Положение о порядке проведения Центральным банком Российской Федерации депозитных операций с банками - резидентами в валюте Российской Федерации

(утв. ЦБ РФ 13.01.99 N 67-П)
Редакция от 07.03.2001 — Документ утратил силу, см. «Указание ЦБ РФ от 02.06.2003 N 1287-У»
Показать изменения

ЦЕНТРАЛЬНЫЙ БАНК РОССИЙСКОЙ ФЕДЕРАЦИИ

13 января 1999 г. N 67-П

ПОЛОЖЕНИЕ
О ПОРЯДКЕ ПРОВЕДЕНИЯ ЦЕНТРАЛЬНЫМ БАНКОМ РОССИЙСКОЙ ФЕДЕРАЦИИ ДЕПОЗИТНЫХ ОПЕРАЦИЙ С БАНКАМИ - РЕЗИДЕНТАМИ В ВАЛЮТЕ РОССИЙСКОЙ ФЕДЕРАЦИИ

(в ред. Указаний ЦБ РФ от 02.02.99 N 494-У, от 08.02.99 N 498-У, от 26.11.99 N 686-У, от 27.12.99 N 714-У, от 11.01.2001 N 899-У, от 07.03.2001 N 931-У)

1. Общие положения

1.1. Настоящее Положение определяет порядок проведения Центральным банком Российской Федерации операций по привлечению денежных средств банков - резидентов в валюте Российской Федерации в депозиты, открываемые в Банке России (далее - "депозитные операции").

Банк России проводит депозитные операции в соответствии со ст. 4, 45 Федерального закона "О Центральном банке Российской Федерации (Банке России)".

Цель проводимых операций - регулирование ликвидности (изъятие излишней ликвидности) банковской системы путем привлечения в депозиты денежных средств банков.

1.2. Банк России осуществляет следующие виды депозитных операций:

1.2.1. Проведение депозитных аукционов;

1.2.2. Проведение депозитных операций по фиксированной процентной ставке;

1.2.3. Прием в депозит средств банков, заключивших с Банком России Генеральное соглашение о проведении депозитных операций в валюте Российской Федерации с использованием системы "Рейтерс - дилинг" (далее - "Генеральное соглашение");

1.2.4. Прием в депозит средств банков на основе отдельного соглашения, определяющего условия депозита.

1.3. Участниками депозитных операций являются Центральный банк Российской Федерации (его уполномоченные учреждения / подразделения), с одной стороны, и банки - резиденты Российской Федерации - с другой стороны.

Под уполномоченными учреждениями Банка России применительно к настоящему Положению понимаются территориальные учреждения Банка России и их расчетные подразделения (ГРКЦ, РКЦ). Уполномоченные подразделения Банка России назначаются распорядительным документом Банка России.

Банк России вправе выбирать банки - контрагенты, с которыми он осуществляет депозитные операции, указанные в п. 1.2 настоящего Положения.

Банки, с которыми Банк России вправе осуществлять депозитные операции, должны отвечать следующим критериям:

- должны быть отнесены не ниже чем к 3-й классификационной группе (в соответствии с требованиями соответствующих нормативных актов Банка России);

- выполнять обязательные резервные требования Банка России (не иметь недовзноса в обязательные резервы, неуплаченных штрафов за нарушение порядка резервирования, не иметь случаев непредставления расчета регулирования размера обязательных резервов в установленный срок и (или) представления расчета с нарушением установленного срока);

- не иметь просроченной задолженности по кредитам Банка России и процентам по ним и (или) других просроченных денежных обязательств перед Банком России.

Банки, с которыми Банк России заключает Генеральные соглашения, должны отвечать вышеуказанным критериям на последние три отчетные даты / в течение последних 90 календарных дней. Банки, которые допускаются к участию в депозитных аукционах, в депозитных операциях по фиксированной процентной ставке, в депозитных операциях с использованием системы "Рейтерс - дилинг", должны отвечать вышеуказанным критериям на последнюю отчетную дату / в течение последних 30 календарных дней.

Банки, с которыми Банк России заключает Генеральные соглашения или которые допускаются к участию в депозитных аукционах, в депозитных операциях по фиксированной процентной ставке, должны иметь заключенное с Банком России Дополнительное(ые) соглашение(я) к Договору(ам) корреспондентского счета (корреспондентского(их) субсчета(ов)) банка о предоставлении Банку России права на взыскание с корреспондентского счета (корреспондентского(их) субсчета(ов)) банка без распоряжения банка - владельца счета суммы штрафа за неисполнение банком обязательств по депозитной операции на основании инкассового поручения в порядке очередности, установленной законодательством.

Банк России не осуществляет депозитных операций с банками, перешедшими под управление Государственной корпорации "Агентство по реструктуризации кредитных организаций" (далее - Агентство), с момента (даты) перехода банка под управление Агентства. (в ред. Указания ЦБ РФ от 11.01.2001 N 899-У)

1.4. Дата и способ проведения депозитных аукционов и депозитных операций по фиксированной процентной ставке определяются Банком России. Депозитные аукционы / депозитные операции по фиксированной процентной ставке оформляются двусторонним Договором - Заявкой на участие в депозитном аукционе Центрального банка Российской Федерации / на размещение в Центральном банке Российской Федерации депозита по фиксированной процентной ставке (далее - "Договор - Заявка"), содержащим основные условия размещения денежных средств банка в депозит, открываемый в Банке России.

Договор - Заявка должен быть подписан должностными лицами банка, подписи которых соответствуют образцам подписей, представленным в карточке образцов подписей / копии карточки образцов подписей, находящейся в уполномоченном учреждении / подразделении Банка России. Договоры - Заявки, оформленные в установленном порядке и подписанные со стороны Банка России уполномоченными должностными лицами уполномоченного учреждения / подразделения Банка России и со стороны банка - должностными лицами банка, приобретают силу договора между Банком России и банком.

Депозитные операции с использованием системы "Рейтерс - дилинг" проводятся Банком России на стандартных условиях, установленных настоящим Положением и Генеральным соглашением.

Прием в депозит средств банков на основе отдельного соглашения, определяющего условия депозита, осуществляется уполномоченными учреждениями / подразделениями Банка России по решению Банка России. (в ред. Указания ЦБ РФ от 26.11.99 N 686-У)

1.5. Проценты по депозитам, открытым в Банке России, начисляются по формуле простых процентов за период фактического срока (включая установленные федеральными законами выходные и праздничные дни, а также выходные дни, перенесенные на рабочие дни по решению Правительства Российской Федерации) привлечения средств (до дня (даты) возврата депозита включительно), исходя из количества календарных дней в году (365 или 366 дней соответственно). Проценты начисляются на входящие остатки средств по отдельным лицевым счетам по учету депозитов, открытым в Банке России, в разрезе каждой заключенной депозитной операции. День (дата) перечисления банком средств в депозит, открываемый в Банке России, не учитывается при расчете суммы процентов по депозиту. Если дни периода начисления процентов по депозиту, открытому в Банке России, приходятся на календарные годы с различным количеством дней (365 и 366 дней соответственно), то начисление процентов за дни, приходящиеся на календарный год с количеством дней 365, производится из расчета 365 календарных дней в году, а за дни, приходящиеся на календарный год с количеством дней 366, производится из расчета 366 календарных дней в году.

Уплата процентов по депозитам, открытым в Банке России, производится одновременно с возвратом банку сумму депозита. (в ред. Указаний ЦБ РФ от 26.11.99 N 686-У, от 11.01.2001 N 899-У)

1.6. День (дата) перечисления и возврата суммы депозита, а также уплаты процентов по депозиту устанавливаются Договором - Заявкой для депозитов, привлеченных по итогам аукциона либо по фиксированной процентной ставке, или документом, подтверждающим заключение депозитной операции в ходе переговоров Банка России и банка - контрагента по системе "Рейтерс - дилинг" (далее - "Документарное подтверждение переговоров") - для депозитов, привлеченных с использованием системы "Рейтерс - дилинг".

По депозитным операциям, по которым срок привлекаемого Банком России депозита кратен 1 месяцу, возврат Банком России суммы депозита и уплата процентов по депозиту (т.е. дата окончания депозита) наступает в такую же по значению дату, что и дата поступления (перечисления) средств на счет по учету депозитов (если дата окончания депозита приходится на нерабочий день - в следующий за ним рабочий день). При этом по месячным депозитам, по которым дата поступления (перечисления) средств приходится на последний рабочий день месяца, действует правило "конца месяца", т.е. датой возврата Банком России суммы депозита и уплаты процентов (датой окончания депозита) будет являться последний рабочий день соответствующего месяца. (в ред. Указаний ЦБ РФ от 26.11.99 N 686-У, от 11.01.2001 N 899-У)

1.7. Перечисление средств в депозит, открываемый в Банке России, производится платежным поручением банка на списание средств со своего корреспондентского счета, открытого в подразделении расчетной сети Банка России, на отдельный лицевой счет по учету депозита, открытый в уполномоченном подразделении расчетной сети Банка России.

1.8. Досрочное изъятие банком средств, размещенных в депозит в Банке России, не допускается.

1.9. Уступка права требования денежных средств, размещенных в депозит в Банке России, не допускается.

1.10. Депозиты, открытые в Банке России, пролонгации не подлежат.

1.11. Вся информация об участии конкретного банка в депозитных операциях является конфиденциальной.

1.12. При вынесении уполномоченным государственным органом в течение срока депозитной операции, заключенной между Банком России и банком, постановления (определения) об аресте денежных средств банка, находящихся на счете по учету депозита, открытом в уполномоченном учреждении / подразделении Банка России, указанные средства в период действия ареста не подлежат возврату на корреспондентский счет банка / корреспондентский субсчет банка, открытый его московскому филиалу, открытый в подразделении расчетной сети Банка России.

По окончании срока депозитной операции арестованная сумма депозита продолжает храниться на счете по учету депозита, открытом в уполномоченном учреждении / подразделении Банка России, до поступления распоряжения уполномоченного государственного органа о снятии ареста или о перечислении суммы депозита на указанный им счет. При этом проценты на денежные средства, хранящиеся на счете по учету депозита после окончания срока депозитной операции, уполномоченным учреждением / подразделением Банка России не начисляются.

По окончании срока депозитной операции проценты, начисленные по депозиту, подлежат уплате на корреспондентский счет банка в сроки, установленные Договором - Заявкой (для депозитов, привлеченных по итогам аукциона либо по фиксированной ставке), или на корреспондентский счет банка / корреспондентский субсчет банка, открытый его московскому филиалу в сроки, установленные Документарным подтверждением переговоров (для депозитов, привлеченных с использованием системы "Рейтерс - дилинг"). (в ред. Указаний ЦБ РФ от 26.11.99 N 686-У, от 11.01.2001 N 899-У)

2. Проведение Банком России депозитного аукциона

2.1. Депозитные аукционы проводятся Банком России (место их проведения - город Москва) как процентный конкурс Договоров - Заявок банков на участие в депозитном аукционе Центрального банка Российской Федерации (по форме Приложения 1 к настоящему Положению) с назначением Банком России максимальной начальной процентной ставки.

При принятии решения о проведении депозитного аукциона Банк России публикует официальное сообщение в "Вестнике Банка России", в котором указывается:

2.1.1. Способ проведения аукциона;

2.1.2. Перечень уполномоченных учреждений Банка России тех регионов, с банками которых проводится аукцион;

2.1.3. Дата перечисления средств в депозит, открываемый в Банке России;

2.1.4. Дата возврата суммы депозита и уплаты процентов банкам;

2.1.5. Минимальная сумма, принимаемая Банком России в депозит (в целых рублях);

2.1.6. Максимальная начальная процентная ставка по депозиту (в процентах годовых);

2.1.7. Наименование уполномоченного учреждения / подразделения Банка России, осуществляющего прием Договоров - Заявок банков. При приеме Договоров - Заявок уполномоченным подразделением Банка России в официальном сообщении также указывается адрес, по которому производится прием Договоров - Заявок, номер контактного телефона, номер факса.

2.2. Договоры - Заявки банков, принятые к аукциону, ранжируются по величине предложенной банками процентной ставки, начиная с минимальной, вплоть до уровня, признаваемого Банком России в качестве ставки отсечения. При этом количество принимаемых к депозитному аукциону Договоров - Заявок одного банка, в которых указаны одинаковые суммы депозита и (или) одинаковые процентные ставки, ограничивается одним Договором - Заявкой.

Окончательное решение о ставке отсечения и (или) объеме средств, привлекаемых в депозиты, принимается Банком России после анализа поступивших Договоров - Заявок банков. При этом сложившаяся по результатам аукциона ставка отсечения может не совпадать по величине с максимальной начальной процентной ставкой по депозиту.

Исчерпание установленного объема средств, привлекаемых в депозиты, является основанием для сокращения суммы последнего Договора - Заявки (пропорционального сокращения суммы каждого Договора - Заявки банка, в котором указана ставка, принятая Банком России в качестве ставки отсечения) в списке удовлетворенных Договоров - Заявок. При этом частично удовлетворенные Договоры - Заявки банков, по которым сумма сокращенного депозита меньше установленной в официальном сообщении Банка России минимальной суммы депозита, Банком России не исполняются. (в ред. Указания ЦБ РФ от 26.11.99 N 686-У)

2.3. Депозитные аукционы Банка России проводятся одним из следующих способов:

2.3.1. По "американскому" способу, при котором Договоры - Заявки (вошедшие в список удовлетворенных) удовлетворяются по предлагаемым банками процентным ставкам, которые не превышают либо равны ставке отсечения, устанавливаемой Банком России по результатам аукциона;

2.3.2. По "голландскому" способу, при котором Договоры - Заявки (вошедшие в список удовлетворенных) удовлетворяются по ставке отсечения, устанавливаемой Банком России по результатам аукциона.

2.4. После проведения депозитного аукциона Банк России публикует его итоги в "Вестнике Банка России".

3. Проведение Банком России депозитной операции по фиксированной процентной ставке

3.1. При проведении Банком России депозитной операции по фиксированной процентной ставке банки, имеющие намерение перечислить денежные средства в депозит, открываемый в Банке России, направляют в уполномоченное учреждение / подразделение Банка России Договор - Заявку на размещение в Центральном банке Российской Федерации депозита по фиксированной процентной ставке (по форме Приложения 2 к настоящему Положению). При этом количество Договоров - Заявок одного банка, принимаемых к депозитной операции по фиксированной процентной ставке, не ограничивается.

3.2. При принятии решения о проведении депозитной операции по фиксированной процентной ставке Банк России публикует официальное сообщение в "Вестнике Банка России", в котором указываются:

3.2.1. Перечень уполномоченных учреждений Банка России тех регионов, банки которых принимают участие в депозитной операции;

3.2.2. Дата перечисления средств в депозит, открываемый в Банке России;

3.2.3. Дата возврата суммы депозита и уплаты процентов банкам;

3.2.4. Минимальная сумма депозита (в целых рублях);

3.2.5. Фиксированная процентная ставка по депозиту (в процентах годовых);

3.2.6. Наименование уполномоченного учреждения / подразделения Банка России, осуществляющего прием Договоров - Заявок банков. При приеме Договоров - Заявок уполномоченным подразделением Банка России в официальном сообщении также указываются адрес, по которому производится прием Договоров - Заявок, номер контактного телефона, номер факса.

4. Проведение Банком России депозитных операций с использованием системы "Рейтерс - дилинг"

4.1. Депозитные операции с использованием системы "Рейтерс - дилинг" проводятся с банками, заключившими с Банком России в лице территориального учреждения Банка России по месту открытия корреспондентского счета банка Генеральное соглашение. Типовая форма Генерального соглашения приводится в Приложении 3 к настоящему Положению.

Региональные банки, имеющие филиалы в Московском регионе, т.е. в г. Москве, Московской области (далее по тексту настоящего Положения - Московский филиал банка), располагающие системой "Рейтерс - дилинг", в целях ускорения расчетов по депозитной операции могут осуществлять перечисление денежных средств в депозит, открываемый в Банке России, с корреспондентского субсчета банка, открытого его московскому филиалу, открытого в подразделении расчетной сети Банка России Московского региона. Такие региональные банки обязаны заключать Генеральное соглашение с Банком России в лице территориального учреждения Банка России по месту открытия своего корреспондентского счета в подразделении расчетной сети Банка России по форме Приложения 3/1 к настоящему Положению. (в ред. Указания ЦБ РФ от 11.01.2001 N 899-У)

4.2. Генеральное соглашение заключается на неопределенный срок. К Генеральному соглашению прилагаются списки с указанием дилинг - кодов системы "Рейтерс - дилинг" Банка России и банка - контрагента, которые являются его неотъемлемой частью. (в ред. Указаний ЦБ РФ от 26.11.99 N 686-У, от 11.01.2001 N 899-У)

4.3. Проведение Банком России депозитных операций с использованием системы "Рейтерс - дилинг" осуществляется на следующих стандартных условиях:

4.3.1. "Овернайт" - депозитная операция сроком на 1 рабочий день (при заключении депозитной операции в пятницу - на период от пятницы до понедельника включительно), при которой поступление (перечисление) средств на счет по учету депозитов, открытый в Банке России, осуществляется в день заключения депозитной операции, а возврат суммы депозита и уплата процентов осуществляется на следующий рабочий день после установленной даты поступления (перечисления) средств на счет по учету депозитов, открытый в Банке России; (в ред. Указания ЦБ РФ от 11.01.2001 N 899-У)

4.3.2. "Томнекст" - депозитная операция сроком на 1 рабочий день (при заключении депозитной операции в четверг - на период от пятницы до понедельника включительно), при которой поступление (перечисление) средств на счет по учету депозитов, открытый в Банке России, осуществляется на следующий рабочий день после заключения депозитной операции, а возврат суммы депозита и уплата процентов осуществляются на следующий рабочий день после установленной даты поступления (перечисления) средств на счет по учету депозитов, открытый в Банке России; (в ред. Указания ЦБ РФ от 11.01.2001 N 899-У)

4.3.3. "1 неделя" - депозитная операция сроком на семь календарных дней, при которой поступление (перечисление) средств на счет по учету депозитов, открытый в Банке России, осуществляется в день заключения депозитной операции, а возврат суммы депозита и уплата процентов осуществляются на седьмой день после установленной даты поступления (перечисления) средств на счет по учету депозитов, открытый в Банке России (если седьмой день срока депозита приходится на нерабочий день, - в следующий за ним рабочий день); (в ред. Указания ЦБ РФ от 11.01.2001 N 899-У)

4.3.4. "2 недели" - депозитная операция сроком на четырнадцать календарных дней, при которой поступление (перечисление) средств на счет по учету депозитов, открытый в Банке России, осуществляется в день заключения депозитной операции, а возврат суммы депозита и уплата процентов осуществляются на четырнадцатый день после установленной даты поступления (перечисления) средств на счет по учету депозитов, открытый в Банке России (если четырнадцатый день срока депозита приходится на нерабочий день, - в следующий за ним рабочий день); (в ред. Указания ЦБ РФ от 11.01.2001 N 899-У)

4.3.5. На других стандартных условиях, объявленных Банком России (перечень депозитных операций на стандартных условиях, объявленных Банком России, может быть им изменен). (в ред. Указания ЦБ РФ от 11.01.2001 N 899-У)

4.4. Ежедневно Банком России передается по информационной системе "Рейтер", а также размещается на сервере Банка России в сети "Интернет" сообщение об условиях привлечения средств банков в депозиты, открываемые в Банке России, в котором указываются:

4.4.1. Процентные ставки по депозитам, привлекаемым на стандартных условиях "овернайт", "томнекст", "1 неделя", "2 недели", а также на других стандартных условиях, объявленных Банком России, - в процентах годовых;

4.4.2. Минимальная сумма, принимаемая Банком России в депозит, - в целых рублях.

Банк России в течение рабочего дня имеет право изменять условия привлечения средств банков в депозиты, открываемые в Банке России. Время вступления в силу принятых Банком России измененных условий привлечения средств банков в депозиты, открываемые в Банке России, указывается в соответствующем сообщении, передаваемом по информационной системе "Рейтер".

Банк России в день прекращения / временного прекращения проведения депозитных операций с использованием системы "Рейтерс - дилинг" передает по информационной системе "Рейтер", а также размещает на сервере Банка России в сети Интернет соответствующее сообщение. (в ред. Указания ЦБ РФ от 11.01.2001 N 899-У)

4.5. В течение рабочего дня заключение Банком России и банком - контрагентом депозитных операций по системе "Рейтерс - дилинг" осуществляется: (в ред. Указания ЦБ РФ от 11.01.2001 N 899-У)

4.5.1. На условиях "овернайт" - до 13.00 московского времени;

4.5.2. На условиях "томнекст", "1 неделя", "2 недели" и на других стандартных условиях, объявленных Банком России, - до 17.00 московского времени.

Банк России в течение рабочего дня имеет право изменять время заключения депозитных операций по системе "Рейтерс - дилинг". Указанные изменения вступают в силу с момента передачи Банком России соответствующего сообщения по информационной системе "Рейтер".

Банк России может ограничивать количество депозитных операций, заключаемых с банком - контрагентом по системе "Рейтерс - дилинг" в течение рабочего дня на одинаковом стандартном условии. (в ред. Указаний ЦБ РФ от 26.11.99 N 686-У, от 11.01.2001 N 899-У)

4.6. Факт заключения Банком России и банком - контрагентом депозитной операции по системе "Рейтерс - дилинг" подтверждается Документарным подтверждением переговоров, в котором указываются основные условия заключенной депозитной операции: (в ред. Указания ЦБ РФ от 11.01.2001 N 899-У)

4.6.1. Сумма депозита (в целых рублях);

4.6.2. Процентная ставка по депозиту (в процентах годовых);

4.6.3. Стандартное условие, на котором заключена депозитная операция; (в ред. Указания ЦБ РФ от 11.01.2001 N 899-У)

4.6.4. Дата и время заключения депозитной операции; (в ред. Указания ЦБ РФ от 11.01.2001 N 899-У)

4.6.5. Дата размещения денежных средств банка в депозит, открываемый в Банке России;

4.6.6. Дата возврата суммы депозита и уплаты процентов на корреспондентский счет банка (корреспондентский субсчет банка, открытый его московскому филиалу), открытый в подразделении расчетной сети Банка России; (в ред. Указания ЦБ РФ от 11.01.2001 N 899-У)

4.6.7. Реквизиты корреспондентского счета банка (корреспондентского субсчета банка, открытого его московскому филиалу), открытого в подразделении расчетной сети Банка России (БИК банка / московского филиала банка, ИНН банка / московского филиала банка, номер корреспондентского счета банка / корреспондентского субсчета банка, открытого его московскому филиалу); (в ред. Указаний ЦБ РФ от 26.11.99 N 686-У, от 11.01.2001 N 899-У)

4.6.8. Реквизиты депозитного счета, открытого банку в Банке России.

4.7. Банк России вправе приостанавливать действие заключенного Генерального соглашения, т.е. не заключать с банком новые депозитные операции, по обусловленным в нем причинам, а именно: (в ред. Указания ЦБ РФ от 11.01.2001 N 899-У)

4.7.1. При несоответствии банка на последнюю отчетную дату / в течение последних 30 дней критериям, изложенным в пункте 1.3 настоящего Положения;

4.7.2. При выявлении Банком России факта изменения наименования, юридического адреса и (или) реквизитов корреспондентского счета банка / московского филиала банка, указанных в Генеральном соглашении;

4.7.3. При перечислении банком денежных средств в депозит в сумме, установленной Документарным подтверждением переговоров, на счет, отличный от указанного банку в Документарном подтверждении переговоров;

4.7.4. При неисполнении банком обязательств по депозитной операции (в соответствии с пунктом 5.4 настоящего Положения). (в ред. Указаний ЦБ РФ от 26.11.99 N 686-У, от 11.01.2001 N 899-У)

4.8. По основаниям, перечисленным в подпункте 4.7.1 настоящего Положения, Банк России принимает решение о приостановлении действия Генерального соглашения на неопределенный срок (не ранее полного погашения банком недовзноса в обязательные резервы, уплаты штрафов за нарушение порядка резервирования, погашения просроченных обязательств по кредитам Банка России, других просроченных денежных обязательств перед Банком России, либо не ранее отнесения банка к классификационной группе не ниже чем к 3-й (в соответствии с требованиями соответствующих нормативных актов Банка России)).

По основанию, указанному в подпункте 4.7.3 настоящего Положения, Банк России принимает решение о приостановлении действия Генерального соглашения на срок до десяти рабочих дней.

При изменении наименования, юридического адреса, БИК, номера корреспондентского счета, ИНН банка и (или) московского филиала банка, указанных в Генеральном соглашении, Банк России приостанавливает действие Генерального соглашения с момента выявления факта изменения реквизитов банка / московского филиала банка до дня подписания сторонами Дополнительного соглашения к Генеральному соглашению (в установленном количестве экземпляров), содержащее измененные реквизиты банка / московского филиала банка.

При изменении ИНН банк обязан не позднее следующего рабочего дня после дня присвоения налоговым органом нового ИНН представить в уполномоченное учреждение Банка России подписанное со своей стороны Дополнительное соглашение к Генеральному соглашению (в установленном количестве экземпляров), содержащее новый ИНН банка / московского филиала банка.

По основанию, указанному в подпункте 4.7.4, Банк России принимает решение о прекращении осуществления депозитных операций на срок до 10 рабочих дней, но не ранее полного взыскания суммы штрафа за неисполнение обязательств по депозитной операции. (в ред. Указаний ЦБ РФ от 26.11.99 N 686-У, от 11.01.2001 N 899-У)

4.9. Решение Банка России о приостановлении действия Генерального соглашения передается банку по системе "Рейтерс - дилинг" при обращении банка с предложением о заключении депозитной операции с последующим подтверждением в простой письменной форме.

Действие Генерального соглашения возобновляется со дня (даты), указанного в письме Банка России о приостановлении действия Генерального соглашения (в случае, если дата возобновления заключения депозитных операций указана в этом письме), либо со дня (даты) передачи Банком России соответствующего сообщения банку по системе "Рейтерс - дилинг".

Исполнение Банком России обязательств по ранее заключенным депозитным операциям, т.е. заключенным с банком до дня выявления у банка нарушений, указанных в подпунктах 4.7.1, 4.7.2, 4.7.3, 4.7.4 настоящего Положения, производится в общеустановленном порядке в соответствии с настоящим Положением. (в ред. Указаний ЦБ РФ от 26.11.99 N 686-У, от 11.01.2001 N 899-У)

4.10. В случае перехода банка под управление Агентства Банк России по получении соответствующей информации представляет банку уведомление на расторжение Генерального соглашения (в простой письменной форме) с указанием даты расторжения Генерального соглашения, но не ранее даты завершения расчетов по ранее заключенным депозитным операциям.

Одновременно со дня (даты) перехода банка под управление Агентства Банк России прекращает заключение новых депозитных операций с банком. (в ред. Указаний ЦБ РФ от 26.11.99 N 686-У, от 11.01.2001 N 899-У)

5. Меры воздействия, применяемые Банком России при нарушении условий депозитной сделки

5.1. Надлежащим исполнением банком обязательств по депозитной операции считается своевременное и полное списание денежных средств с корреспондентского счета банка (корреспондентского субсчета банка, открытого его московскому филиалу), открытого в подразделении расчетной сети Банка России, для размещения в депозит, открываемый в Банке России (в срок и в сумме, установленные Договором - Заявкой или Документарным подтверждением переговоров).

Документами, подтверждающими надлежащее исполнение банком обязательств по депозитной операции, являются: (в ред. Указания ЦБ РФ от 11.01.2001 N 899-У)

5.1.1. Платежное поручение банка на перечисление средств в депозит, открываемый в Банке России, оформленное в соответствии с установленными Банком России правилами и представленное в подразделение расчетной сети Банка России;

5.1.2. Выписка по корреспондентскому счету банка (корреспондентскому субсчету банка, открытому его московскому филиалу), открытому в подразделении расчетной сети Банка России, официально подтверждающая факт списания денежных средств с корреспондентского счета банка (корреспондентского субсчета банка, открытого его московскому филиалу) для перечисления на счет по учету депозитов, открытый в Банке России; (в ред. Указания ЦБ РФ от 11.01.2001 N 899-У)

5.1.3. Выписка по счету по учету депозитов, открытому в Банке России, официально подтверждающая факт зачисления суммы депозита.

5.2. Надлежащим исполнением Банком России обязательств по депозитной операции считается своевременное и полное зачисление суммы депозита и уплата банку процентов, начисленных на сумму привлеченного депозита, на корреспондентский счет банка (корреспондентский субсчет банка, открытый его московскому филиалу), открытый в подразделении расчетной сети Банка России.

Документами, подтверждающими надлежащее исполнение Банком России обязательств по депозитной операции, являются: (в ред. Указания ЦБ РФ от 11.01.2001 N 899-У)

5.2.1. Выписка по счету по учету депозитов, открытому в Банке России, официально подтверждающая факт списания суммы депозита для зачисления на корреспондентский счет банка (корреспондентский субсчет банка, открытый его московскому филиалу), открытый в подразделении расчетной сети Банка России; (в ред. Указания ЦБ РФ от 11.01.2001 N 899-У)

5.2.2. Выписка по корреспондентскому счету банка (корреспондентскому субсчету банка, открытому его московскому филиалу), открытому в подразделении расчетной сети Банка России, официально подтверждающая факт зачисления суммы депозита и уплаты суммы процентов по депозиту на корреспондентский счет банка (корреспондентский субсчет банка, открытый его московскому филиалу). (в ред. Указания ЦБ РФ от 11.01.2001 N 899-У)

5.3. В случае перечисления банком денежных средств на счет по учету депозитов, открытый в Банке России, в сумме, большей, чем сумма, установленная Договором - Заявкой или Документарным подтверждением переговоров, Банк России не позднее следующего рабочего дня возвращает на корреспондентский счет банка (корреспондентский субсчет банка, открытый его московскому филиалу), открытый в подразделении расчетной сети Банка России, излишне перечисленную сумму средств, при этом проценты на указанную сумму не начисляются. Начисление процентов на перечисленную сумму депозита, установленную Договором - Заявкой или Документарным подтверждением переговоров, производится в порядке, предусмотренном п. 1.5 настоящего Положения. (в ред. Указания ЦБ РФ от 11.01.2001 N 899-У)

5.4. Неисполнением банком обязательств по депозитной операции являются: (в ред. Указания ЦБ РФ от 11.01.2001 N 899-У)

5.4.1. Неперечисление суммы депозита, установленной Договором - Заявкой или Документарным подтверждением переговоров, на счет по учету депозитов, открытый в Банке России;

5.4.2. Перечисление на счет по учету депозитов, открытый в Банке России, денежных средств в сумме, меньшей, чем сумма, установленная Договором - Заявкой или Документарным подтверждением переговоров;

5.4.3. Перечисление на счет по учету депозитов, открытый в Банке России, денежных средств в сроки, отличные от установленных Договором - Заявкой или Документарным подтверждением переговоров;

5.4.4. Перечисление суммы депозита на счет по учету депозитов, открытый в Банке России, с иного счета, чем указанный в Договоре - Заявке или в Генеральном соглашении.

5.5. В случае неисполнения банком обязательств по депозитной операции (пункты 5.4.2, 5.4.3, 5.4.4 настоящего Положения) Банк России не позднее следующего рабочего дня возвращает на корреспондентский счет банка - плательщика (корреспондентский субсчет банка, открытый его московскому филиалу), открытый в подразделении расчетной сети Банка России, перечисленную им сумму денежных средств, проценты на указанную сумму не начисляются. (в ред. Указания ЦБ РФ от 11.01.2001 N 899-У)

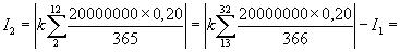
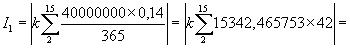
5.6. В случае неисполнения банком обязательств по депозитной операции Банк России на следующий рабочий день после установленного срока перечисления средств в депозит, открываемый в Банке России, начисляет штраф на сумму депозита, установленную Договором - Заявкой или Документарным подтверждением переговоров, за один день в размере двойной ставки рефинансирования Банка России, действующей на дату, установленную для перечисления денежных средств в депозит, открываемый в Банке России, деленной на 365 (366) дней. (в ред. Указания ЦБ РФ от 11.01.2001 N 899-У)

5.7. В случае неисполнения банком обязательств по депозитной операции взыскание Банком России суммы штрафа производится без распоряжения владельца счета инкассовым поручением с корреспондентского счета банка, открытого в подразделении расчетной сети Банка России, а при отсутствии возможности взыскания суммы штрафа с указанного счета - с корреспондентского(их) субсчета(ов) банка, открытого(ых) в подразделении(ях) расчетной сети Банка России, в очередности, установленной законодательством Российской Федерации.

В случае неисполнения региональным банком, заключившим Генеральное соглашение (т.е. банком не Московского региона), обязательств по депозитной операции с использованием системы "Рейтерс - дилинг" взыскание Банком России суммы штрафа производится без распоряжения владельца счета инкассовым поручением с корреспондентского субсчета банка, открытого его московскому филиалу в подразделении расчетной сети Банка России, а при отсутствии возможности взыскания суммы штрафа с указанного счета - с корреспондентского счета / корреспондентского(их) субсчета(ов) банка, открытого(ых) в подразделении(ях) расчетной сети Банка России, в очередности, установленной законодательством Российской Федерации.

Под отсутствием возможности взыскания суммы штрафа с корреспондентского счета банка / корреспондентского субсчета банка, открытого его московскому филиалу, в целях настоящего Положения понимается отсутствие / недостаточность денежных средств на корреспондентском счете банка / корреспондентском субсчете банка, открытом его московскому филиалу, арест денежных средств, находящихся на корреспондентском счете банка / корреспондентском субсчете банка, открытом его московскому филиалу.

При нарушении банком обязательств по депозитной операции проведение с ним новых депозитных операций осуществляется Банком России не ранее следующего рабочего дня после полного взыскания суммы начисленного штрафа. Одновременно Банк России принимает решение о прекращении осуществления депозитных операций с указанным банком на срок до 10 рабочих дней, но не ранее полного взыскания суммы начисленного штрафа. (в ред. Указания ЦБ РФ от 11.01.2001 N 899-У)

5.8. В случае неисполнения обязательств по депозитной операции Банком России последний уплачивает банку штраф за один день в размере двойной ставки рефинансирования Банка России, действующей на установленную дату возврата депозита и уплаты процентов банку, деленной на 365 (366) дней, от суммы невозвращенного депозита.

Одновременно Банк России доначисляет и уплачивает банку проценты на сумму депозита за фактическое количество календарных дней просрочки возврата депозита (начиная со дня, следующего за днем, установленным Банку России для возврата депозита и уплаты процентов, до дня фактического исполнения Банком России обязательств по депозитной операции включительно). (в ред. Указания ЦБ РФ от 11.01.2001 N 899-У)

6. Заключительные положения

6.1. Регламент проведения Банком России депозитных операций с банками - резидентами в валюте Российской Федерации установлен в Приложении 4 к настоящему Положению.

6.2. Порядок бухгалтерского учета депозитных операций в банках изложен в Приложении 5 к настоящему Положению, порядок бухгалтерского учета депозитных операций в Банке России изложен в Приложении 6 к настоящему Положению.

6.3. Настоящее Положение подлежит публикации в "Вестнике Банка России", кроме Приложения 6 (не приводится) к настоящему Положению.

6.4. Настоящее Положение вступает в силу с 15 февраля 1999 года, кроме Приложения 5 к настоящему Положению, Приложения 6 к настоящему Положению. (в ред. Указания ЦБ РФ от 02.02.99 N 494-У)

6.5. Приложение 5 к настоящему Положению вступает в силу с момента подписания настоящего Положения.

6.6. Приложение 6 к настоящему Положению вступает в силу с момента подписания настоящего Положения.

6.7. Главным управлениям Центрального банка Российской Федерации приступить к заключению Генеральных соглашений с банками - резидентами, изъявившими намерение размещать денежные средства в депозиты, привлекаемые Банком России по системе "Рейтерс - дилинг".

6.8. С 15 февраля 1999 года утрачивает силу Положение Банка России "О порядке проведения депозитных операций Центральным банком Российской Федерации с банками - резидентами в валюте Российской Федерации", утвержденное Приказом Банка России от 30.01.96 N 02-22 ("Вестник Банка России" от 08.02.96 N 5, от 31.12.97 N 91-92), кроме раздела 3 "Порядок бухгалтерского учета депозитных операций Банка России". (в ред. Указания ЦБ РФ от 02.02.99 N 494-У)

6.9. Раздел 3 "Порядок бухгалтерского учета депозитных операций Банка России" Положения Банка России "О порядке проведения депозитных операций Центральным банком Российской Федерации с банками - резидентами в валюте Российской Федерации", утвержденного Приказом Банка России от 30.01.96 N 02-22 ("Вестник Банка России" от 08.02.96 N 5, от 31.12.97 N 91-92), утрачивает силу с момента подписания настоящего Положения.

Первый заместитель Председателя
Центрального банка
Российской Федерации
Т.В.ПАРАМОНОВА

Приложение 1
к Положению Банка России
от 13.01.99 N 67-П

(в ред. Указаний ЦБ РФ от 26.11.99 N 686-У, от 11.01.2001 N 899-У)

 
    (направляется банком по факсу / специальным каналам связи
              с подтверждением на бумажном носителе)
 
(на бланке банка)
 
                      ДОГОВОР - ЗАЯВКА <*>
       на участие в депозитном аукционе Центрального банка
     Российской Федерации, проводимом "__" _______ ____ года
 
              N ____ от "__" ___________ ____ года
 
__________________________________________________________________
                      (наименование банка)
регистрационный номер _________ корреспондентский счет N _________
в  РКЦ  ГУ (НБ) ЦБ РФ ________________________ БИК N _____________
телефон _________________ e-mail ________ факс ___________________
 
Объем размещаемого депозита ______________________________ рублей.
                              (сумма цифрами и прописью)
Процентная ставка по размещаемому депозиту __________ (% годовых).
 
Дата перечисления  средств  в депозит,  открываемый в Банке России
"__" ___________ ____ года.
Дата возврата депозита и получения процентов "__" ___________ ____
года.
 
Подтверждаю,  что  согласен  с  условиями  и  порядком  проведения
депозитных операций Банка России,  определенными в Положении Банка
России  "О  порядке  проведения  депозитных  операций  Центральным
банком   Российской  Федерации  с банками  - резидентами  в валюте
Российской  Федерации"  N 67-П от 13.01.99 (далее - Положение).  В
случае неисполнения обязательств по депозитной операции (пункт 5.4
Положения)  разрешаю  взыскать  в бесспорном порядке штраф с моего
корреспондентского  счета,  а при отсутствии возможности взыскания
суммы   штрафа   с  указанного  счета  - с  корреспондентского(их)
субсчета(ов),  открытого(ых)  в подразделении(ях)  расчетной  сети
Банка  России,   в  порядке,   установленном  пунктами  5.6,   5.7
Положения,   в   соответствии  с заключенным(и)  Дополнительным(и)
соглашением(ями)    к   Договору(ам)    корреспондентского   счета
(корреспондентского(им) субсчета(ам)) банка о предоставлении Банку
России  права  на взыскание без распоряжения владельца счета суммы
штрафа  за неисполнение банком обязательств по депозитной операции
на   основании   инкассового   поручения   в порядке  очередности,
установленной законодательством.
 
Руководитель банка               _______________ (подпись, Ф.И.О.)
 
                          М.П.
 
Главный бухгалтер банка          _______________ (подпись, Ф.И.О.)
 
------------------------------------------------------------------
 
               ИТОГИ УЧАСТИЯ В ДЕПОЗИТНОМ АУКЦИОНЕ
 
            (заполняется уполномоченным учреждением /
                  подразделением Банка России)
 
Регистрационный N Договора - Заявки ____________________
Дата поступления Договора - Заявки      "__" __________ ____ года.
Дата принятия средств в депозит,
открываемый в Банке России              "__" __________ ____ года.
Дата возврата депозита и уплаты
процентов                               "__" __________ ____ года.
Сумма размещаемого депозита _______________________________ рублей
                               (сумма цифрами и прописью)
Процентная ставка по депозиту ___________ (в % годовых)
Банку _______________ (наименование) открыт отдельный лицевой счет
N _____ в _____________ (наименование подразделения расчетной сети
Банка России) для перечисления средств в депозит.
 
Руководитель уполномоченного
учреждения / подразделения
Банка России                      ______________ (подпись, Ф.И.О.)
 
                           М.П.
 
Главный бухгалтер уполномоченного
учреждения / подразделения
Банка России                      ______________ (подпись, Ф.И.О.)
 
    --------------------------------
    <*> Договор  -  Заявка  составляется  в  2-х   экземплярах   и
подписывается должностными лицами банка,  подписи которых занесены
в карточку образцов подписей / копию карточки  образцов  подписей,
хранящуюся  в  уполномоченном  учреждении  /  подразделении  Банка
России.

Приложение 2
к Положению Банка России
от 13.01.99 N 67-П

(в ред. Указаний ЦБ РФ от 26.11.99 N 686-У, от 11.01.2001 N 899-У)

 
    (направляется банком по факсу / специальным каналам связи
             с подтверждением на бумажном носителе)
 
(на бланке банка)
 
                      ДОГОВОР - ЗАЯВКА <*>
     на размещение в Центральном банке Российской Федерации
           депозита по фиксированной процентной ставке
                   "__" ___________ ____ года
 
             N ______ от "__" ___________ ____ года
 
                      (наименование банка)
регистрационный номер ________ корреспондентский счет N __________
в РКЦ ГУ (НБ) ЦБ РФ __________________ БИК N _____________________
телефон ______________ e-mail ____________ факс __________________
 
Объем размещаемого депозита ______________________________ рублей.
                              (сумма цифрами и прописью)
Процентная ставка по размещаемому депозиту __________ (% годовых).
 
Дата перечисления  средств  в депозит,  открываемый в Банке России
"__" _____________ ____ года.
Дата возврата депозита и получения процентов "___" __________ ____
года.
 
Подтверждаю, что   согласен  с  условиями  и  порядком  проведения
депозитных операций Банка России,  определенными в Положении Банка
России  "О  порядке  проведения  депозитных  операций  Центральным
банком Российской Федерации  с  банками  -  резидентами  в  валюте
Российской  Федерации"  N 67-П от 13.01.99 (далее - Положение).  В
случае неисполнения обязательств по депозитной операции (пункт 5.4
Положения)  разрешаю  взыскать  в бесспорном порядке штраф с моего
корреспондентского  счета,  а при отсутствии возможности взыскания
суммы   штрафа   с  указанного  счета  - с  корреспондентского(их)
субсчета(ов),  открытого(ых)  в подразделении(ях)  расчетной  сети
Банка  России,   в  порядке,   установленном  пунктами  5.6,   5.7
Положения,   в   соответствии  с заключенным(и)  Дополнительным(и)
соглашением(ями)    к   Договору(ам)    корреспондентского   счета
(корреспондентского(их) субсчета(ов)) банка о предоставлении Банку
России  права  на взыскание без распоряжения владельца счета суммы
штрафа  за неисполнение банком обязательств по депозитной операции
на   основании   инкассового   поручения   в порядке  очередности,
установленной законодательством.
 
Руководитель банка            __________________ (подпись, Ф.И.О.)
 
                         М.П.
 
Главный бухгалтер банка       __________________ (подпись, Ф.И.О.)
 
------------------------------------------------------------------
 
               ИТОГИ УЧАСТИЯ В ДЕПОЗИТНОЙ ОПЕРАЦИИ
 
            (заполняется уполномоченным учреждением /
                  подразделением Банка России)
 
Регистрационный N Договора - Заявки ____________________
Дата поступления Договора - Заявки      "__" __________ ____ года.
Дата принятия средств в депозит,
открываемый в Банке России              "__" __________ ____ года.
Дата возврата депозита и уплаты
процентов                               "__" __________ ____ года.
Сумма размещаемого депозита _______________________________ рублей
                               (сумма цифрами и прописью)
Процентная ставка по депозиту ____________ (в % годовых)
Банку _______________ (наименование) открыт отдельный лицевой счет
N _____ в _____________ (наименование подразделения расчетной сети
Банка России) для перечисления средств в депозит.
 
Руководитель уполномоченного
учреждения / подразделения
Банка России                      ______________ (подпись, Ф.И.О.)
 
                           М.П.
 
Главный бухгалтер уполномоченного
учреждения / подразделения
Банка России                      ______________ (подпись, Ф.И.О.)
 
    --------------------------------
    <*> Договор   -   Заявка  составляется  в  2-х  экземплярах  и
подписывается должностными лицами банка,  подписи которых занесены
в  карточку  образцов подписей / копию карточки образцов подписей,
хранящуюся в уполномоченном учреждении Банка России.

Приложение 3
к Положению Банка России
от 13.01.99 N 67-П

(в ред. Указаний ЦБ РФ от 26.11.99 N 686-У, от 11.01.2001 N 899-У)

                ГЕНЕРАЛЬНОЕ СОГЛАШЕНИЕ N _______
            О ПРОВЕДЕНИИ ДЕПОЗИТНЫХ ОПЕРАЦИЙ В ВАЛЮТЕ
          РОССИЙСКОЙ ФЕДЕРАЦИИ С ИСПОЛЬЗОВАНИЕМ СИСТЕМЫ
         "РЕЙТЕРС - ДИЛИНГ" С БАНКОМ МОСКОВСКОГО РЕГИОНА
 
                         (типовая форма)
 
    г. Москва                             "__" ___________ 199_ г.
 
    Центральный банк Российской Федерации,  в дальнейшем именуемый
"Банк России",  в лице начальника Главного управления Центрального
банка Российской Федерации по ____________________________________
_________________________________________________________________,
                       (Ф.И.О., должность)
действующего на   основании   доверенности,   с   одной стороны, и
_________________________________________________________________,
                       (наименование банка)
в дальнейшем именуемый "Банк", в лице ____________________________
_________________________________________________________________,
                       (Ф.И.О., должность)
действующего на основании _______________________________________,
                                  (Устава / Доверенности)
с другой стороны,  заключили настоящее Генеральное  соглашение  (в
дальнейшем именуемое "Соглашение") о нижеследующем:
 
                      1. Предмет Соглашения
 
    1.1.  Банк  России  проводит  операции по привлечению денежных
средств   Банка  в валюте  Российской  Федерации  с использованием
системы  "Рейтерс  - дилинг"  (далее  - "депозитные  операции") на
условиях  и в  порядке,  определенных  Положением  Банка России "О
порядке   проведения   депозитных   операций   Центральным  банком
Российской  Федерации  с банками - резидентами в валюте Российской
Федерации"  от  13.01.99  N 67-П (далее - "Положение") и настоящим
Соглашением.
    1.2. Депозитные операции осуществляются на основании следующих
документов:
    1.2.1. Положения;
    1.2.2. Настоящего Соглашения;
    1.2.3.   Документов,   подтверждающих   заключение  депозитных
операций  в ходе  переговоров  Банка  России  и Банка  по  системе
"Рейтерс   -  дилинг"   (далее   -  "Документарные   подтверждения
переговоров");
   (в ред. Указания ЦБ РФ от 11.01.2001 N 899-У)
    1.2.4.   Дополнительного(ых)   соглашения(ий)   к Договору(ам)
корреспондентского   счета  (корреспондентского(их)  субсчета(ов))
Банка   о  предоставлении   Банку  России  права  на  взыскание  с
корреспондентского   счета  (корреспондентского(их)  субсчета(ов))
Банка  без  распоряжения  Банка  - владельца счета суммы штрафа за
неисполнение   Банком   обязательств  по  депозитной  операции  на
основании    инкассового    поручения    в  порядке   очередности,
установленной законодательством.
   (в ред. Указания ЦБ РФ от 11.01.2001 N 899-У)
    1.3.  Депозитная  операция  по настоящему Соглашению считается
заключенной  с момента  взаимного  согласования  Банком  России  и
Банком по системе "Рейтерс - дилинг" условий депозитной операции и
их фиксирования в Документарном подтверждении переговоров.
    Документарное подтверждение переговоров оформляется при каждом
заключении  Банком  России и Банком депозитной операции и является
неотъемлемой частью настоящего Соглашения.
    В Документарном    подтверждении    переговоров    указываются
следующие условия заключенной депозитной операции:
   (в ред. Указания ЦБ РФ от 11.01.2001 N 899-У)
    1.3.1. Сумма депозита (в целых рублях);
    1.3.2. Процентная ставка по депозиту (в процентах годовых);
    1.3.3. Стандартное  условие,  на  котором заключена депозитная
операция;
   (в ред. Указания ЦБ РФ от 11.01.2001 N 899-У)
    1.3.4. Дата и время заключения депозитной операции;
   (в ред. Указания ЦБ РФ от 11.01.2001 N 899-У)
    1.3.5. Дата  размещения  денежных  средств  Банка  в  депозит,
открываемый в Банке России;
    1.3.6. Дата возврата суммы депозита и уплаты процентов Банку;
    1.3.7.  Реквизиты корреспондентского счета Банка,  открытого в
подразделении  расчетной  сети  Банка  России  (БИК,   ИНН,  номер
корреспондентского счета Банка);
   (в ред. Указания ЦБ РФ от 26.11.99 N 686-У)
    1.3.8. Реквизиты депозитного счета, открытого в Банке России.
    1.4.  Дилинг  - коды системы "Рейтерс - дилинг" Банка России и
Банка   указываются   в  Приложении   1 к  настоящему  Соглашению,
являющемуся неотъемлемой частью настоящего Соглашения.
   (в ред. Указания ЦБ РФ от 11.01.2001 N 899-У)
    1.5.   Стороны   принимают  на  себя  всю  ответственность  за
полномочия  дилеров,  заключающих  депозитные  операции по системе
"Рейтерс - дилинг".  Факт заключения по системе "Рейтерс - дилинг"
депозитной операции лицом,  не уполномоченным заключать депозитные
операции  от  имени  Банка  России  или  Банка,  но  которое имело
фактический   доступ   к  терминалу  системы  "Рейтерс  - дилинг",
используемому для заключения депозитных операций, не может служить
основанием     для    признания    такой    депозитной    операции
недействительной.
   (в ред. Указания ЦБ РФ от 11.01.2001 N 899-У)
 
                      2. Условия Соглашения
 
    2.1. Прием  Банком  России денежных средств Банка в депозит  с
использованием  системы  "Рейтерс  -  дилинг"  осуществляется   на
стандартных условиях, определенных пунктом 4.3 Положения.
   (в ред. Указания ЦБ РФ от 26.11.99 N 686-У)
    2.2. Условия  депозитных операций, заключаемых Банком России и
Банком  в соответствии  с настоящим  Соглашением,  определяются на
основании  ежедневно передаваемого Банком России по информационной
системе  "Рейтер",  а также размещаемого на сервере Банка России в
сети  "Интернет"  сообщения  об  условиях  привлечения  средств  в
депозиты, открываемые в Банке России, в котором указываются:
   (в ред. Указания ЦБ РФ от 11.01.2001 N 899-У)
    2.2.1.  Процентные ставки по депозитам,  открываемым  в  Банке
России, привлекаемым на стандартных условиях, определенных пунктом
4.3 Положения, объявленных Банком России, - в процентах годовых;
   (в ред. Указания ЦБ РФ от 26.11.99 N 686-У)
    2.2.2.  Минимальная сумма, принимаемая Банком России в депозит
(в целых рублях).
    Банк  России  в течение  рабочего  дня  имеет  право  изменять
условия   заключения  депозитных операций по  системе  "Рейтерс  -
дилинг". Время вступления в силу принятых Банком России измененных
условий привлечения средств банков в депозиты, открываемые в Банке
России,  указывается в соответствующем сообщении,  передаваемом по
информационной системе "Рейтер".
   (в ред. Указания ЦБ РФ от 11.01.2001 N 899-У)
    2.3.  В течение рабочего дня заключение Банком России и Банком
депозитных операций по системе "Рейтерс - дилинг" осуществляется:
   (в ред. Указания ЦБ РФ от 11.01.2001 N 899-У)
    2.3.1. На условиях "овернайт" - до 13.00 московского времени;
    2.3.2.  На  других стандартных условиях,  определенных пунктом
4.3 Положения,  объявленных Банком России,  - до 17.00 московского
времени.
   (в ред. Указания ЦБ РФ от 26.11.99 N 686-У)
    2.4. Банк  России  может  ограничивать  количество  депозитных
операций, заключаемых с Банком по системе  "Рейтерс  -  дилинг"  в
течение одного рабочего дня на одинаковом стандартном условии.
(в ред. Указаний ЦБ РФ от 26.11.99 N 686-У, от 11.01.2001 N 899-У)
    2.5.   Проценты  по  депозитам,  привлеченным  Банком  России,
начисляются  по  формуле  простых процентов за период фактического
срока  (включая выходные и праздничные дни,  а также выходные дни,
перенесенные  на  рабочие  дни по решению Правительства Российской
Федерации)  привлечения  средств  до  дня  (даты)  возврата  суммы
депозита на корреспондентский счет Банка, открытый в подразделении
расчетной  сети Банка России,  включительно,  исходя из количества
календарных  дней  в году (365 или 366 дней соответственно).  День
(дата)  перечисления  (поступления) средств Банка на счет по учету
депозитов,  открытый  в Банке России,  в расчет суммы процентов не
включается.  Если  дни  периода  начисления процентов по депозиту,
открытому  в Банке  России,   приходятся  на  календарные  годы  с
различным  количеством  дней  (365 и 366 дней соответственно),  то
начисление  процентов  за  дни,  приходящиеся на календарный год с
количеством дней 365, производится из расчета 365 календарных дней
в  году,  а за дни,  приходящиеся на календарный год с количеством
дней 366, производится из расчета 366 календарных дней в году.
    Начисление процентов по депозитам, привлеченным Банком России,
производится  на  входящие  остатки  средств  по отдельным лицевым
счетам  по  учету  депозитов,  открытым в Банке России,  в разрезе
каждой заключенной депозитной операции.
    Уплата  процентов  по  депозиту,  привлеченному Банком России,
осуществляется одновременно с возвратом Банку суммы депозита.
(в ред. Указаний ЦБ РФ от 26.11.99 N 686-У, от 11.01.2001 N 899-У)
    2.6.  В установленный Документарным подтверждением переговоров
день   Банк  перечисляет  денежные  средства  на  присвоенный  ему
отдельный  лицевой счет по учету депозита,  открытый в ОПЕРУ-1 при
Банке России.
    Размещение  Банком  средств  в депозит,   открываемый  в Банке
России,  производится  платежным  поручением,  в котором в разделе
"Назначение платежа" указываются: "перечисление средств в депозит,
открываемый  в Банке  России",  а  также  дата  и номер настоящего
Соглашения.
    При этом   надлежащим   исполнением   Банком  обязательств  по
депозитной операции считается своевременное  и   полное   списание
денежных средств с корреспондентского счета N _______, открытого в
_________________ (наименование подразделения расчетной сети Банка
России) (далее - "корреспондентский счет Банка"), для размещения в
депозит, открываемый в Банке России.
   (в ред. Указания ЦБ РФ от 11.01.2001 N 899-У)
    2.7.  Банк России в установленный Документарным подтверждением
переговоров  день производит возврат Банку суммы депозита и уплату
процентов  по  депозиту  путем  перечисления  денежных  средств на
корреспондентский  счет Банка,  открытый в подразделении расчетной
сети Банка России.
    При этом надлежащим исполнением Банком России обязательств  по
депозитной операции считаются своевременное  и  полное  зачисление
суммы депозита и уплата  Банку  процентов,  начисленных  на  сумму
привлеченного депозита,  на корреспондентский счет Банка, открытый
в подразделении расчетной сети Банка России.
    Депозиты, открытые в Банке России, пролонгации не подлежат.
    По  депозитным операциям,  заключаемым на стандартных условиях
по  системе  "Рейтерс  - дилинг",  по  которым  срок привлекаемого
Банком  России  депозита  кратен  1 месяцу,  возврат Банком России
суммы депозита и уплата процентов по депозиту (т.е. дата окончания
депозита)  наступает  в такую  же  по  значению  дату,  что и дата
поступления  (перечисления)  средств  на  счет  по учету депозитов
(если  дата  окончания  депозита  приходится на нерабочий день - в
следующий за ним рабочий день). При этом по месячным депозитам, по
которым  дата  поступления  (перечисления)  средств  приходится на
последний  рабочий день месяца,  действует правило "конца месяца",
т.е.   датой   возврата  Банком  России  суммы  депозита  и уплаты
процентов  (датой  окончания  депозита)  будет  являться последний
рабочий день соответствующего месяца.
(в ред. Указаний ЦБ РФ от 26.11.99 N 686-У, от 11.01.2001 N 899-У)
    2.8. Документами, подтверждающими надлежащее исполнение Банком
обязательств по депозитной операции, являются:
   (в ред. Указания ЦБ РФ от 11.01.2001 N 899-У)
    2.8.1.  Платежное  поручение  Банка  на перечисление средств в
депозит,  открываемый в Банке России, оформленный в соответствии с
установленными   Банком   России   правилами   и представленный  в
подразделение расчетной сети Банка России;
    2.8.2.  Выписка по корреспондентскому счету Банка, открытому в
подразделении    расчетной    сети   Банка   России,    официально
подтверждающая факт списания денежных средств с корреспондентского
счета Банка для перечисления на счет по учету депозитов,  открытый
в Банке России;
    2.8.3.  Выписка по счету по учету депозитов, открытому в Банке
России, официально подтверждающая факт зачисления суммы депозита.
    2.9. Документами, подтверждающими надлежащее исполнение Банком
России обязательств по депозитной операции, являются:
   (в ред. Указания ЦБ РФ от 11.01.2001 N 899-У)
    2.9.1.  Выписка по счету по учету депозитов, открытому в Банке
России, официально подтверждающая факт списания суммы депозита для
зачисления   на   корреспондентский   счет   Банка,   открытый   в
подразделении расчетной сети Банка России;
    2.9.2.  Выписка по корреспондентскому счету Банка, открытому в
подразделении    расчетной    сети   Банка   России,    официально
подтверждающая  факт  зачисления  суммы  депозита  и уплаты  суммы
процентов по депозиту на корреспондентский счет Банка.
 
             3. Обязанности и ответственность сторон
 
    3.1.   Стороны  обязуются  соблюдать  условия,   установленные
настоящим Соглашением и Положением.
    3.2. Стороны обязуются:
    -   обеспечивать   конфиденциальность  содержания  совершаемых
депозитных операций;
    -  не  отказываться  от исполнения обязательств по заключенным
депозитным операциям;
    -  не  взимать  комиссионных  сборов  за проведение депозитных
операций.
   (в ред. Указания ЦБ РФ от 11.01.2001 N 899-У)
    3.3. Банк обязуется:
    3.3.1.   В   установленный   срок   перечислить   указанную  в
Документарном  подтверждении переговоров сумму денежных средств на
счет  по  учету  депозитов,  открытый  в Банке России,  в порядке,
установленном в п. 2.6 настоящего Соглашения.
    Неперечисление  / неполное перечисление Банком в установленный
срок  указанной  в Документарном  подтверждении  переговоров суммы
денежных  средств со своего корреспондентского счета,  открытого в
подразделении  расчетной  сети  Банка  России,  на  счет  по учету
депозитов,  открытый в Банке России, является неисполнением Банком
обязательств по депозитной операции.
    В   случае  неисполнения  Банком  обязательств  по  депозитной
операции  Банк  России  на следующий рабочий день без распоряжения
владельца  счета  взыскивает  с Банка штраф за один день в размере
двойной ставки рефинансирования Банка России, действующей на дату,
установленную   для   перечисления   денежных  средств  в депозит,
открываемый в Банке России,  деленной на 365 (366) дней,  от суммы
заключенной депозитной операции.
    Взыскание  суммы штрафа за неисполнение Банком обязательств по
депозитной     операции     производится     Банком    России    с
корреспондентского   счета   Банка,   открытого   в  подразделении
расчетной  сети Банка России,  на основании инкассового поручения,
выписанного ОПЕРУ-1 при Банке России, в очередности, установленной
законодательством Российской Федерации. При отсутствии возможности
взыскания суммы штрафа с указанного счета взыскание производится с
корреспондентского(их)   субсчета(ов)   Банка,   открытого(ых)   в
подразделении(ях)  расчетной  сети  Банка  России,  в очередности,
установленной   законодательством   Российской   Федерации.    Под
отсутствием     возможности     взыскания     суммы    штрафа    с
корреспондентского   счета  Банка  в целях  настоящего  Соглашения
понимается   отсутствие   / недостаточность  денежных  средств  на
корреспондентском счете Банка, арест денежных средств, находящихся
на корреспондентском счете Банка.
    При  нарушении  Банком  обязательств  по  депозитной  операции
проведение  с ним  новых депозитных операций осуществляется Банком
России  не  ранее  следующего рабочего дня после полного взыскания
суммы  начисленного  штрафа.  Одновременно  Банк  России принимает
решение о прекращении осуществления депозитных операций на срок до
10 рабочих дней,  но не ранее полного взыскания суммы начисленного
штрафа.
   (в ред. Указания ЦБ РФ от 11.01.2001 N 899-У)
    3.3.2.  Не  уступать  третьим  лицам право требования денежных
средств, размещенных в депозит, открытый в Банке России.
    3.3.3.  Не  изымать досрочно средства,  размещенные в депозит,
открытый в Банке России.
    3.4. Банк России обязуется:
    3.4.1.  В  установленный  срок  возвратить  сумму  депозита на
корреспондентский  счет Банка,  открытый в подразделении расчетной
сети  Банка  России,  и  уплатить  Банку  проценты  по указанной в
Документарном   подтверждении   переговоров   ставке   в  порядке,
установленном в п. 2.5 настоящего Соглашения.
    3.4.2.   В   случае  перечисления  Банком  на  счет  по  учету
депозитов,  открытый  в Банке  России,  денежных  средств в сумме,
меньшей,  чем  сумма,  установленная  Документарным подтверждением
переговоров,  не  позднее  следующего  рабочего  дня возвратить на
корреспондентский  счет Банка,  открытый в подразделении расчетной
сети Банка России, перечисленную в депозит сумму денежных средств,
при этом проценты на указанную сумму не начисляются.
    3.4.3.  В  случае перечисления Банком денежных средств на счет
по учету депозитов,  открытый в Банке России,  в срок, отличный от
установленного   Документарным   подтверждением  переговоров,   не
позднее  следующего  рабочего  дня возвратить на корреспондентский
счет Банка,  открытый в подразделении расчетной сети Банка России,
перечисленную  им  сумму  средств,  при этом проценты на указанную
сумму не начисляются.
    3.4.4.  В  случае перечисления Банком средств на счет по учету
депозитов,  открытый в Банке России,  в сумме, большей, чем сумма,
установленная Документарным подтверждением переговоров, не позднее
следующего  рабочего  дня  возвратить  на  корреспондентский  счет
Банка,  открытый  в подразделении  расчетной  сети  Банка  России,
излишне   перечисленную  сумму  средств,   при  этом  проценты  на
указанную сумму не начисляются.
    Начисление   процентов   на   перечисленную   сумму  депозита,
установленную Документарным подтверждением переговоров, произвести
в порядке, предусмотренном п. 2.5 настоящего Соглашения.
    3.4.5.   В  случае  неисполнения  обязательств  по  депозитной
операции  уплатить  Банку  штраф  за  один  день в размере двойной
ставки рефинансирования Банка России, действующей на установленную
дату  возврата депозита и уплаты процентов Банку,  деленной на 365
(366) дней, от суммы невозвращенного депозита.
    Одновременно  доначислить  и уплатить  Банку проценты на сумму
депозита  за  фактическое  количество  календарных  дней просрочки
возврата   депозита   (начиная   со   дня,   следующего  за  днем,
установленным   Банку   России   для  возврата  депозита  и уплаты
процентов,   до   дня   фактического   исполнения   Банком  России
обязательств по депозитной операции включительно).
   (в ред. Указания ЦБ РФ от 11.01.2001 N 899-У)
    3.5.  При  возникновении у Банка просроченной задолженности по
кредиту Банка России в течение срока действия заключенной с Банком
России  депозитной операции Банк России на основании статьи 410 ГК
РФ  вправе  прекратить  не  исполненное  Банком  обязательство  по
кредиту  зачетом денежных средств,  размещенных Банком на счете по
учету депозита,  открытом в Банке России, и процентов, начисленных
по депозиту, о чем Банк извещается в простой письменной форме.
    При  этом зачет сумм встречных требований производится в срок,
установленный   Банку   России   для  исполнения  обязательств  по
депозитной  операции  (возврату  депозита  и уплате  процентов  по
нему).  В  случае  превышения  суммы  привлеченного  Банком России
депозита  и начисленных  по  нему  процентов над суммой требований
Банка  России  по  предоставленному Банку кредиту сумма превышения
направляется   на   корреспондентский   счет  Банка,   открытый  в
подразделении расчетной сети Банка России.
(в ред. Указаний ЦБ РФ от 26.11.99 N 686-У, от 11.01.2001 N 899-У)
 
                  4. Порядок разрешения споров
 
    4.1. Разногласия, возникающие в процессе выполнения настоящего
Соглашения,     рассматриваются     Сторонами    для    достижения
взаимоприемлемых решений.
    4.2. Не урегулированные Сторонами споры разрешаются в порядке,
установленном действующим законодательством Российской Федерации.
 
      5. Срок действия Соглашения и порядок его прекращения
 
    5.1.   Настоящее   Соглашение   вступает   в силу  с даты  его
подписания Сторонами и действует в течение неопределенного срока.
    5.2.  Действие  настоящего Соглашения может быть прекращено по
инициативе  одной  из Сторон с предварительным уведомлением другой
Стороны  не  позднее  чем  за  3 (три)  рабочих  дня,  но не ранее
завершения расчетов по осуществленным депозитным операциям.
    В   случае  неисполнения  Банком  обязательств  по  депозитным
операциям  Банк  России вправе в одностороннем порядке расторгнуть
настоящее Соглашение.
   (в ред. Указания ЦБ РФ от 11.01.2001 N 899-У)
    5.3.  В  случае  перехода Банка под управление Государственной
корпорации  "Агентство  по реструктуризации кредитных организаций"
(далее  - Агентство)  Банк  России  по  получении  соответствующей
информации   представляет   Банку   уведомление   на   расторжение
настоящего  Соглашения  (в  простой  письменной форме) с указанием
даты расторжения Соглашения,  но не ранее даты завершения расчетов
по ранее заключенным депозитным операциям.
    Одновременно со  дня  (даты)  перехода  Банка  под  управление
Агентства  Банк  России  прекращает  заключение  новых  депозитных
операций с Банком.
(в ред. Указаний ЦБ РФ от 26.11.99 N 686-У, от 11.01.2001 N 899-У)
 
         6. Порядок приостановления действия Соглашения
 
          (в ред. Указания ЦБ РФ от 26.11.99 N 686-У)
 
    6.1.  Банк  России  вправе  приостановить  действие настоящего
Соглашения (т.е.  не заключать с Банком новые депозитные операции)
по следующим причинам:
   (в ред. Указания ЦБ РФ от 11.01.2001 N 899-У)
    6.1.1. При   невыполнении   Банком   обязательных    резервных
требований   Банка   России   (т.е.   при   наличии  недовзноса  в
обязательные резервы,  неуплаченных штрафов за  нарушение  порядка
резервирования    по    результатам   очередного   (внеочередного)
регулирования размера обязательных резервов,  при  непредставлении
расчета    регулирования    размера    обязательных   резервов   в
установленный срок и (или) при представлении расчета с  нарушением
установленного  срока)  -  на  последнюю  отчетную  дату  (либо по
результатам проведенной проверки правильности составления  расчета
регулирования   размера   обязательных  резервов  -  за  последний
отчетный период);
    6.1.2. При возникновении у Банка просроченной задолженности по
кредитам  Банка  России  и  процентам  по  ним  и   (или)   других
просроченных  денежных  обязательств перед Банком России в течение
последних 30 дней;
    6.1.3.  При  отнесении Банка к 4-й классификационной группе (в
соответствии   с требованиями  соответствующих  нормативных  актов
Банка России) на последнюю отчетную дату;
   (в ред. Указания ЦБ РФ от 11.01.2001 N 899-У)
    6.1.4.  При  неисполнении  Банком  обязательств  по депозитной
операции (в соответствии с пунктом 5.4 Положения);
   (в ред. Указания ЦБ РФ от 11.01.2001 N 899-У)
    6.1.5. При    выявлении    Банком   России   факта   изменения
наименования,   юридического    адреса    и    (или)    реквизитов
корреспондентского счета Банка, указанных в настоящем Соглашении;
    6.1.6. При перечислении Банком денежных средств  в  депозит  в
сумме,  установленной Документарным подтверждением переговоров, на
счет,  отличный от указанного Банку в Документарном  подтверждении
переговоров.
    6.2.  По основаниям,  перечисленным в пп.  6.1.1 - 6.1.3, Банк
России  принимает  решение  о приостановлении  действия настоящего
Соглашения  на  неопределенный  срок  (не  ранее полного погашения
Банком  недовзноса  в обязательные  резервы,   уплаты  штрафов  за
нарушение    порядка   резервирования,    погашения   просроченных
обязательств   по  кредитам  Банка  России,   других  просроченных
денежных обязательств перед Банком России, либо не ранее отнесения
Банка к классификационной группе не ниже чем к 3-й (в соответствии
с требованиями соответствующих нормативных актов Банка России)).
    По  основанию,  указанному в п.  6.1.4,  Банк России принимает
решение о прекращении осуществления депозитных операций на срок до
десяти рабочих дней, но не ранее полного взыскания суммы штрафа за
неисполнение  обязательств  по депозитной операции;  по основанию,
указанному в п. 6.1.6, - на срок до десяти рабочих дней.
   (в ред. Указания ЦБ РФ от 11.01.2001 N 899-У)
    6.3. Решение   Банка   России   о   приостановлении   действия
настоящего Соглашения  передается  Банку  по  системе  "Рейтерс  -
дилинг" при обращении Банка с предложением о заключении депозитной
операции с последующим подтверждением в простой письменной форме.
   (в ред. Указания ЦБ РФ от 11.01.2001 N 899-У)
    6.4. При  изменении  наименования,  юридического адреса,  БИК,
номера корреспондентского счета,  ИНН Банка, указанных в настоящем
Соглашении,   Банк  России  приостанавливает  действие  настоящего
Соглашения с момента выявления факта изменения реквизитов Банка до
дня  подписания  сторонами Дополнительного соглашения к настоящему
Соглашению (в трех экземплярах),  содержащее измененные  реквизиты
Банка.
    При изменении ИНН Банк обязан не позднее  следующего  рабочего
дня  после дня присвоения налоговым органом нового ИНН представить
в  Банк  России  подписанное  со  своей   стороны   Дополнительное
соглашение   к   настоящему   Соглашению   (в  трех  экземплярах),
содержащее новый ИНН Банка.
    6.5.  Действие  настоящего  Соглашения  возобновляется  со дня
(даты),   указанного   в  письме  Банка  России  о приостановлении
действия настоящего Соглашения (в случае,  если дата возобновления
заключения депозитных операций указана в этом письме), либо со дня
(даты)  передачи Банком России соответствующего сообщения Банку по
системе "Рейтерс - дилинг".
   (в ред. Указания ЦБ РФ от 11.01.2001 N 899-У)
    6.6.   Исполнение   Банком   России   обязательств   по  ранее
заключенным депозитным операциям, т.е. заключенным с Банком до дня
выявления у Банка нарушений, указанных в подпунктах 6.1.1 - 6.1.6,
производится   в  общеустановленном   порядке   в  соответствии  с
настоящим Соглашением и Положением.
   (в ред. Указания ЦБ РФ от 11.01.2001 N 899-У)
 
                   7. Заключительные положения
 
    7.1.    Изменения   и  дополнения   к  настоящему   Соглашению
совершаются  в письменной  форме  в виде приложений к Соглашению и
подписываются руководителями и главными бухгалтерами Сторон.
    7.2.  Все  приложения  к Соглашению  являются его неотъемлемой
частью.
    7.3.   Настоящее  Соглашение  составлено  в трех  экземплярах,
имеющих одинаковую юридическую силу,  и состоит из ___ страниц, на
каждой  из которых проставлены подписи представителей Сторон.  Два
экземпляра  Соглашения хранятся в Банке России,  третий передается
Банку.
 
            8. Юридические адреса и реквизиты сторон
 
Банк России ______________________________________________________
             (наименование территориального учреждения, почтовый
__________________________________________________________________
                  адрес, телефон, факс, e-mail)
Банк _____________________________________________________________
       (почтовый адрес, телефон, факс, e-mail, регистрационный
__________________________________________________________________
  номер Банка, корреспондентский счет N __, БИК N __, ИНН N __,
__________________________________________________________________
                       др. реквизиты Банка)
 
Банк России:                      Банк:
 
Начальник Главного управления     Руководитель Банка
Банка России
 
____________ (должность, Ф.И.О.)  ____________ (должность, Ф.И.О.)
 (подпись)                         (подпись)
 
Главный бухгалтер                 Главный бухгалтер
Главного управления               Банка
Банка России
 
____________ (Ф.И.О.)             ____________ (Ф.И.О.)
 (подпись)                         (подпись)
 
    М.П.                              М.П.

Приложение 3/1
к Положению Банка России
от 13.01.99 N 67-П

(в ред. Указаний ЦБ РФ от 26.11.99 N 686-У, от 11.01.2001 N 899-У)

                ГЕНЕРАЛЬНОЕ СОГЛАШЕНИЕ N _______
            О ПРОВЕДЕНИИ ДЕПОЗИТНЫХ ОПЕРАЦИЙ В ВАЛЮТЕ
          РОССИЙСКОЙ ФЕДЕРАЦИИ С ИСПОЛЬЗОВАНИЕМ СИСТЕМЫ
        "РЕЙТЕРС - ДИЛИНГ" С РЕГИОНАЛЬНЫМ БАНКОМ, ИМЕЮЩИМ
                   ФИЛИАЛ В МОСКОВСКОМ РЕГИОНЕ
 
                         (типовая форма)
 
    г. __________________                 "__" ___________ 199_ г.
 
    Центральный банк Российской Федерации,  в дальнейшем именуемый
"Банк России", в лице начальника Главного управления (Председателя
Национального банка)  Центрального  банка  Российской Федерации по
__________________________________________________________________
_________________________________________________________________,
                       (Ф.И.О., должность)
действующего на   основании   доверенности,   с   одной стороны, и
_________________________________________________________________,
                       (наименование банка)
в дальнейшем именуемый "Банк", в лице ____________________________
_________________________________________________________________,
                       (Ф.И.О., должность)
действующего на основании _______________________________________,
                                  (Устава / Доверенности)
с другой стороны,  заключили настоящее Генеральное  соглашение  (в
дальнейшем именуемое "Соглашение") о нижеследующем:
 
                      1. Предмет Соглашения
 
    1.1.  Банк  России  проводит  операции по привлечению денежных
средств   Банка  в валюте  Российской  Федерации  с использованием
системы  "Рейтерс  - дилинг"  (далее  - "депозитные  операции") на
условиях  и в  порядке,  определенных  Положением  Банка России "О
порядке   проведения   депозитных   операций   Центральным  банком
Российской  Федерации  с банками - резидентами в валюте Российской
Федерации"  от  13.01.99  N 67-П (далее - "Положение") и настоящим
Соглашением.
    Расчеты  по  заключенным  с Банком России депозитным операциям
Банк   осуществляет   с корреспондентского  субсчета  N _________,
открытого  в _______________ (наименование подразделения расчетной
сети   Банка   России)   (далее   -  "корреспондентский  субсчет")
Московского  филиала  ________________  (наименование,  порядковый
номер филиала) (далее - "Московский филиал банка").
   (в ред. Указания ЦБ РФ от 11.01.2001 N 899-У)
    1.2. Депозитные операции осуществляются на основании следующих
документов:
    1.2.1. Положения;
    1.2.2. Настоящего Соглашения;
    1.2.3.   Документов,   подтверждающих   заключение  депозитных
операций  в ходе  переговоров  Банка  России  и Банка  по  системе
"Рейтерс   -  дилинг"   (далее   -  "Документарные   подтверждения
переговоров");
   (в ред. Указания ЦБ РФ от 11.01.2001 N 899-У)
    1.2.4.   Дополнительного(ых)   соглашения(ий)   к Договору(ам)
корреспондентского   счета  (корреспондентского(их)  субсчета(ов))
Банка   о  предоставлении   Банку  России  права  на  взыскание  с
корреспондентского   счета  (корреспондентского(их)  субсчета(ов))
Банка  без  распоряжения  Банка  - владельца счета суммы штрафа за
неисполнение   Банком   обязательств  по  депозитной  операции  на
основании    инкассового    поручения    в  порядке   очередности,
установленной законодательством.
   (в ред. Указания ЦБ РФ от 11.01.2001 N 899-У)
    1.3.  Депозитная  операция  по настоящему Соглашению считается
заключенной  с момента  взаимного  согласования  Банком  России  и
Банком по системе "Рейтерс - дилинг" условий депозитной операции и
их фиксирования в Документарном подтверждении переговоров.
    Документарное подтверждение переговоров оформляется при каждом
заключении  Банком  России и Банком депозитной операции и является
неотъемлемой частью настоящего Соглашения.
    В    Документарном   подтверждении   переговоров   указываются
следующие условия заключенной депозитной операции:
   (в ред. Указания ЦБ РФ от 11.01.2001 N 899-У)
    1.3.1. Сумма депозита (в целых рублях);
    1.3.2. Процентная ставка по депозиту (в процентах годовых);
    1.3.3.  Стандартное  условие,  на котором заключена депозитная
операция;
   (в ред. Указания ЦБ РФ от 11.01.2001 N 899-У)
    1.3.4. Дата и время заключения депозитной операции;
   (в ред. Указания ЦБ РФ от 11.01.2001 N 899-У)
    1.3.5.  Дата  размещения  денежных  средств  Банка  в депозит,
открываемый в Банке России;
    1.3.6. Дата возврата суммы депозита и уплаты процентов Банку;
    1.3.7.  Реквизиты корреспондентского субсчета банка, открытого
его московскому филиалу,  открытого в подразделении расчетной сети
Банка России (БИК,  ИНН,  номер корреспондентского субсчета банка,
открытого его московскому филиалу);
(в ред. Указаний ЦБ РФ от 26.11.99 N 686-У, от 11.01.2001 N 899-У)
    1.3.8. Реквизиты депозитного счета, открытого в Банке России.
    1.4.  Дилинг  - коды системы "Рейтерс - дилинг" Банка России и
Банка   указываются   в  Приложении   1 к  настоящему  Соглашению,
являющемуся неотъемлемой частью настоящего Соглашения.
   (в ред. Указания ЦБ РФ от 11.01.2001 N 899-У)
    1.5.   Стороны   принимают  на  себя  всю  ответственность  за
полномочия  дилеров,  заключающих  депозитные операции по  системе
"Рейтерс - дилинг".  Факт заключения по системе "Рейтерс - дилинг"
депозитной операции лицом,  не уполномоченным заключать депозитные
операции от имени  Банка  России  или  Банка,   но  которое  имело
фактический   доступ   к  терминалу  системы  "Рейтерс  - дилинг",
используемому для заключения депозитных операций, не может служить
основанием     для    признания    такой    депозитной    операции
недействительной.
   (в ред. Указания ЦБ РФ от 11.01.2001 N 899-У)
 
                      2. Условия Соглашения
 
    2.1. Прием  Банком России денежных средств Банка в  депозит  с
использованием   системы  "Рейтерс  -  дилинг"  осуществляется  на
стандартных условиях, определенных пунктом 4.3 Положения.
   (в ред. Указания ЦБ РФ от 26.11.99 N 686-У)
    2.2.  Условия депозитных операций, заключаемых Банком России и
Банком  в соответствии  с настоящим  Соглашением,  определяются на
основании  ежедневно передаваемого Банком России по информационной
системе  "Рейтер",  а также размещаемого на сервере Банка России в
сети  "Интернет"  сообщения  об  условиях  привлечения  средств  в
депозиты, открываемые в Банке России, в котором указываются:
   (в ред. Указания ЦБ РФ от 11.01.2001 N 899-У)
    2.2.1. Процентные  ставки  по  депозитам,  открываемым в Банке
России, привлекаемым на стандартных условиях, определенных пунктом
4.3 Положения, объявленных Банком России, - в процентах годовых;
   (в ред. Указания ЦБ РФ от 26.11.99 N 686-У)
    2.2.2.  Минимальная сумма, принимаемая Банком России в депозит
(в целых рублях).
    Банк  России  в течение  рабочего  дня  имеет  право  изменять
условия   заключения  депозитных операций по  системе  "Рейтерс  -
дилинг". Время вступления в силу принятых Банком России измененных
условий привлечения средств банков в депозиты, открываемые в Банке
России,  указывается в соответствующем сообщении,  передаваемом по
информационной системе "Рейтер".
   (в ред. Указания ЦБ РФ от 11.01.2001 N 899-У)
    2.3.  В течение рабочего дня заключение Банком России и Банком
депозитных операций по системе "Рейтерс - дилинг" осуществляется:
   (в ред. Указания ЦБ РФ от 11.01.2001 N 899-У)
    2.3.1. На условиях "овернайт" - до 13.00 московского времени;
    2.3.2.  На  других стандартных условиях,  определенных пунктом
4.3 Положения,  объявленных Банком России,  - до 17.00 московского
времени.
    Банк  России в течение рабочего дня имеет право изменять время
заключения  депозитных  операций  по  системе  "Рейтерс - дилинг".
Указанные  изменения  вступают  в силу  с момента  передачи Банком
России   соответствующего   сообщения  по  информационной  системе
"Рейтер".
(в ред. Указаний ЦБ РФ от 26.11.99 N 686-У, от 11.01.2001 N 899-У)
    2.4. Банк  России  может  ограничивать  количество  депозитных
операций, заключаемых с  Банком  по  системе  "Рейтерс - дилинг" в
течение одного рабочего дня на одинаковом стандартном условии.
(в ред. Указаний ЦБ РФ от 26.11.99 N 686-У, от 11.01.2001 N 899-У)
    2.5.   Проценты  по  депозитам,  привлеченным  Банком  России,
начисляются  по  формуле  простых процентов за период фактического
срока  (включая выходные и праздничные дни,  а также выходные дни,
перенесенные  на  рабочие  дни по решению Правительства Российской
Федерации)  привлечения  средств  до  дня  (даты)  возврата  суммы
депозита   на   корреспондентский  субсчет  банка,   открытый  его
московскому филиалу, открытый в подразделении расчетной сети Банка
России, включительно, исходя из количества календарных дней в году
(365  или  366  дней  соответственно).  День  (дата)  перечисления
(поступления) средств Банка на счет по учету депозитов, открытый в
Банке  России,  в  расчет суммы процентов не включается.  Если дни
периода  начисления  процентов  по  депозиту,   открытому  в Банке
России,  приходятся  на  календарные  годы с различным количеством
дней  (365 и 366 дней соответственно),  то начисление процентов за
дни,  приходящиеся  на  календарный  год  с количеством  дней 365,
производится  из  расчета  365 календарных дней в году,  а за дни,
приходящиеся   на   календарный   год   с  количеством  дней  366,
производится из расчета 366 календарных дней в году.
    Начисление процентов по депозитам, привлеченным Банком России,
производится  на  входящие  остатки  средств  по отдельным лицевым
счетам  по  учету  депозитов,  открытым в Банке России,  в разрезе
каждой заключенной депозитной операции.
    Уплата  процентов  по  депозиту,  привлеченному Банком России,
осуществляется одновременно с возвратом Банку суммы депозита.
(в ред. Указаний ЦБ РФ от 26.11.99 N 686-У, от 11.01.2001 N 899-У)
    2.6.  В установленный Документарным подтверждением переговоров
день   Банк  перечисляет  денежные  средства  на  присвоенный  ему
отдельный лицевой счет по учету депозитов,  открытый в ОПЕРУ-1 при
Банке России.
    Размещение  Банком  средств  в депозит,   открываемый  в Банке
России,  производится  платежным  поручением  Московского  филиала
банка,  в  котором  в разделе  "Назначение  платежа"  указываются:
"перечисление  средств в депозит,  открываемый в Банке России",  а
также дата и номер настоящего Соглашения.
    При   этом   надлежащим  исполнением  Банком  обязательств  по
депозитной операции   считается  своевременное  и полное  списание
денежных  средств  с корреспондентского субсчета банка,  открытого
его  московскому  филиалу  N _____,  открытого в _________________
________  (наименование подразделения расчетной сети Банка России)
(далее   -  "корреспондентский   субсчет   банка,   открытый   его
московскому  филиалу"),  для  размещения в депозит,  открываемый в
Банке России.
   (в ред. Указания ЦБ РФ от 11.01.2001 N 899-У)
    2.7.  Банк России в установленный Документарным подтверждением
переговоров  день производит возврат Банку суммы депозита и уплату
процентов  по  депозиту  путем  перечисления  денежных  средств на
корреспондентский субсчет банка, открытый его московскому филиалу,
открытый в подразделении расчетной сети Банка России.
    При  этом надлежащим исполнением Банком России обязательств по
депозитной операции считается  своевременное  и полное  зачисление
суммы  депозита  и уплата  Банку  процентов,  начисленных на сумму
привлеченного   депозита,   на  корреспондентский  субсчет  банка,
открытый   его   московскому  филиалу,   открытый  в подразделении
расчетной сети Банка России.
    Депозиты, открытые в Банке России, пролонгации не подлежат.
    По  депозитным операциям,  заключаемым на стандартных условиях
по  системе  "Рейтерс  - дилинг",  по  которым  срок привлекаемого
Банком  России  депозита  кратен  1 месяцу,  возврат Банком России
суммы депозита и уплата процентов по депозиту (т.е. дата окончания
депозита)  наступает  в такую  же  по  значению  дату,  что и дата
поступления  (перечисления)  средств  на  счет  по учету депозитов
(если  дата  окончания  депозита  приходится на нерабочий день - в
следующий за ним рабочий день). При этом по месячным депозитам, по
которым  дата  поступления  (перечисления)  средств  приходится на
последний  рабочий день месяца,  действует правило "конца месяца",
т.е.   датой   возврата  Банком  России  суммы  депозита  и уплаты
процентов  (датой  окончания  депозита)  будет  являться последний
рабочий день соответствующего месяца.
(в ред. Указаний ЦБ РФ от 26.11.99 N 686-У, от 11.01.2001 N 899-У)
    2.8. Документами, подтверждающими надлежащее исполнение Банком
обязательств по депозитной операции, являются:
   (в ред. Указания ЦБ РФ от 11.01.2001 N 899-У)
    2.8.1.   Платежное  поручение  Московского  филиала  банка  на
перечисление   средств  в депозит,   открываемый  в Банке  России,
оформленный   в  соответствии   с  установленными   Банком  России
правилами  и представленный  в подразделение  расчетной сети Банка
России;
    2.8.2. Выписка по корреспондентскому субсчету банка, открытому
его московскому филиалу,  открытому в подразделении расчетной сети
Банка  России,  официально  подтверждающая  факт списания денежных
средств   с  корреспондентского  субсчета  банка,   открытого  его
московскому  филиалу  для перечисления на счет по учету депозитов,
открытый в Банке России;
   (в ред. Указания ЦБ РФ от 11.01.2001 N 899-У)
    2.8.3.  Выписка по счету по учету депозитов, открытому в Банке
России, официально подтверждающая факт зачисления суммы депозита.
    2.9. Документами, подтверждающими надлежащее исполнение Банком
России обязательств по депозитной операции, являются:
   (в ред. Указания ЦБ РФ от 11.01.2001 N 899-У)
    2.9.1.  Выписка по счету по учету депозитов, открытому в Банке
России, официально подтверждающая факт списания суммы депозита для
зачисления  на  корреспондентский  субсчет  банка,   открытый  его
московскому филиалу, открытый в подразделении расчетной сети Банка
России;
   (в ред. Указания ЦБ РФ от 11.01.2001 N 899-У)
    2.9.2. Выписка по корреспондентскому субсчету банка, открытому
его московскому филиалу,  открытому в подразделении расчетной сети
Банка  России,  официально  подтверждающая  факт  зачисления суммы
депозита и уплаты суммы процентов по депозиту на корреспондентский
субсчет банка, открытый его московскому филиалу.
   (в ред. Указания ЦБ РФ от 11.01.2001 N 899-У)
 
             3. Обязанности и ответственность Сторон
 
    3.1.   Стороны  обязуются  соблюдать  условия,   установленные
настоящими Соглашением и Положением.
    3.2. Стороны обязуются:
    -   обеспечивать   конфиденциальность  содержания  совершаемых
депозитных операций;
    -  не  отказываться  от исполнения обязательств по заключенным
депозитным операциям;
    -  не  взимать  комиссионных  сборов  за проведение депозитных
операций.
   (в ред. Указания ЦБ РФ от 11.01.2001 N 899-У)
    3.3. Банк обязуется:
    3.3.1.   В   установленный   срок   перечислить   указанную  в
Документарном  подтверждении переговоров сумму денежных средств на
счет  по  учету  депозитов,  открытый  в Банке России,  в порядке,
установленном в п. 2.6 настоящего Соглашения.
    Неперечисление  / неполное перечисление Банком в установленный
срок  указанной  в Документарном  подтверждении  переговоров суммы
денежных  средств  с корреспондентского субсчета банка,  открытого
его московскому филиалу,  открытого в подразделении расчетной сети
Банка России, на счет по учету депозитов, открытый в Банке России,
является неисполнением Банком обязательств по депозитной операции.
    В   случае  неисполнения  Банком  обязательств  по  депозитной
операции  Банк  России  на следующий рабочий день без распоряжения
владельца  счета  взыскивает  с Банка штраф за один день в размере
двойной ставки рефинансирования Банка России, действующей на дату,
установленную   для   перечисления   денежных  средств  в депозит,
открываемый в Банке России,  деленной на 365 (366) дней,  от суммы
заключенной депозитной операции.
    Взыскание  суммы штрафа за неисполнение Банком обязательств по
депозитной     операции     производится     Банком    России    с
корреспондентского  субсчета  банка,   открытого  его  московскому
филиалу, открытого в подразделении расчетной сети Банка России, на
основании   инкассового  поручения  ОПЕРУ-1  при  Банке  России  в
очередности, установленной законодательством Российской Федерации.
    При   отсутствии   возможности   взыскания   суммы   штрафа  с
указанного счета взыскание производится с корреспондентского счета
Банка N _________, открытого в _____________________ (наименование
подразделения    расчетной    сети    Банка   России)   (далее   -
корреспондентский счет) корреспондентского(их) субсчета(ов) Банка,
открытого(ых)  в подразделении(ях) расчетной сети Банка России,  в
очередности, установленной законодательством Российской Федерации.
Под    отсутствием    возможности   взыскания   суммы   штрафа   с
корреспондентского  субсчета  Банка,   открытого  его  московскому
филиалу,  в  целях  настоящего  Соглашения понимаются отсутствие /
недостаточность  денежных  средств  на  корреспондентском субсчете
Банка,  открытом его московскому филиалу,  арест денежных средств,
находящихся  на  корреспондентском  субсчете  Банка,  открытом его
московскому филиалу.
    При  нарушении  Банком  обязательств  по  депозитной  операции
проведение  с ним  новых депозитных операций осуществляется Банком
России  не  ранее  следующего рабочего дня после полного взыскания
суммы  начисленного  штрафа.  Одновременно  Банк  России принимает
решение о прекращении осуществления депозитных операций на срок до
10 рабочих дней,  но не ранее полного взыскания суммы начисленного
штрафа.
   (в ред. Указания ЦБ РФ от 11.01.2001 N 899-У)
    3.3.2.  Не  уступать  третьим  лицам право требования денежных
средств, размещенных в депозит, открытый в Банке России.
    3.3.3.  Не  изымать досрочно средства,  размещенные в депозит,
открытый в Банке России.
    3.4. Банк России обязуется:
    3.4.1.  В  установленный  срок  возвратить  сумму  депозита на
корреспондентский субсчет банка, открытый его московскому филиалу,
открытый  в подразделении расчетной сети Банка России,  и уплатить
Банку   проценты   по   указанной   в Документарном  подтверждении
переговоров  ставке в порядке,  установленном в п.  2.5 настоящего
Соглашения.
   (в ред. Указания ЦБ РФ от 11.01.2001 N 899-У)
    3.4.2.   В   случае  перечисления  Банком  на  счет  по  учету
депозитов,  открытый  в Банке  России,  денежных  средств в сумме,
меньшей,  чем  сумма,  установленная  Документарным подтверждением
переговоров,  не  позднее  следующего  рабочего  дня возвратить на
корреспондентский субсчет банка, открытый его московскому филиалу,
открытый    в   подразделении   расчетной   сети   Банка   России,
перечисленную в депозит сумму денежных средств,  при этом проценты
на указанную сумму не начисляются.
   (в ред. Указания ЦБ РФ от 11.01.2001 N 899-У)
    3.4.3.  Не  позднее  следующего  рабочего  дня  возвратить  на
корреспондентский субсчет банка, открытый его московскому филиалу,
открытый  в подразделении  расчетной  сети  Банка  России,   сумму
денежных  средств,  перечисленную  на  счет  по  учету  депозитов,
открытый  в Банке  России,  в  срок,  отличный  от  установленного
Документарным  подтверждением  переговоров,  при  этом проценты на
указанную сумму не начисляются.
   (в ред. Указания ЦБ РФ от 11.01.2001 N 899-У)
    3.4.4.  В  случае перечисления Банком средств на счет по учету
депозитов,  открытый в Банке России,  в сумме, большей, чем сумма,
установленная Документарным подтверждением переговоров, не позднее
следующего  рабочего  дня  возвратить на корреспондентский субсчет
банка,  открытый его московскому филиалу, открытый в подразделении
расчетной сети Банка России,  излишне перечисленную сумму средств,
при этом проценты на указанную сумму не начисляются.
    Начисление   процентов   на   перечисленную   сумму  депозита,
установленную Документарным подтверждением переговоров, произвести
в порядке, предусмотренном п. 2.5 настоящего Соглашения.
   (в ред. Указания ЦБ РФ от 11.01.2001 N 899-У)
    3.4.5.   В  случае  неисполнения  обязательств  по  депозитной
операции  уплатить  Банку  штраф  за  один  день в размере двойной
ставки рефинансирования Банка России, действующей на установленную
дату  возврата депозита и уплаты процентов Банку,  деленной на 365
(366) дней, от суммы невозвращенного депозита.
    Одновременно  доначислить  и уплатить  Банку проценты на сумму
депозита  за  фактическое  количество  календарных  дней просрочки
возврата   депозита   (начиная   со   дня,   следующего  за  днем,
установленным   Банку   России   для  возврата  депозита  и уплаты
процентов,   до   дня   фактического   исполнения   Банком  России
обязательств по депозитной операции включительно).
   (в ред. Указания ЦБ РФ от 11.01.2001 N 899-У)
    3.5.  При  возникновении у Банка просроченной задолженности по
кредиту Банка России в течение срока действия заключенной с Банком
России  депозитной операции Банк России на основании статьи 410 ГК
РФ  вправе  прекратить  не  исполненное  Банком  обязательство  по
кредиту  зачетом денежных средств,  размещенных Банком на счете по
учету депозита,  открытом в Банке России, и процентов, начисленных
по депозиту, о чем Банк извещается в простой письменной форме.
    При  этом зачет сумм встречных требований производится в срок,
установленный   Банку   России   для  исполнения  обязательств  по
депозитной  операции  (возврату  депозита  и уплате  процентов  по
нему).  В  случае  превышения  суммы  привлеченного  Банком России
депозита  и начисленных  по  нему  процентов над суммой требований
Банка  России  по  предоставленному Банку кредиту сумма превышения
направляется   на   корреспондентский   счет  Банка,   открытый  в
подразделении расчетной сети Банка России.
(в ред. Указаний ЦБ РФ от 26.11.99 N 686-У, от 11.01.2001 N 899-У)
 
                  4. Порядок разрешения споров
 
    4.1. Разногласия, возникающие в процессе выполнения настоящего
Соглашения,     рассматриваются     Сторонами    для    достижения
взаимоприемлемых решений.
    4.2. Не урегулированные Сторонами споры разрешаются в порядке,
установленном действующим законодательством Российской Федерации.
 
      5. Срок действия Соглашения и порядок его прекращения
 
    5.1.   Настоящее   Соглашение   вступает   в силу  с даты  его
подписания Сторонами и действует в течение неопределенного срока.
    5.2.  Действие  настоящего Соглашения может быть прекращено по
инициативе  одной  из Сторон с предварительным уведомлением другой
Стороны  не  позднее  чем  за  3 (три)  рабочих  дня,  но не ранее
завершения расчетов по осуществленным депозитным операциям.
    В   случае  неисполнения  Банком  обязательств  по  депозитным
операциям  Банк  России вправе в одностороннем порядке расторгнуть
настоящее Соглашение.
   (в ред. Указания ЦБ РФ от 11.01.2001 N 899-У)
    5.3.  В  случае  перехода Банка под управление Государственной
корпорации  "Агентство  по реструктуризации кредитных организаций"
(далее  - Агентство)  Банк  России  по  получении  соответствующей
информации   представляет   Банку   уведомление   на   расторжение
настоящего  Соглашения  (в  простой  письменной форме) с указанием
даты расторжения Соглашения,  но не ранее даты завершения расчетов
по ранее заключенным депозитным операциям.
    Одновременно со  дня  (даты)  перехода  Банка  под  управление
Агентства  Банк  России  прекращает  заключение  новых  депозитных
операций с Банком.
(в ред. Указаний ЦБ РФ от 26.11.99 N 686-У, от 11.01.2001 N 899-У)
 
         6. Порядок приостановления действия Соглашения
 
         (в ред. Указания ЦБ РФ от 26.11.99 N 686-У)
 
    6.1.  Банк  России  вправе  приостановить  действие настоящего
Соглашения  (т.е.  не  заключать  с Банком депозитные операции) по
следующим причинам:
   (в ред. Указания ЦБ РФ от 11.01.2001 N 899-У)
    6.1.1. При    невыполнении   Банком   обязательных   резервных
требований  Банка  России   (т.е.   при   наличии   недовзноса   в
обязательные  резервы  по  результатам  очередного (внеочередного)
регулирования   размера   обязательных   резервов,   при   наличии
неуплаченных  штрафов  за  нарушение  порядка резервирования,  при
непредставлении   расчета   регулирования   размера   обязательных
резервов  в установленный срок и (или) при представлении расчета с
нарушением установленного срока)  -  на  последнюю  отчетную  дату
(либо по результатам проведенной проверки правильности составления
расчета регулирования размера обязательных резервов - за последний
отчетный период);
    6.1.2. При возникновении у Банка просроченной задолженности по
кредитам   Банка   России  и  процентам  по  ним  и  (или)  других
просроченных денежных обязательств перед Банком России  в  течение
последних 30 дней;
    6.1.3.  При  отнесении Банка к 4-й классификационной группе (в
соответствии   с требованиями  соответствующих  нормативных  актов
Банка России) на последнюю отчетную дату;
   (в ред. Указания ЦБ РФ от 11.01.2001 N 899-У)
    6.1.4.  при  неисполнении  Банком  обязательств  по депозитной
операции (в соответствии с пунктом 5.4 Положения);
   (в ред. Указания ЦБ РФ от 11.01.2001 N 899-У)
    6.1.5. При    выявлении    факта    изменения    наименования,
юридического  адреса  и (или) реквизитов Банка и (или) Московского
филиала Банка, указанных в настоящем Соглашении;
    6.1.6. При  перечислении  Банком  денежных средств в депозит в
сумме,  установленной Документарным подтверждением переговоров, на
счет,  отличный  от указанного Банку в Документарном подтверждении
переговоров.
    6.2.  По основаниям,  перечисленным в пп.  6.1.1 - 6.1.3, Банк
России  принимает  решение  о приостановлении  действия настоящего
Соглашения  на  неопределенный  срок  (не  ранее полного погашения
Банком  недовзноса  в обязательные  резервы,   уплаты  штрафов  за
нарушение    порядка   резервирования,    погашения   просроченных
обязательств   по  кредитам  Банка  России,   других  просроченных
денежных обязательств перед Банком России, либо не ранее отнесения
Банка к классификационной группе не ниже чем к 3-й (в соответствии
с требованиями соответствующих нормативных актов Банка России)).
    По  основанию,  указанному в п.  6.1.4,  Банк России принимает
решение о прекращении осуществления депозитных операций на срок до
десяти рабочих дней, но не ранее полного взыскания суммы штрафа за
неисполнение  обязательств  по депозитной операции;  по основанию,
указанному в п. 6.1.6, - на срок до десяти рабочих дней.
   (в ред. Указания ЦБ РФ от 11.01.2001 N 899-У)
    6.3. Решение   Банка   России   о   приостановлении   действия
настоящего  Соглашения  передается  Банку  по  системе  "Рейтерс -
дилинг" при обращении Банка с предложением о заключении депозитной
операции с последующим подтверждением в простой письменной форме.
   (в ред. Указания ЦБ РФ от 11.01.2001 N 899-У)
    6.4. При изменении  наименования,  юридического  адреса,  БИК,
номера  корреспондентского счета,  ИНН Банка и (или) наименования,
порядкового   номера,    юридического    адреса,    БИК,    номера
корреспондентского   субсчета,   ИНН  Московского  филиала  Банка,
указанных в настоящем  Соглашении,  Банк  России  приостанавливает
действие настоящего Соглашения с момента выявления факта изменения
реквизитов  Банка  и  (или)  Московского  филиала  Банка  до   дня
подписания   сторонами  Дополнительного  соглашения  к  настоящему
Соглашению  (в   четырех   экземплярах),   содержащее   измененные
реквизиты Банка и (или) Московского филиала Банка.
    При изменении ИНН Банка и (или) Московского филиала Банка Банк
обязан  не  позднее  следующего  рабочего дня после дня присвоения
налоговым органом нового ИНН представить в Банк России подписанное
со своей стороны Дополнительное соглашение к настоящему Соглашению
(в  четырех  экземплярах),  содержащее  новый  ИНН  Банка  и (или)
Московского филиала Банка.
    6.5.  Действие  настоящего  Соглашения  возобновляется  со дня
(даты),   указанного   в  письме  Банка  России  о приостановлении
действия настоящего Соглашения (в случае,  если дата возобновления
заключения депозитных операций указана в этом письме), либо со дня
(даты)  передачи Банком России соответствующего сообщения Банку по
системе "Рейтерс - дилинг".
   (в ред. Указания ЦБ РФ от 11.01.2001 N 899-У)
    6.6. Исполнение   Банком   России   обязательств   по    ранее
заключенным депозитным операциям, т.е. заключенным с Банком до дня
выявления у Банка нарушений, указанных в подпунктах 6.1.1 - 6.1.6,
производится   в  общеустановленном   порядке   в  соответствии  с
настоящим Соглашением и Положением.
   (в ред. Указания ЦБ РФ от 11.01.2001 N 899-У)
 
                   7. Заключительные положения
 
    7.1.    Изменения   и  дополнения   к  настоящему   Соглашению
совершаются  в письменной  форме  в виде приложений к Соглашению и
подписываются руководителями и главными бухгалтерами Сторон.
    7.2.  Все  приложения  к Соглашению  являются его неотъемлемой
частью.
    7.3.  Настоящее  Соглашение  составлено в четырех экземплярах,
имеющих одинаковую юридическую силу,  и состоит из ___ страниц, на
каждой  из которых проставлены подписи представителей Сторон.  Три
экземпляра   Соглашения   хранятся   в  Банке  России,   четвертый
передается Банку.
 
            8. Юридические адреса и реквизиты Сторон
 
Банк России ______________________________________________________
             (наименование территориального учреждения, почтовый
__________________________________________________________________
                  адрес, телефон, факс, e-mail)
Банк _____________________________________________________________
        (почтовый адрес, телефон, факс, e-mail, регистрационный
__________________________________________________________________
  номер Банка, корреспондентский счет N __, БИК N __, ИНН N __,
__________________________________________________________________
                       др. реквизиты Банка)
Московский филиал банка __________________________________________
                         (наименование филиала, порядковый номер
__________________________________________________________________
         филиала, почтовый адрес, телефон, факс, e-mail,
__________________________________________________________________
     корреспондентский субсчет N, БИК N, ИНН N, др. реквизиты
__________________________________________________________________
                    Московского филиала банка)
 
Банк России:                      Банк:
 
Начальник Главного управления /   Руководитель Банка
Председатель Национального банка
Банка России
 
____________ (должность, Ф.И.О.)  ____________ (должность, Ф.И.О.)
 (подпись)                         (подпись)
 
Главный бухгалтер                 Главный бухгалтер
Главного управления /             Банка
Национального банка
Банка России
 
____________ (Ф.И.О.)             ____________ (Ф.И.О.)
 (подпись)                         (подпись)
 
    М.П.                              М.П.

Приложение 4
к Положению Банка России
от 13.01.99 N 67-П

РЕГЛАМЕНТ ПРОВЕДЕНИЯ БАНКОМ РОССИИ ДЕПОЗИТНЫХ ОПЕРАЦИЙ С БАНКАМИ - РЕЗИДЕНТАМИ В ВАЛЮТЕ РОССИЙСКОЙ ФЕДЕРАЦИИ

(в ред. Указания ЦБ РФ от 11.01.2001 N 899-У)

1. Основные положения

1.1. Проведение депозитных операций с банками осуществляется уполномоченными учреждениями / подразделениями Банка России на основании Положения Банка России "О порядке проведения Центральным банком Российской Федерации депозитных операций с банками - резидентами в валюте Российской Федерации" (далее - Положение) и Договоров - Заявок банков на участие в депозитном аукционе Центрального банка Российской Федерации / на размещение в Центральном банке Российской Федерации депозита по фиксированной процентной ставке (далее - Договор - Заявка) при проведении депозитного аукциона / депозитной операции по фиксированной процентной ставке, либо Генерального соглашения о проведении депозитных операций в валюте Российской Федерации с использованием системы "Рейтерс - дилинг" (далее - Генеральное соглашение) при проведении депозитных операций с использованием системы "Рейтерс - дилинг".

Банк России оставляет за собой право изменять установленное настоящим Регламентом время проведения депозитных операций в зависимости от технических возможностей уполномоченных учреждений / подразделений Банка России.

1.2. Банк получает выписки по отдельному лицевому счету по учету депозита, открытому в Банке России, в подразделении расчетной сети Банка России по месту открытия своего корреспондентского счета (региональный банк, заключивший соответствующее Генеральное соглашение, - в подразделении расчетной сети Банка России по месту открытия корреспондентского субсчета банка, открытого его московскому филиалу).

1.3. Депозитные аукционы проводятся в уполномоченном подразделении Банка России (г. Москва).

1.4. Проведение депозитных операций по системе "Рейтерс - дилинг" от имени Банка России осуществляется уполномоченным подразделением Банка России (г. Москва).

1.5. Банк России в соответствии с принятым решением о проведении депозитной операции (депозитного аукциона, депозитной операции по фиксированной процентной ставке) не позднее чем за 1 рабочий день до дня (даты) проведения соответствующей депозитной операции направляет в экономические управления (отделы) ГУ (НБ) Банка России (далее - ЭУ(О)) телеграмму о ее проведении, а также публикует официальное сообщение в "Вестнике Банка России" и размещает указанную информацию на сервере Банка России в сети Интернет в соответствии с пунктами 2.1 и 3.2 Положения.

1.6. По получении телеграммы (не позднее начала рабочего дня проведения депозитной операции) ЭУ(О) доводят информацию о проведении депозитной операции (депозитного аукциона, депозитной операции по фиксированной процентной ставке) до банков.

1.7. Банк России ежедневно передает сообщение об условиях привлечения средств банков в депозиты, открываемые в Банке России, с использованием системы "Рейтерс - дилинг" в соответствии с пунктом 4.4 Положения.

1.8. Банк России в целях участия в аукционах банков, расположенных в регионах, отстоящих от Москвы в часовых поясах от +2 часов и более, может изменять регламент проведения депозитных аукционов, изложенный в настоящем Регламенте.

Информация об этом указывается в телеграмме, направляемой в соответствующие ЭУ(О).

2. Проведение Банком России депозитного аукциона и депозитной операции по фиксированной процентной ставке

2.1. В день проведения депозитного аукциона (ТДА + 0) / депозитной операции по фиксированной процентной ставке (ТДф + 0) осуществляются следующие действия.

2.1.1. Для участия в депозитном аукционе / для размещения денежных средств в депозит, открываемый в Банке России, по фиксированной процентной ставке банк направляет в ЭУ(О) / уполномоченное подразделение Банка России Договор - Заявку (в 2 экземплярах) по форме Приложения 1 к Положению / Приложения 2 к Положению соответственно:

не позднее 14.00 часов московского времени - при проведении депозитного аукциона;

не позднее 14.00 местного времени - при проведении депозитной операции по фиксированной процентной ставке.

Договор - Заявка должен быть надлежащим образом оформлен и подписан.

Допускается представление Договора - Заявки в электронном виде или по факсимильной связи с обязательным представлением его на бумажном носителе:

до конца текущего рабочего дня - при проведении депозитного аукциона;

не позднее 14.00 местного времени - при проведении депозитной операции по фиксированной процентной ставке.

Договоры - Заявки банков, поступившие после установленного времени, а также Договоры - Заявки банков, не соответствующих требованиям и критериям, установленным п. 1.3 Положения, не допускаются к участию в депозитной операции Банка России. ЭУ(О) / уполномоченное подразделение Банка России до конца рабочего дня сообщает об этом банку (в письменной форме) и возвращает один экземпляр Договора - Заявки.

2.1.2. При проведении депозитной операции по фиксированной процентной ставке ЭУ(О) / уполномоченное подразделение Банка России до 17.00 местного времени передает банку надлежащим образом оформленный и подписанный оригинал Договора - Заявки. Допускается передача банку Договора - Заявки в электронном виде или по факсимильной связи с обязательной передачей его до конца текущего рабочего дня на бумажном носителе. Первый экземпляр Договора - Заявки хранится в ЭУ(О) / уполномоченном подразделении Банка России, другой - в банке.

Банк по получении от ЭУ(О) / уполномоченного подразделения Банка России Договора - Заявки до конца операционного дня (банки Московского региона - любым рейсом многорейсовой обработки платежей) направляет в подразделение расчетной сети Банка России платежное поручение на списание установленной Договором - Заявкой суммы денежных средств со своего корреспондентского счета, открытого в подразделении расчетной сети Банка России, на отдельный лицевой счет по учету депозита, открытый в Банке России, указанный ЭУ(О) / уполномоченным подразделением Банка России в Договоре - Заявке.

В платежном поручении в разделе "Назначение платежа" указываются: "перечисление средств в депозит, открываемый в Банке России", а также дата и регистрационный номер Договора - Заявки банка.

Подразделения расчетной сети Банка России при необходимости продлевают операционный день и зачисляют сумму средств на счет по учету депозитов, открытый в Банке России.

2.2. На следующий рабочий день после проведения депозитного аукциона (ТДА + 1) осуществляются следующие действия.

2.2.1. ЭУ(О) / уполномоченное подразделение Банка России до 12.00 московского времени сообщает банку результаты проведения депозитного аукциона и передает банку надлежащим образом оформленный и подписанный оригинал удовлетворенного по результатам аукциона Договора - Заявки банка. Допускается передача банку Договора - Заявки в электронном виде или по факсимильной связи с обязательной передачей его на бумажном носителе в установленное время. Первый экземпляр Договора - Заявки хранится в Банке России, другой - в банке.

Если по результатам депозитного аукциона Договор - Заявка банка не подлежит удовлетворению, ЭУ(О) / уполномоченное подразделение Банка России до 12.00 московского времени сообщает об этом банку (в письменной форме) и возвращает один экземпляр Договора - Заявки.

2.2.2. Банк, Договор - Заявка которого удовлетворен по результатам депозитного аукциона, должен перечислить средства в депозит, открываемый в Банке России, в порядке, установленном пунктом 2.1.2 настоящего Регламента.

2.3. Непредставление банком / Банком России в сроки, установленные в пунктах 2.1.1, 2.1.2, 2.2.1 настоящего Регламента, надлежащим образом оформленного и подписанного оригинала Договора - Заявки не освобождает банк / Банк России от обязательств по депозитной операции.

2.4. На следующий рабочий день после дня, установленного для перечисления средств в депозит (ТДА + 2) / (ТДФ + 1), ЭУ(О) / уполномоченное подразделение Банка России при неисполнении банком обязательств по депозитной операции начисляет штраф и взыскивает без распоряжения владельца счета инкассовым поручением сумму штрафа в порядке, установленном в пунктах 5.6, 5.7 Положения.

2.5. В установленный Договором - Заявкой день возврата депозита (ТДА + Х) / (ТДФ + Х) ЭУ(О) / уполномоченное подразделение Банка России списывает сумму депозита и зачисляет ее на корреспондентский счет банка, открытый в подразделении расчетной сети Банка России, а также осуществляет уплату процентов по депозиту.

2.6. В случае неисполнения Банком России обязательств по депозитной операции ЭУ(О) / уполномоченное подразделение Банка России в день выявления факта неисполнения перечисляет на корреспондентский счет банка, открытый в подразделении расчетной сети Банка России, сумму депозита, сумму штрафа, рассчитанную в порядке, установленном в п. 5.8 Положения, а также начисленные проценты на сумму депозита за фактическое количество календарных дней нахождения средств банка на счете по учету депозита, открытом в Банке России (начиная со дня, следующего за днем, установленным банку для перечисления средств в депозит, до дня фактического исполнения Банком России обязательств по депозитной операции включительно).

3. Проведение депозитных операций с использованием системы "Рейтерс - дилинг"

3.1. Процедура заключения Генерального соглашения.

3.1.1. В любой рабочий день банк, имеющий намерение размещать денежные средства в депозиты, привлекаемые Банком России по системе "Рейтерс - дилинг", в письменной форме обращается в ЭУ(О) по месту открытия своего корреспондентского счета с предложением заключить Генеральное соглашение (в письменной форме).

3.1.2. ЭУ(О), проверив наличие у банка системы "Рейтерс - дилинг" и дилинг - кодов и соблюдение банком критериев, установленных п. 1.3 Положения, заключает с банком Генеральное соглашение по установленной форме (в трех экземплярах - с банком Московского региона, в четырех экземплярах - с региональным банком).

Проверка соответствия банка установленным требованиям и критериям и заключение Генерального соглашения (либо направление письменного отказа) осуществляются ЭУ(О) в сроки, не превышающие 10 рабочих дней.

3.1.3. ЭУ(О) после подписания Генерального соглашения со стороны Банка России и присвоения ему номера передает один экземпляр Генерального соглашения банку. Остальные экземпляры хранятся в Банке России.

Каждый экземпляр подписанного сторонами (Банком России и банком) Генерального соглашения имеет одинаковую юридическую силу.

3.2. Процедура расторжения Генерального соглашения.

3.2.1. Банк России и банк, подписавший Генеральное соглашение, вправе расторгнуть Генеральное соглашение.

При намерении Банка России расторгнуть Генеральное соглашение ЭУ(О) не позднее чем за 3 рабочих дня (ТС - 3) представляет в банк уведомление на его расторжение (письменно в произвольной форме) с указанием даты расторжения.

Банк при намерении расторгнуть Генеральное соглашение не позднее чем за 3 рабочих дня (ТС - 3) представляет в ЭУ(О) уведомление на его расторжение (письменно в произвольной форме) с указанием предполагаемой даты расторжения. ЭУ(О) после согласования даты расторжения с уполномоченным подразделением Банка России направляет банку подтверждение о расторжении Генерального соглашения (письменно в произвольной форме) с указанием конкретной даты расторжения.

3.2.2. Банк, представив / получив уведомление на расторжение Генерального соглашения в ЭУ(О) / от ЭУ(О), имеет право на размещение средств в депозиты, открываемые в Банке России с использованием системы "Рейтерс - дилинг", в период до расторжения Генерального соглашения, но с таким расчетом, чтобы установленные Банку России сроки возврата суммы депозита и уплаты процентов наступали не позднее чем за 1 рабочий день до даты расторжения Генерального соглашения (ТС - 1).

3.2.3. ЭУ(О) в день расторжения Генерального соглашения информирует об этом банк в простой письменной форме.

За банком сохраняется право в любой рабочий день обратиться в ЭУ(О) с предложением заключить новое Генеральное соглашение.

3.2.4. В случае перехода банка под управление Государственной корпорации "Агентство по реструктуризации кредитных организаций" (далее - Агентство) ЭУ(О) по получении соответствующей информации после согласования даты расторжения с уполномоченным подразделением Банка России представляет банку уведомление на расторжение Генерального соглашения (в простой письменной форме) с указанием даты расторжения Генерального соглашения.

Со дня (даты) перехода банка под управление Агентства уполномоченное подразделение Банка России прекращает проведение новых депозитных операций с банком.

3.3. В день проведения депозитных операций с использованием системы "Рейтерс - дилинг" (ТДР + 0) осуществляются следующие действия.

3.3.1. Банк России до 11.00 московского времени передает официальное сообщение об условиях привлечения средств банков в депозиты, открываемые в Банке России, на текущий рабочий день, в соответствии с пунктом 4.4 Положения.

3.3.2. В течение рабочего дня проведение депозитных операций по системе "Рейтерс - дилинг" осуществляется дилерами Банка России и банка - контрагента в соответствии с пунктом 4.5 Положения.

3.3.3. Документом, подтверждающим факт совершения депозитной операции, является Документарное подтверждение переговоров по системе "Рейтерс - дилинг" (далее - Документарное подтверждение переговоров).

3.4. В день, установленный Документарным подтверждением переговоров для перечисления денежных средств банка в депозит, открываемый в Банке России /(ТДР + 0), или (ТДР + 1), или (ТДР + 2)/, банк в течение операционного дня любым рейсом системы многорейсовой обработки платежей должен направить в подразделение расчетной сети Банка России платежное поручение на списание установленной Документарным подтверждением переговоров суммы денежных средств со своего корреспондентского счета (корреспондентского субсчета, открытого его московскому филиалу), открытого в подразделении расчетной сети Банка России, на отдельный лицевой счет по учету депозита, открытый в Банке России, указанный в Документарном подтверждении переговоров.

В платежном поручении в разделе "Назначение платежа" указываются: "перечисление средств в депозит, открываемый в Банке России", а также дата и номер заключенного Генерального соглашения.

(ТДР + 0) - день, установленный для перечисления средств по депозитным операциям, проводимым на стандартных условиях, при которых поступление (перечисление) средств в депозит, открываемый в Банке России, осуществляется в день проведения операции, (ТДР + 1) - по депозитным операциям, проводимым на стандартных условиях, при которых поступление (перечисление) средств в депозит, открываемый в Банке России, осуществляется на следующий рабочий день после дня проведения операции (ТДР + 2) - по депозитным операциям, проводимым на стандартных условиях, при которых поступление (перечисление) средств в депозит, открываемый в Банке России, осуществляется на второй рабочий день после дня проведения операции.

3.5. На следующий рабочий день после размещения банком средств в депозит, открытый в Банке России /(ТДР + 1), или (ТДР + 2), или (ТДР + 3)/, уполномоченное подразделение Банка России при неисполнении банком обязательств по депозитной операции начисляет штраф и взыскивает без распоряжения владельца счета инкассовым поручением сумму штрафа в порядке, установленном пунктами 5.6, 5.7 Положения.

(ТДР + 1) - следующий рабочий день после дня размещения банком средств по депозитным операциям, проводимым на стандартных условиях, при которых поступление (перечисление) средств в депозит, открываемый в Банке России, осуществляется в день проведения операции, (ТДР + 2) - по депозитным операциям, проводимым на стандартных условиях, при которых поступление (перечисление) средств в депозит, открываемый в Банке России, осуществляется на следующий рабочий день после дня проведения операции, (ТДР + 3) - по депозитным операциям, проводимым на стандартных условиях, при которых поступление (перечисление) средств в депозит, открываемый в Банке России, осуществляется на второй рабочий день после дня проведения операции.

3.6. В установленный Документарным подтверждением переговоров день возврата депозита (ТДР + Х) уполномоченное подразделение Банка России списывает сумму депозита и зачисляет ее на корреспондентский счет банка (корреспондентский субсчет банка, открытый его московскому филиалу), открытый в подразделении расчетной сети Банка России, и одновременно осуществляет уплату процентов по депозиту.

3.7. В случае неисполнения Банком России обязательств по депозитной операции уполномоченное подразделение Банка России в день выявления факта неисполнения перечисляет на корреспондентский счет банка (корреспондентский субсчет банка, открытый его московскому филиалу), открытый в подразделении расчетной сети Банка России, сумму депозита, сумму штрафа, рассчитанную в порядке, установленном в п. 5.8 Положения, а также начисленные проценты на сумму депозита за фактическое количество календарных дней нахождения средств банка на счете по учету депозита, открытом в Банке России (начиная со дня, следующего за днем, установленным банку для перечисления средств в депозит, до дня фактического исполнения Банком России обязательств по депозитной операции включительно).

Приложение 5
к Положению Банка России
от 13.01.99 N 67-П

ПОРЯДОК БУХГАЛТЕРСКОГО УЧЕТА ДЕПОЗИТНЫХ ОПЕРАЦИЙ БАНКА РОССИИ В БАНКАХ

(в ред. Указаний ЦБ РФ от 08.02.99 N 498-У, от 26.11.99 N 686-У, от 07.03.2001 N 931-У)

Бухгалтерский учет сумм начисленных процентов по депозитам, размещенным в Банке России, ведется по "кассовому" методу

1. Бухгалтерский учет средств, размещенных в депозит, открываемый в Банке России, осуществляется на активном балансовом счете N 319 "Депозиты и иные размещенные средства в Банке России". Аналитический учет депозитных операций ведется банком в соответствии с п. 3.39 части II "Характеристика счетов" Правил ведения бухгалтерского учета в кредитных организациях, расположенных на территории Российской Федерации, от 18.06.97 N 61 (с учетом последующих изменений и дополнений). (в ред. Указания ЦБ РФ от 07.03.2001 N 931-У)

2. При перечислении банком средств в депозит, открываемый в Банке России, делаются следующие бухгалтерские проводки:

Д-т сч. 319 "Депозиты и иные размещенные средства в Банке России" (отдельный лицевой счет на соответствующем счете второго порядка)

К-т сч. 30102 "Корреспондентские счета кредитных организаций в Банке России". (в ред. Указания ЦБ РФ от 07.03.2001 N 931-У)

3. При взыскании Банком России с корреспондентского счета банка суммы штрафа за неисполнение последним обязательств по депозитной сделке делаются следующие бухгалтерские проводки:

Д-т сч. 70208 "Штрафы, пени, неустойки уплаченные"

К-т сч. 30102 "Корреспондентские счета кредитных организаций в Банке России".

4. В последний рабочий день каждого месяца в случае, если дата начала периода начисления процентов по депозиту и дата, установленная Банку России для уплаты процентов по указанному депозиту, приходятся на разные месяцы, делаются следующие бухгалтерские проводки:

Д-т сч. 47427 "Требования банка по получению процентов" (отдельный лицевой счет по учету требований банка по получению процентов по размещенным в Банке России депозитам)

К-т сч. сч. N 32801 "Предстоящие поступления по операциям, связанным с предоставлением (размещением) межбанковских кредитов, депозитов и иных размещенных средств"

на сумму процентов по депозиту, начисленных банком за период со дня, следующего за днем перечисления средств в депозит, открытый в Банке России, по последний календарный день месяца включительно.

При этом проценты, начисленные за последние календарные дни отчетного месяца, приходящиеся на нерабочие дни, должны быть отражены по соответствующим счетам бухгалтерского учета в балансе банка на первое число месяца, следующего за отчетным.

Бухгалтерские проводки по отражению на соответствующих отдельных лицевых счетах сумм причитающихся к получению процентов должны осуществляться либо в последний рабочий день отчетного месяца (в этом случае проценты начисляются на остаток по соответствующему счету на конец последнего рабочего дня отчетного месяца), либо в первый рабочий день месяца, следующего за отчетным (непосредственно при формировании баланса на первое число месяца, следующего за отчетным). Выбор дня, в который осуществляется бухгалтерская проводка, определяется в соответствии с принятой банком учетной политикой. (в ред. Указаний ЦБ РФ от 08.02.99 N 498-У, от 26.11.99 N 686-У, от 07.03.2001 N 931-У)

5. При возврате Банком России суммы депозита и уплате процентов делаются следующие бухгалтерские проводки:

5.1. На сумму депозита:

Д-т сч. 30102 "Корреспондентские счета кредитных организаций в Банке России"

К-т сч. N 319 "Депозиты и иные размещенные средства в Банке России" (отдельный лицевой счет на соответствующем счете второго порядка). (в ред. Указания ЦБ РФ от 07.03.2001 N 931-У)

5.2. В случае, если проводка, указанная в п. 4 настоящего Приложения, осуществлялась:

Д-т сч. 47427 "Требования банка по получению процентов" (отдельный лицевой счет по учету требований банка по получению процентов по размещенным в Банке России депозитам)

К-т сч. N 32801 "Предстоящие поступления по операциям, связанным с предоставлением (размещением) межбанковских кредитов, депозитов и иных размещенных средств"

- на сумму процентов, доначисленных со дня, следующего за днем осуществления проводки, указанной в п. 4 настоящего Приложения.

Д-т сч. 30102 "Корреспондентские счета кредитных организаций в Банке России"

К-т 47427 "Требования банка по получению процентов (отдельный лицевой счет по учету требований банка по получению процентов по размещенным в Банке России депозитам)

- на всю сумму процентов, начисленных по депозиту

и одновременно

Д-т сч. 61301 "Доходы будущих периодов по кредитным операциям"

К-т сч. 70101 "Проценты, полученные за предоставленные кредиты"

- на всю сумму процентов, начисленных по депозиту. (в ред. Указаний ЦБ РФ от 26.11.99 N 686-У, от 07.03.2001 N 931-У)

5.3. В случае, если бухгалтерская проводка, указанная в п. 4 настоящего Приложения, не осуществлялась, делаются бухгалтерские проводки, аналогичные указанным в п. 5.2 настоящего Приложения, на всю сумму процентов, начисленных за весь срок депозита. (в ред. Указания ЦБ РФ от 26.11.99 N 686-У)

6. При уплате Банком России штрафов за неисполнение обязательств по депозитной сделке:

Д-т сч. 30102 "Корреспондентские счета кредитных организаций в Банке России"

К-т сч. 70106 "Штрафы, пени, неустойки полученные"

на сумму полученного штрафа.

Приложение 6
к Положению Банка России
от 13.01.99 N 67-П

Не подлежит публикации (п. 6.3 Положения).

Приложение 7
к Положению Банка России
от 13.01.99 N 67-П

РАСЧЕТ СУММЫ ПРОЦЕНТОВ ПО ДЕПОЗИТУ, РАЗМЕЩЕННОМУ В БАНКЕ РОССИИ

(в ред. Указаний ЦБ РФ от 26.11.99 N 686-У; от 27.12.99 N 714-У, от 07.03.2001 N 931-У)

Сумма требований банка, подлежащая уплате Банком России на корреспондентский счет банка:

S = O + I, где

O - сумма, размещенная в депозит;

I - сумма начисленных процентов за период размещения депозита.

Сумма начисленных процентов за период размещения депозита (I) рассчитывается по формуле:

      N Ok x ik      
I = [ k SUM   ] , где
 
        2   Nk        

Ok - сумма депозита на начало k-го дня размещения депозита;

k - день размещения депозита (k = 1 - день перечисления средств в депозит, k = N - день возврата суммы депозита). Суммирование происходит от k = 2 до k = N, т.к. день (дата) зачисления денежных средств на счет по учету депозита, открытого в Банке России, не учитывается при расчете суммы начисленных процентов;

N - число календарных дней от начала депозитной операции (дата зачисления денежных средств на счет по учету депозита, открытого в Банке России) до ее завершения (дата возврата Банком России депозита и уплаты процентов по нему);

Nk - число календарных дней в календарном году, на который приходится k-й день размещения депозита (365 / 366);

ik - процентная ставка по депозиту на начало k-го дня размещения депозита;

[X] - операция округления суммы X с точностью до копеек.

Условный пример 1

Расчет суммы начисленных процентов по депозиту, размещенному в Банке России на стандартном условии "1 неделя", даты размещения и возврата которого приходятся на разные месяцы

Исходные данные

Сумма размещаемого депозита 120 млн. руб.

Процентная ставка по депозиту (в процентах годовых) 9%.

Дата перечисления средств в депозит 27.08.99.

Дата возврата суммы депозита и уплаты процентов банкам 03.09.99.

Все дни размещения депозита приходятся на календарный год с количеством календарных дней 365.

Дни размещения депозита со второго по четвертый приходятся на первый отчетный период (август), а с пятого по седьмой - на второй отчетный период (сентябрь).

Сумма процентов, начисляемых за второй отчетный период, рассчитывается как разница суммы процентов, начисляемых за весь период размещения депозита, и суммы процентов, начисляемых за первый отчетный период.

День (дата) зачисления денежных средств на счет по учету депозита, открытый в Банке России, не учитывается при расчете суммы начисленных процентов.

Производим следующий расчет:

Таблица N 1

(в рублях)
 

БС Сумма остатков по балансовым счетам на ...
27.08.99 ... 30.08.99
Остаток на начало дня Дебет Кредит Остаток на конец дня   Остаток на начало дня Дебет Кредит Остаток на конец дня
319 (депо 0 120000000 0 120000000   120000000 0 0 120000000
(в ред. Указания ЦБ РФ от 07.03.2001 N 931-У)
70101 (%) 0 0 0 0   0 0 0 0
47427 (тр-я по %) 0 0 0 0   0 0 0 0
32801 (предст. 0 0 0 0   0 0 0 0
(в ред. Указания ЦБ РФ от 07.03.2001 N 931-У)
БС Сумма остатков по балансовым счетам на ...
31.08.99 01.09.99
Остаток на начало дня Дебет Кредит Остаток на конец дня Остаток на начало дня Дебет Кредит Остаток на конец дня
319 (депо 120000000 0 0 120000000 120000000 0 0 120000000
(в ред. Указания ЦБ РФ от 07.03.2001 N 931-У)
70101 (%) 0 0 0 0 0 0 0 0
47427 (тр-я по %) 0 118356,16 0 118356,16 118356,16 0 0 118356,16
32801 (предст. 0 0 118356,16 118356,16 118356,16 0 0 118356,16
(в ред. Указания ЦБ РФ от 07.03.2001 N 931-У)
БС Сумма остатков по балансовым счетам на ...
02.09.99 03.09.99
Остаток на начало дня Дебет Кредит Остаток на конец дня Остаток на начало дня Дебет Кредит Остаток на конец дня
319 (депо 120000000 0 0 120000000 120000000 0 120000000 0
(в ред. Указания ЦБ РФ от 07.03.2001 N 931-У)
70101 (%) 0 0 0 0 0 0 207123,29 207123,29
47427 (тр-я по %) 118356,16 0 0 118356,16 118356,16 88767,13 207123,29 0
32801 (предст. 118356,16 0 0 118356,16 118356,16 88767,13 207123,29 0
(в ред. Указания ЦБ РФ от 07.03.2001 N 931-У)
Внесистемный учет начисленных процентов Сумма на ...
27.08.99 28.08.99 29.08.99 30.08.99 31.08.99 01.09.99 02.09.99 03.09.99
  0 29589,04 59178,08 88767,12 118356,16 147954,20 177534,25 207123,29

Условный пример 2

Расчет суммы начисленных процентов по депозиту, размещенному в Банке России на стандартном условии "2 недели", даты размещения и возврата которого приходятся на один и тот же месяц

Исходные данные

Сумма размещаемого депозита 40 млн. руб.

Процентная ставка по депозиту (в процентах годовых) 14%.

Дата перечисления средств в депозит 04.10.99.

Дата возврата суммы депозита и уплаты процентов банкам 18.10.99. (в ред. Указания ЦБ РФ от 27.12.99 N 714-У)

Все дни размещения депозита приходятся на календарный год с количеством календарных дней 365.

День (дата) зачисления денежных средств на счет по учету депозита, открытый в Банке России, не учитывается при расчете суммы начисленных процентов.

Производим следующий расчет:

Таблица N 2

(в рублях)

БС Сумма остатков по балансовым счетам на ...
04.10.99 05.10.99
Остаток на начало дня Дебет Кредит Остаток на конец дня Остаток на начало дня Дебет Кредит Остаток на конец дня
319 (депо 0 40000000 0 40000000 40000000 0 0 40000000
(в ред. Указания ЦБ РФ от 07.03.2001 N 931-У)
70101 (%) 0 0 0 0 0 0 0 0
47427 (тр-я по %) 0 0 0 0 0 0 0 0
32801 (предст. 0 0 0 0 0 0 0 0
(в ред. Указания ЦБ РФ от 07.03.2001 N 931-У)
БС Сумма остатков по балансовым счетам на ...
... 17.10.99 18.10.99
  Остаток на начало дня Дебет Кредит Остаток на конец дня Остаток на начало дня Дебет Кредит Остаток на конец дня
319 (депо ... 40000000 0 0 40000000 40000000 0 40000000 0
(в ред. Указания ЦБ РФ от 07.03.2001 N 931-У)
70101 (%) ... 0 0 0 0 0 0 214794,52 214794,52
47427 (тр-я по %) ... 0 0 0 0 0 214794,52 214794,52 0
32801 (предст. ... 0 0 0 0 0 214794,52 214794,52 0
(в ред. Указания ЦБ РФ от 07.03.2001 N 931-У)
Внесистемный учет начисленных процентов Сумма на ...
04.10.99 05.10.99 06.10.99 07.10.99 08.10.99 09.10.99 10.10.99 11.10.99
  0 15342,47 30684,93 46027,40 61369,86 76712,33 92054,79 107397,26
Внесистемный учет начисленных процентов Сумма на ...
12.10.99 13.10.99 14.10.99 15.10.99 16.10.99 17.10.99 18.10.99
  122739,73 138082,19 153424,66 168767,12 184109,59 199452,05 214794,52

Условный пример 3

Расчет суммы начисленных процентов по депозиту, размещенному в Банке России на стандартном условии "1 месяц", даты размещения и возврата которого приходятся на календарные годы с различным количеством дней

Исходные данные

Сумма размещаемого депозита 20 млн. руб.

Процентная ставка по депозиту (в процентах годовых) 20%.

Дата перечисления средств в депозит 20.12.99.

Дата окончания депозита наступает в такую же по значению дату, что и дата поступления средств на счет по учету депозитов.

Дата возврата суммы депозита и уплаты процентов банкам 20.01.2000.

Дни размещения депозита приходятся на календарные годы с различным количеством календарных дней 365 / 366 соответственно.

Дни размещения депозита со второго по двенадцатый приходятся на первый отчетный период (декабрь 1999 года), а с тринадцатого по тридцать второй - на второй отчетный период (январь 2000 года).

Сумма процентов, начисляемых за второй отчетный период, рассчитывается как разница суммы процентов, начисляемых за весь период размещения депозита, и суммы процентов, начисляемых за первый отчетный период.

День (дата) зачисления денежных средств на счет по учету депозита, открытый в Банке России, не учитывается при расчете суммы начисленных процентов.

Производим следующий расчет:

Таблица N 3

(в рублях)

БС Сумма остатков по балансовым счетам на ...
20.12.99 21.12.99
Остаток на начало дня Дебет Кредит Остаток на конец дня Остаток на начало дня Дебет Кредит Остаток на конец дня
319 (депо 0 20000000 0 20000000 20000000 0 0 20000000
(в ред. Указания ЦБ РФ от 07.03.2001 N 931-У)
70101 (%) 0 0 0 0 0 0 0 0
47427 (тр-я по %) 0 0 0 0 0 0 0 0
32801 (предст. 0 0 0 0 0 0 0 0
(в ред. Указания ЦБ РФ от 07.03.2001 N 931-У)
БС Сумма остатков по балансовым счетам на ...
... 31.12.99 01.01.2000
  Остаток на начало дня Дебет Кредит Остаток на конец дня Остаток на начало дня Дебет Кредит Остаток на конец дня
319 (депо ... 20000000 0 0 20000000 20000000 0 0 20000000
(в ред. Указания ЦБ РФ от 07.03.2001 N 931-У)
70101 (%) ... 0 0 0 0 0 0 0 0
47427 (тр-я по %) ... 0 120547.95 0 120547.95 120547.95 0 0 120547.95
32801 (предст. ... 0 0 120547.95 120547.95 120547.95 0 0 120547.95
(в ред. Указания ЦБ РФ от 07.03.2001 N 931-У)
БС Сумма остатков по балансовым счетам на ...
... 19.01.2000 20.01.2000
  Остаток на начало дня Дебет Кредит Остаток на конец дня Остаток на начало дня Дебет Кредит Остаток на конец дня
319 (депо ... 20000000 0 0 20000000 20000000 0 20000000 0
(в ред. Указания ЦБ РФ от 07.03.2001 N 931-У)
70101 (%) ... 0 0 0 0 0 0 339127.18 339127.18
47427 (тр-я по %) ... 120547.95 0 0 120547.95 120547.95 218579.23 339127.18 0
32801 (предст. ... 120547.95 0 0 120547.95 120547.95 218579.23 339127.18 0
(в ред. Указания ЦБ РФ от 07.03.2001 N 931-У)
Внесистемный учет начисленных процентов Сумма на ...
20.12.99 21.12.99 22.12.99 23.12.99 24.12.99 25.12.99 26.12.99 27.12.99
  0 10958.90 21917.81 32876.71 43835.62 54794.52 65753.42 76712.33
Внесистемный учет начисленных процентов Сумма на ...
28.12.99 29.12.99 30.12.99 31.12.99 01.01.2000 02.01.2000 03.01.2000 04.01.2000
  87671.23 98630.14 109589.04 120547.95 131476.91 142405.87 153334.83 164263.79
Внесистемный учет начисленных процентов Сумма на ...
05.01.2000 06.01.2000 07.01.2000 08.01.2000 09.01.2000 10.01.2000 11.01.2000 12.01.2000
  175192.75 186121.72 197050.68 207979.64 218908.60 229837.56 240766.52 251695.49
Внесистемный учет начисленных процентов Сумма на ...
13.01.2000 14.01.2000 15.01.2000 16.01.2000 17.01.2000 18.01.2000 19.01.2000 20.01.2000
  262624.45 273553.41 284482.37 295411.33 306340.29 317269.26 328198.22 339127.18