Постановление Правительства РФ от 28.09.2023 N 1599

"Об утверждении Правил предоставления субсидий из федерального бюджета юридическим лицам, не являющимся государственными (муниципальными) учреждениями, на государственную поддержку развития образования и науки, о внесении изменений в постановление Правительства Российской Федерации от 27 марта 2018 г. N 332, признании утратившими силу постановления Правительства Российской Федерации от 21 сентября 2019 г. N 1233 и отдельных положений некоторых актов Правительства Российской Федерации"
Редакция от 28.09.2023 — Действует с 10.10.2023

ПРАВИТЕЛЬСТВО РОССИЙСКОЙ ФЕДЕРАЦИИ

ПОСТАНОВЛЕНИЕ
от 28 сентября 2023 г. N 1599

ОБ УТВЕРЖДЕНИИ ПРАВИЛ ПРЕДОСТАВЛЕНИЯ СУБСИДИЙ ИЗ ФЕДЕРАЛЬНОГО БЮДЖЕТА ЮРИДИЧЕСКИМ ЛИЦАМ, НЕ ЯВЛЯЮЩИМСЯ ГОСУДАРСТВЕННЫМИ (МУНИЦИПАЛЬНЫМИ) УЧРЕЖДЕНИЯМИ, НА ГОСУДАРСТВЕННУЮ ПОДДЕРЖКУ РАЗВИТИЯ ОБРАЗОВАНИЯ И НАУКИ, О ВНЕСЕНИИ ИЗМЕНЕНИЙ В ПОСТАНОВЛЕНИЕ ПРАВИТЕЛЬСТВА РОССИЙСКОЙ ФЕДЕРАЦИИ ОТ 27 МАРТА 2018 Г. N 332, ПРИЗНАНИИ УТРАТИВШИМИ СИЛУ ПОСТАНОВЛЕНИЯ ПРАВИТЕЛЬСТВА РОССИЙСКОЙ ФЕДЕРАЦИИ ОТ 21 СЕНТЯБРЯ 2019 Г. N 1233 И ОТДЕЛЬНЫХ ПОЛОЖЕНИЙ НЕКОТОРЫХ АКТОВ ПРАВИТЕЛЬСТВА РОССИЙСКОЙ ФЕДЕРАЦИИ

Правительство Российской Федерации постановляет:

1. Утвердить прилагаемые:

Правила предоставления субсидий из федерального бюджета юридическим лицам, не являющимся государственными (муниципальными) учреждениями, на государственную поддержку развития образования и науки;

изменения, которые вносятся в постановление Правительства Российской Федерации от 27 марта 2018 г. N 332 "Об утверждении Правил предоставления субсидий из федерального бюджета на государственную поддержку развития образования и науки и признании утратившим силу постановления Правительства Российской Федерации от 21 марта 2016 г. N 217" (Собрание законодательства Российской Федерации, 2018, N 14, ст. 1981; N 50, ст. 7755; 2019, N 10, ст. 974; N 19, ст. 2312; N 20, ст. 2446; N 29, ст. 4025; N 39, ст. 5432; 2020, N 1, ст. 65; N 2, ст. 202; N 37, ст. 5744; N 52, ст. 8858; 2021, N 16, ст. 2773; N 39, ст. 6710; 2022, N 1, ст. 246).

2. Установить, что действие подпункта "ж" пункта 4 Правил предоставления субсидий из федерального бюджета юридическим лицам, не являющимся некоммерческими организациями, на государственную поддержку развития образования и науки, утвержденных постановлением Правительства Российской Федерации от 27 марта 2018 г. N 332 "Об утверждении Правил предоставления субсидий из федерального бюджета на государственную поддержку развития образования и науки и признании утратившим силу постановления Правительства Российской Федерации от 21 марта 2016 г. N 217" (в редакции настоящего постановления), распространяется на правоотношения, возникшие с 1 января 2023 г.

3. Признать утратившими силу постановление Правительства Российской Федерации от 21 сентября 2019 г. N 1233 "О внесении изменений в постановление Правительства Российской Федерации от 27 марта 2018 г. N 332" (Собрание законодательства Российской Федерации, 2019, N 39, ст. 5432) и отдельные положения актов Правительства Российской Федерации по перечню согласно приложению.

Председатель Правительства
Российской Федерации
М. МИШУСТИН

УТВЕРЖДЕНЫ
постановлением Правительства
Российской Федерации
от 28 сентября 2023 г. N 1599

ПРАВИЛА ПРЕДОСТАВЛЕНИЯ СУБСИДИЙ ИЗ ФЕДЕРАЛЬНОГО БЮДЖЕТА ЮРИДИЧЕСКИМ ЛИЦАМ, НЕ ЯВЛЯЮЩИМСЯ ГОСУДАРСТВЕННЫМИ (МУНИЦИПАЛЬНЫМИ) УЧРЕЖДЕНИЯМИ, НА ГОСУДАРСТВЕННУЮ ПОДДЕРЖКУ РАЗВИТИЯ ОБРАЗОВАНИЯ И НАУКИ

1. Настоящие Правила устанавливают цели, условия и порядок предоставления субсидий из федерального бюджета юридическим лицам, не являющимся государственными (муниципальными) учреждениями, на государственную поддержку развития образования и науки (далее соответственно - получатель субсидии, субсидии).

2. Субсидии предоставляются в пределах лимитов бюджетных обязательств, доведенных в установленном порядке до Министерства науки и высшего образования Российской Федерации как получателя средств федерального бюджета на цели, указанные в пункте 3 настоящих Правил.

Информация о субсидиях размещается на едином портале бюджетной системы Российской Федерации в информационно-телекоммуникационной сети "Интернет" не позднее 15-го рабочего дня, следующего за днем принятия федерального закона о федеральном бюджете (федерального закона о внесении изменений в федеральный закон о федеральном бюджете).

3. Субсидии предоставляются в целях финансового обеспечения расходов, предусмотренных пунктом 4 настоящих Правил, а также в целях возмещения затрат, предусмотренных пунктом 5 настоящих Правил.

4. Субсидии предоставляются получателям субсидии в целях финансового обеспечения расходов на:

а) выплату стипендий Правительства Российской Федерации студентам (курсантам, слушателям) и аспирантам (адъюнктам) организаций, осуществляющих образовательную деятельность, обучающимся по образовательным программам высшего образования по очной форме по специальностям или направлениям подготовки, соответствующим приоритетным направлениям модернизации и технологического развития российской экономики;

б) выплату стипендий Президента Российской Федерации обучающимся по образовательным программам высшего образования, имеющим государственную аккредитацию, по очной форме обучения по специальностям или направлениям подготовки, соответствующим приоритетным направлениям модернизации и технологического развития российской экономики, а также аспирантам (адъюнктам), обучающимся по программам подготовки научных и научно-педагогических кадров в аспирантуре (адъюнктуре) по очной форме обучения по научным специальностям, соответствующим приоритетным направлениям модернизации и технологического развития российской экономики;

в) выплату стипендий Президента Российской Федерации студентам и аспирантам, осваивающим образовательные программы высшего образования в организациях, осуществляющих образовательную деятельность, достигшим выдающихся успехов в учебе и научных исследованиях;

г) выплату стипендий имени Е.Т. Гайдара студентам, имеющим высокие академические достижения, обучающимся по очной форме на экономических факультетах организаций, осуществляющих образовательную деятельность по имеющим государственную аккредитацию образовательным программам высшего образования;

д) выплату стипендий имени А.И. Солженицына студентам, обучающимся по очной форме в организациях Российской Федерации, осуществляющих образовательную деятельность по имеющим государственную аккредитацию образовательным программам высшего образования, достигшим выдающихся успехов в литературном творчестве, политологии и журналистике;

е) выплату стипендий имени Ю.Д. Маслюкова студентам, обучающимся по очной форме в организациях, осуществляющих образовательную деятельность по имеющим государственную аккредитацию образовательным программам высшего образования, обеспечивающим подготовку кадров для организаций оборонно-промышленного комплекса;

ж) выплату стипендий имени В.А. Туманова студентам, обучающимся по очной форме в образовательных организациях высшего образования по имеющим государственную аккредитацию образовательным программам высшего образования по специальности или направлению подготовки "юриспруденция", и аспирантам, обучающимся по очной форме в образовательных организациях высшего образования, организациях дополнительного профессионального образования и научных организациях по программам подготовки научных и научно-педагогических кадров по направлению подготовки "юриспруденция" и научным специальностям "теоретико-исторические правовые науки", "публично-правовые (государственно-правовые) науки", "частно-правовые (цивилистические) науки", "уголовно-правовые науки", "международно-правовые науки";

з) выплату стипендий имени А.А. Вознесенского студентам, обучающимся в организациях, осуществляющих образовательную деятельность по имеющим государственную аккредитацию образовательным программам высшего образования по специальностям или направлениям подготовки в области литературы и журналистики;

и) выплату стипендий имени Д.С. Лихачева студентам образовательных организаций высшего образования, обучающимся за счет бюджетных ассигнований федерального бюджета по образовательным программам высшего образования по очной форме по направлениям подготовки "Культурология" или "Филология";

к) выплату стипендий имени А.А. Собчака студентам образовательных организаций высшего образования, обучающимся за счет бюджетных ассигнований федерального бюджета по образовательным программам высшего образования по очной форме по специальностям или направлениям подготовки, соответствующим укрупненной группе специальностей или направлений подготовки "Юриспруденция";

л) выплату стипендий имени С.П. Королева обучающимся организаций, осуществляющих образовательную деятельность по образовательным программам высшего образования, имеющим значительные достижения в области инженерного дела;

м) оказание организациями, осуществляющими образовательную деятельность, государственных услуг по реализации образовательных программ высшего образования;

н) осуществление организационно-технического и информационного обеспечения проведения конкурсов на предоставление грантов в форме субсидий из федерального бюджета, выделяемых для государственной поддержки научных исследований, проводимых под руководством ведущих ученых в российских образовательных организациях высшего образования, научных учреждениях и государственных научных центрах Российской Федерации, и аналитического обеспечения проведения научных исследований.

5. Субсидия предоставляется получателям субсидии в целях возмещения затрат, понесенных в связи с осуществлением организационно-технического и информационного обеспечения проведения конкурса на определение получателей субсидий из федерального бюджета на развитие кооперации российских образовательных организаций высшего образования, государственных научных учреждений и организаций реального сектора экономики в целях реализации комплексных проектов по созданию высокотехнологичных производств и мониторинга комплексных проектов по созданию высокотехнологичных производств (далее - проекты) в рамках реализации федерального проекта "Развитие интеграционных процессов в сфере науки, высшего образования и индустрии" национального проекта "Наука и университеты" направления (подпрограммы) "Взаимодействие и кооперация. Формирование эффективной системы коммуникации в области науки, технологий и инноваций, повышение восприимчивости экономики и общества к инновациям, развитие наукоемкого бизнеса" государственной программы Российской Федерации "Научно-технологическое развитие Российской Федерации", а также организационно-технического и информационного сопровождения реализации указанных проектов.

6. Получателями субсидии, предоставляемой в целях финансового обеспечения расходов, предусмотренных подпунктом "а" пункта 4 настоящих Правил, являются организации, осуществляющие образовательную деятельность, в которых обучаются обучающиеся, отобранные в порядке, предусмотренном Положением о назначении стипендий Правительства Российской Федерации студентам (курсантам, слушателям) и аспирантам (адъюнктам) организаций, осуществляющих образовательную деятельность, обучающимся по образовательным программам высшего образования по очной форме по специальностям или направлениям подготовки, соответствующим приоритетным направлениям модернизации и технологического развития российской экономики, утвержденным постановлением Правительства Российской Федерации от 3 ноября 2015 г. N 1192 "О стипендиях Правительства Российской Федерации для студентов (курсантов, слушателей) и аспирантов (адъюнктов) организаций, осуществляющих образовательную деятельность, обучающихся по образовательным программам высшего образования по очной форме по специальностям или направлениям подготовки, соответствующим приоритетным направлениям модернизации и технологического развития российской экономики".

Размер субсидии определяется исходя из количества получателей и размера соответствующих стипендий в соответствии с постановлением Правительства Российской Федерации от 3 ноября 2015 г. N 1192 "О стипендиях Правительства Российской Федерации для студентов (курсантов, слушателей) и аспирантов (адъюнктов) организаций, осуществляющих образовательную деятельность, обучающихся по образовательным программам высшего образования по очной форме по специальностям или направлениям подготовки, соответствующим приоритетным направлениям модернизации и технологического развития российской экономики".

Получателями субсидии, предоставляемой в целях финансового обеспечения расходов, предусмотренных подпунктом "б" пункта 4 настоящих Правил, являются организации, осуществляющие образовательную деятельность, в которых обучаются обучающиеся, отобранные в порядке, предусмотренном Положением о назначении и выплате стипендий Президента Российской Федерации обучающимся по образовательным программам высшего образования, имеющим государственную аккредитацию, по очной форме обучения по специальностям или направлениям подготовки, соответствующим приоритетным направлениям модернизации и технологического развития российской экономики, а также аспирантам (адъюнктам), обучающимся по программам подготовки научных и научно-педагогических кадров в аспирантуре (адъюнктуре) по очной форме обучения по научным специальностям, соответствующим приоритетным направлениям модернизации и технологического развития российской экономики, утвержденным постановлением Правительства Российской Федерации от 27 августа 2016 г. N 854 "Об утверждении Положения о назначении и выплате стипендий Президента Российской Федерации обучающимся по образовательным программам высшего образования, имеющим государственную аккредитацию, по очной форме обучения по специальностям или направлениям подготовки, соответствующим приоритетным направлениям модернизации и технологического развития российской экономики, а также аспирантам (адъюнктам), обучающимся по программам подготовки научных и научно-педагогических кадров в аспирантуре (адъюнктуре) по очной форме обучения по научным специальностям, соответствующим приоритетным направлениям модернизации и технологического развития российской экономики".

Размер субсидии определяется исходя из количества получателей и размера соответствующих стипендий в соответствии с Указом Президента Российской Федерации от 14 сентября 2011 г. N 1198 "О стипендиях Президента Российской Федерации для студентов и аспирантов, обучающихся по направлениям подготовки (специальностям), соответствующим приоритетным направлениям модернизации и технологического развития российской экономики".

Получателями субсидии, предоставляемой в целях финансового обеспечения расходов, предусмотренных подпунктом "в" пункта 4 настоящих Правил, являются организации, осуществляющие образовательную деятельность, в которых обучаются обучающиеся, отобранные в порядке, предусмотренном Положением о стипендиях Президента Российской Федерации, утвержденным распоряжением Президента Российской Федерации от 6 сентября 1993 г. N 613-рп, с учетом положений Указа Президента Российской Федерации от 14 февраля 2010 г. N 182 "О стипендиях Президента Российской Федерации для студентов, аспирантов, адъюнктов, слушателей и курсантов образовательных учреждений высшего профессионального образования".

Размер субсидии определяется исходя из количества получателей стипендии и размера соответствующих стипендий в соответствии с Указом Президента Российской Федерации от 14 февраля 2010 г. N 182 "О стипендиях Президента Российской Федерации для студентов, аспирантов, адъюнктов, слушателей и курсантов образовательных учреждений высшего профессионального образования".

Получателями субсидии, предоставляемой в целях финансового обеспечения расходов, предусмотренных подпунктами "г" - "л" пункта 4 настоящих Правил, являются организации, осуществляющие образовательную деятельность, в которых обучаются обучающиеся, отобранные в порядке, предусмотренном соответственно Положением о назначении стипендий имени Е.Т. Гайдара, утвержденным постановлением Правительства Российской Федерации от 2 сентября 2010 г. N 660 "Об учреждении стипендий имени Е.Т. Гайдара для студентов организаций, осуществляющих образовательную деятельность по образовательным программам высшего образования", Положением о назначении стипендий имени А.И. Солженицына, утвержденным постановлением Правительства Российской Федерации от 23 апреля 2009 г. N 363 "Об учреждении стипендий имени А.И. Солженицына для студентов организаций Российской Федерации, осуществляющих образовательную деятельность по образовательным программам высшего образования", Положением о назначении стипендий имени Ю.Д. Маслюкова, утвержденным постановлением Правительства Российской Федерации от 26 января 2012 г. N 13 "Об учреждении стипендий имени Ю.Д. Маслюкова для студентов образовательных организаций, осуществляющих образовательную деятельность по образовательным программам высшего образования", Положением о назначении стипендий имени В.А. Туманова, утвержденным постановлением Правительства Российской Федерации от 21 марта 2012 г. N 214 "Об учреждении стипендий имени В.А. Туманова для студентов образовательных организаций высшего образования и аспирантов образовательных организаций высшего образования, организаций дополнительного профессионального образования и научных организаций", Положением о назначении стипендий имени А.А. Вознесенского, утвержденным постановлением Правительства Российской Федерации от 20 сентября 2012 г. N 951 "О стипендиях имени А.А. Вознесенского для студентов, обучающихся в организациях, осуществляющих образовательную деятельность по имеющим государственную аккредитацию образовательным программам высшего образования по специальностям или направлениям подготовки в области литературы и журналистики", Правилами назначения стипендий имени Д.С. Лихачева, утвержденными постановлением Правительства Российской Федерации от 18 февраля 2002 г. N 114 "Об учреждении стипендий имени Д.С. Лихачева для студентов образовательных организаций высшего образования", Правилами назначения стипендий имени А.А. Собчака, утвержденными постановлением Правительства Российской Федерации от 22 мая 2002 г. N 329 "Об учреждении стипендий имени А.А. Собчака", Правилами назначения и выплаты стипендий имени С.П. Королева для обучающихся организаций, осуществляющих образовательную деятельность по образовательным программам высшего образования, имеющих значительные достижения в области инженерного дела, утвержденными постановлением Правительства Российской Федерации от 31 декабря 2022 г. N 2567 "Об учреждении стипендий имени С.П. Королева для обучающихся организаций, осуществляющих образовательную деятельность по образовательным программам высшего образования, имеющих значительные достижения в области инженерного дела".

Размер субсидии определяется исходя из количества получателей и размера соответствующих стипендий в соответствии с постановлением Правительства Российской Федерации от 2 сентября 2010 г. N 660 "Об учреждении стипендий имени Е.Т. Гайдара для студентов организаций, осуществляющих образовательную деятельность по образовательным программам высшего образования", постановлением Правительства Российской Федерации от 23 апреля 2009 г. N 363 "Об учреждении стипендий имени А.И. Солженицына для студентов организаций Российской Федерации, осуществляющих образовательную деятельность по образовательным программам высшего образования", постановлением Правительства Российской Федерации от 26 января 2012 г. N 13 "Об учреждении стипендий имени Ю.Д. Маслюкова для студентов образовательных организаций, осуществляющих образовательную деятельность по образовательным программам высшего образования", постановлением Правительства Российской Федерации от 21 марта 2012 г. N 214 "Об учреждении стипендий имени В.А. Туманова для студентов образовательных организаций высшего образования и аспирантов образовательных организаций высшего образования, организаций дополнительного профессионального образования и научных организаций", постановлением Правительства Российской Федерации от 20 сентября 2012 г. N 951 "О стипендиях имени А.А. Вознесенского для студентов, обучающихся в организациях, осуществляющих образовательную деятельность по имеющим государственную аккредитацию образовательным программам высшего образования по специальностям или направлениям подготовки в области литературы и журналистики", постановлением Правительства Российской Федерации от 18 февраля 2002 г. N 114 "Об учреждении стипендий имени Д.С. Лихачева для студентов образовательных организаций высшего образования", постановлением Правительства Российской Федерации от 22 мая 2002 г. N 329 "Об учреждении стипендий имени А.А. Собчака", постановлением Правительства Российской Федерации от 31 декабря 2022 г. N 2567 "Об учреждении стипендий имени С.П. Королева для обучающихся организаций, осуществляющих образовательную деятельность по образовательным программам высшего образования, имеющих значительные достижения в области инженерного дела".

Субсидия в целях финансового обеспечения расходов, предусмотренных подпунктом "м" пункта 4 настоящих Правил, предоставляется организациям, осуществляющим образовательную деятельность, которым установлены контрольные цифры приема по специальностям и направлениям подготовки и (или) укрупненным группам специальностей и направлений подготовки для обучения по имеющим государственную аккредитацию образовательным программам высшего образования, а также по научным специальностям и (или) группам научных специальностей для обучения по программам подготовки научных и научно-педагогических кадров в аспирантуре (адъюнктуре) за счет бюджетных ассигнований федерального бюджета по результатам публичного конкурса в соответствии с частью 3 статьи 100 Федерального закона "Об образовании в Российской Федерации" (далее - контрольные цифры приема).

Порядок проведения указанного конкурса утверждается Министерством науки и высшего образования Российской Федерации в соответствии с пунктом 19 Правил установления организациям, осуществляющим образовательную деятельность, контрольных цифр приема по профессиям, специальностям и направлениям подготовки и (или) укрупненным группам профессий, специальностей и направлений подготовки для обучения по образовательным программам среднего профессионального и высшего образования, а также по группам научных специальностей и (или) научным специальностям для обучения по программам подготовки научных и научно-педагогических кадров в аспирантуре (адъюнктуре) за счет бюджетных ассигнований федерального бюджета, утвержденных постановлением Правительства Российской Федерации от 10 июня 2023 г. N 964 "Об утверждении Правил установления организациям, осуществляющим образовательную деятельность, контрольных цифр приема по профессиям, специальностям и направлениям подготовки и (или) укрупненным группам профессий, специальностей и направлений подготовки для обучения по образовательным программам среднего профессионального и высшего образования, а также по группам научных специальностей и (или) научным специальностям для обучения по программам подготовки научных и научно-педагогических кадров в аспирантуре (адъюнктуре) за счет бюджетных ассигнований федерального бюджета и признании утратившими силу некоторых актов Правительства Российской Федерации".

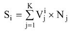
Размер субсидии () в целях финансового обеспечения расходов, предусмотренных подпунктом "м" пункта 4 настоящих Правил, определяется по формуле:

,

где:

К - количество специальностей и направлений подготовки и (или) укрупненных групп специальностей и направлений подготовки, научных специальностей и (или) групп научных специальностей, по которым i-му получателю субсидии установлены контрольные цифры приема;

- численность обучающихся по j-й специальности и направлению подготовки и (или) укрупненным группам специальностей и направлений подготовки, научной специальности и (или) группам научных специальностей, определенная по результатам распределения контрольных цифр приема, установленных i-му получателю субсидии;

- нормативные затраты на реализацию основных профессиональных образовательных программ на единицу государственной услуги по j-й специальности и направлению подготовки и (или) укрупненным группам специальностей и направлений подготовки, научной специальности и (или) группам научных специальностей, реализуемой i-м получателем субсидии, с учетом расходов на стипендиальное обеспечение обучающихся, осуществление публичных обязательств перед физическим лицом, подлежащих исполнению в денежной форме (на социальное обеспечение детей-сирот и детей, оставшихся без попечения родителей, лиц из их числа).

Получатель субсидии, предоставляемой в целях финансового обеспечения расходов, предусмотренных подпунктом "н" пункта 4 настоящих Правил, определяется Министерством науки и высшего образования Российской Федерации по результатам конкурса исходя из наилучших условий достижения результата, в целях достижения которого предоставляется субсидия, проведенного в порядке, предусмотренном Правилами предоставления грантов в форме субсидий из федерального бюджета, выделяемых для государственной поддержки научных исследований, проводимых под руководством ведущих ученых в российских образовательных организациях высшего образования, научных учреждениях и государственных научных центрах Российской Федерации, утвержденными постановлением Правительства Российской Федерации от 8 мая 2019 г. N 576 "О внесении изменений в акты Правительства Российской Федерации и признании утратившими силу некоторых актов Правительства Российской Федерации".

Размер субсидии, предоставляемой в целях финансового обеспечения расходов, предусмотренных подпунктом "н" пункта 4 настоящих Правил, составляет не более 3 процентов размера грантов в форме субсидий из федерального бюджета, выделяемых для государственной поддержки научных исследований, проводимых под руководством ведущих ученых в российских образовательных организациях высшего образования, научных учреждениях и государственных научных центрах Российской Федерации в соответствии с Правилами предоставления грантов, указанными в абзаце семнадцатом настоящего пункта.

7. Получатель субсидии, предоставляемой в целях возмещения затрат, предусмотренных пунктом 5 настоящих Правил, определяется Министерством науки и высшего образования Российской Федерации по результатам отбора исходя из наилучших условий достижения результата, в целях достижения которого предоставляется субсидия, проведенного в порядке, предусмотренном Положением о проведении отбора для определения получателя субсидии из федерального бюджета в целях возмещения затрат, понесенных в связи с осуществлением организационно-технического и информационного обеспечения проведения конкурса на определение получателей субсидий из федерального бюджета на развитие кооперации российских образовательных организаций высшего образования, государственных научных учреждений и организаций реального сектора экономики в целях реализации комплексных проектов по созданию высокотехнологичных производств и мониторинга комплексных проектов по созданию высокотехнологичных производств, а также организационно-технического и информационного сопровождения реализации указанных проектов, утвержденным постановлением Правительства Российской Федерации от 9 апреля 2010 г. N 218 "О мерах государственной поддержки развития кооперации российских образовательных организаций высшего образования, государственных научных учреждений и организаций реального сектора экономики в целях реализации комплексных проектов по созданию высокотехнологичных производств".

Размер субсидии, предоставляемой в целях возмещения затрат, предусмотренных пунктом 5 настоящих Правил, составляет не более 2,5 процента размера субсидии, предоставляемой на развитие кооперации российских образовательных организаций высшего образования, государственных научных учреждений и организаций реального сектора экономики в целях реализации комплексных проектов по созданию высокотехнологичных производств в соответствии с постановлением Правительства Российской Федерации от 9 апреля 2010 г. N 218 "О мерах государственной поддержки развития кооперации российских образовательных организаций высшего образования, государственных научных учреждений и организаций реального сектора экономики в целях реализации комплексных проектов по созданию высокотехнологичных производств".

8. Субсидии предоставляются при условии соответствия получателя субсидии на 1-е число месяца, предшествующего месяцу, в котором планируется заключение соглашения о предоставлении субсидии (далее - соглашение), следующим требованиям:

у получателя субсидии должна отсутствовать неисполненная обязанность по уплате налогов, сборов, страховых взносов, пеней, штрафов, процентов, подлежащих уплате в соответствии с законодательством Российской Федерации о налогах и сборах;

у получателя субсидии должна отсутствовать просроченная задолженность по возврату в федеральный бюджет субсидий, бюджетных инвестиций, предоставленных в том числе в соответствии с иными правовыми актами, и иная просроченная (неурегулированная) задолженность по денежным обязательствам перед Российской Федерацией;

получатель субсидии не должен находиться в процессе реорганизации (за исключением реорганизации в форме присоединения к получателю субсидии другого юридического лица), ликвидации, в отношении его не должна быть введена процедура банкротства, деятельность получателя субсидии не должна быть приостановлена в порядке, предусмотренном законодательством Российской Федерации;

получатель субсидии не должен являться иностранным юридическим лицом, в том числе местом регистрации которого является государство или территория, включенные в утверждаемый Министерством финансов Российской Федерации перечень государств и территорий, используемых для промежуточного (офшорного) владения активами в Российской Федерации, а также российским юридическим лицом, в уставном (складочном) капитале которого доля прямого или косвенного (через третьих лиц) участия указанных иностранных юридических лиц в совокупности превышает 25 процентов;

получатель субсидии не должен получать средства из федерального бюджета в соответствии с иными нормативными правовыми актами Российской Федерации на цели, указанные в пункте 3 настоящих Правил;

в реестре дисквалифицированных лиц должны отсутствовать сведения о дисквалифицированных руководителе, членах коллегиального исполнительного органа, лице, исполняющем функции единоличного исполнительного органа, или главном бухгалтере (при наличии) получателя субсидии;

получатель субсидии не должен находиться в перечне организаций и физических лиц, в отношении которых имеются сведения об их причастности к экстремистской деятельности или терроризму, либо в перечне организаций и физических лиц, в отношении которых имеются сведения об их причастности к распространению оружия массового уничтожения.

9. Для заключения соглашения получатель субсидии представляет в Министерство науки и высшего образования Российской Федерации следующие документы:

справка, подтверждающая отсутствие у получателя субсидии на 1-е число месяца, предшествующего месяцу, в котором планируется заключение соглашения, просроченной задолженности по возврату в федеральный бюджет субсидий, бюджетных инвестиций, предоставленных в том числе в соответствии с иными правовыми актами, а также иной просроченной (неурегулированной) задолженности по денежным обязательствам перед Российской Федерацией;

справка, подтверждающая отсутствие у получателя субсидии на 1-е число месяца, предшествующего месяцу, в котором планируется заключение соглашения, неисполненной обязанности по уплате налогов, сборов, страховых взносов, пеней, штрафов, процентов, подлежащих уплате в соответствии с законодательством Российской Федерации о налогах и сборах (в случае непредставления указанной справки Министерство науки и высшего образования Российской Федерации запрашивает ее в порядке межведомственного информационного взаимодействия с Федеральной налоговой службой);

справка, подтверждающая, что получатель субсидии на 1-е число месяца, предшествующего месяцу, в котором планируется заключение соглашения, не находится в процессе реорганизации (за исключением реорганизации в форме присоединения к получателю субсидии другого юридического лица), ликвидации, в отношении его не введена процедура банкротства, деятельность получателя субсидии не приостановлена в порядке, предусмотренном законодательством Российской Федерации;

справка, подтверждающая, что получатель субсидии на 1-е число месяца, предшествующего месяцу, в котором планируется заключение соглашения, не является иностранным юридическим лицом, в том числе местом регистрации которого является государство или территория, включенные в утверждаемый Министерством финансов Российской Федерации перечень государств и территорий, используемых для промежуточного (офшорного) владения активами в Российской Федерации, а также российским юридическим лицом, в уставном (складочном) капитале которого доля прямого или косвенного (через третьих лиц) участия указанных иностранных юридических лиц в совокупности превышает 25 процентов;

справка, подтверждающая, что получатель субсидии на 1-е число месяца, предшествующего месяцу, в котором планируется заключение соглашения, не получает средства из федерального бюджета в соответствии с иными нормативными правовыми актами Российской Федерации на цели, указанные в пункте 3 настоящих Правил;

справка, подтверждающая, что в реестре дисквалифицированных лиц на 1-е число месяца, предшествующего месяцу, в котором планируется заключение соглашения, отсутствуют сведения о дисквалифицированных руководителе, членах коллегиального исполнительного органа, лице, исполняющем функции единоличного исполнительного органа, или главном бухгалтере (при наличии) получателя субсидии (в случае непредставления указанной справки Министерство науки и высшего образования Российской Федерации запрашивает ее в порядке межведомственного информационного взаимодействия с Федеральной налоговой службой);

справка, подтверждающая, что получатель субсидии на 1-е число месяца, предшествующего месяцу, в котором планируется заключение соглашения, не находится в перечне организаций и физических лиц, в отношении которых имеются сведения об их причастности к экстремистской деятельности или терроризму, либо в перечне организаций и физических лиц, в отношении которых имеются сведения об их причастности к распространению оружия массового уничтожения.

Справки, указанные в абзацах втором - восьмом настоящего пункта, подписываются руководителем (иным уполномоченным лицом), главным бухгалтером (при наличии) или иным должностным лицом, на которое возлагается ведение бухгалтерского учета, получателя субсидии.

10. Субсидии предоставляются на основании соглашений, заключенных между Министерством науки и высшего образования Российской Федерации и получателями субсидии. Соглашения, дополнительные соглашения к соглашениям, в том числе дополнительные соглашения о расторжении соглашений (при необходимости) заключаются в государственной интегрированной информационной системе управления общественными финансами "Электронный бюджет" в соответствии с типовыми формами, утвержденными Министерством финансов Российской Федерации.

Министерство науки и высшего образования Российской Федерации рассматривает документы, указанные в пункте 9 настоящих Правил, в течение 14 рабочих дней со дня их поступления и принимает решение о заключении соглашения либо мотивированное решение об отказе в заключении соглашения по основаниям, предусмотренным пунктом 11 настоящих Правил.

В случае принятия решения об отказе в заключении соглашения документы, указанные в пункте 9 настоящих Правил, возвращаются на доработку с указанием замечаний получателю субсидии в течение 3 рабочих дней со дня принятия соответствующего решения Министерства науки и высшего образования Российской Федерации.

Получатель субсидии при условии устранения замечаний не позднее 10 рабочих дней со дня получения замечаний повторно представляет указанные документы в Министерство науки и высшего образования Российской Федерации.

11. Министерство науки и высшего образования Российской Федерации отказывает получателю субсидии в заключении соглашения по следующим основаниям:

а) несоответствие представленных получателем субсидии документов требованиям, определенным пунктом 9 настоящих Правил, или непредставление (представление не в полном объеме) указанных документов;

б) установление факта недостоверности представленной получателем субсидии информации.

12. Субсидия в целях возмещения затрат, предусмотренная пунктом 5 настоящих Правил, предоставляется на основании соглашения по результатам рассмотрения перечня документов, предусмотренных подпунктом "б" пункта 14 настоящих Правил.

Министерство науки и высшего образования Российской Федерации рассматривает документы, предусмотренные подпунктом "б" пункта 14 настоящих Правил, в течение 14 рабочих дней со дня их поступления и принимает решение о перечислении субсидии либо мотивированное решение об отказе в перечислении субсидии по основаниям, предусмотренным пунктом 20 настоящих Правил.

В случае принятия решения об отказе в перечислении субсидии документы, предусмотренные подпунктом "б" пункта 14 настоящих Правил, возвращаются на доработку с указанием замечаний получателю субсидии в течение 3 рабочих дней со дня принятия соответствующего решения Министерством науки и высшего образования Российской Федерации.

Получатель субсидии при условии устранения замечаний не позднее 10 рабочих дней со дня получения замечаний повторно представляет в Министерство науки и высшего образования Российской Федерации указанные документы.

13. В соглашения, заключаемые в целях предоставления субсидий в целях финансового обеспечения расходов, предусмотренных пунктом 4 настоящих Правил, включаются в том числе следующие положения:

а) значения результатов предоставления субсидии, указанных в подпунктах "а" - "в" пункта 15 настоящих Правил;

б) направления расходов, источником финансового обеспечения которых является субсидия;

в) положение, определяющее, что субсидия перечисляется получателю субсидии не позднее 2-го рабочего дня после представления в территориальный орган Федерального казначейства получателем субсидии распоряжения о совершении казначейских платежей для оплаты денежного обязательства получателя субсидии;

г) условие о запрете приобретения получателем субсидии, а также иными юридическими лицами, получающими средства на основании договоров (соглашений), заключенных с получателями субсидий, за счет полученных из федерального бюджета средств иностранной валюты, за исключением операций, осуществляемых в соответствии с валютным законодательством Российской Федерации при закупке (поставке) высокотехнологичного импортного оборудования, сырья и комплектующих изделий.

В соглашения о предоставлении субсидий, предусмотренных подпунктом "н" пункта 4 настоящих Правил, включается условие о запрете приобретения получателем субсидии, а также иными юридическими лицами, получающими средства на основании договоров (соглашений), заключенных с получателем субсидии, за счет полученных из федерального бюджета средств иностранной валюты, за исключением операций, осуществляемых в соответствии с валютным законодательством Российской Федерации и связанных с достижением результата предоставления субсидии при оплате услуг иностранных экспертов, привлекаемых для проведения научной экспертизы заявок на участие в конкурсе;

д) согласие получателя субсидии на осуществление Министерством науки и высшего образования Российской Федерации проверки соблюдения им порядка и условий предоставления субсидии, в том числе в части достижения результатов предоставления субсидии, проверки органами государственного финансового контроля в соответствии со статьями 268.1 и 269.2 Бюджетного кодекса Российской Федерации, а также обязательство получателя субсидии по включению в договоры (соглашения), заключенные в целях исполнения обязательств по соглашению, положений о согласии лиц, являющихся поставщиками (подрядчиками, исполнителями), на проведение в отношении их указанных проверок;

е) условие о согласовании новых условий соглашения или о расторжении соглашения при недостижении согласия по новым условиям в случае уменьшения Министерству науки и высшего образования Российской Федерации ранее доведенных лимитов бюджетных обязательств, приводящего к невозможности предоставления субсидии в размере, определенном в соглашении;

ж) возможность осуществления расходов, источником финансового обеспечения которых являются не использованные в отчетном финансовом году остатки субсидии, при принятии Министерством науки и высшего образования Российской Федерации по согласованию с Министерством финансов Российской Федерации решения о наличии потребности в указанных средствах или возврате указанных средств при отсутствии в них потребности.

14. В соглашения, заключаемые в целях предоставления субсидии в целях возмещения затрат, предусмотренных пунктом 5 настоящих Правил, включаются в том числе следующие положения:

а) направление затрат, на возмещение которых предоставляется субсидия;

б) перечень документов, подтверждающих фактически произведенные затраты (в том числе копии первичных учетных документов, копии актов выполненных работ (услуг), заверенные получателем субсидии в установленном порядке), а также при необходимости требования к таким документам;

в) положение о перечислении субсидии не позднее 10-го рабочего дня после принятия Министерством науки и высшего образования Российской Федерации решения о перечислении субсидии по результатам рассмотрения им документов, указанных в подпункте "б" настоящего пункта;

г) значения результатов предоставления субсидии, указанных в подпункте "г" пункта 15 настоящих Правил;

д) условие о согласовании новых условий соглашения или о расторжении соглашения при недостижении согласия по новым условиям в случае уменьшения Министерству науки и высшего образования Российской Федерации ранее доведенных лимитов бюджетных обязательств, приводящего к невозможности предоставления субсидии в размере, определенном в соглашении;

е) согласие получателя субсидии, лиц, получающих средства на основании договоров (соглашений), заключенных с получателем субсидии, на осуществление Министерством науки и высшего образования Российской Федерации в отношении их проверок соблюдения порядка и условий предоставления субсидии, в том числе в части достижения результатов предоставления субсидии, и органами государственного финансового контроля в соответствии со статьями 268.1 и 269.2 Бюджетного кодекса Российской Федерации, и на включение таких положений в указанные договоры (соглашения);

ж) запрет приобретения получателем субсидии, а также иными юридическими лицами, получающими средства на основании договоров (соглашений), заключенных с получателем субсидии, за счет полученных из федерального бюджета средств иностранной валюты, за исключением операций, осуществляемых в соответствии с валютным законодательством Российской Федерации при закупке (поставке) высокотехнологичного импортного оборудования, сырья и комплектующих изделий.

15. Результатами предоставления субсидий являются:

а) в отношении субсидий, предусмотренных подпунктами "а" - "л" пункта 4 настоящих Правил, - количество получателей соответствующих стипендий;

б) в отношении субсидии, предусмотренной подпунктом "м" пункта 4 настоящих Правил, - количество обучающихся по образовательным программам высшего образования;

в) в отношении субсидии, предусмотренной подпунктом "н" пункта 4 настоящих Правил, - количество проведенных конкурсов на предоставление грантов в форме субсидий из федерального бюджета, выделяемых для государственной поддержки научных исследований, проводимых под руководством ведущих ученых в российских образовательных организациях высшего образования, научных учреждениях и государственных научных центрах Российской Федерации, и количество научных исследований, в отношении которых проведено аналитическое обеспечение с учетом положений Правил предоставления грантов в форме субсидий из федерального бюджета, выделяемых для государственной поддержки научных исследований, проводимых под руководством ведущих ученых в российских образовательных организациях высшего образования, научных учреждениях и государственных научных центрах Российской Федерации, утвержденных постановлением Правительства Российской Федерации от 8 мая 2019 г. N 576 "О внесении изменений в акты Правительства Российской Федерации и признании утратившими силу некоторых актов Правительства Российской Федерации";

г) в отношении субсидии, предусмотренной пунктом 5 настоящих Правил, - количество проведенных конкурсов на определение получателей субсидий из федерального бюджета на развитие кооперации российских образовательных организаций высшего образования, государственных научных учреждений и организаций реального сектора экономики в целях реализации комплексных проектов по созданию высокотехнологичных производств с учетом положений Правил предоставления субсидий на развитие кооперации российских образовательных организаций высшего образования, государственных научных учреждений и организаций реального сектора экономики в целях реализации комплексных проектов по созданию высокотехнологичных производств, утвержденных постановлением Правительства Российской Федерации от 9 апреля 2010 г. N 218 "О мерах государственной поддержки развития кооперации российских образовательных организаций высшего образования, государственных научных учреждений и организаций реального сектора экономики в целях реализации комплексных проектов по созданию высокотехнологичных производств", и количество проектов, в отношении которых осуществлены мониторинг и организационно-техническое и информационное сопровождение их реализации.

16. Субсидия, предусмотренная подпунктом "м" пункта 4 настоящих Правил, предоставляется на осуществление следующих расходов:

а) оплата труда и начисления на выплаты по оплате труда педагогических работников и других работников образовательной организации, непосредственно связанных с оказанием государственной услуги, включая страховые взносы в Фонд пенсионного и социального страхования Российской Федерации и Федеральный фонд обязательного медицинского страхования, страховые взносы на обязательное социальное страхование от несчастных случаев на производстве и профессиональных заболеваний в соответствии с трудовым законодательством Российской Федерации;

б) оплата труда и начисления на выплаты по оплате труда работников образовательной организации, которые не принимают непосредственного участия в оказании государственной услуги (административно-хозяйственного, учебно-вспомогательного персонала и иных работников, осуществляющих вспомогательные функции), включая страховые взносы в Фонд пенсионного и социального страхования Российской Федерации и Федеральный фонд обязательного медицинского страхования, страховые взносы на обязательное социальное страхование от несчастных случаев на производстве и профессиональных заболеваний в соответствии с трудовым законодательством Российской Федерации;

в) приобретение материальных запасов, приобретение или аренда движимого имущества (основных средств и нематериальных активов), используемого в процессе оказания государственной услуги, с учетом срока его полезного использования;

г) приобретение учебной литературы, периодических изданий, издательских и полиграфических услуг, электронных изданий;

д) организация практической подготовки, в том числе затраты на проживание и оплату суточных для обучающихся, проходящих практическую подготовку, и сопровождающих их работников образовательной организации, за исключением затрат на приобретение транспортных услуг;

е) повышение квалификации педагогических работников, в том числе найм жилого помещения и дополнительные расходы, связанные с проживанием вне места постоянного жительства (суточные) педагогических работников на время повышения квалификации, за исключением затрат на приобретение транспортных услуг;

ж) приобретение транспортных услуг, в том числе проезд педагогических работников до места прохождения повышения квалификации и обратно, проезд до места прохождения практической подготовки и обратно для обучающихся, проходящих практическую подготовку, и сопровождающих их работников образовательной организации;

з) проведение периодических медицинских осмотров педагогических работников;

и) коммунальные услуги, в том числе затраты на холодное и горячее водоснабжение и водоотведение, теплоснабжение, электроснабжение, газоснабжение и котельно-печное топливо;

к) содержание объектов недвижимого имущества (в том числе затраты на аренду);

л) содержание объектов особо ценного движимого имущества;

м) формирование в установленном порядке резерва на полное восстановление состава объектов особо ценного движимого имущества, используемого в процессе оказания государственной услуги, а также резерва на полное восстановление состава объектов особо ценного движимого имущества, необходимого для общехозяйственных нужд, формируемого в установленном порядке в размере начисленной годовой суммы амортизации по указанному имуществу;

н) приобретение услуг связи, в том числе затраты на местную, междугороднюю и международную телефонную связь, интернет;

о) организация культурно-массовой, физкультурной и спортивной, оздоровительной работы с обучающимися;

п) стипендиальное обеспечение обучающихся;

р) осуществление публичных обязательств перед физическим лицом, подлежащих исполнению в денежной форме (социальное обеспечение детей-сирот и детей, оставшихся без попечения родителей, лиц из числа детей-сирот и детей, оставшихся без попечения родителей).

17. Субсидия, предусмотренная подпунктом "н" пункта 4 настоящих Правил, предоставляется на осуществление следующих расходов:

а) оплата труда работников, в том числе выплата пособий (кроме пособий, выплачиваемых за счет Фонда пенсионного и социального страхования Российской Федерации), премий, иных компенсационных и стимулирующих выплат, оплата услуг по страхованию гражданской ответственности и здоровья, выплата компенсаций, обусловленных условиями трудовых отношений, расходы на уплату налога на доходы физических лиц и страховых взносов по обязательному социальному страхованию;

б) оплата услуг физических лиц по договорам гражданско-правового характера на проведение независимой экспертизы, в том числе иностранными экспертами, услуги которых подлежат оплате получателем субсидии (организатором проведения экспертизы) в иностранной валюте, расходы на страховые взносы по обязательному социальному страхованию, а также сопутствующие расходы на оплату комиссий банков по платежам физическим лицам;

в) выплаты, связанные с командированием сотрудников;

г) оплата работ, услуг, соответствующих целям предоставления субсидии, осуществляемых иными юридическими лицами, привлеченными на основании договоров (соглашений);

д) приобретение основных средств, товарно-материальных ценностей, лицензий на программное обеспечение, прочих работ и услуг;

е) проведение информационных и консультационных мероприятий;

ж) организация выездных проверок созданных лабораторий мирового уровня под руководством ведущих ученых с мировым именем, в том числе соотечественников, проживающих за рубежом, в рамках реализации постановления Правительства Российской Федерации от 8 мая 2019 г. N 576 "О внесении изменений в акты Правительства Российской Федерации и признании утратившими силу некоторых актов Правительства Российской Федерации";

з) арендная плата и оплата договоров на выполнение работ, оказание услуг, связанных с содержанием, эксплуатацией, обслуживанием, текущим ремонтом арендуемых помещений, основных средств, в том числе оплата услуг по страхованию имущества;

и) организация хранения документации, образуемой в процессе выполнения работ по соглашению (заявки, экспертные заключения, отчетные материалы);

к) администрирование информационной компьютеризированной системы и поддержание в актуальном состоянии специализированного сайта.

18. Субсидия, предусмотренная пунктом 5 настоящих Правил, предоставляется на осуществление следующих расходов:

а) оплата труда работников, в том числе выплата пособий (кроме пособий, выплачиваемых за счет Фонда пенсионного и социального страхования Российской Федерации), премий, иных компенсационных и стимулирующих выплат, оплата услуг по страхованию гражданской ответственности и здоровья, выплата компенсаций, обусловленных условиями трудовых отношений, расходы на уплату налога на доходы физических лиц и страховых взносов по обязательному социальному страхованию;

б) оплата услуг физических лиц по договорам гражданско-правового характера на проведение независимой экспертизы (заявок, отчетных материалов), расходы на страховые взносы по обязательному социальному страхованию, а также сопутствующие расходы на оплату комиссий банков по платежам физическим лицам;

в) выплаты, связанные с командированием сотрудников;

г) оплата работ, услуг, соответствующих целям предоставления субсидии, осуществляемых иными юридическими лицами, привлеченными на основании договоров (соглашений);

д) приобретение основных средств, товарно-материальных ценностей, лицензий на программное обеспечение, прочих работ и услуг, необходимых для выполнения работ по соглашению, в том числе расходы на канцелярские товары и бумагу, картриджи для оргтехники, приобретение компьютерной и видеотехники, оргтехники, расходы на услуги почтовой и экспресс-доставки конкурсной и иной документации;

е) проведение мероприятий, направленных на популяризацию государственной поддержки развития кооперации российских образовательных организаций высшего образования, государственных научных учреждений и организаций реального сектора экономики в целях реализации проектов, а также семинаров, вебинаров, консультаций для потенциальных участников конкурсов, проводимых с учетом положений Правил предоставления субсидий на развитие кооперации российских образовательных организаций высшего образования, государственных научных учреждений и организаций реального сектора экономики в целях реализации комплексных проектов по созданию высокотехнологичных производств, утвержденных постановлением Правительства Российской Федерации от 9 апреля 2010 г. N 218 "О мерах государственной поддержки развития кооперации российских образовательных организаций высшего образования, государственных научных учреждений и организаций реального сектора экономики в целях реализации комплексных проектов по созданию высокотехнологичных производств";

ж) арендная плата и оплата договоров на выполнение работ, оказание услуг, связанных с содержанием, эксплуатацией, обслуживанием, текущим ремонтом арендуемых помещений, основных средств, в том числе оплата услуг по страхованию имущества;

з) организация хранения документации, образуемой в процессе выполнения работ по соглашению (заявки, экспертные заключения, отчетные материалы);

и) обеспечение функционирования портала регистрации заявок, администрирование информационной компьютеризированной системы и функционирование специализированного сайта;

к) информационные и консультационные услуги, необходимые для выполнения работ по соглашению.

19. Если иное не предусмотрено бюджетным законодательством Российской Федерации, перечисление:

субсидий, предусмотренных пунктом 4 настоящих Правил, осуществляется на казначейский счет для осуществления и отражения операций с денежными средствами участников казначейского сопровождения, открытый в территориальном органе Федерального казначейства, не позднее 2-го рабочего дня после представления получателем субсидии в территориальный орган Федерального казначейства распоряжений о совершении казначейских платежей для оплаты денежного обязательства получателя субсидии;

субсидий, предусмотренных пунктом 5 настоящих Правил, осуществляется на расчетные счета, открытые получателям субсидий в учреждениях Центрального банка Российской Федерации или кредитных организациях, не позднее 10-го рабочего дня после принятия Министерством науки и высшего образования Российской Федерации решения о перечислении субсидии по результатам рассмотрения им перечня документов, предусмотренных подпунктом "б" пункта 14 настоящих Правил.

20. Министерство науки и высшего образования Российской Федерации принимает решение об отказе в перечислении субсидии в целях возмещения затрат, предусмотренных пунктом 5 настоящих Правил, в следующих случаях:

а) несоответствие представленных получателем субсидии документов перечню документов, указанных в подпункте "б" пункта 14 настоящих Правил, или их непредставление (представление не в полном объеме);

б) установление факта недостоверности представленной получателем субсидии информации.

21. Министерство науки и высшего образования Российской Федерации вправе приостановить предоставление субсидии в случае установления информации о факте (фактах) нарушения получателем субсидии порядка и условий предоставления субсидии, в том числе в части достижения результатов предоставления субсидии и указания в документах, представленных получателем субсидии, недостоверных сведений, или получения от органа государственного финансового контроля информации о таком факте (фактах).

22. В случае установления факта нарушения получателем субсидии условий, установленных при предоставлении субсидии, выявленного в том числе по фактам проверок, проведенных Министерством науки и высшего образования Российской Федерации и органом государственного финансового контроля, соответствующие средства возвращаются в доход федерального бюджета в размере выявленного нарушения:

на основании требования Министерства науки и высшего образования Российской Федерации - не позднее 10-го рабочего дня со дня получения указанного требования получателем субсидии;

на основании представления и (или) предписания органа государственного финансового контроля - в сроки, установленные в соответствии с бюджетным законодательством Российской Федерации.

23. В случае недостижения значений результата предоставления субсидии получатель субсидии возвращает субсидию в доход федерального бюджета в части, пропорциональной величине недостижения установленного значения результата предоставления субсидии в порядке, установленном бюджетным законодательством Российской Федерации.

24. Получатель субсидии направляет в Министерство науки и высшего образования Российской Федерации ежеквартально, не позднее 15-го числа месяца, следующего за отчетным кварталом, ежегодно, не позднее 15 февраля года, следующего за отчетным годом, следующие отчеты:

о расходах, источником финансового обеспечения которых являются субсидии, по форме, определенной типовой формой соглашения, установленной Министерством финансов Российской Федерации (за исключением получателей субсидии, предоставляемой в порядке возмещения затрат, предусмотренных пунктом 5 настоящих Правил);

о достижении значений результатов предоставления субсидий по форме, определенной типовой формой соглашения, установленной Министерством финансов Российской Федерации.

25. Министерство науки и высшего образования Российской Федерации как получатель бюджетных средств осуществляет проверки соблюдения получателем субсидии порядка и условий предоставления субсидии, в том числе в части достижения результатов предоставления субсидии, органы государственного финансового контроля осуществляют проверки в соответствии со статьями 268.1 и 269.2 Бюджетного кодекса Российской Федерации.

26. Министерство науки и высшего образования Российской Федерации проводит мониторинг достижения результатов предоставления субсидии, исходя из достижения значений результатов предоставления субсидии, определенных соглашением, и событий, отражающих факт завершения соответствующего мероприятия по получению результата предоставления субсидии (контрольная точка), в порядке и по формам, которые установлены Министерством финансов Российской Федерации.

УТВЕРЖДЕНЫ
постановлением Правительства
Российской Федерации
от 28 сентября 2023 г. N 1599

ИЗМЕНЕНИЯ, КОТОРЫЕ ВНОСЯТСЯ В ПОСТАНОВЛЕНИЕ ПРАВИТЕЛЬСТВА РОССИЙСКОЙ ФЕДЕРАЦИИ ОТ 27 МАРТА 2018 Г. N 332

1. В Правилах предоставления субсидий из федерального бюджета юридическим лицам, не являющимся некоммерческими организациями, на государственную поддержку развития образования и науки, утвержденных указанным постановлением:

а) пункт 2 изложить в следующей редакции:

"2. Субсидии предоставляются в пределах лимитов бюджетных обязательств, доведенных в установленном порядке до Министерства просвещения Российской Федерации как получателя средств федерального бюджета на цели, указанные в пункте 3 настоящих Правил.

Информация о субсидии размещается на едином портале бюджетной системы Российской Федерации в информационно-телекоммуникационной сети "Интернет" не позднее 15-го рабочего дня, следующего за днем принятия федерального закона о федеральном бюджете (федерального закона о внесении изменений в федеральный закон о федеральном бюджете).";

б) в пункте 4:

подпункты "а" - "в" признать утратившими силу;

в подпункте "д" слова "и образовательных программ высшего образования" исключить;

подпункт "е" признать утратившим силу;

в подпункте "ж" слова "создания и организационно-техническое сопровождение" заменить словами "организационно-технического сопровождения";

в) в пункте 4.1:

в подпункте "а" слова "и образовательных программ высшего образования и выплатой стипендий аспирантам, обучающимся по очной форме обучения," исключить;

подпункт "б" признать утратившим силу;

г) в пункте 5:

абзацы первый - третий признать утратившими силу;

абзацы четвертый и пятый изложить в следующей редакции:

"Субсидия на финансовое обеспечение расходов, предусмотренных подпунктом "д" пункта 4 настоящих Правил, предоставляется организациям, осуществляющим образовательную деятельность, которым установлены контрольные цифры приема граждан на обучение по профессиям, специальностям и (или) укрупненным группам профессий, специальностей для обучения по образовательным программам среднего профессионального образования за счет бюджетных ассигнований федерального бюджета (далее - контрольные цифры приема) по результатам публичного конкурса в соответствии с частью 3 статьи 100 Федерального закона "Об образовании в Российской Федерации".

Порядок проведения указанного конкурса утверждается Министерством просвещения Российской Федерации в соответствии с пунктом 19 Правил установления организациям, осуществляющим образовательную деятельность, контрольных цифр приема по профессиям, специальностям и направлениям подготовки и (или) укрупненным группам профессий, специальностей и направлений подготовки для обучения по образовательным программам среднего профессионального и высшего образования, а также по группам научных специальностей и (или) научным специальностям для обучения по программам подготовки научных и научно-педагогических кадров в аспирантуре (адъюнктуре) за счет бюджетных ассигнований федерального бюджета, утвержденных постановлением Правительства Российской Федерации от 10 июня 2023 г. N 964 "Об утверждении Правил установления организациям, осуществляющим образовательную деятельность, контрольных цифр приема по профессиям, специальностям и направлениям подготовки и (или) укрупненным группам профессий, специальностей и направлений подготовки для обучения по образовательным программам среднего профессионального и высшего образования, а также по группам научных специальностей и (или) научным специальностям для обучения по программам подготовки научных и научно-педагогических кадров в аспирантуре (адъюнктуре) за счет бюджетных ассигнований федерального бюджета и признании утратившими силу некоторых актов Правительства Российской Федерации".";

абзацы девятый - одиннадцатый изложить в следующей редакции:

"К - количество профессий, специальностей и (или) укрупненных групп профессий, специальностей, по которым i-му получателю субсидии установлены контрольные цифры приема;

- численность обучающихся по j-й профессии, специальности и (или) укрупненным группам профессий, специальностей, определенная по результатам распределения контрольных цифр приема, установленных i-й организации, осуществляющей образовательную деятельность;

- нормативные затраты на реализацию основных профессиональных образовательных программ на единицу государственной услуги по j-й профессии, специальности и (или) укрупненным группам профессий, специальностей, реализуемой i-й организацией, осуществляющей образовательную деятельность, с учетом расходов на стипендиальное обеспечение обучающихся, осуществление публичных обязательств перед физическим лицом, подлежащих исполнению в денежной форме (на социальное обеспечение детей-сирот и детей, оставшихся без попечения родителей, лиц из их числа).";

абзацы двенадцатый и тринадцатый признать утратившими силу;

д) в пункте 6:

абзац первый изложить в следующей редакции:

"6. Получатели субсидии на возмещение затрат, предусмотренных подпунктом "а" пункта 4.1 настоящих Правил, определяются Министерством просвещения Российской Федерации по результатам конкурсов, проведенных в порядке, предусмотренном Правилами установления организациям, осуществляющим образовательную деятельность, контрольных цифр приема по профессиям, специальностям и направлениям подготовки и (или) укрупненным группам профессий, специальностей и направлений подготовки для обучения по образовательным программам среднего профессионального и высшего образования, а также по группам научных специальностей и (или) научным специальностям для обучения по программам подготовки научных и научно-педагогических кадров в аспирантуре (адъюнктуре) за счет бюджетных ассигнований федерального бюджета, утвержденными постановлением Правительства Российской Федерации от 10 июня 2023 г. N 964 "Об утверждении Правил установления организациям, осуществляющим образовательную деятельность, контрольных цифр приема по профессиям, специальностям и направлениям подготовки и (или) укрупненным группам профессий, специальностей и направлений подготовки для обучения по образовательным программам среднего профессионального и высшего образования, а также по группам научных специальностей и (или) научным специальностям для обучения по программам подготовки научных и научно-педагогических кадров в аспирантуре (адъюнктуре) за счет бюджетных ассигнований федерального бюджета и признании утратившими силу некоторых актов Правительства Российской Федерации".";

абзацы третий и четвертый признать утратившими силу;

е) в пункте 7:

абзац пятый изложить в следующей редакции:

"получатель субсидии не должен являться иностранным юридическим лицом, в том числе местом регистрации которого является государство или территория, включенные в утверждаемый Министерством финансов Российской Федерации перечень государств и территорий, используемых для промежуточного (офшорного) владения активами в Российской Федерации, а также российским юридическим лицом, в уставном (складочном) капитале которого доля прямого или косвенного (через третьих лиц) участия указанных иностранных юридических лиц в совокупности превышает 25 процентов;";

в абзаце шестом слова "с иными нормативными правовыми актами" заменить словами "с иными нормативными правовыми актами Российской Федерации";

ж) в пункте 8:

в абзаце первом слова "соответствующий уполномоченный орган" заменить словами "Министерство просвещения Российской Федерации";

абзац пятый изложить в следующей редакции:

"справка, подтверждающая, что получатель субсидии не является иностранным юридическим лицом, в том числе местом регистрации которого является государство или территория, включенные в утверждаемый Министерством финансов Российской Федерации перечень государств и территорий, используемых для промежуточного (офшорного) владения активами в Российской Федерации, а также российским юридическим лицом, в уставном (складочном) капитале которого доля прямого или косвенного (через третьих лиц) участия указанных иностранных юридических лиц в совокупности превышает 25 процентов;";

в абзаце шестом слова "с иными нормативными правовыми актами" заменить словами "с иными нормативными правовыми актами Российской Федерации";

з) в пункте 9:

в абзаце первом слова "Соответствующий уполномоченный орган" заменить словами "Министерство просвещения Российской Федерации";

в абзацах втором и третьем слова "соответствующий уполномоченный орган" в соответствующем падеже заменить словами "Министерство просвещения Российской Федерации" в соответствующем падеже;

и) в пункте 10 слова "Соответствующий уполномоченный орган" заменить словами "Министерство просвещения Российской Федерации";

к) в пункте 11:

в предложениях первом и втором абзаца первого слова "соответствующим уполномоченным органом" заменить словами "Министерством просвещения Российской Федерации";

в абзаце третьем слова "Соответствующий уполномоченный орган" заменить словами "Министерство просвещения Российской Федерации";

в абзацах четвертом и пятом слова "соответствующий уполномоченный орган" в соответствующем падеже заменить словами "Министерство просвещения Российской Федерации" в соответствующем падеже;

л) в пункте 12:

в подпункте "б" слова "соответствующим уполномоченным органом" заменить словами "Министерством просвещения Российской Федерации";

подпункт "в" после слов "о достижении" дополнить словом "значений";

подпункты "е" и "ж" изложить в следующей редакции:

"е) условие о запрете приобретения получателем субсидии, а также иными юридическими лицами, получающими средства на основании договоров, заключенных с получателем субсидии, за счет полученных из федерального бюджета средств иностранной валюты, за исключением операций, осуществляемых в соответствии с валютным законодательством Российской Федерации при закупке (поставке) высокотехнологичного импортного оборудования, сырья и комплектующих изделий, а также иных операций, связанных с достижением целей предоставления субсидии, указанных в пункте 3 настоящих Правил;

ж) согласие получателя субсидии, лиц, получающих средства на основании договоров, заключенных с получателем субсидии, на осуществление Министерством просвещения Российской Федерации в отношении их проверок соблюдения порядка и условий предоставления субсидии, в том числе в части достижения результатов предоставления субсидии, и органами государственного финансового контроля проверок в соответствии со статьями 268.1 и 269.2 Бюджетного кодекса Российской Федерации, а также на включение таких положений в указанные договоры;";

в подпунктах "з" и "и" слова "соответствующий уполномоченный орган" в соответствующем падеже заменить словами "Министерство просвещения Российской Федерации" в соответствующем падеже;

м) в пункте 13:

в подпункте "б" слова "в отношении субсидии на возмещение затрат, предусмотренных подпунктом "б" пункта 4.1 настоящих Правил, - перечень документов, подтверждающих фактически произведенные затраты (в том числе копии первичных учетных документов, копии договоров с соисполнителями работ, копии актов выполненных работ (услуг), заверенные получателем субсидии в установленном порядке)," исключить;

в подпунктах "в" и "е" слова "соответствующий уполномоченный орган" в соответствующем падеже заменить словами "Министерство просвещения Российской Федерации" в соответствующем падеже;

н) подпункт "а" пункта 14 изложить в следующей редакции:

"а) на финансовое обеспечение расходов, предусмотренных пунктом 4 настоящих Правил, - на казначейский счет для осуществления и отражения операций с денежными средствами участников казначейского сопровождения, открытый в территориальном органе Федерального казначейства, не позднее 2-го рабочего дня после представления получателем субсидии в территориальный орган Федерального казначейства распоряжений о совершении казначейских платежей для оплаты денежного обязательства получателя субсидии;";

о) в абзаце первом пункта 15 слова "Соответствующий уполномоченный орган" заменить словами "Министерство просвещения Российской Федерации";

п) в пункте 16:

подпункты "а", "б" и "г" признать утратившими силу;

в подпункте "д" слова "создание специализированного канала" заменить словами "количество созданного и размещенного контента на специализированном канале";

подпункт "е" признать утратившим силу;

р) пункт 17 изложить в следующей редакции:

"17. В случае установления факта нарушения получателем субсидии условий, установленных при предоставлении субсидии, выявленного в том числе по фактам проверок, проведенных Министерством просвещения Российской Федерации и органами государственного финансового контроля, соответствующие средства возвращаются в доход федерального бюджета в размере выявленного нарушения:

на основании требования Министерства просвещения Российской Федерации - не позднее 10-го рабочего дня со дня получения указанного требования получателем субсидии;

на основании представления и (или) предписания органа государственного финансового контроля - в сроки, установленные в соответствии с бюджетным законодательством Российской Федерации.

В случае недостижения значений результата предоставления субсидии получатель субсидии возвращает субсидию в доход федерального бюджета в части, пропорциональной величине недостижения установленного значения результата предоставления субсидии.";

с) пункт 18 признать утратившим силу;

т) в пункте 19 слова "Соответствующий уполномоченный орган" заменить словами "Министерство просвещения Российской Федерации", слова "соответствующим уполномоченным органом" заменить словами "Министерством просвещения Российской Федерации";

у) в пункте 20:

в абзаце первом слова "соответствующий уполномоченный орган" заменить словами "Министерство просвещения Российской Федерации ежеквартально, не позднее 15-го числа месяца, следующего за отчетным кварталом,";

в абзаце четвертом слова "Соответствующий уполномоченный орган" заменить словами "Министерство просвещения Российской Федерации";

ф) пункт 21 изложить в следующей редакции:

"21. Министерство просвещения Российской Федерации осуществляет проверки соблюдения получателем субсидии порядка и условий предоставления субсидии, в том числе в части достижения результатов предоставления субсидии, органы государственного финансового контроля осуществляют проверки в соответствии со статьями 268.1 и 269.2 Бюджетного кодекса Российской Федерации.

Министерство просвещения Российской Федерации проводит мониторинг достижения результатов предоставления субсидии исходя из достижения значений результатов предоставления субсидии, определенных соглашением, и событий, отражающих факт завершения соответствующего мероприятия по получению результата предоставления субсидии (контрольная точка), в порядке и по формам, которые установлены Министерством финансов Российской Федерации.";

х) пункт 22 признать утратившим силу.

2. В Правилах предоставления субсидий из федерального бюджета некоммерческим организациям, не являющимся государственными (муниципальными) учреждениями, на государственную поддержку развития образования и науки, утвержденных указанным постановлением:

а) пункт 2 изложить в следующей редакции:

"2. Субсидии предоставляются в пределах лимитов бюджетных обязательств, доведенных в установленном порядке до Министерства просвещения Российской Федерации как получателя средств федерального бюджета на цели, указанные в пункте 3 настоящих Правил.

Информация о субсидии размещается на едином портале бюджетной системы Российской Федерации в информационно-телекоммуникационной сети "Интернет" не позднее 15-го рабочего дня, следующего за днем принятия федерального закона о федеральном бюджете (федерального закона о внесении изменений в федеральный закон о федеральном бюджете).";

б) в пункте 3:

подпункты "в" - "д", "ж" - "л" и "н" признать утратившими силу;

в подпункте "о" слова "и образовательных программ высшего образования" исключить;

подпункты "р", "с" и "ы" признать утратившими силу;

в) пункт 3.1 признать утратившим силу;

г) в пункте 4:

абзац первый заменить текстом следующего содержания:

"4. Субсидия на финансовое обеспечение расходов, предусмотренных подпунктом "о" пункта 3 настоящих Правил, предоставляется организациям, осуществляющим образовательную деятельность, которым установлены контрольные цифры приема по результатам публичного конкурса в соответствии с частью 3 статьи 100 Федерального закона "Об образовании в Российской Федерации".

Порядок проведения указанного конкурса утверждается Министерством просвещения Российской Федерации в соответствии с пунктом 19 Правил установления организациям, осуществляющим образовательную деятельность, контрольных цифр приема по профессиям, специальностям и направлениям подготовки и (или) укрупненным группам профессий, специальностей и направлений подготовки для обучения по образовательным программам среднего профессионального и высшего образования, а также по группам научных специальностей и (или) научным специальностям для обучения по программам подготовки научных и научно-педагогических кадров в аспирантуре (адъюнктуре) за счет бюджетных ассигнований федерального бюджета, утвержденных постановлением Правительства Российской Федерации от 10 июня 2023 г. N 964 "Об утверждении Правил установления организациям, осуществляющим образовательную деятельность, контрольных цифр приема по профессиям, специальностям и направлениям подготовки и (или) укрупненным группам профессий, специальностей и направлений подготовки для обучения по образовательным программам среднего профессионального и высшего образования, а также по группам научных специальностей и (или) научным специальностям для обучения по программам подготовки научных и научно-педагогических кадров в аспирантуре (адъюнктуре) за счет бюджетных ассигнований федерального бюджета и признании утратившими силу некоторых актов Правительства Российской Федерации".";

абзацы второй и третий признать утратившими силу;

абзац четвертый изложить в следующей редакции:

"Получатели субсидии, предоставляемой на финансовое обеспечение расходов, предусмотренных подпунктом "е" пункта 3 настоящих Правил, а также размер субсидии определяются Министерством просвещения Российской Федерации по результатам отбора, проводимого в порядке, предусмотренном Положением о назначении и выплате стипендий Правительства Российской Федерации для лиц, обучающихся в профессиональных образовательных организациях и образовательных организациях высшего образования по очной форме обучения по образовательным программам среднего профессионального образования, имеющим государственную аккредитацию, соответствующим приоритетным направлениям модернизации и технологического развития экономики Российской Федерации, утвержденным постановлением Правительства Российской Федерации от 23 декабря 2011 г. N 1114 "О назначении и выплате стипендий Правительства Российской Федерации для лиц, обучающихся в профессиональных образовательных организациях и образовательных организациях высшего образования по очной форме обучения по образовательным программам среднего профессионального образования, имеющим государственную аккредитацию, соответствующим приоритетным направлениям модернизации и технологического развития экономики Российской Федерации".";

абзацы пятый - седьмой признать утратившими силу;

в абзаце восьмом:

слова "высшего образования," исключить;

слова "соответствующим уполномоченным органом" заменить словами "Министерством просвещения Российской Федерации";

абзацы десятый и одиннадцатый признать утратившими силу;

д) пункт 4(1) признать утратившим силу;

е) подпункт "д" пункта 5 изложить в следующей редакции:

"д) получатель субсидии не получает средства из федерального бюджета в соответствии с иными нормативными правовыми актами Российской Федерации на цели, указанные в пункте 3 настоящих Правил;";

ж) в пункте 6:

в абзаце первом слова "соответствующий уполномоченный орган" заменить словами "Министерство просвещения Российской Федерации";

абзац четвертый изложить в следующей редакции:

"справка, подтверждающая, что получатель субсидии не получает средства из федерального бюджета в соответствии с иными нормативными правовыми актами Российской Федерации на цели, указанные в пункте 3 настоящих Правил;";

з) в пункте 7:

в абзаце первом слова "Соответствующий уполномоченный орган" заменить словами "Министерство просвещения Российской Федерации";

в абзацах втором и третьем слова "соответствующий уполномоченный орган" в соответствующем падеже заменить словами "Министерство просвещения Российской Федерации" в соответствующем падеже;

и) в абзаце первом пункта 8 слова "Соответствующий уполномоченный орган" заменить словами "Министерство просвещения Российской Федерации";

к) в пункте 9:

в предложениях первом и втором абзаца первого и подпункте "б" слова "соответствующим уполномоченным органом" заменить словами "Министерством просвещения Российской Федерации";

подпункт "г" изложить в следующей редакции:

"г) направления расходов, на финансовое обеспечение которых предоставляется субсидия, кроме расходов, указанных в подпунктах "м" и "ш" пункта 3 настоящих Правил;";

подпункт "д" признать утратившим силу;

подпункты "е" и "ж" изложить в следующей редакции:

"е) согласие получателя субсидии, лиц, получающих средства на основании договоров, заключенных с получателем субсидии, на осуществление в отношении их проверки Министерством просвещения Российской Федерации соблюдения порядка и условий предоставления субсидии, в том числе в части достижения результатов предоставления субсидии, и проверки органами государственного финансового контроля в соответствии со статьями 268.1 и 269.2 Бюджетного кодекса Российской Федерации, а также на включение таких положений в указанные договоры;

ж) условие о запрете приобретения получателем субсидии, а также иными юридическими лицами, получающими средства на основании договоров, заключенных с получателем субсидии, за счет полученных из федерального бюджета средств иностранной валюты, за исключением операций, осуществляемых в соответствии с валютным законодательством Российской Федерации при закупке (поставке) высокотехнологичного импортного оборудования, сырья и комплектующих изделий, а также иных операций, осуществляемых в соответствии с валютным законодательством Российской Федерации в целях финансового обеспечения расходов, указанных в подпункте "м" пункта 3 настоящих Правил;";

подпункт "з" признать утратившим силу;

в подпунктах "к" и "л" слова "соответствующий уполномоченный орган" в соответствующем падеже заменить словами "Министерство просвещения Российской Федерации" в соответствующем падеже;

л) пункты 9(1) и 9(2) признать утратившими силу;

м) в пункте 12:

в подпункте "а" слова "подпунктами "в" - "л", "р" и "с" пункта 3 настоящих Правил" заменить словами "подпунктом "е" пункта 3 настоящих Правил";

подпункт "б" признать утратившим силу;

н) пункты 12.1, 12.2 и 13 признать утратившими силу;

о) в пункте 14:

абзац второй изложить в следующей редакции:

"субсидий, предусмотренных пунктом 3 настоящих Правил, осуществляется на казначейский счет для осуществления и отражения операций с денежными средствами участников казначейского сопровождения, открытый в территориальном органе Федерального казначейства, не позднее 2-го рабочего дня после представления получателем субсидии в территориальный орган Федерального казначейства распоряжений о совершении казначейских платежей для оплаты денежного обязательства получателя субсидии;";

абзац третий признать утратившим силу;

п) в пункте 15 слова "Соответствующий уполномоченный орган" заменить словами "Министерство просвещения Российской Федерации", слова "соответствующим уполномоченным органом" заменить словами "Министерством просвещения Российской Федерации";

р) пункт 16 изложить в следующей редакции:

"16. В случае установления факта нарушения получателем субсидии порядка и условий предоставления субсидии, выявленного в том числе по фактам проверок, проведенных Министерством просвещения Российской Федерации и органами государственного финансового контроля, соответствующие средства возвращаются в доход федерального бюджета в размере выявленного нарушения:

на основании требования Министерства просвещения Российской Федерации - не позднее 10-го рабочего дня со дня получения указанного требования получателем субсидии;

на основании представления и (или) предписания органа государственного финансового контроля - в сроки, установленные в соответствии с бюджетным законодательством Российской Федерации.

В случае недостижения значений результата предоставления субсидии получатель субсидии возвращает субсидию в доход федерального бюджета в части, пропорциональной величине недостижения установленного значения результата предоставления субсидии.";

с) пункт 17 признать утратившим силу;

т) в пункте 18 слова "соответствующим уполномоченным органом" заменить словами "Министерством просвещения Российской Федерации";

у) пункт 19 изложить в следующей редакции:

"19. Министерство просвещения Российской Федерации осуществляет проверки соблюдения получателем субсидии порядка и условий предоставления субсидии, в том числе в части достижения результатов предоставления субсидии, органы государственного финансового контроля осуществляют проверки в соответствии со статьями 268.1 и 269.2 Бюджетного кодекса Российской Федерации.

Министерство просвещения Российской Федерации проводит мониторинг достижения результатов предоставления субсидии исходя из достижения значений результатов предоставления субсидии, определенных соглашением, и событий, отражающих факт завершения соответствующего мероприятия по получению результата предоставления субсидии (контрольная точка), в порядке и по формам, которые установлены Министерством финансов Российской Федерации.";

ф) в пункте 20:

в абзаце первом слова "соответствующий уполномоченный орган" заменить словами "Министерство просвещения Российской Федерации ежеквартально, не позднее 15-го числа месяца, следующего за отчетным кварталом, ежегодно,";

в абзаце четвертом слова "Соответствующий уполномоченный орган" заменить словами "Министерство просвещения Российской Федерации";

х) пункт 21 признать утратившим силу.

Приложение
к постановлению Правительства
Российской Федерации
от 28 сентября 2023 г. N 1599

ПЕРЕЧЕНЬ УТРАТИВШИХ СИЛУ ОТДЕЛЬНЫХ ПОЛОЖЕНИЙ АКТОВ ПРАВИТЕЛЬСТВА РОССИЙСКОЙ ФЕДЕРАЦИИ

1. Абзацы четвертый, шестой - восьмой, абзац двадцать второй в части, касающейся пункта 18, подпункта "а" и абзацы четвертый, четырнадцатый - шестнадцатый подпункта "б" пункта 46 изменений, которые вносятся в акты Правительства Российской Федерации, утвержденных постановлением Правительства Российской Федерации от 29 ноября 2018 г. N 1439 "О внесении изменений в некоторые акты Правительства Российской Федерации" (Собрание законодательства Российской Федерации, 2018, N 50, ст. 7755).

2. Абзацы четвертый, пятый подпункта "в" и подпункт "е" пункта 2 изменений, которые вносятся в постановление Правительства Российской Федерации от 27 марта 2018 г. N 332, утвержденных постановлением Правительства Российской Федерации от 28 февраля 2019 г. N 207 "О внесении изменений в постановление Правительства Российской Федерации от 27 марта 2018 г. N 332" (Собрание законодательства Российской Федерации, 2018, N 14, ст. 1981; 2019, N 10, ст. 974).

3. Подпункт "б", абзац четвертый подпункта "в", абзацы четвертый и пятый подпункта "г" пункта 1 и подпункты "а" - "в", "ж" и абзац четвертый подпункта "з" пункта 2 изменений, которые вносятся в постановление Правительства Российской Федерации от 27 марта 2018 г. N 332, утвержденных постановлением Правительства Российской Федерации от 3 мая 2019 г. N 556 "О внесении изменений в постановление Правительства Российской Федерации от 27 марта 2018 г. N 332" (Собрание законодательства Российской Федерации, 2018, N 14, ст. 1981; 2019, N 19, ст. 2312).

4. Абзацы второй и третий подпункта "а" и подпункт "б" пункта 2 изменений, которые вносятся в акты Правительства Российской Федерации, утвержденных постановлением Правительства Российской Федерации от 8 мая 2019 г. N 576 "О внесении изменений в акты Правительства Российской Федерации и признании утратившими силу некоторых актов Правительства Российской Федерации" (Собрание законодательства Российской Федерации, 2019, N 20, ст. 2446).

5. Абзац третий пункта 3 изменений, которые вносятся в Правила предоставления субсидий из федерального бюджета некоммерческим организациям, не являющимся государственными (муниципальными) учреждениями, на государственную поддержку развития образования и науки, утвержденных постановлением Правительства Российской Федерации от 11 июля 2019 г. N 880 "О внесении изменений в Правила предоставления субсидий из федерального бюджета некоммерческим организациям, не являющимся государственными (муниципальными) учреждениями, на государственную поддержку развития образования и науки" (Собрание законодательства Российской Федерации, 2019, N 29, ст. 4025).

6. Пункты 8 и 12 изменений, которые вносятся в Правила предоставления субсидий из федерального бюджета некоммерческим организациям, не являющимся государственными (муниципальными) учреждениями, на государственную поддержку развития образования и науки, утвержденных постановлением Правительства Российской Федерации от 27 декабря 2019 г. N 1872 "О внесении изменений в Правила предоставления субсидий из федерального бюджета некоммерческим организациям, не являющимся государственными (муниципальными) учреждениями, на государственную поддержку развития образования и науки" (Собрание законодательства Российской Федерации, 2018, N 14, ст. 1981; 2020, N 1, ст. 65).

7. Абзацы второй - шестой, двадцать седьмой, тридцать первый - тридцать восьмой подпункта "а", абзацы второй - четвертый, седьмой - девятый подпункта "б" пункта 2 изменений, которые вносятся в акты Правительства Российской Федерации, утвержденных постановлением Правительства Российской Федерации от 31 декабря 2019 г. N 1960 "О внесении изменений в некоторые акты Правительства Российской Федерации" (Собрание законодательства Российской Федерации, 2018, N 14, ст. 1981; 2020, N 2, ст. 202).

8. Пункт 1, подпункт "б" пункта 3, пункты 4 и 5 изменений, которые вносятся в Правила предоставления субсидий из федерального бюджета некоммерческим организациям, не являющимся государственными (муниципальными) учреждениями, на государственную поддержку развития образования и науки, утвержденных постановлением Правительства Российской Федерации от 7 сентября 2020 г. N 1371 "О внесении изменений в Правила предоставления субсидий из федерального бюджета некоммерческим организациям, не являющимся государственными (муниципальными) учреждениями, на государственную поддержку развития образования и науки" (Собрание законодательства Российской Федерации, 2018, N 14, ст. 1981; 2020, N 37, ст. 5744).

9. Подпункт "в", абзацы второй, третий, четырнадцатый и пятнадцатый подпункта "г", абзацы третий и четвертый подпункта "д", абзацы третий, четвертый, шестой и восьмой подпункта "о", подпункты "р" и "у" пункта 1, подпункт "в", абзацы третий - девятый подпункта "г", абзац девятый подпункта "з", подпункт "и", абзацы четвертый - шестой подпункта "к", подпункт "л", абзац первый в части, касающейся пункта 21, абзацы шестой - девятый подпункта "р" пункта 2 изменений, которые вносятся в постановление Правительства Российской Федерации от 27 марта 2018 г. N 332, утвержденных постановлением Правительства Российской Федерации от 6 апреля 2021 г. N 551 "О внесении изменений в постановление Правительства Российской Федерации от 27 марта 2018 г. N 332" (Собрание законодательства Российской Федерации, 2018, N 14, ст. 1981; 2021, N 16, ст. 2773).

10. Абзацы второй - четвертый, шестой и седьмой подпункта "а", подпункт "б" пункта 27 изменений, которые вносятся в акты Правительства Российской Федерации, утвержденных постановлением Правительства Российской Федерации от 11 сентября 2021 г. N 1539 "О внесении изменений в некоторые акты Правительства Российской Федерации" (Собрание законодательства Российской Федерации, 2021, N 39, ст. 6710).