Приказ Минстроя РФ от 01.10.2021 N 707/ПР

"Об утверждении Методики определения стоимости работ по подготовке проектной документации"
Редакция от 08.06.2023 — Действует с 25.08.2023
Показать изменения

Зарегистрировано в Минюсте России 30 декабря 2021 г. N 66751


МИНИСТЕРСТВО СТРОИТЕЛЬСТВА И ЖИЛИЩНО-КОММУНАЛЬНОГО ХОЗЯЙСТВА РОССИЙСКОЙ ФЕДЕРАЦИИ

ПРИКАЗ
от 1 октября 2021 г. N 707/пр

ОБ УТВЕРЖДЕНИИ МЕТОДИКИ ОПРЕДЕЛЕНИЯ СТОИМОСТИ РАБОТ ПО ПОДГОТОВКЕ ПРОЕКТНОЙ ДОКУМЕНТАЦИИ

(в ред. Приказа Минстроя РФ от 08.06.2023 N 409/пр)

В соответствии с пунктом 33 статьи 1, пунктом 7.5 части 1 статьи 6, частью 3 статьи 8.3 Градостроительного кодекса Российской Федерации (Собрание законодательства Российской Федерации, 2005, N 1, ст. 16; 2017, N 31, ст. 4740), подпунктом 5.4.23.1 пункта 5 Положения о Министерстве строительства и жилищно-коммунального хозяйства Российской Федерации, утвержденного постановлением Правительства Российской Федерации от 18 ноября 2013 г. N 1038 (Собрание законодательства Российской Федерации, 2013, N 47, ст. 6117; 2016, N 47, ст. 6673), приказываю:

1. Утвердить прилагаемую Методику определения стоимости работ по подготовке проектной документации.

2. Контроль за исполнением настоящего приказа возложить на заместителя Министра строительства и жилищно-коммунального хозяйства Российской Федерации С.Г. Музыченко.

И.о. Министра
А.Н. ЛОМАКИН

УТВЕРЖДЕНА
приказом Министерства строительства
и жилищно-коммунального
хозяйства Российской Федерации
от 1 октября 2021 г. N 707/пр

МЕТОДИКА ОПРЕДЕЛЕНИЯ СТОИМОСТИ РАБОТ ПО ПОДГОТОВКЕ ПРОЕКТНОЙ ДОКУМЕНТАЦИИ

(в ред. Приказа Минстроя РФ от 08.06.2023 N 409/пр)

I. Общие положения

1. Методика определения стоимости работ по подготовке проектной документации (далее - Методика) устанавливает порядок определения сметной стоимости работ по подготовке проектной и (или) рабочей документации для строительства, реконструкции, капитального ремонта, сноса объектов капитального строительства, работ по сохранению объектов культурного наследия (далее соответственно - стоимость проектных работ, проектная и (или) рабочая документация для строительства, строительство) на основании сметных нормативов на работы по подготовке проектной и (или) рабочей документации, нормативных затрат на работы по подготовке проектной документации (далее - НЗ на проектные работы), а также порядок разработки НЗ на проектные работы. (в ред. Приказа Минстроя РФ от 08.06.2023 N 409/пр)

2. Порядок разработки НЗ на проектные работы приведен в главах II - VI Методики. Порядок определении стоимости проектных работ с применением НЗ на проектные работы приведен в главах VII - X Методики. (в ред. Приказа Минстроя РФ от 08.06.2023 N 409/пр)

3. Положения глав VII - X Методики применяются при определении стоимости проектных работ, выполняемых для осуществления строительства на территории Российской Федерации, финансируемого с привлечением средств бюджетов бюджетной системы Российской Федерации, средств юридических лиц, созданных Российской Федерацией, субъектами Российской Федерации, муниципальными образованиями, юридических лиц, доля в уставных (складочных) капиталах которых Российской Федерации, субъектов Российской Федерации, муниципальных образований составляет более 50 процентов, а также стоимости проектных работ капитального ремонта многоквартирного дома (общего имущества в многоквартирном доме), осуществляемого полностью или частично за счет средств специализированной некоммерческой организации, которая осуществляет деятельность, направленную на обеспечение капитального ремонта общего имущества в многоквартирных домах, товарищества собственников жилья, жилищного, жилищно-строительного или иного специализированного потребительского кооператива либо средств собственников помещений в многоквартирном доме, и в иных случаях, если это предусмотрено федеральным законом или договором, с использованием НЗ на проектные работы. (в ред. Приказа Минстроя РФ от 08.06.2023 N 409/пр)

Стоимость проектных работ с применением НЗ на проектные работы определяется как в объеме разработки всех разделов проектной документации, так и при определении стоимости подготовки отдельных разделов проектной документации, требование о необходимости разработки которых установлено статьей 48 Градостроительного кодекса Российской Федерации (Собрание законодательства Российской Федерации, 2005, N 1, ст. 16; 2021, N 27, ст. 5103). (в ред. Приказа Минстроя РФ от 08.06.2023 N 409/пр)

4. Основным методом определения стоимости проектных работ по подготовке проектной и (или) рабочей документации для строительства с использованием НЗ на проектные работы является метод определения стоимости проектных работ в зависимости от основных технико-экономических показателей проектируемого объекта строительства, характеризующих трудоемкость комплекса проектных работ (далее - натуральные показатели). (в ред. Приказа Минстроя РФ от 08.06.2023 N 409/пр)

Для определения стоимости работ по подготовке проектной и (или) рабочей документации в зависимости от натуральных показателей в составе НЗ на проектные работы разрабатываются параметры цены проектных работ в порядке, установленном в главах II - VI Методики. (в ред. Приказа Минстроя РФ от 08.06.2023 N 409/пр)

В случае отсутствия в НЗ на проектные работы необходимых параметров цены проектных работ, разработанных в зависимости от натуральных показателей, или в случае невозможности определения зависимости стоимости проектных работ от натуральных показателей проектируемого объекта строительства применяется метод определения стоимости проектных работ в зависимости от показателей стоимости строительства объекта с применением нормативов цены проектных работ. (в ред. Приказа Минстроя РФ от 08.06.2023 N 409/пр)

Нормативы цены проектных работ, отражающие зависимость стоимости проектных работ от стоимости строительства, разрабатываются в порядке, установленном главой IV Методики.

5. При разработке НЗ на проектные работы выбор метода его разработки (в зависимости от натуральных показателей или от показателей стоимости строительства) осуществляется и обосновывается разработчиком НЗ на проектные работы, определяемым в соответствии планом утверждения (актуализации) сметных нормативов, который формируется в соответствии с пунктом 4 Порядка утверждения сметных нормативов, утвержденного приказом Министерства строительства и жилищно-коммунального хозяйства Российской Федерации от 13 января 2020 г. N 2/пр (зарегистрирован Министерством юстиции Российской Федерации 18 февраля 2020 г., регистрационный N 57527) (далее - план утверждения (актуализации) сметных нормативов), и согласовывается заказчиком разработки НЗ на проектные работы. Обоснование метода разработки НЗ на проектные работы приводится в пояснительной записке, прилагаемой к проекту разработанного НЗ на проектные работы. (в ред. Приказа Минстроя РФ от 08.06.2023 N 409/пр)

6. Сведения о НЗ на проектные работы, разработанных и утвержденных в соответствии с Методикой, включаются в федеральный реестр сметных нормативов, формируемый Министерством строительства и жилищно-коммунального хозяйства Российской Федерации в соответствии с Порядком формирования и ведения федерального реестра сметных нормативов, утвержденным приказом Министерства строительства и жилищно-коммунального хозяйства Российской Федерации от 24 октября 2017 г. N 1470/пр (зарегистрирован Министерством юстиции Российской Федерации 14 мая 2018 г., регистрационный N 51079) (далее - ФРСН). (в ред. Приказа Минстроя РФ от 08.06.2023 N 409/пр)

II. Общие указания по разработке НЗ на проектные работы (в ред. Приказа Минстроя РФ от 08.06.2023 N 409/пр)

7. НЗ на проектные работы разрабатываются в соответствии с требованиями к содержанию проектной документации, определяемыми действующими на дату представления на утверждение НЗ на проектные работы стандартами, применяемыми при разработке проектной документации, требованиями нормативных правовых актов и технических документов, регламентирующих вопросы архитектурно-строительного проектирования и безопасной эксплуатации объектов капитального строительства. (в ред. Приказа Минстроя РФ от 08.06.2023 N 409/пр)

8. При разработке НЗ на проектные работы используется перечень условных обозначений и сокращений, предназначенный для применения при разработке НЗ на проектные работы, приведенный в приложении N 1 к Методике. (в ред. Приказа Минстроя РФ от 08.06.2023 N 409/пр)

9. Разрабатываемые цены НЗ на проектные работы учитывают стоимость разработки разделов проектной документации на строительство объектов капитального строительства, предусмотренных Положением о составе разделов проектной документации и требованиях к их содержанию, утвержденным постановлением Правительства Российской Федерации от 16 февраля 2008 г. N 87 (Собрание законодательства Российской Федерации, 2008, N 8, ст. 744; 2021, N 16, ст. 2787) (далее - Положение N 87). (в ред. Приказа Минстроя РФ от 08.06.2023 N 409/пр)

10. В качестве исходных данных для разработки цены НЗ на проектные работы используются следующие данные по объектам капитального строительства, выбранным из числа аналогичных объектов капитального строительства по принципу их совокупного соответствия функциональному назначению, архитектурным и конструктивным решениям и аналогичным техническим характеристикам, принятым для включаемого в состав НЗ на проектные работы объекта капитального строительства (далее - объекты-представители): (в ред. Приказа Минстроя РФ от 08.06.2023 N 409/пр)

а) сметная документация, включая сводку затрат (при наличии), сводный сметный расчет стоимости строительства (далее - ССР), объектные и локальные сметные расчеты (сметы), сметные расчеты на отдельные виды затрат;

б) сметные расчеты (сметы) на работы по подготовке проектной и (или) рабочей документации;

в) проектная документация, имеющая положительное заключение государственной экспертизы проектной документации о ее соответствии результатам инженерных изысканий, заданию на проектирование, требованиям, предусмотренным пунктом 1 части 5 статьи 49 Градостроительного кодекса Российской Федерации (Собрание законодательства Российской Федерации, 2005, N 1, ст. 16; 2018, N 32, ст. 5135), за исключением случаев проведения экспертизы проектной документации в соответствии с пунктом 1 части 3.3 статьи 49 Градостроительного кодекса Российской Федерации (Собрание законодательства Российской Федерации, 2005, N 1, ст. 16; 2018, N 32, ст. 5135), и о достоверности определения сметной стоимости строительства объектов капитального строительства в случаях, установленных частью 2 статьи 8.3 Градостроительного кодекса Российской Федерации (Собрание законодательства Российской Федерации, 2005, N 1, ст. 16; 2020, N 31, ст. 5023);

г) рабочая документация;

д) положительное заключение государственной экспертизы проектной документации;

е) задание на проектирование.

Выбор объектов-представителей осуществляется разработчиком НЗ на проектные работы, определенным планом утверждения (актуализации) сметных нормативов, и согласовывается заказчиком разработки НЗ на проектные работы. (в ред. Приказа Минстроя РФ от 08.06.2023 N 409/пр)

11. По объектам, сметная стоимость строительства которых не подлежит проверке на предмет достоверности ее определения в ходе проведения государственной экспертизы проектной документации либо не подлежала такой проверке на момент подготовки сметной документации по объекту-представителю, в качестве исходных данных для разработки НЗ на проектные работы используется проектная документация, утвержденная в соответствии с частью 15 статьи 48 Градостроительного кодекса Российской Федерации (Собрание законодательства Российской Федерации, 2005, N 1, ст. 16; 2019, N 26, ст. 3317). (в ред. Приказа Минстроя РФ от 08.06.2023 N 409/пр)

12. Для объектов капитального строительства, в отношении которых согласно части 2 статьи 49 Градостроительного кодекса Российской Федерации (Собрание законодательства Российской Федерации, 2005, N 1, ст. 16; 2011, N 49, ст. 7015) не требуется проведение государственной экспертизы проектной документации, в качестве исходных данных при разработке НЗ на проектные работы используется проектная документация, утвержденная в соответствии с частью 15 статьи 48 Градостроительного кодекса Российской Федерации. При этом проектная документация в соответствии с частью 2 статьи 8.3 Градостроительного кодекса Российской Федерации должна иметь положительное заключение о достоверности определения сметной стоимости строительства объекта капитального строительства. (в ред. Приказа Минстроя РФ от 08.06.2023 N 409/пр)

13. При разработке НЗ на проектные работы не используется проектная документация, разработанная для строительства объектов капитального строительства в районах развития опасных геологических процессов и грунтов с особыми свойствами, а также на подрабатываемых территориях, за исключением случаев, когда НЗ на проектные работы разрабатываются для определения стоимости проектной документации на производство работ и (или) проектирование объектов для строительства в указанных в настоящем пункте условиях. (в ред. Приказа Минстроя РФ от 08.06.2023 N 409/пр)

14. Разработка НЗ на проектные работы осуществляется в соответствии с положениями настоящей главы Методики по номенклатуре, определенной планом утверждения (актуализации) сметных нормативов. (в ред. Приказа Минстроя РФ от 08.06.2023 N 409/пр)

15. При разработке НЗ на проектные работы необходимо руководствоваться следующими условиями: (в ред. Приказа Минстроя РФ от 08.06.2023 N 409/пр)

а) параметры и нормативы цены проектных работ разрабатываются в текущем уровне цен по состоянию на 1 января года разработки НЗ на проектные работы; (в ред. Приказа Минстроя РФ от 08.06.2023 N 409/пр)

б) в случаях, когда год разработки и год утверждения НЗ на проектные работы не совпадают, дополнительно выполняется пересчет параметров и (или) нормативов цены проектных работ, включенных в такие НЗ на проектные работы, в текущий уровень цен с применением к ним коэффициента изменения сметной стоимости проектных работ, рассчитанного как отношение индексов изменения сметной стоимости проектных работ для строительства, информация о которых размещена в федеральной государственной информационной системе ценообразования в строительстве, созданной и эксплуатируемой в соответствии с Положением о федеральной государственной информационной системе ценообразования в строительстве, утвержденным постановлением Правительства Российской Федерации от 23 сентября 2016 г. N 959 (Собрание законодательства Российской Федерации, 2016, N 40, ст. 5741; 2020, N 48, ст. 7765) (далее соответственно - индекс изменения сметной стоимости проектных работ, ФГИС ЦС), действующих на 1 января года, в котором утверждается разработанная редакция НЗ на проектные работы к соответствующим индексам изменения сметной стоимости проектных работ, действовавшим на 1 января года разработки НЗ на проектные работы; (в ред. Приказа Минстроя РФ от 08.06.2023 N 409/пр)

в) в ценах проектных работ, определяемых на основании параметров и нормативов цены проектных работ, учитываются затраты на оплату труда производственного персонала и административно-управленческого персонала, страховые платежи (взносы) по обязательному страхованию персонала, амортизацию (аренду) основных средств и расходы по всем видам их ремонта, материальные затраты, затраты на содержание зданий и арендную плату, налоги и сборы (кроме налога на добавленную стоимость), установленные законодательством Российской Федерации о налогах и сборах, а также прибыль;

г) параметры и нормативы цены проектных работ разрабатываются на весь объем проектных работ, включающий подготовку проектной и (или) рабочей документации. Для отдельных разделов проектной документации, по которым подготовка рабочей документации не требуется, параметры и нормативы цены проектных работ разрабатываются на объем работ, включающий подготовку только проектной документации;

д) при наличии факторов, усложняющих или упрощающих проектирование объекта строительства, в составе НЗ на проектные работы предусматриваются корректирующие коэффициенты, разрабатываемые в соответствии с пунктами 78 - 81 Методики, представляющие собой числовые показатели, отражающие изменение трудоемкости выполнения проектных работ при наличии усложняющего или упрощающего фактора. Цена проектных работ, определяемая с учетом корректирующих коэффициентов, является основой для расчета стоимости проектных работ; (в ред. Приказа Минстроя РФ от 08.06.2023 N 409/пр)

е) в случаях, если подготовка иной технической документации предусмотрена нормативными правовыми актами или техническими документами, регламентирующими вопросы архитектурно-строительного проектирования, в НЗ на проектные работы учитывается стоимость подготовки такой документации; (в ред. Приказа Минстроя РФ от 08.06.2023 N 409/пр)

ж) для раздельного определения стоимости проектных работ в составе НЗ на проектные работы разрабатывается и приводится распределение цены проектных работ по видам документации (проектная документация, рабочая документация, иная техническая документация (при наличии), предназначенная для строительства); (в ред. Приказа Минстроя РФ от 08.06.2023 N 409/пр)

з) в состав НЗ на проектные работы включаются перечень разделов проектной документации и соответствующих комплектов рабочей документации, и перечень основных проектных работ, стоимость разработки которых учтена ценами НЗ на проектные работы, либо указывается ссылка на нормативные правовые акты и технические документы, регламентирующие вопросы архитектурно-строительного проектирования объектов, для которых выполняется разработка НЗ на проектные работы (далее - технические документы архитектурно-строительного проектирования объектов); (в ред. Приказа Минстроя РФ от 08.06.2023 N 409/пр)

и) в составе НЗ на проектные работы разрабатываются таблицы относительной стоимости проектных работ по разделам проектной документации и соответствующим комплектам рабочей документации или по видам выполняемых проектных работ (составных частей комплекса проектных работ), за исключением случаев разработки НЗ на проектные работы, предназначенных для определения стоимости отдельных разделов проектной документации; (в ред. Приказа Минстроя РФ от 08.06.2023 N 409/пр)

к) в НЗ на проектные работы включается перечень дополнительных проектных работ, сопутствующих работ и расходов, стоимость разработки которых не учтена ценами НЗ на проектные работы (при наличии). При этом дополнительные проектные работы, относящиеся к функциям заказчика и выполняемые проектной организацией по его поручению, выделяются в отдельный пункт; (в ред. Приказа Минстроя РФ от 08.06.2023 N 409/пр)

л) перечень разделов проектной документации по работам, учитываемым и не учитываемым параметрами и нормативами цены проектных работ, определяется в соответствии с требованиями Положения N 87;

м) при определении перечня разделов рабочей документации и перечня проектных работ, учитываемых и не учитываемых параметрами и нормативами цены проектных работ, следует руководствоваться требованиями к содержанию рабочей документации, определяемыми стандартами, применяемыми при разработке рабочей документации, а также требованиями нормативных правовых актов и технических документов архитектурно-строительного проектирования объектов, для которых выполняется разработка НЗ на проектные работы (государственные стандарты, своды правил, строительные нормы, действующие на дату представления НЗ на проектные работы на утверждение (далее соответственно - ГОСТ, СП). (в ред. Приказа Минстроя РФ от 08.06.2023 N 409/пр)

16. В состав НЗ на проектные работы при их разработке включаются следующие главы: (в ред. Приказа Минстроя РФ от 08.06.2023 N 409/пр)

а) "Общие положения";

б) "Способы определения стоимости проектных работ";

в) "Параметры и (или) нормативы цены проектных работ";

г) "Корректирующие коэффициенты", учитывающие усложняющие (например, опасные природные процессы и явления, сложные природные условия, (пункты 12, 22 части 2 статьи 2 Федерального закона от 30 декабря 2009 г. N 384-ФЗ "Технический регламент о безопасности зданий и сооружений" (Собрание законодательства Российской Федерации, 2010 N 1, ст. 5) (далее - Федеральный закон N 384-ФЗ), а также проектирование объектов капитального строительства с установкой импортного основного технологического оборудования, применяемого в Российской Федерации впервые) или упрощающие (отсутствие необходимости выполнения какого-то вида или раздела проектных работ) факторы и условия проектирования (при наличии);

д) Приложения.

Уточненный перечень глав устанавливается заказчиком разработки сметного норматива в техническом задании на разработку НЗ на проектные работы. (в ред. Приказа Минстроя РФ от 08.06.2023 N 409/пр)

17. В главе "Общие положения" НЗ на проектные работы приводятся: (в ред. Приказа Минстроя РФ от 08.06.2023 N 409/пр)

а) область применения НЗ на проектные работы; (в ред. Приказа Минстроя РФ от 08.06.2023 N 409/пр)

б) наименование вида объектов строительства (зданий, сооружений, систем) и (или) раздела проектной документации, и (или) вида проектных работ, для определения стоимости которых применяется НЗ на проектные работы; (в ред. Приказа Минстроя РФ от 08.06.2023 N 409/пр)

в) перечень видов объектов строительства и (или) проектных работ, для которых разработаны параметры и нормативы цены проектных работ;

г) уровень цен, установленный в НЗ на проектные работы; (в ред. Приказа Минстроя РФ от 08.06.2023 N 409/пр)

д) таблица распределения цены проектных работ по видам документации (проектная документация, рабочая документация, иная техническая документация, предназначенная для строительства (при наличии);

е) перечень основных проектных работ, учтенных параметрами или нормативами цены проектных работ, и (или) ссылка на технический документ архитектурно-строительного проектирования объекта, в соответствии с которым данный перечень установлен;

ж) перечень дополнительных проектных работ, не учтенных параметрами или нормативами цены проектных работ, с выделением работ, относящихся к функциям заказчика и выполняемых проектной организацией по его поручению;

з) перечень сопутствующих работ и расходов, не учтенных параметрами или нормативами цены проектных работ, требующихся для подготовки проектной и (или) рабочей документации (при наличии);

и) рекомендации по определению стоимости дополнительных проектных работ;

к) рекомендации по определению стоимости проектирования объектов строительства, не вошедших в номенклатуру НЗ на проектные работы; (в ред. Приказа Минстроя РФ от 08.06.2023 N 409/пр)

л) виды объектов строительства и (или) проектных работ, для определения стоимости которых применение НЗ на проектные работы не допускается (при наличии). (в ред. Приказа Минстроя РФ от 08.06.2023 N 409/пр)

18. В главе "Способы определения стоимости проектных работ" НЗ на проектные работы приводятся: (в ред. Приказа Минстроя РФ от 08.06.2023 N 409/пр)

а) формула для расчета цены проектных работ в зависимости от метода определения стоимости проектных работ (от натуральных показателей либо от стоимости строительства объекта);

б) формула для определения стоимости проектных работ;

в) принятый натуральный показатель;

г) методические положения по определению стоимости отдельных видов проектных работ, распространяющиеся на все виды объектов строительства, предусмотренных в НЗ на проектные работы (в случае если данные работы не учтены параметрами или нормативами цены); (в ред. Приказа Минстроя РФ от 08.06.2023 N 409/пр)

д) по отдельным видам проектных работ при наличии нескольких категорий сложности проектирования объектов строительства или отдельных характеристик, влияющих на трудоемкость проектных работ, в НЗ на проектные работы приводится классификация объектов строительства по категориям сложности или указанным характеристикам соответственно; (в ред. Приказа Минстроя РФ от 08.06.2023 N 409/пр)

е) корректирующие коэффициенты, учитывающие усложняющие (упрощающие) факторы проектирования, действие которых распространяется на все или большинство объектов строительства, предусмотренных НЗ на проектные работы; (в ред. Приказа Минстроя РФ от 08.06.2023 N 409/пр)

ж) процентное распределение цены проектных работ по отдельным видам работ. Разрабатывается в составе НЗ на проектные работы, предназначенных для определения стоимости отдельных разделов проектной документации; (в ред. Приказа Минстроя РФ от 08.06.2023 N 409/пр)

з) перечень сооружений, входящих в состав объекта (объектов) строительства, для которого (которых) разработана цена НЗ на проектные работы, с процентным распределением цены проектных работ по отдельным зданиям и сооружениям (в случае разработки цен проектных работ для комплексных объектов). (в ред. Приказа Минстроя РФ от 08.06.2023 N 409/пр)

19. В главе "Параметры и (или) нормативы цены проектных работ" НЗ на проектные работы приводятся параметры и (или) нормативы цены проектных работ, сгруппированные в соответствующие таблицы исходя из видов объектов строительства, их функционального назначения или вида проектных работ. (в ред. Приказа Минстроя РФ от 08.06.2023 N 409/пр)

При наличии разъяснений о применении параметров и (или) нормативов цены проектных работ по отдельным объектам строительства или видам проектных работ, они включаются в примечания к соответствующей таблице.

20. При наличии примечаний к таблицам параметров и (или) нормативов цены проектных работ в состав таблиц включаются корректирующие коэффициенты, применяемые к параметрам и (или) нормативам цены проектных работ по отдельным видам объектов строительства или проектных работ.

Рекомендуемые образцы таблиц параметров и нормативов цены проектных работ, включаемых в НЗ на проектные работы, а также корректирующих коэффициентов, учитывающих усложняющие (упрощающие) факторы (при наличии), с образцом заполнения приведены в приложении N 3 к Методике. (в ред. Приказа Минстроя РФ от 08.06.2023 N 409/пр)

21. Глава "Корректирующие коэффициенты" НЗ на проектные работы формируется в случае наличия в составе НЗ на проектные работы корректирующих коэффициентов, сгруппированных в несколько таблиц. Необходимость разработки отдельной главы "Корректирующие коэффициенты" определяется разработчиком НЗ на проектные работы. (в ред. Приказа Минстроя РФ от 08.06.2023 N 409/пр)

22. В состав приложений к НЗ на проектные работы следует включать: (в ред. Приказа Минстроя РФ от 08.06.2023 N 409/пр)

а) таблицы относительной стоимости проектных работ по разделам проектной документации и соответствующим комплектам рабочей документации (за исключением случаев разработки параметров и нормативов цены проектных работ, предназначенных для определения стоимости отдельных разделов проектной документации, либо отдельных видов проектных работ);

б) примеры определения стоимости проектных работ;

в) расшифровку условных обозначений;

г) справочные и иные материалы.

23. Уточненный перечень приложений к НЗ на проектные работы устанавливается заказчиком разработки сметного норматива в техническом задании на разработку НЗ на проектные работы. (в ред. Приказа Минстроя РФ от 08.06.2023 N 409/пр)

24. В НЗ на проектные работы включаются таблицы, содержащие процентное распределение относительной стоимости проектных работ по разделам проектной документации и соответствующим комплектам рабочей документации (далее - таблицы относительной стоимости), оформленные согласно рекомендуемому образцу "Таблица относительной стоимости проектных работ по разделам проектной документации и соответствующим комплектам рабочей документации", приведенной в приложении N 3 к Методике. (в ред. Приказа Минстроя РФ от 08.06.2023 N 409/пр)

Таблицы относительной стоимости формируются для каждой таблицы цен НЗ на проектные работы в соответствии с требованиями к составу и содержанию разделов проектной документации, установленных Положением N 87, а также в соответствии с требованиями к содержанию рабочей документации, устанавливаемыми национальными стандартами, с учетом отраслевой специфики. (в ред. Приказа Минстроя РФ от 08.06.2023 N 409/пр)

Решение о разработке данного приложения к НЗ на проектные работы принимается заказчиком разработки НЗ на проектные работы и отражается в техническом задании на разработку НЗ на проектные работы. (в ред. Приказа Минстроя РФ от 08.06.2023 N 409/пр)

25. Таблицы, содержащие процентное распределение цены проектных работ, разрабатываются расчетно-аналитическим методом на основании предоставляемых проектными организациями, имеющими опыт проектирования рассматриваемых объектов строительства, данных об относительной трудоемкости подготовки разделов проектной документации и соответствующих комплектов рабочей документации, выраженной в процентах от общей трудоемкости проектных работ, предусмотренных данной ценой НЗ на проектные работы, принятой за 100%, и подписываются уполномоченными лицами этих организаций. (в ред. Приказа Минстроя РФ от 08.06.2023 N 409/пр)

26. Рекомендуемые образцы таблиц относительной стоимости проектных работ по разделам проектной документации и соответствующим комплектам рабочей документации, приведены в приложении N 3 к Методике.

27. В состав приложения "Примеры определения стоимости проектных работ" к НЗ на проектные работы включается один или несколько примеров определения стоимости проектных работ на основании НЗ на проектные работы, демонстрирующих следующую последовательность работ: (в ред. Приказа Минстроя РФ от 08.06.2023 N 409/пр)

а) определение цены проектных работ;

б) применение корректирующих коэффициентов;

в) определение стоимости проектных работ.

28. Приложение "Расшифровка условных обозначений и сокращений" к НЗ на проектные работы разрабатывается в случае использования в НЗ на проектные работы обозначений и (или) сокращений. (в ред. Приказа Минстроя РФ от 08.06.2023 N 409/пр)

29. Приложение "Справочные и иные материалы" к НЗ на проектные работы включается в состав НЗ на проектные работы при их наличии. При наличии указанного приложения в его состав включаются справочные материалы, учитывающие специфику объектов строительства и видов проектных работ, в отношении которых разрабатывается НЗ на проектные работы, для удобства применения данной НЗ на проектные работы. (в ред. Приказа Минстроя РФ от 08.06.2023 N 409/пр)

30. Разработка НЗ на проектные работы осуществляется в следующей последовательности: (в ред. Приказа Минстроя РФ от 08.06.2023 N 409/пр)

а) определяется номенклатура объектов проектирования, для которых разрабатываются параметры и нормативы цены, подлежащие включению в состав НЗ на проектные работы; (в ред. Приказа Минстроя РФ от 08.06.2023 N 409/пр)

б) осуществляется выбор объектов-представителей, сбор и предварительный анализ необходимых исходных данных по объектам-представителям;

в) осуществляется разработка структуры и содержания НЗ на проектные работы; (в ред. Приказа Минстроя РФ от 08.06.2023 N 409/пр)

г) осуществляется разработка главы "Общие положения" НЗ на проектные работы; (в ред. Приказа Минстроя РФ от 08.06.2023 N 409/пр)

д) определяется способ расчета цен проектных работ в зависимости от натуральных показателей либо от стоимости строительства;

е) осуществляется выбор метода расчета стоимостного показателя проектных работ, представляющего собой величину стоимости проектных работ по объекту-представителю, полученную расчетно-аналитическим методом в соответствии с Методикой и предназначенную для расчета параметров и нормативов цены проектных работ, включаемых в НЗ на проектные работы (далее - стоимостной показатель проектных работ): (в ред. Приказа Минстроя РФ от 08.06.2023 N 409/пр)

расчетно-аналитический метод в зависимости от стоимости строительства;

расчетно-аналитический метод на основании трудозатрат проектировщиков;

ж) осуществляется расчет стоимостных показателей проектных работ на основании данных по объектам-представителям;

з) осуществляется расчет параметров цены проектных работ (параметры "a" и "b") либо нормативов цены проектных работ "" в зависимости от метода определения стоимости проектных работ, предусмотренного НЗ на проектные работы; (в ред. Приказа Минстроя РФ от 08.06.2023 N 409/пр)

и) осуществляется формирование таблиц, содержащих параметры цены проектных работ (параметры "а" и "в"), либо нормативы цены проектных работ "";

к) определяется состав усложняющих и упрощающих факторов, влияющих на трудоемкость проектирования, указанных в подпункте "г" пункта 16 Методики;

л) разрабатываются корректирующие коэффициенты, учитывающие усложняющие и упрощающие факторы (при наличии);

м) осуществляется разработка таблиц относительной стоимости проектных работ по разделам проектной документации и соответствующим комплектам рабочей документации (за исключением случаев разработки НЗ на проектные работы, предназначенных для определения стоимости отдельных разделов проектной документации); (в ред. Приказа Минстроя РФ от 08.06.2023 N 409/пр)

н) осуществляется разработка примеров расчета стоимости проектных работ на основании параметров и нормативов цены проектных работ, включаемых в НЗ на проектные работы; (в ред. Приказа Минстроя РФ от 08.06.2023 N 409/пр)

о) приводится расшифровка условных обозначений (при наличии);

п) осуществляется разработка справочных и иных материалов (при наличии);

р) формируется проект НЗ на проектные работы в целом. (в ред. Приказа Минстроя РФ от 08.06.2023 N 409/пр)

31. Номенклатура объектов строительства и видов проектных работ, включаемых в НЗ на проектные работы, формируется в соответствии со следующими требованиями: (в ред. Приказа Минстроя РФ от 08.06.2023 N 409/пр)

а) номенклатура объектов строительства, включаемых в НЗ на проектные работы, устанавливается заказчиком сметного норматива в техническом задании на разработку НЗ на проектные работы. Данная номенклатура уточняется, укрупняется или детализируется разработчиком в процессе разработки НЗ на проектные работы с учетом предложений заинтересованных федеральных органов исполнительной власти (далее - ФОИВ) и (или) юридических лиц, осуществляющих проектирование объектов, указанных в НЗ на проектные работы; (в ред. Приказа Минстроя РФ от 08.06.2023 N 409/пр)

б) укрупнение номенклатуры объектов, включаемых в НЗ на проектные работы, производится путем группировки объектов по видам функционального назначения, видам производства или по отраслевой (ведомственной) принадлежности при условии согласованного заказчиком разработки сметного норматива обоснования целесообразности усреднения стоимостных показателей проектных работ по группируемым объектам; (в ред. Приказа Минстроя РФ от 08.06.2023 N 409/пр)

в) детализация номенклатуры объектов, включаемых в НЗ на проектные работы, производится путем выделения отдельных объектов с отличительными техническими и (или) функциональными характеристиками, оказывающими существенное влияние на трудоемкость проектных работ, и для которых невозможно усреднить стоимостные показатели проектных работ в виду их существенного различия; (в ред. Приказа Минстроя РФ от 08.06.2023 N 409/пр)

г) наименование объектов строительства и видов проектных работ, включаемых в НЗ на проектные работы, следует указывать в соответствии с наименованиями, предусмотренными классификатором объектов капитального строительства по их назначению и функционально-технологическим особенностям (для целей архитектурно-строительного проектирования и ведения единого государственного реестра заключений экспертизы проектной документации объектов капитального строительства), утвержденным приказом Министерства строительства и жилищно-коммунального хозяйства Российской Федерации от 10 июля 2020 г. N 374/пр (зарегистрирован Министерством юстиции Российской Федерации 14 августа 2020 г., регистрационный N 59273), а также к техническим документам архитектурно-строительного проектирования объектов, регламентирующих подготовку проектной и рабочей документации по данным объектам (СП, ГОСТ), действующим на дату представления НЗ на проектные работы на утверждение. (в ред. Приказа Минстроя РФ от 08.06.2023 N 409/пр)

32. Выбор натуральных показателей, определяемых в таблицах параметров цены проектных работ, включаемых в НЗ на проектные работы, осуществляется разработчиком путем установления зависимости цены проектных работ от натурального показателя и подтверждается соответствующими расчетными обоснованиями, приведенными в пояснительной записке, сформированными с учетом данных по объектам-представителям. (в ред. Приказа Минстроя РФ от 08.06.2023 N 409/пр)

33. Натуральный показатель принимается с учетом возможности определения его величины по данным проектной документации.

34. В зависимости от типов и функционального назначения объектов строительства используются следующие натуральные показатели:

а) общая площадь объекта строительства (кв. метр);

б) строительный объем объекта строительства (куб. метр);

в) протяженность объекта строительства (погонный км, погонный метр);

г) вместимость объекта строительства (количество мест, количество посещений в смену и аналогичные показатели);

д) годовой объем выпускаемой объектом строительства продукции в физических единицах;

е) мощность объекта строительства (куб. метр в час, Гкал/час, МВт);

ж) другие показатели, отражающие специфику того или иного объекта строительства.

35. В случае, если актуализация (корректировка) НЗ на проектные работы в соответствии с планом утверждения (актуализации) сметных нормативов обусловлена изменением уровня цен, предусмотренного НЗ на проектные работы, приведение параметров и (или) нормативов цены проектных работ в уровень цен актуализированной НЗ на проектные работы осуществляется путем применения к ним соответствующего индекса изменения сметной стоимости проектных работ для строительства. (в ред. Приказа Минстроя РФ от 08.06.2023 N 409/пр)

36. Актуализация (корректировка) НЗ на проектные работы, предусматривающая разработку новых или корректировку действующих параметров и нормативов цены проектных работ, корректирующих коэффициентов и других положений НЗ на проектные работы, осуществляется в соответствии с требованиями к разработке НЗ на проектные работы, установленными Методикой. (в ред. Приказа Минстроя РФ от 08.06.2023 N 409/пр)

37. Разработка НЗ на проектные работы для промышленных объектов осуществляется с учетом следующих особенностей: (в ред. Приказа Минстроя РФ от 08.06.2023 N 409/пр)

а) при разработке НЗ на проектные работы для строительства отраслевых и промышленных объектов параметры и (или) нормативы цены проектных работ следует рассчитывать на комплексный объект строительства, включающий в себя размещаемые на участке строительства здания и сооружения, с соответствующим технологическим и инженерным оборудованием, внутриплощадочные и межцеховые инженерные и транспортные сети, сооружения и устройства, необходимые для реализации функций, осуществляемых организацией данного функционального назначения; (в ред. Приказа Минстроя РФ от 08.06.2023 N 409/пр)

б) выбор метода расчета параметров и (или) нормативов цены проектных работ для определения стоимости проектных работ комплексного объекта строительства или для отдельных зданий, сооружений и коммуникаций, образующих комплекс, осуществляется разработчиком НЗ на проектные работы по согласованию с заказчиком его разработки; (в ред. Приказа Минстроя РФ от 08.06.2023 N 409/пр)

в) при расчете параметров и (или) нормативов цены проектных работ для определения стоимости проектных работ комплексного объекта строительства в составе НЗ на проектные работы приводится перечень зданий, сооружений, видов инженерных и транспортных коммуникаций, учтенных параметрами или нормативами цены проектных работ, с указанием относительной доли цены НЗ на проектные работы по каждому пункту перечня; (в ред. Приказа Минстроя РФ от 08.06.2023 N 409/пр)

г) при расчете параметров и (или) нормативов цены проектных работ на отдельные здания, сооружения и коммуникации, образующие комплекс, следует учитывать совмещение проектных работ по отдельным разделам проектной документации и соответствующим комплектам рабочей документации, возникающее при подготовке документации на комплексный объект.

III. Разработка параметров цены проектных работ, определяющих стоимость проектных работ в зависимости от натуральных показателей при разработке НЗ на проектные работы (в ред. Приказа Минстроя РФ от 08.06.2023 N 409/пр)

38. Разработка параметров цены проектных работ, определяющих стоимость проектных работ в зависимости от натуральных показателей, применяется в качестве основного метода, используемого при разработке НЗ на проектные работы.

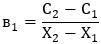
39. Параметры цены проектных работ, определяющие стоимость проектных работ в зависимости от натуральных показателей, используются при определении цены проектных работ (Ц) по формуле (3.1):

Ц = а + в x X, (3.1)

где:

Ц - цена проектных работ, тыс. руб.;

а - параметр цены проектных работ: постоянная величина, выраженная в тыс. руб.;

в - параметр цены проектных работ: постоянная величина, имеющая размерность тыс. руб. на единицу натурального показателя;

X - величина натурального показателя проектируемого объекта.

40. Параметры "а" и "в" характеризуют зависимость цены проектных работ от величины натурального показателя "X" и являются постоянными для определенного интервала изменения натурального показателя "X".

41. Зависимость цены проектных работ от величины натурального показателя выявляется на основании данных о величине стоимостного показателя проектных работ и соответствующего ему натурального показателя по нескольким объектам-представителям.

42. В случае, если в результате анализа исходных данных установлено, что изменения натурального показателя не влияют на трудоемкость проектных работ или данное влияние незначительно, цена проектных работ рассчитывается на объект в целом.

При этом в графе "натуральный показатель" приводится единица измерения "объект", а параметр "в" принимается равным нулю.

43. В случае, если трудоемкость подготовки отдельного раздела проектной документации либо отдельного вида проектных работ характеризуется зависимостью от натурального показателя, отличного от основного натурального показателя объекта, либо зависимость от натурального показателя не может быть установлена, для такого раздела или проектной работы разрабатывается отдельная НЗ на проектные работы, либо отдельные параметры и (или) нормативы цены проектных работ. При этом затраты на разработку такого раздела или выполнения проектной работы не учитываются при разработке параметров цены проектных работ для основного объекта строительства. (в ред. Приказа Минстроя РФ от 08.06.2023 N 409/пр)

44. Разработка параметров цены проектных работ, определяющих стоимость проектных работ в зависимости от натуральных показателей, осуществляется в следующей последовательности:

1) устанавливается зависимость цены проектных работ от натуральных показателей, определяется основной натуральный показатель для каждого объекта строительства;

2) выбирается метод расчета стоимостного показателя проектных работ:

для разработки параметров цены проектных работ на строительство зданий, сооружений используется расчетно-аналитический метод, установленный в зависимости от стоимости строительства объекта;

для разработки параметров отдельных видов проектных работ используется расчетно-аналитический метод, основанный на анализе трудозатрат проектировщиков по фактически выполненным проектам, а также на анализе стоимостных показателей по выполненным аналогичным работам.

45. При расчете стоимостного показателя проектных работ в зависимости от стоимости строительства для каждого объекта, подлежащего включению в состав НЗ на проектные работы, выполняется: (в ред. Приказа Минстроя РФ от 08.06.2023 N 409/пр)

1) для объектов капитального строительства, за исключением линейных объектов:

а) определение величины стоимости строительства, принимаемой для расчета стоимостного показателя проектных работ по каждому объекту-представителю;

б) определение величины норматива цены проектных работ "" для каждого объекта-представителя в соответствии с пунктом 51 Методики;

в) расчет средней величины норматива цены проектных работ "" для каждого объекта-представителя;

г) расчет стоимостного показателя проектных работ на основании средней величины норматива цены проектных работ "" для каждого объекта-представителя;

д) определение границ интервалов изменения натуральных показателей;

е) определение стоимостных показателей проектных работ для границ интервалов натуральных показателей;

ж) расчет параметров цены проектных работ (параметры "а" и "в") в соответствии с пунктами 71 - 75 Методики;

2) для линейных объектов:

а) определение величины стоимости строительства, принимаемой для расчета стоимостного показателя проектных работ по каждому объекту-представителю;

б) определение удельной стоимости строительства по каждому объекту-представителю, установленной на единицу измерителя натурального показателя, путем деления стоимости строительства на величину натурального показателя, предусмотренную проектной документацией, в уровне цен 2000 года и в текущем уровне цен по состоянию на 1 января года разработки НЗ на проектные работы; (в ред. Приказа Минстроя РФ от 08.06.2023 N 409/пр)

в) определение среднего арифметического значения удельной стоимости строительства исходя из данных о удельных стоимостях строительства по каждому объекту-представителю в уровне цен 2000 года и в текущем уровне цен по состоянию на 1 января года разработки НЗ на проектные работы; (в ред. Приказа Минстроя РФ от 08.06.2023 N 409/пр)

г) определение границ интервалов изменения натуральных показателей;

д) определение величины норматива цены проектных работ "" на основании среднего арифметического значения удельной стоимости строительства в соответствии с пунктом 51 Методики для пограничных значений интервалов изменения натуральных показателей;

е) расчет средней величины норматива цены проектных работ "" для пограничных значений интервалов изменения натуральных показателей;

ж) расчет стоимостного показателя проектных работ на основании средней величины норматива цены проектных работ "" для пограничных значений интервалов изменения натуральных показателей;

з) определение стоимостных показателей проектных работ для пограничных значений интервалов изменения натуральных показателей;

и) расчет параметров цены проектных работ (параметры "а" и "в") в соответствии с пунктами 71 - 75 Методики.

46. Последовательность разработки параметров цены проектных работ при расчете стоимостных показателей проектных работ расчетно-аналитическим методом, основанном на анализе трудозатрат проектировщиков по фактически выполненным проектам, представлена в пунктах 100 - 110 Методики.

47. Стоимостной показатель проектных работ по нормативу цены проектных работ "" определяется в процентах от сметной стоимости строительства расчетно-аналитическим методом, установленным в зависимости от стоимости строительства объекта.

48. В сметной стоимости строительства, принимаемой для определения стоимостного показателя проектных работ, учитывается сметная стоимость строительно-монтажных работ и сметная стоимость оборудования по главам 1 - 9 ССР (далее - сметная стоимость строительства), определяемая в соответствии со сметными нормативами, включенными в ФРСН.

49. При этом доля стоимости технологического оборудования, подлежащего включению в сметную стоимость строительства объекта, принимаемая для определения стоимостного показателя проектных работ, определяется при разработке НЗ на проектные работы исходя из специфики проектирования включаемых в него объектов и обосновывается расчетами. (в ред. Приказа Минстроя РФ от 08.06.2023 N 409/пр)

50. Затраты на строительно-монтажные работы и оборудование, соответствующие объему проектных работ, который согласно общим положениям разрабатываемой НЗ на проектные работы относится к дополнительному (неучтенному), исключаются из стоимости строительства объекта, принимаемой для расчета стоимостного показателя проектных работ. (в ред. Приказа Минстроя РФ от 08.06.2023 N 409/пр)

При расчете величины процентного отношения стоимости проектных работ по данным объекта-представителя из стоимости проектных работ исключаются затраты на проектные работы, которые в соответствии с общими положениями разрабатываемой НЗ на проектные работы относятся к дополнительным (неучтенным). (в ред. Приказа Минстроя РФ от 08.06.2023 N 409/пр)

51. Норматив цены проектных работ "" при разработке параметров цены проектных работ для объектов капитального строительства рассчитывается как среднее арифметическое значение величин процентного отношения стоимости проектных работ к стоимости строительства объекта-представителя, рассчитанных на основании следующих методов:

1) использование значений таблиц 1.5 - 1.28, приведенных в приложении N 2 к Методике:

а) значения таблицы 1.5, приведенной в приложении N 2 к Методике, применяются при определении величины процентного отношения стоимости проектных работ для объектов капитального строительства непроизводственного назначения и линейных объектов, за исключением линейных объектов, приведенных в таблицах 1.8, 1.20 приложения N 2 к Методике, к сметной стоимости их строительства;

б) значения таблицы 1.6, приведенной в приложении N 2 к Методике, применяются при определении величины процентного отношения стоимости проектных работ для объектов использования атомной энергии к сметной стоимости их строительства;

в) значения таблицы 1.7, приведенной в приложении N 2 к Методике, применяются при определении величины процентного отношения стоимости проектных работ для электротехнических устройств напряжением 35 - 1150 кВ, за исключением воздушных линий электропередачи напряжением 35 - 1150 кВ и кабельных линий напряжением 110 - 500 кВ, к сметной стоимости их строительства;

г) значения таблицы 1.8, приведенной в приложении N 2 к Методике, применяются при определении величины процентного отношения стоимости проектных работ для воздушных линий электропередачи напряжением 35 - 1150 кВ и кабельных линий напряжением 110 - 500 кВ к сметной стоимости их строительства;

д) значения таблицы 1.9, приведенной в приложении N 2 к Методике, применяются при определении величины процентного отношения стоимости проектных работ для паротурбинных конденсационных электрических станций (далее - КЭС) с блоками единичной мощностью до 300 мВт к сметной стоимости их строительства;

е) значения таблицы 1.10, приведенной в приложении N 2 к Методике, применяются при определении величины процентного отношения стоимости проектных работ для КЭС с блоками единичной мощностью 500 мВт, 800 мВт и теплофикационных электрических станций (далее - ТЭЦ) к сметной стоимости их строительства;

ж) значения таблицы 1.11, приведенной в приложении N 2 к Методике, применяются при определении величины процентного отношения стоимости проектных работ для отдельных котельных паропроизводительностью от 200 Гкал/час до 1500 Гкал/час к сметной стоимости их строительства;

з) значения таблицы 1.12, приведенной в приложении N 2 к Методике, применяются при определении величины процентного отношения стоимости проектных работ для отдельных электрокотельных к сметной стоимости их строительства;

и) значения таблицы 1.13, приведенной в приложении N 2 к Методике, применяются при определении величины процентного отношения стоимости проектных работ для дизельных электростанций (далее - ДЭС) единичной мощностью от 1000 кВт до 5500 кВт к сметной стоимости их строительства;

к) значения таблицы 1.14, приведенной в приложении N 2 к Методике, применяются при определении величины процентного отношения стоимости проектных работ для газотурбинных электростанций (далее - ГТЭС) с агрегатами мощностью до 15 МВт к сметной стоимости их строительства;

л) значения таблицы 1.15, приведенной в приложении N 2 к Методике, применяются при определении величины процентного отношения стоимости проектных работ для ГТЭС с агрегатами мощностью 15 - 30 МВт к сметной стоимости их строительства;

м) значения таблицы 1.16, приведенной в приложении N 2 к Методике, применяются при определении величины процентного отношения стоимости проектных работ для молов, волноломов, дамб, берегоукрепительных сооружений, расположенных в акваториях морей, к сметной стоимости их строительства;

н) значения таблицы 1.17, приведенной в приложении N 2 к Методике, применяются при определении величины процентного отношения стоимости проектных работ для пассажирских вокзалов и павильонов, административно-хозяйственных зданий, материально-технических складов, грузовых складов открытых и крытых, расположенных в акваториях морей, к сметной стоимости их строительства;

о) значения таблицы 1.18, приведенной в приложении N 2 к Методике, применяются при определении величины процентного отношения стоимости проектных работ для причальных сооружений, паловых конструкций, рефрижераторных складов, гаражей портовой и прочей техники, зарядных станций, электропогрузчиков, баз продовольственного обслуживания флота, ремонтно-механических мастерских, пунктов технического обслуживания, ремонта и освидетельствования контейнеров, расположенных в акваториях морей, к сметной стоимости их строительства;

п) значения таблицы 1.19, приведенной в приложении N 2 к Методике, применяются при определении величины процентного отношения стоимости проектных работ для перегрузочных и пассажирских комплексов, баз портового флота, в том числе расположенных на реках, озерах и искусственных водохранилищах, обслуживающих морские суда и суда смешанного плавания, морспецподразделений, станций освидетельствования и ремонта надувных спасательных средств, баз технического обслуживания флота, баз ремонта перегрузочного оборудования, межпортовых баз ремонта контейнеров, баз аварийно-спасательных и подводно-технических работ, расположенных в акваториях морей, к сметной стоимости их строительства;

р) значения таблицы 1.20, приведенной в приложении N 2 к Методике, применяются при определении величины процентного отношения стоимости проектных работ для подводных переходов трубопроводов и кабелей, расположенных в акваториях рек, озер и искусственных водохранилищ, к сметной стоимости их строительства;

с) значения таблицы 1.21, приведенной в приложении N 2 к Методике, применяются при определении величины процентного отношения стоимости проектных работ для грузовых причальных набережных и пирсов, береговых укреплений, причальных и защитных сооружений, дамб, расположенных в акваториях рек, озер и искусственных водохранилищ, к сметной стоимости их строительства;

т) значения таблицы 1.22, приведенной в приложении N 2 к Методике, применяются при определении величины процентного отношения стоимости проектных работ для пассажирских портов и портовых районов, причалов для негабаритных и тяжеловесных грузов, для приема сточных вод и сухого мусора, комплексного обслуживания флота, причалов и пирсов пассажирских. нефтепричалов, переправ, плотин земляных, расположенных в акваториях рек, озер и искусственных водохранилищ, к сметной стоимости их строительства;

у) значения таблицы 1.23, приведенной в приложении N 2 к Методике, применяются при определении величины процентного отношения стоимости проектных работ для речных портов, портовых районов, комплексных специализированных причалов, расположенных в акваториях рек, озер и искусственных водохранилищ, к сметной стоимости их строительства;

ф) значения таблицы 1.24, приведенной в приложении N 2 к Методике, применяются при определении величины процентного отношения стоимости проектных работ для подводных переходов трубопроводов и кабелей, расположенных в акваториях рек, озер и искусственных водохранилищ, к сметной стоимости их строительства;

х) значения таблицы 1.25, приведенной в приложении N 2 к Методике, применяются при определении величины процентного отношения стоимости проектных работ для судоходных шлюзов и судоходных плотин, расположенных в акваториях рек, озер и искусственных водохранилищ, к сметной стоимости их строительства;

ц) значения таблицы 1.26, приведенной в приложении N 2 к Методике, применяются при определении величины процентного отношения стоимости проектных работ для следующих зданий и сооружений в составе объектов ракетной и ракетно-космической техники, к сметной стоимости их строительства:

коммуникационных коллекторов, потерн, караульных помещений, проектируемых в составе стационарных боевых ракетных комплексов (далее - СБРК);

сооружений, проектируемых в составе объектов ликвидации (утилизации) ракет и ракетного вооружения, за исключением корпусов нейтрализации, демонтажа, разборки и резки ракет и наземного оборудования, сооружений уничтожения пиросредств и хранилищ ракет, наземного оборудования;

сооружений, проектируемых в составе арсеналов ракетной и космической техники, за исключением корпусов регламентных, ремонтных работ и хранилищ изделий, наземного оборудования;

коммуникационных коллекторов (каналов) и служебных, административных зданий, проектируемых в составе стартовых комплексов (далее - СК);

объектов казарменного и административно-хозяйственного назначения, проектируемых в составе вспомогательных объектов инфраструктуры космодромов;

ч) значения таблицы 1.27, приведенной в приложении N 2 к Методике, применяются при определении величины процентного отношения стоимости проектных работ для следующих зданий и сооружений в составе объектов ракетной и ракетно-космической техники, к сметной стоимости их строительства:

сооружений охраны, обороны, проектируемых в составе СБРК;

сооружений, проектируемых в составе подвижных боевых ракетных комплексов (далее - ПБРК), за исключением укрытий для подвижных пусковых установок, командных пунктов, узлов связи;

незащищенных штабов, проектируемых в составе пунктов управления и связи соединений, объединений, центра ракетной техники;

незащищенных и защищенных хранилищ ракет, головных частей, наземного оборудования, проектируемых в составе технических позиций;

ресиверных и других сооружений систем газоснабжения, проектируемых в составе технических позиций;

хранилищ ракет, наземного оборудования, проектируемых в составе объектов ликвидации (утилизации) ракет и ракетного вооружения;

хранилищ изделий, наземного оборудования, проектируемых в составе арсеналов ракетной и космической техники;

хранилищ ракет-носителей и их элементов, наземного оборудования и специальной техники, проектируемых в составе СК;

сооружений систем охраны, проектируемых в составе СК;

хранилищ ракет-носителей, космических аппаратов, разгонных блоков, наземного оборудования, запасных инструментов и принадлежностей, проектируемых в составе технических комплексов объектов ракетно-космической техники;

объектов жилого, социально-бытового, административно-делового назначения, проектируемых в составе вспомогательных объектов инфраструктуры космодромов;

В электронном документе нумерация подпунктов соответствует официальному источнику.

щ) значения таблицы 1.28, приведенной в приложении N 2 к Методике, применяются при определении величины процентного отношения стоимости проектных работ для следующих зданий и сооружений в составе объектов ракетной и ракетно-космической техники, к сметной стоимости их строительства:

СБРК;

защищенных сооружений пусковых установок шахтного и наземного типа, проектируемых в составе СБРК;

защищенных командных пунктов СБРК шахтного типа, проектируемых в составе СБРК;

ПБРК;

укрытия для подвижных пусковых установок, проектируемых в составе ПБРК;

командных пунктов, узлов связи, проектируемых в составе ПБРК;

пунктов управления и связи соединений, объединений, центра ракетной техники;

защищенных командных пунктов, узлов, центров связи, проектируемых в составе пунктов управления и связи соединений, объединений, центра ракетной техники;

незащищенных вычислительных центров, радиоцентров, центров, узлов связи, проектируемых в составе пунктов управления и связи соединений, объединений, центра ракетной техники;

технических позиций;

корпусов подготовки, корпусов регламентных работ, монтажно-испытательных корпусов, монтажно-сборочных корпусов, проектируемых в составе технических позиций;

хранилищ компонентов ракетно-космического топлива, проектируемых в составе технических позиций;

компрессорных, азотодобывающих станций, проектируемых в составе технических позиций;

экспериментальных, боевых ракетных и технических комплексов объектов ракетной техники;

объектов ликвидации (утилизации) ракет и ракетного вооружения;

корпусов нейтрализации, демонтажа, разборки и резки ракет и наземного оборудования, проектируемых в составе объектов ликвидации (утилизации) ракет и ракетного вооружения;

сооружений уничтожения пиросредств, проектируемых в составе объектов ликвидации (утилизации) ракет и ракетного вооружения;

арсеналов ракетной и космической техники;

корпусов регламентных, ремонтных работ, проектируемых в составе арсеналов ракетной и космической техники;

СК;

стартовых сооружений, проектируемых в составе СК;

сооружений систем термостатирования, оборотного водоснабжения, холодильных центров, проектируемых в составе СК;

сооружений хранения и заправки ракет-носителей, разгонных блоков с компонентами ракетного топлива, проектируемых в составе СК;

сооружения газоснабжения, воздухоснабжения, проектируемых в составе СК;

сооружений систем сбора и нейтрализации промстоков, проектируемых в составе СК;

сооружений систем электроснабжения, проектируемых в составе СК;

технических комплексов объектов ракетно-космической техники;

монтажно-испытательных, служебно-лабораторных, монтажно-сборочных корпусов ракет-носителей, космических аппаратов, космических головных частей, разгонных блоков, составных частей ракет космического назначения, проектируемых в составе технических комплексов объектов ракетно-космической техники;

сооружений систем термостатирования, газоснабжения, воздухоснабжения, проектируемых в составе технических комплексов объектов ракетно-космической техники;

зарядно-аккумуляторных станций, сооружений систем гарантированного электроснабжения, электропитания спецпотребителей, проектируемых в составе технических комплексов объектов ракетно-космической техники;

кислородно-азотного завода, водородного завода, хранилища компонентов ракетного топлива, проектируемых в составе технологических комплексов и объектов инфраструктуры космодромов.

При промежуточных значениях сметной стоимости строительства объекта-представителя величина норматива цены проектных работ "" определяется в соответствии с значениями таблиц 1.5 - 1.28, приведенных в приложении N 2 к Методике, методом интерполяции. В случае, если стоимость строительства объекта-представителя, меньше минимальной или большей максимальной стоимости строительства, приведенной в указанных таблицах приложения N 2 к Методике, величина норматива цены проектных работ "" определяется соответственно по минимальной или максимальной величине, приведенной в соответствующих таблицах приложения N 2 к Методике, без применения метода экстраполяции.

При разработке норматива цены проектных работ "" для объектов капитального строительства, не приведенных в таблицах 1.5 - 1.28 приложения N 2 к Методике, величина процентного отношения стоимости проектных работ от сметной стоимости их строительства с использованием значений, приведенных в таблицах 1.5 - 1.28 приложения N 2 к Методике, не определяется, а графа 7 таблицы 2 Методики и графа 6 таблицы 7 Методики не заполняются, за исключением случаев отсутствия данных о значениях, определяемых в соответствии с подпунктом 3 настоящего пункта Методики. В случае отсутствия данных об указанных значениях величина процентного отношения стоимости проектных работ от сметной стоимости их строительства определяется с использованием значений, приведенных в таблице 1.5 приложения N 2 к Методике;

2) использование значений, приведенных в таблице 1 Методики.

Значения таблицы 1 Методики применяются при определении величины процентного отношения стоимости проектных работ для объектов капитального строительства непроизводственного назначения и линейных объектов, за исключением линейных объектов, приведенных в таблицах 1.8, 1.20 приложения N 2 к Методике, к сметной стоимости их строительства.

Таблица 1

N п/п Сметная стоимость строительства по главам 1 - 8 в уровне цен на 01.01.2000, миллионов рублей Нормативы цены проектных работ "" от сметной стоимости строительства, в процентах
1. 0,275 8,88
2. 0,55 8,53
3. 2,5 8,16
4. 5 7,87
5. 10 7,65
6. 15 7,54
7. 20 7,41
8. 25 7,28
9. 30 7,12
10. 35 6,93
11. 40 6,75
12. 45 6,56
13. 50 6,37
14. 55 6,2
15. 60 6,14
16. 65 6,08
17. 70 6,02
18. 75 5,94
19. 80 5,88
20. 85 5,81
21. 90 5,74
22. 95 5,68
23. 100 5,62
24. 150 5,08
25. 200 4,69
26. 250 4,35
27. 300 4,13
28. 350 4,00
29. 400 3,87
30. 450 3,74
31. 500 3,64
32. 550 3,54
33. 600 3,5
34. 650 3,46
35. 700 3,41
36. 750 3,37
37. 800 3,32
38. 850 3,29
39. 900 3,25
40. 950 3,23
41. 1 000 3,19
42. 1 250 3,03
43. 1 500 2,93
44. 1 750 2,88
45. 2 000 2,82
46. 2 250 2,76
47. 2 500 2,71
48. 3 000 2,54
49. 3 250 2,5
50. 3 500 2,47
51. 3 750 2,46
52. 4 000 2,45
53. 4 250 2,43
54. 4 500 2,42
55. 4 750 2,41
56. 5 000 2,4
57. 5 250 2,39
58. 5 500 2,38

При промежуточных значениях сметной стоимости строительства объекта-представителя величина норматива цены проектных работ "" определяется по таблице 1 Методики методом интерполяции. В случае, если сметная стоимость строительства объекта-представителя меньше минимальной или большей максимальной сметной стоимости строительства, приведенной в таблице 1 Методики, величина норматива цены проектных работ "" определяется соответственно по минимальной или максимальной величине, приведенной в таблице 1 Методики, без применения метода экстраполяции.

При разработке норматива цены проектных работ "" для объектов капитального строительства, не приведенных в настоящем подпункте пункта 51 Методики, величина процентного отношения стоимости проектных работ от сметной стоимости их строительства на основании значений, приведенных в таблице 1 Методики, не определяется, а графа 8 таблицы 2 Методики и графа 7 таблицы 6 Методики не заполняются, за исключением случаев отсутствия данных о значениях, определяемых в соответствии с подпунктом 3 настоящего пункта Методики;

3) использование значений, определяемых отношением стоимости проектных работ, к сметной стоимости строительства объекта-представителя и выраженных в процентах.

Величина процентного отношения стоимости проектных работ к стоимости строительства для объектов-представителей, по которым сметная документация составлена ресурсно-индексным методом с использованием сметных норм, сметных цен строительных ресурсов в базисном уровне цен и информации о сметных ценах строительных ресурсов, размещенной в ФГИС ЦС, индексов изменения сметной стоимости к составляющим единичных расценок в базисном уровне цен (далее - ресурсно-индексный метод), а также ресурсным методом с использованием сметных норм и сметных цен строительных ресурсов, размещенных в ФГИС ЦС, рассчитывается отношением стоимости проектных работ, определенной в уровне цен, сложившемся на 1 января года разработки НЗ на проектные работы, к сумме стоимостей строительно-монтажных работ и оборудования по объекту-представителю, определенных в уровне цен, сложившемся на 1 января года разработки НЗ на проектные работы. Пересчет стоимостей строительно-монтажных работ и оборудования по объекту-представителю в уровень цен, сложившийся на 1 января года разработки НЗ на проектные работы, осуществляется путем применения к указанным стоимостям годового индекса пересчета, определяемого в соответствии с данными прогноза социально-экономического развития Российской Федерации на среднесрочный период, публикуемого Министерством экономического развития Российской Федерации на сайте: http://economy.gov.ru в информационно-телекоммуникационной сети "Интернет", по строке "Инвестиции в основной капитал. Индекс-дефлятор". Квартальный индекс пересчета стоимости строительства определяется путем извлечения корня четвертой степени из величины годового индекса пересчета за (на) соответствующий год; (в ред. Приказа Минстроя РФ от 08.06.2023 N 409/пр)

4) использование значений, определяемых отношением стоимости проектных работ, учтенных в показателях стоимости строительства, укрупненных нормативов цены строительства (далее - показатели НЦС) к стоимости строительства, рассчитанной с использованием показателей НЦС, за исключением стоимости проектных работ, соответствующих виду объекта, и выраженных в процентах.

При разработке цен НЗ на проектные работы, предназначенных для определения стоимости проектных работ линейных объектов, значения, определяемые указанным методом, не используются. (в ред. Приказа Минстроя РФ от 08.06.2023 N 409/пр)

Стоимость проектных работ, учтенных в показателях НЦС, определяется с применением понижающего коэффициента к стоимости проектных и изыскательских работ, включая экспертизу проектной документации, определенных в соответствии с показателями отдела 2 сборников НЦС. Значение понижающего коэффициента в данном случае определяется отношением стоимости проектных работ объекта-представителя к общей стоимости проектных, изыскательских работ и экспертизы проектной документации и результатов инженерных изысканий объекта-представителя.

Стоимость строительства для разработки цен НЗ на проектные работы, рассчитанная с использованием показателей НЦС, определяется с применением понижающего коэффициента, учитывающего относительную долю стоимости строительно-монтажных работ и оборудования в общей стоимости строительства, к стоимости строительства, рассчитанной в соответствии с показателями сборников НЦС. Значение понижающего коэффициента в данном случае определяется отношением сметной стоимости строительно-монтажных работ и оборудования, определенной в уровне цен, сложившемся ко времени составления сметной документации объекта-представителя, к сметной стоимости строительства объекта-представителя по главам 1 - 12 ССР (графа 8) с учетом резерва средств на непредвиденные работы и затраты, определенной в уровне цен сложившемся ко времени составления сметной документации объекта-представителя. (в ред. Приказа Минстроя РФ от 08.06.2023 N 409/пр)

52. Величина процентного отношения стоимости проектных работ к стоимости строительства с использованием значений таблиц 1.5 - 1.28, приведенных в приложении N 2 к Методике, для объектов-представителей, по которым сметная документация составлена базисно-индексным методом на основании федеральной сметно-нормативной базы 2001 года (ФЕР-2001), территориальных сметных нормативов 2001 года (ТЕР-2001), отраслевых сметных нормативов, рассчитывается в следующей последовательности:

1) сметная стоимость строительства объекта-представителя в уровне цен 2000 года по главам 1 - 9 ССР приводится к уровню цен 2001 года с использованием коэффициента 1,25;

2) исходя из сметной стоимости строительства объекта-представителя в уровне цен 2001 года на основании таблиц 1.5 - 1.28, приведенных в приложении N 2 к Методике, с учетом положений подпункта 2 пункта 51 Методики рассчитывается стоимость проектных работ в уровне цен 2001 года. Далее определенная по указанным таблицам стоимость проектных работ пересчитывается делением на коэффициент 1,5, за исключением случаев определения стоимости проектных работ по особо опасным, технически сложным и уникальным объектам;

3) стоимость проектных работ по объекту-представителю рассчитывается в уровне цен на 1 января года разработки НЗ на проектные работы с использованием индекса изменения сметной стоимости проектных работ для соответствующего периода; (в ред. Приказа Минстроя РФ от 08.06.2023 N 409/пр)

4) сметная стоимость строительно-монтажных работ по объекту-представителю рассчитывается в уровне цен на 1 января года разработки НЗ на проектные работы для базового района (Московская область) путем применения к стоимости строительно-монтажных работ по объекту-представителю, приведенной в уровне цен 2000 года по главам 1 - 9 ССР, соответствующего объекту строительства и применяемой при определении стоимости строительства объекта-представителя сметно-нормативной базе индекса изменения сметной стоимости строительно-монтажных работ к сметно-нормативной базе 2001 года, информация о котором размещена в ФГИС ЦС (далее - индекс изменения сметной стоимости строительно-монтажных работ), для Московской области; (в ред. Приказа Минстроя РФ от 08.06.2023 N 409/пр)

5) сметная стоимость оборудования по объекту-представителю рассчитывается в уровне цен на 1 января года разработки НЗ на проектные работы путем применения к стоимости оборудования в уровне цен 2000 года по данным ССР индекса изменения сметной стоимости оборудования, информация о котором размещена в ФГИС ЦС (далее - индекс изменения сметной стоимости оборудования), для отрасли народного хозяйства и промышленности, к которой относится объект-представитель; (в ред. Приказа Минстроя РФ от 08.06.2023 N 409/пр)

6) сметная стоимость строительства по объекту-представителю в уровне цен на 1 января года разработки НЗ на проектные работы рассчитывается путем суммирования стоимости строительно-монтажных работ и стоимости оборудования в уровне цен НЗ на проектные работы; (в ред. Приказа Минстроя РФ от 08.06.2023 N 409/пр)

7) на основании определенных стоимостных показателей в уровне цен на 1 января года разработки НЗ на проектные работы рассчитывается процентное отношение стоимости проектных работ к стоимости строительства по объекту-представителю; (в ред. Приказа Минстроя РФ от 08.06.2023 N 409/пр)

8) для объектов-представителей, по которым сметная документация составлена ресурсным и ресурсно-индексным методами, сметная стоимость строительства по главам 1 - 9 ССР объекта-представителя из текущего уровня цен в уровень цен 2000 года приводится с применением индексов изменения сметной стоимости строительно-монтажных работ и официальной статистической информации об индексах цен на продукцию (затраты, услуги) инвестиционного назначения по видам экономической деятельности (строительство), публикуемой Федеральной службой государственной статистики для соответствующего периода или индексов фактической инфляции (при наличии), установленных уполномоченными органами исполнительной власти субъектов Российской Федерации.

53. Величина процентного отношения стоимости проектных работ к стоимости строительства с использованием значений таблиц 1.5 - 1.28, приведенных в приложении N 2 к Методике, для объектов-представителей, по которым сметная документация составлена на основании Территориальных сметных нормативов для города Москвы (ТСН-2001), рассчитывается в следующей последовательности:

1) сметная стоимость строительства объекта-представителя в уровне цен 2000 года по главам 1 - 8 ССР приводится к уровню цен 2001 года путем применения коэффициента 1,25;

2) исходя из стоимости строительства объекта-представителя в уровне цен 2001 года на основании значений таблиц 1.5 - 1.28, приведенных в приложении N 2 к Методике, рассчитывается стоимость проектных работ в уровне цен 2001 года. Стоимость проектных работ, определенная на основании значений таблицы 1.5 приложения N 2 к Методике, пересчитывается путем деления на коэффициент 1,5, за исключением случаев определения по указанной таблице стоимости по особо опасным, технически сложным и уникальным объектам;

3) сметная стоимость строительно-монтажных работ по объекту-представителю рассчитывается в уровне цен на 1 января года разработки НЗ на проектные работы для базового района (Московская область) путем применения к стоимости строительно-монтажных работ по объекту-представителю, приведенной в уровне цен 2000 года по главам 1 - 8 ССР, индекса изменения сметной стоимости строительно-монтажных работ; (в ред. Приказа Минстроя РФ от 08.06.2023 N 409/пр)

4) сметная стоимость оборудования по объекту-представителю рассчитывается в уровне цен на 1 января года разработки НЗ на проектные работы путем применения к стоимости оборудования в уровне цен 2000 года по данным ССР соответствующего индекса изменения сметной стоимости оборудования, к которой относится объект-представитель; (в ред. Приказа Минстроя РФ от 08.06.2023 N 409/пр)

5) сметная стоимость строительства по объекту-представителю в уровне цен на 1 января года разработки НЗ на проектные работы рассчитывается путем суммирования стоимости строительно-монтажных работ и стоимости оборудования в уровне цен НЗ на проектные работы; (в ред. Приказа Минстроя РФ от 08.06.2023 N 409/пр)

6) на основании определенных стоимостных показателей в уровне цен на 1 января года разработки НЗ на проектные работы рассчитывается процентное отношение стоимости проектных работ к стоимости строительства по объекту-представителю. (в ред. Приказа Минстроя РФ от 08.06.2023 N 409/пр)

54. Величина процентного отношения стоимости проектных работ к стоимости строительства с использованием значений таблицы 1 Методики для объектов-представителей, по которым сметная документация составлена базисно-индексным методом на основании федеральной сметно-нормативной базы 2001 года (ФЕР-2001), территориальных сметных нормативов 2001 года (ТЕР-2001), отраслевых сметных нормативов, определяется в следующей последовательности:

1) для определения стоимости строительства объекта-представителя в уровне цен 2000 года для города Москвы суммируется сметная стоимость строительно-монтажных работ по объекту-представителю для города Москвы, полученная путем деления стоимости строительно-монтажных работ по объекту-представителю в уровне цен НЗ на проектные работы на индекс изменения сметной стоимости строительно-монтажных работ по объектам строительства, определяемой с применением федеральных единичных расценок, для города Москвы, и сметная стоимость оборудования по объекту-представителю в уровне цен 2000 года по данным ССР; (в ред. Приказа Минстроя РФ от 08.06.2023 N 409/пр)

2) исходя из сметной стоимости строительства объекта-представителя в уровне цен 2000 года на основании таблицы 1 Методики с учетом положений подпункта 2 пункта 51 Методики рассчитывается стоимость проектных работ по объекту-представителю в уровне цен 2000 года;

Для объектов, являющихся особо опасными, технически сложными или уникальными, стоимость проектных работ рассчитывается с применением коэффициента 1,2;

3) для перехода стоимости проектных работ к уровню цен 2001 года к стоимости проектных работ по объекту-представителю в уровне цен 2000 года применяется коэффициент 1,19;

4) полученная стоимость проектных работ по объекту-представителю в уровне цен 2001 года пересчитывается к уровню цен на 1 января года разработки НЗ на проектные работы путем применения индекса изменения сметной стоимости проектных работ, действующего на дату разработки НЗ на проектные работы; (в ред. Приказа Минстроя РФ от 08.06.2023 N 409/пр)

5) определяется сметная стоимость строительства по объекту-представителю в уровне цен на 1 января года разработки НЗ на проектные работы путем суммирования стоимости строительно-монтажных работ и стоимости оборудования в уровне цен НЗ на проектные работы; (в ред. Приказа Минстроя РФ от 08.06.2023 N 409/пр)

6) на основании определенной сметной стоимости строительства в уровне цен на 1 января года разработки НЗ на проектные работы определяется процентное отношение стоимости проектных работ к стоимости строительства по объекту-представителю; (в ред. Приказа Минстроя РФ от 08.06.2023 N 409/пр)

7) для объектов-представителей, по которым сметная документация составлена ресурсным и ресурсно-индексным методами, сметная стоимость строительства по главам 1 - 9 ССР объекта-представителя из текущего уровня цен в уровень цен 2000 года приводится с применением индексов изменения сметной стоимости строительно-монтажных работ и официальной статистической информации об индексах цен на продукцию (затраты, услуги) инвестиционного назначения по видам экономической деятельности (строительство), публикуемой Федеральной службой государственной статистики для соответствующего периода или индексов фактической инфляции (при наличии), установленных уполномоченными органами исполнительной власти субъектов Российской Федерации.

55. Для объектов-представителей, по которым сметная документация составлена на основании Территориальных сметных нормативов для города Москвы (ТСН-2001), величина процентного отношения стоимости проектных работ к сметной стоимости строительства с использованием значений таблицы 1 Методики определяется в следующей последовательности:

1) исходя из стоимости строительства объекта-представителя в уровне цен 2000 года по главам 1 - 8 ССР на основании таблицы 1 Методики с учетом положений подпункта 2 пункта 51 Методики определяется стоимость проектных работ по объекту-представителю в уровне цен 2000 года.

Для объектов, являющихся особо опасными, технически сложными или уникальными, стоимость проектных работ рассчитывается с применением коэффициента 1,2;

2) для перехода стоимости проектных работ к уровню цен 2001 года к стоимости проектных работ по объекту-представителю в уровне цен 2000 года применяется коэффициент 1,19;

3) полученная стоимость проектных работ по объекту-представителю в уровне цен 2001 года пересчитывается в уровень цен на 1 января года разработки НЗ на проектные работы путем применения индекса изменения сметной стоимости проектных работ; (в ред. Приказа Минстроя РФ от 08.06.2023 N 409/пр)

4) сметная стоимость строительно-монтажных работ по объекту-представителю определяется в уровне цен на 1 января года разработки НЗ на проектные работы для базового района (Московская область) путем применения к стоимости строительно-монтажных работ по объекту-представителю, приведенной в уровне цен 2000 года по главам 1 - 8 ССР, индекса изменения сметной стоимости строительно-монтажных работ; (в ред. Приказа Минстроя РФ от 08.06.2023 N 409/пр)

5) сметная стоимость оборудования по объекту-представителю определяется в уровне цен на 1 января года разработки НЗ на проектные работы путем применения к стоимости оборудования в уровне цен 2000 года по данным ССР индекса изменения сметной стоимости оборудования, соответствующего отрасли народного хозяйства и промышленности, к которой относится объект-представитель; (в ред. Приказа Минстроя РФ от 08.06.2023 N 409/пр)

6) определяется сметная стоимость строительства по объекту-представителю в уровне цен на 1 января года разработки НЗ на проектные работы путем суммирования сметной стоимости строительно-монтажных работ и стоимости оборудования в уровне цен НЗ на проектные работы; (в ред. Приказа Минстроя РФ от 08.06.2023 N 409/пр)

7) на основании определенной сметной стоимости строительства в уровне цен на 1 января года разработки НЗ на проектные работы определяется процентное отношение стоимости проектных работ к сметной стоимости строительства по объекту-представителю. (в ред. Приказа Минстроя РФ от 08.06.2023 N 409/пр)

56. Величина процентного отношения стоимости проектных работ к сметной стоимости строительства по данным объекта-представителя рассчитывается в текущем уровне цен, предусмотренном в сметной документации, с соблюдением положений Методики, в том числе указанных в пунктах 49 и 50 Методики.

57. Величины процентного отношения стоимости проектных работ к сметной стоимости строительства по каждому объекту-представителю, определенные в соответствии с пунктами 51 - 56 Методики, сводятся в таблицу 2 Методики:

Таблица 2

N Наименование объекта-представителя Натуральный показатель "X" Сметная стоимость строительства в ценах НЗ на проектные работы, тыс. руб. Величина процентного отношения стоимости проектных работ к сметной стоимости строительства, % Норматив цены проектных работ
"", %
По данным объекта-представителя По данным НЦС По данным таблиц 1.5 - 1.28 приложения N 2 к Методике По данным таблицы 1 Методики
1 2 3 4 5 6 7 8 9
(в ред. Приказа Минстроя РФ от 08.06.2023 N 409/пр)
1. Объект 1 Хоб.1 Сстр1        
2. Объект 2 Хоб.2 Сстр2        
3. Объект 3 Хоб.3 Сстр3        
4. Объект 4 Хоб.4 Сстр4        
5. Объект n Хоб.n Сстр.n        

58. При наличии исходных данных, предусмотренных пунктом 10 Методики, значение натуральных показателей объектов проектирования, отличных от натуральных показателей объекта-представителя, определяется на основании сметной стоимости объекта-представителя, приведенной на единицу натурального показателя объекта проектирования.

Сметная стоимость строительства объектов проектирования в данном случае определяется путем умножения сметной стоимости строительства по объекту-представителю, приведенной на единицу натурального показателя, на принятую при разработке величину натурального показателя объекта, в отношении которого отсутствуют исходные данные.

59. Возможность разработки параметров цены проектных работ на основании данных о сметной стоимости строительства единственного объекта-представителя, рассчитанной в соответствии с пунктом 58 Методики, а также (при отсутствии данных о сметной стоимости строительства единственного объекта-представителя) на основании данных, приведенных в нормативных документах, содержащих базовые цены на проектные работы, устанавливается заказчиком НЗ на проектные работы. (в ред. Приказа Минстроя РФ от 08.06.2023 N 409/пр)

60. При формировании таблицы 2 Методики следует учитывать, что при увеличении сметной стоимости строительства объекта величина процентного отношения стоимости проектных работ к сметной стоимости строительства должна снижаться.

В случае если величина процентного отношения стоимости проектных работ к сметной стоимости строительства, определенная по одному из указанных в пункте 51 Методики методов, не соответствует указанному принципу, то такая величина в расчет не принимается.

В случае если отдельное значение норматива цены проектных работ "", рассчитанное как средняя величина согласно пункту 51 Методики, не соответствует указанному принципу, в расчет принимается значение норматива цены проектных работ "", определяемое методом интерполяции для соответствующего значения сметной стоимости строительства.

61. В случае, если для объектов строительства, включаемых в номенклатуру НЗ на проектные работы, в ФРСН отсутствуют показатели НЦС, графа 6 таблицы 2 Методики не заполняется, а расчет величины норматива цены проектных работ "" производится на основании данных по заполненным графам таблицы 2 Методики. (в ред. Приказа Минстроя РФ от 08.06.2023 N 409/пр)

62. При наличии данных по нескольким объектам-представителям с одинаковой величиной натурального показателя в расчет принимается среднее значение норматива цены проектных работ "" для таких объектов.

63. Сметная стоимость строительства по объектам-представителям, принимаемая для расчета стоимостных показателей проектных работ, рассчитывается в уровне цен на 1 января года разработки НЗ на проектные работы для базового района (Московская область) путем применения к стоимости строительства объекта-представителя по главам 1 - 9 ССР, приведенной в уровне цен 2000 года индекса изменения сметной стоимости строительно-монтажных работ и соответствующего индекса изменения сметной стоимости оборудования, для отрасли народного хозяйства и промышленности, к которой относится объект-представитель. (в ред. Приказа Минстроя РФ от 08.06.2023 N 409/пр)

64. На основании рассчитанных нормативов цены проектных работ "" определяются стоимостные показатели проектных работ для каждого объекта-представителя () по формуле (3.2):

, (3.2)

где:

- стоимостной показатель проектных работ для i-го объекта-представителя;

- сметная стоимость строительства для i-го объекта-представителя в уровне цен на 1 января года разработки НЗ на проектные работы; (в ред. Приказа Минстроя РФ от 08.06.2023 N 409/пр)

- норматив цены проектных работ для i-го объекта-представителя, рассчитанный в соответствии с таблицей 2 Методики.

65. Данные расчета стоимостных показателей сводятся в таблицу 3 Методики, в которой также указывается натуральный показатель каждого объекта-проектирования:

Таблица 3

N Наименование объекта-представителя Натуральный показатель "X" Сметная стоимость строительства объекта, тыс. руб. Норматив цены проектных работ , % Стоимостной показатель проектных работ, тыс. руб.
1. Объект 1 Хоб.1 Сстр.об.1 Соб.1
2. Объект 2 Хоб.2 Сстр.об.2 Соб.2
3. Объект 3 Хоб.3 Сстр.об.3 Соб.3
4. Объект 4 Хоб.4 Сстр.об.4 Соб.4
5. Объект n Хоб.n Сстр.об.n Соб.n

66. Границы интервалов натуральных показателей, для которых будут рассчитаны параметры цены проектных работ, определяются на основании данных таблицы 3 Методики. В качестве границ интервалов следует принимать значения натурального показателя объектов-представителей, округленные до целого, либо значения натурального показателя, близкие к значениям натуральных показателей объектов-представителей и делимые без остатка на 10, 100, 500, 1000.

Для объектов капитального строительства, для которых установлены нормируемые значения мощности (вместимость, количество посещений в смену и аналогичные значения), границы интервалов натурального показателя принимаются по значениям натуральных показателей объектов-представителей.

67. Величины стоимостных показателей для границ интервалов следует определять методом интерполяции или экстраполяции.

68. Минимальное значение натурального показателя устанавливается в следующем порядке:

1) для объектов производственного и непроизводственного назначения, за исключением линейных объектов: на основании минимальной величины натурального показателя по данным объекта-представителя;

2) для линейных объектов: на основании данных о трудоемкости минимального обязательного объема работ, который необходимо выполнить вне зависимости от протяженности линейного объекта. При этом начальный интервал изменения натурального показателя приводится в таблице в виде "до ", а параметр "в" принимается равным нулю.

69. Максимальное значение натурального показателя следует устанавливать на основании максимальной величины натурального показателя по данным объекта-представителя.

70. Данные расчета стоимостных показателей для границ интервалов сводятся в таблицу 4 Методики:

Таблица 4

N Натуральный показатель "X" Стоимостной показатель проектных работ, тыс. руб. Интервал изменения натурального показателя Параметры цены проектных работ, тыс. руб.
1. Свыше до ,
2.
3. Свыше до ,
Свыше до ,
4.
5. Свыше до ,
6.

71. Для расчета параметров "а" и "в" для каждого интервала изменения натурального показателя "X" составляется система уравнений:

Для интервала "свыше до ":

Для интервала "свыше до ":

72. Для решения данной системы уравнений используются формулы (3.3) и (3.4) для расчета параметров "а" и "в":

Для интервала "свыше до ":

; (3.3)

Для интервала "свыше до ":

; (3.4)

При расчетах параметр "а" округляется до одного знака после запятой, параметр "в" до трех знаков после запятой.

73. Рассчитанные параметры "а" и "в" и соответствующие интервалы изменения натурального показателя сводятся в таблицу 5 Методики:

Таблица 5

N Наименование объекта Натуральный показатель "X" Параметры цены проектных работ
а, тыс. руб. в, тыс. руб./единица натур. показ.
1. Объект от до
от до
от до а в

74. Рассчитанные параметры цены проектных работ "а" и "в" рассматриваются по формуле (3.5) на соответствие основному принципу, согласно которому для каждого следующего интервала параметр цены проектных работ "а" увеличивается, а параметр цены проектных работ "в" снижается:

> ; < (3.5)

75. При несоответствии параметров цены проектных работ "а" и "в" указанному в пункте 74 Методики принципу либо при отклонении более чем в 2 раза стоимости проектных работ, определенной на основании указанных параметров, от стоимости, определенной на основании действующих сметных нормативов цены проектных работ, сведения о которых внесены в ФРСН, стоимостные показатели цены проектных работ корректируются путем введения поправочных коэффициентов до достижения условий, определенных в формуле (3.5), выбора других объектов-представителей либо путем пересчета параметров цены проектных работ "а" и "в" способом, предусмотренным подпунктом 2 пункта 45 Методики.

76. Таблицы, содержащие параметры цены проектных работ для различных объектов проектирования, формируются исходя из функционального назначения и технических характеристик данных объектов.

77. В случае, если в составе проекта линейного объекта разрабатываются проекты нескольких отдельных объектов (камеры, узлы врезки), трудоемкость разработки которых не зависит от протяженности линейного объекта, для таких объектов следует разрабатывать отдельные параметры цен.

При этом в качестве натурального показателя цены проектных работ "X" для данных объектов необходимо принимать объект в целом, а параметры цены проектных работ "а" и "в" рассчитывать исходя из стоимостных показателей проектных работ при разном количестве таких объектов в составе проекта линейного объекта капитального строительства.

78. В случае необходимости установления в составе НЗ на проектные работы корректирующего коэффициента к цене проектных работ, учитывающего усложняющий или упрощающий фактор проектирования, в соответствии с указанным в главе III Методики порядком расчета определяются стоимостные показатели цены проектных работ в зависимости от сметной стоимости строительства для двух объектов представителей с одинаковыми натуральными показателями при наличии и при отсутствии такого фактора. При этом соотношение рассчитанных таким образом стоимостных показателей будет определять значение корректирующего коэффициента. (в ред. Приказа Минстроя РФ от 08.06.2023 N 409/пр)

79. Если изменение трудоемкости проектирования при наличии усложняющего или упрощающего фактора не характеризуется изменением стоимостной показатель проектных работ, которые требуется выполнять дополнительно при наличии усложняющего фактора проектирования (либо проектных работ, выполнение которых не требуется при наличии упрощающего факторы), определяется на основании трудозатрат проектировщиков согласно пунктам 101 - 111 Методики. При этом соотношение рассчитанного таким образом стоимостного показателя проектных работ к стоимостному показателю проектных работ по объекту определяет значение дробной части корректирующего коэффициента.

80. В случае невозможности сбора необходимых исходных данных для расчета корректирующего коэффициента, учитывающего усложняющий или упрощающий фактор проектирования методами, предусмотренными пунктами 78 и 79 Методики, его размер следует принимать согласно положениям действующего сметного норматива на проектные работы, сведения о котором внесены в ФРСН, при условии наличия в таком сметном нормативе корректирующего коэффициента на аналогичный усложняющий или упрощающий фактор проектирования.

81. В случае если усложняющий или упрощающий фактор проектирования оказывает влияние на трудоемкость подготовки только отдельных разделов проектной и (или) соответствующих комплектов рабочей документации, корректирующий коэффициент устанавливается к цене подготовки таких разделов и (или) комплектов, которая определяется на основании процентного распределения цены проектных работ, представленного в НЗ на проектные работы. (в ред. Приказа Минстроя РФ от 08.06.2023 N 409/пр)

IV. Разработка нормативов цены проектных работ, определяющих стоимость проектных работ в зависимости от сметной стоимости строительства при разработке НЗ на проектные работы (в ред. Приказа Минстроя РФ от 08.06.2023 N 409/пр)

82. При разработке НЗ на проектные работы разработка нормативов цены проектных работ, предназначенных для определения сметной стоимости проектных работ в зависимости от сметной стоимости строительства, осуществляется в случае невозможности определения стоимости проектных работ от величин натуральных показателей проектируемого объекта строительства. (в ред. Приказа Минстроя РФ от 08.06.2023 N 409/пр)

83. На основании нормативов цены проектных работ, определяющих стоимость проектных работ в зависимости от сметной стоимости строительства при разработке НЗ на проектные работы, определяется цена проектных работ (Ц) по формуле (4.1): (в ред. Приказа Минстроя РФ от 08.06.2023 N 409/пр)

, (4.1)

где:

Ц - цена проектных работ, тыс. руб.;

- сметная стоимость строительства объекта, тыс. руб.;

- норматив цены проектных работ для соответствующей стоимости строительства, в %.

84. Разработка норматива цены проектных работ, определяющего стоимость проектных работ в зависимости от сметной стоимости строительства при разработке НЗ на проектные работы, осуществляется расчетно-аналитическим методом на основании данных о соотношении стоимости проектирования и строительства по нескольким объектам-представителям. (в ред. Приказа Минстроя РФ от 08.06.2023 N 409/пр)

85. Разработку нормативов цены проектных работ, определяющих стоимость проектных работ в зависимости от сметной стоимости строительства при разработке НЗ на проектные работы, следует осуществлять в следующей последовательности: (в ред. Приказа Минстроя РФ от 08.06.2023 N 409/пр)

1) определение величины сметной стоимости строительства, принимаемой для расчета норматива цены проектных работ по каждому объекту-представителю;

2) определение величины норматива цены проектных работ "" для каждого объекта-представителя по нескольким методам;

3) расчет средней величины норматива цены проектных работ "" для каждого объекта-представителя;

4) приведение показателей сметной стоимости строительства по объектам-представителям в текущий уровень цен года разработки НЗ на проектные работы; (в ред. Приказа Минстроя РФ от 08.06.2023 N 409/пр)

5) определение пограничных значений стоимости строительства;

6) расчет нормативов цены проектных работ для пограничных значений сметной стоимости строительства;

7) формирование таблицы нормативов цены проектных работ в зависимости от сметной стоимости строительства.

86. В случае, если трудоемкость подготовки отдельного раздела проектной документации либо отдельного вида проектных работ в зависимости от сметной стоимости строительства при разработке НЗ на проектные работы не характеризуется зависимостью от сметной стоимости строительства, для такого раздела проектной документации или вида проектной работы следует разрабатывать отдельные НЗ на проектные работы или отдельные цены проектных работ. (в ред. Приказа Минстроя РФ от 08.06.2023 N 409/пр)

При этом стоимостной показатель для расчета цены проектных работ определяется на основании трудозатрат проектировщиков в соответствии с пунктами 101 - 111 Методики. Затраты на подготовку такого раздела проектной документации или выполнения вида проектной работы не учитываются при разработке нормативов цен проектных работ для основного объекта.

87. В сметной стоимости строительства, принимаемой для определения норматива цены проектных работ, учитывается сметная стоимость строительно-монтажных работ и сметная стоимость оборудования по главам 1 - 9 ССР.

При этом величина доли сметной стоимости технологического оборудования, подлежащая включению в сметную стоимость строительства, принимаемая для определения стоимостного показателя проектных работ, определяется при разработке НЗ на проектные работы исходя из специфики проектирования включаемых в него объектов капитального строительства и обосновывается расчетами. (в ред. Приказа Минстроя РФ от 08.06.2023 N 409/пр)

88. Затраты на строительно-монтажные работы и оборудование, соответствующие проектным работам, которые согласно общим положениями НЗ на проектные работы относятся к дополнительным (неучтенным), исключаются из сметной стоимости строительства, принимаемой для расчета стоимостного показателя проектных работ. (в ред. Приказа Минстроя РФ от 08.06.2023 N 409/пр)

При расчете величины процента стоимости проектных работ по данным объекта-представителя из стоимости проектных работ по данным объекта-представителя исключаются затраты на проектные работы, которые в соответствии с общими положениями разрабатываемого НЗ на проектные работы относятся к дополнительным (неучтенным). (в ред. Приказа Минстроя РФ от 08.06.2023 N 409/пр)

89. Норматив цены проектных работ "" определяется как среднее соотношение данных о величине процентного отношения стоимости проектных работ к сметной стоимости строительства по объекту-представителю, рассчитанной на основании методов, указанных в пункте 51 Методики.

Полученные данные по нескольким объектам-представителям сводятся в таблицу 6 Методики:

Таблица 6

N Наименование объекта-представителя Сметная стоимость строительства, млн. руб. Величина процентного отношения стоимости проектных работ к сметной стоимости строительства, % Норматив цены проектных работ , %
По данным объекта-представителя По данным НЦС По данным таблиц 1.5 - 1.28 приложения N 2 к Методике По данным таблицы 2 Методики
1 2 3 4 5 6 7 8
1. Объект 1 Соб.1        
2. Объект 2 Соб.2        
3. Объект 3 Соб.3        
4. Объект 4 Соб.4        
5. Объект n Соб.n        

90. При формировании таблицы 6 Методики следует учитывать, что при увеличении сметной стоимости строительства объекта капитального строительства величина процента стоимости проектных работ от стоимости строительства объекта снижается. В случае, если величина процентного отношения стоимости проектных работ к сметной стоимости строительства объекта капитального строительства, определенная по одному из указанных в пункте 51 Методики методов, не соответствует данному принципу, то такая величина в расчет не принимается.

91. В случае, если отдельное значение норматива цены проектных работ "", рассчитанное как средняя величина согласно пункту 90 Методики, не соответствует принципу, приведенному в пункте 90 Методики, в расчет принимается значение норматива цены проектных работ "", определяемое методом интерполяции для соответствующего значения сметной стоимости строительства объекта капитального строительства.

92. Для линейных объектов, а также объектов, для которых в ФРСН отсутствуют показатели НЦС, графа 5 таблицы 6 Методики не заполняется, а расчет величины норматива цены проектных работ "" производится на основании данных, приведенных в графах 4, 6 - 7 таблицы 6 Методики.

В случае, если в НЦС указана общая стоимость проектных, изыскательских работ и экспертизы проектной документации, то доля проектных работ, а также доля затрат, указанных в пункте 88 Методики, определяется на основании данных по объекту-представителю.

93. Сметная стоимость строительства по объектам-представителям, принимаемая для расчета стоимостных показателей проектных работ, определяется в уровне цен на 1 января года разработки НЗ на проектные работы для базового района (Московская область) путем применения к стоимости строительства объекта-представителя по главам 1 - 9 ССР, приведенной в уровне цен 2000 года индекса изменения сметной стоимости строительно-монтажных работ и индекса изменения сметной стоимости оборудования соответствующего отрасли народного хозяйства и промышленности, к которой относится объект-представитель. (в ред. Приказа Минстроя РФ от 08.06.2023 N 409/пр)

94. Данные, рассчитанные в соответствии с пунктом 91 Методики, сводятся в таблицу 7 Методики.

Таблица 7

N Наименование объекта-представителя Сметная стоимость строительства по объекту-представителю, млн руб. Индекс Сметная стоимость строительства объекта-представителя в ценах НЗ на проектные работы, тыс. руб. Норматив цены проектных работ , %
(в ред. Приказа Минстроя РФ от 08.06.2023 N 409/пр)
1. Объект 1 Соб. 1 Кд1 Соб. 1 см.
2. Объект 2 Соб. 2 Кд2 Соб. 2 см.
3. Объект 3 Соб. 3 Кд3 Соб. 3 см.
4. Объект 4 Соб. 4 Кд4 Соб. 4 см.
5. Объект n Соб. n Кдn Соб. n. см.

95. На основании данных, сведенных в таблицу в соответствии с пунктом 92 Методики, определяются и устанавливаются пограничные значения сметной стоимости строительства, для которых будут приведены значения норматива цены проектных работ.

96. Для объектов представителей, сметная стоимость строительства которых в уровне цен на 1 января года разработки НЗ на проектные работы составляет менее 10 млн. руб., в качестве пограничных значений следует принимать значения сметной стоимости строительства объектов-представителей, а для объектов-представителей, сметная стоимость строительства которых составляет свыше 10 млн. руб., принимаются значения, близкие к значениям объектов-представителей, кратные 10, 50, 100 млн. руб. и кратные им значения. (в ред. Приказа Минстроя РФ от 08.06.2023 N 409/пр)

97. Величины норматива цены проектных работ для пограничных значений сметной стоимости строительства свыше 10 млн. руб. определяются методами интерполяции и экстраполяции.

98. Минимальное и максимальное пограничные значения сметной стоимости строительства устанавливаются исходя из данных о минимальной и максимальной величинах сметной стоимости строительства по фактическим проектам в соответствии с таблицей 8 Методики:

Таблица 8

N Наименование объекта-представителя Сметная стоимость строительства объекта-представителя в ценах НЗ на проектные работы,
тыс. руб.
Норматив цены проектных работ по объекту-представителю , % Пограничное значение сметной стоимости строительства,
млн руб.
Норматив цены проектных работ , %
(в ред. Приказа Минстроя РФ от 08.06.2023 N 409/пр)
1. Объект 1 Соб. 1 см. Сстр1
2. Объект 2 Соб. 2 см. Сстр2
3. Объект 3 Соб. 3 см. Сстр3
4. Объект 4 Соб. 4 см. Сстр.4
5. Объект n Соб. n. см. Сстрn

99. Данные норматива цены проектных работ и соответствующие им пограничные значения стоимости строительства сводятся в таблицу 9 Методики для включения в НЗ на проектные работы: (в ред. Приказа Минстроя РФ от 08.06.2023 N 409/пр)

Таблица 9

N Сметная стоимость строительства (реконструкции) объекта Нормативы цены проектных работ от сметной стоимости строительства, (%)
1. Сстр1
2. Сстр2
3. Сстр3
4. Сстр4
5. Сстр. n

V. Разработка стоимостного показателя проектных работ на основании анализа трудозатрат проектировщиков при разработке НЗ на проектные работы (в ред. Приказа Минстроя РФ от 08.06.2023 N 409/пр)

100. Разработка стоимостного показателя проектных работ расчетно-аналитическим методом на основании трудозатрат проектировщиков по фактически выполненным работам по разработке проектной документации осуществляется в случае, если стоимостной показатель проектных работ, используемый при разработке параметров цены проектных работ ("а" и "в") в составе НЗ на проектные работы, не может быть определен в зависимости от сметной стоимости строительства объекта. (в ред. Приказа Минстроя РФ от 08.06.2023 N 409/пр)

101. Разработка стоимостного показателя проектных работ осуществляется на основании сведений о времени и количестве исполнителей определенной квалификации, принимающих участие в выполнении проектных работ, которые должны быть подписаны руководителем проектной организации, предоставляющей такие данные, и заверены ее печатью.

102. Разработка стоимостного показателя проектных работ на основании трудозатрат проектировщиков по фактически выполненным проектам осуществляется в следующей последовательности:

1) составление таблицы технологического процесса выполнения проектных работ по объекту строительства при различных значениях натурального показателя;

2) определение величины трудоемкости проектирования объекта строительства при различных значениях натурального показателя;

3) расчет коэффициента, учитывающего степень участия исполнителей - проектировщиков различной квалификации в разработке проектной и (или) рабочей документации;

4) расчет стоимостных показателей проектных работ по объекту строительства при различных значениях натурального показателя;

5) определение границ интервалов изменения натуральных показателей;

6) определение стоимостных показателей проектных работ для заданных границ интервалов натуральных показателей;

7) расчет параметров цены проектных работ ("а" и "в").

103. Расчет стоимостного показателя проектных работ на основании трудозатрат проектировщиков осуществляется по формуле (5.1):

, (5.1)

где:

- стоимостной показатель проектных работ, тыс. руб.;

- среднедневная единичная выработка одного непосредственного исполнителя-проектировщика, тыс. руб.;

- общая продолжительность выполнения проектных работ по календарному плану, дни;

- общая численность непосредственных исполнителей-проектировщиков, чел.;

- коэффициент, учитывающий степень участия непосредственных исполнителей-проектировщиков различной квалификации в разработке проектной и (или) рабочей документации (коэффициент квалификации-участия).

104. Среднедневная единичная выработка определяется по формуле (5.2):

(5.2),

где:

- среднедневная заработная плата одного непосредственного исполнителя-проектировщика, тыс. руб. Указывается по данным Росстата о среднемесячной номинальной начисленной заработной плате работающих в экономике, по видам экономической деятельности в Российской Федерации для деятельности в области архитектуры (код ОКВЭД 71.11) за год, предшествующий году разработки НЗ на проектные работы, (среднее значение за период январь - декабрь) исходя из усредненного на основании производственного календаря количества рабочих дней в месяце для года, предшествующего году разработки НЗ на проектные работы. Для работ по проектированию объектов, являющихся особо опасными, технически сложными, уникальными объектами согласно статье 48.1 Градостроительного кодекса Российской Федерации (Собрание законодательства Российской Федерации, 2005, N 1, ст. 16; 2019, N 31, ст. 4442), а также для работ по подготовке проектной документации, содержащей материалы в форме информационной модели, среднемесячная заработная плата принимается для деятельности в области инженерно-технического проектирования (код ОКВЭД 71.12); (в ред. Приказа Минстроя РФ от 08.06.2023 N 409/пр)

- уровень рентабельности, % (принимается Р = 10%);

- коэффициент, учитывающий долю зарплаты в себестоимости ( принимается 0,4).

105. Коэффициент, учитывающий степень участия исполнителей-проектировщиков различной квалификации в разработке проектной и (или) рабочей документации (Ккв-уч), рассчитывается по формуле (5.3). Величина указанного коэффициента принимается в значении, не превышающем 1,0, за исключением случаев расчета стоимостного показателя работ по подготовке проектной и (или) рабочей документации, содержащей материалы в форме информационной модели:

, (5.3)

где:

- индекс квалификации непосредственных исполнителей-проектировщиков (принимается по таблицам 1.3 - 1.4, приведенным в приложении N 2 к Методике);

- численность исполнителей-проектировщиков одинаковой квалификации, чел.;

- фактическое время работы исполнителей-проектировщиков одинаковой квалификации, дни;

- общая продолжительность выполнения проектных работ по календарному плану, дни.

106. Индексы, указанные в таблицах 1.3 - 1.4, приведенных в приложении N 2 к Методике, могут уточняться при предоставлении соответствующих обоснований (бухгалтерских справок и аналогичных документов), документально подтвержденных уполномоченными лицами проектной организации.

107. Для определения трудоемкости выполнения работы по разработке проектной и (или) рабочей документации и численности исполнителей-проектировщиков составляется таблица технологического процесса выполнения проектных работ, в которой описываются все виды работ и операций, необходимых для подготовки проектной и (или) рабочей документации, с указанием времени, затраченного исполнителями соответствующей квалификации на выполнение проектной работы или операции, необходимых для подготовки проектной и (или) рабочей документации в соответствии с таблицей 10 Методики.

Таблица 10

N Наименование проектной работы или операции Время участия исполнителей в работе (дни)
Исполнитель N 1 Исполнитель N 2 Исполнитель N 3 Исполнитель N n
1 2 3 4 5 6
         

108. Стоимостной показатель проектных работ разрабатывается для различных значений натурального показателя по объекту строительства или отдельной работы для которой в составе НЗ на проектные работы разрабатываются параметры цены проектных работ. (в ред. Приказа Минстроя РФ от 08.06.2023 N 409/пр)

109. Расчет параметров цены проектных работ ("а" и "в") производится в соответствии с пунктами 70 - 74 Методики.

110. В случае необходимости установления в составе НЗ на проектные работы корректирующего коэффициента к цене проектных работ, стоимостной показатель проектных работ, которые требуется выполнять дополнительно при наличии усложняющего фактора проектирования (либо проектных работ, выполнение которых не требуется при наличии упрощающего фактора), такой коэффициент определяется на основании трудозатрат проектировщиков в соответствии с настоящей главой Методики, как соотношение стоимостного показателя проектных работ, которые требуется выполнять дополнительно при наличии усложняющего фактора проектирования (либо проектных работ, выполнение которых не требуется при наличии упрощающего фактора) к стоимостному показателю по объекту. (в ред. Приказа Минстроя РФ от 08.06.2023 N 409/пр)

VI. Учет затрат на выполнение научно-технического сопровождения проектных работ при разработке НЗ на проектные работы (в ред. Приказа Минстроя РФ от 08.06.2023 N 409/пр)

111. По объектам, для которых законодательством Российской Федерации установлено требование о необходимости осуществления научно-технического сопровождения проектных работ (далее - НТС ПР), затраты на выполнение НТС ПР учитываются в составе НЗ на проектные работы. При разработке НЗ на проектные работы учитывается следующий перечень видов работ, выполняемых при НТС ПР: (в ред. Приказа Минстроя РФ от 08.06.2023 N 409/пр)

а) независимое составление расчетных моделей строительных объектов с использованием альтернативных сертифицированных программных средств, сравнительный анализ расчетных схем и полученных результатов расчета, осуществляемый организацией, отличной от той, которая разрабатывала проект, в соответствии с ГОСТ 27751-2014 "Надежность строительных конструкций и оснований. Основные положения", введенным в действие приказом Федерального агентства по техническому регулированию и метрологии от 11 декабря 2014 г. N 1974-ст (Москва: Стандартинформ, 2015) (далее - ГОСТ 27751-2014) (для сооружений класса КС-3 с повышенным уровнем ответственности - обязательно; для сооружений класса КС-2 с нормальным уровнем ответственности - при наличии соответствующего требования заказчика в задании на проектирование);

б) выполнение испытаний новых конструкций, узлов и элементов соединений, применяемых при строительстве здания, интерпретация результатов испытаний в соответствии с СП 267.1325800.2016 "Свод правил. Здания и комплексы высотные. Правила проектирования", утвержденным приказом Министерства строительства и жилищно-коммунального хозяйства Российской Федерации от 30 декабря 2016 г. N 1032/пр (Москва, 2016);

в) уточнение распределения снеговых нагрузок по покрытию зданий и сооружений в соответствии с СП 20.13330.2016 "СНиП 2.01.07-85*. Строительные нормы и правила. Нагрузки и воздействия", утвержденным Постановлением Госстроя СССР от 29 августа 1985 г. N 135 (Москва, Госстрой России, ГУЛ ЦПП, 2003) (далее - СП 20.13330.2016);

г) уточнение аэродинамических коэффициентов на основании модельных испытаний в аэродинамической трубе в соответствии с СП 20.13330.2016;

д) разработка нестандартных методов расчета и анализа при проектировании оснований, фундаментов и подземных частей сооружений в соответствии с СП 22.13330.2016 "СНиП 2.02.01-83*. Строительные нормы и правила. Основания зданий и сооружений", утвержденным Постановлением Госстроя СССР от 5 декабря 1983 г. N 311 (Минстрой России, ГП ЦПП, 1995) (Москва, 2016) (далее - СП 22.13330.2016);

е) прогноз состояния оснований и фундаментов проектируемого объекта с учетом всех возможных видов воздействий в соответствии с СП 22.13330.2016;

ж) геотехнический прогноз влияния строительства на окружающую застройку, геологическую среду и экологическую обстановку в соответствии с СП 22.13330.2016;

з) разработка программы технического мониторинга при возведении и эксплуатации новых сооружений в соответствии с ГОСТ 27751-2014;

и) разработка программы геотехнического и экологического мониторинга в соответствии с СП 22.13330.2016;

к) определение достаточности разработанных возможных сценариев аварийных ситуаций в части оснований, фундаментов и подземных частей сооружений в соответствии с СП 22.13330.2016;

л) разработка технологических регламентов на специальные виды работ в соответствии с СП 22.13330.2016;

м) комплексные расчеты в объемной постановке системы "основание - фундамент - сооружение" в объеме, достаточном для разработки проектного решения по устройству фундамента в соответствии с СП 22.13330.2016;

н) другие виды работ в соответствии с нормативными правовыми актами и техническими документами, регламентирующими вопросы архитектурно-строительного проектирования и безопасной эксплуатации объектов капитального строительства.

112. Затраты на НТС ПР учитываются в составе НЗ на проектные работы для следующих объектов: (в ред. Приказа Минстроя РФ от 08.06.2023 N 409/пр)

а) особо опасные, технически сложные и уникальные объекты в соответствии со статьей 48.1 Градостроительного кодекса Российской Федерации;

б) объекты класса КС-3 с повышенным уровнем ответственности в соответствии с ГОСТ 27751-2014;

в) объекты культурного наследия в соответствии с ГОСТ Р 56198-2014 "Национальный стандарт Российской Федерации. Мониторинг технического состояния объектов культурного наследия. Недвижимые памятники. Общие требования", утвержденным и введенным в действие приказом Федеральной службы по экологическому, технологическому и атомному надзору от 30 октября 2014 г. N 1458-ст (Москва: Стандартинформ, 2015);

г) мостовые сооружения в соответствии с пунктом 5.95 СП 35.13330.2011 "СНиП 2.05.03-84* "Свод правил. Мосты и трубы", утвержденного приказом Министерства регионального развития Российской Федерации от 28 декабря 2010 г. N 822 (Москва: Минрегион России, 2011).

113. При разработке НЗ на проектные работы для строительства объектов, для которых нормативными правовыми актами установлена обязательность выполнения НТС ПР, затраты на выполнение НТС ПР относятся к основным работам, учтенным параметрами или нормативами цен проектных работ. (в ред. Приказа Минстроя РФ от 08.06.2023 N 409/пр)

VII. Общие указания по порядку определения сметной стоимости работ по подготовке проектной документации с применением НЗ на проектные работы (в ред. Приказа Минстроя РФ от 08.06.2023 N 409/пр)

114. Положения главы VII Методики применяются при определении сметной стоимости проектных работ с использованием НЗ на проектные работы, разработанных в соответствии с положениями глав II - VI Методики. (в ред. Приказа Минстроя РФ от 08.06.2023 N 409/пр)

115. Цены НЗ на проектные работы установлены в зависимости от натуральных показателей или от стоимости строительства объектов капитального строительства, предусмотренных пунктом 10 статьи 1 Градостроительного кодекса Российской Федерации (Собрание законодательства Российской Федерации, 2005, N 1, ст. 16; 2018, N 32, ст. 5135), линейных объектов, предусмотренных пунктом 10.1 статьи 1 Градостроительного кодекса Российской Федерации (Собрание законодательства Российской Федерации, 2005, N 1, ст. 16; 2016, N 27, ст. 4306), некапитальных строений и сооружений, предусмотренных пунктом 10.2 статьи 1 Градостроительного кодекса Российской Федерации (Собрание законодательства Российской Федерации, 2005, N 1, ст. 16; 2018, N 32, ст. 5135), сетей и систем инженерно-технического обеспечения, предусмотренных пунктами 20, 21 части 2 статьи 2 Федерального закона N 384-ФЗ. (в ред. Приказа Минстроя РФ от 08.06.2023 N 409/пр)

116. Цены НЗ на проектные работы установлены для условий индивидуального проектирования объектов с использованием для отдельных элементов строительных конструкций и технических решений чертежей типовых (повторно применяемых) изделий, оборудования и узлов. (в ред. Приказа Минстроя РФ от 08.06.2023 N 409/пр)

117. Ценами НЗ на проектные работы учтены затраты на оплату труда производственного персонала и административно-управленческого персонала, отчисления на социальные нужды, амортизационные отчисления на полное восстановление основных производственных фондов и расходов по всем видам их ремонта, материальные затраты, затраты на содержание зданий и арендную плату, налоги и сборы (кроме налога на добавленную стоимость), установленные законодательством Российской Федерации о налогах и сборах, а также прибыль. (в ред. Приказа Минстроя РФ от 08.06.2023 N 409/пр)

118. Цены НЗ на проектные работы учитывают затраты на следующие работы и услуги: (в ред. Приказа Минстроя РФ от 08.06.2023 N 409/пр)

а) участие проектной организации совместно с застройщиком (техническим заказчиком) в согласовании разработанной проектной документации с органами государственной власти и органами местного самоуправления, подведомственными им организациями, а также лицами, чьи имущественные интересы затрагиваются при строительстве;

б) участие проектной организации в защите (согласование, подготовка ответов на замечания) разработанной проектной документации в утверждающих инстанциях и органах (организациях), уполномоченных на проведение экспертизы, а также внесение изменений в проектную документацию по их замечаниям;

в) подготовку проектной и (или) рабочей документации в условиях нового строительства при условиях производства работ, при которых отсутствуют усложняющие факторы (стесненность, загазованность, работа вблизи действующего оборудования и другие усложняющие факторы), а также нормальных условиях эксплуатации объекта проектирования согласно пункту 11 части 2 статьи 2 Федерального закона N 384-ФЗ (Собрание законодательства Российской Федерации, 2010, N 1, ст. 5);

г) выдачу застройщику (техническому заказчику) проектной и (или) рабочей документации на бумажных носителях в количестве четырех экземпляров и одного экземпляра на электронном носителе. Стоимость экземпляров проектной и рабочей документации, выдаваемой застройщику (техническому заказчику) сверх указанного количества, определяется дополнительно исходя из расценок на тиражирование организации-разработчика.

119. Цены НЗ на проектные работы не учитывают затраты на следующие работы и услуги, если иное не указано в НЗ на проектные работы: (в ред. Приказа Минстроя РФ от 08.06.2023 N 409/пр)

1) подготовку проектной и (или) рабочей документации, включаемой в раздел "Иная документация": "Промышленная безопасность", в том числе "Декларация промышленной безопасности"; "Мероприятия по гражданской обороне и мероприятия по предупреждению чрезвычайных ситуаций природного и техногенного характера"; "Эффективность инвестиций"; "План локализации и ликвидации аварийных ситуаций на химико-технологических объектах"; "План по предупреждению и ликвидации аварийных разливов нефти и нефтепродуктов", "Система мониторинга и управления инженерными системами зданий и сооружений" и другое;

2) подготовку проектной и (или) рабочей документации на автоматизированные системы управления предприятием, автоматизированные системы управления технологическими процессами, автоматизированные системы управления энергоснабжением и другие автоматизированные системы, за исключением локальной автоматики здания (сооружения);

3) проектирование зданий, сооружений, инженерных сетей вне земельного участка для размещения объекта проектирования, размеры которого определяются нормами проектирования, подготовку проектной и (или) рабочей документации на развитие и строительство железнодорожных линий и автомобильных дорог общего пользования;

4) подготовку предпроектной документации, предшествующей подготовке проектной документации, в которой выполняется обоснование инвестиций, оценивается техническая, экономическая целесообразность вложения инвестиций, определяется экономическая эффективность, прорабатываются возможные варианты технических, архитектурных и объемно-планировочных решений, определяется предварительное планировочное решение по размещению объекта строительства, необходимость разработки которой устанавливается застройщиком (техническим заказчиком): бизнес-планов, концепций, обоснования инвестиций в строительство, технико-экономических обоснований, оценки воздействия объекта капитального строительства на окружающую среду, эскизных проектов;

5) разработку задания на проектирование;

6) оплату услуг согласующих проектную документацию органов и организаций, установленных нормативными правовыми актами;

7) оплату услуг по экспертизе проектной документации, установленной нормативными правовыми актами;

8) выполнение проектных работ, связанных с подготовкой территории строительства объекта проектирования;

9) участие в выборе площадки строительства согласно главе V.1 Земельного кодекса Российской Федерации (Собрание законодательства Российской Федерации, 2001, N 44, ст. 4147; 2021, N 27, ст. 5104);

10) подготовку указанных в задании на проектирование проектных решений в нескольких вариантах (для разного состава зданий, сооружений, сетей и систем, с различным перечнем основных технико-экономических показателей объекта) для объекта проектирования, за исключением вариантных проработок проектной организации для выбора оптимальных, безопасных и эффективных проектных решений в составе проектной документации;

11) подготовку деталировочных чертежей металлических конструкций и технологических трубопроводов заводского изготовления;

12) подготовку конструкторской документации оборудования индивидуального изготовления, кроме составления исходных требований, необходимых для подготовки технического задания на подготовку этой документации;

13) комплектование объектов строительства оборудованием (в том числе доукомплектование поставляемого оборудования); проверка комплектности поставок оборудования, согласование заводской документации по оборудованию и системам, включая технические задания и технические условия;

14) подготовку рабочих чертежей на специальные вспомогательные приспособления, устройства и установки при проектировании объектов с особо сложными конструкциями (конструктивными элементами) в условиях производства работ, при которых необходимо применение специальных вспомогательных сооружений, приспособлений, устройств и установок, являющихся совокупностью временных сооружений и обустройств, необходимых для строительства конкретного объекта, и применением специальных методов производства строительно-монтажных работ, включающих комплекс мероприятий, обеспечивающих безопасность строительства объекта и его сохранность, необходимость применения которых возникает в случаях, предусмотренных положениями СП 116.13330.2012 "Инженерная защита территорий, зданий и сооружений от опасных геологических процессов. Основные положения. Актуализированная редакция СНиП 22-02-2003", утвержденного приказом Министерства регионального развития Российской Федерации от 30 июня 2012 г. N 274 (Москва: Минрегион России, 2012; 2020), пунктом 3.19 ГОСТ 33152-2014 "Межгосударственный стандарт. Дороги автомобильные общего пользования. Классификация тоннелей", введенным в действие приказом Федерального агентства по техническому регулированию и метрологии от 21 июля 2015 г. N 921-ст (Москва: Стандартинформ, 2015), пунктом 1.9 ВСН 005-88 "Строительство промысловых стальных трубопроводов. Технология и организация", утвержденных приказом Миннефтегазстроя СССР от 1 ноября 1988 г. N 332 (Москва: ВНИИСТ, 1990), пунктом 10.133 СП 42-101-2003 "Свод правил по проектированию и строительству. Общие положения по проектированию и строительству газораспределительных систем из металлических и полиэтиленовых труб", одобренным Постановлением Госстроя России от 26 июня 2003 г. N 112 (Москва: ЗАО "Полимергаз", ГУП ЦПП, 2003), пунктом 6.7 СП 32-105-2004 "Метрополитены", а также подготовку документации "Проект производства работ", одобренного Письмом Госстроя России от 23 марта 2004 г. N ЛБ-1912/9 (Москва: Госстрой России, ФГУП ЦПП, 2004);

15) корректировку и внесение изменений в разработанную проектную и (или) рабочую документацию в связи с введением новых технических документов, внесением изменений в задание на проектирование;

16) сбор исходных данных, необходимых для проектирования;

17) расходы на командировки, в том числе административного персонала, в том числе командировки, связанные непосредственно с проектированием объекта строительства;

18) выполнение функций строительного контроля застройщика (технического заказчика) и подрядчика, авторский надзор;

19) научно-исследовательские и опытно-конструкторские работы при проектировании и строительстве объекта, НТС ПР, кроме объектов проектирования, для которых нормативными правовыми актами установлена необходимость обязательного НТС ПР;

20) инжиниринговые услуги, не относящиеся к проектным работам, маркетинговые услуги по исследованию конъюнктуры рынка и консультативные услуги по вопросам управления маркетингом, включая вопросы продвижения результатов проектной деятельности потребителю, ценообразования, дизайна и прочие вопросы, связанные со стратегией маркетинга и операциями объекта проектирования, соответствующие классу 73 и виду 70.22.13 ОКПД 2 "ОК 034-2014 (КПЕС 2008). Общероссийский классификатор продукции по видам экономической деятельности", выполняемые по поручению застройщика (технического заказчика), выполнение функций технического заказчика.

21) работы по инженерным изысканиям, обмерные и обследовательские работы;

22) подготовку документации для проведения закупки товаров, работ, услуг для обеспечения государственных или муниципальных нужд;

23) подготовку специальных технических условий, технологических регламентов и эксплуатационной документации;

24) разработку проектной и (или) рабочей документации в форме информационной модели;

25) подготовку проектных решений по монументально-декоративному (индивидуальное проектирование малых архитектурных форм, к элементам которых относятся скульптурно-архитектурные композиции, монументально-декоративные композиции, водные устройства, монументы, памятные знаки и другие) и художественно-декоративному оформлению предприятий, зданий и сооружений (индивидуальное проектирование произведений декоративно-прикладного искусства (элементы внешнего и внутреннего убранства объекта проектирования), а также разработка рабочих чертежей интерьеров (дизайн-проекта), выполняемая в соответствии с ГОСТ 21.507-81 (СТ СЭВ 4410-83) "Государственный стандарт Союза ССР. Система проектной документации для строительства. Интерьеры. Рабочие чертежи", утвержденным постановлением Госстроя СССР от 2 апреля 1981 г. N 48 (Москва: Издательство стандартов, 1987), за исключением общестроительных проектных решений по интерьерам);

26) подготовку документов территориального планирования и проекта планировки территории;

27) подготовку проектной и (или) рабочей документации по разделу "Проект организации работ по сносу или демонтажу объектов капитального строительства" (далее - ПОД);

28) подготовку проектной и (или) рабочей документации на консервацию, ликвидацию объектов проектирования;

29) изготовление демонстрационных материалов (макеты, планшеты, буклеты и прочие);

30) подготовку документации на пусконаладочные работы;

31) согласование технических условий и другой документации на изготовление оборудования.

120. В случае, если цены НЗ на проектные работы установлены на разработку проектной и (или) рабочей документации основного производства (без учета вспомогательных объектов, а также инженерных сетей и сооружений), общая стоимость проектных работ определяется набором стоимостных показателей проектирования основных и вспомогательных объектов, инженерных сетей и сооружений. (в ред. Приказа Минстроя РФ от 08.06.2023 N 409/пр)

121. Цены НЗ на проектные работы не учитывают стоимость проектирования инженерных сетей за пределами земельного участка, размер которого устанавливается нормативными правовыми актами и техническими документами, регулирующими вопросы градостроительной деятельности и архитектурно-строительного проектирования конкретных видов (типов, категорий) объектов капитального строительства применительно к конкретному виду объекта проектирования. (в ред. Приказа Минстроя РФ от 08.06.2023 N 409/пр)

122. Цены НЗ на проектные работы, определяющие стоимость основных проектных работ в зависимости от натуральных показателей объектов проектирования, учитывают затраты на подготовку проектной и (или) рабочей документации внутренних сетей инженерно-технического обеспечения (сети (системы) здания или сооружения, предназначенные для выполнения функций водоснабжения, канализации, отопления, вентиляции, кондиционирования воздуха, газоснабжения, электроснабжения, связи, информатизации, диспетчеризации, мусороудаления, вертикального транспорта (лифты, эскалаторы) или функций обеспечения безопасности, размещенные в объеме, ограниченном наружными поверхностями ограждающих конструкций зданий (сооружений) и выпусками в границах земельного участка под строительство) до их точки подключения к наружным инженерным сетям (наружные инженерные сети от точек подключения к ним здания и сооружения в пределах площадки, отведенной под строительство, а также сети вне этой площадки) в пределах земельного участка, отведенного под строительство, но не более 50 метров от периметра здания (сооружения), в том числе: (в ред. Приказа Минстроя РФ от 08.06.2023 N 409/пр)

а) сети водоснабжения - до первого колодца;

б) сети канализации - до первого колодца;

в) сети электроснабжения - от зданий до точки подключения, расположенной в трансформаторной подстанции;

г) сети теплоснабжения, отопления - от здания до запорной арматуры;

д) сети внутреннего газоснабжения - от здания до ближайшего ковера (запорной арматуры);

е) слаботочные сети - от здания до ближайшего колодца на сетях телефонной канализации.

Приведенные в настоящем пункте положения применяются в случае отсутствия соответствующих положений в НЗ на проектные работы. (в ред. Приказа Минстроя РФ от 08.06.2023 N 409/пр)

123. Перечень учтенных и неучтенных ценами НЗ на проектные работы затрат на выполнение основных и дополнительных проектных работ, а также сопутствующих работ и расходов устанавливается в НЗ на проектные работы исходя из специфики конкретных объектов проектирования. (в ред. Приказа Минстроя РФ от 08.06.2023 N 409/пр)

124. Распределение цен НЗ на проектные работы на подготовку проектной и (или) рабочей документации осуществляется согласно положениям НЗ на проектные работы. (в ред. Приказа Минстроя РФ от 08.06.2023 N 409/пр)

125. При подготовке проектной и (или) рабочей документации в сокращенном по сравнению с предусмотренным действующими нормами проектирования составе разделов и объемов работ, а также в сокращенном составе объектов проектирования, зданий, сооружений, помещений стоимость таких проектных работ, независимо от методов ее расчета, определяется по ценам НЗ на проектные работы с применением понижающего коэффициента, учитывающего при применении НЗ на проектные работы отсутствие необходимости (по сравнению с действующими нормами проектирования) подготовки отдельных разделов (подразделов, частей) проектной и (или) рабочей документации, сокращенный объем основных проектных работ, а также сокращенный состав зданий и сооружений объекта проектирования, размер которого устанавливается в соответствии с трудоемкостью работ и показателями относительной стоимости разработки разделов проектной и соответствующих комплектов рабочей документации, установленными в приложении "Таблицы относительной стоимости проектных работ по разделам проектной документации и соответствующим комплектам рабочей документации" к НЗ на проектные работы. (в ред. Приказа Минстроя РФ от 08.06.2023 N 409/пр)

126. При определении стоимости проектирования конкретного объекта показатели относительной стоимости разработки разделов проектной и (или) соответствующих комплектов рабочей документации по согласованию с застройщиком (техническим заказчиком) подлежат уточнению в зависимости от трудоемкости их выполнения, в пределах цены проектных работ.

127. Показатели относительной стоимости разработки разделов проектной и (или) соответствующих комплектов рабочей документации подлежат согласованию с застройщиком (техническим заказчиком) только при расчете размеров корректирующих коэффициентов с применением установленной в НЗ на проектные работы относительной стоимости разработки разделов проектной и (или) соответствующих комплектов рабочей документации, а также при разработке проектной и (или) рабочей документации не в полном объеме. (в ред. Приказа Минстроя РФ от 08.06.2023 N 409/пр)

128. Особенности определения стоимости проектных работ конкретных видов (типов, категорий) объектов проектирования устанавливаются с учетом положений Методики в соответствующих НЗ на проектные работы. (в ред. Приказа Минстроя РФ от 08.06.2023 N 409/пр)

129. Способы определения стоимости основных и дополнительных проектных работ, а также сопутствующих работ и расходов, не учтенных параметрами и нормативами цены НЗ на проектные работы, указаны в таблице 4.1, приведенной в приложении N 4 к Методике. (в ред. Приказа Минстроя РФ от 08.06.2023 N 409/пр)

VIII. Порядок определения стоимости проектных работ с использованием НЗ на проектные работы (в ред. Приказа Минстроя РФ от 08.06.2023 N 409/пр)

130. Стоимость проектных работ в зависимости от натуральных показателей объектов проектирования определяется по ценам НЗ на проектные работы, установленным в зависимости от натуральных показателей, по формуле (8.1): (в ред. Приказа Минстроя РФ от 08.06.2023 N 409/пр)

, (8.1),

где:

С - стоимость проектных работ, рублей;

а - параметр цены основных проектных работ, установленный в соответствующих таблицах НЗ на проектные работы; (в ред. Приказа Минстроя РФ от 08.06.2023 N 409/пр)

в - параметр цены проектных работ, установленный в соответствующих таблицах НЗ на проектные работы; (в ред. Приказа Минстроя РФ от 08.06.2023 N 409/пр)

X - натуральный показатель объекта проектирования, находящийся в интервале значений, приведенных в таблицах НЗ на проектные работы; (в ред. Приказа Минстроя РФ от 08.06.2023 N 409/пр)

- корректирующие коэффициенты согласно положениям НЗ на проектные работы. При отсутствии условий проектирования конкретного объекта, требующих введения в расчет корректирующих коэффициентов, = 1; (в ред. Приказа Минстроя РФ от 08.06.2023 N 409/пр)

- индекс изменения сметной стоимости проектных работ.

131. Цена проектных работ для строительства объектов, имеющих натуральные показатели, находящиеся вне интервалов значений, приведенных в таблицах НЗ на проектные работы, определяется с учетом следующего: (в ред. Приказа Минстроя РФ от 08.06.2023 N 409/пр)

1) в случае, если объект проектирования имеет значение основного показателя в интервале между половиной минимального показателя и минимальным показателем, приведенным в таблицах НЗ на проектные работы, цена проектных работ определяется путем экстраполяции по формуле (8.2): (в ред. Приказа Минстроя РФ от 08.06.2023 N 409/пр)

, (8.2),

где:

Ц - цена проектных работ, рублей;

а, в - параметры цены, принимаемые по таблицам НЗ на проектные работы для минимального значения натурального показателя; (в ред. Приказа Минстроя РФ от 08.06.2023 N 409/пр)

- минимальный показатель, приведенный в таблицах НЗ на проектные работы; (в ред. Приказа Минстроя РФ от 08.06.2023 N 409/пр)

- натуральный показатель объекта проектирования, имеющий значение в интервале между половиной минимального показателя и минимальным показателем, приведенным в таблицах НЗ на проектные работы; (в ред. Приказа Минстроя РФ от 08.06.2023 N 409/пр)

0,4 и 0,6 - корректирующие коэффициенты, отражающие величину поправки;

2) в случае, если объект проектирования имеет натуральный показатель больше максимального показателя, приведенного в таблицах НЗ на проектные работы, цена проектных работ определяется путем экстраполяции по формуле (8.3): (в ред. Приказа Минстроя РФ от 08.06.2023 N 409/пр)

, (8.3),

где:

Ц - цена проектных работ, рублей;

а, в - параметры цены, принимаемые по таблицам НЗ на проектные работы, для максимального значения натурального показателя; (в ред. Приказа Минстроя РФ от 08.06.2023 N 409/пр)

- максимальный показатель, приведенный в таблицах НЗ на проектные работы; (в ред. Приказа Минстроя РФ от 08.06.2023 N 409/пр)

- натуральный показатель объекта проектирования;

0,4 и 0,6 - корректирующие коэффициенты, отражающие величину поправки;

3) в случае, если натуральный показатель объекта проектирования имеет значение основного показателя меньше половины минимального показателя, приведенного в таблицах НЗ на проектные работы, цена проектных работ определяется путем экстраполяции по формуле (8.4): (в ред. Приказа Минстроя РФ от 08.06.2023 N 409/пр)

, (8.4),

где:

Ц - цена проектных работ, рублей;

а, в - параметры цены, принимаемые по таблицам НЗ на проектные работы, для минимального значения натурального показателя; (в ред. Приказа Минстроя РФ от 08.06.2023 N 409/пр)

- минимальный показатель, приведенный в таблицах НЗ на проектные работы; (в ред. Приказа Минстроя РФ от 08.06.2023 N 409/пр)

- коэффициент экстраполяции, рассчитываемый по формуле (8.5) и принимаемый в значении, превышающем 0,1;

0,4 и 0,6 - корректирующие коэффициенты, отражающие величину поправки.

Коэффициент экстраполяции рассчитывается по формуле (8.5):

(8.5),

где:

- натуральный показатель объекта проектирования, имеющий значение, не превышающее половину минимального показателя, приведенного в таблицах НЗ на проектные работы; (в ред. Приказа Минстроя РФ от 08.06.2023 N 409/пр)

- половина минимального показателя, приведенного в таблицах НЗ на проектные работы. (в ред. Приказа Минстроя РФ от 08.06.2023 N 409/пр)

132. Положения и формулы, приведенные в пункте 131 Методики, распространяются на все пункты таблиц НЗ на проектные работы, если для минимального и максимального натуральных показателей таблиц НЗ на проектные работы установлены границы интервала "до" и "свыше". (в ред. Приказа Минстроя РФ от 08.06.2023 N 409/пр)

133. В случае, если в таблицах НЗ на проектные работы для одного вида объекта проектирования приведены значения только параметра "а", при этом объект проектирования имеет значение натурального показателя, не совпадающее с приведенным в таблице НЗ на проектные работы, его цена определяется путем интерполяции или экстраполяции с учетом следующего: (в ред. Приказа Минстроя РФ от 08.06.2023 N 409/пр)

1) в случае, если натуральный показатель имеет значение, которое находится в интервале значений, приведенных в таблицах НЗ на проектные работы, цена проектных работ определяется по формуле (8.6): (в ред. Приказа Минстроя РФ от 08.06.2023 N 409/пр)

(8.6),

где:

Ц - цена проектных работ, рублей;

, - параметры цены, принимаемые по таблицам НЗ на проектные работы, для значений соответствующих натуральных показателей; (в ред. Приказа Минстроя РФ от 08.06.2023 N 409/пр)

, - натуральные показатели, приведенные в таблицах НЗ на проектные работы; (в ред. Приказа Минстроя РФ от 08.06.2023 N 409/пр)

- натуральный показатель объекта проектирования, находящийся между показателями, приведенными в таблицах НЗ на проектные работы; (в ред. Приказа Минстроя РФ от 08.06.2023 N 409/пр)

2) в случае, если натуральный показатель имеет значение меньше минимального показателя, приведенного в таблицах НЗ на проектные работы, цена проектных работ определяется по формуле (8.7): (в ред. Приказа Минстроя РФ от 08.06.2023 N 409/пр)

(8.7),

где:

Ц - цена проектных работ, рублей;

, - параметры цены, принимаемые по таблице НЗ на проектные работы для минимального и следующего за ним значения натуральных показателей; (в ред. Приказа Минстроя РФ от 08.06.2023 N 409/пр)

, - минимальный и следующий за ним натуральные показатели, приведенные в таблице НЗ на проектные работы; (в ред. Приказа Минстроя РФ от 08.06.2023 N 409/пр)

- натуральный показатель объекта проектирования, имеющий значение меньше минимального показателя, приведенного в таблице НЗ на проектные работы; (в ред. Приказа Минстроя РФ от 08.06.2023 N 409/пр)

0,6 - корректирующий коэффициент, отражающий величину поправки;

3) в случае, если натуральный показатель имеет значение больше максимального показателя, приведенного в таблицах НЗ на проектные работы, цена проектных работ определяется по формуле (8.8): (в ред. Приказа Минстроя РФ от 08.06.2023 N 409/пр)

(8.8),

где:

Ц - цена проектных работ, рублей;

, - параметры цены, принимаемые по таблицам НЗ на проектные работы, (в ред. Приказа Минстроя РФ от 08.06.2023 N 409/пр)

для максимального и предшествующего ему значения натуральных показателей;

, - максимальный и предшествующий ему натуральные показатели, приведенные в таблицах НЗ на проектные работы; (в ред. Приказа Минстроя РФ от 08.06.2023 N 409/пр)

- натуральный показатель объекта проектирования, имеющий значение, превышающее максимальный показатель, приведенный в таблицах НЗ на проектные работы; (в ред. Приказа Минстроя РФ от 08.06.2023 N 409/пр)

0,6 - корректирующий коэффициент, отражающий величину поправки.

134. Приведенные в пунктах 131 и 133 Методики положения и формулы не применяются при определении стоимости проектных работ по ценам таблиц НЗ на проектные работы, для которых единицей измерения натурального показателя является "объект". В таком случае стоимость проектных работ определяется на основании параметров цены проектных работ, установленных в НЗ на проектные работы. (в ред. Приказа Минстроя РФ от 08.06.2023 N 409/пр)

135. Стоимость проектных работ в зависимости от стоимости строительства объекта определяется по ценам НЗ на проектные работы, установленным в зависимости от стоимости строительства, по формуле (8.9) с учетом положений, приведенных в пунктах 136 - 142 Методики: (в ред. Приказа Минстроя РФ от 08.06.2023 N 409/пр)

(8.9),

где:

С - стоимость проектных работ, рублей;

- сметная стоимость строительно-монтажных работ и оборудования (в том числе мебели, инвентаря) по итогу глав ССР в уровне цен на 1 января года разработки НЗ на проектные работы (далее - сметная стоимость строительства). Пересчет сметной стоимости строительства объектов из уровня цен, установленного в ССР, в уровень цен по состоянию на 1 января года разработки НЗ на проектные работы осуществляется путем применения к стоимости строительства соответствующих индексов изменения сметной стоимости строительства, информация о которых размещена в федеральной государственной информационной системе ценообразования в строительстве (далее - индекс изменения сметной стоимости строительства). В случае определения сметной стоимости строительства ресурсно-индексным либо ресурсным методом при условии отсутствия соответствующих индексов изменения сметной стоимости строительства, ее пересчет осуществляется путем применения к стоимости строительства годового индекса пересчета, определяемого в соответствии с данными среднесрочного прогноза социально-экономического развития Российской Федерации, публикуемого Министерством экономического развития Российской Федерации на сайте: http://economy.gov.ru, по строке "Инвестиции в основной капитал. Индекс-дефлятор". Квартальный индекс пересчета стоимости строительства определяется путем извлечения корня четвертой степени из величины годового индекса пересчета за (на) соответствующий год, рублей; (в ред. Приказа Минстроя РФ от 08.06.2023 N 409/пр)

а - норматив цены проектных работ для соответствующей стоимости строительства согласно таблицам НЗ на проектные работы; (в ред. Приказа Минстроя РФ от 08.06.2023 N 409/пр)

- корректирующие коэффициенты согласно положениям НЗ на проектные работы. При отсутствии условий строительства конкретного объекта проектирования, требующих введения в расчет корректирующих коэффициентов, = 1; (в ред. Приказа Минстроя РФ от 08.06.2023 N 409/пр)

- индекс изменения сметной стоимости проектных работ.

136. Для определения стоимости проектных работ на этапе формирования начальной (максимальной) цены контракта сметную стоимость строительства объекта проектирования допускается определять по укрупненным нормативам цены строительства, сведения о которых включены в ФРСН, или по данным ССР объекта-аналога, соответствующего критериям, утвержденным приказом Министерства строительства и жилищно-коммунального хозяйства Российской Федерации от 16 октября 2018 г. N 662/пр "Об утверждении критериев, на основании которых устанавливается аналогичность проектируемого объекта капитального строительства и объекта капитального строительства, применительно к которому подготовлена проектная документация, в отношении которой принято решение о признании проектной документации экономически эффективной проектной документацией повторного использования" (зарегистрирован Министерством юстиции Российской Федерации 13 февраля 2019 г., регистрационный N 53773), при условии последующего уточнения сметной стоимости проектных работ от итога глав 1 - 9 ССР объекта проектирования.

137. Нормативы цены проектных работ, приведенные в таблицах НЗ на проектные работы, учитывают стоимость проектных работ всего комплекса зданий и сооружений, нашедших отражение в сметной стоимости строительства объекта проектирования, за исключением стоимости работ, перечисленных в пункте 119 Методики и в главе "Общие положения" применяемых НЗ на проектные работы. (в ред. Приказа Минстроя РФ от 08.06.2023 N 409/пр)

138. В случае, когда объект проектирования имеет величину сметной стоимости строительства, находящуюся между показателями, приведенными в таблицах НЗ на проектные работы, норматив цены проектных работ определяется с применением формул интерполяции (8.10) и (8.11): (в ред. Приказа Минстроя РФ от 08.06.2023 N 409/пр)

(8.10),

или

(8.11),

где:

- норматив цены проектных работ объекта проектирования;

, - норматив цены проектных работ для соответствующей сметной стоимости строительства в таблицах НЗ на проектные работы; (в ред. Приказа Минстроя РФ от 08.06.2023 N 409/пр)

- сметная стоимость строительства;

, - показатели сметной стоимости строительства в таблицах НЗ на проектные работы, между которыми находится стоимость строительства. (в ред. Приказа Минстроя РФ от 08.06.2023 N 409/пр)

139. Если сметная стоимость строительства меньше или больше крайних показателей стоимостей строительства, приведенных в таблицах НЗ на проектные работы, норматив цены проектных работ принимается в размерах, установленных для крайних показателей без применения формул экстраполяции в сторону уменьшения или увеличения. (в ред. Приказа Минстроя РФ от 08.06.2023 N 409/пр)

140. В случае, если сметная стоимость строительно-монтажных работ по объекту проектирования составляет менее 60% от сметной стоимости строительства, при определении стоимости проектных работ по формулам (8.9) - (8.11) применяются следующие корректирующие коэффициенты:

1) менее 60% до 50% включительно, в размере 0,95;

2) менее 50% до 40% включительно, в размере 0,9;

3) менее 40% до 30% включительно, в размере 0,8;

4) менее 30%, в размере 0,7.

141. При определении стоимости проектных работ объектов проектирования учитываются категории сложности проектирования объектов, в случае их установления в НЗ на проектные работы. (в ред. Приказа Минстроя РФ от 08.06.2023 N 409/пр)

142. При определении стоимости проектных работ по нормативам цены в зависимости от сметной стоимости строительства корректирующие коэффициенты на усложняющие факторы, приведенные в таблице 5.1 приложения N 5 к Методике, не применяются.

143. В случае отсутствия в НЗ на проектные работы показателей и нормативов цены проектных работ стоимость проектных работ объекта строительства определяется следующими способами: (в ред. Приказа Минстроя РФ от 08.06.2023 N 409/пр)

а) по аналогии для сопоставимых видов (типов, категорий) объектов проектирования и видов проектных работ;

б) в соответствии с калькуляцией затрат на проектирование объекта (далее - калькуляция затрат);

в) по наиболее экономичному варианту, определенному на основании сбора информации о текущих ценах с использованием данных, определенных методом сопоставимых рыночных цен (анализа рынка) в соответствии с частью 1 статьи 22 Федерального закона от 5 апреля 2013 г. N 44-ФЗ "О контрактной системе в сфере закупок товаров, работ, услуг для обеспечения государственных и муниципальных нужд" (Собрание законодательства Российской Федерации, 2013, N 14, ст. 1652) (далее - Федеральный закон N 44-ФЗ).

144. При определении стоимости проектных работ по аналогии для сопоставимых видов (типов, категорий) объектов проектирования и видов проектных работ допускается использование соответствующих указаний по применению показателей и нормативов цены проектных работ, корректирующих коэффициентов, показателей относительной стоимости разработки разделов проектной и соответствующих комплектов рабочей документации, установленных в НЗ на проектные работы, в случае их отсутствия в иных НЗ на проектные работы. (в ред. Приказа Минстроя РФ от 08.06.2023 N 409/пр)

145. В соответствии с калькуляцией затрат определяется стоимость основных и дополнительных проектных работ, сопутствующих работ и расходов.

Стоимость работ и расходов в соответствии с калькуляцией затрат определяется согласно положениям Методики с учетом следующего:

1) стоимость проектных работ и расходов () в соответствии с калькуляцией затрат определяется по формуле (8.12):

, (8.12),

где:

- стоимость проектных работ, определенная в соответствии с калькуляцией затрат, рублей;

- среднедневная выработка одного непосредственного исполнителя, рублей;

- плановая продолжительность выполнения проектных работ, предусмотренных калькуляцией затрат, дни;

- общая численность непосредственных исполнителей-проектировщиков, занятых в выполнении проектных работ, предусмотренных калькуляцией затрат, чел.;

- корректирующий коэффициент, учитывающий степень участия исполнителей различной квалификации в выполнении проектных работ, предусмотренных калькуляцией затрат (далее - коэффициент квалификации-участия);

2) среднедневная выработка () определяется по формуле (8.13):

(8.13),

где:

Р - коэффициент уровня рентабельности (сметной прибыли), принимается Р = 0,1 (1%) согласно таблице 1.2, приведенной в приложении N 2 к Методике;

- среднедневная заработная плата, тыс. руб. Принимается по данным Росстата о среднемесячной номинальной начисленной заработной плате работающих в экономике, по видам экономической деятельности в Российской Федерации для деятельности в области архитектуры (код 71.11 согласно ОК 029-2014 (КДЕС ред. 2) "Общероссийский классификатор видов экономической деятельности" (далее - Общероссийский классификатор) за год, предшествующий году определения сметной стоимости объекта проектирования (среднее значение за период январь - декабрь), исходя из усредненного на основании производственного календаря количества рабочих дней в месяце для года, предшествующего году определения сметной стоимости проектных работ. Для работ по проектированию объектов, являющихся особо опасными, технически сложными, уникальными объектами согласно статье 48.1 Градостроительного кодекса Российской Федерации, а также для работ по подготовке проектной документации, содержащей материалы в форме информационной модели, среднемесячная заработная плата принимается для деятельности в области инженерно-технического проектирования (код 71.12 согласно ОК 029-2014 (КДЕС ред. 2) Общероссийского классификатора);

- коэффициент, учитывающий долю оплаты труда производственного персонала в себестоимости проектных работ: принимается в размере 0,4 (40,06%) согласно таблице 1.1, приведенной в приложении N 2 к Методике;

3) коэффициент, квалификации-участия (), определяется по формуле (8.14):

, (8.14),

где:

- индекс квалификации непосредственных исполнителей согласно таблицам 1.3 - 1.4, приведенным в приложении N 2 к Методике. Для отдельных отраслей индексы, приведенные в таблицах 1.3 - 1.4 приложения N 2 к Методике, подлежат уточнению при предоставлении соответствующих обоснований (бухгалтерских справок и аналогичных документов), документально подтвержденных уполномоченными лицами проектной организации;

- численность исполнителей одинаковой квалификации, чел.;

- фактическое время работы исполнителей одинаковой квалификации, дни.

Численность и должностные категории (квалификация) исполнителей, фактическое время работы исполнителей одинаковой квалификации определяются на основании положений документов по стандартизации согласно статье 14 Федерального закона от 29 июня 2015 г. N 162-ФЗ "О стандартизации в Российской Федерации" (Собрание законодательства Российской Федерации, 2015, N 27, ст. 3953; 2021, N 1, ст. 62), стандартов процесса подготовки проектной документации согласно пункту 10 части 8 статьи 55.20 Градостроительного кодекса Российской Федерации (Собрание законодательства Российской Федерации, 2005, N 1, ст. 16; 2018, N 32, ст. 5133), норм проектирования, данных о трудоемкости объектов-аналогов, результатов опроса, проведенного среди не менее трех проектных организаций, специализирующихся на выполнение проектных работ, на которые подготавливается смета, таблиц технологического процесса выполнения проектных работ по объекту, продолжительности выполняемых работ, указанных в календарном плане к договору на выполнение проектных работ, данных о времени и количестве исполнителей определенной квалификации, принимающих участие в выполнении проектных работ, которые должны быть подписаны руководителем проектной организации, предоставляющей такие данные, и заверены ее печатью;

4) стоимость проектных работ, определяемых в соответствии с калькуляцией затрат, не учитывает командировочные расходы, непосредственно связанные с проектированием объекта, определяемые дополнительно;

5) рекомендуемый образец сметы на основные и дополнительные проектные работы, сопутствующие работы (форма 2п) приведен приложении N 7 к Методике;

6) рекомендуемый образец сметы на проектные работы в соответствии с калькуляцией затрат (форма 3п) приведен приложении N 7 к Методике.

146. Командировочные расходы, непосредственно связанные с проектированием объекта, возмещаются в соответствии с требованиями статьи 168 Трудового кодекса Российской Федерации (Собрание законодательства Российской Федерации, 2002, N 1, ст. 3; 2021, N 18, ст. 3053) и учитываются при применении НЗ на проектные работы дополнительно при наличии согласовании застройщика (технического заказчика) отдельным сметным расчетом с расшифровкой затрат на проезд к месту выполнения производственного задания и обратно, стоимости услуги найма жилого помещения (проживание в гостинице) и суточных расходов. (в ред. Приказа Минстроя РФ от 08.06.2023 N 409/пр)

147. Рекомендуемый образец сметного расчета на командировочные расходы по работам, связанным с проектированием объекта (форма 4П), приведен в приложении N 7 к Методике.

148. Размер расходов на командировки, в том числе расходов на проезд и проживания в гостинице определяется на момент составления расчета в соответствии с Положением об особенностях направления работников в служебные командировки, утвержденным постановлением Правительства Российской Федерации от 13 октября 2008 г. N 749 (Собрание законодательства Российской Федерации, 2008, N 42, ст. 4821; 2015, N 31, ст. 4701).

149. Понесенные проектной организацией командировочные расходы обосновываются копиями подтверждающих финансовых документов (счета, счета-фактуры, чеки на оплату), заверенными ее уполномоченными лицами.

150. При проектировании объекта, строительство которого осуществляется по этапам, стоимость проектных работ определяется по каждому этапу отдельно исходя из выполняемого объема работ с применением соответствующих НЗ на проектные работы. (в ред. Приказа Минстроя РФ от 08.06.2023 N 409/пр)

IX. Учет факторов, влияющих на трудоемкость проектирования при определении стоимости проектных работ

151. Факторы, оказывающие влияние на трудоемкость проектирования при определении стоимости проектных работ, учитываются с применением корректирующих коэффициентов, приводимых в НЗ на проектные работы. (в ред. Приказа Минстроя РФ от 08.06.2023 N 409/пр)

152. При определении стоимости проектных работ, предусматривающих привязку экономически эффективной проектной документации повторного использования, требования к которой установлены статьей 48.2 Градостроительного кодекса Российской Федерации (Собрание законодательства Российской Федерации, 3 января 2005 г., N 1, ст. 16; 2021, N 27, ст. 5103) (далее - повторно применяемая проектная документация), к ценам НЗ на проектные работы применяются следующие корректирующие коэффициенты: (в ред. Приказа Минстроя РФ от 08.06.2023 N 409/пр)

а) при привязке повторно применяемой проектной документации по объекту проектирования без внесения каких-либо изменений в надземную и подземную части здания (сооружения) принимается минимальный размер корректирующего коэффициента 0,2;

б) при проектировании с внесением в привязываемую повторно применяемую проектную документацию изменений в подземную часть здания (сооружения) размер корректирующего коэффициента принимается свыше 0,2 до 0,35;

в) при привязке повторно применяемой проектной документации с внесением изменений в подземную и надземную часть либо только надземную часть здания (сооружения), размер корректирующего коэффициента устанавливается свыше 0,35 до 0,8 в зависимости от трудоемкости работ.

Официальный источник электронного документа содержит неточность: имеется в виду таблица 16.1, приведенная в приложении N 6 к Методике.

Ориентировочные объемы работ по привязке повторно применяемой проектной документации по отдельным элементам зданий и сооружений в процентах от цены НЗ на проектные работы, указаны в таблице 6.1, приведенной в приложении N 6 к Методике. Указанные значения (не применяются при определении объемов работ по разработке отдельных элементов и конструкций зданий (сооружений), относимых к особо опасным и технически сложным объектам). (в ред. Приказа Минстроя РФ от 08.06.2023 N 409/пр)

153. Необходимость использования при проектировании повторно применяемой проектной документации устанавливается заданием на проектирование, а документация, подлежащая повторному применению, передается застройщиком (техническим заказчиком) в составе исходных данных для проектирования.

154. При определении по ценам НЗ на проектные работы стоимости проектных работ для условий нового строительства уникальных объектов капитального строительства с характеристиками, приведенными в части 2 статьи 48.1 Градостроительного кодекса Российской Федерации (Собрание законодательства Российской Федерации, 2005, N 1, ст. 16; 2011, N 49, ст. 7015), расчет выполняется с применением корректирующего коэффициента 1,5, за исключением случаев, для которых НЗ на проектные работы установлен особый способ расчета цены указанных объектов. (в ред. Приказа Минстроя РФ от 08.06.2023 N 409/пр)

155. Стоимость проектных работ для реконструкции, технического перевооружения и модернизации действующих объектов проектирования определяется по ценам НЗ на проектные работы с применением корректирующих коэффициентов, приводимых в НЗ на проектные работы. (в ред. Приказа Минстроя РФ от 08.06.2023 N 409/пр)

156. При определении стоимости проектных работ для реконструкции (технического перевооружения и модернизации) объекта проектирования необходимо учитывать следующие положения:

1) при определении стоимости проектных работ для реконструкции (технического перевооружения, модернизации) с применением к цене НЗ на проектные работы, в которых стоимость основных проектных работ определяется по параметрам цены в зависимости от натуральных показателей объектов проектирования, применяется корректирующий коэффициент до 1,5, а для условий реконструкции (технического перевооружения, модернизации) опасных, технически сложных и уникальных объектов проектирования - до 2,0; (в ред. Приказа Минстроя РФ от 08.06.2023 N 409/пр)

2) при определении стоимости проектных работ для реконструкции (технического перевооружения, модернизации) с применением к цене, установленной в НЗ на проектные работы, в которых стоимость основных проектных работ определяется по нормативам цены в зависимости от стоимости строительства объекта, применяется корректирующий коэффициент до 1,3, а для условий реконструкции (технического перевооружения, модернизации) особо опасных, технически сложных и уникальных объектов проектирования до 1,7; (в ред. Приказа Минстроя РФ от 08.06.2023 N 409/пр)

3) максимальные величины корректирующего коэффициента, учитывающие условия реконструкции (технического перевооружения, модернизации) объектов проектирования, применяются без корректировки величины только в случае полной реконструкции объектов проектирования, выполняемой в объеме, установленном пунктами 14, 14.1 статьи 1 Градостроительного кодекса Российской Федерации (Собрание законодательства Российской Федерации, 2005, N 1, ст. 16; 2011, N 49, ст. 7015; 2011, N 30, ст. 4563);

4) величины корректирующего коэффициента на техническое перевооружение, модернизацию и частичную реконструкцию (по отдельным несущим строительным конструкциям (элементам) и (или) технологическому оборудованию, и (или) сетям (системам) инженерно-технического обеспечения объектов) для конкретных объектов проектирования устанавливаются в НЗ на проектные работы. В случае отсутствия этих данных, величина коэффициента определяется исходя из установленных заданием на проектирование объемов работ по показателям относительной стоимости работ по разработке разделов проектной и соответствующих комплектов рабочей документации, приведенным в НЗ на проектные работы, с учетом сложности и трудоемкости проектных работ; (в ред. Приказа Минстроя РФ от 08.06.2023 N 409/пр)

5) корректирующий коэффициент на реконструкцию, техническое перевооружение и модернизацию объекта проектирования учитывает затраты на подготовку проектной и (или) рабочей документации по разделу "Проект организации работ по сносу или демонтажу объектов капитального строительства";

6) натуральный показатель объекта проектирования при определении стоимости проектных работ для реконструкции (техническом перевооружении, модернизации) устанавливается в соответствии с параметрами (физическими объемами), достигнутыми в результате реконструкции (технического перевооружения, модернизации);

7) величина коэффициента на реконструкцию объекта проектирования, рассчитываемая при определении сметной стоимости, не может быть менее 1, так как его расчет осуществляется с применением показателей относительной стоимости разработки разделов проектной и соответствующих комплектов рабочей документации, приведенных в НЗ на проектные работы для условий нового строительства. (в ред. Приказа Минстроя РФ от 08.06.2023 N 409/пр)

157. Стоимость разработки проектной и (или) рабочей документации для капитального ремонта, сноса объекта в соответствии с частями 14.2 и 14.3 статьи 1 Градостроительного кодекса Российской Федерации (Собрание законодательства Российской Федерации, 2005, N 1, ст. 16; 2011, N 30, ст. 4563; 2020, N 31, ст. 5013) определяется с применением цен НЗ на проектные работы. (в ред. Приказа Минстроя РФ от 08.06.2023 N 409/пр)

158. Величины корректирующего коэффициента на капитальный ремонт, снос объекта устанавливается для конкретных объектов проектирования в соответствующих НЗ на проектные работы с учетом специфики конкретных объектов проектирования. В случае отсутствия в НЗ на проектные работы этих данных, стоимость проектных работ определяется по ценам на проектные работы для условий нового строительства с применением корректирующего коэффициента, учитывающего сокращенный объем работ. (в ред. Приказа Минстроя РФ от 08.06.2023 N 409/пр)

159. При определении стоимости проектных работ для капитального ремонта, сноса объекта необходимо учитывать следующие положения:

1) корректирующий коэффициент, учитывающий стоимость проектных работ для капитального ремонта, применяемый к ценам НЗ на проектные работы, устанавливается в размере до 0,5. Максимальный размер коэффициента применяется в случае выполнения полного объема капитального ремонта по объекту согласно нормам проектирования; (в ред. Приказа Минстроя РФ от 08.06.2023 N 409/пр)

2) корректирующий коэффициент, учитывающий стоимость проектных работ для сноса, применяемый к ценам НЗ на проектные работы, устанавливается в размере до 0,35; (в ред. Приказа Минстроя РФ от 08.06.2023 N 409/пр)

3) величина коэффициента на капитальный ремонт и снос определяется путем исключения объемов работ, определяемых в соответствии с показателями относительной стоимости разработки разделов проектной и (или) соответствующих комплектов рабочей документации, приведенными в НЗ на проектные работы, для разделов (подразделов, частей) проектной и (или) рабочей документации, которые не выполняются по конкретному объекту проектирования при капитальном ремонте и сносе. (в ред. Приказа Минстроя РФ от 08.06.2023 N 409/пр)

Для определения ориентировочных объемов работ при подготовке проектной документации на капитальный ремонт по элементам здания (сооружения) используются значения показателя "Доля в цене основных проектных работ, %", приведенные в приложении N 6 к Методике;

4) при определении стоимости проектных работ для капитального ремонта в объеме описи работ и сметной документации применяется ценообразующий коэффициент в размере 0,1;

5) величина коэффициента на капитальный ремонт определяется для каждого конкретного объекта проектирования с применением соответствующих цен НЗ на проектные работы. Размер корректирующего коэффициента на капитальный ремонт объекта проектирования учитывает затраты на ПОД по сносу или демонтажу объектов капитального строительства. (в ред. Приказа Минстроя РФ от 08.06.2023 N 409/пр)

160. Стоимость корректировки, утвержденной проектной и (или) рабочей документации, а также внесения изменений в проектную и рабочую документацию (за исключением исправления ошибок, допущенных проектной организацией) определяется применением к ценам в НЗ на проектные работы, корректирующего коэффициента на сокращенный объем работ. При этом величина коэффициента определяется для каждого конкретного объекта проектирования с учетом вида объекта, объемов корректировки проектной и (или) рабочей документации, трудоемкости проектных работ и показателей относительной стоимости разработки разделов проектной и соответствующих комплектов рабочей документации, приведенных в НЗ на проектные работы. (в ред. Приказа Минстроя РФ от 08.06.2023 N 409/пр)

161. В случае корректировки утвержденной проектной и (или) рабочей документации, связанной с изменением параметров (физических объемов) объекта проектирования, натуральный показатель, используемый при определении сметной стоимости, устанавливается в соответствии с параметрами, достигнутыми в результате корректировки документации.

162. Стоимость подготовки дополнительных вариантов проектной и (или) рабочей документации объектов проектирования, за исключением вариантных проработок проектной организацией для выбора оптимальных, безопасных и эффективных проектных решений в составе проектной документации, определяется с применением цен соответствующего НЗ на проектные работы. (в ред. Приказа Минстроя РФ от 08.06.2023 N 409/пр)

163. При определении стоимости подготовки дополнительных вариантов проектной и (или) рабочей документации объектов проектирования необходимо учитывать следующие положения:

1) стоимость подготовки дополнительных вариантов проектной и (или) рабочей документации или отдельных технологических, конструктивных, архитектурных и других решений определяется в соответствии с требованиями, указанными в задании на проектирование. При этом определяются разделы (или части этих разделов) проектной и комплекты рабочей документации, по которым необходима подготовка указанных вариантов, и исходные данные, необходимые для их подготовки;

2) стоимость подготовки основного варианта проектной и (или) рабочей документации объектов проектирования определяется с применением к ценам НЗ на проектные работы, коэффициента в размере 1; (в ред. Приказа Минстроя РФ от 08.06.2023 N 409/пр)

3) стоимость подготовки дополнительных вариантов проектной и (или) рабочей документации определяется по ценам НЗ на проектные работы, с применением корректирующего коэффициента на сокращенный объем работ. При этом размер коэффициента определяется для каждого конкретного объекта проектирования с применением соответствующих НЗ на проектные работы с учетом вида объекта, трудоемкости проектных работ, подлежащих вариантной проработке, и показателей относительной стоимости разработки разделов проектной и (или) соответствующих комплектов рабочей документации, приведенных в НЗ на проектные работы; (в ред. Приказа Минстроя РФ от 08.06.2023 N 409/пр)

164. Метод определения стоимости подготовки ПОД в зависимости от условий строительства, вида (типа, категории) объекта проектирования, объемов выполняемых проектных работ устанавливается в НЗ на проектные работы. (в ред. Приказа Минстроя РФ от 08.06.2023 N 409/пр)

165. Величина коэффициентов на усложняющие факторы зависит от вида объекта проектирования и объемов выполнения работ и устанавливается для каждого конкретного объекта в соответствующих НЗ на проектные работы. (в ред. Приказа Минстроя РФ от 08.06.2023 N 409/пр)

Официальный источник электронного документа содержит неточность: имеется в виду таблица 5.1, приведенная в приложении N 5 к Методике.

166. В иных случаях стоимость подготовки проектной и (или) рабочей документации объектов проектирования при наличии факторов, усложняющих проектирование, определяется с применением коэффициентов, указанных в таблице 9.1, приведенной в приложении N 5 к Методике.

167. При применении коэффициентов на усложняющие факторы необходимо учитывать следующие положения:

1) при наличии двух или более факторов, усложняющих проектирование объекта, корректирующие коэффициенты, указанные в таблице, приведенной в приложении N 5 к Методике, применяются за каждый фактор;

2) величина коэффициента на усложняющие факторы не может быть менее 1, так как ее расчет осуществляется с применением показателей относительной стоимости разработки разделов проектной и (или) соответствующих комплектов рабочей документации, приведенных в НЗ на проектные работы для нормальных условий нового строительства. (в ред. Приказа Минстроя РФ от 08.06.2023 N 409/пр)

168. В случае если застройщик (технический заказчик) осуществляет закупку на выполнение работ по подготовке проектной документации согласно статье 93 Федерального закона N 44-ФЗ (Собрание законодательства Российской Федерации, 2013, N 14, ст. 1652), статье 3 Федерального закона от 18 июля 2011 г. N 223-ФЗ "О закупках товаров, работ, услуг отдельными видами юридических лиц" (Собрание законодательства Российской Федерации, 2011, N 30, ст. 4571; 2019, N 31, ст. 4422) у единственного поставщика (проектной организации) с местом нахождения в районах Крайнего Севера, приравненных к ним местностях и иных местностях с особыми климатическими условиями, к стоимости основных и дополнительных проектных работ, сопутствующих работ и расходов дополнительно применяется корректирующий коэффициент, учитывающий выплаты, обусловленные районным регулированием оплаты труда, в том числе выплаты по районным коэффициентам, а также надбавки к заработной плате за непрерывный стаж работы и другие льготы, предусмотренные законодательством в районах Крайнего Севера, приравненных к ним местностях и иных местностях с особыми климатическими условиями (далее - районный коэффициент).

При применении районного коэффициента необходимо учитывать следующие положения:

1) районный коэффициент не применяется в случае, если цены на проектные работы определены по нормативам цены, установленным в НЗ на проектные работы, в зависимости от стоимости строительства объекта проектирования, если стоимость строительства определена с учетом выплат, установленных для районов Крайнего Севера и приравненных к ним местностях; (в ред. Приказа Минстроя РФ от 08.06.2023 N 409/пр)

2) определение стоимости проектных работ методами, предусмотренными пунктами 4 - 5 Методики, за исключение случаев, предусмотренных подпунктом 1 настоящего пункта Методики, с учетом выплат, установленных для районов Крайнего Севера и приравненных к ним местностях, осуществляется по формуле (9.1):

(9.1)

где:

- стоимость проектных работ с учетом дополнительных затрат и расходов, связанных с льготами, руб.;

- стоимость проектных работ, определенная по параметрам или нормативам цены методами, установленными пунктами 130 - 142 Методики, руб.;

- корректирующий коэффициент, учитывающий долю прямых расходов (без учета заработной платы) и накладных расходов проектной организации, установленный в размере 0,3161;

- корректирующий коэффициент, учитывающий долю заработной платы проектной организации, установленный в размере 0,6839;

- общий корректирующий коэффициент, учитывающий выплаты, обусловленные районным регулированием оплаты труда, предусмотренные статьями 315, 316, 317 главы 50 Трудового кодекса Российской Федерации (Собрание законодательства Российской Федерации, 2002, N 1, ст. 3; 2004, N 35, ст. 3607) для районов Крайнего Севера, приравненных к ним местностях и иных местностях с особыми климатическими условиями;

3) при определении стоимости проектных работ в соответствии с калькуляцией затрат районный коэффициент учитывается дополнительно в формуле (3.13) Методики при определении общих затрат на оплату труда исполнителей в строке "Итого оплата труда" формы N 3п, приведенной в приложении N 7 к Методике).

169. В случае сокращения по требованию застройщика (технического заказчика) продолжительности проектных работ по сравнению с установленными нормами продолжительности проектирования при определении стоимости проектных работ по ценам НЗ на проектные работы применяются следующие ценообразующие коэффициенты: (в ред. Приказа Минстроя РФ от 08.06.2023 N 409/пр)

при сокращении срока в 1,2 раза - 1,1;

при сокращении срока в 1,4 раза - 1,2;

при сокращении срока в 2 и более раз - 1,4.

При подготовке проектной документации на строительство объектов, для которых нормы продолжительности проектирования не установлены, коэффициенты, предусмотренные настоящим пунктом Методики, не применяются.

170. Условия проектирования объединенных или сблокированных зданий и сооружений, а также зданий со встроенными помещениями другого назначения при определении стоимости проектных работ по ценам НЗ на проектные работы учитываются применением в расчете соответствующих корректирующих коэффициентов на сокращенный объем работ с учетом следующих положений, если иное не установлено в НЗ на проектные работы: (в ред. Приказа Минстроя РФ от 08.06.2023 N 409/пр)

а) стоимость проектных работ для основного здания (сооружения) определяется с применением цен на проектные работы исходя из натурального показателя, установленного для этого объекта, с ценообразующим коэффициентом 1;

б) стоимость проектных работ для встраиваемых помещений (сооружений) в основное здание (сооружение) определяется с применением цен НЗ на проектные работы исходя из натурального показателя, установленного для встраиваемого объекта, с ценообразующим коэффициентом в размере до 0,5; (в ред. Приказа Минстроя РФ от 08.06.2023 N 409/пр)

в) стоимость подготовки проектной и рабочей документации зданий (сооружений) сблокированных с основным определяется по ценам НЗ на проектные работы исходя из натурального показателя, установленного для сблокированного объекта, с корректирующим коэффициентом в размере до 0,8. (в ред. Приказа Минстроя РФ от 08.06.2023 N 409/пр)

171. Факторы, влияющие на трудоемкость проектирования при определении стоимости проектных работ учитываются в соответствии со следующими положениями:

1) при применении нескольких корректирующих коэффициентов, указанных в таблице 5.1, приведенной в приложении N 5 к Методике и учитывающих усложняющие факторы, общий корректирующий коэффициент () определяется путем суммирования их дробных частей и единицы по формуле (9.2):

(9.2)

где:

- общий корректирующий коэффициент, при наличии двух и более факторов, усложняющих проектирование объекта;

, , - дробные части каждого корректирующего коэффициента;

2) в случае применения к ценам НЗ на проектные работы при определении стоимости проектных работ нескольких корректирующих коэффициентов, размер которых меньше и (или) больше единицы, а также общего корректирующего коэффициента (), общий корректирующий коэффициент определяется путем их перемножения; (в ред. Приказа Минстроя РФ от 08.06.2023 N 409/пр)

3) метод применения и величина корректирующих коэффициентов, учитывающих специфику отдельных объектов проектирования, уточняется с учетом положений Методики в соответствующих НЗ на проектные работы. (в ред. Приказа Минстроя РФ от 08.06.2023 N 409/пр)

172. Коэффициент на усложняющий фактор учитывает усложняющий фактор проектирования при применении НЗ на проектные работы, связанный с увеличением трудоемкости выполнения проектных работ по отдельным разделам проектной и рабочей документации для строительства объекта проектирования. К факторам, усложняющим проектирование, относятся опасные природные процессы и явления, сложные природные условия, согласно определениям, приведенным соответственно в пунктах 12, 22 части 2 статьи 2 Федерального закона N 384-ФЗ, а также проектирование объектов капитального строительства с установкой импортного основного технологического оборудования, применяемого в Российской Федерации впервые. (в ред. Приказа Минстроя РФ от 08.06.2023 N 409/пр)

X. Составление смет (сметных расчетов) на проектные работы при определении стоимости проектных работ

173. Основанием для включения затрат на проектные работы в сметы (сметные расчеты) на проектные работы объекта проектирования являются требования задания на проектирование, исходные данные на выполнение проектных работ, проектные решения, принятые в проектной и рабочей документации, положения Методики и НЗ на проектные работы. (в ред. Приказа Минстроя РФ от 08.06.2023 N 409/пр)

174. Рекомендуемые образцы смет (сметного расчета) на основные проектные работы, дополнительные проектные работы, сопутствующие работы и расходы, используемые при определении сметной стоимости проектных работ, приведены в приложении N 7 к Методике.

175. Рекомендованный образец сметы на основные и дополнительные проектные работы, а также сопутствующие работы, за исключением случаев, предусмотренных подпунктом 5 пункта 145 и пунктом 146 Методики, приведен в приложении N 7 к Методике (далее - форма 2п).

176. При составлении сметы на проектные работы по форме 2п приводятся следующие данные:

а) в графе 2 сметы на проектные работы по форме 2п указывается наименование объекта проектирования или вида проектных работ, его основные технико-экономические показатели;

б) в графе 3 сметы на проектные работы по форме 2п указываются применяемые для расчета пункты Методики, наименования НЗ на проектные работы, номера их глав, таблиц, параграфов и пунктов таблиц, параметры и нормативы цены, натуральный показатель объекта проектирования, корректирующие коэффициенты с указанием номера главы и пункта Методики или НЗ на проектные работы, индекс изменения сметной стоимости проектных работ, количество объектов, при наличии величины относительной стоимости разработки разделов проектной и соответствующих комплектов рабочей документации, иные данные, необходимые для расчета; (в ред. Приказа Минстроя РФ от 08.06.2023 N 409/пр)

в) в графе 4 сметы на проектные работы по форме 2п приводится формула расчета стоимости проектных работ, по которой получается результат, отражаемый в графе 5 формы N 2п.

177. Итоговые показатели стоимости проектных работ по строкам в графах смет (сметных расчетов), составляемых по формам 2п, 3п, 4п указываются в рублях с округлением до целых чисел.

Приложение N 1
к Методике определения стоимости
работ по подготовке проектной
документации, утвержденной приказом
Министерства строительства
и жилищно-коммунального хозяйства
Российской Федерации
от 1 октября 2021 г. N 707/пр

ПЕРЕЧЕНЬ УСЛОВНЫХ ОБОЗНАЧЕНИЙ И СОКРАЩЕНИЙ, ПРЕДНАЗНАЧЕННЫЙ ДЛЯ ПРИМЕНЕНИЯ ПРИ РАЗРАБОТКЕ НЗ НА ПРОЕКТНЫЕ РАБОТЫ

(в ред. Приказа Минстроя РФ от 08.06.2023 N 409/пр)

N Расшифровка сокращения Сокращение
Сокращения общих понятий и терминов, видов проектных работ и документации, объектов капитального строительства
1. Автоматизированные системы управления предприятием АСУП
2. Автоматизированные системы управления технологическими процессами АСУТП
3. Автоматизированные системы управления энергоснабжением АСУЭ
4. Исходные данные для выполнения проектных работ в строительстве ИД
5. Деталировочные чертежи металлических конструкций и технологических трубопроводов заводского изготовления КМД
6. Нормативные правовые акты НПА
7. Укрупненные нормативы цены строительства НЦС
8. Оценка воздействия объекта капитального строительства на окружающую среду ОВОС
9. Проектная документация П
10. Проектная и рабочая документация П+Р (ПР)
11. План по предупреждению и ликвидации аварийных разливов нефти и нефтепродуктов ПЛАРН
12. План локализации и ликвидации аварийных ситуаций на химико-технологических объектах ПЛАС
13. Проект производства работ ППР
14. Рабочая документация Р
15. Специальные вспомогательные сооружения, приспособления, устройства и установки СВСиУ
16. Стандарты системы проектной документации для строительства СПДС
17. Федеральный реестр сметных нормативов согласно Статьи 8.4 Градостроительного кодекса Российской Федерации ФРСН
18. Технические условия ТУ
19. Цифровая информационная модель объекта (элементов объекта) ЦИМ
Сокращения разделов, подразделов проектной документации для объектов капитального строительства
1. Пояснительная записка ПЗ
2. Схема планировочной организации земельного участка: ПЗУ
2.1. Генеральный план ГП
2.2. Организация рельефа вертикальной планировкой ОР
2.3. Благоустройство БЛГ
3. Архитектурные решения АР
4. Конструктивные и объемно-планировочные решения КР
5. Сведения об инженерном оборудовании, о сетях инженерно-технического обеспечения, перечень инженерно-технических мероприятий, содержание технологических решений: ИОС
5.1. Система электроснабжения ЭО
5.2. Система водоснабжения ВС
5.3. Система водоотведения ВО
5.4. Отопление, вентиляция и кондиционирование воздуха, тепловые сети: -
5.4.1. Отопление и вентиляция ОВ
5.4.2. Кондиционирование КОН
5.4.3. Холодоснабжение ХС
5.5. Сети связи СС
5.6. Система газоснабжения ГС
5.7. Технологические решения ТХ
5.8. Автоматизация АВТ
6. Проект организации строительства ПОС
7. Проект организации работ по сносу или демонтажу объектов капитального строительства ПОД
8. Перечень мероприятий по охране окружающей среды ООС
9. Мероприятия по обеспечению пожарной безопасности МОПБ
10. Мероприятия по обеспечению доступа инвалидов МОДИ
10(1). Требования к обеспечению безопасной эксплуатации объекта капитального строительства ТБЭ
11. Смета на строительство СМ
11(1). Мероприятия по обеспечению соблюдения требований энергетической эффективности и требований оснащенности зданий, строений и сооружений приборами учета используемых энергетических ресурсов ЭЭ
12. Иная документация, установленная законодательными актами Российской Федерации  
12.1. Перечень мероприятий по гражданской обороне, мероприятий по предупреждению чрезвычайных ситуаций природного и техногенного характера, мероприятий по противодействию терроризму ГОЧС
12.2. Декларация промышленной безопасности опасных производственных объектов ДПБ
12.3. Декларация безопасности гидротехнических сооружений ДБГ
Сокращения разделов, подразделов для линейных объектов
1. Пояснительная записка ПЗ
2. Проект полосы отвода ППО
3. Технологические и конструктивные решения линейного объекта. Искусственные сооружения ТКР
4. Здания, строения и сооружения, входящие в инфраструктуру линейного объекта ИЛО
5. Проект организации строительства ПОС
6. Проект организации работ по сносу (демонтажу) линейного объекта ПОД
7. Мероприятия по охране окружающей среды ООС
8. Мероприятия по обеспечению пожарной безопасности МОПБ
9. Смета на строительство СМ
10. Иная документация в случаях, предусмотренных федеральными законами, в том числе:  
10.1. Перечень мероприятий по гражданской обороне, мероприятий по предупреждению чрезвычайных ситуаций природного и техногенного характера, мероприятий по противодействию терроризму ГОЧС
10.2. Декларация промышленной безопасности опасных производственных объектов ДПБ
10.3. Декларация безопасности гидротехнических сооружений ДБГ

Приложение N 2
к Методике определения стоимости
работ по подготовке проектной
документации, утвержденной приказом
Министерства строительства
и жилищно-коммунального хозяйства
Российской Федерации
от 1 октября 2021 г. N 707/пр

СТРУКТУРА СТОИМОСТИ РАБОТ ПО ПОДГОТОВКЕ ПРОЕКТНОЙ ДОКУМЕНТАЦИИ, ПРИМЕНЯЕМАЯ ПРИ ОПРЕДЕЛЕНИИ СТОИМОСТИ ПРОЕКТНЫХ РАБОТ

Структура затрат в себестоимости проектных работ

Таблица 1.1

N Наименование затрат Доля в себестоимости проектных работ, в процентах
1 Оплата труда производственного персонала 40,06
2 Отчисления на социальные нужды 13,92
3 Амортизационные отчисления 1,38
4 Материальные затраты 1,39
5 Прочие прямые затраты 7,66
6 Налоги (на имущество, на землю) 3,80
7 Накладные расходы, в том числе:  
7.1 Оплата труда административно-управленческого персонала 14,41
7.2 Затраты на содержание зданий, арендная плата 8,04
7.3 Другие расходы 9,34
  Итого 100,0

Структура стоимости проектных работ

Таблица 1.2

Себестоимость проектных работ Коэффициент уровня рентабельности Стоимость проектных работ
Сс Р = 10% Сс x (1 + Р)

Индексы квалификации непосредственных исполнителей-проектировщиков работ по подготовке проектной документации, содержащей материалы в текстовой и графической формах

Таблица 1.3

N Наименование должностей Индекс квалификации непосредственных исполнителей-проектировщиков
1. Начальник мастерской, отделения, отдела, лаборатории 2,25
2. Комплексный главный архитектор проекта, комплексный главный инженер проекта, руководитель проекта, главный научный сотрудник 2,00
3. Заместитель начальника мастерской, отделения, отдела, лаборатории 1,80
4. Главный архитектор проекта, главный инженер проекта, заведующий сектором, ведущий научный сотрудник, 1,60
5. Главный специалист, старший научный сотрудник 1,32
6. Руководитель группы, заведующий группой 1,30
7. Ведущий специалист (архитектор, инженер, экономист), научный сотрудник, 1,00
8. Архитектор (инженер, экономист, специалист) I категории, младший научный сотрудник 0,90
9. Архитектор (инженер, экономист, специалист) II категории 0,75
10. Архитектор (инженер, экономист, специалист) III категории 0,65
11. Архитектор (инженер, экономист, специалист), 0,60
12. Техник 0,45

Индексы квалификации непосредственных исполнителей-проектировщиков работ по подготовке проектной документации, содержащей материалы в форме информационной модели

Таблица 1.4

N Наименование должностей Индекс квалификации непосредственных исполнителей-проектировщиков
1. ТИМ-эксперт, руководитель отдела ТИМ, руководитель департамента развития ТИМ, ТИМ-менеджер организации, ТИМ-директор, ТИМ-консультант 2,50
2. ТИМ менеджер, ведущий специалист отдела ТИМ, главный специалист отдела ТИМ, менеджер проекта информационного моделирования 2,25
3. ТИМ-координатор, специалист отдела ТИМ 1,84
4. ТИМ-исполнитель, разработчик информационной модели, оператор информационной модели, специалист отдела ТИМ, ТИМ-проектировщик 1,75
5. ТИМ мастер, технический специалист в области ТИМ, техник отдела ТИМ, специалист-техник по поддержке пользователей ТИМ, ТИМ-техник 1,42

Значения норматива "", применяемые при определении величины процентного отношения стоимости проектных работ для объектов капитального строительства непроизводственного назначения и линейных объектов, за исключением линейных объектов, приведенных в таблицах 1.8, 1.20 приложения N 2 к Методике, к сметной стоимости их строительства

Таблица 1.5

N п/п Сметная стоимость строительства в уровне цен на 01.01.2001, миллионов рублей Норматив "" от сметной стоимости строительства, в процентах
1 5,0 9,50
2 9,0 9,28
3 18,0 9,09
4 36,0 8,82
5 55,0 8,44
6 70,0 8,24
7 90,0 7,98
8 110,0 7,80
9 125,0 7,67
10 140,0 7,57
11 160,0 7,45
12 350,0 7,20
13 530,0 6,93
14 700,0 6,82
15 1 600,0 6,16
16 2 650,0 5,65
17 3 500,0 5,26
18 4 500,0 4,91
19 5 400,0 4,57
20 6 200,0 4,24
21 7 100,0 3,98
22 8 000,0 3,80
23 8 800,0 3,64
24 9 700,0 3,52
25 12 400,0 3,38
26 14 200,0 3,30
27 16 000,0 3,27

Значения норматива "", применяемые при определении величины процентного отношения стоимости проектных работ для объектов использования атомной энергии, к сметной стоимости их строительства

Таблица 1.6

N п/п Сметная стоимость строительства в уровне цен на 01.01.2001, миллионов рублей Норматив "" от сметной стоимости строительства, в процентах
1 7 000 9,46
2 8 800 8,96
3 10 600 8,52
4 12 300 8,37
5 14 100 7,81
6 15 900 7,59
7 17 600 7,29
8 19 400 7,15
9 21 200 6,87
10 22 900 6,60
11 24 700 6,43
12 26 500 6,32
13 28 200 6,21
14 30 000 6,05
15 31 800 5,94
16 33 500 5,72
17 35 300 5,61
18 37 100 5,50
19 38 800 5,39
20 40 600 5,28
21 42 400 5,22
22 44 200 5,11
23 45 900 5,00
24 47 700 4,95
25 51 200 4,84
26 56 500 4,62
27 63 600 4,43
28 70 700 4,23
29 79 500 4,12
30 88 400 4,04
31 97 200 3,93

Значения норматива "", применяемые при определении величины процентного отношения стоимости проектных работ для электротехнических устройств напряжением 35 - 1150 кВ, за исключением воздушных линий электропередачи напряжением 35 - 1150 кВ и кабельных линий напряжением 110 - 500 кВ, к сметной стоимости их строительства

Таблица 1.7

N п/п Сметная стоимость строительства в уровне цен на 01.01.2001, миллионов рублей Норматив "" от сметной стоимости строительства, в процентах
1 8,97 9,7
2 11,97 9,2
3 14,96 8,73
4 17,95 8,25
5 20,94 7,76
6 23,94 7,27
7 26,93 6,79
8 29,92 6,3
9 35,9 5,82
10 41,89 5,33
11 47,87 5,14
12 53,86 4,85
13 59,84 4,65
14 67,32 4,46
15 74,8 4,36
16 80,78 4,27
17 86,77 4,17
18 134,64 4,07
19 149,6 3,98
20 164,56 3,88
21 179,52 3,78
22 194,48 3,68
23 209,44 3,59
24 224,4 3,49
25 239,36 3,39
26 254,32 3,3
27 269,28 3,2
28 284,24 3,1
29 299,2 3,0

Значения норматива "", применяемые при определении величины процентного отношения стоимости проектных работ для воздушных линий электропередачи напряжением 35 - 1150 кВ и кабельных линий напряжением 110 - 500 кВ, к сметной стоимости их строительства

Таблица 1.8

N п/п Сметная стоимость строительства в уровне цен на 01.01.2001, миллионов рублей Норматив "" от сметной стоимости строительства, в процентах
1 2 3
1 2,992 5,82
2 4,488 4,27
3 5,984 3,88
4 8,976 3,59
5 11,97 3,49
6 17,952 3,39
7 20,944 3,3
8 23,936 3,2
9 26,928 3,1
10 29,92 3,01
11 32,912 2,91
12 35,904 2,81
13 38,896 2,72
14 44,88 2,52
15 59,84 2,47
16 74,8 2,42
17 89,76 2,33
18 104,72 2,28
19 119,68 2,23
20 134,64 2,18
21 149,6 2,13
22 209,44 2,08
23 269,28 2,04
24 329,12 1,99
25 388,96 1,94
26 448,8 1,89
27 508,64 1,84
28 568,48 1,79
29 628,32 1,75
30 688,16 1,7
31 748,0 1,65

Значения норматива "", применяемые при определении величины процентного отношения стоимости проектных работ для КЭС с блоками единичной мощностью до 300 мВт, к сметной стоимости их строительства

Таблица 1.9

N п/п Сметная стоимость строительства в уровне цен на 01.01.2001, миллионов рублей Норматив "" от сметной стоимости строительства, в процентах
1 До 374 7,49
2 748 6,79
3 1122 6,14
4 1496 5,64
5 1870 5,16
6 2244 4,75
7 2618 4,34
8 2992 4,02
9 3740 3,55
10 4488 3,25
11 5236 2,95
12 5984 2,72
13 6732 2,50
14 7480 2,35
15 8228 2,20
16 8976 2,09
17 10472 1,98
18 11968 1,92

Значения норматива "", применяемые при определении величины процентного отношения стоимости проектных работ для КЭС с блоками единичной мощностью 500 мВт, 800 мВт и ТЭЦ, к сметной стоимости их строительства

Таблица 1.10

N п/п Сметная стоимость строительства в уровне цен на 01.01.2001, миллионов рублей Норматив "" от сметной стоимости строительства, в процентах
1 748 8,90
2 1122 7,95
3 1496 7,18
4 1870 6,42
5 2244 5,77
6 2618 5,34
7 2992 4,98
8 3740 4,50
9 4488 4,17
10 5236 3,80
11 5984 3,49
12 6732 3,15
13 7480 2,86
14 8228 2,72
15 8976 2,57
16 10472 2,50
17 11968 2,42
18 13464 2,37
19 18700 2,30

Значения норматива "", применяемые при определении величины процентного отношения стоимости проектных работ для отдельных котельных паропроизводительностью от 200 Гкал/час до 1500 Гкал/час, к сметной стоимости их строительства

Таблица 1.11

N п/п Сметная стоимость строительства в уровне цен на 01.01.2001, миллионов рублей Норматив "" от сметной стоимости строительства, в процентах
1 748 3,70
2 823 3,53
3 898 3,40

Значения норматива "", применяемые при определении величины процентного отношения стоимости проектных работ для отдельных электрокотельных, к сметной стоимости их строительства

Таблица 1.12

N п/п Сметная стоимость строительства в уровне цен на 01.01.2001, миллионов рублей Норматив "" от сметной стоимости строительства, в процентах
1 1,5 9,50
2 3,0 7,65
3 7,5 6,50

Значения норматива "", применяемые при определении величины процентного отношения стоимости проектных работ для ДЭС единичной мощностью от 1000 кВт до 5500 кВт, к сметной стоимости их строительства

Таблица 1.13

N п/п Сметная стоимость строительства в уровне цен на 01.01.2001, миллионов рублей Норматив "" от сметной стоимости строительства, в процентах
1 15 7,35
2 30 6,20
3 45 5,33
4 60 4,75
5 75 4,36
6 90 3,98
7 120 3,49
8 150 3,10
9 180 2,80
10 210 2,71
11 225 2,62

Значения норматива "", применяемые при определении величины процентного отношения стоимости проектных работ для ГТЭС с агрегатами мощностью до 15 МВт, к сметной стоимости их строительства

Таблица 1.14

N п/п Сметная стоимость строительства в уровне цен на 01.01.2001, миллионов рублей Норматив "" от сметной стоимости строительства, в процентах
1 45 9,50
2 60 8,50
3 75 8,00
4 90 7,56
5 120 6,60
6 150 5,82
7 210 4,66
8 270 3,78
9 330 3,30
10 389 3,01
11 449 2,81
12 479 2,71

Значения норматива "", применяемые при определении величины процентного отношения стоимости проектных работ для ГТЭС с агрегатами мощностью до 15 - 30 МВт, к сметной стоимости их строительства

Таблица 1.15

N п/п Сметная стоимость строительства в уровне цен на 01.01.2001, миллионов рублей Норматив "" от сметной стоимости строительства, в процентах
1 90 8,50
2 120 7,80
3 150 7,00
4 210 6,00
5 270 5,13
6 330 4,50
7 389 4,00
8 449 3,88
9 479 3,80

Значения норматива "", применяемые при определении величины процентного отношения стоимости проектных работ для молов, волноломов, дамб, берегоукрепительных сооружения, расположенных в акваториях морей, к сметной стоимости их строительства

Таблица 1.16

N п/п Сметная стоимость строительства в уровне цен на 01.01.2001, миллионов рублей Норматив "" от сметной стоимости строительства, в процентах
1 10 3,08
2 20 3,01
3 30 2,69
4 40 2,56
5 50 2,48
6 60 2,41
7 70 2,37
8 80 2,32
9 90 2,29
10 100 2,26
11 120 2,21
12 140 2,16
13 160 2,13
14 180 2,10
15 200 2,07
16 400 1,89
17 600 1,79
18 800 1,72
19 1000 1,67
20 1200 1,62
21 1400 1,59
22 1600 1,55
23 1800 1,52
24 2000 1,50
25 3000 1,40
26 4000 1,33
27 5000 1,28
28 6000 1,23
29 7000 1,20
30 8000 1,16
31 9000 1.14
32 10000 1,11
33 11000 1,09

Значения норматива "", применяемые при определении величины процентного отношения стоимости проектных работ для пассажирских вокзалов и павильонов, административно-хозяйственных зданий, материально-технических складов, грузовых складов открытых и крытых, расположенных в акваториях морей, к сметной стоимости их строительства

Таблица 1.17

N п/п Сметная стоимость строительства в уровне цен на 01.01.2001, миллионов рублей Норматив "" от сметной стоимости строительства, в процентах
1 20 6,91
2 30 6,20
3 40 5,90
4 50 5,71
5 60 5,57
6 70 5,46
7 80 5,37
8 90 5,29
9 100 5,22
10 120 5,10
11 140 5,01
12 160 4,93
13 180 4,86
14 200 4,79
15 400 4,40
16 600 4,17
17 800 4,01
18 1000 3,89
19 1200 3,79
20 1400 3,70
21 1600 3,63
22 1800 3,57
23 2000 3,51
24 3000 3,29
25 4000 3,13
26 5000 3,01
27 6000 2,91
28 7000 2,83
29 8000 2,76
30 9000 2,69
31 10000 2,64
32 11000 2,59
33 12000 2,54
34 13000 2,49

Значения норматива "", применяемые при определении величины процентного отношения стоимости проектных работ для причальных сооружений, паловых конструкций, рефрижераторных складов, гаражей портовой и прочей техники, зарядных станций, электропогрузчиков, баз продовольственного обслуживания флота, ремонтно-механических мастерских, пунктов технического обслуживания, ремонта и освидетельствования контейнеров, расположенных в акваториях морей, к сметной стоимости их строительства

Таблица 1.18

N п/п Сметная стоимость строительства в уровне цен на 01.01.2001, миллионов рублей Норматив "" от сметной стоимости строительства, в процентах
1 30 6,40
2 40 6,10
3 50 5,91
4 60 5,77
5 70 5,66
6 80 5,57
7 90 5,49
8 100 5,42
9 120 5,30
10 140 5,21
11 160 5,13
12 180 5,06
13 200 4,99
14 400 4,60
15 600 4,37
16 800 4,21
17 1000 4,09
18 1200 3,99
19 1400 3,90
20 1600 3,83
21 1800 3,77
22 2000 3,71
23 3000 3,49
24 4000 3,33
25 5000 3,21
26 6000 3,11
27 7000 3,03
28 8000 2,96
29 9000 2,89
30 10000 2,84
31 11000 2,79
32 12000 2,74
33 13000 2,69
34 14000 2,65
35 15000 2,62

Значения норматива "", применяемые при определении величины процентного отношения стоимости проектных работ для перегрузочных и пассажирских комплексов, баз портового флота, в том числе расположенных на реках, озерах и искусственных водохранилищах, обслуживающих морские суда и суда смешанного плавания, морспецподразделений, станций освидетельствования и ремонта надувных спасательных средств, баз технического обслуживания флота, баз ремонта перегрузочного оборудования, межпортовых баз ремонта контейнеров, баз аварийно-спасательных и подводно-технических работ, расположенных в акваториях морей, к сметной стоимости их строительства

Таблица 1.19

N п/п Сметная стоимость строительства в уровне цен на 01.01.2001, миллионов рублей Норматив "" от сметной стоимости строительства, в процентах
1 40 7,07
2 50 6,85
3 60 6,68
4 70 6,55
5 80 6,45
6 90 6,35
7 100 6,27
8 120 6,14
9 140 6,03
10 160 5,93
11 180 5,85
12 200 5,78
13 400 5,32
14 600 5,05
15 800 4,87
16 1000 4,72
17 1200 4,61
18 1400 4,51
19 1600 4,42
20 1800 4,35
21 2000 4,28
22 3000 4,03
23 4000 3,84
24 5000 3,70
25 6000 3,59
26 7000 3,49
27 8000 3,41
28 9000 3,33
29 10000 3,27
30 11000 3,21
31 12000 3,15
32 13000 3,10
33 14000 3,05
34 15000 3,01

Значения норматива "", применяемые при определении величины процентного отношения стоимости проектных работ для подводных переходов трубопроводов и кабелей, расположенных в акваториях рек, озер и искусственных водохранилищ, к сметной стоимости их строительства

Таблица 1.20

N п/п Сметная стоимость строительства в уровне цен на 01.01.2001, миллионов рублей Норматив "" от сметной стоимости строительства, в процентах
1 5 3,50
2 10 3,27
3 20 3,04
4 30 2,80
5 40 2,58
6 60 2,35
7 100 2,12
8 200 1,90

Значения норматива "", применяемые при определении величины процентного отношения стоимости проектных работ для грузовых причальных набережных и пирсов, береговых укреплений, причальных и защитных сооружений, дамб, расположенных в акваториях рек, озер и искусственных водохранилищ, к сметной стоимости их строительства

Таблица 1.21

N п/п Сметная стоимость строительства в уровне цен на 01.01.2001, миллионов рублей Норматив "" от сметной стоимости строительства, в процентах
1 5 6,13
2 10 5,89
3 20 5,59
4 30 5,47
5 40 5,37
6 60 4,69
7 100 3,98
8 200 3,50

Значения норматива "", применяемые при определении величины процентного отношения стоимости проектных работ для пассажирских портов и портовых районов, причалов для негабаритных и тяжеловесных грузов, для приема сточных вод и сухого мусора, комплексного обслуживания флота, причалов и пирсов пассажирских, нефтепричалов, переправ, плотин земляных, расположенных в акваториях рек, озер и искусственных водохранилищ, к сметной стоимости их строительства

Таблица 1.22

N п/п Сметная стоимость строительства в уровне цен на 01.01.2001, миллионов рублей Норматив "" от сметной стоимости строительства, в процентах
1 5 7,20
2 10 6,19
3 20 5,99
4 30 5,70
5 40 5,47
6 60 4,94
7 100 4,38
8 200 3,60

Значения норматива "", применяемые при определении величины процентного отношения стоимости проектных работ для речных портов, портовых районов, комплексных специализированных причалов, расположенных в акваториях рек, озер и искусственных водохранилищ, к сметной стоимости их строительства

Таблица 1.23

N п/п Сметная стоимость строительства в уровне цен на 01.01.2001, миллионов рублей Норматив "" от сметной стоимости строительства, в процентах
1 10 7,03
2 20 6,49
3 30 6,12
4 40 5,68
5 60 5,30
6 100 4,58
7 200 3,80

Значения норматива "", применяемые при определении величины процентного отношения стоимости проектных работ для подводных переходов трубопроводов и кабелей, расположенных в акваториях рек, озер и искусственных водохранилищ, к сметной стоимости их строительства

Таблица 1.24

N п/п Сметная стоимость строительства в уровне цен на 01.01.2001, миллионов рублей Норматив "" от сметной стоимости строительства, в процентах
1 10 7,12
2 20 6,78
3 30 6,32
4 40 5,88
5 60 5,50
6 100 4,78
7 200 4,00

Значения норматива "", применяемые при определении величины процентного отношения стоимости проектных работ для судоходных шлюзов и судоходных плотин, расположенных в акваториях рек, озер и искусственных водохранилищ, к сметной стоимости их строительства

Таблица 1.25

N п/п Сметная стоимость строительства в уровне цен на 01.01.2001, миллионов рублей Норматив "" от сметной стоимости строительства, в процентах
1 10 7,73
2 20 6,99
3 30 6,62
4 40 6,18
5 60 5,80
6 100 5,18
7 200 4,50

Значения норматива "", применяемые при определении величины процентного отношения стоимости проектных работ для зданий и сооружений в составе объектов ракетной и ракетно-космической техники, к сметной стоимости их строительства

Таблица 1.26

N п/п Сметная стоимость строительства в уровне цен на 01.01.2001, миллионов рублей Норматив "" от сметной стоимости строительства, в процентах
1 100 7,36
2 500 6,52
3 1000 5,74
4 3000 4,89
5 7000 3,71
6 9000 2,43
7 10000 2,12

Значения норматива "", применяемые при определении величины процентного отношения стоимости проектных работ для зданий и сооружений в составе объектов ракетной и ракетно-космической техники, к сметной стоимости их строительства

Таблица 1.27

N п/п Сметная стоимость строительства в уровне цен на 01.01.2001, миллионов рублей Норматив "" от сметной стоимости строительства, в процентах
1 100 8,18
2 500 7,25
3 1000 6,39
4 3000 5,44
5 7000 4,13
6 9000 2,70
7 10000 2,34

Значения норматива "", применяемые при определении величины процентного отношения стоимости проектных работ для зданий и сооружений в составе объектов ракетной и ракетно-космической техники, к сметной стоимости их строительства

Таблица 1.28

N п/п Сметная стоимость строительства в уровне цен на 01.01.2001, миллионов рублей Норматив "" от сметной стоимости строительства, в процентах
1 100 9,09
2 500 8,05
3 1000 7,09
4 3000 6,04
5 7000 4,58
6 9000 3,88
7 10000 3,60

Приложение N 3
к Методике определения стоимости
работ по подготовке проектной
документации, утвержденной приказом
Министерства строительства
и жилищно-коммунального хозяйства
Российской Федерации
от 1 октября 2021 г. N 707/пр

(рекомендуемые образцы)

Таблица параметров и нормативов цены проектных работ, включаемых в НЗ на проектные работы (в ред. Приказа Минстроя РФ от 08.06.2023 N 409/пр)

1. Таблица параметров цен проектных работ в зависимости от натурального показателя:

Таблица

Объекты образования

N Наименование объекта Натуральный показатель "X", вместимость (количество мест) Параметры цены проектных работ
а,
тыс. руб.
в,
тыс. руб./место
1. Здание школы монолитное свыше 300 до 550 309,0 27,66
свыше 550 до 825 1640,0 25,24
свыше 825 до 1000 4280,0 22,04

2. Таблица нормативов цен проектных работ в зависимости от сметной стоимости строительства объекта:

Таблица

Магистральные улицы

N Сметная стоимость строительства объекта Нормативы цены проектных работ в зависимости от сметной стоимости строительства объекта, (%)
1. до 250,0 3,45
2. до 500,0 3,06
3. до 800,0 2,87
4. до 1000,0 2,74

Таблица корректирующих коэффициентов, учитывающих усложняющие (упрощающие) факторы (при наличии)

Таблица

N Наименование усложняющего (упрощающего) фактора Значения коэффициента Примечание (при наличии)
1. Здания, сооружения являются уникальными в соответствии с Градостроительным кодексом Российской Федерации 1,20 -

Таблица относительной стоимости проектных работ по разделам проектной документации и соответствующим комплектам рабочей документации

Таблица

Объекты образования

N Объект Вид документации ПЗУ АР КР ИОС ПОС СМ
ГП БЛГ ОР ТХ ОВ ВК ЭО СС АВТ КОН ХС
1 2 3 4 5 6 7 8 9 10 11 12 13 14 15 16 17 18
1. Здание школы монолитное П 4,0 3,0 3,1 20,0 24,1 13 5,8 4,9 3,9 2,9 2,1 - - 6,1 7,1
Р 2,4 2,0 2,1 19,5 28,1 18 7,6 6,4 5,2 4,3 3,3 - - 1,1 -
П+Р 3,0 2,4 2,5 19,7 26,6 16 6,9 5,8 4,7 3,7 2,8 - - 3,1 2,8

Таблица

Магистральные улицы

N Объект Вид документации ППО ТКР ПОС СМ
1 2 3 4 5 6 7
1. Магистральные улицы районного значения П 3 88 4 5
Р - 100 - -
П+Р 1 95 2 2

Примечания:

В таблицах указываются показатели относительной стоимости отдельных подразделов, характерных для объектов строительства определенного функционального назначения (при наличии таких подразделов в проектной документации).

Приложение N 4
к Методике определения стоимости
работ по подготовке проектной
документации, утвержденной приказом
Министерства строительства
и жилищно-коммунального хозяйства
Российской Федерации
от 1 октября 2021 г. N 707/пр

СПОСОБЫ ОПРЕДЕЛЕНИЯ СТОИМОСТИ ОСНОВНЫХ И ДОПОЛНИТЕЛЬНЫХ ПРОЕКТНЫХ РАБОТ, А ТАКЖЕ СОПУТСТВУЮЩИХ РАБОТ И РАСХОДОВ, НЕУЧТЕННЫХ ПАРАМЕТРАМИ И НОРМАТИВАМИ ЦЕНЫ НЗ НА ПРОЕКТНЫЕ РАБОТЫ

(в ред. Приказа Минстроя РФ от 08.06.2023 N 409/пр)

Таблица 4.1

N п/п Наименование работ и расходов Способы определения стоимости работ и расходов
1 2 3
1. Расчет технико-экономических показателей и оценка эффективности проекта, включая подготовку бизнес-плана До 7% от стоимости П+Р или по пункту 143 Методики
2. Проектирование конструкций на стадии КМД, включая технологические трубопроводы заводского изготовления, а также нетипового и нестандартизированного и механического оборудования (в случае поручения застройщиком (техническим заказчиком) проектной организации таких работ) По сметным нормативам на этот вид работ, внесенным в ФРСН. В случае их отсутствия по пункту 143 Методики
3. Подготовка проектной и рабочей документации на АСУП, АСУТП, АСУЭ, разработка документации на иные автоматизированные системы, системы автоматизированного управления и общесистемных средств управления объектами проектирования По НЗ на проектные работы на указанный вид работ.
(в ред. Приказа Минстроя РФ от 08.06.2023 N 409/пр)
4. Подготовка документации раздела "Иная документация" П (Р): "Промышленная безопасность", в том числе ДПБ; ГОЧС; "Эффективность инвестиций"; ПЛАС; ПЛАРН; СМИС и иная документация, установленная законодательными актами Российской Федерации в соответствии с подпунктом в) пункта 32 Положения N 87 По НЗ на проектные работы на соответствующий вид работ. В случае их отсутствия по пункту 143 Методики
(в ред. Приказа Минстроя РФ от 08.06.2023 N 409/пр)
5. Подготовка документации на индивидуальные индустриальные строительные изделия, включая технические условия на их изготовление По сметным нормативам на этот вид работ, внесенным в ФРСН. В случае их отсутствия по ценникам заводов-изготовителей, по пункту 143 Методики
6. Подготовка мероприятий и выполнение проектных работ, связанных с подготовкой территории строительства объекта проектирования, а также работ, связанных с рекультивацией земельных участков По НЗ на проектные работы на этот вид работ. В случае их отсутствия по пункту 143 Методики
(в ред. Приказа Минстроя РФ от 08.06.2023 N 409/пр)
7. Проектирование зданий, сооружений, инженерных сетей вне земельного участка для размещения объекта проектирования капитального строительства, размеры которого определяются нормами проектирования По НЗ на проектные работы на соответствующий вид работ. В случае их отсутствия по пункту 143 Методики
(в ред. Приказа Минстроя РФ от 08.06.2023 N 409/пр)
8. Работы по выбору земельного участка для строительства в случае осуществления их по отдельному заданию застройщика (технического заказчика) или на стадии подготовки П По НЗ на проектные работы на этот вид работ. В случае их отсутствия по пункту 143 Методики
(в ред. Приказа Минстроя РФ от 08.06.2023 N 409/пр)
9. Подготовка по заданию застройщика (технического заказчика) обоснований инвестиций в строительство объектов проектирования До 20% от стоимости П+Р или по пункту 143 Методики
10. Выполнение по поручению застройщика (технического заказчика) работ по ОВОС в составе П, когда вышеуказанные работы не выполнялись в составе подготовки предпроектной документации До 4% от стоимости П+Р или по пункту 143 Методики
11. Сбор и подготовка по поручению застройщика (технического заказчика) исходных данных. До 2% от стоимости П+Р или по пункту 143 Методики
12. Подготовка художественно-декоративных решений зданий и сооружений (интерьеры, индивидуальная мебель, оборудование, элементы дизайна и рекламы, специальная графика и прочие художественные работы), кроме общестроительных решений интерьеров По НЗ на проектные работы на данный вид работ. В случае их отсутствия по пункту 143 Методики
(в ред. Приказа Минстроя РФ от 08.06.2023 N 409/пр)
13. Комплектование строек оборудованием; проверка комплектности поставок оборудования, согласование заводской документации по оборудованию и системам, включая технические задания и ТУ По сметным нормативам на этот вид работ, внесенным в ФРСН. В случае их отсутствия по пункту 143 Методики
14. Проектирование специальных методов строительства (водопонижение, замораживание, химическое закрепление грунтов, гидромеханизация и др.) По НЗ на проектные работы на данный вид работ. В случае их отсутствия по пункту 143 Методики
(в ред. Приказа Минстроя РФ от 08.06.2023 N 409/пр)
15. Выполнение функций строительного контроля застройщика (технического заказчика). Авторский надзор По сметным нормативам на данный вид работ, внесенным в ФРСН. В случае их отсутствия по пункту 143 Методики
16. Техническое обследование состояния грунтов оснований, строительных конструкций, инженерного оборудования и сетей инженерно-технического обеспечения зданий и сооружений, в том числе обмерные работы, по объекту, подлежащему реконструкции. Техническое обследование зданий и сооружений, попадающих в зону влияния строительства объекта По сметным нормативам на данный вид работ, внесенным в ФРСН. В случае их отсутствия по пункту 143 Методики
17. Научно-исследовательские и опытно-конструкторские работы при проектировании и строительстве объекта, НТС ПР, кроме объектов проектирования, для которых эти работы являются основными По пункту 143 Методики
18. Подготовка специальных технических условий, технологических регламентов По пункту 143 Методики
19. Инжиниринговые услуги, не относящиеся к проектным работам, маркетинговые услуги, выполняемые по поручению застройщика (технического заказчика) По сметным нормативам на этот вид работ, внесенным в ФРСН. В случае их отсутствия по пункту 143 Методики
20. Подготовка по поручению застройщика (технического заказчика) тендерной (конкурсной) документации По сметным нормативам на этот вид работ, внесенным в ФРСН. В случае их отсутствия по пункту 143 Методики
21. Подготовка по поручению застройщика (технического заказчика) и эксплуатационной документации, проектов производства работ (ППР). По сметным нормативам, внесенным в ФРСН. В случае их отсутствия по пункту 143 Методики
22. Подготовка документации территориального планирования и планировки территории По сметным нормативам на этот вид работ, внесенным в ФРСН. В случае их отсутствия по пункту 143
23. Демонстрационные и экспозиционные материалы (макеты) По сметным нормативам на данный вид работ, внесенным в ФРСН. В случае их отсутствия по пункту 143 Методики
24. Разработка проектной и рабочей документации, содержащей материалы в форме информационной модели Согласно положениям НЗ на проектные работы. В случае отсутствия в НЗ на проектные работы указанных положений стоимость данных работ определяется на проектные работы по пункту 143 Методики
(в ред. Приказа Минстроя РФ от 08.06.2023 N 409/пр)
25. Подготовка проектной и рабочей документации на консервацию, ликвидацию объектов проектирования В соответствии с положениями НЗ на проектные работы. В случае их отсутствия по пункту 143 Методики
(в ред. Приказа Минстроя РФ от 08.06.2023 N 409/пр)
26. Оплата услуг, согласующих проектную документацию органов и организаций, установленных действующими нормативными правовыми актами. Оплата услуг по экспертизе проектной документации, установленной действующими нормативными правовыми актами. По нормативам, ценам, тарифам, утверждаемым НПА, органами государственной власти и местного самоуправления.

Приложение N 5
к Методике определения стоимости
работ по подготовке проектной
документации, утвержденной приказом
Министерства строительства
и жилищно-коммунального хозяйства
Российской Федерации
от 1 октября 2021 г. N 707/пр

СПОСОБЫ ПРИМЕНЕНИЯ КОРРЕКТИРУЮЩИХ КОЭФФИЦИЕНТОВ, УЧИТЫВАЮЩИХ УСЛОЖНЯЮЩИЕ ФАКТОРЫ ПРОЕКТИРОВАНИЯ

Таблица 5.1

N п/п Факторы, усложняющие проектирование объекта Значения корректирующих коэффициентов Способы применения корректирующих коэффициентов
1 2 3 4
1. Коэффициенты, учитывающие природные факторы, усложняющие проектирование, согласно нормам проектирования, прежде всего ГОСТ 22.0.03-97 "Безопасность в чрезвычайных ситуациях. Природные чрезвычайные ситуации. Термины и определения", утвержденного постановлением Госстандарта России от 16.04.1998 N 122 Коэффициент применяется к стоимости проектирования следующих разделов П + Р:
1.1 Опасные гидрологические и геологические явления (просадочные, набухающие, карстовые грунты, оползневые явления, расположение площадки строительства над горными выработками, скальные и полускальные грунты, заболоченная территория, тектонические разломы) 1,15 ПЗУ (ППО) (в части вертикальной планировки и организации рельефа, транспорта); в полном объеме АР и КР (ТКР, ИЛО); в части монтажных элементов ИОС; доля СМ на выполняемый объем.
1.2 Опасные геологические явления (вечномерзлые грунты) 1,15 ПЗУ (ППО) (в части вертикальной планировки и организации рельефа, транспорта); в полном объеме АР и КР (ТКР, ИЛО); в части ИОС, размещенных в подземной части здания (сооружения); доля СМ на выполняемый объем.
1.3 Опасные гидрологические явления (наводнение, половодье, паводок, цунами, подтопление) 1,15 ПЗУ (ППО) (в части вертикальной планировки и организации рельефа, транспорта); в полном объеме АР и КР (ТКР, ИЛО); в части ИОС, размещенных в подземной части здания (сооружения); доля СМ на выполняемый объем.
1.4 Опасные метеорологические явления и процессы (ураган, циклон, шторм, смерч, шквал и т.д.) - Возможность возникновения опасных метеорологические явлений и процессов должна учитываться решениями, принимаемыми в ПД и, соответственно, ценой, установленной НЗ на проектные работы.
(в ред. Приказа Минстроя РФ от 08.06.2023 N 409/пр)
2 Коэффициенты, учитывающие сейсмичность Коэффициент применяется к стоимости проектирования следующих разделов П+Р:
2.1 7 баллов 1,15 ПЗУ (ППО) (в части вертикальной планировки и организации рельефа, транспорта); в полном объеме АР и КР (ТКР, ИЛО); в части монтажных элементов ИОС; доля СМ на выполняемый объем
2.2 8 баллов 1,20
2.3 9 баллов и более 1,30
3 Коэффициенты, учитывающие применение новых технологий в проектировании и строительстве объекта проектирования, не учтенных параметрами (нормативами) цены Коэффициент применяется к стоимости проектирования следующих разделов П+Р:
3.1 Проектирование с импортным оборудованием, применяемым в Российской Федерации впервые 1,3 В части ИОС (ТКР) с учетом вида поставляемого импортного оборудования; в полном объеме ООС, ПОС и МОПБ; доля СМ на выполняемый объем работ

Приложение N 6
к Методике определения стоимости
работ по подготовке проектной
документации, утвержденной приказом
Министерства строительства
и жилищно-коммунального хозяйства
Российской Федерации
от 1 октября 2021 г. N 707/пр

ОРИЕНТИРОВОЧНЫЕ ОБЪЕМЫ РАБОТ ПО ПРИВЯЗКЕ ПОВТОРНО ПРИМЕНЯЕМОЙ ПРОЕКТНОЙ ДОКУМЕНТАЦИИ ПО ОТДЕЛЬНЫМ ЭЛЕМЕНТАМ ЗДАНИЙ И СООРУЖЕНИЙ В ПРОЦЕНТАХ ОТ ЦЕНЫ НЗ НА ПРОЕКТНЫЕ РАБОТЫ

(в ред. Приказа Минстроя РФ от 08.06.2023 N 409/пр)

Таблица 16.1

N п/п Наименование отдельных элементов и конструкций зданий (сооружений) Доля в цене основных проектных работ, %
1 2 3
1. Привязка без внесения каких-либо изменений 20
     
2. Изменения в подземную часть здания  
2.1. Фундаменты, кроме свайных, с изменением размеров 5,0
2.2. Фундаменты, кроме свайных, с изменением типа 10,0
2.3. Фундаменты свайные 15,0
     
3. Изменения в надземную часть  
3.1. Фасады без переработки проекта отопления 12,0
3.2. Стены с изменением параметров (материала, толщины, типа конструкции) 5,3
3.3. Перекрытия с изменением конструкции, типа или раскладки панелей 4,8
3.4. Перепланировка помещений 9,5
3.5. Полы с изменением конструкции 1,0
3.6. Внутренняя отделка помещений 1,1
3.7. Лестнично-лифтовый узел с изменением конструкций лифтовой 4,3
3.8. Окна 1,0
3.9. Крыша с изменением конструкции 4,5
3.10. Входы 1,5

Приложение N 7
к Методике определения стоимости
работ по подготовке проектной
документации, утвержденной приказом
Министерства строительства
и жилищно-коммунального хозяйства
Российской Федерации
от 1 октября 2021 г. N 707/пр

(рекомендуемые образцы)

Рекомендуемый образец сметы на основные и дополнительные проектные работы, а также сопутствующие работы (форма 2п)

СМЕТА N
на проектные работы

(наименование стройки)
Заказчик  
  (наименование организации)
Проектная организация  
  (наименование организации)
Составлена в уровне цен на ___________ 20__ г.

N пп Наименование объекта проектирования или вида проектных работ Наименование, номера глав, таблиц, параграфов и пунктов НЗ на проектные работы Расчет стоимости Сметная стоимость, руб.
1 2 3 4 5
(в ред. Приказа Минстроя РФ от 08.06.2023 N 409/пр)
       
       
       
       
  Итого без учета НДС    
Руководитель проектной организации      
  [подпись (инициалы, фамилия)]
Главный инженер проекта      
  [подпись (инициалы, фамилия)]
Начальник   отдела  
  (наименование)   [подпись (инициалы, фамилия)]
Заказчик      
  [должность, подпись (инициалы, фамилия)

Рекомендуемый образец сметы на проектные работы в соответствии с калькуляцией затрат (форма 3п)

СМЕТА N
на проектные работы

(наименование стройки)
Заказчик  
  (наименование организации)
Проектная организация  
  (наименование организации)
Составлена в уровне цен на ___________ 20__ г.

Расчет коэффициента, учитывающего степень участия исполнителей-проектировщиков различной квалификации в выполнении проектных работ ()

N п/п Наименование должностей исполнителей Фактическое время участия исполнителя в работе, Тф (дни) Плановая продолжительность выполнения проектных работ, предусмотренных калькуляцией, (дни) Численность исполнителей одной квалификации (чел) Индекс уровня квалификации специалистов исполнителей работы Коэффициент квалификации (участия) специалистов одной квалификации, (гр. 3/итог гр. 4 x гр. 5 x гр. 6)/гр. 5
1 2 3 4 5 6 7
      <*>      
      <*>      

Примечание: <*> Графы для расчета коэффициента в таблице не заполняются

Расчет стоимости проектных работ в соответствии с калькуляцией затрат на проектирование

Среднемесячная зарплата исполнителей, руб. Кол-во рабочих дней в месяце, дни Среднедневная зарплата исполнителей [гр 1 / гр 2] руб. Удельный вес зарплаты в себестоимости работ - , % Рентабельность, % Среднедневная единичная выработка, руб. (гр. 3 x (1 + гр. 5)) / гр. 4 Продолжительность разработки (дни) Численность исполнителей (чел.) Коэффициент квалификации (участия) Стоимость работ, руб. С = (гр. 6 x гр. 7 x гр. 8 x гр. 9)
1 2 3 4 5 6 7 8 9 10
                 
Руководитель проектной организации      
  [подпись (инициалы, фамилия)]
Главный инженер проекта      
  [подпись (инициалы, фамилия)]
Начальник   отдела  
  (наименование)   [подпись (инициалы, фамилия)]
Заказчик      
  [должность, подпись (инициалы, фамилия)

Рекомендуемый образец сметного расчета на командировочные расходы по работам, связанным с проектированием объекта (форма 4п)

N п/п Пункт назначения Количество специалистов Проезд к месту командировки (туда и обратно) Проживание в номере гостиницы класса "3 звезды", 1 чел/сутки. Суточные 1 сутки/руб. Продолжительность командировки, сутки Продолжительность проживания в гостинице, сутки Итого затрат, рубли
1 2 3 4 5 6 7 8 9
               
               
               
               
               
Итого по сметному расчету            
Руководитель проектной организации      
  [подпись (инициалы, фамилия)]
Главный инженер проекта      
  [подпись (инициалы, фамилия)]
Начальник   отдела  
  (наименование)   [подпись (инициалы, фамилия)]
Заказчик      
  [должность, подпись (инициалы, фамилия)