДС на услуги по внутренним воздушным перевозкам пассажиров и багажа Цель ведомственной целевой программы "Содействие повышению доступности воздушных перевозок населению, в том числе в части развития региональных и внутрирегиональных перевозок" - обеспечение доступности региональных воздушных перевозок населению и рост объема перевозок пассажиров по региональным маршрутам в 1,77 раза" Индекс роста региональных перевозок, ед.
9. Пониженная сумма налогообложения по налогу на имущество организаций в отношении железнодорожных путей общего пользования Цель государственной программы - реальный рост инвестиций в основной капитал транспортного комплекса не менее 11,0% относительно уровня 2020 года Индекс физического объема инвестиций в основной капитал по видам деятельности транспортного комплекса, в % к 2020 году, %
10. Пониженная ставка налога на имущество организаций в отношении железнодорожных путей общего пользования Цель государственной программы - реальный рост инвестиций в основной капитал транспортного комплекса не менее 11,0% относительно уровня 2020 года Индекс физического объема инвестиций в основной капитал по видам деятельности транспортного комплекса, в % к 2020 году, %
11. Освобождение от уплаты ввозной таможенной пошлины при ввозе гражданских пассажирских самолетов Цель государственной программы - реальный рост инвестиций в основной капитал транспортного комплекса не менее 11,0% относительно уровня 2020 года Индекс физического объема инвестиций в основной капитал по видам деятельности транспортного комплекса, в % к 2020 году, %
12. Освобождение от уплаты ввозной таможенной пошлины при ввозе авиационных двигателей Цель государственной программы - реальный рост инвестиций в основной капитал транспортного комплекса не менее 11,0% относительно уровня 2020 года Индекс физического объема инвестиций в основной капитал по видам деятельности транспортного комплекса, в % к 2020 году, %
13. Исключение из состава объектов налогообложения по транспортному налогу пассажирских и грузовых морских, речных и воздушных судов, используемых для перевозок Цель государственной программы - реальный рост инвестиций в основной капитал транспортного комплекса не менее 11,0% относительно уровня 2020 года Индекс физического объема инвестиций в основной капитал по видам деятельности транспортного комплекса, в % к 2020 году, %
14. Освобождение от уплаты НДС при ввозе авиационных двигателей Цель государственной программы - реальный рост инвестиций в основной капитал транспортного комплекса не менее 11,0% относительно уровня 2020 года Индекс физического объема инвестиций в основной капитал по видам деятельности транспортного комплекса, в % к 2020 году, %
15. Освобождение от уплаты ввозной таможенной пошлины гражданских пассажирских самолетов Цель государственной программы - реальный рост инвестиций в основной капитал транспортного комплекса не менее 11,0% относительно уровня 2020 года Индекс физического объема инвестиций в основной капитал по видам деятельности транспортного комплекса, в % к 2020 году, %
16. Пониженная ставка НДС при реализации авиационных двигателей, запасных частей и комплектующих изделий Цель государственной программы - реальный рост инвестиций в основной капитал транспортного комплекса не менее 11,0% относительно уровня 2020 года Индекс физического объема инвестиций в основной капитал по видам деятельности транспортного комплекса, в % к 2020 году, %
17. Освобождение от уплаты НДС при ввозе гражданских воздушных судов, зарегистрированных в государственном реестре гражданских воздушных судов иностранного государства Цель государственной программы - реальный рост инвестиций в основной капитал транспортного комплекса не менее 11,0% относительно уровня 2020 года Индекс физического объема инвестиций в основной капитал по видам деятельности транспортного комплекса, в % к 2020 году, %
18. Пониженная ставка НДС на услуги по внутренним воздушным перевозкам пассажиров и багажа вне территории Московской области и территории г. Москвы Цель ведомственной целевой программы "Содействие повышению доступности воздушных перевозок населению, в том числе в части развития региональных и внутрирегиональных перевозок" - обеспечение доступности региональных воздушных перевозок населению и рост объема перевозок пассажиров по региональным маршрутам в 1,77 раза. Индекс роста региональных перевозок, ед.
19. Освобождение от уплаты НДС при ввозе гражданских воздушных судов Цель государственной программы - реальный рост инвестиций в основной капитал транспортного комплекса не менее 11,0% относительно уровня 2020 года Индекс физического объема инвестиций в основной капитал по видам деятельности транспортного комплекса, в % к 2020 году, %
20. Пониженная ставка НДС при реализации гражданских воздушных судов Цель государственной программы - реальный рост инвестиций в основной капитал транспортного комплекса не менее 11,0% относительно уровня 2020 года Индекс физического объема инвестиций в основной капитал по видам деятельности транспортного комплекса, в % к 2020 году, %
21. Пониженная ставка НДС на услуги по передаче гражданских воздушных судов Цель государственной программы - реальный рост инвестиций в основной капитал транспортного комплекса не менее 11,0% относительно уровня 2020 года Индекс физического объема инвестиций в основной капитал по видам деятельности транспортного комплекса, в % к 2020 году, %
22. Освобождение от уплаты налога на имущество организаций в отношении федеральных автомобильных дорог общего пользования Цель федерального проекта "Развитие федеральной магистральной сети" - развитие транспортных коридоров "Запад - Восток" и "Север - Юг" и повышение уровня экономической связанности территории Российской Федерации за счет строительства и реконструкции участков автомобильных дорог федерального значения Протяженность построенных и реконструированных федеральных автомобильных дорог, км
23. Исключение из состава объектов налогообложения по налогу на имущество организаций воздушных судов, зарегистрированных в Государственном реестре гражданских воздушных судов Цель государственной программы - реальный рост инвестиций в основной капитал транспортного комплекса не менее 11,0% относительно уровня 2020 года Индекс физического объема инвестиций в основной капитал по видам деятельности транспортного комплекса, в % к 2020 году, %
24. Исключение из состава объектов налогообложения по транспортному налогу воздушных судов, зарегистрированных в Государственном реестре гражданских воздушных судов Цель государственной программы - реальный рост инвестиций в основной капитал транспортного комплекса не менее 11,0% относительно уровня 2020 года Индекс физического объема инвестиций в основной капитал по видам деятельности транспортного комплекса, в % к 2020 году, %

Приложение N 8
к Методике оценки эффективности
налоговых расходов Российской
Федерации, куратором которых
определено Министерство транспорта
Российской Федерации

ОПРЕДЕЛЕНИЕ ВКЛАДА НАЛОГОВЫХ РАСХОДОВ РОССИЙСКОЙ ФЕДЕРАЦИИ В ДОСТИЖЕНИЕ ЦЕЛЕВЫХ ПОКАЗАТЕЛЕЙ

1. Освобождение от уплаты НДС реализации услуг по перевозке пассажиров в общественном транспорте

Алгоритм определения вклада налогового расхода Российской Федерации в целевой показатель государственной программы "Транспортная подвижность населения".

1.1. Определение вклада налогового расхода Российской Федерации в достижение показателя "Транспортная подвижность населения" (ТрПотм.t) по формуле:

ТрП отм.t = ТрПt - (ТрПтоп.t - ТрПтоп.отм.t),

где:

ТрП отм.t = ТрПt - (ТрПтоп.t - ТрПтоп.отм.t),

ТрП отм.t - транспортная подвижность населения в условиях отмены льготы в году t, пасс.-км на 1 жителя;

ТрПt - транспортная подвижность населения в действующих условиях в году t, пасс.-км на 1 жителя;

ТрПтоп.t - транспортная подвижность населения на транспорте общего пользования (автобусного и городского электрического), за исключением легкового такси, в действующих условиях в году t, пасс.-км на 1 жителя;

ТрПтоп.отм.t - транспортная подвижность населения на транспорте общего пользования (автобусного и городского электрического), за исключением легкового такси, в условиях отмены льготы в году t, пасс.-км на 1 жителя.

1.2. Определение подвижности населения на транспорте общего пользования (автобусного и городского электрического), за исключением легкового такси, в городском и пригородном сообщении в условиях отмены льготы (ТрПтоп.отм.t) в году t по формуле:

ТрПтоп.отм.t = (Птоп.отм.t) / Чt,

где:

Птоп.отм.t - пассажирооборот транспорта общего пользования (автобусного и городского электрического), за исключением легкового такси, в условиях отмены льготы в году t, млн. пасс.-км;

Чt - численность населения в году t, млн. чел.

1.3 Определение пассажирооборота транспорта общего пользования (автобусного и городского электрического), за исключением легкового такси, в городском и пригородном сообщении в условиях отмены льготы (Птоп.отм.t) в году t по формуле:

Птоп.отм.t = Птоп.t x К,

где:

Птоп.t - пассажирооборот транспорта общего пользования (автобусного и городского электрического), за исключением легкового такси, в городском и пригородном сообщении по данным формы N 65-автотранс, 65-ЭТР в году t, млн. пасс.-км;

К - коэффициент, учитывающий снижение пассажирооборота транспорта общего пользования (автобусного и городского электрического), за исключением легкового такси, в городском и пригородном сообщении в условиях отмены льготы.

Отмена льготы может привести к росту средней стоимости поездки в городском общественном транспорте и сокращению спроса на данную услугу. По данным исследований, в зарубежных странах <1> ценовая эластичность по услуге составляет около 0,3. Следовательно, коэффициент (К), учитывающий снижение пассажирооборота в условиях отмены льготы, составит 0,94.

<1> Европейская конференция министров транспорта (ЕКМТ), материалы "Транспортная политика. Успехи, неудачи и новые вызовы". Данная информация доступна также на сайте Организации экономического сотрудничества и развития (ОЭСР) в разделе "Транспорт" (www.itf-oecd.org).

2. Освобождение от уплаты НДС реализации работ, связанных с осуществлением регулярных перевозок пассажиров и багажа автомобильным транспортом

Алгоритм определения вклада налогового расхода Российской Федерации в целевой показатель государственной программы "Транспортная подвижность населения".

2.1. Определение вклада налогового расхода Российской Федерации в достижение показателя "Транспортная подвижность населения" (Пt) по формуле:

ТрП отм.t = ТрПt - (ТрПат.t - ТрПат.отм.t),

где:

ТрП отм.t - транспортная подвижность населения в условиях отмены льготы в году t, пасс.-км на 1 жителя;

ТрПt - транспортная подвижность населения в действующих условиях в году t, пасс.-км на 1 жителя;

ТрПат.t - транспортная подвижность населения на автомобильном транспорте в действующих условиях в году t, пасс.-км на 1 жителя;

ТрПат.отм.t - транспортная подвижность населения на автомобильном транспорте в условиях отмены льготы в году t, пасс.-км на 1 жителя.

2.2. Определение подвижности населения на автомобильном транспорте при осуществлении регулярной перевозки пассажиров и багажа в условиях отмены льготы (ТрПат.отм.t) в году t по формуле:

ТрПат.отм.t = Пат.отм.t / Чt,

где:

Пат.отм.t - пассажирооборот автомобильного транспорта в условиях отмены льготы в году t, млн. пасс.-км;

Чt - численность населения в году t, млн. чел.

2.3. Определение пассажирооборота автомобильного транспорта в условиях отмены льготы (Пат.отм.t) в году t по формуле:

Пат.отм.t = Пат.t x К,

где:

Пат.t - пассажирооборот автомобильного транспорта по данным формы N 65-автотранс) в году t, млн. пасс.-км;

К - коэффициент, учитывающий снижение пассажирооборота автомобильного транспорта в условиях отмены льготы.

Отмена льготы может привести к росту средней стоимости регулярной перевозки пассажиров и багажа автомобильным транспортом и сокращению спроса на данную услугу. По данным исследований, в зарубежных странах <2> ценовая эластичность по данному виду услуги составляет 0,3 - 0,4. Следовательно, коэффициент (К), учитывающий снижение пассажирооборота в условиях отмены льготы, составит 0,93.

<2> Европейская конференция министров транспорта (ЕКМТ), материалы "Транспортная политика. Успехи, неудачи и новые вызовы". Данная информация доступна также на сайте Организации экономического сотрудничества и развития (ОЭСР) в разделе "Транспорт" (www.itf-oecd.org).

3. Освобождение от уплаты НДС услуг по предоставлению права проезда транспортных средств по платным автомобильным дорогам общего пользования федерального значения

Алгоритм определения вклада налогового расхода Российской Федерации в достижение целевого показателя "Доля протяженности автомобильных дорог, переданных в доверительное управление Государственной компании "Российские автомобильные дороги", соответствующих нормативным требованиям к транспортно-эксплуатационным показателям, в общей протяженности автомобильных дорог Государственной компании".

3.1. Определение вклада налогового расхода в достижение целевого показателя "Доля протяженности автомобильных дорог, переданных в доверительное управление Государственной компании "Российские автомобильные дороги", приведенных к соответствующим нормативным требованиям к транспортно-эксплуатационным показателям, в том числе за счет мероприятий по капитальному ремонту, %" (Пt) в году t по формуле:

Пt = Пt - П от.л t,

где:

П от.л t - значение показателя "Доля протяженности автомобильных дорог, переданных в доверительное управление Государственной компании "Российские автомобильные дороги", приведенных к соответствующим нормативным требованиям к транспортно-эксплуатационным показателям, в том числе за счет мероприятий по капитальному ремонту, %" в условиях отмены льгот в году t;

Пt - значение показателя "Доля протяженности автомобильных дорог, переданных в доверительное управление Государственной компании "Российские автомобильные дороги", приведенных к соответствующим нормативным требованиям к транспортно-эксплуатационным показателям, в том числе за счет мероприятий по капитальному ремонту, %" в действующих условиях в году t;

3.2. Определение влияния налоговой льготы на показатель "Доля протяженности автомобильных дорог, переданных в доверительное управление Государственной компании "Российские автомобильные дороги", приведенных к соответствующим нормативным требованиям к транспортно-эксплуатационным показателям, в том числе за счет мероприятий по капитальному ремонту, %" в условиях отмены льготы в году t (П от.л t) по формуле:

П от.л t = П t x К,

где:

К - коэффициент снижения показателя "Доля протяженности автомобильных дорог, переданных в доверительное управление Государственной компании "Российские автомобильные дороги", приведенных к соответствующим нормативным требованиям к транспортно-эксплуатационным показателям, в том числе за счет мероприятий по капитальному ремонту, %" при изменении объема финансирования ремонта и содержания федеральных автомобильных дорог общего пользования Государственной компанией "Российские автомобильные дороги".

Величина коэффициента (К) получена на основе корреляционно-регрессионной зависимости показателя "Доля протяженности автомобильных дорог, переданных в доверительное управление Государственной компании "Российские автомобильные дороги", соответствующих нормативным требованиям к транспортно-эксплуатационным показателям, в общей протяженности автомобильных дорог Государственной компании, %" от объемов финансирования содержания и текущего ремонта. При сокращении объема финансирования ремонта и содержания на 1 млрд. рублей показатель снижается на 0,53%. Следовательно, величина К равна 0,995 при снижении объема финансирования на 1 млрд. рублей.

Освобождение от уплаты НДС услуг по предоставлению права проезда транспортных средств по платным автомобильным дорогам общего пользования федерального значения оказывает влияние на объем финансовых ресурсов, направляемых на ремонт и содержание автомобильных дорог.

В случае отмены налоговой льготы объем финансирования ремонта и содержания федеральных автомобильных дорог общего пользования Государственной компанией "Российские автомобильные дороги" может снизиться на величину объема налоговых льгот, что окажет влияние на достижение показателя "Доля протяженности автомобильных дорог, переданных в доверительное управление Государственной компании "Российские автомобильные дороги", приведенных к соответствующим нормативным требованиям к транспортно-эксплуатационным показателям, в том числе за счет мероприятий по капитальному ремонту, %".

4. Пониженная ставка НДС на услуги по внутренним воздушным перевозкам пассажиров и багажа в (из) Республику Крым и г. Севастополь.
Пониженная ставка НДС на услуги по внутренним воздушным перевозкам пассажиров и багажа в (из) Калининградской области/Дальневосточного федерального округа.
Пониженная ставка НДС на услуги по внутренним воздушным перевозкам пассажиров и багажа.
Пониженная ставка НДС на услуги по внутренним воздушным перевозкам пассажиров и багажа вне территории Московской области и территории г. Москвы

Отмена льготы оказывает прямое воздействие на величину тарифа на перевозку пассажиров.

Алгоритм определения вклада налоговых расходов Российской Федерации "Пониженная ставка НДС на услуги по внутренним воздушным перевозкам пассажиров и багажа в (из) Республику Крым и г. Севастополь", "Пониженная ставка НДС на услуги по внутренним воздушным перевозкам пассажиров и багажа в (из) Калининградской области/Дальневосточного федерального округа", "Пониженная ставка НДС на услуги по внутренним воздушным перевозкам пассажиров и багажа", "Пониженная ставка НДС на услуги по внутренним воздушным перевозкам пассажиров и багажа вне территории Московской области и территории г. Москвы" в достижение целевого показателя "Индекс роста региональных перевозок".

Определение вклада налоговых расходов в целевой показатель может определяться как по отдельному налоговому расходу, так и по комплексу налоговых расходов, влияющих на объем региональных перевозок воздушным транспортом.

4.1. Определение вклада налогового расхода в достижение целевого показателя "Индекс роста региональных перевозок" (Иt) в году t по формуле:

Иt = Ир.п.t - Ир.п.отм. t,

где:

Ир.п.t - индекс роста региональных перевозок на основе данных статистической отчетности в году t;

Ир.п.отм. t - индекс роста региональных перевозок в условиях отмены льготы в году t.

4.2. Определение индекса роста региональных перевозок (Ир.п.отм.t) в условиях отмены льготы в году t по формуле:

Ир.п.отм. t = (Опасс. отм.t) / Опасс.(t-1),

где:

Опасс.отм.t - объем региональных перевозок в условиях отмены льгот по направлению, соответствующему налоговому расходу, в год t, млн чел.;

Опасс.отм.(t-1) - объем региональных перевозок в условиях отмены льгот по направлению, соответствующему налоговому расходу, в год (t-1), млн человек

4.3. Определение объема региональных перевозок воздушным транспортом по каждому налоговому расходу в условиях отмены льготы в году t (Опасс.отм.t) по формуле:

Опасс.отм.t = Опасс.t x К,

где:

Опасс.t - объем региональных перевозок по данным формы N 12-ГА "Сведения о перевозках пассажиров и грузов" по направлению, соответствующему налоговому расходу, в год t, млн чел.;

К - коэффициент, учитывающий снижение объема внутренних перевозок воздушным транспортом в условиях отмены льготы.

Отмена льготы может привести к росту среднего тарифа на воздушном транспорте и сокращению спроса на данную услугу. На основе статистической зависимости объема внутренних перевозок от величины тарифа (полет в салоне экономичного класса самолета в расчете на 1000 км пути в году t в ценах 2010 года, тыс. рублей) за 2011 - 2019 годы получена ценовая эластичность данной услуги, которая составляет в среднем 1,28.

Следовательно, коэффициент (К), учитывающий снижение объема внутренних перевозок воздушным транспортом в условиях отмены льгот ("Пониженная ставка НДС на услуги по внутренним воздушным перевозкам пассажиров и багажа в (из) Республику Крым и г. Севастополь", "Пониженная ставка НДС на услуги по внутренним воздушным перевозкам пассажиров и багажа в (из) Калининградской области/Дальневосточного федерального округа"), "Пониженная ставка НДС на услуги по внутренним воздушным перевозкам пассажиров и багажа вне территории Московской области и территории г. Москвы" составит 0,744, "Пониженная ставка НДС на услуги по внутренним воздушным перевозкам пассажиров и багажа" - 0,872.

5. Пониженная ставка НДС на услуги по перевозке пассажиров железнодорожным транспортом в пригородном сообщении

Алгоритм определения вклада налогового расхода Российской Федерации в целевой показатель "Транспортная подвижность населения на железнодорожном транспорте" федерального проекта "Обеспечение доступности услуг железнодорожного транспорта".

5.1. Определение вклада налогового расхода в достижение целевого показателя "Транспортная подвижность населения на железнодорожном транспорте", пасс-км на 1 жителя" в году t по формуле:

ТрПотм.t = ТрПt - (ТрПп.t - ТрПп.отм.t),

где:

ТрПотм.t - транспортная подвижность железнодорожного транспорта в году t в условиях отмены налоговой льготы, пасс.-км на 1 жителя;

ТрПt - транспортная подвижность железнодорожного транспорта в году t с учетом налоговой льготы (фактическая транспортная подвижность железнодорожного транспорта в году t, рассчитанная на основании данных Росстата о пассажирообороте железнодорожного транспорта и численности населения), пасс.-км на 1 жителя;

ТрПп.t - транспортная подвижность железнодорожного транспорта в пригородном сообщении в году t с учетом налоговой льготы, пасс.-км на 1 жителя;

ТрПп.отм.t - транспортная подвижность железнодорожного транспорта в пригородном сообщении в году t без учета налоговой льготы, пасс.-км на 1 жителя.

5.2. Определение подвижности населения на железнодорожном транспорте в пригородном сообщении в условиях отмены налоговой льготы (ТрПотм.t) в году t по формуле:

ТрПотм.t = (Пасс.отм.t) / Чt,

где:

Пасс.отм.t - пассажирооборот железнодорожного транспорта в пригородном сообщении в условиях отмены льготы в год t, млн. пасс.-км;

Ч t - численность населения в году t, млн. человек.

5.3. Определение пассажирооборота железнодорожного транспорта в пригородном сообщении в условиях отмены льготы в году t по формуле:

Пасс.отм.t = Пасс.t x К,

где:

Пасс.отм.t - пассажирооборот железнодорожного транспорта в пригородном сообщении в условиях отмены льготы в год t, млн. пасс.-км;

Пасс.t - пассажирооборот железнодорожного транспорта в пригородном сообщении по данным Росстата в году t, млн. пасс.-км;

К - коэффициент, учитывающий снижение пассажирооборота железнодорожного транспорта в пригородном сообщении в условиях отмены льготы.

Отмена льготы может привести к росту средней стоимости поездки на железнодорожном транспорте в пригородном сообщении и сокращению спроса на данную услугу. На основе статистической зависимости пассажирооборота в пригородном сообщении от величины тарифа за 2010 - 2019 годы получена ценовая эластичность данной услуги, которая составляет в среднем 0,332. Следовательно, коэффициент (К), учитывающий снижение пассажирооборота в условиях отмены льготы, составит 0,934.

6. Пониженная ставка НДС на услуги по перевозке пассажиров

железнодорожным транспортом общего пользования

в дальнем сообщении

Алгоритм определения вклада налогового расхода Российской Федерации в достижение целевого показателя "Транспортная подвижность населения на железнодорожном транспорте" федерального проекта "Обеспечение доступности услуг железнодорожного транспорта".

6.1. Определение вклада налогового расхода в достижение целевого показателя "Транспортная подвижность населения на железнодорожном транспорте" (ТрПотм.t) (пасс-км на 1 жителя) в году t по формуле:

ТрПотм.t = ТрПt - (ТрПд.t - ТрПд.отм.t),

где:

ТрПотм.t - транспортная подвижность железнодорожного транспорта в году t в условиях отмены налоговой льготы, пасс.-км на 1 жителя;

ТрПt - транспортная подвижность железнодорожного транспорта в году t с учетом налоговой льготы (фактическая транспортная подвижность железнодорожного транспорта в году t, рассчитанная на основании данных Росстата о пассажирообороте железнодорожного транспорта и численности населения), пасс.-км на 1 жителя;

ТрПд.t - транспортная подвижность железнодорожного транспорта в дальнем сообщении в году t с учетом налоговой льготы, пасс.-км на 1 жителя;

ТрПд.отм.t - транспортная подвижность железнодорожного транспорта в дальнем сообщении в году t без учета налоговой льготы, пасс.-км на 1 жителя.

6.2. Определение подвижности населения на железнодорожном транспорте в дальнем следовании в условиях отмены налоговой льготы (ТрПд. отм.t) в году t по формуле:

ТрПд.отм.t = Пасс.д. отм.t / Чt,

где:

Пасс.д.отм.t - пассажирооборот железнодорожного транспорта в дальнем следовании в условиях отмены льготы в году t, млн. пасс.-км;

Чt - численность населения в году t, млн. чел.

6.3. Определение пассажирооборота железнодорожного транспорта в дальнем следовании в условиях отмены льготы в году t по формуле:

Пасс.д. отм.t = Пасс.д.t x К,

где:

Пасс.д.отм.t - пассажирооборот железнодорожного транспорта в дальнем следовании в условиях отмены льготы в год t, млн. пасс-км;

Пасс.д.t - пассажирооборот железнодорожного транспорта в дальнем следовании по данным Росстата в году t, млн. пасс-км;

К - коэффициент, учитывающий снижение пассажирооборота железнодорожного транспорта в дальнем следовании в условиях отмены льготы.

Отмена льготы может привести к росту средней стоимости поездки на железнодорожном транспорте в дальнем следовании и сокращению спроса на данную услугу. На основе статистической зависимости пассажирооборота в дальнем следовании от величины тарифа (проезд в плацкартном вагоне скорого нефирменного поезда дальнего следования, в расчете на 100 км. пути в ценах 2009 года) за 2010 - 2019 годы получена ценовая эластичность данной услуги, которая составляет в среднем 0,195.

Следовательно, коэффициент (К), учитывающий снижение пассажирооборота в дальнем следовании в условиях отмены льготы, составит 0,961.

7. Пониженная сумма налогообложения по налогу на имущество организаций в отношении железнодорожных путей общего пользования.
Пониженная ставка налога на имущество организаций в отношении железнодорожных путей общего пользования

Определение вклада налоговых расходов "Пониженная сумма налогообложения по налогу на имущество организаций в отношении железнодорожных путей общего пользования" и "Пониженная ставка налога на имущество организаций в отношении железнодорожных путей общего пользования" в аналитический показатель "Индекс физического объема инвестиций в основной капитал по видам деятельности транспортного комплекса" осуществляется по одному алгоритму. Отмена данных преференций ограничит ввод новой железнодорожной инфраструктуры и потребует дополнительных бюджетных инвестиций (субсидий) на развитие и обновление инфраструктуры.

7.1. Определение вклада налогового расхода в целевой показатель "Индекс физического объема инвестиций в основной капитал по видам деятельности транспортного комплекса, в % к 2020 году" (It) в году t по формуле:

It = (Иt - Пt)/Иб x 100,

где:

Иt - объем инвестиций крупных и средних предприятий транспортного комплекса по данным формы федерального статистического наблюдения П-2 в году t, млн. рублей (включая виды деятельности по кодам ОКВЭД: 49.1, 49.2, 49.31.1, 52.21.1, 49.31.21, 49.32, 49.39.11, 49.39.12, 49.39.13, 49.39.3, 49.4, 52.21.21, 52.21.24, 52.21.29, 50.3, 50.4, 52.22.2, 50.1, 50.2, 52.22.1, 51.1, 51.21, 52.23.1, 49.31.22, 49.31.23, 49.31.25, 49.31.24, 52.21.22, 52.21.23, 52.24.1, 52.24.2, 52.29);

Иб - базовый объем инвестиций крупных и средних предприятий транспортного комплекса, млн. рублей <3>;

<3> Здесь и далее для оценки эффективности за базовый год принимается год, предшествующий отчетному году. Для оценки эффективности в 2021 году за базовый год принимается 2019 год.

Пt - снижение инвестиционных возможностей организаций железнодорожного транспорта в году t, млн. рублей.

7.2. Снижение инвестиционных возможностей организаций железнодорожного транспорта в результате отмены льготы эквивалентно снижению прибыли (Пt) и определяется по формуле:

Пt = Пжт.t - Пот.жт.t,

где:

Пжт.t - объем прибыли крупных и средних организаций железнодорожного транспорта в году t в условиях применения льготы по данным формы федерального статистического наблюдения 1-предприятие, млн. рублей;

Пот.жт.t - объем прибыли крупных и средних организаций железнодорожного транспорта в условиях отмены льготы в году t, млн. рублей.

7.3. Определение прибыли организаций железнодорожного транспорта в условиях отмены льготы в году t по формуле:

Пот.жт.t = Пжт.t - К x Офин.t,

где:

Пот.жт.t - объем прибыли организаций железнодорожного транспорта в году t в условиях отмены налоговых льгот, млн. рублей;

Пжт.t - объем прибыли организаций железнодорожного транспорта в году t по данным формы 1-предприятие в условиях налоговых льгот, млн. рублей;

Офин.t - объем налоговых льгот в году t, млн. рублей;

К - коэффициент, отражающий долю высвобожденных средств, направляемых на осуществление инвестиций в основной капитал.

8. Освобождение от уплаты ввозной таможенной пошлины при ввозе гражданских пассажирских самолетов.
Освобождение от уплаты ввозной таможенной пошлины при ввозе авиационных двигателей.
Освобождение от уплаты ввозной таможенной пошлины гражданских пассажирских самолетов.
Освобождение от уплаты НДС при ввозе гражданских воздушных судов
Освобождение от уплаты НДС при ввозе гражданских воздушных судов, зарегистрированных в государственном реестре гражданских воздушных судов иностранного государства.
Освобождение от уплаты НДС при ввозе авиационных двигателей Пониженная ставка НДС при реализации гражданских воздушных судов
Пониженная ставка НДС при реализации авиационных двигателей, запасных частей и комплектующих изделий.
Пониженная ставка НДС на услуги по передаче гражданских воздушных судов.
Исключение из состава объектов налогообложения по налогу на имущество организаций воздушных судов, зарегистрированных в Государственном реестре гражданских воздушных судов.
Исключение из состава объектов налогообложения по транспортному налогу воздушных судов, зарегистрированных в Государственном реестре гражданских воздушных судов

Алгоритм определения вклада налоговых расходов Российской Федерации "Освобождение от уплаты ввозной таможенной пошлины при ввозе гражданских пассажирских самолетов", "Освобождение от уплаты ввозной таможенной пошлины при ввозе авиационных двигателей", "Освобождение от уплаты ввозной таможенной пошлины гражданских пассажирских самолетов", "Освобождение от уплаты НДС при ввозе гражданских воздушных судов", "Освобождение от уплаты НДС при ввозе гражданских воздушных судов, зарегистрированных в государственном реестре гражданских воздушных судов иностранного государства", "Освобождение от уплаты НДС при ввозе авиационных двигателей", "Пониженная ставка НДС при реализации гражданских воздушных судов", "Пониженная ставка НДС при реализации авиационных двигателей, запасных частей и комплектующих изделий", "Пониженная ставка НДС на услуги по передаче гражданских воздушных судов", "Исключение из состава объектов налогообложения по налогу на имущество организаций воздушных судов, зарегистрированных в Государственном реестре гражданских воздушных судов", "Исключение из состава объектов налогообложения по транспортному налогу воздушных судов, зарегистрированных в Государственном реестре гражданских воздушных судов" в аналитический показатель государственной программы "Индекс физического объема инвестиций в основной капитал по видам деятельности транспортного комплекса, % к 2021 году".

Определение вклада налоговых расходов в аналитический показатель может определяться как по отдельному налоговому расходу, так и по комплексу налоговых расходов, влияющих на стимулирование деятельности и повышение инвестиционных возможностей организаций воздушного транспорта.

8.1. Определение вклада налогового расхода в целевой показатель "Индекс физического объема инвестиций в основной капитал по видам деятельности транспортного комплекса, в % к 2021 году" (It) в году t по формуле:

It = (Иt - Пt)/Иб x 100,

где:

Иt - объем инвестиций крупных и средних предприятий транспортного комплекса по данным формы федерального статистического наблюдения П-2 в году t, млн рублей (включая виды деятельности по кодам ОКВЭД: 49.1, 49.2, 49.31.1, 52.21.1, 49.31.21, 49.32, 49.39.11, 49.39.12, 49.39.13, 49.39.3, 49.4, 52.21.21, 52.21.24, 52.21.29, 50.3, 50.4, 52.22.2, 50.1, 50.2, 52.22.1, 51.1, 51.21, 52.23.1, 49.31.22, 49.31.23, 49.31.25, 49.31.24, 52.21.22, 52.21.23, 52.24.1, 52.24.2, 52.29);

Иб - базовый объем инвестиций крупных и средних предприятий транспортного комплекса, млн. рублей;

Пt - снижение инвестиционных возможностей организаций воздушного транспорта в году t, млн. рублей.

8.2. Снижение инвестиционных возможностей организаций воздушного транспорта в результате отмены льготы принимается эквивалентным снижению прибыли и определяется по формуле:

Пt = Пвт.t - Пот.вт.t,

где:

Пвт.t - объем прибыли крупных и средних организаций воздушного транспорта в году t в условиях применения льготы по данным формы федерального статистического наблюдения П-2, млн. рублей;

Пот.вт.t - объем прибыли крупных и средних организаций воздушного транспорта в условиях отмены льготы в году t, млн. рублей.

8.3. Определение прибыли организаций воздушного транспорта в условиях отмены льготы в году t по формуле:

Пот.вт.t = Пвт.t - Офин.t,

где:

Пвт.t - объем прибыли организаций воздушного транспорта в году t по данным формы 1-предприятие в условиях налоговых льгот, млн. рублей;

Пот.вт.t - объем прибыли организаций воздушного транспорта в году t в условиях отмены налоговых льгот, млн. рублей;

Офин.t - объем налоговых льгот в году t, млн. рублей.

9. Исключение из состава объектов налогообложения по транспортному налогу пассажирских и грузовых морских, речных и воздушных судов, используемых для перевозок

9.1. Определение вклада налогового расхода в целевой показатель "Индекс физического объема инвестиций в основной капитал по видам деятельности транспортного комплекса, в % к 2021 году" (It) в году t по формуле:

It = (Иt - Пt)/Иб x 100,

где:

Иt - объем инвестиций крупных и средних предприятий транспортного комплекса по данным формы федерального статистического наблюдения П-2 в году t, млн рублей (включая виды деятельности по кодам ОКВЭД: 49.1, 49.2, 49.31.1, 52.21.1, 49.31.21, 49.32, 49.39.11, 49.39.12, 49.39.13, 49.39.3, 49.4, 52.21.21, 52.21.24, 52.21.29, 50.3, 50.4, 52.22.2, 50.1, 50.2, 52.22.1, 51.1, 51.21, 52.23.1, 49.31.22, 49.31.23, 49.31.25, 49.31.24, 52.21.22, 52.21.23, 52.24.1, 52.24.2, 52.29);

Иб - базовый объем инвестиций крупных и средних предприятий транспортного комплекса, млн. рублей;

Пt - снижение инвестиционных возможностей крупных и средних организаций морского, внутреннего водного и воздушного транспорта в результате отмены льготы в году t, млн. рублей.

9.2. Снижение инвестиционных возможностей крупных и средних организаций морского, внутреннего водного и воздушного транспорта в результате отмены льготы принимается эквивалентным снижению прибыли.

Снижение прибыли организаций морского, внутреннего водного и воздушного транспорта в результате отмены льготы (Пt) определяется по формуле:

Пt = Пt - Пот.t,

где:

Пt - объем прибыли крупных и средних организаций морского, внутреннего водного и воздушного транспорта в году t в условиях применения льготы по данным формы федерального статистического наблюдения 1-предприятие, млн. рублей;

Пот.t - объем прибыли крупных и средних организаций морского, внутреннего водного и воздушного транспорта в условиях отмены льготы в году t, млн. рублей.

9.3. Определение прибыли крупных и средних организаций морского, внутреннего водного и воздушного транспорта в условиях отмены льготы в году t по формуле:

Пот.t = Пt - Офин.t,

где:

Пt - объем прибыли крупных и средних организаций морского, внутреннего водного и воздушного транспорта в году t по данным формы 1-предприятие в условиях налоговых льгот, млн рублей;

Пот.t - объем прибыли крупных и средних организаций морского, внутреннего водного и воздушного транспорта в году t в условиях отмены налоговых льгот, млн. рублей;

Офин.t - объем налоговых льгот в году t, млн. рублей.

9.4. Определение объема налоговых льгот.

Объем налоговых льгот в году t определяется по формуле:

Офин.t = Овт.t x Твт.t + Овод.t x Твод.t,

где:

Овт.t - средняя величина транспортного налога на воздушное судно в году t по данным формы 5-ТН (в среднем - 317,4 тыс. рублей);

Твт.t - количество воздушных судов в году t по данным статистической отчетности (ФПСР п. 33.4);

Овот.t - средняя величина транспортного налога на морское (речное) судно в году t по данным формы 5-ТН (в среднем - 24,2 тыс. рублей);

Твот.t - количество морских и речных судов в году t по данным статистической отчетности (ФПСР пп. 35.2, 35.6).

10. Освобождение организаций от уплаты налога на имущество организаций в отношении федеральных автомобильных дорог общего пользования

10.1 Вклад налогового расхода Российской Федерации "Освобождение организаций от уплаты налога на имущество организаций в отношении федеральных автомобильных дорог общего пользования" в достижение целевого показателя "Протяженность построенных и реконструированных федеральных автомобильных дорог" определяется по формуле:

Lt = Lt - Lот.лt,

где:

Lt - вклад налогового расхода Российской Федерации "Освобождение организаций от уплаты налога на имущество организаций в отношении федеральных автомобильных дорог общего пользования" в увеличение величины целевого показателя в году "t", км;

Lt - значение показателя "Протяженность построенных и реконструированных федеральных автомобильных дорог" в условиях наличия льготы в году t, км;

Lот.лt - значение показателя "Протяженность построенных и реконструированных федеральных автомобильных дорог" в условиях отмены льготы в году "t", км.

10.2. Влияние налоговой льготы на показатель "Протяженность построенных и реконструированных федеральных автомобильных дорог" в условиях отмены льготы в году t (Lот.лt) определяется по формуле:

Lот.лt = (Фt - Офин.t) / Ф1км,

где:

Фt - объем финансового обеспечения строительства и реконструкции федеральных автомобильных дорог общего пользования в году t, рублей;

Офин.t - объем налоговых льгот в году t, млн. рублей;

Ф1км - средняя стоимость строительства 1 км федеральных дорог одной полосы движения в году t.

Приложение N 9
к Методике оценки эффективности
налоговых расходов Российской
Федерации, куратором которых
определено Министерство транспорта
Российской Федерации

Формат паспорта налогового расхода Российской Федерации  
"   "
  (краткое наименование налогового расхода Российской Федерации)  

N Представляемая информация Рекомендации по заполнению Источник данных
Нормативные характеристики налогового расхода Российской Федерации
1 Наименования налогов, сборов, таможенных платежей и страховых взносов на обязательное социальное страхование, по которым предусматриваются налоговые льготы, освобождения и иные преференции Наименование Перечень налоговых Расходов Российской Федерации
2 Нормативные правовые акты, международные договоры, их структурные единицы, которыми предусматриваются налоговые льготы, освобождения и иные преференции по налогам, сборам, таможенным платежам и страховым взносам на обязательное социальное страхование Наименование
Статья, пункт, подпункт, абзац
Перечень налоговых расходов Российской Федерации
3 Категории плательщиков налогов, сборов, таможенных платежей и страховых взносов на обязательное социальное страхование, для которых предусмотрены налоговые льготы, освобождения и иные преференции Выбор одного из вариантов:
1) юридические лица;
2) юридические лица/индивидуальные предприниматели;
3) физические лица
Перечень налоговых расходов Российской Федерации
4 Условия предоставления налоговых льгот, освобождений и иных преференций для плательщиков налогов, сборов, таможенных платежей и страховых взносов на обязательное социальное страхование При наличии особых условий Куратор налогового расхода Российской Федерации
5 Целевая категория плательщиков налогов, сборов, таможенных платежей и страховых взносов на обязательное социальное страхование, для которых предусмотрены налоговые льготы, освобождения и иные преференции Детализация должна соответствовать установленным категория налогоплательщиков согласно нормативному правовому акту Куратор налогового расхода Российской Федерации
6 Даты вступления в силу нормативных правовых актов, международных договоров, устанавливающих налоговые льготы, освобождения и иные преференции для плательщиков налогов, сборов, таможенных платежей и страховых взносов на обязательное социальное страхование XX.XX.XXXX Куратор налогового расхода Российской Федерации
7 Даты вступления в силу нормативных правовых актов, международных договоров, отменяющих налоговые льготы, освобождения и иные преференции для плательщиков налогов, сборов, таможенных платежей и страховых взносов на обязательное социальное страхование XX.XX.XXXX Куратор налогового расхода Российской Федерации
Целевые характеристики налогового расхода Российской Федерации
8 Целевая категория налоговых расходов Российской Федерации Выбор одного из вариантов:
1) стимулирующая;
2) социальная;
3) техническая
Куратор налогового расхода Российской Федерации
9 Цели предоставления налоговых льгот, освобождений и иных преференций для плательщиков налогов, сборов, таможенных платежей и страховых взносов на обязательное социальное страхование Содержание цели Куратор налогового расхода Российской Федерации
10 Наименования государственных программ Российской Федерации, наименования нормативных правовых актов, международных договоров, определяющих цели социально-экономической политики Российской Федерации, не относящиеся к государственным программам Российской Федерации, в целях реализации которых предоставляются налоговые льготы, освобождения и иные преференции для плательщиков налогов, сборов, таможенных платежей и страховых взносов на обязательное социальное страхование Наименование государственной программы Перечень налоговых расходов Российской Федерации и данные куратора налогового расхода Российской Федерации
11 Показатели (индикаторы) достижения целей государственных программ Российской Федерации и (или) целей социально-экономической политики Российской Федерации, не относящихся к государственным программам Российской Федерации, в связи с предоставлением налоговых льгот, освобождений и иных преференций для плательщиков налогов, сборов, таможенных платежей и страховых взносов на обязательное социальное страхование Наименования показателей Куратор налогового расхода Российской Федерации
12 Значения показателей (индикаторов) достижения целей государственных программ Российской Федерации и (или) целей социально-экономической политики Российской Федерации, не относящихся к государственным программам Российской Федерации, в связи с предоставлением налоговых льгот, освобождений и иных преференций для плательщиков налогов, сборов, таможенных платежей и страховых взносов на обязательное социальное страхование X ед.
Информация представляется по годам по каждому показателю (индикатору) достижения целей
Куратор налогового расхода Российской Федерации
13 Прогнозные (оценочные) значения показателей (индикаторов) достижения целей государственных программ Российской Федерации и (или) целей социально-экономической политики Российской Федерации, не относящихся к государственным программам Российской Федерации, в связи с предоставлением налоговых льгот, освобождений и иных преференций для плательщиков налогов, сборов, таможенных платежей и страховых взносов на обязательное социальное страхование на текущий финансовый год, очередной финансовый год и плановый период X ед.
Информация представляется по годам по каждому показателю (индикатору) достижения целей
Куратор налогового расхода Российской Федерации
Фискальные характеристики налогового расхода Российской Федерации
14 Объем налоговых льгот, освобождений и иных преференций, предоставленных для плательщиков налогов, сборов, таможенных платежей и страховых взносов на обязательное социальное страхование за отчетный финансовый год (тыс. рублей) X тыс. рублей
Информация представляется по годам по каждому виду налоговых льгот,
освобождений и иных преференций.
Если льгота действовала, но плательщики, воспользовавшиеся льготой, отсутствовали в периоде, указывается 0.
В случае, если льгота не действовала, указывается знак X
Главный администратор доходов федерального бюджета, Минфин России
15 Оценка объема предоставленных налоговых льгот, освобождений и иных преференций для плательщиков налогов, сборов, таможенных платежей и страховых взносов на обязательное социальное страхование на текущий финансовый год, очередной финансовый год и плановый период (тыс. рублей) X тыс. рублей
Информация представляется по годам по каждому виду предоставленных льгот, освобождений и преференций
Минфин России
16 Общая численность плательщиков налогов, сборов, таможенных платежей и страховых взносов на обязательное социальное страхование в отчетном финансовому году (единиц) X ед. Главный администратор доходов федерального бюджета
17 Численность плательщиков налогов, сборов, таможенных платежей и страховых взносов на обязательное социальное страхование, воспользовавшихся правом на получение налоговых льгот, освобождений и иных преференций в отчетном финансовом году (единиц) X ед. Главный администратор доходов федерального бюджета
18 Базовый объем налогов, сборов, таможенных платежей и страховых взносов на обязательное социальное страхование, задекларированный для уплаты в бюджеты бюджетной системы Российской Федерации плательщиками налогов, сборов, таможенных платежей и страховых взносов на обязательное социальное страхование, по видам налога, сбора, таможенного платежа и страхового взноса на обязательное социальное страхование (тыс. рублей) X тыс. рублей
Информация представляется по годам по каждому виду налогов, сборов, таможенных платежей и страховых взносов
Главный администратор доходов федерального бюджета
19 Объем налогов, сборов, таможенных платежей и страховых взносов на обязательное социальное страхование, задекларированный для уплаты в бюджеты бюджетной системы Российской Федерации плательщиками налогов, сборов, таможенных платежей и страховых взносов на обязательное социальное страхование, имеющими право на налоговые льготы, освобождения и иные преференции, за 6 лет, предшествующих отчетному финансовому году (тыс. рублей) X тыс. рублей
Информация представляется по годам по каждому виду налогов, сборов, таможенных платежей и страховых
Главный администратор доходов федерального бюджета

Приложение N 10
к Методике оценки эффективности
налоговых расходов Российской
Федерации, куратором которых
определено Министерство транспорта
Российской Федерации

ФОРМАТ РЕЗУЛЬТАТОВ ОЦЕНКИ ЭФФЕКТИВНОСТИ НАЛОГОВЫХ РАСХОДОВ РОССИЙСКОЙ ФЕДЕРАЦИИ

Порядок оценки эффективности должен быть определен для каждого налогового расхода.

Результаты оценки эффективности налоговых расходов должны максимально подробно отражать результаты оценки целесообразности и результативности налоговых расходов, а также оценки совокупного бюджетного эффекта. Все результаты должны соответствовать требованиям, отраженным в постановлении Правительства Российской Федерации от 12 апреля 2019 г. N 439 "Об утверждении Правил формирования перечня налоговых расходов Российской Федерации и оценки налоговых расходов Российской Федерации".

Приложение N 11
к Методике оценки эффективности
налоговых расходов Российской
Федерации, куратором которых
определено Министерство транспорта
Российской Федерации

ФОРМАТ РЕКОМЕНДАЦИЙ ПО РЕЗУЛЬТАТАМ ОЦЕНКИ ЭФФЕКТИВНОСТИ НАЛОГОВЫХ РАСХОДОВ РОССИЙСКОЙ ФЕДЕРАЦИИ

Рекомендации по результатам оценки должны содержать обоснование необходимости сохранения, уточнения или отмены налоговой льготы.

Следует учитывать, что указанные в настоящем разделе отчета о результатах оценки льготы сведения могут быть переданы иным органам государственной власти для принятия управленческих решений, использованы при подготовке основных направлений бюджетной налоговой и таможенно-тарифной политики, проектов федеральных законов и иных нормативных правовых актов, а также представлены научным, общественным и экспертным организациям.

Приложение N 2
к приказу Минтранса России
от 28 ноября 2022 г. N 473

Приложение N 2
к приказу Минтранса России
от 29 декабря 2021 г. N 474
(в редакции
приказа Минтранса России
от ____________ N ____)

ДЕПАРТАМЕНТЫ МИНИСТЕРСТВА ТРАНСПОРТА РОССИЙСКОЙ ФЕДЕРАЦИИ, ФЕДЕРАЛЬНЫЕ АГЕНТСТВА, НАХОДЯЩИЕСЯ В ВЕДЕНИИ МИНИСТЕРСТВА ТРАНСПОРТА РОССИЙСКОЙ ФЕДЕРАЦИИ, ОТВЕТСТВЕННЫЕ ЗА ПРОВЕДЕНИЕ ОЦЕНКИ ЭФФЕКТИВНОСТИ НАЛОГОВЫХ РАСХОДОВ РОССИЙСКОЙ ФЕДЕРАЦИИ

N Краткое наименование налогового расхода Российской Федерации Ответственный департамент, федеральное агентство
1. Освобождение от уплаты НДС реализации услуг по перевозке пассажиров в общественном транспорте Департамент государственной политики в области автомобильного и городского пассажирского транспорта
2. Освобождение от уплаты НДС реализации работ, связанных с осуществлением регулярных перевозок пассажиров и багажа автомобильным транспортом Департамент государственной политики в области автомобильного и городского пассажирского транспорта
3. Освобождение от уплаты НДС услуг по предоставлению права проезда транспортных средств по платным автомобильным дорогам общего пользования федерального значения Департамент государственной политики в области дорожного хозяйства
4. Пониженная ставка НДС на услуги по внутренним воздушным перевозкам пассажиров и багажа в (из) Республику Крым и г. Севастополь Департамент государственной политики в области гражданской авиации
Росавиация
5. Пониженная ставка НДС на услуги по внутренним воздушным перевозкам пассажиров и багажа в (из) Калининградской области/Дальневосточного федерального округа Департамент государственной политики в области гражданской авиации
Росавиация
6. Пониженная ставка НДС на услуги по внутренним воздушным перевозкам пассажиров и багажа Департамент государственной политики в области гражданской авиации
Росавиация
7. Пониженная ставка НДС на услуги по перевозке пассажиров железнодорожным транспортом в пригородном сообщении Департамент государственной политики в области железнодорожного транспорта
Росжелдор
8. Пониженная ставка НДС на услуги по перевозке пассажиров железнодорожным транспортом общего пользования в дальнем сообщении Департамент государственной политики в области железнодорожного транспорта
Росжелдор
9. Пониженная сумма налогообложения по налогу на имущество организаций в отношении железнодорожных путей общего пользования Департамент государственной политики в области железнодорожного транспорта
Росжелдор
10. Пониженная ставка налога на имущество организаций в отношении железнодорожных путей общего пользования Департамент государственной политики в области железнодорожного транспорта
Росжелдор
11. Освобождение от уплаты ввозной таможенной пошлины при ввозе гражданских пассажирских самолетов Департамент государственной политики в области гражданской авиации
Росавиация
12. Освобождение от уплаты ввозной таможенной пошлины при ввозе авиационных двигателей Департамент государственной политики в области гражданской авиации
Росавиация
13. Исключение из состава объектов налогообложения по транспортному налогу пассажирских и грузовых морских, речных и воздушных судов, используемых для перевозок Департамент государственной политики в области морского и внутреннего водного транспорта
Департамент государственной политики в области гражданской авиации
14. Освобождение от уплаты НДС при ввозе авиационных двигателей Департамент государственной политики в области гражданской авиации
Росавиация
15. Освобождение от уплаты ввозной таможенной пошлины гражданских пассажирских самолетов Департамент государственной политики в области гражданской авиации
Росавиация
16. Пониженная ставка НДС при реализации авиационных двигателей, запасных частей и комплектующих изделий Департамент государственной политики в области гражданской авиации
Росавиация
17. Освобождение от уплаты НДС при ввозе гражданских воздушных судов, зарегистрированных в государственном реестре гражданских воздушных судов иностранного государства Департамент государственной политики в области гражданской авиации
Росавиация
18. Пониженная ставка НДС на услуги по внутренним воздушным перевозкам пассажиров и багажа вне территории Московской области и территории г. Москвы Департамент государственной политики в области гражданской авиации
Росавиация
19. Освобождение от уплаты НДС при ввозе гражданских воздушных судов Департамент государственной политики в области гражданской авиации
Росавиация
20. Пониженная ставка НДС при реализации гражданских воздушных судов Департамент государственной политики в области гражданской авиации
Росавиация
21. Пониженная ставка НДС на услуги по передаче гражданских воздушных судов Департамент государственной политики в области гражданской авиации
Росавиация
22. Освобождение от уплаты налога на имущество организаций в отношении федеральных автомобильных дорог общего пользования Департамент государственной политики в области дорожного хозяйства
Росавтодор
23. Исключение из состава объектов налогообложения по налогу на имущество организаций воздушных судов, зарегистрированных в Государственном реестре гражданских воздушных судов Департамент государственной политики в области гражданской авиации
Росавиация
24. Исключение из состава объектов налогообложения по транспортному налогу воздушных судов, зарегистрированных в Государственном реестре гражданских воздушных судов Департамент государственной политики в области гражданской авиации
Росавиация