Приказ Минприроды РФ от 30.06.2023 N 411

"Об утверждении Методических рекомендаций по заполнению формы отчета об организации и о результатах осуществления производственного экологического контроля"
Редакция от 30.06.2023 — Действует с 30.06.2023

МИНИСТЕРСТВО ПРИРОДНЫХ РЕСУРСОВ И ЭКОЛОГИИ РОССИЙСКОЙ ФЕДЕРАЦИИ

ПРИКАЗ
от 30 июня 2023 г. N 411

ОБ УТВЕРЖДЕНИИ МЕТОДИЧЕСКИХ РЕКОМЕНДАЦИЙ ПО ЗАПОЛНЕНИЮ ФОРМЫ ОТЧЕТА ОБ ОРГАНИЗАЦИИ И О РЕЗУЛЬТАТАХ ОСУЩЕСТВЛЕНИЯ ПРОИЗВОДСТВЕННОГО ЭКОЛОГИЧЕСКОГО КОНТРОЛЯ

В соответствии с пунктом 8 статьи 67 Федерального закона от 10 января 2002 г. N 7-ФЗ "Об охране окружающей среды" и подпунктом 5.2.43 пункта 5 Положения о Министерстве природных ресурсов и экологии Российской Федерации, утвержденного постановлением Правительства Российской Федерации от 11 ноября 2015 г. N 1219, приказываю:

1. Утвердить Методические рекомендации по заполнению формы отчета об организации и о результатах осуществления производственного экологического контроля согласно приложению к настоящему приказу.

2. Настоящий приказ вступает в силу с момента признания утратившим силу приказа Минприроды России от 16 октября 2018 г. N 522 "Об утверждении методических рекомендаций по заполнению формы отчета об организации и о результатах осуществления производственного экологического контроля, в том числе в форме электронного документа, подписанного усиленной квалифицированной электронной подписью" (признан Минюстом России не нуждающимся в государственной регистрации, письмо Минюста России от 29 декабря 2018 г. N 01/171702-ЮЛ).

Министр
А.А. КОЗЛОВ

УТВЕРЖДЕНЫ
приказом Минприроды России
от 30.06.2023 N 411

МЕТОДИЧЕСКИЕ РЕКОМЕНДАЦИИ ПО ЗАПОЛНЕНИЮ ФОРМЫ ОТЧЕТА ОБ ОРГАНИЗАЦИИ И О РЕЗУЛЬТАТАХ ОСУЩЕСТВЛЕНИЯ ПРОИЗВОДСТВЕННОГО ЭКОЛОГИЧЕСКОГО КОНТРОЛЯ

1. Настоящие Методические рекомендации по заполнению формы отчета об организации и о результатах осуществления производственного экологического контроля (далее - Методические рекомендации, форма Отчета, соответственно) предназначены для юридических лиц и индивидуальных предпринимателей, осуществляющих хозяйственную и (или) иную деятельность на объектах I, II и III категорий (далее - респонденты), в соответствии с критериями отнесения объектов, оказывающих негативное воздействие на окружающую среду (далее - объект), к объектам I, II, III, IV категорий, утвержденными постановлением Правительства Российской Федерации от 31 декабря 2020 г. N 2398.

2. Целью Методических рекомендаций является формирование единого подхода к заполнению формы Отчета.

3. При заполнении респондентом таблицы 1.1 "Общие сведения" формы Отчета рекомендуется обратить внимание на следующее:

в строке 1 рекомендуется указывать полное наименование в соответствии с учредительными документами, зарегистрированными в установленном порядке, а затем в скобках - сокращенное наименование (при наличии) - для юридических лиц, фамилию, имя, отчество (при наличии) - для индивидуального предпринимателя;

в строке 2 рекомендуется указывать наименование субъекта Российской Федерации, адрес юридического лица, место жительства индивидуального предпринимателя, с указанием почтового индекса;

в графе 3 рекомендуется указывать полностью фамилию, имя, отчество (при наличии), код города, рабочий телефон, факс, адрес электронной почты руководителя юридического лица. Строка 3 предполагается к заполнению только юридическими лицами;

в строке 4 рекомендуется указывать подразделения респондента и (или) полностью фамилию, имя, отчество (при наличии), код города, рабочий телефон, факс, адрес электронной почты лиц, ответственных за осуществление производственного экологического контроля;

в графе 5 рекомендуется указывать идентификационный номер налогоплательщика респондента;

в графе 6 рекомендуется указывать основной государственный регистрационный номер в Едином государственном реестре юридических лиц или в Едином государственном реестре индивидуальных предпринимателей соответственно;

в графе 7 рекомендуется указывать наименование объекта, на котором респондент осуществляет хозяйственную и (или) иную деятельность;

в графе 8 адрес места нахождения объекта, на котором респондент осуществляет хозяйственную и (или) иную деятельность, рекомендуется указывать согласно свидетельству о постановке на государственный учет объекта, выдаваемому респонденту, осуществляющему хозяйственную и (или) иную деятельность на указанном объекте, в соответствии с пунктом 4 статьи 69.2 Федерального закона от 10 января 2002 г. N 7-ФЗ "Об охране окружающей среды" (далее - Закон N 7-ФЗ);

в графе 9 код объекта рекомендуется указывать согласно свидетельству о постановке на государственный учет объекта, выдаваемому респонденту, осуществляющему хозяйственную и (или) иную деятельность на указанном объекте, в соответствии с пунктом 4 статьи 69.2 Закона N 7-ФЗ;

в графе 10 категорию объекта рекомендуется указывать согласно свидетельству о постановке на государственный учет объектов, выдаваемому респонденту, осуществляющему хозяйственную и (или) иную деятельность на указанном объекте, в соответствии с пунктом 4 статьи 69.2 Закона N 7-ФЗ.

4. При заполнении респондентом таблицы 1.2 "Сведения о применяемых на объекте технологиях" формы Отчета рекомендуется обратить внимание на следующее:

таблица предполагается к заполнению респондентом, осуществляющим хозяйственную и (или) иную деятельность на объекте I категории, II категории (в случае получения комплексного экологического разрешения);

в графе 1 рекомендуется указывать номер по порядку;

в графах 2 и 3 рекомендуется указывать соответственно номер и наименование структурного подразделения (площадка, цех или другое), в случае его наличия, в котором применена технология;

в графе 4 рекомендуется указывать наименование применяемой технологии;

в графе 5 рекомендуется указывать, соответствует или не соответствует применяемая на объекте технология наилучшей доступной технологии, указанной в информационно-технических справочниках по наилучшим доступным технологиям, применяемым в отнесенных к областям применения наилучших доступных технологий видах хозяйственной и (или) иной деятельности <1>.

<1> Перечень областей применения наилучших доступных технологий утвержден распоряжением Правительства Российской Федерации от 24 декабря 2014 г. N 2674-р.

5. При заполнении респондентом таблицы 1.3 "Сведения о собственных и (или) привлекаемых испытательных лабораториях (центрах), аккредитованных в соответствии с законодательством Российской Федерации об аккредитации в национальной системе аккредитации" формы Отчета рекомендуется обратить внимание на следующее:

в графе 1 рекомендуется указывать номер по порядку;

в графе 2 рекомендуется указывать наименование собственных и (или) привлекаемых испытательных лабораторий (центров);

в графе 3 рекомендуется указывать адрес собственных и (или) привлекаемых испытательных лабораторий (центров);

в графе 4 рекомендуется указывать реквизиты аттестата аккредитации (номер, дата выдачи, наименование национального органа по аккредитации, выдавшего аттестат аккредитации) собственных и (или) привлекаемых испытательных лабораторий (центров).

6. При заполнении респондентом таблицы 2.1 "Перечень загрязняющих веществ, включенных в план-график контроля стационарных источников выбросов" формы Отчета рекомендуется обратить внимание на следующее:

таблица предполагается к заполнению респондентом в случае, если Программой производственного экологического контроля предусмотрено проведение контроля стационарных источников выбросов;

в графе 1 рекомендуется указывать номер по порядку;

в графе 2 рекомендуется указывать наименование загрязняющего вещества в соответствии с разделом I "Для атмосферного воздуха" Перечня загрязняющих веществ, в отношении которых применяются меры государственного регулирования в области охраны окружающей среды, утвержденного распоряжением Правительства Российской Федерации от 8 июля 2015 г. N 1316-р (далее - Перечень загрязняющих веществ).

7. При заполнении респондентом таблицы 2.2 "Результаты контроля стационарных источников выбросов загрязняющих веществ в атмосферный воздух" формы Отчета рекомендуется обратить внимание на следующее:

таблица предполагается к заполнению респондентом в случае, если Программой производственного экологического контроля предусмотрено проведение контроля стационарных источников выбросов;

в графе 1 рекомендуется указывать номер по порядку;

в графах 2 и 3 рекомендуется указывать соответственно номер и наименование структурного подразделения (площадка, цех или другое), в случае его наличия, согласно плану-графику контроля стационарных источников выбросов, указанному в Программе производственного экологического контроля;

в графах 4 и 5 рекомендуется указывать соответственно номер и наименование источника выбросов загрязняющих веществ в атмосферный воздух согласно плану-графику контроля стационарных источников выбросов, указанному в Программе производственного экологического контроля;

в графе 6 рекомендуется указывать наименование загрязняющего вещества в соответствии с разделом I "Для атмосферного воздуха" Перечня загрязняющих веществ;

в графе 7 рекомендуется указывать значения предельно допустимых выбросов загрязняющих веществ в атмосферный воздух (нормативов допустимых выбросов), установленных в соответствии с Положением о предельно допустимых выбросах, временно разрешенных выбросах, предельно допустимых нормативах вредных физических воздействий на атмосферный воздух и разрешениях на выбросы загрязняющих веществ в атмосферный воздух, утвержденным постановлением Правительства Российской Федерации от 9 декабря 2020 г. N 2055, или значения временно согласованных выбросов загрязняющего вещества в атмосферный воздух (грамм в секунду), установленных в соответствии Правилами выдачи разрешений на временные выбросы, утвержденными постановлением Правительства Российской Федерации от 31 мая 2021 г. N 828;

в графе 8 рекомендуется указывать фактические значения выбросов загрязняющих веществ в атмосферный воздух (грамм в секунду) по результатам лабораторных исследований или значения, полученные расчетным методом контроля;

в графе 9 рекомендуется указывать превышение (в раз) установленных предельно допустимых выбросов или временно согласованных выбросов загрязняющего вещества в атмосферный воздух, которое рассчитывается как отношение показателя графы 8 к показателю графы 7;

в графе 10 рекомендуется указывать дату отбора проб или дату проведения контроля расчетным методом;

в графе 11 рекомендуется указывать общее количество случаев превышения предельно допустимых выбросов, временно согласованных выбросов в целом по объекту по всем источникам выбросов и выбрасываемым ими загрязняющим веществам. Графу 11 рекомендуется заполнять один раз по итогам отчетного года;

в графе 12 в случае проведения контроля расчетным методом рекомендуется отметить, что объем выбросов определен расчетным методом с указанием использованной методики расчета выбросов загрязняющих веществ в атмосферный воздух по каждому веществу, а также указать методику, согласно которой проводились измерения (расчеты). При необходимости, может быть указана дополнительная (справочная) информация по теме в произвольной форме. Например, могут быть указаны причины превышения установленных предельно допустимых выбросов или временно согласованных выбросов загрязняющего вещества в атмосферный воздух.

8. При заполнении респондентом таблицы 2.3 "Перечень загрязняющих веществ, включенных в план-график проведения наблюдений за загрязнением атмосферного воздуха" <2> формы Отчета рекомендуется обратить внимание на следующее:

<2> Для объектов, включенных в перечень, предусмотренный пунктом 3 статьи 23 Федерального закона от 4 мая 1999 г. N 96-ФЗ "Об охране атмосферного воздуха".

в графе 1 рекомендуется указывать номер по порядку;

в графе 2 рекомендуется указывать наименование загрязняющего вещества в соответствии с разделом I "Для атмосферного воздуха" Перечня загрязняющих веществ.

9. При заполнении респондентом таблицы 2.4 "Результаты наблюдений за загрязнением атмосферного воздуха" <3> формы Отчета рекомендуется обратить внимание на следующее:

<3> Для объектов, включенных в перечень, предусмотренный пунктом 3 статьи 23 Федерального закона от 4 мая 1999 г. N 96-ФЗ "Об охране атмосферного воздуха".

в графе 1 рекомендуется указывать номер по порядку;

в графе 2 рекомендуется указывать номер места пункта наблюдения в соответствии с планом-графиком проведения наблюдений за загрязнением атмосферного воздуха, указанным в Программе производственного экологического контроля;

в графе 3 рекомендуется указывать адреса пунктов наблюдений, размещенных в пределах населенных пунктов. Для пунктов наблюдений, размещенных вне населенных пунктов, в графе 3 допускается ставить прочерк;

в графе 4 рекомендуется указывать координаты места нахождения пункта наблюдения в системе координат, используемой для ведения Единого государственного реестра недвижимости;

в графе 5 рекомендуется указывать наименование загрязняющего вещества в соответствии с разделом I "Для атмосферного воздуха" Перечня загрязняющих веществ;

в графе 6 рекомендуется указывать количество месяцев (с указанием их названий), в которые проводились наблюдения;

в графе 7 рекомендуется указывать периодичность отбора проб атмосферного воздуха в соответствии с планом-графиком проведения наблюдений за загрязнением атмосферного воздуха, предусмотренным в Программе производственного экологического контроля, с указанием количества раз отбора проб в год, месяц, сутки;

в графе 8 рекомендуется указывать количество случаев нарушений периодичности отбора проб за год с указанием дат таких нарушений;

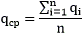
в графе 9 рекомендуется указывать среднегодовую концентрацию загрязняющего вещества (мг/м3), которую рекомендуется определять по формуле:

,

где:

(мг/м3) - среднегодовая концентрация загрязняющего вещества;

(мг/м3) - разовая концентрация загрязняющего вещества;

n - количество наблюдений за год;

в графе 10 рекомендуется указывать максимальную разовую концентрацию загрязняющего вещества (мг/м3), наблюдаемую в пункте наблюдения за год;

в графе 11 рекомендуется указывать максимальную разовую предельно допустимую концентрацию загрязняющего вещества (далее - ) (мг/м3);

в графе 12 рекомендуется указывать среднесуточную предельно допустимую концентрацию загрязняющего вещества (далее - ) (мг/м3);

в графе 13 рекомендуется указывать процент случаев превышения в размере менее или равном 10 по результатам инструментального контроля. В случае отсутствия для загрязняющего вещества рекомендуется указывать процент случаев превышения в размере менее или равном 10 ;

в графе 14 рекомендуется указывать процент случаев превышения , в размере более 10 по результатам инструментального контроля. В случае отсутствия для загрязняющего вещества рекомендуется указывать процент случаев превышения в размере более 10 ;

в графе 15 рекомендуется указывать используемые методы определения концентраций загрязняющих веществ в атмосферном воздухе, а также, при необходимости, дополнительную (справочную) информацию по теме в произвольной форме. Например, могут быть указаны причины превышения или .

10. При заполнении респондентом таблицы 2.5 "Сведения об утвержденных квотах выбросов, о соответствии выбросов на квотируемых объектах таким квотам, в случае, если объект включен в перечень квотируемых объектов в соответствии с пунктом 5 статьи 5 Федерального закона от 26 июля 2019 г. N 195-ФЗ "О проведении эксперимента по квотированию выбросов загрязняющих веществ и внесении изменений в отдельные законодательные акты Российской Федерации в части снижения загрязнения атмосферного воздуха" (далее - Закон N 195-ФЗ), и установления для такого объекта квот выбросов в соответствии с пунктом 7 статьи 5 Закона N 195-ФЗ" формы Отчета рекомендуется обратить внимание на следующее:

в графе 1 рекомендуется указывать номер по порядку;

в графе 2 и 3 рекомендуется указывать номер и наименование структурного подразделения квотируемого объекта (площадка, цех, другое);

в графе 4 и 5 рекомендуется указывать номера и наименования источников выбросов загрязняющих веществ с указанием параметров таких источников (высота, длина и ширина), при наличии устья источника выбросов - вид и размеры (высота и диаметр), расположение источника, скорость и температуру выхода газовоздушной смеси;

в графе 6 рекомендуется указывать наименование приоритетного загрязняющего вещества, для которого установлена квота выбросов, в том числе в соответствии с наименованием загрязняющего вещества, указанного в разделе I "Для атмосферного воздуха" Перечня загрязняющих веществ;

в графе 7 и 8 рекомендуется указывать фактические значения выбросов загрязняющих веществ в атмосферный воздух по результатам лабораторных исследований или значения, полученные расчетным методом контроля;

в графе 9 и 10 рекомендуется указывать квоты выбросов, утвержденные в соответствии с Правилами квотирования выбросов загрязняющих веществ (за исключением радиоактивных веществ) в атмосферный воздух, утвержденными приказом Минприроды России от 29 ноября 2019 г. N 814 (зарегистрирован Минюстом России 24 декабря 2019 г., регистрационный N 56956) (максимально разовые выбросы (грамм в секунду), валовые (годовые) выбросы (тонн/год));

в графе 11 и 12 рекомендуется указывать соответствие выбросов загрязняющих веществ на квотируемых объектах установленным квотам выбросов, в случае превышения рекомендуется указывать во сколько раз превышены квоты выбросов загрязняющих веществ.

11. При заполнении респондентом таблицы 2.6 "Сведения о реализации планов мероприятий по достижению квот выбросов, в случае, если объект включен в перечень квотируемых объектов в соответствии с пунктом 5 статьи 5 Закона N 195-ФЗ, и установления для такого объекта квот выбросов в соответствии с пунктом 7 статьи 5 Закона N 195-ФЗ" формы Отчета рекомендуется обратить внимание на следующее:

в графе 1 рекомендуется указывать номер по порядку;

в графе 2 рекомендуется указывать наименование мероприятий по достижению квот выбросов;

в графе 3 и 4 рекомендуется указывать номер и наименование квотируемого источника выбросов загрязняющих веществ и структурного подразделения квотируемого объекта (цеха, участка);

в графе 5 рекомендуется указывать срок начала и завершения мероприятия по достижению квот выбросов, этапов такого мероприятия согласно плану мероприятий по достижению квот выбросов, утвержденному юридическими лицами или индивидуальными предпринимателями, осуществляющими хозяйственную и (или) иную деятельность на квотируемых объектах;

в графе 6 и 7 рекомендуется указывать данные о выбросах загрязняющих веществ (планируемые и фактические) до мероприятия и после его выполнения;

в графе 8 рекомендуется указывать организацию (юридическое лицо или индивидуального предпринимателя) и ответственное лицо, являющееся исполнителем мероприятия по достижению квот выбросов;

в графе 9 рекомендуется указывать сумму выделенных и освоенных средств (тыс. руб.) на выполнение мероприятия по достижению квот выбросов;

в графе 10 рекомендуется указывать информацию о результатах выполнения мероприятия по достижению квот выбросов, отдельных этапов мероприятия;

в графе 11 рекомендуется указывать, обеспечено ли достижение квот выбросов в результате выполнения мероприятия.

12. При заполнении респондентом таблицы 3.1 "Сведения о результатах учета объема забора (изъятия) водных ресурсов из водных объектов и объема сброса сточных, в том числе дренажных, вод, их качества" формы Отчета рекомендуется обратить внимание на следующее:

таблица предполагается к заполнению респондентом в случае, если Программой производственного экологического контроля предусмотрено проведение мероприятий по учету объема забора (изъятия) водных ресурсов из водных объектов и объема сброса сточных, в том числе дренажных, вод, их качества;

в графе 1 рекомендуется указывать реквизиты письма (номер (при наличии) и дата), которым направлены сведения, полученные в результате учета забора (изъятия) водных ресурсов из водных объектов и сброса сточных, в том числе дренажных, вод, их качества, в соответствии с пунктом 24 Порядка ведения собственниками водных объектов и водопользователями учета объема забора (изъятия) водных ресурсов из водных объектов и объема сброса сточных, в том числе дренажных, вод, их качества, утвержденного приказом Минприроды России от 9 ноября 2020 г. N 903 (зарегистрирован Минюстом России 18 декабря 2020 г., регистрационный N 61582);

в графе 2 рекомендуется указывать территориальный орган Росводресурсов, в который направлены результаты учета забора (изъятия) водных ресурсов и сброса сточных, в том числе дренажных, вод, их качества;

графа 3 предполагается к заполнению респондентом в случае использования одного и того же водного объекта для забора воды и для сброса сточных вод;

в графе 3 рекомендуется указывать количество загрязняющих веществ, содержащихся в забранной (изъятой) воде из водного объекта (по каждому контролируемому загрязняющему веществу) (тонн/год).

13. При заполнении респондентом таблицы 3.2 "Сведения о результатах наблюдения за водными объектами (их морфометрическими особенностями) и их водоохранными зонами, а также о результатах учета качества поверхностных вод в местах сброса сточных, в том числе дренажных, вод, выше и ниже мест сброса (в фоновом и контрольном створах)" формы Отчета рекомендуется обратить внимание на следующее:

таблица предполагается к заполнению респондентом в случае, если Программой производственного экологического контроля предусмотрено ведение регулярных наблюдений за водными объектами (их морфометрическими особенностями) и их водоохранными зонами, а также проведение измерений качества сточных и (или) дренажных вод;

графу 1 допускается не заполнять (ставить прочерк);

графу 2 допускается не заполнять (ставить прочерк);

в графе 3 рекомендуется указывать реквизиты письма (номер (при наличии) и дата), которым направлены сведения о результатах наблюдения за водными объектами (их морфометрическими особенностями) и их водоохранными зонами, в соответствии с приказом МПР России от 6 февраля 2008 г. N 30 "Об утверждении форм и порядка представления сведений, полученных в результате наблюдений за водными объектами, заинтересованными федеральными органами исполнительной власти, собственниками водных объектов и водопользователями" (зарегистрирован Минюстом России 23 апреля 2008 г., регистрационный N 11588), с изменениями, внесенными приказами Минприроды России от 13 апреля 2012 г. N 105 (зарегистрирован Минюстом России 28 мая 2012 г., регистрационный N 24346), от 30 марта 2015 г. N 153 (зарегистрирован Минюстом России 17 апреля 2015 г., регистрационный N 36911) (далее - Приказ МПР России N 30);

в графе 4 рекомендуется указывать территориальный орган Росводресурсов, в который направлены сведения о результатах наблюдения за водными объектами (их морфометрическими особенностями) и их водоохранными зонами, в соответствии с Приказом МПР России N 30.

14. При заполнении респондентом таблицы 3.3 "Результаты проведения проверок работы очистных сооружений, включая результаты технологического контроля эффективности работы очистных сооружений на всех этапах и стадиях очистки сточных вод и обработки осадков" формы Отчета рекомендуется обратить внимание на следующее:

таблица предполагается к заполнению респондентом в случае, если Программой производственного экологического контроля предусмотрено проведение проверок работы очистных сооружений;

в графе 1 рекомендуется указывать номер по порядку;

в графе 2 рекомендуется указывать тип очистного сооружения, которое осуществляет очистку сточных, в том числе дренажных, вод. Тип очистного сооружения рекомендуется указывать по последней стадии очистки сточных, в том числе дренажных, вод;

в графе 3 рекомендуется указывать год ввода в эксплуатацию очистного сооружения, указанного в графе 2;

в графе 4 рекомендуется указывать сведения о стадиях очистки сточных, в том числе дренажных, вод (механическая очистка, биологическая очистка, физико-химическая очистка и др.), с указанием сооружений очистки сточных, в том числе дренажных, вод, относящихся к каждой стадии;

в графе 5 рекомендуется указывать проектный объем сброса сточных, в том числе дренажных, вод, в сутки и в год (тыс. м3/сут, тыс. м3/квартал (при наличии в проектной документации), тыс. м3/год);

в графе 6 рекомендуется указывать допустимый объем сброса сточных, в том числе дренажных, вод, в сутки и в год, в соответствии с разрешительным документом на право пользования водным объектом (тыс. м3/сут (при наличии в разрешительном документе), тыс. м3/квартал (при наличии в разрешительном документе), тыс. м3/год);

в графе 7 рекомендуется указывать фактический объем сброса сточных, в том числе дренажных, вод, за часть календарного года проверки (среднесуточный (при наличии в разрешительном документе, тыс. м3/сут)), поквартальный (при наличии в разрешительном документе, тыс. м3/квартал) и за год, предшествующий календарному году проверки работы очистного сооружения (тыс. м3/год);

в графе 8 рекомендуется указывать наименование загрязняющего вещества или микроорганизма в соответствии с разрешением на сбросы веществ и микроорганизмов в водные объекты;

в графе 9 рекомендуется указывать дату контроля (дату отбора проб) из протокола исследований (испытаний) и измерений;

в графе 10 рекомендуется указывать проектное содержание загрязняющего вещества на выпуске сточных, в том числе дренажных, вод (мг/дм3). В случае если проектом строительства (реконструкции) очистных сооружений не предусмотрена очистка по каким-либо загрязняющим веществам, в графе 10 рекомендуется ставить прочерк;

в графе 11 рекомендуется указывать допустимое содержание вещества на выпуске сточных, в том числе дренажных, вод (мг/дм3) в соответствии с разрешением на сбросы веществ и микроорганизмов в водные объекты;

в графе 12 рекомендуется указывать фактическое содержание загрязняющего вещества на выпуске сточных, в том числе дренажных, вод (мг/дм3) после очистки на очистном сооружении по результатам лабораторных исследований, в соответствии с протоколом исследований (испытаний) и измерений;

в графе 13 рекомендуется указывать проектное содержание микроорганизмов на выпуске сточных, в том числе дренажных, вод. В случае если проектом строительства (реконструкции) очистных сооружений не предусмотрена очистка (обеззараживание) по каким-либо микроорганизмам, в графе 13 рекомендуется ставить прочерк;

в графе 14 рекомендуется указывать допустимое содержание микроорганизмов в сбрасываемых сточных, в том числе дренажных, водах в соответствии с разрешением на сбросы веществ и микроорганизмов в водные объекты;

в графе 15 рекомендуется указывать фактическое содержание микроорганизмов в сбрасываемых сточных, в том числе дренажных, водах после очистки, по результатам лабораторных исследований, в соответствии с протоколом исследований (испытаний) и измерений;

в графе 16 рекомендуется указывать проектное значение эффективности очистки сточных, в том числе дренажных, вод на очистном сооружении;

в графе 17 рекомендуется указывать фактическое значение эффективности очистки сточных, в том числе дренажных, вод на очистном сооружении.

Фактическое значение эффективности очистки сточных, в том числе дренажных, вод на очистных сооружениях рекомендуется определять по формуле:

,

где:

Эф - эффективность работы очистных сооружений (%);

- концентрация загрязняющего вещества (мг/дм3) или содержание микроорганизмов в объеме сточных, в том числе дренажных, вод до очистки;

- концентрация загрязняющего вещества (мг/дм3) или содержание микроорганизмов в объеме сточных, в том числе дренажных, вод после очистки.

В случае если проектом строительства (реконструкции) очистных сооружений не предусмотрена очистка по каким-либо загрязняющим веществам и (или) микроорганизмам, в графе 16 рекомендуется ставить прочерк, в графе 17 - указывать значение, определенное по формуле, приведенной в настоящем пункте Методических рекомендаций.

В таблицу 3.3 "Результаты проведения проверок работы очистных сооружений, включая результаты технологического контроля эффективности работы очистных сооружений на всех этапах и стадиях очистки сточных вод и обработки осадков" формы Отчета рекомендуется включать информацию об очистных сооружениях, после которых сточные, в том числе дренажные, воды сбрасываются в водный объект.

15. При заполнении таблицы 4.1 "Сведения о результатах мониторинга состояния и загрязнения окружающей среды на территории объекта размещения отходов и в пределах его воздействия на окружающую среду" формы Отчета рекомендуется обратить внимание на следующее:

в графе 1 рекомендуется указывать реквизиты письма (номер (при наличии) и дата), которым направлен отчет о результатах мониторинга состояния и загрязнения окружающей среды на территории объекта размещения отходов и в пределах его воздействия на окружающую среду (далее - отчет о результатах мониторинга) в соответствии с Порядком проведения собственниками объектов размещения отходов, а также лицами, во владении или в пользовании которых находятся объекты размещения отходов, мониторинга состояния и загрязнения окружающей среды на территориях объектов размещения отходов и в пределах их воздействия на окружающую среду, утвержденным приказом Минприроды России от 8 декабря 2020 г. N 1030 (зарегистрирован Минюстом России 25 декабря 2020 г., регистрационный N 61832) (далее - Порядок мониторинга);

в графе 2 рекомендуется указывать наименование территориального органа Росприроднадзора, в который был направлен отчет о результатах мониторинга в соответствии с Порядком мониторинга.

16. При заполнении таблицы 4.2 "Сведения об образовании, утилизации, обезвреживании, размещении отходов производства и потребления за отчетный год 20__ год" формы Отчета рекомендуется обратить внимание на следующее:

в графе 1 рекомендуется указывать номер по порядку;

в графе 2 рекомендуется указывать наименования видов отходов, подлежащих учету в соответствии с Порядком учета в области обращения с отходами, утвержденным приказом Минприроды России от 8 декабря 2020 г. N 1028 (зарегистрирован Минюстом России 24 декабря 2020 г., регистрационный N 61782) (далее - Порядок учета отходов);

в графе 3 рекомендуется указывать код вида отхода, указанного в графе 2, в соответствии с Федеральным классификационным каталогом отходов, утвержденным приказом Росприроднадзора от 22 мая 2017 г. N 242 (зарегистрирован Минюстом России 8 июня 2017 г., регистрационный N 47008) (далее - ФККО), при наличии на момент отражения сведений в учете;

в графе 4 рекомендуется указывать класс опасности отхода, в случае, если он установлен для соответствующего вида отхода (не указывается до момента завершения процедуры подтверждения отнесения отхода к конкретному классу опасности в соответствии с Порядком подтверждения отнесения отходов I - V классов опасности к конкретному классу опасности, утвержденным приказом Минприроды России от 8 декабря 2020 г. N 1027 (зарегистрирован Минюстом России 25 декабря 2020 г., регистрационный N 61833) (далее - Порядок подтверждения класса опасности);

в графах 5 и 6 рекомендуется указывать количество отходов (в тоннах) на начало отчетного периода, накопленных в соответствующих местах накопления на отчетную дату или находящихся в объектах хранения отходов;

в графах 7 - 17 рекомендуется указывать количество отходов в тоннах, образованных, полученных от других индивидуальных предпринимателей и юридических лиц, утилизированных, обезвреженных, переданных иным индивидуальным предпринимателям или юридическим лицам, размещенных на объектах размещения отходов в соответствии с данными учета отходов, проводимом в соответствии с Порядком учета отходов;

в графах 18 - 21 рекомендуется раскрывать данные о размещении (хранении и захоронении) отходов на объектах, находящихся в эксплуатации лица, представляющего отчетность (на собственных объектах размещения отходов), или объектах, эксплуатацию которых осуществляют иные лица (на сторонних объектах размещения отходов);

в графах 22 - 23 рекомендуется указывать данные о количестве отходов по данным учета отходов в соответствии с Порядком учета отходов на конец отчетного периода.

17. При заполнении таблицы 4.3 "Сведения о юридических лицах и индивидуальных предпринимателях, от которых получены и (или) которым переданы отходы" формы Отчета рекомендуется обратить внимание на следующее:

указывать данные в соответствии с Порядком учета отходов в соответствии с договорами, предметом которых является получение или передача отходов, вид и класс опасности которых определен в соответствии с установленным Порядком подтверждения класса опасности, том числе:

в графе 1 рекомендуется указывать номер по порядку;

в графе 2 рекомендуется указывать наименования видов отходов, подлежащих учету в соответствии с Порядком учета отходов, полученных от иных юридических лиц и индивидуальных предпринимателей или переданных иным юридическим лицам и индивидуальным предпринимателям (далее - лицо, лица);

в графе 3 рекомендуется указывать код вида отхода, указанного в графе 2, в соответствии с ФККО;

в графе 4 рекомендуется указывать наименование, адрес места нахождения или адрес места жительства, ИНН лиц, от которых получены отходы, указанные в графе 2;

в графе 5 рекомендуется указывать количество полученных отходов от лиц, указанных в графе 4;

в графе 6 рекомендуется указывать цель приема отходов от лиц, указанных в графе 4;

в графе 7 рекомендуется указывать наименование, адрес места нахождения или адрес места жительства, ИНН лица, которому переданы отходы, указанные в графе 2 (информация отражается в случае, когда имел место факт передачи отходов);

в графах 8 - 13 рекомендуется указывать количество отходов, переданных иным лицам, в графах, соответствующих целям передачи (для обработки, утилизации, обезвреживания, размещения) (информация отражается в случае отражения информации в графе 7 данной таблицы).