Постановление Правительства РФ от 18.10.2023 N 1733

"О внесении изменений в некоторые акты Правительства Российской Федерации по вопросам предоставления субсидий из федерального бюджета российским организациям"
Редакция от 18.10.2023 — Действует с 19.10.2023

ПРАВИТЕЛЬСТВО РОССИЙСКОЙ ФЕДЕРАЦИИ

ПОСТАНОВЛЕНИЕ
от 18 октября 2023 г. N 1733

О ВНЕСЕНИИ ИЗМЕНЕНИЙ В НЕКОТОРЫЕ АКТЫ ПРАВИТЕЛЬСТВА РОССИЙСКОЙ ФЕДЕРАЦИИ ПО ВОПРОСАМ ПРЕДОСТАВЛЕНИЯ СУБСИДИЙ ИЗ ФЕДЕРАЛЬНОГО БЮДЖЕТА РОССИЙСКИМ ОРГАНИЗАЦИЯМ

Правительство Российской Федерации постановляет:

1. Утвердить прилагаемые изменения, которые вносятся в акты Правительства Российской Федерации по вопросам предоставления субсидий из федерального бюджета российским организациям.

2. Министерству промышленности и торговли Российской Федерации привести до 31 декабря 2023 г. заключенные на день вступления в силу настоящего постановления соглашения о предоставлении из федерального бюджета субсидий российским организациям на финансовое обеспечение части затрат на создание электронной компонентной базы и модулей в соответствие с положениями пунктов 2, 8, 10, 40 - 43 Правил предоставления из федерального бюджета субсидий российским организациям на финансовое обеспечение части затрат на создание электронной компонентной базы и модулей, утвержденных постановлением Правительства Российской Федерации от 24 июля 2021 г. N 1252 "Об утверждении Правил предоставления из федерального бюджета субсидий российским организациям на финансовое обеспечение части затрат на создание электронной компонентной базы и модулей" (в редакции настоящего постановления).

3. Настоящее постановление вступает в силу со дня его официального опубликования.

Председатель Правительства
Российской Федерации
М. МИШУСТИН

УТВЕРЖДЕНЫ
постановлением Правительства
Российской Федерации
от 18 октября 2023 г. N 1733

ИЗМЕНЕНИЯ, КОТОРЫЕ ВНОСЯТСЯ В АКТЫ ПРАВИТЕЛЬСТВА РОССИЙСКОЙ ФЕДЕРАЦИИ ПО ВОПРОСАМ ПРЕДОСТАВЛЕНИЯ СУБСИДИЙ ИЗ ФЕДЕРАЛЬНОГО БЮДЖЕТА РОССИЙСКИМ ОРГАНИЗАЦИЯМ

1. В Правилах предоставления из федерального бюджета субсидий российским организациям на финансовое обеспечение части затрат на создание научно-технического задела по разработке базовых технологий производства приоритетных электронных компонентов и радиоэлектронной аппаратуры, утвержденных постановлением Правительства Российской Федерации от 17 февраля 2016 г. N 109 "Об утверждении Правил предоставления из федерального бюджета субсидий российским организациям на финансовое обеспечение части затрат на создание научно-технического задела по разработке базовых технологий производства приоритетных электронных компонентов и радиоэлектронной аппаратуры" (Собрание законодательства Российской Федерации, 2016, N 9, ст. 1258; 2018, N 6, ст. 903; 2020, N 37, ст. 5705; 2021, N 17, ст. 2965; N 45, ст. 7517; 2022, N 38, ст. 6461; 2023, N 35, ст. 6653):

а) предложение первое абзаца третьего пункта 3 после слов "критической информационной инфраструктуры" дополнить словами "и организаций, доля участия субъекта Российской Федерации (либо организации, являющейся собственностью субъекта Российской Федерации не менее чем на 50 процентов) в которых составляет не менее 50 процентов,";

б) предложение второе подпункта "е" и подпункт "ж" пункта 4, абзацы второй и третий пункта 7 после слов "критической информационной инфраструктуры" дополнить словами "и организаций, доля участия субъекта Российской Федерации (либо организации, являющейся собственностью субъекта Российской Федерации не менее чем на 50 процентов) в которых составляет не менее 50 процентов";

в) абзац второй пункта 15 после слов "критической информационной инфраструктуры" дополнить словами "и организаций, доля участия субъекта Российской Федерации (либо организации, являющейся собственностью субъекта Российской Федерации не менее чем на 50 процентов) в которых составляет не менее 50 процентов,";

г) в приложении N 2 к указанным Правилам:

абзац четвертый пункта 3 дополнить словами "и организаций, доля участия субъекта Российской Федерации (либо организации, являющейся собственностью субъекта Российской Федерации не менее чем на 50 процентов) в которых составляет не менее 50 процентов";

предложение второе пункта 4 после слов "критической информационной инфраструктуры" дополнить словами "и организаций, доля участия субъекта Российской Федерации (либо организации, являющейся собственностью субъекта Российской Федерации не менее чем на 50 процентов) в которых составляет не менее 50 процентов,".

2. Правила предоставления из федерального бюджета субсидий российским организациям на финансовое обеспечение части затрат на создание электронной компонентной базы и модулей, утвержденные постановлением Правительства Российской Федерации от 24 июля 2021 г. N 1252 "Об утверждении Правил предоставления из федерального бюджета субсидий российским организациям на финансовое обеспечение части затрат на создание электронной компонентной базы и модулей" (Собрание законодательства Российской Федерации, 2021, N 32, ст. 6005; N 45, ст. 7517), изложить в следующей редакции:

"УТВЕРЖДЕНЫ
постановлением Правительства
Российской Федерации
от 24 июля 2021 г. N 1252
(в редакции постановления
Правительства Российской Федерации
от 18 октября 2023 г. N 1733)

ПРАВИЛА ПРЕДОСТАВЛЕНИЯ ИЗ ФЕДЕРАЛЬНОГО БЮДЖЕТА СУБСИДИЙ РОССИЙСКИМ ОРГАНИЗАЦИЯМ НА ФИНАНСОВОЕ ОБЕСПЕЧЕНИЕ ЧАСТИ ЗАТРАТ НА СОЗДАНИЕ ЭЛЕКТРОННОЙ КОМПОНЕНТНОЙ БАЗЫ И МОДУЛЕЙ

1. Настоящие Правила устанавливают цели, условия и порядок предоставления субсидий из федерального бюджета российским организациям на финансовое обеспечение части затрат на создание электронной компонентной базы и модулей (далее - субсидии).

Субсидии предоставляются в рамках федерального проекта "Прикладные исследования, разработка и внедрение электронной продукции" государственной программы Российской Федерации "Развитие электронной и радиоэлектронной промышленности" (далее - государственная программа) в целях стимулирования деятельности организаций электронной и радиоэлектронной промышленности, специализирующихся на разработке и производстве электронных компонентов и модулей.

2. Понятия, используемые в настоящих Правилах, означают следующее:

"высокотехнологичное рабочее место" - рабочее место, созданное или модернизированное организацией в рамках реализации комплексного проекта и соответствующее следующим критериям:

оснащение рабочего места технологическим оборудованием, и (или) специализированными средствами проектирования, и (или) высокопроизводительными системами вычислений;

наличие трудовых отношений с работником, занятым на рабочем месте и имеющим профильное образование и соответствующую квалификацию;

стоимость создания нового рабочего места или модернизации существующего рабочего места составляет не менее 0,5 млн. рублей;

заработная плата работника, занятого на рабочем месте, превышает величину средней заработной платы в соответствующем субъекте Российской Федерации согласно данным Федеральной службы государственной статистики за предыдущий финансовый год;

"государственная информационная система" - государственная информационная система промышленности и государственная интегрированная информационная система управления общественными финансами "Электронный бюджет" (с учетом положений статьи 78.5 Бюджетного кодекса Российской Федерации) (далее - система "Электронный бюджет");

"комплексный проект" - комплекс взаимосвязанных мероприятий по созданию продукции, ограниченный по времени и ресурсам, включающий:

выполнение на территории Российской Федерации научно-исследовательских, опытно-конструкторских и технологических работ по созданию продукции;

организацию серийного выпуска продукции, в том числе создание инфраструктуры;

последующую коммерциализацию произведенной продукции;

"модуль на основе разработанных электронных компонентов" - модуль, один или несколько функциональных электронных компонентов которого разработаны в рамках комплексного проекта, проведения опытно-конструкторских работ и комплексного проекта в рамках государственной программы;

"научно-производственное объединение в сфере обеспечения технологического развития критической информационной инфраструктуры" - научно-производственное объединение, специализирующееся на разработке, производстве, технической поддержке и сервисном обслуживании доверенных программно-аппаратных комплексов для критической информационной инфраструктуры, определенное распоряжением Правительства Российской Федерации от 29 марта 2023 г. N 757-р;

"научно-технический задел" - совокупность знаний, технических и технологических решений, с использованием которых возможна разработка продукции или способов ее производства;

"общая стоимость комплексного проекта" - общий объем планируемых затрат организации на реализацию комплексного проекта согласно плану-графику финансового обеспечения реализации комплексного проекта, определяющему объем планируемых затрат организации на реализацию комплексного проекта и порядок их финансового обеспечения за счет средств субсидии, а также собственных и (или) заемных средств (далее - план-график финансового обеспечения реализации комплексного проекта), в соответствии с расходами, указанными в пунктах 8 и 10 настоящих Правил;

"организация" - юридическое лицо, образованное в соответствии с законодательством Российской Федерации, информация о котором размещена в открытом доступе в государственной информационной системе промышленности;

"отчетный период" - каждый период реализации комплексного проекта, по результатам которого организация обязана представить в Министерство промышленности и торговли Российской Федерации отчеты в соответствии с пунктом 30 настоящих Правил;

"период реализации комплексного проекта" - период реализации комплексного проекта в соответствии с планом-графиком финансового обеспечения реализации комплексного проекта;

"продукция" - электронные компоненты и (или) модули на их основе, технологии производства продукции с техническими и технологическими характеристиками, заявленными организацией в составе заявки на участие в отборе на право получения субсидии (далее соответственно - отбор, заявка) в рамках государственной программы;

"производитель" - юридическое лицо, участвующее в реализации комплексного проекта в рамках договоров (соглашений), заключенных с организацией (в том числе признанное аффилированным лицом по отношению к организации в соответствии с антимонопольным законодательством Российской Федерации), осуществляющее в рамках реализации комплексного проекта производство и поставку продукции на внешний и внутренний рынки на основании исключительных и (или) неисключительных прав, предоставленных организацией, реализующей комплексный проект;

"сквозной проект" - комплекс взаимоувязанных мероприятий, направленных на внедрение программно-аппаратных комплексов или систем интеллектуального управления, включающий в том числе организацию производства продукции, проведение научно-исследовательских и опытно-конструкторских работ по разработке радиоэлектронной продукции, создание встроенного программного обеспечения, адаптацию существующего программного обеспечения, а также мероприятий, связанных с выводом продукции на рынок с гарантированным объемом ее потребления, превышающим сумму затрат на реализацию указанных мероприятий, и возможностью применения продукции различными потребителями, в том числе в других отраслях экономики, одобренный общественным экспертным советом по использованию электроники в отраслях экономики при президиуме Правительственной комиссии по цифровому развитию, использованию информационных технологий для улучшения качества жизни и условий ведения предпринимательской деятельности (далее - общественный экспертный совет);

"технологии производства продукции" - совокупность технологических процессов и опций, освоенных на средствах производства электроники, обеспечивающих возможность производства одного или нескольких электронных компонентов по единому технологическому циклу или процессу, правилам проектирования и моделям, а также средства проектирования электроники, обеспечивающие возможность проектирования электронных компонентов;

"технологические партнерства (холдинги)" - форма объединения организаций, подразумевающая обмен знаниями, рисками и ресурсами для решения технологических и производственных задач в области электроники;

"электронная компонентная база" - электрорадиоизделия, электронные модули нулевого уровня, представляющие собой совокупность электрически соединенных электрорадиоизделий, образующих функционально и конструктивно законченные сборочные единицы, предназначенные для реализации функций приема, обработки, преобразования, хранения и (или) передачи информации или формирования (преобразования) энергии, выполненные на основе несущих конструкций и обладающие свойствами конструктивной и функциональной взаимозаменяемости;

"электронные компоненты" - изделия электронной техники, квантовой электроники и (или) электротехнические изделия, представляющие собой деталь, сборочную единицу или их совокупность, обладающие конструктивной целостностью, принцип действия которых основан на электрофизических, электрохимических, электромеханических, фотоэлектронных и (или) электронно-оптических процессах и явлениях, не подлежащие восстановлению и ремонту, не подвергаемые изменениям в процессе применения при создании радиоэлектронных компонентов и устройств и изготавливаемые по самостоятельным комплектам конструкторской и технологической документации (соответствуют коду 26.1 "Компоненты электронные и платы" Общероссийского классификатора продукции по видам экономической деятельности (ОК 034-2014 (КПЕС 2008);

"экспортер" - юридическое лицо, участвующее в реализации комплексного проекта в рамках договоров (соглашений), заключенных с организацией, реализующей комплексный проект, а также с организацией, входящей в группу лиц с такими организациями в соответствии с положениями статьи 9 Федерального закона "О защите конкуренции", осуществляющее в рамках реализации комплексного проекта поставку на внешний рынок продукции на основании исключительных и (или) неисключительных прав, предоставленных организацией, реализующей комплексный проект;

"якорный заказчик" - организация, выступающая в качестве основного потребителя результата сквозного проекта.

3. Сведения о субсидии размещаются на едином портале бюджетной системы Российской Федерации в информационно-телекоммуникационной сети "Интернет" (далее - сеть "Интернет") не позднее 15-го рабочего дня, следующего за днем принятия федерального закона о федеральном бюджете (федерального закона о внесении изменений в федеральный закон о федеральном бюджете).

4. Отбор осуществляется путем проведения конкурса исходя из наилучших условий достижения результата предоставления субсидии и характеристик (показателей, необходимых для достижения результата предоставления субсидии) (далее - характеристики предоставления субсидии) в рамках комплексного проекта.

Результатом предоставления субсидии является достижение на дату окончания реализации комплексного проекта объема производства и реализации продукции, которая будет разработана и произведена (в том числе произведена производителем) в рамках комплексного проекта, и (или) реализации результатов интеллектуальной деятельности, полученных в рамках реализации комплексного проекта, превышающего:

в случае создания электронных компонентов - 0,5 размера предоставленной субсидии;

в случае создания модулей на основе разработанных электронных компонентов - размер субсидии.

Характеристиками предоставления субсидии являются:

количество вновь создаваемых и (или) модернизируемых высокотехнологичных рабочих мест;

количество создаваемых результатов интеллектуальной деятельности, охраняемых патентами или иными охранными документами и (или) охраняемых в качестве секретов производства (ноу-хау);

объем экспорта продукции, созданной в рамках реализации комплексного проекта, если организация планирует осуществлять экспорт в рамках реализации комплексного проекта (включая выручку от экспорта продукции (поставленной в том числе на внешний рынок экспортером), с учетом положений подпункта "е" пункта 40 настоящих Правил, которая будет разработана и произведена в рамках комплексного проекта, в денежном выражении (в действующих ценах).

Значения результата предоставления субсидии и характеристик предоставления субсидии (за исключением значения объема экспорта продукции, созданной в рамках реализации комплексного проекта) должны быть отличны от нуля на конец срока реализации комплексного проекта.

Предоставление субсидий осуществляется с учетом положений Протокола о единых правилах предоставления промышленных субсидий, являющегося приложением N 28 к Договору о Евразийском экономическом союзе от 29 мая 2014 г.

5. Субсидии предоставляются организациям, прошедшим отбор, на финансовое обеспечение их затрат, осуществленных в рамках реализации комплексного проекта, указанных в пункте 8 настоящих Правил.

Создание продукции и подготовка ее серийного выпуска должны быть завершены в срок, не превышающий 5 лет. Срок реализации комплексного проекта составляет не более 7 лет.

6. Общая стоимость комплексного проекта должна составлять не менее 50 млн. рублей, при этом максимальный ежегодный размер субсидии, предоставляемой организации - получателю субсидии по одному комплексному проекту, составляет не более 1500 млн. рублей.

7. Объем внебюджетных средств, привлекаемых организацией - получателем субсидии по комплексному проекту в течение срока его реализации, не может составлять менее 10 процентов общей стоимости комплексного проекта. Указанные внебюджетные средства должны привлекаться на финансовое обеспечение затрат, возникших в рамках соответствующего периода реализации комплексного проекта.

8. Субсидируемые затраты организаций - получателей субсидий на создание продукции и организацию ее серийного производства субсидируются не более 5 лет с даты начала реализации комплексного проекта и включают в себя следующие расходы, непосредственно связанные с реализацией комплексного проекта:

а) расходы на оплату труда работников, непосредственно занятых реализацией комплексного проекта, а также расходы на обязательное пенсионное страхование, обязательное социальное страхование на случай временной нетрудоспособности и в связи с материнством, обязательное медицинское страхование, обязательное социальное страхование от несчастных случаев на производстве и профессиональных заболеваний, начисленные на указанные суммы расходов на оплату труда. Размер субсидируемых затрат на каждого работника, занятого реализацией комплексного проекта, по статьям указанных расходов не должен более чем в 5 раз превышать размер среднемесячной начисленной заработной платы по соответствующему виду экономической деятельности в Российской Федерации, исчисляемой на основании данных Федеральной службы государственной статистики, за год, предшествующий отчетному году, и размещенной на официальном сайте Федеральной службы государственной статистики в сети "Интернет";

б) накладные расходы в размере не более 150 процентов суммы расходов на оплату труда работников, непосредственно занятых реализацией комплексного проекта, в том числе:

расходы на оплату труда работников, входящих в состав административно-управленческого персонала организации - получателя субсидии, непосредственно связанных с планово-хозяйственной деятельностью организации - получателя субсидии, а также расходы на обязательное пенсионное страхование, обязательное социальное страхование на случай временной нетрудоспособности и в связи с материнством, обязательное медицинское страхование, обязательное социальное страхование от несчастных случаев на производстве и профессиональных заболеваний, начисленные на указанные суммы расходов на оплату труда;

расходы на аренду имущества (зданий, строений и сооружений, движимого имущества), а также расходы по оплате услуг по его содержанию (обслуживанию) и коммунальных услуг;

в) расходы на оснащение и обслуживание вновь создаваемых и (или) модернизируемых в рамках реализации комплексного проекта высокотехнологичных рабочих мест, необходимых для создания научно-технического задела, в размере не более 70 процентов размера субсидии в отчетном периоде;

г) расходы по договорам на выполнение научно-исследовательских, опытно-конструкторских и технологических работ в размере не более 50 процентов общей стоимости комплексного проекта;

д) расходы на приобретение у российских и (или) иностранных организаций прав на результаты интеллектуальной деятельности, в том числе неисключительных лицензий, а также на техническую поддержку этих прав и лицензий;

е) расходы на обеспечение правовой охраны созданных в ходе выполнения научно-исследовательских, опытно-конструкторских и технологических работ результатов интеллектуальной деятельности (включая патентование), в том числе за рубежом;

ж) расходы на изготовление фотошаблонов и технологической оснастки в российских и (или) иностранных организациях, а также на монтаж, наладку и иные мероприятия по их подготовке в целях организации серийного выпуска продукции;

з) расходы на аренду (финансовую аренду (лизинг) российского и (или) импортного технологического оборудования (как нового, так и бывшего в употреблении) в размере, не превышающем 50 процентов общего объема таких затрат организации - получателя субсидии;

и) расходы на изготовление опытных образцов, в том числе их тестирование, упаковку, транспортировку и оплату применимых таможенных пошлин и сборов, а также на изготовление макетов, стендов, технологической оснастки, включая расходы на приобретение материалов и покупных комплектующих изделий;

к) расходы на изготовление первой партии серийной продукции и ее тестирование, сертификацию и (или) регистрацию, проведение испытаний, а также на упаковку, хранение, транспортировку и оплату применимых таможенных пошлин и сборов в размере не более 50 процентов общего объема таких затрат организации - получателя субсидии;

л) расходы на приобретение лицензий на системы автоматического проектирования, услуги центров коллективного пользования, предоставляющих доступ к системам автоматизированного проектирования.

9. Средства субсидии, израсходованные организацией - получателем субсидии на финансовое обеспечение затрат сверх предельных значений, предусмотренных пунктом 8 настоящих Правил, подлежат возврату в доход федерального бюджета в порядке, установленном бюджетным законодательством Российской Федерации, на основании соответствующего требования Министерства промышленности и торговли Российской Федерации в течение 10 рабочих дней со дня получения организацией - получателем субсидии указанного требования.

10. Внебюджетные средства организации - получателя субсидии привлекаются на финансовое обеспечение субсидируемых затрат организации - получателя субсидии, указанных в пункте 8 настоящих Правил, а также затрат, включающих в себя следующие расходы, непосредственно связанные с реализацией комплексного проекта:

а) расходы на капитальные вложения (в том числе строительство, реконструкцию, модернизацию зданий и сооружений, приобретение технологического оборудования и нематериальных активов);

б) расходы на охрану труда, противопожарные мероприятия, оплату охраны, а также услуг по хранению имущества;

в) расходы по оплате услуг связи, информационных и консультационных услуг;

г) расходы в размере не более 2 процентов общей стоимости комплексного проекта на внешнее (подготовка, переподготовка, обучение инженерного и производственного персонала) и внутреннее (подписка на периодические издания и исследования) обучение работников, направленное на повышение производительности труда;

д) расходы на продвижение продукции в размере не более 5 процентов общей стоимости комплексного проекта, включающие:

рекламу через средства массовой информации, в том числе изготовление рекламных стендов;

участие в выставках, включая расходы на вступительные взносы, изготовление рекламных стендов, брошюр и каталогов, оформление витрин и демонстрационных комнат;

участие в отраслевых ассоциациях и экспертных организациях;

распространение опытной и промышленной партий продукции среди потенциальных потребителей (не более 3 единиц продукции одному потребителю);

иные расходы, способствующие формированию и поддержанию осведомленности рынка о продукции;

е) расходы на приобретение акций (долей участия) в организациях, обладающих необходимым для реализации комплексного проекта комплексом объектов недвижимого имущества, а также правами на результаты интеллектуальной деятельности;

ж) командировочные расходы работников, непосредственно занятых реализацией комплексного проекта, в размере не более 2 процентов общей стоимости комплексного проекта.

11. Отбор проводится конкурсной комиссией, образуемой Министерством промышленности и торговли Российской Федерации, в целях определения победителей отбора (далее - конкурсная комиссия).

Отбор проводится при наличии лимитов бюджетных обязательств, доведенных в установленном порядке до Министерства промышленности и торговли Российской Федерации как получателя средств федерального бюджета на цели, указанные в пункте 1 настоящих Правил (далее - лимиты бюджетных обязательств), с учетом ранее принятых обязательств по предоставлению субсидий. В случае незаключения соглашений о предоставлении субсидий между Министерством промышленности и торговли Российской Федерации и прошедшими отбор организациями по причине исчерпания лимитов бюджетных обязательств соглашения о предоставлении субсидий с такими организациями заключаются при доведении в установленном порядке до Министерства промышленности и торговли Российской Федерации лимитов бюджетных обязательств без проведения дополнительного отбора.

В случае наличия неиспользованных лимитов бюджетных обязательств, образовавшихся по результатам проведения отбора, Министерство промышленности и торговли Российской Федерации вправе провести в течение финансового года дополнительные отборы.

Заключение соглашений о предоставлении субсидий между Министерством промышленности и торговли Российской Федерации и прошедшими отбор организациями осуществляется не позднее 20-го рабочего дня после определения победителей по результатам проведения отбора, который проводится с соблюдением сроков, установленных пунктом 26.2 Положения о мерах по обеспечению исполнения федерального бюджета, утвержденного постановлением Правительства Российской Федерации от 9 декабря 2017 г. N 1496 "О мерах по обеспечению исполнения федерального бюджета" (указанное требование не применяется при проведении дополнительного отбора в пределах неиспользованных лимитов бюджетных обязательств, образовавшихся по результатам проведения отбора и заключения соглашений о предоставлении субсидий).

12. В целях проведения отбора Министерство промышленности и торговли Российской Федерации:

а) разрабатывает и утверждает методику проведения научно-технической оценки бизнес-планов комплексных проектов, которая подлежит публикации на сайтах государственной информационной системы;

б) формирует проект соглашения о предоставлении субсидии, заключаемого между Министерством промышленности и торговли Российской Федерации и организацией, прошедшей отбор, в соответствии с типовой формой, утвержденной Министерством финансов Российской Федерации.

13. Объявление о проведении отбора размещается не позднее 10 рабочих дней после принятия Министерством промышленности и торговли Российской Федерации решения о проведении отбора на сайтах государственной информационной системы, а также на официальном сайте Министерства промышленности и торговли Российской Федерации в сети "Интернет" (далее - официальные сайты) с указанием:

а) сроков проведения отбора (даты и времени начала и окончания подачи заявок). Дата окончания приема заявок не может быть ранее 30-го календарного дня, следующего за днем размещения объявления о проведении отбора;

б) наименования, места нахождения, почтового адреса, адреса электронной почты Министерства промышленности и торговли Российской Федерации;

в) результата предоставления субсидии и характеристик предоставления субсидии в соответствии с пунктом 4 настоящих Правил;

г) указателя страниц официальных сайтов, на которых обеспечивается проведение отбора;

д) требований к организациям в соответствии с пунктами 14 и 15 настоящих Правил и перечня документов, предусмотренных подпунктами "б" - "е" и "и" пункта 16 настоящих Правил;

е) порядка подачи заявок и требований, предъявляемых к форме и содержанию заявок, подаваемых организациями в соответствии с пунктом 16 настоящих Правил;

ж) порядка отзыва заявок, порядка возврата заявок, определяющего в том числе основания для возврата заявок, а также порядка внесения изменений в заявки;

з) правил рассмотрения и оценки заявок, рассматриваемых конкурсной комиссией в соответствии с пунктом 19 настоящих Правил;

и) порядка предоставления организациям разъяснений положений объявления о проведении отбора, даты начала и окончания срока предоставления разъяснений положений объявления о проведении отбора;

к) срока, в течение которого победитель (победители) отбора должен (должны) подписать соглашение о предоставлении субсидии;

л) условий признания победителя (победителей) отбора уклонившимся (уклонившимися) от заключения соглашения о предоставлении субсидии;

м) даты размещения результатов отбора на официальных сайтах, которая не может быть позднее 14-го календарного дня, следующего за днем определения победителя отбора.

14. Организация на 1-е число месяца, предшествующего месяцу подачи заявки, должна соответствовать следующим требованиям:

а) организация не имеет неисполненной обязанности по уплате налогов, сборов, страховых взносов, пеней, штрафов и процентов, подлежащих уплате в соответствии с законодательством Российской Федерации о налогах и сборах;

б) организация не имеет просроченной задолженности по возврату в федеральный бюджет субсидий, бюджетных инвестиций, предоставленных в том числе в соответствии с иными правовыми актами, и иной просроченной (неурегулированной) задолженности по денежным обязательствам перед Российской Федерацией;

в) организация не находится в процессе реорганизации (за исключением реорганизации в форме присоединения к организации другого юридического лица), ликвидации, в отношении ее не введена процедура банкротства, а также организация не имеет признаков банкротства в соответствии с Федеральным законом "О несостоятельности (банкротстве)", ее деятельность не приостановлена в порядке, предусмотренном законодательством Российской Федерации;

г) в реестре дисквалифицированных лиц отсутствуют сведения о дисквалифицированных руководителе, членах коллегиального исполнительного органа, лице, исполняющем функции единоличного исполнительного органа, или главном бухгалтере (при наличии) организации;

д) организация не является иностранным юридическим лицом, в том числе местом регистрации которого является государство или территория, включенные в утверждаемый Министерством финансов Российской Федерации перечень государств и территорий, используемых для промежуточного (офшорного) владения активами в Российской Федерации (офшорной компанией), а также российским юридическим лицом, в уставном (складочном) капитале которого доля прямого или косвенного (через третьих лиц) участия офшорных компаний в совокупности превышает 25 процентов (если иное не предусмотрено законодательством Российской Федерации);

е) организация не получает средства из федерального бюджета на основании иных нормативных правовых актов Российской Федерации на цели, указанные в пункте 1 настоящих Правил, а также на цели, связанные с реализацией мероприятий в рамках комплексного проекта;

ж) организация не находится в перечне организаций и физических лиц, в отношении которых имеются сведения об их причастности к экстремистской деятельности или терроризму, либо в перечне организаций и физических лиц, в отношении которых имеются сведения об их причастности к распространению оружия массового уничтожения;

15. Организация - участник отбора должна соответствовать следующим дополнительным требованиям:

а) наличие не менее одного результата интеллектуальной деятельности, охраняемого патентами или иными охранными документами и (или) охраняемого в качестве секретов производства (ноу-хау) (не применяется в отношении научно-производственного объединения в сфере обеспечения технологического развития критической информационной инфраструктуры и в отношении организаций - участников отбора, доля участия субъекта Российской Федерации (либо организации, являющейся собственностью субъекта Российской Федерации не менее чем на 50 процентов) в которых составляет не менее 50 процентов);

б) среднесписочная численность работников организации - участника отбора за предшествующий календарный год составляет не менее 20 человек в случае, если организация претендует на получение субсидии на реализацию только одного комплексного проекта и не реализует на момент подачи заявки иных комплексных проектов в рамках настоящих Правил, и не менее 30 человек - в остальных случаях (не применяется в отношении научно-производственного объединения в сфере обеспечения технологического развития критической информационной инфраструктуры и в отношении организаций - участников отбора, доля участия субъекта Российской Федерации (либо организации, являющейся собственностью субъекта Российской Федерации не менее чем на 50 процентов) в которых составляет не менее 50 процентов);

в) организация - участник отбора создана не менее чем за 3 года до даты подачи заявки либо включена (входит) в перечень системообразующих предприятий российской экономики или является дочерним обществом такой организации с долей участия в уставном капитале не менее 50 процентов и удовлетворяет требованию, предусмотренному подпунктом "а" настоящего пункта (не применяется в отношении научно-производственного объединения в сфере обеспечения технологического развития критической информационной инфраструктуры и в отношении организаций - участников отбора, доля участия субъекта Российской Федерации (либо организации, являющейся собственностью субъекта Российской Федерации не менее чем на 50 процентов) в которых составляет не менее 50 процентов);

г) организация - участник отбора должна обладать финансово-экономической устойчивостью, определяемой в соответствии с методикой оценки финансово-экономического состояния организации согласно приложению N 1 (не применяется в отношении научно-производственного объединения в сфере обеспечения технологического развития критической информационной инфраструктуры и в отношении организаций - участников отбора, доля участия субъекта Российской Федерации (либо организации, являющейся собственностью субъекта Российской Федерации не менее чем на 50 процентов) в которых составляет не менее 50 процентов);

д) с организацией - участником отбора за последние 3 года не было расторгнуто соглашение о предоставлении субсидии на цели, указанные в пункте 1 настоящих Правил, заключенное в рамках государственной программы, в одностороннем порядке Министерством промышленности и торговли Российской Федерации (за исключением случаев расторжения соглашения о предоставлении субсидии на цели, указанные в пункте 1 настоящих Правил, Министерством промышленности и торговли Российской Федерации в одностороннем порядке при реорганизации организации - участника отбора);

е) наличие документов, полученных от потенциальных потребителей (заказчиков, покупателей), о намерениях приобрести продукцию, которая будет создана и произведена в рамках комплексного проекта, в общем объеме не менее 0,3 значения результата предоставления субсидии, запланированного организацией - участником отбора в заявке на дату окончания срока реализации комплексного проекта.

16. Для участия в отборе организация - участник отбора представляет в Министерство промышленности и торговли Российской Федерации через государственную информационную систему в сроки и с соблюдением требований, указанных в объявлении о проведении отбора, следующие документы, подписанные усиленной квалифицированной электронной подписью лица, имеющего право действовать от имени организации - участника отбора:

а) заявка;

б) составленная в произвольной форме справка о соответствии организации - участника отбора требованиям, указанным в пункте 14 настоящих Правил, подписанная руководителем и главным бухгалтером (при наличии) организации - участника отбора;

в) составленная в произвольной форме справка о численности на дату подачи заявки в штате организации - участника отбора работников, имеющих документы о высшем образовании и о квалификации в области электронной и радиоэлектронной промышленности, подписанная руководителем организации - участника отбора;

г) составленная в произвольной форме справка об обеспеченности организации - участника отбора основным технологическим и испытательным оборудованием, правами на результаты интеллектуальной деятельности и лицензиями, необходимыми для реализации комплексного проекта и принадлежащими на праве собственности или на ином законном основании организации - участнику отбора, либо ее дочерним обществам, либо организациям, по отношению к которым она является дочерней, которые находятся на территории Российской Федерации, подписанная руководителем организации - участника отбора, с приложением копий подтверждающих документов (не применяется в отношении научно-производственного объединения в сфере обеспечения технологического развития критической информационной инфраструктуры и в отношении организаций - участников отбора, доля участия субъекта Российской Федерации (либо организации, являющейся собственностью субъекта Российской Федерации не менее чем на 50 процентов) в которых составляет не менее 50 процентов);

д) презентация комплексного проекта;

е) утвержденный руководителем бизнес-план комплексного проекта, включающий в себя в том числе следующие разделы:

краткая характеристика комплексного проекта, в том числе наименование, цель, актуальность и рыночная перспективность комплексного проекта, срок реализации, обоснование целесообразности его реализации для организации - участника отбора, текущая стадия реализации комплексного проекта, наименование с указанием соответствующих кодов Общероссийского классификатора продукции по видам экономической деятельности ОК 034-2014 (КПЕС 2008) и технические характеристики продукции, сравнение с аналогами, уникальность продукции, анализ полезности для потребителей с указанием целевой аудитории, примерной себестоимости, ее составляющих и модели получения выручки, с приложением справки о применении (неприменении при наличии технического обоснования) продукции, включенной в реестр российской радиоэлектронной продукции, при создании, производстве и коммерциализации продукции в рамках комплексного проекта;

основные задачи комплексного проекта, в том числе организационные, научно-технические, патентно-правовые, инфраструктурные, включая сырьевые, производственные и кадровые задачи, а также маркетинговая стратегия, система лицензирования (разрешительных процедур) в отношении технологии, выпуска продукции комплексного проекта, иных процедур с приложением плана-графика реализации комплексного проекта, определяющего сроки и результаты выполнения ключевых мероприятий, и технического задания на разработку продукции;

техническое обоснование комплексного проекта;

материальное обеспечение комплексного проекта;

маркетинговый анализ рынка создаваемой в рамках комплексного проекта продукции, включающий его описание, структуру, анализ конкурентов и прогноз изменения конъюнктуры российского и мирового рынков, анализ целевой аудитории и основных покупателей, сегменты рынка потребления и тенденции развития рынка продуктов, анализ рынка ключевого сырья для производства продукции, а также сезонность рынка и факторы, определяющие спрос на продукцию;

план-график реализации комплексного проекта, определяющий сроки и результаты достижения ключевых событий и характеристик предоставления субсидии (в рамках каждого периода реализации значения);

план-график финансового обеспечения реализации комплексного проекта;

анализ рисков комплексного проекта, включающий причины и вероятность возникновения рисков, а также степень влияния, возможный ущерб и меры по борьбе с технологическими, политическими, финансовыми, экономическими и социальными рисками;

ж) заверенные руководителем организации - участника отбора копии соглашений о намерениях с потенциальными потребителями и (или) заверенные руководителем организации - участника отбора копии писем, полученных от потенциальных потребителей (заказчиков, покупателей), о намерениях приобрести продукцию, которая будет создана и произведена в рамках комплексного проекта, в общем объеме не менее 0,3 значения результата предоставления субсидии, запланированного организацией - участником отбора в заявке на дату окончания срока реализации комплексного проекта;

з) заверенные руководителем организации - участника отбора копии гарантийных писем (и (или) подписанные и заверенные копии соглашений о намерениях) инвесторов (соинвесторов) и (или) кредитных организаций либо государственной корпорации развития "ВЭБ.РФ" о готовности предоставить финансовое обеспечение расходов, связанных с реализацией комплексного проекта, в случае необходимости привлечения кредитных средств для целей реализации комплексного проекта с указанием сведений об эффективности планируемых инвестиций в комплексный проект, подготовленных на основе результатов анализа бизнес-плана комплексного проекта (при наличии);

и) составленная в произвольной форме справка о наличии у организации - участника отбора и входящих в группу лиц (в том числе в технологические партнерства (холдинги) с организацией - участником отбора в соответствии с положениями статьи 9 Федерального закона "О защите конкуренции" организаций успешного опыта реализации проектов по созданию и производству продукции, а также о полученных в рамках этих комплексных проектов результатах интеллектуальной деятельности, охраняемых патентами или иными охранными документами и (или) охраняемых в качестве секретов производства (ноу-хау), подписанная руководителем организации - участника отбора (не применяется в отношении научно-производственного объединения в сфере обеспечения технологического развития критической информационной инфраструктуры и в отношении организаций - участников отбора, доля участия субъекта Российской Федерации (либо организации, являющейся собственностью субъекта Российской Федерации не менее чем на 50 процентов) в которых составляет не менее 50 процентов);

к) согласие на предоставление результатов интеллектуальной деятельности, полученных в рамках реализации комплексного проекта, организациям, включенным в реестр организаций, формируемый в соответствии с постановлением Правительства Российской Федерации от 31 декабря 2020 г. N 2392 "О реестре организаций, осуществляющих деятельность в сфере радиоэлектронной промышленности", и оказывающим услуги (выполняющим работы) по проектированию и разработке изделий электронной компонентной базы и электронной (радиоэлектронной) продукции;

л) сведения о согласии на публикацию (размещение) в сети "Интернет" информации об организации - участнике отбора, о подаваемой организацией - участником отбора заявке, иной информации об организации - участнике отбора, связанной с отбором;

м) письмо якорного заказчика о необходимости реализации комплексного проекта в рамках сквозного проекта с приложением копии решения общественного экспертного совета об одобрении сквозного проекта, в рамках которого планируется реализация комплексного проекта (при наличии).

17. Заявка подается в отношении одного комплексного проекта. Организация может единовременно представить заявки не более чем по 3 комплексным проектам, в том числе по комплексным проектам, реализация которых начата организацией - участником отбора за счет собственных и (или) заемных средств (не применяется в отношении научно-производственного объединения в сфере обеспечения технологического развития критической информационной инфраструктуры и в отношении организаций - участников отбора, доля участия субъекта Российской Федерации (либо организации, являющейся собственностью субъекта Российской Федерации не менее чем на 50 процентов) в которых составляет не менее 50 процентов).

18. Поступившим в соответствии с пунктом 16 настоящих Правил в Министерство промышленности и торговли Российской Федерации с использованием государственной информационной системы от организаций заявкам присваиваются регистрационные номера. Зарегистрированные заявки допускаются к отбору, состоящему из 3 этапов.

19. На первом этапе отбора в государственную информационную систему организацией - участником отбора представляется заявка в соответствии с пунктом 16 настоящих Правил и осуществляется конкурсной комиссией в сроки и в порядке, которые установлены в объявлении о проведении отбора, проверка соответствия организации - участника отбора положениям, предусмотренным пунктами 14, 15 и 17 настоящих Правил, заявки - сведениям, предусмотренным положениями пунктов 4 - 7 и 16 настоящих Правил, а также оценка в соответствии с методикой, указанной в подпункте "а" пункта 12 настоящих Правил. Для научно-производственного объединения в сфере обеспечения технологического развития критической информационной инфраструктуры и организаций, доля участия субъекта Российской Федерации (либо организации, являющейся собственностью субъекта Российской Федерации не менее чем на 50 процентов) в которых составляет не менее 50 процентов, указанная оценка не производится.

Заявка, поступившая в государственную информационную систему, не допускается ко второму этапу в следующих случаях:

несоответствие организации - участника отбора положениям, предусмотренным пунктами 14 и 15 настоящих Правил;

несоответствие содержания представленных организацией - участником отбора сведений и документов положениям, предусмотренным пунктами 4 - 7 и 16 настоящих Правил;

недостоверность представленной организацией - участником отбора информации (в том числе информации о местонахождении и об адресе юридического лица), а также несоответствие информации, представленной в заявке, информации в прилагаемых документах;

превышение в заявке количества комплексных проектов, предусмотренных пунктом 17 настоящих Правил;

отказ в предшествующие 3 года до даты подачи заявки организации - участника отбора от заключения соглашения о предоставлении субсидии;

подача организацией - участником отбора заявки после даты и (или) времени, определенных для подачи заявки.

Первый этап отбора завершается передачей в государственной информационной системе заявок членам экспертного совета, образуемого Министерством промышленности и торговли Российской Федерации (далее - экспертный совет).

На втором этапе отбора экспертный совет в срок, не превышающий 20 рабочих дней, следующих за днем получения заявок, проводит оценку бизнес-планов комплексных проектов в соответствии с методикой, указанной в подпункте "а" пункта 12 настоящих Правил, по следующим критериям:

рыночная перспективность - оценивается востребованность разрабатываемой в рамках комплексного проекта продукции на рынке, в том числе регулируемом, возможность ее применения в объектах критической информационной инфраструктуры, соответствие отраслевому плану импортозамещения, а также экспортный потенциал;

технологический суверенитет - осуществляется оценка технических характеристик продукции, новизна результатов интеллектуальной деятельности, применение отечественных решений в составе продукции комплексного проекта, наличие у организации - участника отбора научно-технического и технологического задела и его значимость для реализации комплексного проекта;

производственный потенциал - возможность локализации технологических операций, оценка производственных активов для создания и производства продукции комплексного проекта, применение продукции из единого реестра российской радиоэлектронной продукции в составе изделия;

финансово-экономическая эффективность - оценка финансово-экономической эффективности и заявленной стоимости комплексного проекта, а также финансового состояния (финансовой устойчивости) организации - участника отбора. Для научно-производственного объединения в сфере обеспечения технологического развития критической информационной инфраструктуры и в отношении организаций - участников отбора, доля участия субъекта Российской Федерации (либо организации, являющейся собственностью субъекта Российской Федерации не менее чем на 50 процентов) в которых составляет не менее 50 процентов, оценка финансово-экономической эффективности не производится.

20. По итогам оценки экспертным советом бизнес-планов комплексных проектов организация - участник отбора вправе скорректировать размер субсидии в документах, указанных в пункте 16 настоящих Правил, и в течение 3 рабочих дней направить скорректированный бизнес-план для оценки экспертным советом в соответствии с абзацем десятым пункта 19 настоящих Правил. Экспертный совет проводит оценку скорректированных бизнес-планов комплексных проектов в течение 3 рабочих дней с даты их поступления.

21. Заседания экспертного совета по рассмотрению каждого бизнес-плана комплексного проекта и его научно-технической и производственно-технологической составляющих, финансово-экономической эффективности создаваемой в рамках комплексного проекта продукции, основных характеристик комплексного проекта проводятся в очной форме или в форме видео-конференц-связи (в том числе с участием организаций - участников отбора). По итогам рассмотрения бизнес-планов комплексных проектов экспертный совет формирует и утверждает в государственной информационной системе или иным способом с последующим размещением в государственной информационной системе протокол экспертной оценки комплексных проектов, который содержит следующие сведения:

дата, время и место проведения рассмотрения бизнес-планов комплексных проектов;

информация об организациях - участниках отбора, бизнес-планы комплексных проектов которых были рассмотрены;

информация об организациях - участниках отбора, бизнес-планы комплексных проектов которых не прошли научно-техническую оценку;

информация об организациях - участниках отбора, бизнес-планы комплексных проектов которых прошли научно-техническую оценку;

заключение по каждому бизнес-плану комплексного проекта (далее - заключение).

Заключение должно содержать результаты научно-технической оценки каждого комплексного проекта, проведенной в соответствии с методикой, указанной в подпункте "а" пункта 12 настоящих Правил.

Подписанные заключения и протокол экспертной оценки комплексных проектов размещаются в государственной информационной системе в течение 3 рабочих дней, следующих за днем их утверждения.

На третьем этапе конкурсная комиссия:

в государственной информационной системе определяет в течение 10 рабочих дней со дня подписания протокола экспертной оценки комплексных проектов рейтинг заявок в соответствии с методикой определения рейтинга заявок согласно приложению N 2 по следующим критериям:

реализация комплексного проекта в рамках сквозного проекта, одобренного общественным экспертным советом, или реализация комплексного проекта научно-производственными объединениями;

объем производства и реализации продукции, создаваемой в рамках комплексного проекта;

количество вновь создаваемых и (или) модернизируемых высокотехнологичных рабочих мест в рамках реализации комплексного проекта;

количество создаваемых результатов интеллектуальной деятельности, охраняемых патентами или иными охранными документами и (или) охраняемых в качестве секретов производства (ноу-хау);

соотношение размера субсидии, запрашиваемой на реализацию комплексного проекта, и размера заемных и (или) собственных средств, планируемых к привлечению для реализации комплексного проекта;

объем экспорта продукции, создаваемой в рамках комплексного проекта, если организация - участник отбора планирует осуществлять экспорт в рамках реализации комплексного проекта;

место государственной регистрации организации - участника отбора (включая организации - участники отбора, местом нахождения которых являются Донецкая Народная Республика, Луганская Народная Республика, Запорожская область или Херсонская область);

в течение 3 рабочих дней, следующих за днем окончания определения рейтинга заявок в государственной информационной системе (иным способом с последующим размещением в государственной информационной системе), формируется протокол определения рейтинга заявок, который подписывается каждым присутствующим членом конкурсной комиссии усиленной квалифицированной электронной подписью и содержит следующие сведения:

дата, время и место проведения оценки и определения рейтинга заявок;

последовательность оценки заявок, присвоенные заявкам значения по каждому из предусмотренных критериев оценки, принятое на основании результатов оценки заявок решение о присвоении таким заявкам порядковых номеров.

22. Министерство промышленности и торговли Российской Федерации в течение 5 рабочих дней со дня подписания протокола определения рейтинга заявок размещает на официальных сайтах (с размещением указателя страницы сайта на едином портале бюджетной системы Российской Федерации в сети "Интернет") информацию о результатах рассмотрения заявок, включая следующие сведения:

дата, время и место проведения рассмотрения заявок;

дата, время и место проведения оценки и определения рейтинга заявок;

информация об организациях - участниках отбора, заявки которых были рассмотрены;

информация об организациях - участниках отбора, заявки которых были отклонены, с указанием причин их отклонения, в том числе положений настоящих Правил и объявления о проведении отбора, которым не соответствуют такие заявки;

последовательность оценки заявок, присвоенные заявкам значения по каждому из предусмотренных критериев оценки, принятое на основании результатов оценки заявок решение о присвоении таким заявкам порядковых номеров;

наименования организаций - получателей субсидий, с которыми заключаются соглашения о предоставлении субсидий, и размер предоставляемых им субсидий.

23. Не позднее 30 рабочих дней со дня подписания протокола определения рейтинга заявок в соответствии с пунктом 21 настоящих Правил Министерство промышленности и торговли Российской Федерации заключает соглашения о предоставлении субсидий на сроки реализации комплексных проектов в соответствии с бизнес-планами комплексных проектов согласно присвоенным в соответствии с пунктом 21 настоящих Правил порядковым номерам заявок (начиная с первого) до исчерпания лимитов бюджетных обязательств.

Для заключения соглашения о предоставлении субсидии и получения в рамках первого периода реализации комплексного проекта субсидии организация, прошедшая отбор, представляет в Министерство промышленности и торговли Российской Федерации через государственную информационную систему составленное в произвольной форме заявление, подписанное руководителем организации, с указанием суммы запрашиваемой субсидии, с приложением справки о соответствии организации - получателя субсидии требованиям, предусмотренным подпунктами "б" - "е" пункта 14 настоящих Правил.

Обязательства о предоставлении субсидии принимаются Министерством промышленности и торговли Российской Федерации на период доведенных до него лимитов бюджетных обязательств с возможностью пролонгации этих обязательств в случае доведения до него лимитов бюджетных обязательств на очередной финансовый год.

24. В случае отказа организации, прошедшей отбор, заключить соглашение о предоставлении субсидии или неподписания в течение 30 календарных дней в системе "Электронный бюджет" соглашения о предоставлении субсидии или в случае несоответствия организации, прошедшей отбор, требованиям, предусмотренным пунктом 14 настоящих Правил, Министерство промышленности и торговли Российской Федерации заключает соглашение о предоставлении субсидии с организацией, прошедшей отбор, порядковый номер заявки которой следует за порядковым номером заявки организации, которая отказалась от заключения соглашения о предоставлении субсидии, или не подписала в течение 30 календарных дней в системе "Электронный бюджет" соглашение о предоставлении субсидии, или не соответствует требованиям, предусмотренным пунктом 14 настоящих Правил.

25. Соглашение о предоставлении субсидии заключается в соответствии с типовой формой, утвержденной Министерством финансов Российской Федерации, в системе "Электронный бюджет" и предусматривает в том числе следующие положения:

а) общая стоимость комплексного проекта и максимальный размер субсидии на срок реализации комплексного проекта в соответствии с бизнес-планом комплексного проекта (в случае если срок создания продукции и подготовки серийного выпуска продукции превышает срок действия доведенных в установленном порядке до Министерства промышленности и торговли Российской Федерации лимитов бюджетных обязательств, решение о заключении соглашения о предоставлении субсидии (дополнительного соглашения о предоставлении субсидии) на срок, превышающий срок действия лимитов бюджетных обязательств, принимается в установленном порядке);

б) значения результата предоставления субсидии и характеристик предоставления субсидии в рамках реализации комплексного проекта;

в) план-график реализации комплексного проекта;

г) план-график финансового обеспечения реализации комплексного проекта;

д) согласие организации на проведение Министерством промышленности и торговли Российской Федерации с привлечением членов экспертного совета, а также работников государственных учреждений, находящихся в ведомственном подчинении Министерства промышленности и торговли Российской Федерации, в том числе на территории организации, проверок соблюдения организацией порядка и условий предоставления субсидии, которые установлены соглашением о предоставлении субсидии и настоящими Правилами, в том числе в части достижения результата предоставления субсидии, на проведение органами государственного финансового контроля проверок в соответствии со статьями 268.1 и 269.2 Бюджетного кодекса Российской Федерации, а также обязательство организации по включению в договоры, заключенные с иными лицами в целях исполнения обязательств по соглашению о предоставлении субсидии, положений о согласии таких лиц на проведение указанных проверок;

е) порядок пересмотра условий соглашения о предоставлении субсидии и согласования новых условий соглашения о предоставлении субсидии в случае уменьшения Министерству промышленности и торговли Российской Федерации ранее доведенных лимитов бюджетных обязательств, приводящего к невозможности предоставления субсидии в размере, определенном в соглашении о предоставлении субсидии;

ж) порядок и условия расторжения соглашения о предоставлении субсидии, в том числе расторжения соглашения о предоставлении субсидии в одностороннем порядке Министерством промышленности и торговли Российской Федерации в случае нарушения организацией условий и порядка предоставления субсидии, а также недостижения согласия по новым условиям предоставления субсидии, предложенным Министерством промышленности и торговли Российской Федерации в соответствии с подпунктом "е" настоящего пункта;

з) требование к ведению организацией раздельного учета затрат на реализацию комплексного проекта;

и) обязательство организации - получателя субсидии представить в срок, установленный в подпункте "а" пункта 30 настоящих Правил, отчет о достижении значений результатов предоставления субсидии и характеристик предоставления субсидии, отчет о расходах, источником финансового обеспечения которых является субсидия;

к) сроки и формы представления организацией - получателем субсидии дополнительной отчетности;

л) ответственность организации - получателя субсидии за несоблюдение порядка представления документов, а также форм и сроков представления отчетов, указанных в подпункте "и" настоящего пункта;

м) запрет приобретения организацией за счет полученных из федерального бюджета средств иностранной валюты, за исключением операций, осуществляемых организацией в соответствии с валютным законодательством Российской Федерации при закупке (поставке) высокотехнологичного импортного оборудования, технологической оснастки, результатов интеллектуальной деятельности, сырья и комплектующих изделий, и связанных с достижением результата предоставления этих средств иных операций, осуществляемых по определенным пунктом 8 настоящих Правил субсидируемым затратам, а также обязанность организации по распространению данного условия на иных юридических лиц и индивидуальных предпринимателей, получающих средства на основании договоров, заключенных с организацией;

н) запрет на размещение полученных из федерального бюджета средств субсидии на депозитных счетах в кредитных организациях или государственной корпорации развития "ВЭБ.РФ";

о) перечень затрат в соответствии с пунктом 8 настоящих Правил, на финансовое обеспечение которых предоставляется субсидия;

п) положения о казначейском сопровождении, установленные правилами казначейского сопровождения в соответствии с бюджетным законодательством Российской Федерации;

р) обязательство организации обеспечить включение продукции, созданной в рамках комплексного проекта, в единый реестр российской радиоэлектронной продукции, а также обязательство организации по приобретению продукции, включенной в единый реестр российской радиоэлектронной продукции, при создании, производстве и коммерциализации продукции в рамках комплексного проекта (если применимо);

с) условия, касающиеся результатов интеллектуальной деятельности, созданных в ходе реализации комплексного проекта, в том числе:

обязательность проведения патентных исследований лицом, обладающим соответствующими навыками и квалификацией, в том числе для выявления патентоспособных результатов интеллектуальной деятельности;

получение по итогам прикладных научных исследований и (или) экспериментальных разработок в рамках реализации комплексного проекта охраняемых результатов интеллектуальной деятельности;

оформление прав на охраноспособные результаты интеллектуальной деятельности, которые будут созданы при реализации комплексного проекта;

обеспечение правовой охраны и учета результатов интеллектуальной деятельности, созданных в рамках реализации комплексного проекта;

запрет на отчуждение результатов интеллектуальной деятельности в течение срока реализации комплексного проекта, а также разрешение на отчуждение за пределами срока реализации комплексного проекта с обязательной процедурой согласования данного отчуждения с Министерством промышленности и торговли Российской Федерации;

т) порядок и сроки опубликования организацией информации о комплексном проекте на официальном сайте организации в сети "Интернет", включающей:

наименование комплексного проекта и срок его реализации;

план мероприятий ("дорожную карту") реализации комплексного проекта с указанием основных технических характеристик разрабатываемой продукции, плана-графика реализации комплексного проекта, значения результата предоставления субсидии и характеристик предоставления субсидии;

информацию по привлекаемым поставщикам, исполнителям (подрядчикам), лицензиарам, а также лицензиатам по сублицензионным договорам;

у) обязательство организации - получателя субсидии по получению согласия сотрудников организации на обработку персональных данных указанных сотрудников в объеме, необходимом для предоставления документов, предусмотренных пунктом 30 настоящих Правил, и на проведение проверок в соответствии с подпунктом "д" настоящего пункта.

26. Для получения субсидии организация - получатель субсидии представляет в Министерство промышленности и торговли Российской Федерации не позднее 1 ноября календарного года, предшествующего году получения субсидии (в рамках первого периода реализации комплексного проекта - в течение 30 рабочих дней с даты заключения соглашения о предоставлении субсидии), следующие документы:

а) заявление о предоставлении субсидии с указанием ее размера, составленное в произвольной форме и подписанное руководителем организации;

б) справки о соответствии организации требованиям, указанным в подпунктах "б" - "е" пункта 14 настоящих Правил, подписанные руководителем и главным бухгалтером (при наличии) организации. Документы, предусмотренные настоящим подпунктом, представляются за исключением первого периода реализации комплексного проекта.

27. Министерство промышленности и торговли Российской Федерации рассматривает документы, представленные организациями в соответствии с пунктом 26 настоящих Правил, в порядке их поступления и обеспечивает проведение проверки полноты сведений, содержащихся в указанных документах, в течение 7 рабочих дней со дня их поступления.

28. Предоставление субсидий осуществляется главным распорядителем бюджетных средств в пределах лимитов бюджетных обязательств. В случае если лимитов бюджетных обязательств недостаточно для предоставления субсидии в текущем периоде реализации комплексного проекта в полном объеме, размер предоставляемой организации субсидии (РПСj) определяется по формуле:

,

где:

ЛБО - доведенные в установленном порядке до Министерства промышленности и торговли Российской Федерации лимиты бюджетных обязательств;

- размер предоставляемой субсидии в соответствии с заключенным соглашением о предоставлении субсидии для i-й организации;

- размер предоставляемой субсидии в соответствии с заключенным соглашением о предоставлении субсидии для j-й организации.

29. Субсидия предоставляется организации в соответствии с планом-графиком финансового обеспечения реализации комплексного проекта на финансовое обеспечение части затрат, указанных в пункте 8 настоящих Правил, в том числе финансовых затрат, обязательства по которым возникли не ранее 1 января года, в котором заключено соглашение о предоставлении субсидии, в пределах объемов затрат, предусмотренных бизнес-планом комплексного проекта, и максимального ежегодного размера субсидии, установленного пунктом 6 настоящих Правил.

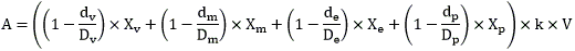
Расчет размера субсидии осуществляется согласно приложению N 3.

30. Для подтверждения реализации комплексного проекта в отчетном периоде в соответствии с условиями соглашения о предоставлении субсидии организация представляет в системе "Электронный бюджет" в Министерство промышленности и торговли Российской Федерации:

а) не позднее 25-го числа каждого месяца, следующего за истекшим календарным кварталом:

отчет о достижении значений результата предоставления субсидии и характеристик предоставления субсидии по форме, определенной типовой формой соглашения, утвержденной Министерством финансов Российской Федерации;

отчет о расходах, источником финансового обеспечения которых является субсидия, по форме, определенной типовой формой соглашения, утвержденной Министерством финансов Российской Федерации;

б) в сроки, установленные в соответствии с подпунктом "к" пункта 25 настоящих Правил:

отчет о выполнении условий предоставления субсидии и значений характеристик предоставления субсидии, подписанный руководителем организации, с приложением подтверждающих документов;

отчет об осуществлении расходов, источником финансового обеспечения которых является субсидия, подписанный руководителем и главным бухгалтером (уполномоченным лицом, на которое возложено ведение бухгалтерского учета) организации, с приложением подтверждающих документов, в том числе выписки со счетов бухгалтерского учета, на которых организация ведет раздельный учет затрат на реализацию комплексного проекта;

отчет о целевом использовании субсидии на реализацию комплексного проекта, подписанный руководителем и главным бухгалтером (уполномоченным лицом, на которое возложено ведение бухгалтерского учета) организации, с приложением подтверждающих документов, в том числе выписки со счетов бухгалтерского учета, на которых организация ведет раздельный учет затрат на реализацию комплексного проекта;

отчет о затратах на реализацию комплексного проекта, подписанный руководителем и главным бухгалтером (уполномоченным лицом, на которое возложено ведение бухгалтерского учета) организации, с приложением подтверждающих документов, в том числе выписки со счетов бухгалтерского учета, на которых организация ведет раздельный учет затрат на реализацию комплексного проекта;

отчет о создании продукции в рамках комплексного проекта, подписанный руководителем организации, с приложением подтверждающих документов (представляется только по завершении тех отчетных периодов, в которых предусмотрено производство опытных образцов и первой партии серийной (промышленной) продукции согласно плану-графику реализации комплексного проекта).

31. Министерство промышленности и торговли Российской Федерации рассматривает документы, представленные организациями в соответствии с пунктом 30 настоящих Правил, в порядке их поступления и обеспечивает проведение проверки полноты сведений, содержащихся в указанных документах, в течение 50 календарных дней со дня их поступления.

32. Сведения о проведенных в рамках реализации мероприятий комплексного проекта научно-исследовательских, опытно-конструкторских и технологических работах гражданского назначения направляются организацией в Министерство науки и высшего образования Российской Федерации в порядке, предусмотренном постановлением Правительства Российской Федерации от 12 апреля 2013 г. N 327 "О единой государственной информационной системе учета научно-исследовательских, опытно-конструкторских и технологических работ гражданского назначения".

33. Основаниями для отказа в предоставлении субсидии являются:

а) несоответствие представленных организацией - получателем субсидии документов требованиям, указанным в пунктах 26 и 30 настоящих Правил, начиная со второго периода реализации комплексного проекта, или непредставление (представление в неполном объеме) указанных документов;

б) установление факта недостоверности представленной организацией - получателем субсидии информации;

в) наличие у организации - получателя субсидии просроченной (неурегулированной) задолженности по денежным обязательствам перед Российской Федерацией;

г) фактическое отклонение результата предоставления субсидии и (или) каждой характеристики предоставления субсидии в рамках комплексного проекта, предусмотренных соглашением о предоставлении субсидии, более чем на 30 процентов от их плановых значений на конец отчетного периода (нарастающим итогом с начала реализации комплексного проекта);

д) фактическое отклонение результатов мероприятий (ключевых событий) плана-графика реализации комплексного проекта, предусмотренного соглашением о предоставлении субсидии, более чем на 30 процентов в отчетном периоде.

34. При наличии оснований, указанных в подпунктах "а" и "б" пункта 33 настоящих Правил, Министерство промышленности и торговли Российской Федерации не позднее срока предоставления субсидии в соответствии с планом-графиком финансового обеспечения реализации комплексного проекта направляет письмо организации - получателю субсидии с уведомлением о наличии оснований для отказа в предоставлении субсидии и запросом дополнительных документов и сведений с указанием сроков их представления. В случае удовлетворения организацией - получателем субсидии запроса и представления документов, соответствующих требованиям пунктов 26 и 30 настоящих Правил, в установленный срок Министерство промышленности и торговли Российской Федерации принимает решение о предоставлении субсидии в текущем периоде реализации комплексного проекта в течение 15 рабочих дней с даты получения ответа организации - получателя субсидии.

При наличии основания, указанного в подпункте "в" пункта 33 настоящих Правил, Министерство промышленности и торговли Российской Федерации не позднее срока предоставления субсидии в соответствии с планом-графиком финансового обеспечения реализации комплексного проекта направляет организации - получателю субсидии письмо с уведомлением о наличии основания для отказа в предоставлении субсидии. В случае погашения организацией - получателем субсидии просроченной (неурегулированной) задолженности по денежным обязательствам перед Российской Федерацией и направления официального уведомления в Министерство промышленности и торговли Российской Федерации Министерство промышленности и торговли Российской Федерации принимает решение о предоставлении субсидии организации - получателю субсидии в текущем периоде реализации комплексного проекта в течение 15 рабочих дней с даты получения уведомления.

При наличии оснований, указанных в подпунктах "г" и "д" пункта 33 настоящих Правил, Министерство промышленности и торговли Российской Федерации не позднее срока предоставления субсидии в соответствии с планом-графиком финансового обеспечения реализации комплексного проекта направляет организации - получателю субсидии официальное письмо с уведомлением о наличии оснований для отказа в предоставлении субсидии в очередном периоде реализации. Если организация - получатель субсидии устранила выявленные основания для отказа в предоставлении субсидии в установленные в уведомлении сроки, Министерство промышленности и торговли Российской Федерации принимает решение о предоставлении субсидии организации - получателю субсидии в текущем периоде реализации комплексного проекта в течение 15 рабочих дней с даты проведения проверки.

В случае неустранения организацией - получателем субсидии выявленных оснований для отказа в предоставления субсидии, указанных в подпунктах "г" и "д" пункта 33 настоящих Правил, Министерство промышленности и торговли Российской Федерации вправе принять решение о расторжении соглашения о предоставлении субсидии, в том числе в одностороннем порядке, либо о реализации комплексного проекта организацией - получателем субсидии в течение периода реализации комплексного проекта за счет собственных и (или) заемных средств с возможностью предоставления субсидии в следующем периоде реализации комплексного проекта в случае устранения отклонений, указанных в подпунктах "г" и "д" пункта 33 настоящих Правил (при наличии согласия организации - получателя субсидии). Решение о расторжении соглашения о предоставлении субсидии, в том числе в одностороннем порядке, принимается Министерством промышленности и торговли Российской Федерации в течение 20 рабочих дней с даты выявления оснований для отказа в предоставления субсидии, указанных в подпунктах "г" и "д" пункта 33 настоящих Правил, и отказа организации - получателя субсидии от их устранения.

35. Перечисление субсидии осуществляется на казначейский счет для осуществления и отражения операций с денежными средствами участников казначейского сопровождения, открытый в территориальном органе Федерального казначейства, не позднее 2-го рабочего дня после представления организацией - получателем субсидии в территориальный орган Федерального казначейства распоряжений о совершении казначейских платежей для оплаты денежного обязательства организации - получателя субсидии.

Информация о размерах и сроках перечисления субсидий учитывается Министерством промышленности и торговли Российской Федерации при формировании прогноза кассовых выплат из федерального бюджета, необходимого для составления в установленном порядке кассового плана исполнения федерального бюджета.

36. Министерство промышленности и торговли Российской Федерации проводит проверки соблюдения организациями - получателями субсидий порядка и условий предоставления субсидий, в том числе в части достижения результата предоставления субсидий. Органы государственного финансового контроля проводят проверки в соответствии со статьями 268.1 и 269.2 Бюджетного кодекса Российской Федерации.

Министерство промышленности и торговли Российской Федерации проводит мониторинг достижения результата предоставления субсидии исходя из достижения значений результата предоставления субсидии, определенных соглашением о предоставлении субсидии, и событий, отражающих факт завершения соответствующего мероприятия по получению результата предоставления субсидии (контрольная точка), в порядке и по формам, которые установлены Министерством финансов Российской Федерации.

В целях оценки достижения организациями - получателями субсидии результата предоставления субсидии и значений характеристик предоставления субсидии отчеты организаций - получателей субсидии, представляемые в соответствии с подпунктами "а" и "б" пункта 30 настоящих Правил, направляются Министерством промышленности и торговли Российской Федерации в государственные учреждения, уполномоченные решением Министерства промышленности и торговли Российской Федерации на организацию проведения отраслевой экспертизы и находящиеся в ведомственном подчинении Министерства промышленности и торговли Российской Федерации.

37. Основаниями для расторжения соглашения о предоставлении субсидии, в том числе в одностороннем порядке Министерством промышленности и торговли Российской Федерации, являются:

а) фактическое недостижение значений результата предоставления субсидии и всех характеристик предоставления субсидии в рамках комплексного проекта, предусмотренных соглашением о предоставлении субсидии, более чем на 50 процентов их плановых значений в течение 2 периодов реализации комплексного проекта подряд (нарастающим итогом с начала реализации комплексного проекта);

б) фактическое невыполнение ключевых мероприятий плана-графика реализации комплексного проекта, предусмотренного соглашением о предоставлении субсидии, более чем на 50 процентов в течение 2 периодов реализации комплексного проекта подряд (нарастающим итогом с начала реализации комплексного проекта);

в) непредставление отчета о достижении значений результата предоставления субсидии и характеристик предоставления субсидии, и отчета о расходах, источником финансового обеспечения которых является субсидия, и (или) отчета о выполнении условий предоставления субсидии и значений характеристик предоставления субсидии, и (или) отчета о целевом использовании субсидии на реализацию комплексного проекта, и (или) отчета о затратах на реализацию комплексного проекта в течение 6 месяцев с даты, установленной в соглашении о предоставлении субсидии;

г) неиспользование средств субсидии в соответствии с планом-графиком финансового обеспечения реализации комплексного проекта в течение 2 периодов реализации комплексного проекта подряд;

д) выявление в ходе проведения проверок, в том числе на территории организации - получателя субсидии, фактов нарушения условий и порядка предоставления субсидии, а также несоответствия фактического статуса реализации комплексного проекта сведениям, представляемым организацией - получателем субсидии в отчете о достижении значений результата предоставления субсидии и характеристик предоставления субсидии, и (или) несоответствия представленных организацией - получателем субсидии документов, относящихся к комплексному проекту и создаваемой в рамках этого проекта продукции, условиям соглашения о предоставлении субсидии и документам, представленным в соответствии с пунктом 30 настоящих Правил.

38. К организации - получателю субсидии применяются штрафы, размер которых рассчитывается согласно приложению N 4, в следующих случаях (штрафные санкции уплачиваются в доход федерального бюджета в порядке, установленном бюджетным законодательством Российской Федерации, в течение 10 рабочих дней с даты получения соответствующего требования Министерства промышленности и торговли Российской Федерации):

а) по итогам реализации комплексного проекта значение результата предоставления субсидии или хотя бы одной из характеристик предоставления субсидии, указанной в соглашении о предоставлении субсидии, составляет менее 90 процентов планового значения, определенного соглашением о предоставлении субсидии, и не достигнуто в течение одного календарного года с даты завершения комплексного проекта;

б) на дату окончания отчетного периода, в котором принято решение о расторжении соглашения о предоставлении субсидии, в том числе в одностороннем порядке Министерством промышленности и торговли Российской Федерации в соответствии с пунктом 37 настоящих Правил, значение результата предоставления субсидии или хотя бы одной из характеристик предоставления субсидии, указанной в соглашении о предоставлении субсидии, составляет менее 90 процентов планового значения, определенного соглашением о предоставлении субсидии. В случае расторжения соглашения о предоставлении субсидии по причине наступления обстоятельств, указанных в пункте 42 настоящих Правил и приведших к невозможности реализации комплексного проекта, штрафы не применяются;

в) по итогам реализации комплексного проекта организация - получатель субсидии не привлекла заемные и (или) собственные средства на реализацию комплексного проекта в размере, установленном в пункте 7 настоящих Правил;

г) в отчетном периоде организация - получатель субсидии представила отчетные документы (хотя бы один отчет из указанных в пункте 30 настоящих Правил), в том числе не в полном объеме, с нарушением срока, установленного в пункте 30 настоящих Правил.

39. В случае нарушения организацией - получателем субсидии условий, установленных при предоставлении субсидии, выявленного в том числе по итогам проверок, проведенных Министерством промышленности и торговли Российской Федерации и органом государственного финансового контроля, а также в случае недостижения результата предоставления субсидии соответствующие средства в размере выявленных нарушений подлежат возврату в доход федерального бюджета в порядке, установленном бюджетным законодательством Российской Федерации, на основании:

а) соответствующего требования Министерства промышленности и торговли Российской Федерации - в течение 10 рабочих дней со дня получения организацией - получателем субсидии указанного требования;

б) представления и (или) предписания органа государственного финансового контроля - в сроки, установленные в соответствии с бюджетным законодательством Российской Федерации.

40. Организация - получатель субсидии не более 2 раз в календарный год вправе обратиться в Министерство промышленности и торговли Российской Федерации с мотивированным заявлением о внесении изменений в значения результата предоставления субсидии и характеристик предоставления субсидии, в план-график реализации комплексного проекта и в перечень создаваемой продукции, в том числе ее технических характеристик (при условии сохранения (достижения) результата предоставления субсидии) (далее - заявление о внесении изменений), в следующих случаях:

а) введение торговых и экономических санкций в отношении российских юридических и (или) физических лиц, оказывающих влияние на реализацию комплексного проекта;

б) изменение валютных курсов более чем на 30 процентов с фиксацией измененного курса в течение не менее 6 месяцев, предшествующих дате подачи заявления о внесении изменений;

в) изменение стоимости высокотехнологичного импортного оборудования, технологической оснастки, результатов интеллектуальной деятельности, сырья, комплектующих изделий и услуг, необходимых для реализации комплексного проекта, на мировых рынках в рублевом эквиваленте более чем на 30 процентов с фиксацией измененной стоимости в течение не менее 6 месяцев, предшествующих дате подачи заявления о внесении изменений;

г) применение Правительством Российской Федерации мер, ограничивающих закупку высокотехнологичного импортного оборудования, технологической оснастки, результатов интеллектуальной деятельности, сырья, комплектующих изделий и услуг, указанных в бизнес-плане комплексного проекта и оказывающих влияние на сроки реализации мероприятий плана-графика реализации комплексного проекта и достижение характеристик предоставления субсидии;

д) возникновение в ходе реализации комплексного проекта факторов технологического, техногенного, эпидемиологического характера и иных ограничений и запретов, связанных с деятельностью организации - получателя субсидии, оказывающих влияние на сроки реализации мероприятий плана-графика реализации комплексного проекта и достижение характеристик предоставления субсидии;

е) полная или частичная невозможность достижения показателя по объему экспорта продукции, созданной в рамках реализации комплексного проекта (в случае, если такой показатель был заявлен организацией - получателем субсидии), при наступлении случаев, указанных в подпунктах "а" - "д" настоящего пункта. При этом показатель по объему экспорта продукции, созданной в рамках реализации комплексного проекта, может быть уменьшен при условии сохранения (достижения) результата предоставления субсидии.

41. В случае наступления одного или нескольких событий, указанных в пункте 40 настоящих Правил, организация - получатель субсидии направляет в Министерство промышленности и торговли Российской Федерации заявление о внесении изменений, подписанное руководителем организации - получателя субсидии, с приложением документов, свидетельствующих о наступлении указанных событий, расчетов, обосновывающих степень влияния наступивших событий на результат предоставления субсидии и характеристики предоставления субсидии, указанные в соглашении о предоставлении субсидии, а также предложения о внесении изменений в план-график реализации комплексного проекта. Указанное заявление должно быть направлено организацией - получателем субсидии в адрес Министерства промышленности и торговли Российской Федерации не позднее чем за 30 рабочих дней до конца отчетного периода, в котором планируется внесение изменений.

После получения заявления о внесении изменений Министерство промышленности и торговли Российской Федерации в течение 3 рабочих дней передает его экспертному совету. Экспертный совет в течение 20 рабочих дней после получения заявления о внесении изменений проводит оценку документов, указанных в абзаце первом настоящего пункта, принимает решение о целесообразности или нецелесообразности внесения изменений в соглашение о предоставлении субсидии, оформляемое протоколом заседания экспертного совета в государственной информационной системе промышленности или иным способом, с последующим размещением в государственной информационной системе промышленности.

В случае принятия экспертным советом решения о целесообразности внесения изменений в соглашение о предоставлении субсидии экспертный совет принимает решение о возможности (невозможности) внесения изменений в соглашение о предоставлении субсидии, при этом уточнения указанных в соглашении о предоставлении субсидии результата предоставления субсидии и характеристик предоставления субсидии в рамках отдельных периодов реализации комплексного проекта вносятся при условии сохранения итоговых значений результата предоставления субсидии и характеристик предоставления субсидии на конец реализации комплексного проекта, а изменения в план-график реализации комплексного проекта - при условии сохранения срока его реализации.

В случае отказа организации - получателя субсидии заключить дополнительное соглашение о предоставлении субсидии либо неподписания организацией - получателем субсидии в течение 30 календарных дней с даты размещения в системе "Электронный бюджет" дополнительного соглашения о предоставлении субсидии заявление о внесении изменений, направленное в соответствии с пунктом 40 настоящих Правил, считается рассмотренным, а организация - получатель субсидии - отказавшейся от внесения изменений в соглашение о предоставлении субсидии.

42. Стороны вправе пересмотреть сроки реализации комплексного проекта (на срок до 18 месяцев) при условии сохранения значения планового результата предоставления субсидии, установленного в соглашении о предоставлении субсидии, в следующих случаях:

а) сокращение лимитов бюджетных обязательств;

б) увеличение сроков поставки электронных компонентов, технологического оборудования, сырья, неисключительных лицензий, а также обеспечения технической поддержки лицензий, необходимых для разработки и производства продукции в рамках реализации комплексного проекта;

в) изменение законодательства Российской Федерации, влияющее на сроки выполнения мероприятий комплексного проекта;

г) невозможность изготовления на зарубежных фабриках применяемых в комплексном проекте изделий микроэлектроники, задержки в поставке сырья, повлекшие за собой изменение сроков реализации комплексного проекта. В этом случае срок реализации комплексного проекта продлевается на срок, необходимый для организации выпуска таких изделий на альтернативных производствах, либо на период перепроектирования конечных модулей и аппаратуры с применением доступных изделий микроэлектроники, организации поиска альтернативных поставщиков сырья.

43. В случае изменения срока реализации комплексного проекта в соответствии с пунктом 40 и (или) 42 настоящих Правил штрафные санкции к организации не применяются.

Приложение N 1
к Правилам предоставления
из федерального бюджета субсидий
российским организациям на финансовое
обеспечение части затрат на создание
электронной компонентной базы и модулей

МЕТОДИКА ОЦЕНКИ ФИНАНСОВО-ЭКОНОМИЧЕСКОГО СОСТОЯНИЯ ОРГАНИЗАЦИИ

1. Понятия, используемые в настоящей методике, означают следующее:

"комплексный проект" - комплекс взаимосвязанных мероприятий по созданию продукции, ограниченный по времени и ресурсам, включающий:

выполнение на территории Российской Федерации научно-исследовательских, опытно-конструкторских и технологических работ по созданию продукции;

организацию серийного выпуска продукции, в том числе создание инфраструктуры;

последующую коммерциализацию произведенной продукции;

"организация" - юридическое лицо, образованное в соответствии с законодательством Российской Федерации, информация о котором размещена в открытом доступе в государственной информационной системе промышленности;

"продукция" - электронные компоненты и (или) модули на их основе, технологии производства продукции с техническими и технологическими характеристиками, заявленными организацией в составе заявки на участие в отборе на право получения из федерального бюджета субсидий российскими организациями на финансовое обеспечение части затрат на создание электронной компонентной базы и модулей в рамках федерального проекта "Прикладные исследования, разработка и внедрение электронной продукции" государственной программы Российской Федерации "Развитие электронной и радиоэлектронной промышленности" (далее соответственно - отбор, заявка, субсидия).

2. Настоящая методика устанавливает порядок проведения оценки финансово-экономического состояния организации, которая подает заявку.

3. Оценка финансово-экономического состояния организации проводится на основании бухгалтерской отчетности (формы ОКУД 0710001, 0710002, 0710004) не менее чем за 3 последних года ведения хозяйственной деятельности.

4. Оценка финансово-экономического состояния организации оценивается баллами на основе значения интегрального показателя финансово-экономического состояния организации, определяемого на основе следующих показателей:

а) коэффициент финансовой зависимости - характеризует структуру капитала организации и оценивает степень зависимости организации от кредиторов и определяется как отношение суммы долгосрочных обязательств (код строки 1400 формы по ОКУД 0710001) и краткосрочных обязательств (код строки 1500 формы по ОКУД 0710001) за вычетом доходов будущих периодов, образованных за счет целевого финансирования (средства субсидии; коды строк 1450 и 1530 формы по ОКУД 0710001), к сумме оборотных активов (код строки 1200 формы по ОКУД 0710001) и внеоборотных активов (код строки 1100 формы по ОКУД 0710001) за вычетом оборотных и внеоборотных активов, сформированных за счет средств целевого финансирования (средства субсидии; в разрезе кодов строк 1100 и 1200 формы по ОКУД 0710001), по состоянию на конец года, предшествующего году подачи заявки, в соответствии со следующей формулой <1>:

<1> Бухгалтерский баланс - форма по ОКУД 0710001.

;

б) коэффициент абсолютной ликвидности - характеризует уровень платежеспособности и возможности погашения текущих обязательств организации и определяется как отношение оборотных активов (код строки 1200 формы по ОКУД 0710001) к краткосрочным обязательствам (код строки 1500 формы по ОКУД 0710001) за вычетом доходов будущих периодов, образованных за счет целевого финансирования (код строки 1530 формы по ОКУД 0710001), по состоянию на конец года, предшествующего году подачи заявки, в соответствии со следующей формулой <1>:

;

в) чистые активы - характеризует общую финансово-экономическую эффективность деятельности организации и определяется как значение строки 3600 формы по ОКУД 0710001 по состоянию на конец года, предшествующего году подачи заявки <2>;

<2> Отчет об изменениях капитала - форма по ОКУД 0710004.

г) среднегодовой темп прироста выручки (код строки 2110 формы по ОКУД 0710001) за последние 3 календарных года - характеризует динамику развития организации и определяется по формуле <3>:

<3> Отчет о финансовых результатах - форма по ОКУД 0710002.

,

д) рентабельность продаж по валовой прибыли - характеризует эффективность используемых ресурсов и прибыльность продаж при ведении финансово-хозяйственной деятельности организации и определяется как отношение валовой прибыли (код строки 2100 формы по ОКУД 0710001) к выручке (код строки 2110 формы по ОКУД 0710001) за год, предшествующий году подачи заявки, в соответствии со следующей формулой:

;

е) отношение планируемого объема выручки (объема производства и реализации продукции, создаваемой в рамках комплексного проекта, за срок реализации комплексного проекта без учета налога на добавленную стоимость) по комплексному проекту к среднегодовому объему выручки (код строки 2110 формы по ОКУД 0710001) <3> организации за предыдущие 3 календарных года - характеризует соответствие объема планируемой в рамках комплексного проекта реализации продукции масштабу деятельности организации и определяется по формуле:

;

ж) коэффициент обеспеченности собственных инвестиций в комплексный проект - характеризует способность организации обеспечить требуемый объем собственных инвестиций в комплексный проект и определяется как отношение планируемого объема собственных инвестиций в комплексный проект к сумме оборотных активов (код строки 1200 формы по ОКУД 0710001) и внеоборотных активов (код строки 1100 формы по ОКУД 07100010710001) за вычетом оборотных и внеоборотных активов, сформированных за счет средств целевого финансирования (средства субсидии; в разрезе кодов строк 1100 и 1200 формы по ОКУД 0710001), по состоянию на конец года, предшествующего году подачи заявки, в соответствии со следующей формулой <1>:

.

5. Интегральная оценка финансово-экономического состояния организации оценивается весовым коэффициентом (ИОС), который рассчитывается по формуле:

,

где:

i - количество показателей, равное 7;

- вес показателя, равный:

для показателя "коэффициент финансовой зависимости" - 10 процентов;

для показателя "коэффициент абсолютной ликвидности" - 10 процентов;

для показателя "чистые активы" - 10 процентов;

для показателя "среднегодовой темп прироста выручки за последние 3 календарных года" - 10 процентов;

для показателя "рентабельность продаж по валовой прибыли" - 15 процентов;

для показателя "отношение планируемого объема выручки (объема производства и реализации продукции, создаваемой в рамках комплексного проекта, за срок реализации комплексного проекта) по комплексному проекту к среднегодовому объему выручки организации за предыдущие 3 календарных года" - 20 процентов;

для показателя "коэффициент обеспеченности собственных инвестиций в комплексный проект" - 25 процентов;

- балл показателя, равный:

для значений показателя "коэффициент финансовой зависимости":

больше 0,7 - 0 баллов;

больше 0,5, но не больше 0,7 - 1 балл;

не более 0,5 - 2 балла;

для значений показателя "коэффициент абсолютной ликвидности":

не больше 1 - 0 баллов;

не меньше 2 - 1 балл;

больше 1, но меньше 2 - 2 балла;

для значений показателя "чистые активы":

не больше 0 - 0 баллов;

больше 0 - 2 балла;

для значений показателя "среднегодовой темп прироста выручки за последние 3 календарных года":

не больше 0 - 0 баллов;

больше 0, но не больше 3,9 процента - 1 балл;

больше 3,9 процента - 2 балла;

для значений показателя "рентабельность продаж по валовой прибыли":

не больше 0 - 0 баллов;

больше 8 процентов, но не больше 30 процентов - 1 балл;

больше 30 процентов - 2 балла;

для значений показателя "отношение планируемого объема выручки (объема производства и реализации продукции, создаваемой в рамках комплексного проекта, за срок реализации комплексного проекта) по комплексному проекту к среднегодовому объему выручки организации за предыдущие 3 календарных года":

больше 8 - 0 баллов;

больше 1, но не больше 8 - 1 балл;

не больше 1 - 2 балла;

для значений показателя "коэффициент обеспеченности собственных инвестиций в комплексный проект":

больше 0,7 - 0 баллов;

больше 0,3, но не больше 0,7 - 1 балл;

не больше 0,3 - 2 балла;

- коэффициент приведения, равный 50.

6. Значение интегрального показателя финансово-экономического состояния организации 50 и больше свидетельствует о финансово-экономической устойчивости организации, а также является основанием для принятия решения конкурсной комиссией, образуемой Министерством промышленности и торговли Российской Федерации в целях определения победителей отбора, о допуске организации ко второму этапу отбора, предусмотренному положениями пункта 19 Правил предоставления из федерального бюджета субсидий российским организациям на финансовое обеспечение части затрат на создание электронной компонентной базы и модулей, утвержденных постановлением Правительства Российской Федерации от 24 июля 2021 г. N 1252 "Об утверждении Правил предоставления из федерального бюджета субсидий российским организациям на финансовое обеспечение части затрат на создание электронной компонентной базы и модулей".

Приложение N 2
к Правилам предоставления
из федерального бюджета субсидий
российским организациям на финансовое
обеспечение части затрат на создание
электронной компонентной базы и модулей

МЕТОДИКА ОПРЕДЕЛЕНИЯ РЕЙТИНГА ЗАЯВОК, ПРЕДСТАВЛЕННЫХ РОССИЙСКИМИ ОРГАНИЗАЦИЯМИ НА УЧАСТИЕ В ОТБОРЕ НА ПРАВО ПОЛУЧЕНИЯ ИЗ ФЕДЕРАЛЬНОГО БЮДЖЕТА СУБСИДИЙ НА ФИНАНСОВОЕ ОБЕСПЕЧЕНИЕ ЧАСТИ ЗАТРАТ НА СОЗДАНИЕ ЭЛЕКТРОННОЙ КОМПОНЕНТНОЙ БАЗЫ И МОДУЛЕЙ

1. Понятия, используемые в настоящей методике, означают следующее:

"высокотехнологичное рабочее место" - рабочее место, созданное или модернизированное организацией в рамках реализации комплексного проекта и соответствующее следующим критериям:

оснащение рабочего места технологическим оборудованием, и (или) специализированными средствами проектирования, и (или) высокопроизводительными системами вычислений;

наличие трудовых отношений с работником, занятым на рабочем месте и имеющим профильное образование и соответствующую квалификацию;

стоимость создания нового рабочего места или модернизации существующего рабочего места составляет не менее 0,5 млн. рублей;

заработная плата работника, занятого на рабочем месте, превышает величину средней заработной платы в соответствующем субъекте Российской Федерации согласно данным Федеральной службы государственной статистики за предыдущий финансовый год;

"комплексный проект" - комплекс взаимосвязанных мероприятий по созданию продукции, ограниченный по времени и ресурсам, включающий:

выполнение на территории Российской Федерации научно-исследовательских, опытно-конструкторских и технологических работ по созданию продукции;

организацию серийного выпуска продукции, в том числе создание инфраструктуры;

последующую коммерциализацию произведенной продукции;

"научно-производственное объединение в сфере обеспечения технологического развития критической информационной инфраструктуры" - научно-производственное объединение, специализирующееся на разработке, производстве, технической поддержке и сервисном обслуживании доверенных программно-аппаратных комплексов для критической информационной инфраструктуры, определенное распоряжением Правительства Российской Федерации от 29 марта 2023 г. N 757-р;

"организация" - юридическое лицо, образованное в соответствии с законодательством Российской Федерации, информация о котором размещена в открытом доступе в государственной информационной системе промышленности;

"продукция" - электронные компоненты и (или) модули на их основе, технологии производства продукции с техническими и технологическими характеристиками, заявленными организацией в составе заявки на участие в отборе на право получения из федерального бюджета субсидий российскими организациями на финансовое обеспечение части затрат на создание электронной компонентной базы и модулей в рамках федерального проекта "Прикладные исследования, разработка и внедрение электронной продукции" государственной программы Российской Федерации "Развитие электронной и радиоэлектронной промышленности" (далее соответственно - отбор, заявка, субсидия);

"сквозной проект" - комплекс взаимоувязанных мероприятий, направленных на внедрение программно-аппаратных комплексов или систем интеллектуального управления, включающий в том числе организацию производства продукции, проведение научно-исследовательских и опытно-конструкторских работ по разработке радиоэлектронной продукции, создание встроенного программного обеспечения, адаптацию существующего программного обеспечения, а также мероприятий, связанных с выводом продукции на рынок с гарантированным объемом ее потребления, превышающим сумму затрат на реализацию указанных мероприятий, и возможностью применения продукции различными потребителями, в том числе в других отраслях экономики, одобренный общественным экспертным советом по использованию электроники в отраслях экономики при президиуме Правительственной комиссии по цифровому развитию, использованию информационных технологий для улучшения качества жизни и условий ведения предпринимательской деятельности (далее - общественный экспертный совет).

2. Настоящая методика устанавливает порядок определения рейтинга заявок на основании критериев, предусмотренных пунктом 21 Правил предоставления из федерального бюджета субсидий российским организациям на финансовое обеспечение части затрат на создание электронной компонентной базы и модулей, утвержденных постановлением Правительства Российской Федерации от 24 июля 2021 г. N 1252 "Об утверждении Правил предоставления из федерального бюджета субсидий российским организациям на финансовое обеспечение части затрат на создание электронной компонентной базы и модулей".

3. Рейтинг заявки организации на участие в отборе () определяется по формуле:

,

где:

- рейтинг, присуждаемый i-й заявке по критерию, касающемуся включения комплексного проекта в состав сквозного проекта, одобренного общественным экспертным советом, или комплексных проектов научно-производственного объединения в сфере обеспечения технологического развития критической информационной инфраструктуры, или комплексных проектов организаций, доля участия субъекта Российской Федерации (либо организации, являющейся собственностью субъекта Российской Федерации не менее чем на 50 процентов) в которых составляет не менее 50 процентов;

- рейтинг, присуждаемый i-й заявке по критерию, касающемуся объема производства и реализации продукции, создаваемой в рамках комплексного проекта;

- удельный вес рейтинга, присуждаемого i-й заявке по критерию, касающемуся объема производства и реализации продукции, создаваемой в рамках комплексного проекта, значимость которого составляет 40 процентов;

- рейтинг, присуждаемый i-й заявке по критерию, касающемуся количества вновь создаваемых и (или) модернизируемых высокотехнологичных рабочих мест в рамках реализации комплексного проекта;

- удельный вес рейтинга, присуждаемого i-й заявке по критерию, касающемуся количества вновь создаваемых и (или) модернизируемых высокотехнологичных рабочих мест в рамках реализации комплексного проекта, значимость которого составляет 15 процентов;

- рейтинг, присуждаемый i-й заявке по критерию, касающемуся количества создаваемых результатов интеллектуальной деятельности, охраняемых патентами или иными охранными документами и (или) охраняемых в качестве секретов производства (ноу-хау), в рамках комплексного проекта;

- удельный вес рейтинга, присуждаемый i-й заявке по критерию, касающемуся количества создаваемых результатов интеллектуальной деятельности, охраняемых патентами или иными охранными документами и (или) охраняемых в качестве секретов производства (ноу-хау), в рамках комплексного проекта, значимость которого составляет 20 процентов;

- рейтинг, присуждаемый i-й заявке по критерию, касающемуся соотношения размера субсидии, запрашиваемой на реализацию комплексного проекта, и размера заемных и (или) собственных средств, планируемых к привлечению для реализации комплексного проекта;

- удельный вес рейтинга, присуждаемый i-й заявке по критерию, касающемуся соотношения размера субсидии, запрашиваемой на реализацию комплексного проекта, и размера заемных и (или) собственных средств, планируемых к привлечению для реализации комплексного проекта, значимость которого составляет 10 процентов;

- рейтинг, присуждаемый i-й заявке по критерию, касающемуся объема экспорта продукции, создаваемой в рамках комплексного проекта, если организация планирует осуществлять экспорт в рамках реализации комплексного проекта;

- удельный вес рейтинга, присуждаемого i-й заявке по критерию, касающемуся объема экспорта продукции, создаваемой в рамках комплексного проекта, значимость которого составляет 10 процентов, если организация планирует осуществлять экспорт в рамках реализации комплексного проекта;

- рейтинг, присуждаемый i-й заявке по критерию, касающемуся места государственной регистрации организации, представившей i-ю заявку;

- удельный вес рейтинга, присуждаемого i-й заявке по критерию, касающемуся места государственной регистрации организации, представившей i-ю заявку, значимость которого составляет 5 процентов.

4. Рейтинг, присуждаемый i-й заявке по критерию, касающемуся включения комплексного проекта в состав сквозного проекта, одобренного общественным экспертным советом (Rni), определяется равным 1,2 в случае включения комплексного проекта в состав сквозного проекта, одобренного общественным экспертным советом. Для научно-производственного объединения в сфере обеспечения технологического развития критической информационной инфраструктуры и организаций, доля участия субъекта Российской Федерации (либо организации, являющейся собственностью субъекта Российской Федерации не менее чем на 50 процентов) в которых составляет не менее 50 процентов, указанный рейтинг принимается равным 1,2. В остальных случаях указанный рейтинг принимается равным 1.

5. Рейтинг, присуждаемый i-й заявке по критерию, касающемуся объема производства и реализации продукции, создаваемой в рамках комплексного проекта (), определяется по формуле:

,

где:

- предложение i-й организации - участника отбора об объеме производства и реализации продукции, создаваемой в рамках комплексного проекта (рублей);

- минимальный объем производства и реализации продукции, создаваемой в рамках комплексного проекта, установленный в объявлении о проведении отбора (рублей);

- максимальный объем производства и реализации продукции, создаваемой в рамках комплексного проекта, заявленный одной из организаций - участников отбора (рублей).

6. Рейтинг, присуждаемый i-й заявке по критерию, касающемуся количества вновь создаваемых и (или) модернизируемых высокотехнологичных рабочих мест в рамках реализации комплексного проекта (), определяется по формуле:

,

где:

- предложение i-й организации - участника отбора по количеству вновь создаваемых и (или) модернизируемых высокотехнологичных рабочих мест (штук);

- минимальное количество вновь создаваемых и (или) модернизируемых высокотехнологичных рабочих мест, установленное в объявлении о проведении отбора (штук);

- максимальное количество вновь создаваемых и (или) модернизируемых высокотехнологичных рабочих мест, заявленное одной из организаций - участников отбора (штук).

7. Рейтинг, присуждаемый i-й заявке по критерию, касающемуся количества создаваемых результатов интеллектуальной деятельности, охраняемых патентами или иными охранными документами и (или) охраняемых в качестве секретов производства (ноу-хау), в рамках комплексного проекта (), определяется по формуле:

,

где:

- предложение i-й организации - участника отбора о количестве создаваемых результатов интеллектуальной деятельности, охраняемых патентами или иными охранными документами и (или) охраняемых в качестве секретов производства (ноу-хау), в рамках комплексного проекта;

- максимальное количество создаваемых результатов интеллектуальной деятельности, охраняемых патентами или иными охранными документами и (или) охраняемых в качестве секретов производства (ноу-хау), в рамках комплексного проекта, заявленное одной из организаций - участников отбора.

8. Рейтинг, присуждаемый i-й заявке по критерию, касающемуся соотношения размера субсидии, запрашиваемой на реализацию комплексного проекта, и размера заемных и (или) собственных средств, планируемых к привлечению для реализации комплексного проекта (), определяется по формуле:

где:

- начальный (максимальный) размер соотношения размера субсидии, запрашиваемой на реализацию комплексного проекта, и размера заемных и (или) собственных средств, планируемых к привлечению для реализации комплексного проекта;

- предложение i-й организации - участника отбора по соотношению размера субсидии, запрашиваемой на реализацию комплексного проекта, и размера заемных и (или) собственных средств, планируемых к привлечению для реализации комплексного проекта.

9. Рейтинг, присуждаемый i-й заявке по критерию, касающемуся объема экспорта продукции, создаваемой в рамках комплексного проекта, если организация планирует осуществлять экспорт в рамках реализации комплексного проекта (), определяется по формуле:

,

где:

- предложение i-й организации - участника отбора по объему экспорта продукции (долларов США);

- наибольший объем экспорта продукции, заявленный одной из организаций - участников отбора (долларов США).

10. Рейтинг, присуждаемый i-й заявке по критерию, касающемуся места государственной регистрации организации, представившей i-ю заявку (), определяется равным 100 в случае государственной регистрации организации, представившей i-ю заявку, на территории субъекта Дальневосточного федерального округа, а также в случае, если местом нахождения организации являются Донецкая Народная Республика, Луганская Народная Республика, Запорожская область или Херсонская область. В остальных случаях указанный рейтинг принимается равным 0.

Приложение N 3
к Правилам предоставления
из федерального бюджета субсидий
российским организациям на финансовое
обеспечение части затрат на создание
электронной компонентной базы и модулей

РАСЧЕТ РАЗМЕРА СУБСИДИИ, ПРЕДОСТАВЛЯЕМОЙ ИЗ ФЕДЕРАЛЬНОГО БЮДЖЕТА РОССИЙСКИМ ОРГАНИЗАЦИЯМ НА ФИНАНСОВОЕ ОБЕСПЕЧЕНИЕ ЧАСТИ ЗАТРАТ НА СОЗДАНИЕ ЭЛЕКТРОННОЙ КОМПОНЕНТНОЙ БАЗЫ И МОДУЛЕЙ

1. Понятия, используемые в настоящем документе, означают следующее:

"высокотехнологичное рабочее место" - рабочее место, созданное или модернизированное организацией в рамках реализации комплексного проекта и соответствующее следующим критериям:

оснащение рабочего места технологическим оборудованием, и (или) специализированными средствами проектирования, и (или) высокопроизводительными системами вычислений;

наличие трудовых отношений с работником, занятым на рабочем месте и имеющим профильное образование и соответствующую квалификацию;

стоимость создания нового рабочего места или модернизации существующего рабочего места составляет не менее 0,5 млн. рублей;

заработная плата работника, занятого на рабочем месте, превышает величину средней заработной платы в соответствующем субъекте Российской Федерации согласно данным Федеральной службы государственной статистики за предыдущий финансовый год;

"комплексный проект" - комплекс взаимосвязанных мероприятий по созданию продукции, ограниченный по времени и ресурсам, включающий:

выполнение на территории Российской Федерации научно-исследовательских, опытно-конструкторских и технологических работ по созданию продукции;

организацию серийного выпуска продукции, в том числе создание инфраструктуры;

последующую коммерциализацию произведенной продукции;

"научно-технический задел" - совокупность знаний, технических и технологических решений, с использованием которых возможна разработка продукции или способов ее производства;

"организация" - юридическое лицо, образованное в соответствии с законодательством Российской Федерации, информация о котором размещена в открытом доступе в государственной информационной системе промышленности;

"отчетный период" - каждый период реализации комплексного проекта, по результатам которого организация обязана представить в Министерство промышленности и торговли Российской Федерации отчеты в соответствии с пунктом 30 Правил предоставления из федерального бюджета субсидий российским организациям на финансовое обеспечение части затрат на создание электронной компонентной базы и модулей, утвержденных постановлением Правительства Российской Федерации от 24 июля 2021 г. N 1252 "Об утверждении Правил предоставления из федерального бюджета субсидий российским организациям на финансовое обеспечение части затрат на создание электронной компонентной базы и модулей";

"период реализации комплексного проекта" - период реализации комплексного проекта в соответствии с планом-графиком финансового обеспечения реализации комплексного проекта за счет средств субсидии, предоставляемой из федерального бюджета организациям на финансовое обеспечение части затрат на создание электронной компонентной базы и модулей в рамках федерального проекта "Прикладные исследования, разработка и внедрение электронной продукции" государственной программы Российской Федерации "Развитие электронной и радиоэлектронной промышленности" (далее - субсидия), а также собственных и заемных средств организации;

"продукция" - электронные компоненты и (или) модули на их основе, технологии производства продукции с техническими и технологическими характеристиками, заявленными организацией в составе заявки на участие в отборе на право получения субсидии.

2. Размер предоставляемой субсидии (P) определяется по формуле:

,

в которой:

размер субсидии, предоставляемой за период реализации комплексного проекта с 1 октября по 31 декабря (), определяется по формуле:

,

где:

- расходы на оплату труда работников, непосредственно занятых реализацией комплексного проекта, а также расходы на обязательное пенсионное страхование, обязательное социальное страхование на случай временной нетрудоспособности и в связи с материнством, обязательное медицинское страхование, обязательное социальное страхование от несчастных случаев на производстве и профессиональных заболеваний, начисленные на указанные суммы расходов на оплату труда;

- накладные расходы в размере не более 150 процентов суммы расходов на оплату труда работников, непосредственно занятых реализацией комплексного проекта;

- расходы по договорам на выполнение научно-исследовательских, опытно-конструкторских и технологических работ в размере не более 50 процентов общей стоимости комплексного проекта;

- расходы на приобретение у российских и (или) иностранных организаций прав на результаты интеллектуальной деятельности, в том числе исключительные и неисключительные лицензии, а также на техническую поддержку этих прав и лицензий;

- расходы на обеспечение правовой охраны созданных в ходе выполнения научно-исследовательских, опытно-конструкторских и технологических работ результатов интеллектуальной деятельности (в том числе патентование), в том числе за рубежом;

- расходы на изготовление фотошаблонов и технологической оснастки в российских и (или) иностранных организациях, а также на монтаж, наладку и иные мероприятия по их подготовке в целях организации серийного выпуска продукции;

- расходы на аренду (финансовую аренду (лизинг) российского и (или) импортного технологического оборудования (как нового, так и бывшего в употреблении) в размере, не превышающем 50 процентов общего объема таких затрат организации;

- расходы на изготовление опытных образцов, в том числе их тестирование, упаковку, транспортировку и оплату применимых таможенных пошлин и сборов, а также на изготовление макетов и стендов, включая расходы на приобретение материалов и покупных комплектующих изделий;

- расходы на изготовление первой партии серийной продукции и ее тестирование, сертификацию и (или) регистрацию, проведение испытаний, а также на упаковку, транспортировку и оплату применимых таможенных пошлин и сборов в размере не более 50 процентов общего объема таких затрат организации;

- расходы на приобретение лицензий на системы автоматического проектирования, услуги центров коллективного пользования, предоставляющих доступ к системам автоматизированного проектирования;

- расходы на оснащение и обслуживание вновь создаваемых и (или) модернизируемых в рамках реализации комплексного проекта высокотехнологичных рабочих мест, необходимых для создания научно-технического задела, в размере не более 70 процентов размера субсидии в отчетном периоде;

размер субсидии, предоставляемой за период реализации комплексного проекта с 1 января по 30 сентября (), определяется по формуле:

,

где:

- расходы на оплату труда работников, непосредственно занятых реализацией комплексного проекта, а также расходы на обязательное пенсионное страхование, обязательное социальное страхование на случай временной нетрудоспособности и в связи с материнством, обязательное медицинское страхование, обязательное социальное страхование от несчастных случаев на производстве и профессиональных заболеваний, начисленные на указанные суммы расходов на оплату труда;

- накладные расходы в размере не более 150 процентов суммы расходов на оплату труда работников, непосредственно занятых реализацией комплексного проекта;

- расходы по договорам на выполнение научно-исследовательских, опытно-конструкторских и технологических работ в размере не более 50 процентов общей стоимости комплексного проекта;

- расходы на приобретение у российских и (или) иностранных организаций прав на результаты интеллектуальной деятельности, в том числе исключительные и неисключительные лицензии, а также на техническую поддержку этих прав и лицензий;

- расходы на обеспечение правовой охраны созданных в ходе выполнения научно-исследовательских, опытно-конструкторских и технологических работ результатов интеллектуальной деятельности (в том числе патентование), в том числе за рубежом;

- расходы на изготовление фотошаблонов и технологической оснастки в российских и (или) иностранных организациях, а также на монтаж, наладку и иные мероприятия по их подготовке в целях организации серийного выпуска продукции;

- расходы на аренду (финансовую аренду (лизинг) российского и (или) импортного технологического оборудования (как нового, так и бывшего в употреблении) в размере, не превышающем 50 процентов общего объема таких затрат организации;

- расходы на изготовление опытных образцов, в том числе их тестирование, упаковку, транспортировку и оплату применимых таможенных пошлин и сборов, а также на изготовление макетов и стендов, включая расходы на приобретение материалов и покупных комплектующих изделий;

- расходы на изготовление первой партии серийной продукции и ее тестирование, сертификацию и (или) регистрацию, проведение испытаний, а также на упаковку, транспортировку и оплату применимых таможенных пошлин и сборов в размере не более 50 процентов общего объема таких затрат организации;

- расходы на приобретение лицензий на системы автоматического проектирования, услуги центров коллективного пользования, предоставляющие доступ к системам автоматизированного проектирования;

- расходы на оснащение и обслуживание вновь создаваемых и (или) модернизируемых в рамках реализации комплексного проекта высокотехнологичных рабочих мест, необходимых для создания научно-технического задела, в размере не более 70 процентов размера субсидии в отчетном периоде.

Приложение N 4
к Правилам предоставления
из федерального бюджета субсидий
российским организациям на финансовое
обеспечение части затрат на создание
электронной компонентной базы и модулей

РАСЧЕТ РАЗМЕРА ШТРАФОВ, ПРИМЕНЯЕМЫХ К РОССИЙСКИМ ОРГАНИЗАЦИЯМ, ПОЛУЧИВШИМ ИЗ ФЕДЕРАЛЬНОГО БЮДЖЕТА СУБСИДИИ НА ФИНАНСОВОЕ ОБЕСПЕЧЕНИЕ ЧАСТИ ЗАТРАТ НА СОЗДАНИЕ ЭЛЕКТРОННОЙ КОМПОНЕНТНОЙ БАЗЫ И МОДУЛЕЙ

1. Понятия, используемые в настоящем документе, означают следующее:

"высокотехнологичное рабочее место" - рабочее место, созданное или модернизированное организацией в рамках реализации комплексного проекта и соответствующее следующим критериям:

оснащение рабочего места технологическим оборудованием, и (или) специализированными средствами проектирования, и (или) высокопроизводительными системами вычислений;

наличие трудовых отношений с работником, занятым на рабочем месте и имеющим профильное образование и соответствующую квалификацию;

стоимость создания нового рабочего места или модернизации существующего рабочего места составляет не менее 0,5 млн. рублей;

заработная плата работника, занятого на рабочем месте, превышает величину средней заработной платы в соответствующем субъекте Российской Федерации согласно данным Федеральной службы государственной статистики за предыдущий финансовый год;

"комплексный проект" - комплекс взаимосвязанных мероприятий по созданию продукции, ограниченный по времени и ресурсам, включающий:

выполнение на территории Российской Федерации научно-исследовательских, опытно-конструкторских и технологических работ по созданию продукции;

организацию серийного выпуска продукции, в том числе создание инфраструктуры;

последующую коммерциализацию произведенной продукции;

"организация" - юридическое лицо, образованное в соответствии с законодательством Российской Федерации, информация о котором размещена в открытом доступе в государственной информационной системе промышленности.

2. Размер штрафа (A) (тыс. рублей), применяемого к организации в соответствии с подпунктами "а" и "б" пункта 38 Правил предоставления из федерального бюджета субсидий российским организациям на финансовое обеспечение части затрат на создание электронной компонентной базы и модулей, утвержденных постановлением Правительства Российской Федерации от 24 июля 2021 г. N 1252 "Об утверждении Правил предоставления из федерального бюджета субсидий российским организациям на финансовое обеспечение части затрат на создание электронной компонентной базы и модулей" (далее - Правила), определяется по формуле:

,

где:

- достигнутое значение результата предоставления субсидии, предоставляемой из федерального бюджета организациям на финансовое обеспечение части затрат на создание электронной компонентной базы и модулей (далее - субсидия) "Объем производства и реализации продукции, которая будет разработана и произведена (в том числе произведена производителем) в рамках комплексного проекта и (или) реализации результатов интеллектуальной деятельности, полученных в рамках реализации комплексного проекта" (рублей);

- достигнутая характеристика для достижения результата предоставления субсидии и характеристик (показателей, необходимых для достижения результата предоставления субсидии) (далее - характеристика предоставления субсидии) "Количество вновь создаваемых и (или) модернизируемых высокотехнологичных рабочих мест" (единиц);

- достигнутая характеристика предоставления субсидии "Объем экспорта продукции, созданной в рамках реализации комплексного проекта" (долларов США), если организация планировала осуществлять экспорт в рамках реализации комплексного проекта;

- достигнутая характеристика предоставления субсидии "Количество создаваемых результатов интеллектуальной деятельности, охраняемых патентами или иными охранными документами и (или) охраняемых в качестве секретов производства (ноу-хау)" (единиц).

Достигнутые характеристики предоставления субсидии учитываются на день окончания срока реализации комплексного проекта;

- плановое значение результата предоставления субсидии "Объем производства и реализации продукции, которая будет разработана и произведена (в том числе произведена производителем) в рамках комплексного проекта и (или) реализации результатов интеллектуальной деятельности, полученных в рамках реализации комплексного проекта" (рублей), указанное в соглашении о предоставлении субсидии;

- плановая характеристика предоставления субсидии "Количество вновь создаваемых и (или) модернизируемых высокотехнологичных рабочих мест" (единиц), указанная в соглашении о предоставлении субсидии;

- плановая характеристика предоставления субсидии "Объем экспорта продукции, созданной в рамках реализации комплексного проекта" (долларов США), указанная в соглашении о предоставлении субсидии, если организация планировала осуществлять экспорт в рамках реализации комплексного проекта;

- плановая характеристика предоставления субсидии "Количество создаваемых результатов интеллектуальной деятельности, охраняемых патентами или иными охранными документами и (или) охраняемых в качестве секретов производства (ноу-хау)" (единиц), указанная в соглашении о предоставлении субсидии.

В случае если достигнутая характеристика предоставления субсидии (, , ) превышает плановое значение этого показателя (, , ), отношение достигнутой характеристики предоставления субсидии к плановому значению характеристики считается равным 1;

В случае если достигнутое значение результата предоставления субсидии (dv) превышает плановое значение данного результата (Dv), отношение достигнутого значения результата предоставления субсидии к плановому значению результата считается равным 1;

- удельный вес результата предоставления субсидии "Объем производства и реализации продукции, которая будет разработана и произведена (в том числе произведена производителем) в рамках комплексного проекта и (или) реализации результатов интеллектуальной деятельности, полученных в рамках реализации комплексного проекта" (рублей), значимость которого составляет 45 процентов;

- удельный вес характеристики предоставления субсидии "Количество вновь создаваемых и (или) модернизируемых высокотехнологичных рабочих мест" (единиц), значимость которого составляет 20 процентов;

- удельный вес характеристики предоставления субсидии "Объем экспорта продукции, созданной в рамках реализации комплексного проекта" (долларов США), значимость которого составляет 15 процентов, если организация планировала осуществлять экспорт в рамках реализации комплексного проекта;

- удельный вес характеристики предоставления субсидии "Количество создаваемых результатов интеллектуальной деятельности, охраняемых патентами или иными охранными документами и (или) охраняемых в качестве секретов производства (ноу-хау)" (единиц), значимость которого составляет 20 процентов;

k - коэффициент, учитывающий средний размер ключевой ставки, устанавливаемой Центральным банком Российской Федерации, расчет которого осуществляется по формуле:

,

где:

S - количество лет со дня заключения организацией соглашения о предоставлении субсидии (дробное значение с округлением до 10-й доли при наличии неполных лет);

r - средний размер ключевой ставки, устанавливаемой Центральным банком Российской Федерации, рассчитываемый по формуле:

,

где:

n - количество периодов реализации, в которых действовали различные уровни ключевой ставки Центрального банка Российской Федерации;

- количество календарных дней действия i-й ключевой ставки Центрального банка Российской Федерации (в пределах периода реализации со дня заключения организацией соглашения о предоставлении субсидии);

- значения уровней ключевой ставки Центрального банка Российской Федерации;

t - суммарное количество календарных дней со дня заключения организацией соглашения о предоставлении субсидии;

V - размер средств субсидии, использованный организацией в рамках реализации комплексного проекта на день завершения срока реализации комплексного проекта или на день окончания периода реализации, в котором принято решение о расторжении соглашения о предоставлении субсидии, в том числе о его расторжении в одностороннем порядке Министерством промышленности и торговли Российской Федерации в соответствии с пунктом 37 Правил (тыс. рублей).

Размер штрафа пропорционален степени недостижения результата предоставления субсидии и характеристик предоставления субсидии в рамках федерального проекта "Прикладные исследования, разработка и внедрение электронной продукции" государственной программы Российской Федерации "Развитие электронной и радиоэлектронной промышленности", указанного в соглашении о предоставлении субсидии.

3. Размер штрафа, применяемого к организации в соответствии с подпунктом "в" пункта 38 Правил, равен размеру заемных и (или) собственных средств, которые организация не привлекла на реализацию комплексного проекта в соответствии с планом-графиком финансового обеспечения реализации комплексного проекта, установленного соглашением о предоставлении субсидии.

4. Размер штрафа, применяемого к организации в соответствии с подпунктом "г" пункта 38 Правил, составляет 0,1 процента размера субсидии, предоставленной организации на реализацию комплексного проекта в отчетном периоде, в котором допущено нарушение, за каждый календарный день просрочки.".