Письмо Минздрава РФ от 26.01.2023 N 31-2/И/2-1075

"О Методических рекомендациях по способам оплаты медицинской помощи за счет средств обязательного медицинского страхования"
Редакция от 11.05.2023 — Документ утратил силу, см. «Письмо Минздрава РФ от 19.02.2024 N 31-2/200»

Данный документ дополнен Письмом Минздрава РФ от 14.06.2023 N 31-2/И/2-10585.


МИНИСТЕРСТВО ЗДРАВООХРАНЕНИЯ РОССИЙСКОЙ ФЕДЕРАЦИИ

ПИСЬМО
от 26 января 2023 г. N 31-2/И/2-1075

О МЕТОДИЧЕСКИХ РЕКОМЕНДАЦИЯХ ПО СПОСОБАМ ОПЛАТЫ МЕДИЦИНСКОЙ ПОМОЩИ ЗА СЧЕТ СРЕДСТВ ОБЯЗАТЕЛЬНОГО МЕДИЦИНСКОГО СТРАХОВАНИЯ

(в ред. письма Минздрава РФ от 11.05.2023 N 31-2/И/2-8278)

Министерство здравоохранения Российской Федерации направляет для руководства и использования в работе Методические рекомендации по способам оплаты медицинской помощи за счет средств обязательного медицинского страхования, разработанные рабочей группой Министерства здравоохранения Российской Федерации по подготовке методических рекомендаций по реализации способов оплаты медицинской помощи в рамках программы государственных гарантий бесплатного оказания гражданам медицинской помощи (утверждена приказом Министерства здравоохранения Российской Федерации от 15 декабря 2015 г. N 931), взамен Методических рекомендаций по способам оплаты медицинской помощи за счет средств обязательного медицинского страхования, направленных в субъекты Российской Федерации совместным письмом Министерства здравоохранения Российской Федерации и Федерального фонда обязательного медицинского страхования от 2 февраля 2022 г. N 11-7/И/2-1619 - 00-10-26-2-06/750.

В.А. ЗЕЛЕНСКИЙ

Приложение

МИНИСТЕРСТВО ЗДРАВООХРАНЕНИЯ РОССИЙСКОЙ ФЕДЕРАЦИИ

ФЕДЕРАЛЬНЫЙ ФОНД ОБЯЗАТЕЛЬНОГО МЕДИЦИНСКОГО СТРАХОВАНИЯ

МЕТОДИЧЕСКИЕ РЕКОМЕНДАЦИИ ПО СПОСОБАМ ОПЛАТЫ МЕДИЦИНСКОЙ ПОМОЩИ ЗА СЧЕТ СРЕДСТВ ОБЯЗАТЕЛЬНОГО МЕДИЦИНСКОГО СТРАХОВАНИЯ

(в ред. письма Минздрава РФ от 11.05.2023 N 31-2/И/2-8278)

Первый заместитель
Министра здравоохранения
Российской Федерации
В.А. ЗЕЛЕНСКИЙ
от 26.01.2023 N 31-2/И/2-1075

Председатель
Федерального фонда обязательного
медицинского страхования
И.В. БАЛАНИН
от 26.01.2023 N 00-10-26-2-06/749

Одобрено
решением рабочей группы
Министерства здравоохранения
Российской Федерации по актуализации
методологических подходов к оплате
медицинской помощи за счет средств
обязательного медицинского страхования
в рамках программы государственных
гарантий бесплатного оказания
гражданам медицинской помощи
(протокол заседания
от 18.10.2022 N 66/31/1)

Методические рекомендации по способам оплаты медицинской помощи за счет средств обязательного медицинского страхования (далее - рекомендации) подготовлены в соответствии с Программой государственных гарантий бесплатного оказания гражданам медицинской помощи на 2023 год и на плановый период 2024 и 2025 годов, утвержденной постановлением Правительства Российской Федерации от 29.12.2022 N 2497, в части базовой программы обязательного медицинского страхования (далее соответственно - Программа, базовая программа), а также Требованиями к структуре и содержанию тарифного соглашения, утвержденными Министерством здравоохранения Российской Федерации (далее - Требования), и разъясняют порядок оплаты медицинской помощи, оказанной в рамках территориальных программ обязательного медицинского страхования.

С учетом изменений, внесенных с 2023 года в способы оплаты медицинской помощи за счет средств обязательного медицинского страхования указанными нормативными правовыми актами, настоящими рекомендациями даны соответствующие разъяснения, в том числе в части оплаты профилактических медицинских осмотров и диспансеризации, включая углубленную диспансеризацию переболевших новой коронавирусной инфекцией (COVID-19), а также диспансерного наблюдения в рамках установленных Программой средних нормативов объема медицинской помощи и финансовых затрат на единицу объема медицинской помощи.

Особое внимание уделено разъяснениям по оплате медицинской помощи, оказанной в амбулаторных условиях по профилю "Медицинская реабилитация", поскольку с 2023 года Программой установлены средние нормативы объема и финансовых затрат на единицу объема по медицинской реабилитации, включая реабилитацию пациентов после перенесенной новой коронавирусной инфекции (COVID-19).

Основными отличиями новой модели клинико-статистических групп заболеваний (далее - КСГ) от модели КСГ 2022 года являются:

1) изменение количества КСГ в стационарных условиях с 402 до 431 групп, в условиях дневного стационара - со 182 до 206 групп (в том числе 427 КСГ в стационарных условиях и 204 КСГ в условиях дневного стационара без учета групп для оплаты медицинской помощи в федеральных медицинских организациях), в том числе за счет:

- увеличения количества КСГ для случаев лекарственной терапии взрослых со злокачественными новообразованиями (кроме лимфоидной и кроветворной тканей) с 17 до 19 групп как в стационарных условиях, так и в условиях дневного стационара;

- увеличение количества КСГ для случаев лечения с применением генно-инженерных биологических препаратов и селективных иммунодепрессантов с 3 КСГ до 20 КСГ в стационарных условиях и в условиях дневного стационара (оплата осуществляется дифференцированно в зависимости от применяемого лекарственного препарата);

- увеличение количества КСГ для случаев лечения хронического вирусного гепатита C с 2 КСГ до 4 КСГ в условиях дневного стационара (оплата осуществляется дифференцированно в зависимости от применяемого лекарственного препарата и возраста пациента);

- увеличение количества КСГ для случаев медицинской реабилитации с 23 КСГ до 26 КСГ в стационарных условиях (выделение трех КСГ продолжительной медицинская реабилитация);

- выделения КСГ "Операции на органе зрения (факоэмульсификация с имплантацией ИОЛ)" в стационарных условиях и в условиях дневного стационара;

- выделения КСГ слинговые операции при недержании мочи, в стационарных условиях;

- выделения КСГ радиойодтерапия в стационарных условиях;

- выделения отдельной КСГ лечение с применением генно-инженерных биологических препаратов и селективных иммунодепрессантов (инициация) в стационарных условиях и в условиях дневного стационара.

СПОСОБЫ ОПЛАТЫ МЕДИЦИНСКОЙ ПОМОЩИ В СТАЦИОНАРНЫХ УСЛОВИЯХ И В УСЛОВИЯХ ДНЕВНОГО СТАЦИОНАРА НА ОСНОВЕ ГРУПП ЗАБОЛЕВАНИЙ, В ТОМ ЧИСЛЕ КЛИНИКО-СТАТИСТИЧЕСКИХ ГРУПП (КСГ)

1. Основные понятия и термины

В целях реализации настоящих рекомендаций устанавливаются следующие основные понятия и термины:

Случай госпитализации в круглосуточный стационар (случай лечения в дневном стационаре) - случай диагностики и лечения в стационарных условиях и (или) условиях дневного стационара, в рамках которого осуществляется ведение одной медицинской карты стационарного больного, являющийся единицей объема медицинской помощи в рамках реализации территориальной программы обязательного медицинского страхования;

Клинико-статистическая группа заболеваний (далее также - КСГ, группа заболеваний, состояний) - группа заболеваний, относящихся к одному профилю медицинской помощи и сходных по используемым методам диагностики и лечения пациентов и средней ресурсоемкости (стоимость, структура затрат и набор используемых ресурсов);

Оплата медицинской помощи по КСГ - оплата медицинской помощи по тарифу, рассчитанному исходя из установленных: базовой ставки, коэффициента относительной затратоемкости и поправочных коэффициентов;

Базовая ставка - средний объем финансового обеспечения медицинской помощи в расчете на одного пролеченного пациента, определенный исходя из нормативов финансовых затрат на единицу объема медицинской помощи, установленных территориальной программой государственных гарантий бесплатного оказания гражданам медицинской помощи на 2023 год и на плановый период 2024 и 2025 годов (далее - Территориальная программа государственных гарантий);

Коэффициент относительной затратоемкости - устанавливаемый Программой коэффициент, отражающий отношение стоимости конкретной КСГ к среднему объему финансового обеспечения медицинской помощи в расчете на одного пролеченного пациента (базовой ставке);

Коэффициент дифференциации - устанавливаемый на федеральном уровне коэффициент, отражающий более высокий уровень заработной платы и коэффициент ценовой дифференциации бюджетных услуг для субъекта Российской Федерации и/или отдельных территорий субъекта Российской Федерации (используемый в расчетах в случае, если коэффициент дифференциации не является единым для всей территории субъекта Российской Федерации);

Поправочные коэффициенты - устанавливаемые на территориальном уровне: коэффициент специфики, коэффициент уровня (подуровня) медицинской организации, коэффициент сложности лечения пациентов;

Коэффициент специфики - устанавливаемый на территориальном уровне коэффициент, позволяющий корректировать тариф КСГ с целью управления структурой госпитализаций и (или) учета региональных особенностей оказания медицинской помощи по конкретной КСГ;

Коэффициент уровня медицинской организации - устанавливаемый на территориальном уровне коэффициент, позволяющий учесть различия в размерах расходов медицинских организаций в зависимости от уровня медицинской организации, оказывающих медицинскую помощь в стационарных условиях и в условиях дневного стационара;

Коэффициент подуровня медицинской организации - устанавливаемый на территориальном уровне коэффициент, позволяющий учесть различия в размерах расходов медицинских организаций одного уровня, обусловленных объективными причинами;

Коэффициент сложности лечения пациентов - устанавливаемый на федеральном уровне коэффициент, применяемый в отдельных случаях в связи со сложностью лечения пациента, и учитывающий более высокий уровень затрат на оказание медицинской помощи;

Подгруппа в составе КСГ - группа заболеваний, выделенная в составе КСГ с учетом классификационных критериев, в том числе дополнительно устанавливаемых в субъекте Российской Федерации, для которой установлен коэффициент относительной затратоемкости, отличный от коэффициента относительной затратоемкости по КСГ, с учетом правил выделения и применения подгрупп, установленных Приложением 10 к настоящим рекомендациям.

2. Основные подходы к оплате медицинской помощи по КСГ

При оплате медицинской помощи, оказанной в стационарных условиях (в том числе для медицинской реабилитации в специализированных медицинских организациях (структурных подразделениях)) и в условиях дневного стационара в рамках территориальной программы обязательного медицинского страхования применяются способы оплаты, установленные Программой.

Перечень групп заболеваний, состояний для оплаты специализированной медицинской помощи (за исключением высокотехнологичной медицинской помощи) в стационарных условиях и в условиях дневного стационара, включающий также коэффициенты относительной затратоемкости (далее - Перечень), установлен Приложением N 4 к Программе и не может быть изменен при установлении тарифов в субъектах Российской Федерации, за исключением случаев выделения подгрупп в составе КСГ.

В соответствии с Перечнем сформированы перечни КСГ, используемые для оплаты медицинской помощи в стационарных условиях и в условиях дневного стационара (Приложения 6 и 7 к настоящим рекомендациям). Указанные перечни в электронном виде размещены на официальном сайте Федерального фонда обязательного медицинского страхования в сети "Интернет" в разделе "Документы".

Оплата за счет средств обязательного медицинского страхования медицинской помощи, оказанной в стационарных условиях и в условиях дневного стационара, по КСГ, предусмотренным Приложением N 4 к Программе, осуществляется во всех страховых случаях, за исключением:

- заболеваний, при лечении которых применяются виды и методы лечения по перечню видов высокотехнологичной медицинской помощи (далее - Перечень видов ВМП), включенных в базовую программу, на которые Программой установлены нормативы финансовых затрат на единицу объема медицинской помощи;

- заболеваний, при лечении которых применяются виды и методы лечения по Перечню видов ВМП, не включенных в базовую программу, для которых Программой установлена средний норматив финансовых затрат на единицу объема медицинской помощи, в случае их включения в территориальную программу обязательного медицинского страхования сверх базовой программы;

- социально значимых заболеваний (заболевания, передаваемые половым путем, вызванные вирусом иммунодефицита человека, синдром приобретенного иммунодефицита, туберкулез, психические расстройства и расстройства поведения), в случае их включения в территориальную программу обязательного медицинского страхования сверх базовой программы;

- услуг диализа, включающих различные методы.

При планировании объема средств, предназначенных для финансового обеспечения медицинской помощи, оказываемой в стационарных условиях и в условиях дневного стационара и оплачиваемой по КСГ, из общего объема средств, рассчитанного исходя из нормативов Территориальной программы государственных гарантий, исключаются средства:

- предназначенные для осуществления межтерриториальных расчетов;

- предназначенные на оплату медицинской помощи вне системы КСГ (в случаях, являющихся исключениями);

- направляемые на формирование нормированного страхового запаса территориального фонда обязательного медицинского страхования в части превышения установленного объема средств, предназначенного на оплату медицинской помощи в связи с увеличением тарифов на оплату медицинской помощи, в результате превышения значения среднего поправочного коэффициента (СПК) по сравнению с запланированным.

Модель финансового обеспечения медицинской помощи, оказанной в стационарных условиях и в условиях дневного стационара, основана на объединении заболеваний в группы (КСГ) и построена на единых принципах независимо от условий оказания медицинской помощи.

Нумерация представлена в формате кода, в котором первым и вторым знаком являются латинские буквы st (для круглосуточного стационара) или ds (для дневного стационара), третий и четвертый знаки - это порядковый номер профиля. Например, КСГ "Сепсис, взрослые" в круглосуточном стационаре имеет код st12.005, где st12 - код профиля "Инфекционные болезни" в круглосуточном стационаре, а 005 - порядковый номер КСГ внутри профиля "Инфекционные болезни".

Конкретный способ оплаты медицинской помощи при различных заболеваниях устанавливается территориальной программой обязательного медицинского страхования и должен соответствовать установленному Программой.

Формирование КСГ осуществляется на основе совокупности следующих параметров, определяющих относительную затратоемкость лечения пациентов (классификационных критериев):

a. Диагноз (код по МКБ 10);

b. Хирургическая операция и (или) другая применяемая медицинская технология (код в соответствии с Номенклатурой медицинских услуг, утвержденной приказом Министерства здравоохранения Российской Федерации от 13 октября 2017 г. N 804н (далее - Номенклатура), а также, при необходимости, конкретизация медицинской услуги в зависимости от особенностей ее исполнения (иной классификационный критерий);

c. Схема лекарственной терапии;

d. Международное непатентованное наименование (далее - МНН) лекарственного препарата;

e. Возрастная категория пациента;

f. Сопутствующий диагноз и/или осложнения заболевания (код по Международной статистической классификации болезней и проблем, связанных со здоровьем, 10 пересмотра (далее - МКБ-10));

g. Оценка состояния пациента по шкалам: шкала оценки органной недостаточности у пациентов, находящихся на интенсивной терапии (Sequential Organ Failure Assessment, SOFA), шкала оценки органной недостаточности у пациентов детского возраста, находящихся на интенсивной терапии (Pediatric Sequential Organ Failure Assessment, pSOFA), шкала реабилитационной маршрутизации; индекс оценки тяжести и распространенности псориаза (Psoriasis Area Severity Index, PASI);

h. Длительность непрерывного проведения ресурсоемких медицинских услуг (искусственной вентиляции легких, видео-ЭЭГ-мониторинга);

i. Количество дней проведения лучевой терапии (фракций);

j. Пол;

k. Длительность лечения;

l. Этап лечения, в том числе этап проведения экстракорпорального оплодотворения, долечивание пациентов с новой коронавирусной инфекцией (COVID-19), посттрансплантационный период после пересадки костного мозга;

m. Показания к применению лекарственного препарата;

n. Объем послеоперационных грыж брюшной стенки;

o. Степень тяжести заболевания;

p. Сочетание нескольких классификационных критериев в рамках одного классификационного критерия (например, сочетание оценки состояния пациента по шкале реабилитационной маршрутизации с назначением ботулинического токсина).

Для оплаты случая лечения по КСГ в качестве основного диагноза указывается код по МКБ-10, являющийся основным поводом к госпитализации. Например, в случае, когда пациент, страдающий сахарным диабетом, госпитализирован в медицинскую организацию с легочной эмболией, для оплаты медицинской помощи в реестре счетов в поле "Основной диагноз" указывается легочная эмболия, в поле "Дополнительный диагноз" указывается сахарный диабет. Исключением являются случаи, осложненные сепсисом и фебрильной нейтропенией (особенности отнесения указанных случаев лечения к КСГ представлены в Приложении 9 к настоящим рекомендациям).

Субъектом Российской Федерации должен быть обеспечен учет всех медицинских услуг и классификационных критериев, используемых в расшифровке групп. При наличии хирургических операций и (или) других применяемых медицинских технологий, являющихся классификационным критерием, отнесение случая лечения к конкретной КСГ осуществляется в соответствии с кодом Номенклатуры.

При оплате медицинской помощи, оказываемой в стационарных условиях и в условиях дневного стационара, в составе КСГ в тарифном соглашении могут быть выделены подгруппы, в том числе с учетом иных классификационных критериев, устанавливаемых в субъекте Российской Федерации. При этом данный классификационный критерий должен быть в обязательном порядке включен в реестр счетов, формируемый медицинскими организациями и передаваемый в территориальный фонд обязательного медицинского страхования. В качестве дополнительно установленных классификационных критериев могут быть определены: длительное пребывание на профильной койке (реанимационные, реанимационные для новорожденных, интенсивной терапии, интенсивной терапии для новорожденных) или использование дорогостоящих реанимационных технологий, дорогостоящих лекарственных препаратов (расходных материалов), уровень оказания медицинской помощи в случае сложившейся однообразной этапности ее оказания для конкретной КСГ.

При этом совокупность подгрупп в составе базовой КСГ должна включать в себя полный объем медицинской помощи, включенный в базовую КСГ в соответствии с Приложением N 4 к Программе. Исключение из модели КСГ отдельных диагнозов, медицинских услуг, дополнительных классификационных критериев или их сочетаний не допускается, в том числе в случае, если указанная медицинская помощь предоставляется вне территории субъекта Российской Федерации.

Также целесообразно выделение подгрупп в случае, если фактический объем затрат медицинских организаций при оказании медицинской помощи в отдельных случаях лечения, включенных в базовую КСГ, значительно отклоняется от установленной стоимости базовой КСГ.

Выделение дорогостоящих лекарственных препаратов (расходных материалов) в качестве классификационных критериев возможно при наличии конкретных показаний, определенных клиническими рекомендациями в ограниченном количестве случаев, входящих в базовую КСГ, только для лекарственных препаратов, входящих в перечень жизненно необходимых и важнейших лекарственных препаратов для медицинского применения, утвержденный распоряжением Правительства Российской Федерации от 12 октября 2019 г. N 2406-р, и расходных материалов, включенных в утвержденный распоряжением Правительства Российской Федерации от 31 декабря 2018 г. N 3053-р перечень медицинских изделий, имплантируемых в организм человека при оказании медицинской помощи в рамках программы государственных гарантий бесплатного оказания гражданам медицинской помощи. Дифференцирующими признаками в таких подгруппах могут быть как услуги по применению определенных групп лекарственных препаратов, так и применение МНН или схемы лекарственной терапии. Уровень затрат определяется исходя из сложившегося среднего уровня закупочных цен на данные препараты в субъекте Российской Федерации, либо в соответствии с зарегистрированными предельными отпускными ценами на них.

Средневзвешенный коэффициент затратоемкости (СКЗ) подгрупп должен быть равен коэффициенту относительной затратоемкости, установленному в рекомендациях (с возможностью его коррекции путем применения коэффициента специфики).

СКЗ рассчитывается по формуле:

,

где:  
весовой коэффициент затратоемкости подгруппы i;
количество случаев, пролеченных по подгруппе i;
количество случаев в целом по группе.

Количество случаев по каждой подгруппе планируется в соответствии с количеством случаев за предыдущий год с учетом имеющихся в субъекте Российской Федерации приоритетов. Детальные правила выделения и применения подгрупп представлены в Приложении 10 к настоящим рекомендациям.

Размер финансового обеспечения медицинской организации по КСГ рассчитывается как сумма стоимости всех случаев госпитализации в стационаре:

,

где:  
размер финансового обеспечения медицинской организации, рублей;
стоимость законченного случая госпитализации в стационарных условиях, рублей.

Анализ структуры госпитализаций в разрезе медицинских организаций осуществляется с использованием среднего коэффициента относительной затратоемкости стационара (), который рассчитывается по формуле:

,

где:  
число случаев госпитализации пациентов по определенной КСГ в стационарных условиях;
коэффициент относительной затратоемкости по определенной КСГ;
общее количество законченных случаев лечения в стационарных условиях за год.

При правильной организации маршрутизации пациентов в субъекте Российской Федерации средний коэффициент затратоемкости стационара для медицинских организаций, имеющих более высокий уровень оснащенности, должен иметь большее значение, чем для медицинских организаций, имеющих более низкий уровень оснащенности.

Субъектам Российской Федерации следует осуществлять оценку эффективности оплаты медицинской помощи, оказанной стационарно и в условиях дневного стационара, в динамике по показателям, характеризующим:

- среднюю длительность пребывания в стационаре;

- уровень и структуру госпитализаций в круглосуточном стационаре;

- долю отдельных групп КСГ в стационарных условиях в общем количестве законченных случаев: , st05.008, st14.001, st19.125 - st19.143, st19.097 - st19.102, st20.005, st21.001, st29.009, st30.006, st31.002, st34.002;

- уровень и структуру случаев лечения в условиях дневного стационара;

- долю отдельных групп КСГ в условиях дневного стационара в общем количестве случаев лечения: ds02.003, ds05.005, ds14.001, ds19.050 - ds19.057, ds19.097 - ds19.115, ds19.071 - ds19.078, ds20.002, ds21.002, ds29.001, ds30.002, ds31.002, ds34.002;

- структуру исходов лечения, в том числе уровень больничной летальности;

- оперативную активность;

- долю повторных госпитализаций по поводу одного и того же заболевания в течение 30 дней с момента выписки пациента (за исключением заболеваний с курсовым лечением и состояний, связанных с беременностью, а также операций на парных органах, частях тела).

3. Основные параметры оплаты медицинской помощи по КСГ, определяющие стоимость законченного случая лечения

Расчет стоимости законченного случая лечения по КСГ осуществляется на основе следующих экономических параметров:

1. Размер базовой ставки без учета коэффициента дифференциации;

2. Коэффициент относительной затратоемкости;

3. Коэффициент дифференциации (при наличии);

4. Коэффициент специфики оказания медицинской помощи;

5. Коэффициент уровня (подуровня) медицинской организации;

6. Коэффициент сложности лечения пациента.

Стоимость одного случая госпитализации в стационаре () по КСГ (за исключением КСГ, в составе которых Программой установлены доли заработной платы и прочих расходов) определяется по следующей формуле:

,

где:
БС базовая ставка, рублей;
коэффициент относительной затратоемкости КСГ (подгруппы в составе КСГ), к которой отнесен данный случай госпитализации;
коэффициент специфики КСГ, к которой отнесен данный случай госпитализации (используется в расчетах, в случае, если указанный коэффициент определен в субъекте Российской Федерации для данной КСГ);
коэффициент уровня медицинской организации, в которой был пролечен пациент;
КД коэффициент дифференциации, рассчитанный в соответствии с постановлением Правительства Российской Федерации от 5 мая 2012 г. N 462 "О порядке распределения, предоставления и расходования субвенций из бюджета Федерального фонда обязательного медицинского страхования бюджетам территориальных фондов обязательного медицинского страхования на осуществление переданных органам государственной власти субъектов Российской Федерации полномочий Российской Федерации в сфере обязательного медицинского страхования" (далее - Постановление N 462).
Данный коэффициент используется в расчетах, в том числе в случае, если для территории субъекта Российской Федерации установлено несколько коэффициентов дифференциации, в том числе для медицинских организаций, расположенных на территории закрытых административно-территориальных образований (далее - ЗАТО);
КСЛП коэффициент сложности лечения пациента (при необходимости - сумма применяемых КСЛП)
<*> - КД не применяется для КСЛП "проведение сопроводительной лекарственной терапии при злокачественных новообразованиях у взрослых в соответствии с клиническими рекомендациями" (равно единице).

Стоимость одного случая госпитализации по КСГ, в составе которых Программой установлена доля заработной платы и прочих расходов, определяется по следующей формуле:

,

где:
БС размер базовой ставки без учета коэффициента дифференциации, рублей;
коэффициент относительной затратоемкости по КСГ, к которой отнесен данный случай госпитализации;
доля заработной платы и прочих расходов в структуре стоимости КСГ (установленное Приложением N 4 к Программе значение, к которому применяется КД, КС и КУС);
коэффициент специфики КСГ, к которой отнесен данный случай госпитализации (используется в расчетах, в случае, если указанный коэффициент определен в субъекте Российской Федерации для данной КСГ);
коэффициент уровня медицинской организации, в которой был пролечен пациент;
КД коэффициент дифференциации, рассчитанный в соответствии с Постановлением N 462;
КСЛП коэффициент сложности лечения пациента (при необходимости, сумма применяемых КСЛП).
<*> - КД не применяется для КСЛП "проведение сопроводительной лекарственной терапии при злокачественных новообразованиях у взрослых в соответствии с клиническими рекомендациями" (равно единице).

В случае выделения в субъекте Российской Федерации подгрупп в составе КСГ, для которых Приложением N 4 к Программе установлена доля заработной платы и прочих расходов, в Тарифном соглашении субъекта Российской Федерации устанавливаются рассчитанные в субъекте Российской Федерации доли заработной платы и прочих расходов в структуре выделяемых подгрупп.

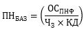
3.1. Размер базовой ставки (размер средней стоимости законченного случая лечения, включенного в КСГ)

Размер базовой ставки определяется исходя из следующих параметров:

- объема средств, предназначенных для финансового обеспечения медицинской помощи, оказываемой в стационарных условиях (в условиях дневного стационара) и оплачиваемой по КСГ (ОС);

- общего планового количества случаев лечения, подлежащих оплате по КСГ ();

- среднего поправочного коэффициента оплаты по КСГ (СПК).

Размер базовой ставки устанавливается тарифным соглашением, принятым на территории субъекта Российской Федерации, и рассчитывается по формуле:

.

СПК рассчитывается по формуле:

.

При расчете базовой ставки в качестве параметра ОСЛП Комиссия по разработке территориальной программы обязательного медицинского страхования (далее - Комиссия) может использовать сумму, характеризующую вклад коэффициента сложности лечения пациента в совокупный объем средств на оплату медицинской помощи:

,

где:  
размер КСЛП, применяемый при оплате i-го случая оказания медицинской помощи в 2022 году.
<*> - КД не применяется для КСЛП "проведение сопроводительной лекарственной терапии при злокачественных новообразованиях у взрослых в соответствии с клиническими рекомендациями" (равно единице).

Необходимо учитывать, что с 2023 года Программой предусмотрены средние нормативы финансовых затрат на единицу объема медицинской помощи для медицинской реабилитации и средние нормативы финансовых затрат на единицу объема медицинской помощи за исключением медицинской реабилитации. При этом базовая ставка едина для всех профилей медицинской помощи, включенных в базовую программу обязательного медицинского страхования (в том числе для профиля "медицинская реабилитация"). Ее расчет осуществляется на основании объема средств, предназначенного для финансового обеспечения медицинской помощи, оказываемой в стационарных условиях и в условиях дневного стационара и оплачиваемой по КСГ (ОС), общего планового количества случаев лечения, подлежащих оплате по КСГ (ЧСЛ), среднего поправочного коэффициента оплаты по КСГ (СПК) и объема средств, запланированного для КСЛП (ОСЛП), для всех профилей медицинской помощи, включенных в базовую программу обязательного медицинского страхования, за исключением медицинской реабилитации.

Оплата случаев лечения по профилю "медицинская реабилитация" осуществляется с использованием базовой ставки, рассчитанной в соответствии с вышеописанным алгоритмом.

Размер базовой ставки устанавливается на год. Корректировка базовой ставки возможна в случае значительных отклонений фактических значений от расчетных не чаще одного раза в квартал. Расчет базовой ставки осуществляется раздельно для медицинской помощи, оказываемой в стационарных условиях и в условиях дневного стационара.

При этом недопустимо установление базовой ставки без учета коэффициента дифференциации таким образом, чтобы размер базовой ставки с учетом единого коэффициента дифференциации субъекта Российской Федерации в стационарных условиях составлял ниже 65% от норматива финансовых затрат на 1 случай госпитализации, а в условиях дневного стационара - ниже 60% от норматива финансовых затрат на 1 случай лечения, установленного для специализированной, в том числе высокотехнологичной, медицинской помощи в соответствующих условиях оказания медицинской помощи (за исключением медицинской реабилитации) в рамках территориальной программой обязательного медицинского страхования субъекта Российской Федерации в части базовой программы. В случае отсутствия возможности расчета СПК из-за недостаточного количества статистической информации его значение рекомендуется установить на уровне 1,1 - 1,2 с целью учета прогнозируемого роста средней сложности пролеченных пациентов как признака улучшения обоснованности госпитализаций (данная рекомендация сформирована по итогам пилотной апробации модели КСГ).

Плановое количество случаев лечения по каждой медицинской организации (каждой КСГ) определяется согласно статистическим данным в рамках персонифицированного учета в сфере обязательного медицинского страхования, осуществляемого в соответствии с главой 10 Федерального закона от 29 ноября 2010 г. N 326-ФЗ "Об обязательном медицинском страховании в Российской Федерации" (далее - Федеральный закон N 326-ФЗ) с учетом запланированных изменений структуры госпитализаций.

В тарифном соглашении размер базовой ставки устанавливается как с учетом, так и без учета коэффициента дифференциации, рассчитанного в соответствии с Постановлением N 462.

В случае, если коэффициент дифференциации не является единым на территории субъекта Российской Федерации, в тарифном соглашении устанавливаются коэффициенты дифференциации, используемые при оплате медицинской помощи, для всех без исключения медицинских организаций, участвующих в реализации территориальной программы обязательного медицинского страхования.

3.2. Коэффициент относительной затратоемкости КСГ

Коэффициенты относительной затратоемкости определены с учетом статей затрат, предусмотренных структурой тарифа на оплату медицинской помощи за счет средств обязательного медицинского страхования, установленной Федеральным законом N 326-ФЗ, выполнения целевых показателей уровня заработной платы работников медицинских организаций, предусмотренных Указом Президента Российской Федерации от 7 мая 2012 г. N 597 "О мероприятиях по реализации государственной социальной политики" (далее - Указ N 597), стоимости медицинских изделий и лекарственных препаратов, предусмотренных клиническими рекомендациями, традиционных продуктов диетического лечебного питания и специализированных пищевых продуктов диетического лечебного и диетического профилактического питания - смесей белковых композитных сухих и витаминно-минеральных комплексов <1>, включенных в нормы лечебного питания, утвержденные приказом Министерства здравоохранения Российской Федерации от 21 июня 2013 г. N 395н "Об утверждении норм лечебного питания".

<1> Закупке подлежат специализированные продукты лечебного и диетического питания, смеси белковые композитные сухие, выпускаемые по ГОСТ 33933-2016 "Продукты диетического лечебного и диетического профилактического питания. Смеси белковые композитные сухие. Общие технические условия", и витаминно-минеральные комплексы, выпускаемые по ГОСТ Р 57106-2016 "Продукты диетического лечебного и диетического профилактического питания. Комплексы витаминно-минеральные в лечебном питании. Технические условия" и ГОСТ Р 58040-2017 "Комплексы витаминно-минеральные. Общие технические условия".

3.3. Коэффициент специфики оказания медицинской помощи

Коэффициент специфики оказания медицинской помощи (далее - коэффициент специфики) устанавливается тарифным соглашением для конкретной КСГ.

Цель установления коэффициента специфики состоит в мотивации медицинских организаций к регулированию уровня госпитализации при заболеваниях и состояниях, входящих в определенную КСГ, или стимулировании к внедрению конкретных современных методов лечения. Кроме этого, коэффициент специфики может быть применен в целях стимулирования медицинских организаций, а также медицинских работников (через осуществление выплат стимулирующего характера) к внедрению ресурсосберегающих медицинских и организационных технологий, в том числе развитию дневных стационаров в больничных учреждениях. В период перехода на оплату медицинской помощи по КСГ коэффициент специфики может применяться с целью коррекции рисков резкого изменения финансирования случаев, отнесенных к отдельным КСГ, пролеченных преимущественно в монопрофильных медицинских организациях.

Коэффициент специфики применяется к КСГ в целом и является единым для всех уровней (подуровней) медицинских организаций.

При выделении подгрупп в составе базовой КСГ коэффициент специфики учитывается при расчете коэффициентов относительной затратоемкости выделенных подгрупп. К подгруппам в составе КСГ коэффициент специфики не применяется (устанавливается в значении 1).

Значение коэффициента специфики - от 0,8 до 1,4.

К КСГ, начинающихся с символов st19 и ds19 (профиль "Онкология"), а также st08 и ds08 (профиль "Детская онкология"), коэффициент специфики не применяется (устанавливается в значении 1).

В случае применения коэффициента специфики с целью снижения рисков недофинансирования отдельных медицинских организаций в результате перехода на модель оплаты по КСГ его значение должно быть рассчитано с учетом фактических расходов на оказание медицинской помощи в рамках конкретной КСГ.

К КСГ, включающим оплату медицинской помощи с применением сложных медицинских технологий, в том числе при заболеваниях, являющихся основными причинами смертности, а также группы с высокой долей расходов на медикаменты и расходные материалы, применение понижающих коэффициентов не допускается.

Таблица 1

КСГ, к которым не применяются понижающие коэффициенты специфики

N КСГ Наименование КСГ
st13.002 Нестабильная стенокардия, инфаркт миокарда, легочная эмболия (уровень 2)
st13.005 Нарушения ритма и проводимости (уровень 2)
st13.007 Эндокардит, миокардит, перикардит, кардиомиопатии (уровень 2)
st15.015 Инфаркт мозга (уровень 2)
st15.016 Инфаркт мозга (уровень 3)
st17.001 Малая масса тела при рождении, недоношенность
st17.002 Крайне малая масса тела при рождении, крайняя незрелость
st17.003 Лечение новорожденных с тяжелой патологией с применением аппаратных методов поддержки или замещения витальных функций
st21.005 Операции на органе зрения (уровень 5)

К КСГ, включающим оплату медицинской помощи при заболеваниях, лечение которых должно преимущественно осуществляться в амбулаторных условиях и в условиях дневного стационара, повышающий коэффициент специфики не применяется.

Таблица 2

КСГ, к которым не применяются повышающие коэффициенты специфики

N КСГ Наименование КСГ
st04.001 Язва желудка и двенадцатиперстной кишки
st12.001 Кишечные инфекции, взрослые
st16.003 Дорсопатии, спондилопатии, остеопатии
st27.001 Болезни пищевода, гастрит, дуоденит, другие болезни желудка и двенадцатиперстной кишки
st27.003 Болезни желчного пузыря
st27.005 Гипертоническая болезнь в стадии обострения
st27.006 Стенокардия (кроме нестабильной), хроническая ишемическая болезнь сердца (уровень 1)
st27.010 Бронхит необструктивный, симптомы и признаки, относящиеся к органам дыхания
st30.004 Болезни предстательной железы
st31.002 Операции на коже, подкожной клетчатке, придатках кожи (уровень 1)
st31.012 Артрозы, другие поражения суставов, болезни мягких тканей
st31.018 Открытые раны, поверхностные, другие и неуточненные травмы

3.4. Коэффициент уровня медицинской организации

При оплате медицинской помощи учитываются уровни медицинских организаций, установленные субъектом Российской Федерации для каждой медицинской организации.

Коэффициент уровня медицинской организации устанавливается тарифным соглашением, принятым на территории субъекта Российской Федерации, в разрезе трех уровней медицинских организаций (за исключением городов федерального значения, где возможно установление двух уровней) дифференцированно для медицинских организаций и (или) структурных подразделений медицинских организаций в соответствии с нормативными правовыми актами в сфере охраны здоровья, включая приказы Министерства здравоохранения Российской Федерации от 20 апреля 2018 г. N 182 "Об утверждении методических рекомендаций о применении нормативов и норм ресурсной обеспеченности населения в сфере здравоохранения" и от 20 октября 2020 г. N 1130н "Об утверждении Порядка оказания медицинской помощи по профилю "акушерство и гинекология" (зарегистрировано в Минюсте России 12 ноября 2020 г. N 60869). При этом структурные подразделения медицинской организации, оказывающие медицинскую помощь соответственно в стационарных условиях и в условиях дневного стационара, исходя из маршрутизации пациентов, могут иметь различные коэффициенты уровня медицинской организации.

При отсутствии различий в оказании медицинской помощи в медицинских организациях разного уровня субъект Российской Федерации может отказаться от установления коэффициента уровня медицинской организации при оплате медицинской помощи в условиях дневного стационара (в том числе при оплате медицинской помощи в медицинских организациях и (или) структурных подразделениях медицинских организаций, расположенных на территории ЗАТО).

Установление индивидуального коэффициента уровня (подуровня) медицинской организации в стационарных условиях и в условиях дневного стационара не допускается (за исключением индивидуальных коэффициентов уровня при условии, если на территории субъекта Российской Федерации медицинскую помощь в стационарных условиях или в условиях дневного стационара на данном уровне оказывает только одна медицинская организация, а также при условии, если выделяется отдельный подуровень для медицинских организаций и (или) структурных подразделений медицинских организаций, расположенных на территории ЗАТО).

Коэффициент уровня медицинской организации отражает разницу в затратах медицинских организаций на оказание медицинской помощи с учетом тяжести состояния пациента, наличия у него осложнений, проведения углубленных исследований в медицинских организациях разного уровня, а также оказания медицинских услуг с применением телемедицинских технологий.

Среднее значение коэффициента уровня медицинской организации (в том числе для структурных подразделений медицинской организации) составляет:

1) для медицинских организаций 1-го уровня - 0,9;

2) для медицинских организаций 2-го уровня - 1,05;

3) для медицинских организаций 3-го уровня - 1,25.

С учетом объективных критериев (разница в используемых энергоносителях, плотность населения обслуживаемой территории, монопрофильность медицинской организации (например, инфекционная больница, и т.д.)), базирующихся на экономическом обосновании и расчетах, выполненных в соответствии с Методикой расчета тарифов на оплату медицинской помощи по обязательному медицинскому страхованию в составе Правил обязательного медицинского страхования, утвержденных приказом Министерства здравоохранения Российской Федерации от 28 февраля 2019 г. N 108н (далее соответственно - Методика расчета тарифов, Правила ОМС), по каждому уровню могут выделяться не более 5 подуровней медицинской организации с установлением коэффициентов по каждому подуровню.

Границы значений коэффициента подуровня медицинской организации:

для медицинских организаций (структурных подразделений) 1-го уровня - от 0,8 до 1,0;

для медицинских организаций (структурных подразделений) 2-го уровня - от 0,9 до 1,2;

для медицинских организаций (структурных подразделений) 3-го уровня - от 1,1 до 1,4.

Госпитали ветеранов войн необходимо относить к подуровню с более высоким коэффициентом подуровня медицинской организации.

Значение коэффициента уровня для медицинских организаций и (или) структурных подразделений медицинских организаций, расположенных на территории ЗАТО, устанавливается в размере не менее 1,2.

Однако средневзвешенный коэффициент уровня медицинской организации () каждого уровня медицинской организации не может превышать средние значения. рассчитывается по формуле:

,

где:  
средневзвешенный коэффициент уровня медицинской организации i;
коэффициент подуровня медицинской организации j;
число случаев, пролеченных в стационарах с подуровнем j;
число случаев в целом по уровню.

При этом субъект Российской Федерации вправе корректировать средние значения коэффициента уровня медицинской организации (с учетом установленных коэффициентов подуровней медицинской организации).

Средние значения коэффициента уровня медицинской организации для каждого последующего уровня в обязательном порядке должны превышать значения, установленные для предыдущих уровней.

В случае выделения подуровней медицинской организации соответствующие коэффициенты используются в расчетах вместо средних значений коэффициентов уровня медицинской организации ().

В целях более эффективного распределения средств обязательного медицинского страхования коэффициент уровня (подуровня) может устанавливаться не только для медицинских организаций в целом, но и для структурных подразделений медицинских организаций. С учетом объективных критериев для структурных подразделений медицинских организаций могут быть установлены разные коэффициенты уровня (подуровня) медицинской организации.

Для структурных подразделений медицинских организаций 2-го уровня, осуществляющих оказание медицинской помощи по профилям "Детская онкология" и "Онкология", в том числе для центров амбулаторной онкологической помощи, коэффициент уровня (подуровня) не может быть установлен в размере менее 1.

В целях регулирования более высокого уровня затрат на оказание медицинской помощи, частоты госпитализации пациентов по отдельным группам заболеваний, а также учета особенностей оказания медицинской помощи, предусмотрено также установление коэффициента специфики и сложности лечения пациента.

К отдельным КСГ, медицинская помощь по которым оказывается преимущественно на одном уровне, либо имеющим высокую степень стандартизации медицинских технологий, и предусматривающим (в большинстве случаев) одинаковое применение методов диагностики и лечения в медицинских организациях различных уровней (например, при аппендэктомии), коэффициент уровня (подуровня) при оплате таких случаев госпитализации/лечения не применяется (принимается равным 1). Исчерпывающий перечень таких КСГ в стационарных условиях установлен Приложением 5 к настоящим рекомендациям. Перечень КСГ, к которым не применяется коэффициент уровня (подуровня) в условиях дневного стационара, определяется в субъекте Российской Федерации самостоятельно. При оплате медицинской помощи в медицинских организациях и (или) структурных подразделениях медицинских организаций, расположенных на территории ЗАТО, коэффициент уровня применяется в том числе при оплате медицинской помощи по КСГ, определенным Приложением 5 к настоящим рекомендациям.

3.5. Коэффициент сложности лечения пациента

Коэффициент сложности лечения пациента (КСЛП) устанавливается тарифным соглашением, принятым на территории субъекта Российской Федерации, к отдельным случаям оказания медицинской помощи в соответствии с Требованиями и Приложением 1 к настоящим рекомендациям.

КСЛП учитывает более высокий уровень затрат на оказание медицинской помощи пациентам в отдельных случаях.

КСЛП устанавливается на основании объективных критериев, перечень которых приводится в тарифном соглашении и в обязательном порядке отражается в реестрах счетов.

В случае, если в рамках одной госпитализации возможно применение нескольких КСЛП, итоговое значение КСЛП рассчитывается путем суммирования соответствующих КСЛП.

При отсутствии оснований применения КСЛП, предусмотренных Приложением 1, значение параметра КСЛП при расчете стоимости законченного случая лечения принимается равным 0.

Стоимость КСЛП "проведение сопроводительной лекарственной терапии при злокачественных новообразованиях у взрослых в соответствии с клиническими рекомендациями" в составе случая лечения в стационарных условиях и в условиях дневного стационара определяется без учета коэффициента дифференциации субъекта Российской Федерации.

4. Подходы к оплате отдельных случаев оказания медицинской помощи по КСГ

4.1. Оплата прерванных случаев оказания медицинской помощи

В соответствии с Программой к прерванным случаям оказания медицинской помощи (далее - прерванный случай) относятся:

1. случаи прерывания лечения по медицинским показаниям;

2. случаи прерывания лечения при переводе пациента из одного отделения медицинской организации в другое;

3. случаи изменения условий оказания медицинской помощи (перевода пациента из стационарных условий в условия дневного стационара и наоборот);

4. случаи перевода пациента в другую медицинскую организацию;

5. случаи прерывания лечения вследствие преждевременной выписки пациента из медицинской организации, обусловленной его письменным отказом от дальнейшего лечения;

6. случаи лечения, закончившиеся летальным исходом;

7. случаи оказания медицинской помощи с проведением лекарственной терапии при злокачественных новообразованиях, в ходе которой медицинская помощь по объективным причинам оказана пациенту не в полном объеме по сравнению с выбранной для оплаты схемой лекарственной терапии, в том числе в случае прерывания лечения при возникновении абсолютных противопоказаний к продолжению лечения, не купируемых при проведении симптоматического лечения;

8. законченные случаи лечения (не являющиеся прерванными по основаниям, изложенным в подпунктах 1 - 7 пункта 4.1 данного раздела) длительностью 3 дня и менее по КСГ, не включенным в перечень КСГ, для которых оптимальным сроком лечения является период менее 3 дней включительно, приведенный в таблице 1 Приложения 4 к настоящим рекомендациям;

9. случаи медицинской реабилитации по КСГ st37.002, st37.003, st37.006, st37.007, st37.024, st37.025, st37.026 с длительностью лечения менее количества дней, определенных Программой и приложением 6 к настоящим рекомендациям (далее - Группировщик (приложение 6 и 7).

В случае, если перевод пациента из одного отделения медицинской организации в другое обусловлен возникновением (наличием) нового заболевания или состояния, относящегося к тому же классу МКБ-10, что и диагноз основного заболевания, и (или) являющегося следствием закономерного прогрессирования основного заболевания, внутрибольничной инфекции или осложнением основного заболевания, что не соответствует критериям оплаты случая госпитализации/лечения по двум КСГ, оплата производится в рамках одного случая лечения по КСГ с наибольшим размером оплаты, а отнесение такого случая к прерванным по основанию перевода пациента из одного отделения медицинской организации в другое не производится.

При оплате случаев лечения, подлежащих оплате по двум КСГ по основаниям, изложенным в подпунктах 2 - 9 пункта 4.3 настоящего раздела рекомендаций, случай до перевода не может считаться прерванным по основаниям, изложенным в подпунктах 2 - 4 пункта 4.1 данного раздела.

Приложением N 5 к Программе и таблицей 1 Приложения 4 к настоящим рекомендациям определен перечень КСГ, для которых длительность 3 дня и менее является оптимальными сроками лечения. Законченный случай оказания медицинской помощи по данным КСГ не может быть отнесен к прерванным случаям по основаниям, связанным с длительностью лечения, и оплачивается в полном объеме независимо от длительности лечения. При этом в случае наличия оснований прерванности, не связанных с длительностью лечения, случай оказания медицинской помощи оплачивается как прерванный на общих основаниях.

В случае выделения в субъекте Российской Федерации подгрупп в составе КСГ, не включенных в вышеуказанный перечень КСГ, отдельные подгруппы (но не все) в составе таких КСГ могут оплачиваться в полном объеме в случае длительности госпитализации/лечения 3 дня и менее. Подгруппы, включаемые в перечень КСГ, по которым оплата медицинской помощи осуществляется в полном объеме при длительности госпитализации/лечения 3 дня и менее, указываются в соответствующем разделе тарифного соглашения. Аналогично, отдельные подгруппы (но не все) в составе КСГ, включенных в вышеуказанный перечень КСГ, могут не включаться в соответствующий раздел тарифного соглашения.

Доля оплаты случаев оказания медицинской помощи, являющихся прерванными, за исключением основания, связанного с проведением лекарственной терапии при ЗНО не в полном объеме, определяется в зависимости от выполнения хирургического вмешательства и (или) проведения тромболитической терапии, являющихся классификационным критерием отнесения данного случая лечения к конкретной КСГ.

В случае, если пациенту было выполнено хирургическое вмешательство и (или) была проведена тромболитическая терапия, случай оплачивается в размере:

- при длительности лечения 3 дня и менее - от 80 до 90 процентов от стоимости КСГ;

- при длительности лечения более 3-х дней - от 80 до 100 процентов от стоимости КСГ.

При этом тарифным соглашением размеры оплаты устанавливаются таким образом, что доля оплаты случаев оказания медицинской помощи с длительностью более 3-х дней превышает долю оплаты случаев с длительностью 3 дня и менее.

Таблицей 2 Приложения 4 к настоящим рекомендациям определен перечень КСГ, которые предполагают хирургическое вмешательство или тромболитическую терапию. Таким образом, прерванные случаи по КСГ, не входящим в таблицу 2 Приложения 4 к рекомендациям, не могут быть оплачены с применением вышеуказанных диапазонов уменьшения размеров оплаты прерванных случаев (80 - 90 процентов и 80 - 100 процентов соответственно).

Если хирургическое вмешательство и (или) тромболитическая терапия не проводились, случай оплачивается в размере:

- при длительности лечения 3 дня и менее - от 20 до 50 процентов от стоимости КСГ;

- при длительности лечения более 3-х дней - от 50 до 80 процентов от стоимости КСГ.

Конкретная доля оплаты данных случаев устанавливается в тарифном соглашении субъекта Российской Федерации.

Случаи проведения лекарственной терапии пациентам в возрасте 18 лет и старше и случаи медицинской реабилитации, являющиеся прерванными по основаниям, изложенным в подпунктах 7 и 9 пункта 4.1 данного раздела рекомендаций, оплачиваются аналогично случаям лечения, когда хирургическое вмешательство и (или) тромболитическая терапия не проводились.

В субъекте Российской Федерации могут быть установлены различные доли оплаты прерванных случаев в зависимости от конкретных КСГ (перечней КСГ), а также оснований для прерывания оказания медицинской помощи, при условии, что установленные доли не противоречат долям оплаты прерванных случаев, установленным Требованиями.

4.2. Порядок определения полноты выполнения схемы лекарственной терапии при лечении пациентов в возрасте 18 лет и старше

Режим введения лекарственных препаратов в описании схем лекарственной терапии включает в себя: наименование лекарственных препаратов, длительность цикла, количество дней введения, способ введения (в случае указания в схеме), скорость введения (капельно, струйно, в случае указания в схеме), разовую дозу препарата (фиксированная величина или разовая доза в пересчете на массу тела или площадь поверхности тела пациента).

Если наименование лекарственных препаратов, способ введения (в случае указания в схеме) или скорость введения (в случае указания в схеме) не соответствуют описанию ни одной схемы лекарственной терапии, представленной в "Группировщиках", являющихся Приложениями 6 и 7 к настоящим рекомендациям, для оплаты однозначно выбирается схема лекарственной терапии sh9003 "Прочие схемы лекарственной терапии", а случай считается законченным и оплачивается в полном объеме, если он не является прерванным по основаниям, изложенным в подпунктах 1 - 6 пункта 4.1 данного раздела рекомендаций.

Схема лекарственной терапии считается выполненной полностью и оплачивается в полном объеме (при отсутствии оснований считать случай прерванным по иным основаниям, предусмотренным пунктом 4.1 данного раздела рекомендаций) в следующих случаях:

1. При проведении лечения в полном соответствии с одной из схем лекарственной терапии, указанных в "Группировщике";

2. При снижении дозы химиотерапевтических препаратов и/или увеличении интервала между введениями по сравнению с указанными в столбце "Наименование и описание схемы" в "Группировщиках" при соблюдении следующих условий, отраженных в первичной медицинской документации (общее количество дней введения должно точно соответствовать количеству дней введения, предусмотренному в описании схемы лекарственной терапии):

- снижение дозы произведено в соответствии с инструкцией к химиотерапевтическому препарату в связи усилением токсических реакций или с тяжестью состояния пациента;

- увеличение интервала между введениями произведено в связи с медицинскими противопоказаниями к введению препаратов в день, указанный в описании схемы.

Случаи, в ходе которых лекарственная терапия проведена в полном объеме, предусмотренном соответствующей схемой лекарственной терапии, оплачиваются по соответствующей КСГ в полном объеме независимо от наличия иных оснований считать случай лечения прерванным.

Все остальные случаи (в том числе случаи проведения лекарственной терапии, при которых снижение дозы химиотерапевтических препаратов и/или увеличение интервала между введениями произведено по другим причинам) являются прерванными и оплачиваются в соответствии с правилами оплаты прерванных случаев лечения.

Учитывая, что проведение лучевой терапии предусмотрено начиная с одной фракции, оплата случаев лечения осуществляется путем отнесения случая к соответствующей КСГ исходя из фактически проведенного количества дней облучения (фракций).

4.3. Оплата случая лечения по двум и более КСГ

Медицинская помощь, оказываемая пациентам одновременно по двум и более КСГ, осуществляется в следующих случаях:

1. Перевод пациента из одного отделения медицинской организации в другое в рамках круглосуточного или дневного стационаров (в том числе в случае перевода из круглосуточного стационара в дневной стационар и наоборот), если это обусловлено возникновением (наличием) нового заболевания или состояния, входящего в другой класс МКБ-10 и не являющегося следствием закономерного прогрессирования основного заболевания, внутрибольничной инфекции или осложнением основного заболевания, а также при переводе пациента из одной медицинской организации в другую; оба случая лечения заболевания подлежат оплате в рамках соответствующих КСГ, при этом случай лечения до осуществления перевода относится к прерванным по установленным пунктом 4.1 данного раздела рекомендаций основаниям;

2. Проведение медицинской реабилитации пациента после завершения лечения в той же медицинской организации по поводу заболевания, по которому осуществлялось лечение;

3. Оказание медицинской помощи, связанной с установкой, заменой порт-системы (катетера) для лекарственной терапии злокачественных новообразований с последующим проведением лекарственной терапии или после хирургического лечения в рамках одной госпитализации;

4. Этапное хирургическое лечение при злокачественных новообразованиях, не предусматривающее выписку пациента из стационара (например: удаление первичной опухоли кишечника с формированием колостомы (операция 1) и закрытие ранее сформированной колостомы (операция 2));

5. Проведение реинфузии аутокрови, баллонной внутриаортальной контрпульсации или экстракорпоральной мембранной оксигенации на фоне лечения основного заболевания;

6. Дородовая госпитализация пациентки в отделение патологии беременности в случае пребывания в отделении патологии беременности в течение 6 дней и более с последующим родоразрешением.

Также осуществляется оплата по двум КСГ в случае дородовой госпитализации пациентки в отделение патологии беременности и пребывания в нем в течение 2 дней и более с последующим родоразрешением при оказании медицинской помощи по следующим МКБ 10:

- O14.1 Тяжелая преэклампсия;

- O34.2 Послеоперационный рубец матки, требующий предоставления медицинской помощи матери;

- O36.3 Признаки внутриутробной гипоксии плода, требующие предоставления медицинской помощи матери;

- O36.4 Внутриутробная гибель плода, требующая предоставления медицинской помощи матери;

- O42.2 Преждевременный разрыв плодных оболочек, задержка родов, связанная с проводимой терапией;

7. Наличие у пациента тяжелой сопутствующей патологии, требующей в ходе оказания медицинской помощи в период госпитализации имплантации в организм пациента медицинского изделия;

8. Проведение иммунизации против респираторно-синцитиальной вирусной инфекции в период госпитализации по поводу лечения нарушений, возникающих в перинатальном периоде, являющихся показанием к иммунизации;

9. Проведение антимикробной терапии инфекций, вызванных полирезистентными микроорганизмами.

Выставление случая только по КСГ st36.013 - st36.015 "Проведение антимикробной терапии инфекций, вызванных полирезистентными микроорганизмами (уровень 1 - 3)", без основной КСГ, а также выставление случая по двум КСГ из перечня st36.013 - st36.015 "Проведение антимикробной терапии инфекций, вызванных полирезистентными микроорганизмами (уровень 1 - 3)" с пересекающимися сроками лечения не допускается.

4.4. Оплата случаев лечения, предполагающих сочетание оказания высокотехнологичной и специализированной медицинской помощи пациенту

В случае если у пациента после оказания специализированной медицинской помощи определяются показания к получению медицинской помощи с применением метода лечения, включенного в Перечень видов ВМП (приложение N 1 к Программе), либо после оказания высокотехнологичной медицинской помощи определяются показания к оказанию специализированной медицинской помощи, указанные случаи оплачиваются дважды, в рамках специализированной медицинской помощи по соответствующей КСГ, а в рамках высокотехнологичной медицинской помощи по нормативу (среднему нормативу) финансовых затрат на единицу объема медицинской помощи. При этом предоперационный и послеоперационный период включается в законченный случай лечения как для специализированной, так и для высокотехнологичной медицинской помощи, и не может быть представлен к оплате по второму тарифу.

Медицинская помощь в неотложной и экстренной формах, а также медицинская реабилитация в соответствии с порядками оказания медицинской помощи, на основе клинических рекомендаций и с учетом стандартов медицинской помощи, может быть предоставлена родителям (законным представителям), госпитализированным по уходу за детьми, страдающими тяжелыми хроническими инвалидизирующими заболеваниями, требующими сверхдлительных сроков лечения, при оказании детям специализированной либо высокотехнологичной медицинской помощи и оплачивается медицинским организациям педиатрического профиля, имеющим необходимые лицензии, в соответствии с установленными способами оплаты.

Отнесение случая оказания медицинской помощи к высокотехнологичной медицинской помощи осуществляется при соответствии наименования вида высокотехнологичной медицинской помощи, кодов МКБ-10, модели пациента, вида и метода лечения аналогичным параметрам, установленным перечнем видов высокотехнологичной медицинской помощи (Приложение N 1 к Программе), содержащего, в том числе, методы лечения и источники финансового обеспечения высокотехнологичной медицинской помощи (далее - Перечень ВМП). Оплата видов высокотехнологичной медицинской помощи, включенных в базовую программу, осуществляется по нормативам финансовых затрат на единицу объема предоставления медицинской помощи, утвержденным Программой. В случае, если хотя бы один из вышеуказанных параметров не соответствует Перечню ВМП, оплата случая оказания медицинской помощи осуществляется в рамках специализированной медицинской помощи по соответствующей КСГ исходя из выполненной хирургической операции и (или) других применяемых медицинских технологий.

4.5. Оплата случаев лечения по профилю "Медицинская реабилитация"

Лечение по профилю медицинская реабилитация в условиях круглосуточного, а также дневного стационаров производится в медицинских организациях и структурных подразделениях медицинских организаций, имеющих лицензию на оказание медицинской помощи по профилю "Медицинская реабилитация".

Для КСГ st37.001 - st37.013, st37.021 - st37.026 в стационарных условиях и для КСГ ds37.001 - ds37.008, ds37.015 - ds37.016 в условиях дневного стационара критерием для определения индивидуальной маршрутизации пациента служит оценка состояния по шкале реабилитационной маршрутизации (далее - ШРМ) в соответствии с Порядком организации медицинской реабилитации взрослых, утвержденным приказом Министерства здравоохранения Российской Федерации от 31 июля 2020 г. N 788н (зарегистрировано в Минюсте России 25 сентября 2020 г. N 60039). При оценке 2 балла по ШРМ пациент получает медицинскую реабилитацию в условиях дневного стационара. При оценке 3 балла по ШРМ медицинская реабилитация оказывается пациенту в условиях дневного стационара или в стационарных условиях в зависимости от состояния пациента и в соответствии с маршрутизацией, установленной в субъекте Российской Федерации. При оценке 4 - 5 - 6 баллов по ШРМ пациенту оказывается медицинская реабилитация в стационарных условиях.

Критерием для определения индивидуальной маршрутизации реабилитации детей, перенесших заболевания перинатального периода, с нарушениями слуха без замены речевого процессора системы кохлеарной имплантации, с онкологическими, гематологическими и иммунологическими заболеваниями в тяжелых формах, требующих продолжительного течения, с поражениями центральной нервной системы, после хирургической коррекции врожденных пороков развития органов и систем служит оценка степени тяжести заболевания, определяющая сложность и условия проведения медицинской реабилитации. При средней и тяжелой степени тяжести указанных заболеваний ребенок получает медицинскую реабилитацию в условиях круглосуточного стационара с оплатой по соответствующей КСГ. При средней и легкой степени тяжести указанных заболеваний ребенок может получать медицинскую реабилитацию в условиях дневного стационара.

С 2023 года стоимость КСГ, предусматривающих медицинскую реабилитацию пациентов с заболеваниями центральной нервной системы и заболеваниями опорно-двигательного аппарата и периферической нервной системы, увеличена с учетом установления плановой длительности случая реабилитации. Случай реабилитации по КСГ (st37.002, st37.003, st37.006, st37.007, st37.024, st37.025, st37.026) длительностью менее предусмотренного соответствующим классификационным критерием значения является прерванным и оплачивается в соответствии с пунктом 4.1 настоящих рекомендаций.

Также, при увеличении стоимости КСГ (st37.002, st37.003, st37.006, st37.007, st37.024, st37.025) были учтены затраты, связанные с применением роботизированных систем. При этом в целях учета случаев лечения с применением роботизированных систем были добавлены иные классификационные критерии "rbprob4", "rbprob5", "rbrob4d12", "rbrob4d14", "rbrob5d18", "rbrob5d20", включающие, в том числе, оценку по шкале реабилитационной маршрутизации и длительность лечения.

Также в целях учета случаев лечения с применением ботулинического токсина добавлены иные классификационные критерии "rbb2" - "rbb5", соответствующие оценке по шкале реабилитационной маршрутизации в сочетании с применением ботулинического токсина.

В целях учета случаев медицинской реабилитации с применением роботизированных систем и введения ботулинического токсина добавлены иные классификационные критерии "rbbprob4", "rbbprob5", "rbbrob4d14", "rbbrob5d20", включающие, в том числе, оценку по шкале реабилитационной маршрутизации и длительность лечения.

Применение роботизированных систем и/или введение ботулинического токсина для КСГ не является обязательным.

Оплата первого этапа медицинской реабилитации осуществляется с использованием коэффициента сложности лечения пациентов.

Данный коэффициент предусматривает оплату реабилитационных мероприятий при проведении реабилитационных мероприятий при нахождении пациента на реанимационной койке и/или койке интенсивной терапии, начавшихся не позднее 48 часов от поступления в отделение реанимации или на койку интенсивной терапии с общей длительностью реабилитационных мероприятий не менее 5-ти суток, включая период после перевода на профильные койки по окончании реанимационных мероприятий, при обязательной продолжительности реабилитационных мероприятий не менее одного часа в сутки (при условии организации отделения ранней медицинской реабилитации на не менее чем 12 коек отделения, оказывающего медицинскую помощь по профилю "анестезиология и реанимация", и его укомплектования в соответствии с порядком оказания медицинской помощи по медицинской реабилитации).

КСЛП "Проведение 1 этапа медицинской реабилитации пациентов" применяется один раз к случаю лечения, в том числе в случае, если оплата случая лечения осуществляется по двум КСГ.

4.6. Оплата случаев лечения при оказании услуг диализа

При оказании медицинской помощи пациентам, получающим услуги диализа, оплата в амбулаторных условиях осуществляется за услугу диализа, в условиях дневного стационара - за услугу диализа и при необходимости в сочетании с КСГ, учитывающей основное (сопутствующее) заболевание, или со случаем оказания высокотехнологичной медицинской помощи, в условиях круглосуточного стационара - за услугу диализа только в сочетании с основной КСГ, являющейся поводом для госпитализации, или со случаем оказания высокотехнологичной медицинской помощи.

Тарифным соглашением устанавливаются базовые тарифы на оплату гемодиализа (код услуги A18.05.002 "Гемодиализ") и перитонеального диализа (код услуги A18.30.001 "Перитонеальный диализ"), рассчитанные в соответствии с Методикой расчета тарифов и включающие в себя расходы, определенные частью 7 статьи 35 Федерального закона N 326-ФЗ. Для последующего расчета остальных услуг диализа, оказываемых на территории субъекта Российской Федерации, к базовому тарифу применяются рекомендуемые коэффициенты относительной затратоемкости, представленные в Приложении 2.

Применение коэффициента дифференциации (при наличии) к стоимости услуги осуществляется с учетом доли расходов на заработную плату в составе тарифа на оплату медицинской помощи. Применение поправочных коэффициентов к стоимости услуг недопустимо. Учитывая, что единицей планирования медицинской помощи в условиях дневного стационара является случай лечения, в целях учета выполненных объемов медицинской помощи в рамках реализации территориальной программы обязательного медицинского страхования, за единицу объема в условиях дневного стационара принимается один месяц лечения. В стационарных условиях необходимо к законченному случаю относить лечение в течение всего периода нахождения пациента в стационаре.

При этом в период лечения, как в круглосуточном, так и в дневном стационаре, пациент должен обеспечиваться всеми необходимыми лекарственными препаратами, в том числе для профилактики осложнений. В случае, если обеспечение лекарственными препаратами осуществляется за счет других источников (кроме средств ОМС), оказание медицинской помощи с применением диализа осуществляется в амбулаторных условиях.

В случае если в регионе выполняются услуги диализа при сепсисе, септическом шоке, полиорганной недостаточности, печеночной недостаточности, острых отравлениях, остром некротическом панкреатите, остром рабдомиолизе и других миоглобинурических синдромах, парапротеинемических гемобластозах, жизнеугрожающих обострениях аутоиммунных заболеваний, субъект Российской Федерации вправе устанавливать тарифы на следующие услуги для осуществления дополнительной оплаты услуг к стоимости КСГ:

A18.05.001.001 Плазмообмен;

A18.05.001.003 Плазмодиафильтрация;

A18.05.001.004 Плазмофильтрация каскадная;

A18.05.001.005 Плазмофильтрация селективная;

A18.05.002.004 Гемодиализ с селективной плазмофильтрацией и адсорбцией;

A18.05.003.001 Гемофильтрация крови продленная;

A18.05.006.001 Селективная гемосорбция липополисахаридов;

A18.05.007 Иммуносорбция;

A18.05.020.001 Плазмосорбция сочетанная с гемофильтрацией;

A18.05.021.001 Альбуминовый диализ с регенерацией альбумина.

4.7. Оплата случаев лечения по профилю "Акушерство и гинекология"

В стационарных условиях в стоимость КСГ по профилю "Акушерство и гинекология", предусматривающих родоразрешение, включены расходы на пребывание новорожденного в медицинской организации, где произошли роды. Пребывание здорового новорожденного в медицинской организации в период восстановления здоровья матери после родов не является основанием для предоставления оплаты по КСГ по профилю "Неонатология".

Учитывая возможность проведения отдельных этапов процедуры экстракорпорального оплодотворения, а также возможность криоконсервации и размораживания эмбрионов, в модели КСГ дневного стационара предусмотрены КСГ ds02.008 - ds02.011.

Хранение криоконсервированных эмбрионов за счет средств обязательного медицинского страхования не осуществляется.

Оптимальная длительность случая при проведении криопереноса составляет один день, в связи с чем указанные случаи могут быть оказаны как в условиях дневного стационара, так и в амбулаторных условиях (по решению субъекта Российской Федерации).

4.8. Оплата случаев лечения по профилю "Онкология"

При расчете стоимости случаев лекарственной терапии онкологических заболеваний учтены в том числе нагрузочные дозы в соответствии с инструкциями по применению лекарственных препаратов для медицинского применения (отдельно схемы лекарственной терапии для нагрузочных доз не выделяются).

Отнесение к КСГ, предусматривающим хирургическое лечение, осуществляется по коду МКБ-10 и коду медицинской услуги в соответствии с Номенклатурой.

Формирование КСГ для случаев лучевой терапии осуществляется на основании кода МКБ-10, кода медицинской услуги в соответствии с Номенклатурой и для большинства групп - с учетом количества дней проведения лучевой терапии (фракций).

Отнесение к КСГ для случаев проведения лучевой терапии в сочетании с лекарственной терапией осуществляется по коду МКБ-10, коду медицинской услуги в соответствии с Номенклатурой, количеству дней проведения лучевой терапии (фракций) и МНН лекарственных препаратов.

КСГ для случаев лекарственной терапии взрослых со злокачественными новообразованиями (кроме лимфоидной и кроветворной тканей) формируются на основании кода МКБ-10 и схемы лекарственной терапии.

КСГ для случаев лекарственной терапии взрослых со злокачественными новообразованиями лимфоидной и кроветворной тканей формируются на основании кода МКБ-10, длительности и дополнительного классификационного критерия, включающего группу лекарственного препарата или МНН лекарственного препарата.

Установление отдельных тарифов на оплату медицинской помощи с использованием пэгаспаргазы и иных лекарственных препаратов, ранее централизованно закупаемых по отдельным решениям Правительства Российской Федерации, рекомендуется осуществлять путем выделения подгрупп в составе соответствующих КСГ, предусмотренных Программой.

При условии достаточности стоимости КСГ, предусмотренных Программой, для возмещения расходов медицинских организаций, связанных с оказанием медицинской помощи с использованием пэгаспаргазы и иных лекарственных препаратов, ранее централизованно закупаемых по отдельным решениям Правительства Российской Федерации, Комиссией может быть принято решение об использовании для оплаты соответствующей медицинской помощи КСГ, предусмотренных Программой, определенных с учетом кода диагноза пациента (по КСГ st08.002 и ds08.002 "Лекарственная терапия при остром лейкозе, дети").

В электронном документе нумерация разделов соответствует официальному источнику.

II. СПОСОБЫ ОПЛАТЫ ПЕРВИЧНОЙ МЕДИКО-САНИТАРНОЙ ПОМОЩИ, В ТОМ ЧИСЛЕ НА ОСНОВЕ ПОДУШЕВОГО НОРМАТИВА ФИНАНСИРОВАНИЯ НА ПРИКРЕПИВШИХСЯ ЛИЦ

Первичная медико-санитарная помощь оказывается в амбулаторных условиях и в условиях дневного стационара. Оплата первичной медико-санитарной помощи в условиях дневного стационара осуществляется в соответствии с разделом I настоящих рекомендаций.

Субъектами Российской Федерации на основе перераспределения объемов медицинской помощи по видам, условиям и формам ее оказания устанавливаются дифференцированные нормативы объема медицинской помощи на одного жителя и нормативы объема медицинской помощи на одно застрахованное лицо с учетом этапов оказания медицинской помощи, уровня и структуры заболеваемости, особенностей половозрастного состава и плотности населения, транспортной доступности медицинских организаций, а также климатических и географических особенностей регионов, учитывая приоритетность финансового обеспечения первичной медико-санитарной помощи.

1. Основные подходы к оплате первичной медико-санитарной помощи, оказанной в амбулаторных условиях

При оплате медицинской помощи, оказанной в амбулаторных условиях, применяются способы оплаты, установленные Программой.

В рамках подушевого норматива финансирования на прикрепившихся лиц при финансовом обеспечении первичной (первичной специализированной) медико-санитарной помощи могут выделяться подушевые нормативы финансирования на прикрепившихся лиц по профилю "Акушерство и гинекология" и (или) "Стоматология" для оплаты первичной (первичной специализированной) медико-санитарной помощи по соответствующим профилям.

При этом оплата иной медицинской помощи, оказанной в амбулаторных условиях (за исключением отдельных диагностических (лабораторных) исследований: компьютерной томографии, магнитно-резонансной томографии, ультразвукового исследования сердечно-сосудистой системы, эндоскопических диагностических исследований, а также молекулярно-генетических исследований и патологоанатомических исследований биопсийного (операционного) материала с целью диагностики онкологических заболеваний и подбора противоопухолевой лекарственной терапии (далее - молекулярно-генетические исследования и патологоанатомические исследования биопсийного (операционного) материала), тестирования на выявление новой коронавирусной инфекции (COVID-19), профилактических медицинских осмотров и диспансеризации, в том числе углубленной диспансеризации, а также средств на оплату диспансерного наблюдения, медицинской помощи, оказанной застрахованным лицам за пределами субъекта Российской Федерации, на территории которого выдан полис обязательного медицинского страхования, а также оказанной в отдельных медицинских организациях, не имеющих прикрепившихся лиц), осуществляется по подушевому нормативу финансирования на прикрепившихся лиц, рассчитанному с учетом выделения объемов финансового обеспечения оказания медицинской помощи в амбулаторных условиях по профилю "Акушерство и гинекология" и (или) "Стоматология" в отдельные подушевые нормативы финансирования на прикрепившихся лиц.

В подушевые нормативы финансирования на прикрепившихся лиц по профилям "Акушерство и гинекология" и (или) "Стоматология" включаются расходы на медицинскую помощь по соответствующим профилям, оказываемую в иных медицинских организациях и оплачиваемую за единицу объема медицинской помощи.

2. Расчет объема финансового обеспечения первичной медико-санитарной помощи в амбулаторных условиях

2.1. Расчет объема средств на оплату медицинской помощи в амбулаторных условиях

Средний размер финансового обеспечения медицинской помощи, определенный на основе нормативов объемов медицинской помощи и финансовых затрат на единицу объема медицинской помощи, установленных территориальной программой обязательного медицинского страхования , устанавливаемый в соответствии с Требованиями, определяется по следующей формуле:

,

где:
объем средств на оплату медицинской помощи в амбулаторных условиях для медицинских организаций, участвующих в реализации территориальной программы обязательного медицинского страхования данного субъекта Российской Федерации, рублей;
численность застрахованного населения субъекта Российской Федерации, человек.

Объем средств на оплату медицинской помощи в амбулаторных условиях для медицинских организаций, участвующих в реализации территориальной программы обязательного медицинского страхования данного субъекта Российской Федерации, определяется на основе нормативов объемов медицинской помощи и финансовых затрат на единицу объема медицинской помощи, установленных территориальной программой обязательного медицинского страхования, по следующей формуле:

,

где:
средний норматив объема медицинской помощи, оказываемой в амбулаторных условиях, для проведения профилактических медицинских осмотров, установленный Территориальной программой государственных гарантий в части базовой программы, посещений;
средний норматив объема медицинской помощи, оказываемой в амбулаторных условиях, для проведения диспансеризации, установленный Территориальной программой государственных гарантий в части базовой программы, посещений;
средний норматив объема медицинской помощи, оказываемой в амбулаторных условиях, для посещений с иными целями, установленный Территориальной программой государственных гарантий в части базовой программы, посещений;
средний норматив объема медицинской помощи, оказываемой в амбулаторных условиях в связи с заболеваниями, установленный Территориальной программой государственных гарантий в части базовой программы, обращений;
средний норматив объема медицинской помощи, оказываемой в амбулаторных условиях в неотложной форме, установленный Территориальной программой государственных гарантий в части базовой программы, посещений;
средний норматив объема медицинской помощи, оказываемой в амбулаторных условиях, для обращения по заболеванию при оказании медицинской помощи по профилю "Медицинская реабилитация", установленный Территориальной программой государственных гарантий в части базовой программы, комплексных посещений;
средний норматив объема медицинской помощи, оказываемой в амбулаторных условиях, для диспансерного наблюдения, установленный Территориальной программой государственных гарантий в части базовой программы, комплексных посещений;
средний норматив финансовых затрат на единицу объема медицинской помощи, оказываемой в амбулаторных условиях, для проведения профилактических медицинских осмотров, установленный Территориальной программой государственных гарантий в части базовой программы, рублей;
средний норматив финансовых затрат на единицу объема медицинской помощи, оказываемой в амбулаторных условиях, для проведения диспансеризации, установленный Территориальной программой государственных гарантий в части базовой программы, рублей;
средний норматив финансовых затрат на единицу объема медицинской помощи, оказываемой в амбулаторных условиях, для посещений с иными целями, установленный Территориальной программой государственных гарантий в части базовой программы, рублей;
средний норматив финансовых затрат на единицу объема медицинской помощи, оказываемой в амбулаторных условиях в связи с заболеваниями, установленный Территориальной программой государственных гарантий в части базовой программы, рублей;
средний норматив финансовых затрат на единицу объема медицинской помощи, оказываемой в амбулаторных условиях в неотложной форме, установленный Территориальной программой государственных гарантий в части базовой программы, рублей;
средний норматив финансовых затрат на единицу объема медицинской помощи, оказываемой в амбулаторных условиях, для обращения по заболеванию при оказании медицинской помощи по профилю "Медицинская реабилитация", установленный Территориальной программой государственных гарантий в части базовой программы, рублей;
средний норматив финансовых затрат на единицу объема медицинской помощи, оказываемой в амбулаторных условиях, для диспансерного наблюдения, установленный Территориальной программой государственных гарантий в части базовой программы, рублей;
объем средств, направляемых на оплату медицинской помощи, оказываемой в амбулаторных условиях и оплачиваемой за единицу объема медицинской помощи застрахованным лицам за пределами субъекта Российской Федерации, на территории которого выдан полис обязательного медицинского страхования, рублей;

2.2. Расчет базового подушевого норматива финансирования на прикрепившихся лиц

В соответствии с Требованиями в тарифном соглашении устанавливаются:

- базовый подушевой норматив финансирования в соответствии с перечнем расходов на медицинскую помощь, финансовое обеспечение которых осуществляется по подушевому нормативу финансирования;

- перечень расходов на оказание медицинской помощи, финансовое обеспечение которых осуществляется по подушевому нормативу финансирования;

- перечень расходов на оказание медицинской помощи, финансовое обеспечение которых осуществляется вне подушевого норматива финансирования.

Значение базового подушевого норматива финансирования на прикрепившихся лиц определяется по следующей формуле:

,

где:
базовый подушевой норматив финансирования на прикрепившихся лиц, рублей;
объем средств на оплату медицинской помощи ПНФ по подушевому нормативу финансирования, рублей;
КД единый коэффициент дифференциации субъекта Российской Федерации, рассчитанный в соответствии с Постановлением N 462.

В базовый подушевой норматив финансирования на прикрепившихся лиц не включаются расходы на финансовое обеспечение медицинской помощи при социально значимых заболеваниях (заболевания, передаваемые половым путем, вызванные вирусом иммунодефицита человека, синдром приобретенного иммунодефицита, туберкулез, психические расстройства и расстройства поведения) в случае их финансирования в рамках территориальной программы обязательного медицинского страхования за счет бюджетных ассигнований бюджета субъекта Российской Федерации.

Комиссией вне зависимости от применяемого способа оплаты устанавливаются единые тарифы на оплату медицинской помощи по каждой единице объема, применяемые при межучрежденческих (могут осуществляться медицинскими организациями и страховыми медицинскими организациями в соответствии с заключенным тарифным соглашением) и межтерриториальных (осуществляются территориальным фондом обязательного медицинского страхования) расчетах, в соответствии с Требованиями.

При формировании реестров счетов и счетов на оплату медицинской помощи, оказываемой в амбулаторных условиях, вне зависимости от применяемого способа оплаты отражаются все единицы объема с указанием размеров установленных тарифов.

Объем средств на оплату медицинской помощи в амбулаторных условиях по подушевому нормативу финансирования, оказываемой медицинскими организациями, участвующими в реализации территориальной программы обязательного медицинского страхования данного субъекта Российской Федерации (), рассчитывается без учета средств на финансовое обеспечение медицинской помощи, оплачиваемой за единицу объема, и средств на финансовое обеспечение фельдшерских, фельдшерско-акушерских пунктов, определяется по следующей формуле:

,

где:
объем средств, направляемых на финансовое обеспечение фельдшерских, фельдшерско-акушерских пунктов в соответствии с установленными Территориальной программой государственных гарантий размерами финансового обеспечения фельдшерских, фельдшерско-акушерских пунктов (при необходимости - за исключением медицинской помощи в неотложной форме), рублей;
объем средств, направляемых на оплату проведения отдельных диагностических (лабораторных) исследований (компьютерной томографии, магнитно-резонансной томографии, ультразвукового исследования сердечно-сосудистой системы, эндоскопических диагностических исследований, молекулярно-генетических исследований и патологоанатомических исследований биопсийного (операционного) материала, тестирования на выявление новой коронавирусной инфекции (COVID-19) в соответствии с нормативами, установленными Территориальной программой государственных гарантий в части базовой программы, рублей;
объем средств, направляемых на оплату посещений в неотложной форме в соответствии с нормативами, установленными Территориальной программой государственных гарантий в части базовой программы, рублей (используется в случае принятия Комиссией решения о финансировании медицинской помощи в неотложной форме вне подушевого норматива);
объем средств, направляемых на оплату медицинской помощи, оказываемой в амбулаторных условиях за единицу объема медицинской помощи застрахованным в данном субъекте Российской Федерации лицам (в том числе комплексных посещений по профилю "Медицинская реабилитация", а также диспансерного наблюдения), рублей;
объем средств, направляемых на оплату проведения профилактических медицинских осмотров в соответствии с нормативами, установленными Территориальной программой государственных гарантий в части базовой программы, рублей
объем средств, направляемых на оплату проведения диспансеризации, включающей профилактический медицинский осмотр и дополнительные методы обследований (в том числе второго этапа диспансеризации и углубленной диспансеризации), рублей

В случае установления в субъекте Российской Федерации отдельных подушевых нормативов финансирования на оплату медицинской помощи по профилю "Акушерство и гинекология" или "Стоматология", объем средств на оплату медицинской помощи по указанным профилям, распределяемый путем установления соответствующих подушевых нормативов, исключается при расчете ОСПНФ, а соответствующие подушевые нормативы рассчитываются по аналогии с методикой, установленной настоящим разделом рекомендаций.

Объем средств, направляемый на финансовое обеспечение медицинской помощи, финансируемой в соответствии с установленными Программой нормативами, не включает в себя средства, направляемые на оплату медицинской помощи, оказываемой в амбулаторных условиях застрахованным лицам за пределами субъекта Российской Федерации, на территории которого выдан полис обязательного медицинского страхования, и оплачиваемой за единицу объема медицинской помощи.

Объем средств, направляемых на оплату проведения отдельных диагностических (лабораторных) исследований, рассчитывается по следующей формуле:

,

где:
средний норматив объема медицинской помощи для проведения j-го исследования (компьютерной томографии, магнитно-резонансной томографии, ультразвукового исследования сердечно-сосудистой системы, эндоскопических диагностических исследований, молекулярно-генетических исследований и патологоанатомических исследований биопсийного (операционного) материала, тестирования на выявление новой коронавирусной инфекции (COVID-19)), установленный Территориальной программой государственных гарантий в части базовой программы, исследований;
средний норматив финансовых затрат на единицу объема медицинской помощи для проведения j-го исследования (компьютерной томографии, магнитно-резонансной томографии, ультразвукового исследования сердечно-сосудистой системы, эндоскопических диагностических исследований, молекулярно-генетических исследований и патологоанатомических исследований биопсийного (операционного) материала, тестирования на выявление новой коронавирусной инфекции (COVID-19)), установленный Территориальной программой государственных гарантий в части базовой программы, рублей;
численность застрахованного населения субъекта Российской Федерации, человек.

Объем средств, направляемых на оплату медицинской помощи в неотложной форме, рассчитывается по следующей формуле:

.

Средства на финансовое обеспечение медицинской помощи, оплата которой согласно разделу IV Программы осуществляется за единицу объема медицинской помощи - за медицинскую услугу, посещение, обращение (законченный случай), а также средства на финансовое обеспечение фельдшерских, фельдшерско-акушерских пунктов в обязательном порядке исключаются при расчете объема средств на оплату медицинской помощи по подушевому нормативу финансирования.

Учитывая, что в соответствии с Программой оплата проведения медицинской реабилитации в амбулаторных условиях осуществляется в том числе за счет межбюджетных трансфертов из федерального бюджета, предоставляемых бюджету Федерального фонда обязательного медицинского страхования, в целях более эффективного использования указанных средств оплату медицинской помощи в амбулаторных условиях по профилю "Медицинская реабилитация" целесообразно осуществлять вне подушевого норматива финансирования - за соответствующую единицу объема медицинской помощи (комплексное посещение).

В субъекте Российской Федерации в подушевой норматив финансирования могут не включаться отдельные виды расходов (на медицинскую помощь по профилю "Стоматология" или "Акушерство и гинекология", услуги диализа, проведение отдельных видов диагностических исследований, хирургических вмешательств в амбулаторных условиях, медицинскую помощь в неотложной форме, и т.д.), которые подлежат оплате за соответствующую единицу объема медицинской помощи.

Перечень медицинской помощи, оплачиваемой вне подушевого норматива финансирования на прикрепившихся лиц за единицу объема медицинской помощи, в обязательном порядке отражается в Тарифном соглашении.

2.3. Правила применения коэффициентов специфики оказания медицинской помощи

Подушевые нормативы финансирования для каждой медицинской организации должны определяться дифференцированно с учетом предусмотренных пунктом 5.1.6 Требований коэффициентов.

С учетом объективных, экономически обоснованных критериев и расчетов, выполненных в соответствии с Методикой расчета тарифов, коэффициенты специфики могут определяться дифференцированно, в том числе в зависимости от уровня (подуровня) медицинской организации с установлением коэффициентов по каждому подуровню. При этом в соответствии с Требованиями при расчете дифференцированных подушевых нормативов финансирования на прикрепившихся лиц применяются следующие коэффициенты дифференциации подушевого норматива финансирования:

1) коэффициенты дифференциации на прикрепившихся к медицинской организации лиц с учетом наличия подразделений, расположенных в сельской местности, отдаленных территориях, поселках городского типа и малых городах с численностью населения до 50 тысяч человек, и расходов на их содержание и оплату труда персонала (далее - ); (рассчитываются в соответствии с пунктом 2.5 настоящего раздела рекомендаций)

2) коэффициенты половозрастного состава (далее - ); (рассчитываются в соответствии с пунктом 2.4 настоящего раздела рекомендаций)

3) коэффициенты уровня расходов медицинских организаций (далее - ) (при необходимости);

4) коэффициенты достижения целевых показателей уровня заработной платы медицинских работников, установленных "дорожными картами" развития здравоохранения в субъекте Российской Федерации (далее - ) (при необходимости).

При расчете могут учитываться плотность расселения обслуживаемого населения, транспортная доступность, климатические и географические особенности территории обслуживания населения, а также расходы, связанные с содержанием медицинской организации, в том числе в зависимости от размера и площади медицинской организации.

В случае принятия Комиссией решения о неприменении и , в тарифном соглашении указывается, что и для всех медицинских организаций, использующих соответствующий способ оплаты, принимается равным 1.

В случае использования в субъекте Российской Федерации при расчете дифференцированного подушевого норматива медицинские организации объединяются в группы, а при расчете дифференцированного подушевого норматива используются значения для соответствующей группы медицинских организаций. Значения для групп медицинских организаций рекомендуется рассчитывать с учетом численности прикрепленного населения медицинской организацией.

При этом снижение размера финансового обеспечения медицинской организации с учетом наличия у нее подразделений, расположенных в сельской местности, отдаленных территориях, поселках городского типа и малых городах с численностью населения до 50 тысяч человек, оказывающей первичную медико-санитарную помощь в амбулаторных условиях, по сравнению с уровнем предыдущего года недопустимо (без учета применения ).

2.4. Расчет половозрастных коэффициентов дифференциации

С целью учета различий в потреблении медицинской помощи в субъекте Российской Федерации при расчете значений коэффициента специфики оказания медицинской помощи учитываются половозрастные коэффициенты дифференциации. Половозрастные коэффициенты дифференциации рассчитываются на основании данных о затратах на оплату медицинской помощи, оказанной застрахованным лицам за определенный расчетный период, но не реже одного раза в год, и о численности застрахованных лиц за данный период, и устанавливаются в тарифном соглашении.

Для расчета половозрастных коэффициентов дифференциации подушевого норматива выполняется следующий алгоритм:

Для расчета дифференцированных подушевых нормативов численность застрахованных лиц в субъекте Российской Федерации распределяется на следующие половозрастные группы:

1) до года мужчины/женщины;

2) год - четыре года мужчины/женщины;

3) пять - семнадцать лет мужчины/женщины;

4) восемнадцать - шестьдесят четыре года мужчины/женщины;

5) шестьдесят пять лет и старше мужчины/женщины.

При этом субъект Российской Федерации вправе дифференцировать данные половозрастные группы.

Все лица, застрахованные в субъекте Российской Федерации в расчетном периоде, распределяются на половозрастные группы. К расчету коэффициентов дифференциации принимается численность застрахованных лиц на территории субъекта Российской Федерации, определяемая на основании сведений регионального сегмента единого регистра застрахованных лиц на первое число первого месяца расчетного периода.

Определяются затраты на оплату медицинской помощи, оказанной застрахованным лицам, на основании реестров счетов (с учетом видов и условий оказания медицинской помощи) за расчетный период в разрезе половозрастной структуры застрахованных лиц на территории субъекта Российской Федерации.

Определяется размер затрат на одно застрахованное лицо (Р) в субъекте Российской Федерации (без учета возраста и пола) по формуле:

Р = З / М / Ч,

где:  
З затраты на оплату медицинской помощи всем застрахованным лицам за расчетный период;
М количество месяцев в расчетном периоде;
Ч численность застрахованных лиц на территории субъекта Российской Федерации.

Определяются размеры затрат на одно застрахованное лицо, попадающее в j-тый половозрастной интервал (Рj), по формуле:

,

где:  
затраты на оплату медицинской помощи всем застрахованным лицам, попадающим в j-тый половозрастной интервал за расчетный период;
численность застрахованных лиц субъекта Российской Федерации, попадающего в j-тый половозрастной интервал.

Рассчитываются коэффициенты дифференциации для каждой половозрастной группы по формуле:

.

При этом для групп мужчин и женщин в возрасте 65 лет и старше устанавливается значение половозрастного коэффициента в размере не менее 1,6 (в случае, если расчетное значение коэффициента потребления медицинской помощи по группам мужчин и женщин 65 лет и старше составляет менее 1,6, значение коэффициента принимается равным 1,6).

В случае, если медицинская организация имеет структуру прикрепленного к ней населения равную структуре населения в целом по субъекту Российской Федерации, она имеет значение половозрастного коэффициента дифференциации равное 1.

В случае, если структура прикрепленного к медицинской организации населения отличается от структуры населения в целом по субъекту Российской Федерации, то значения половозрастных коэффициентов дифференциации для медицинских организаций рассчитываются по следующей формуле:

,

где:  
половозрастной коэффициент дифференциации, определенный для i-той медицинской организации;
половозрастной коэффициент дифференциации, определенный для j-той половозрастной группы (подгруппы);
численность застрахованных лиц, прикрепленных к i-той медицинской организации, в j-той половозрастной группе (подгруппе), человек;
численность застрахованных лиц, прикрепленных к i-той медицинской организации, человек.

Таким образом, увеличение доли прикрепленного к медицинской организации населения по половозрастным группам, коэффициенты дифференциации по которым выше 1, в том числе по группам мужчин и женщин 65 лет и старше, при прочих равных будет вести к повышению значения половозрастного коэффициента дифференциации для медицинской организации.

2.5. Расчет значений КДот

применяется в отношении медицинских организаций (юридических лиц) с учетом наличия у них подразделений, расположенных в сельской местности, отдаленных территориях, поселках городского типа и малых городах с численностью населения до 50 тысяч человек (в том числе в отношении участковых больниц и врачебных амбулаторий, являющихся как отдельными юридическими лицами, так и их подразделениями).

При этом критерии отдаленности устанавливаются Комиссией.

К подушевому нормативу финансирования на прикрепившихся лиц такой медицинской организации, с учетом расходов на ее содержание и оплату труда персонала, исходя из расположения и отдаленности обслуживаемых территорий применяются следующие коэффициенты дифференциации в размере:

для медицинских организаций и их подразделений, обслуживающих до 20 тысяч человек, - не менее 1,113;

для медицинских организаций и их подразделений, обслуживающих свыше 20 тысяч человек, - не менее 1,04.

При этом допустимо установление дифференцированных значений коэффициентов для разных медицинских организаций или их подразделений в зависимости от комплектности участков, радиуса обслуживания, плотности расселения обслуживаемого населения, транспортной доступности, иных климатических и географических особенностей территории обслуживания населения и др.

В случае если только отдельные подразделения медицинской организации, а не медицинская организация в целом, соответствуют условиям применения коэффициента дифференциации , объем направляемых финансовых средств рассчитывается исходя из доли обслуживаемого данными подразделениями населения:

,

где:  
коэффициент дифференциации на прикрепившихся к медицинской организации лиц с учетом наличия подразделений, расположенных в сельской местности, отдаленных территориях, поселках городского типа и малых городах с численностью населения до 50 тысяч человек и расходов на их содержание и оплату труда персонала, определенный для i-той медицинской организации (при наличии);
доля населения, обслуживаемая j-ым подразделением, расположенным в сельской местности, отдаленных территориях, поселках городского типа и малых городах с численностью населения до 50 тысяч человек (значение от 0 до 1);
коэффициент дифференциации, применяемый к j-ому подразделению, расположенному в сельской местности, отдаленных территориях, поселках городского типа и малых городах с численностью населения до 50 тысяч человек с учетом расходов на содержание и оплату труда персонала.

2.6. Расчет дифференцированных подушевых нормативов финансирования

Дифференцированные подушевые нормативы финансирования для медицинских организаций, участвующих в реализации территориальной программы обязательного медицинского страхования данного субъекта Российской Федерации (), рассчитываются на основе базового подушевого норматива финансирования медицинской помощи, оказываемой в амбулаторных условиях по следующей формуле:

,

где:
дифференцированный подушевой норматив для i-той медицинской организации, рублей;
коэффициент половозрастного состава, для i-той медицинской организации;
коэффициент уровня расходов медицинских организаций, для i-той медицинской организации (при необходимости)
коэффициент достижения целевых показателей уровня заработной платы медицинских работников, установленных "дорожными картами" развития здравоохранения в субъекте Российской Федерации, для i-той медицинской организации (при необходимости);
коэффициент специфики оказания медицинской помощи, учитывающий наличие подразделений, расположенных в сельской местности, отдаленных территориях, поселках городского типа и малых городах с численностью населения до 50 тысяч человек и расходов на их содержание и оплату труда персонала, для i-той медицинской организации;
коэффициент дифференциации для i-той медицинской организации.

В целях приведения в соответствие объема средств, рассчитанного по дифференцированным подушевым нормативам финансирования медицинской помощи в амбулаторных условиях, к , рассчитанному в соответствии с пунктом 2.2 настоящего Раздела рассчитывается поправочный коэффициент (ПК) по формуле:

В случае, если при расчете фактических дифференцированных подушевых нормативов используется поправочный коэффициент, отличный от 1, указанный коэффициент в обязательном порядке отражается в тарифном соглашении.

Фактический дифференцированный подушевой норматив финансирования амбулаторной медицинской помощи () рассчитывается по формуле:

,

где:
фактический дифференцированный подушевой норматив финансирования амбулаторной медицинской помощи для i-той медицинской организации, рублей.

2.7. Расчет объема финансового обеспечения фельдшерских, фельдшерско-акушерских пунктов

Размер финансового обеспечения фельдшерских, фельдшерско-акушерских пунктов при условии их соответствия требованиям, установленным приказом Министерства здравоохранения и социального развития России от 15 мая 2012 г. N 543н "Об утверждении Положения об организации оказания первичной медико-санитарной помощи взрослому населению" (зарегистрировано в Минюсте России 27 июня 2012 г. N 24726) (далее - Приказ N 543н) составляет в среднем на 2022 год:

фельдшерский, фельдшерско-акушерский пункт, обслуживающий от 100 до 900 жителей, - 1 174,2 тыс. рублей;

фельдшерский, фельдшерско-акушерский пункт, обслуживающий от 900 до 1500 жителей, - 1 860,3 тыс. рублей;

фельдшерский, фельдшерско-акушерский пункт, обслуживающий от 1500 до 2000 жителей, - 2 088,9 тыс. рублей.

Базовые нормативы финансовых затрат на финансовое обеспечение структурных подразделений медицинской организации устанавливаются в субъектах Российской Федерации путем применения коэффициентов дифференциации, рассчитанных в соответствии с Постановлением N 462, к размерам финансового обеспечения фельдшерских, фельдшерско-акушерских пунктов.

При этом размер финансового обеспечения фельдшерских, фельдшерско-акушерских пунктов должен обеспечивать сохранение достигнутого соотношения между уровнем оплаты труда отдельных категорий медицинских работников, определенных Указом N 597, и уровнем среднемесячного дохода от трудовой деятельности в соответствующем субъекте Российской Федерации.

Кроме указанных типов фельдшерских, фельдшерско-акушерских пунктов при необходимости субъектом Российской Федерации самостоятельно устанавливаются базовые нормативы финансовых затрат на финансовое обеспечение структурных подразделений медицинских организаций - фельдшерских, фельдшерско-акушерских пунктов иных типов (обслуживающих менее 100 и более 2000 жителей, а также указанных пунктов, не соответствующих требованиям, установленным Приказом N 543н) исходя из установленных Разделом VI Программы нормативов, с применением понижающих и повышающих поправочных коэффициентов к размеру финансового обеспечения фельдшерского, фельдшерского-акушерского пункта, обслуживающего от 100 до 900 жителей и от 1500 до 2000 жителей соответственно.

Объем средств, направляемых на финансовое обеспечение фельдшерских, фельдшерско-акушерских пунктов в i-той медицинской организации, рассчитывается следующим образом:

,

где:
объем средств, направляемых на финансовое обеспечение фельдшерских, фельдшерско-акушерских пунктов в i-той медицинской организации;
число фельдшерских, фельдшерско-акушерских пунктов n-типа (в зависимости от численности обслуживаемого населения и соответствия требованиям, установленным положением об организации оказания первичной медико-санитарной помощи взрослому населению);
базовый норматив финансовых затрат на финансовое обеспечение структурных подразделений медицинских организаций - фельдшерских, фельдшерско-акушерских пунктов n-го типа;
коэффициент специфики оказания медицинской помощи, применяемый к базовому нормативу финансовых затрат на финансовое обеспечение структурных подразделений медицинской организации, учитывающий критерий соответствия их требованиям, установленным Приказом N 543н (для типов фельдшерских, фельдшерско-акушерских пунктов, для которых размер финансового обеспечения определен Разделом VI Программы, устанавливается значение коэффициента равное 1).

В случае, если у фельдшерских, фельдшерско-акушерских пунктов в течение года меняется численность обслуживаемого населения, а также факт соответствия требованиям, установленными Приказом N 543н или коэффициент специфики, годовой размер финансового обеспечения фельдшерских, фельдшерско-акушерских пунктов изменяется с учетом объема средств, направленных на финансовое обеспечение фельдшерских, фельдшерско-акушерских пунктов за предыдущие периоды с начала года, и рассчитывается следующим образом:

,

где:
фактический размер финансового обеспечения фельдшерского, фельдшерско-акушерского пункта;
объем средств, направленный на финансовое обеспечение фельдшерского, фельдшерско-акушерского пункта с начала года;
количество месяцев, оставшихся до конца календарного года.

Расходы на оплату транспортных услуг не входят в размеры финансового обеспечения фельдшерских, фельдшерско-акушерских пунктов.

2.8. Оплата профилактических медицинских осмотров, в том числе в рамках диспансеризации

Финансовое обеспечение профилактических медицинских осмотров, диспансеризации и диспансерного наблюдения осуществляется вне подушевого норматива финансирования за единицу объема медицинской помощи (комплексное посещение) в соответствии с объемом медицинских исследований, установленным приказами Министерства здравоохранения Российской Федерации от 27 апреля 2021 г. N 404н "Об утверждении порядка проведения профилактического медицинского осмотра и диспансеризации определенных групп взрослого населения" (зарегистрировано в Минюсте России 30 июня 2021 г. N 64042), от 10 августа 2017 г. N 514н "О Порядке проведения профилактических медицинских осмотров несовершеннолетних" (зарегистрировано в Минюсте России 18 августа 2017 г. N 47855), от 15 февраля 2013 г. N 72н "О проведении диспансеризации пребывающих в стационарных учреждениях детей-сирот и детей, находящихся в трудной жизненной ситуации" (зарегистрировано в Минюсте России 2 апреля 2013 г. N 27964), от 21 апреля 2022 г. N 275н "Об утверждении Порядка диспансеризации детей-сирот и детей, оставшихся без попечения родителей, в том числе усыновленных (удочеренных), принятых под опеку (попечительство), в приемную или патронатную семью" (зарегистрировано в Минюсте России 29 апреля 2022 г. N 68366), от 15 марта 2022 г. N 168н "Об утверждении порядка проведения диспансерного наблюдения за взрослыми" (зарегистрировано в Минюсте России 21 апреля 2022 г. N 68288) и с учетом целевых показателей охвата населения профилактическими медицинскими осмотрами федерального проекта "Развитие системы оказания первичной медико-санитарной помощи" национального проекта "Здравоохранение").

При этом тарифным соглашением устанавливаются тарифы на оплату профилактических медицинских осмотров, в том числе в рамках диспансеризации, рассчитанные в соответствии с Методикой расчета тарифов, применяемые при межучрежденческих расчетах, в том числе дифференцированные в зависимости от работы медицинской организации в выходные дни и использования для проведения профилактических осмотров и диспансеризации мобильных медицинских бригад.

В тарифном соглашении устанавливаются тарифы на указанные в Приложении N 2 к Программе медицинские услуги в соответствии с нормативом финансовых затрат, установленным территориальной программой обязательного медицинского страхования.

Оплата случаев диспансерного наблюдения осуществляется за комплексное посещение, включающее стоимость посещения врача, проводящего диспансерное наблюдение, а также усредненную стоимость лабораторных и диагностических исследований, предусмотренных порядком проведения диспансерного наблюдения, утвержденным уполномоченным федеральным органом исполнительной власти в сфере охраны здоровья.

Тарифы на оплату диспансерного наблюдения рекомендуется устанавливать дифференцировано в зависимости от профиля врача, проводящего диспансерное наблюдение. При этом по решению субъекта тарифы могут быть дифференцированы в зависимости от хронических заболеваний, функциональных расстройств, иных состояний, при наличии которых устанавливается диспансерное наблюдение, а также в зависимости от проведенных в рамках комплексного посещения лабораторных и диагностических исследований.

2.9. Подходы к оплате медицинской помощи за единицу объема медицинской помощи - за медицинскую услугу, за посещение, за обращение (законченный случай)

При оплате медицинской помощи за единицу объема медицинской помощи размер финансового обеспечения медицинской организации складывается исходя из фактически оказанных объемов медицинской помощи и определяется по следующей формуле:

,

где:
фактический размер финансового обеспечения медицинской организации, рублей;
фактические объемы первичной медико-санитарной помощи, оказанной в амбулаторных условиях, оплачиваемой за единицу объема медицинской помощи;
Т тариф за единицу объема первичной медико-санитарной помощи, оказанной в амбулаторных условиях, рублей.

При этом тариф за единицу объема первичной медико-санитарной помощи, оказанной в амбулаторных условиях, является единым для всех медицинских организаций субъекта Российской Федерации, отнесенных к одному уровню (подуровню). Кроме того, тарифы на оплату медицинской помощи в амбулаторных условиях за единицу объема могут отличаться в зависимости от коэффициента дифференциации для отдельных территорий субъекта Российской Федерации, на которой расположена медицинская организация.

Финансовое обеспечение расходов медицинских организаций, не имеющих прикрепившихся лиц, а также видов расходов, не включенных в подушевой норматив, осуществляется за единицу объема медицинской помощи.

Тарифы на оплату медицинских услуг, связанных с проведением позитронной эмиссионной томографии, совмещенной с компьютерной томографией, в амбулаторных условиях рекомендуется устанавливать в размере, сопоставимом с расчетной стоимостью КСГ ds19.029 "Госпитализация в диагностических целях с постановкой (подтверждением) диагноза злокачественного новообразования с использованием ПЭТ КТ (только для федеральных медицинских организаций)" для субъекта Российской Федерации.

Для медицинских организаций, имеющих в структуре мобильные медицинские бригады, устанавливаются повышающие коэффициенты в размере 1,05 - 1,2 к тарифам на посещения, обращения, медицинские услуги при оказании медицинской помощи мобильными медицинскими бригадами или устанавливаются отдельные тарифы на медицинские услуги, оказанные мобильными медицинскими бригадами.

Дифференциация стоимости комплексного посещения на оплату случая диспансерного наблюдения в зависимости от заболевания и, соответственно, кратности посещений (БСК, онкологические болезни, сахарный диабет и пр.) (в том числе путем установления поправочных коэффициентов) может осуществляться субъектом Российской Федерации с учетом требований приказа Минздрава России от 15.03.2022 N 168н "Об утверждении порядка проведения диспансерного наблюдения за взрослыми".

Субъекты Российской Федерации устанавливают тарифы на проведение отдельных диагностических (лабораторных) исследований (компьютерной томографии, магнитно-резонансной томографии, ультразвукового исследования сердечно-сосудистой системы, эндоскопических диагностических исследований, молекулярно-генетических исследований и патологоанатомических исследований биопсийного (операционного) материала) с учетом применения различных видов и методов исследований систем, органов и тканей человека, обусловленных заболеваемостью населения.

Приложением N 6 к Программе установлены средние нормативы объема и финансовых затрат на единицу объема медицинской помощи в амбулаторных условиях по профилю "Медицинская реабилитация".

Оплата медицинской реабилитации в амбулаторных условиях, включая реабилитацию пациентов после перенесенной новой коронавирусной инфекции (COVID-19), осуществляется вне подушевого норматива финансирования на прикрепившихся лиц к медицинской организации, исходя из установленных Территориальной программой государственных гарантий в соответствии с Программой территориальных нормативов объема и финансовых затрат на единицу объема для медицинской реабилитации.

При этом комплексное посещение, как законченный случай медицинской реабилитации в амбулаторных условиях, включает в среднем 10 - 12 посещений.

Рекомендуется осуществлять оплату медицинской реабилитации в амбулаторных условиях дифференцированно, в том числе в зависимости от оценки состояния пациента по ШРМ (1 - 3 балла) и заболевания (профиля заболевания), по поводу которого проводится медицинская реабилитация.

Например, медицинская реабилитация пациентам:

- при заболеваниях центральной нервной системы по баллам ШРМ;

- при кардиологических заболеваниях по баллам ШРМ;

- при заболеваниях опорно-двигательного аппарата по баллам ШРМ;

- после перенесенной новой коронавирусной инфекции (COVID-19) по баллам ШРМ;

- при других соматических заболеваниях по баллам ШРМ.

Плановый объем случаев медицинской реабилитации в амбулаторных условиях и размер соответствующих тарифов целесообразно определять в разрезе определенных выше параметров с учетом в том числе нормативов финансовых затрат на соответствующую единицу объема медицинской помощи (комплексное посещение по профилю "Медицинская реабилитация"), установленных Территориальной программой государственных гарантий.

Оплате за комплексное посещение подлежит законченный случай медицинской реабилитации в амбулаторных условиях. Комплексное посещение включает набор необходимых консультаций специалистов, а также проведение методов реабилитации, определенных программами реабилитации. При этом по решению лечащего врача консультация отдельных специалистов в рамках комплексного посещения может осуществляться в том числе с использованием телемедицинских технологий (1 - 2 посещения).

При проведении в субъекте Российской Федерации медицинской реабилитации на дому устанавливаются отдельные тарифы с учетом расходов на проведение консультаций с применением телемедицинских технологий. Особенности оплаты медицинской реабилитации на дому с применением телемедицинских технологий осуществляются в соответствии с пунктом 2.12 настоящих рекомендаций.

Объем средств, полученных i-той медицинской организацией за оказание медицинской помощи по профилю "Медицинская реабилитация", определяется по формуле:

,

где:
объем средств, полученных i-той медицинской организацией за оказание медицинской помощи по профилю "Медицинская реабилитация" в амбулаторных условиях;
объем комплексных посещений по профилю "Медицинская реабилитация" с учетом в том числе заболевания (профиля заболевания) и состояния пациента;
тариф на оплату комплексного посещения по профилю "Медицинская реабилитация" для соответствующего заболевания (профиля заболевания) и состояния пациента.

В целях повышения эффективности расходования средств обязательного медицинского страхования оплату посещений школы сахарного диабета рекомендуется осуществлять за единицу объема медицинской помощи вне подушевого норматива финансирования. Медицинскую помощь в рамках школ сахарного диабета рекомендуется оплачивать за единицу объема - комплексное посещение, включающее от 15 до 20 часов занятий в рамках школы сахарного диабета, а также проверку дневников самоконтроля. По решению Комиссии могут быть установлены тарифы в расчете на 1 пациента и на 1 занятие.

Рекомендуемая стоимость комплексного посещения в расчете на 1 пациента представлена в Таблице 3.

Таблица 3.

Группа пациентов (в среднем 10 пациентов в группе) Рекомендуемая стоимость без учета Кдиф, рублей В среднем включает
Взрослые с сахарным диабетом 1 типа 1 357,96 5 занятий продолжительностью 4 часа, а также проверка дневников самоконтроля
Взрослые с сахарным диабетом 2 типа 1 124,11 5 занятий продолжительностью 3 часа, а также проверка дневников самоконтроля
Дети и подростки с сахарным диабетом 1 780,52 10 занятий продолжительностью 2 часа, а также проверка дневников самоконтроля

В субъекте Российской Федерации целесообразно осуществлять отдельный учет таких случаев.

2.10. Расчет итогового объема финансового обеспечения первичной медико-санитарной помощи

Итоговый объем финансового обеспечения первичной медико-санитарной помощи в конкретной медицинской организации определяется следующим образом:

,

где:  
фактический размер финансового обеспечения i-той медицинской организации в части оказания первичной медико-санитарной помощи, рублей;
объем средств, направляемых на оплату первичной медико-санитарной помощи по КСГ, оказываемой в i-той медицинской организации в условиях дневного стационара, рублей;
объем средств, направляемых на оплату проведения отдельных диагностических (лабораторных) исследований (компьютерной томографии, магнитно-резонансной томографии, ультразвукового исследования сердечно-сосудистой системы, эндоскопических диагностических исследований, молекулярно-генетических исследований и патологоанатомических исследований биопсийного (операционного) материала, тестирования на выявление новой коронавирусной инфекции (COVID-19) в i-той медицинской организации, рублей;
объем средств, направляемых на оплату посещений в неотложной форме в i-той медицинской организации, рублей;
объем средств, направляемых на оплату медицинской помощи, оказываемой в i-той медицинской организации в амбулаторных условиях за единицу объема медицинской помощи застрахованным в данном субъекте Российской Федерации лицам, в том числе углубленной диспансеризации (за исключением ), рублей.

2.11. Особенности оплаты стоматологической помощи в амбулаторных условиях

При оплате амбулаторной стоматологической медицинской помощи по посещениям и обращениям рекомендуется учитывать условные единицы трудоемкости (далее - УЕТ), которые на протяжении многих лет используются в стоматологии для планирования учета оказываемых услуг, отчетности деятельности специалистов, оплаты их труда.

Оплата стоматологической помощи в амбулаторных условиях по тарифам с учетом УЕТ должна быть основана на соблюдении принципа максимальной санации полости рта и зубов (лечение 2-х, 3-х зубов) за одно посещение, что является наиболее эффективным, так как сокращается время на вызов пациента, подготовку рабочего места, операционного поля, работу с документами и т.д. При этом для планирования объема финансовых средств на оплату стоматологической помощи в амбулаторных условиях учитывается средняя кратность УЕТ в одном посещении, которая по Российской Федерации составляет 4,2.

Среднее количество УЕТ в одной медицинской услуге, применяемое для обоснования объема и стоимости посещений при оказании первичной медико-санитарной специализированной стоматологической помощи в амбулаторных условиях, представлено в Приложении 3 к настоящим рекомендациям.

Указанное приложение разработано Федеральным государственным бюджетным учреждением "Центральный научно-исследовательский институт стоматологии и челюстно-лицевой хирургии" при участии главного внештатного специалиста стоматолога Министерства здравоохранения Российской Федерации, ректора Московского государственного медико-стоматологического университета имени А.И. Евдокимова О.О. Янушевича.

За одну условную единицу трудоемкости (УЕТ) принимаются 10 минут. При этом для учета случаев лечения обязательно используется следующее правило: один визит пациента является одним посещением.

Субъект Российской Федерации вправе расширять перечень медицинских услуг при оказании первичной медико-санитарной специализированной стоматологической помощи в амбулаторных условиях, установленный Приложением 3 к настоящим рекомендациям, медицинскими услугами, включенными в Номенклатуру. При этом включение медицинских услуг в указанное приложение не исключает возможности их оказания в стационарных условиях.

2.12. Особенности оплаты медицинской помощи с применением телемедицинских технологий

В соответствии с Программой подушевой норматив финансирования на прикрепившихся лиц включает в том числе расходы на оказание медицинской помощи с применением телемедицинских технологий.

Оказание медицинской помощи с применением телемедицинских технологий в амбулаторных условиях включается в подушевой норматив финансирования амбулаторной медицинской помощи; также возможно установление отдельных тарифов на оплату медицинской помощи с применением телемедицинских технологий в целях проведения межучрежденческих расчетов, в том числе для референс-центров.

Расходы на оказание медицинской помощи с применением телемедицинских технологий учитываются путем применения повышающего коэффициента при расчете КДур, используемого при расчете дифференцированных подушевых нормативов в случаях оплаты медицинской помощи в амбулаторных условиях по подушевому нормативу финансирования на прикрепившихся лиц, а для медицинских организаций, имеющих в составе подразделения, оказывающие медицинскую помощь в амбулаторных, стационарных условиях и условиях дневного стационара, а также медицинскую реабилитацию - по подушевому нормативу финансирования на прикрепившихся лиц, включая оплату по всем видам и условиям оказания медицинской помощи.

При этом повышающий коэффициент рассчитывается прямо пропорционально доле медицинской помощи с применением телемедицинских технологий в общем объеме оказанной медицинской помощи, финансовое обеспечение которой осуществляется по подушевому нормативу финансирования.

Таблица 4.

Показатель объема медицинской помощи с применением телемедицинских технологий (доля медицинской помощи с применением телемедицинских технологий в общем объеме оказанной медицинской помощи, финансовое обеспечение которой осуществляется по подушевому нормативу финансирования), % Повышающий коэффициент к коэффициенту уровня (подуровня)
1% 1,01
2% 1,02
Повышающий коэффициент прямо пропорционален доле медицинской помощи с применением телемедицинских технологий (при увеличении доли оказанной медицинской помощи с применением телемедицинских услуг на 1% повышающий коэффициент увеличивается на 0,01)

Указанный коэффициент применяется при определении размера коэффициента уровня (подуровня) медицинской организации, применяемого при расчете дифференцированных подушевых нормативов финансирования при оплате медицинской помощи по подушевому нормативу финансирования на прикрепившихся лиц в амбулаторных условиях (а для вышеуказанных медицинских организаций - при оплате по подушевому нормативу финансирования на прикрепившихся лиц, включая оплату по всем видам и условиям оказания медицинской помощи) и, в случае его применения, отражается в тарифном соглашении.

В тарифном соглашении возможно установление:

- тарифов на оплату медицинских услуг с применением телемедицинских технологий в рамках межучрежденческих расчетов между медицинскими организациями субъекта Российской Федерации, осуществляемых через страховые медицинские организации;

- рекомендуемых тарифов на оплату медицинских услуг с применением телемедицинских технологий для проведения расчетов в рамках договоров о возмездном оказании медицинских услуг между медицинскими организациями без участия страховой медицинской организации, заключенных на общих основаниях, предусмотренных Гражданским кодексом Российской Федерации (далее - Договор), между медицинскими организациями преимущественно 1-го и 2-го уровня (имеющими прикрепленное население, или в которых проходит лечение пациент), и медицинскими организациями 3-го уровня, а также федеральными медицинскими организациями, оказывающими медицинскую помощь с применением телемедицинских технологий.

В субъекте Российской Федерации организация оказания медицинской помощи с применением телемедицинских технологий в медицинских организациях иного субъекта Российской Федерации рекомендуется в случае, если ресурсы медицинских организаций для оказания медицинской помощи с применением телемедицинских технологий в субъекте Российской Федерации либо полностью отсутствуют, либо недостаточны для оказания их в необходимом объеме.

При этом медицинские организации, желающие получить телемедицинскую консультацию, вправе заключить Договор с медицинской организацией, оказывающей медицинскую помощь с применением телемедицинских технологий.

2.13. Порядок оплаты медицинской помощи по подушевому нормативу финансирования на прикрепившихся лиц по профилю "Акушерство и гинекология" и (или) "Стоматология"

В соответствии с Программой в рамках подушевого норматива финансирования на прикрепившихся лиц при финансовом обеспечении первичной (первичной специализированной) медико-санитарной помощи могут выделяться подушевые нормативы финансирования на прикрепившихся лиц по профилю "Акушерство и гинекология" и (или) "Стоматология", по которым осуществляется оплата первичной (первичной специализированной) медико-санитарной помощи по соответственно соответствующим профилям.

Средний размер финансового обеспечения медицинской помощи по профилям "Акушерство и гинекология" или "Стоматология" соответственно рассчитывается по следующей формуле:

,

где:  
средний размер финансового обеспечения медицинской помощи по профилям "Акушерство и гинекология" или "Стоматология" соответственно;
объем средств, выделенный Комиссией на оплату медицинской помощи по профилям "Акушерство и гинекология" или "Стоматология" соответственно;
численность прикрепленного населения к медицинским организациям (структурным подразделениям медицинских организаций), оказывающим медицинскую помощь по профилям "Акушерство и гинекология" или "Стоматология" соответственно.

Базовый подушевой норматив финансирования на прикрепившихся лиц по профилю "Акушерство и гинекология" или "Стоматология" соответственно (далее - базовый подушевой норматив финансирования по профилю "Акушерство и гинекология" или "Стоматология" соответственно) рассчитывается по следующей формуле:

,

где:  
базовый подушевой норматив финансирования по профилю "Акушерство и гинекология" или "Стоматология" соответственно.

Фактические дифференцированные подушевые нормативы финансирования по профилю "Акушерство и гинекология" или "Стоматология" соответственно, а также коэффициенты, применяемые к базовому подушевому нормативу финансирования по указанным профилям согласно Требованиям, рассчитываются аналогично коэффициентам, применяемым к базовому подушевому нормативу финансирования медицинской помощи, и устанавливаются в тарифном соглашении.

В электронном документе нумерация разделов соответствует официальному источнику.

2.11. Применение показателей результативности деятельности медицинской организации (в ред. Письма Минздрава РФ от 11.05.2023 N 31-2/И/2-8278)

Основная цель применения методики стимулирования медицинских организаций - это снижение показателей смертности прикрепленного к ней населения.

При оплате медицинской помощи по подушевому нормативу финансирования на прикрепившихся лиц с учетом показателей результативности деятельности медицинской организации (включая показатели объема медицинской помощи), в том числе с включением расходов на медицинскую помощь, оказываемую в иных медицинских организациях и оплачиваемую за единицу объема медицинской помощи в составе средств, направляемых на финансовое обеспечение медицинской организации, имеющей прикрепившихся лиц, по подушевому нормативу финансирования, определяется доля средств от базового подушевого норматива финансирования на прикрепившихся лиц, направляемых на выплаты медицинским организациям в случае достижения ими значений показателей результативности деятельности с учетом балльной оценки.

При этом размер финансового обеспечения медицинской помощи, оказанной медицинской организацией, имеющей прикрепившихся лиц, по подушевому нормативу финансирования определяется по следующей формуле:

,

где:  
финансовое обеспечение медицинской помощи, оказанной медицинской организацией, имеющей прикрепившихся лиц, по подушевому нормативу финансирования, рублей;
объем средств, направляемых медицинским организациям в случае достижения ими значений показателей результативности деятельности согласно балльной оценке (далее - объем средств с учетом показателей результативности), рублей.
фактический дифференцированный подушевой норматив финансирования амбулаторной медицинской помощи для i-той медицинской организации, рублей.

Мониторинг достижения значений показателей результативности деятельности по каждой медицинской организации и ранжирование медицинских организаций субъекта Российской Федерации проводится Комиссией, частота проведения мониторинга определяется тарифным соглашением, но не реже одного раза в квартал.

Осуществление выплат по результатам оценки достижения медицинскими организациями, оказывающими медицинскую помощь в амбулаторных условиях, значений показателей результативности деятельности рекомендуется производить по итогам года.

При этом выплаты по итогам года распределяются на основе сведений об оказанной медицинской помощи за период декабрь предыдущего года - ноябрь текущего года (включительно) и включаются в счет за декабрь или ноябрь (по решению субъекта Российской Федерации).

Приложением к Требованиям определен перечень показателей результативности деятельности медицинских организаций (далее - показатели результативности деятельности).

Показатели результативности деятельности, порядок их применения и объем (доля) финансовых средств, направляемых на осуществление выплат по результатам оценки результативности деятельности медицинских организаций, устанавливаются Тарифным соглашением в соответствии с Требованиями и настоящими рекомендациями. При этом коллективными договорами, соглашениями, локальными нормативными актами, заключаемыми в соответствии с трудовым законодательством и иными нормативными правовыми актами, содержащими нормы трудового права и регулирующими системы оплаты труда в медицинских организациях, в том числе системы доплат и надбавок стимулирующего характера и системы премирования, необходимо предусмотреть стимулирующие выплаты медицинским работникам за достижение аналогичных показателей.

Рекомендуемая методика включает разделение оценки показателей на блоки, отражающие результативность оказания медицинской помощи - профилактические мероприятия и диспансерное наблюдение разным категориям населения (взрослому населению, детскому населению, акушерско-гинекологической помощи) в амбулаторных условиях.

В случае, когда группа показателей результативности одного из блоков неприменима для конкретной медицинской организации и (или) отчетного периода, суммарный максимальный балл и итоговый коэффициент для соответствующей медицинской организации могут рассчитываться без учета этой группы показателей.

Тарифным соглашением может быть определен порядок применения показателей результативности, а также перечень медицинских организаций (групп медицинских организаций) с указанием показателей результативности, применяемых для указанных медицинских организаций (групп медицинских организаций).

Субъект Российской Федерации вправе использовать при оценке результативности деятельности отдельных медицинских организаций (в том числе оказывающих медицинскую помощь по профилю "Стоматология") дополнительный перечень показателей, дифференцированный с учетом индивидуальных особенностей таких медицинских организаций (профиля, мощности, материально-технической базы, транспортной доступности, возрастной структуры обслуживаемого населения и иных характеристик).

Каждый показатель, включенный в блок (Приложение 11 к настоящим рекомендациям), оценивается в баллах, которые суммируются. Методикой предусмотрена максимально возможная сумма баллов по каждому блоку, которая составляет:

- 19 баллов для показателей блока 1 (взрослое население);

- 7 баллов для показателей блока 2 (детское население);

- 6 баллов для показателей блока 3 (женское население).

В зависимости от результатов деятельности медицинской организации по каждому показателю определяется балл в диапазоне от 0 до 3 баллов.

С учетом фактического выполнения показателей, медицинские организации распределяются на три группы: I - выполнившие до 40 процентов показателей, II - от 40 (включительно) до 60 процентов показателей, III - от 60 (включительно) процентов показателей.

Рекомендуемый порядок расчета значений показателей результативности деятельности медицинских организаций представлен в Приложении 12 к настоящим рекомендациям. Оценка достижения значений показателей результативности деятельности медицинских организаций оформляется решением Комиссии, которое доводится до сведения медицинских организаций не позднее 25 числа месяца, следующего за отчетным периодом.

Объем средств, направляемый в медицинские организации по итогам оценки достижения значений показателей результативности деятельности, определятся субъектом Российской Федерации и складывается из двух частей:

1 часть - распределение 70 процентов от объема средств с учетом показателей результативности за соответствующий период.

Указанные средства распределяются среди медицинских организаций II и III групп с учетом численности прикрепленного населения.

,

где:  
объем средств, используемый при распределении 70 процентов от объема средств на стимулирование медицинских организаций за j-ый период, в расчете на 1 прикрепленное лицо, рублей;
совокупный объем средств на стимулирование медицинских организаций за j-ый период, рублей;
численность прикрепленного населения в j-м периоде ко всем медицинским организациям II и III групп.

В качестве численности прикрепленного населения к конкретной медицинской организации рекомендуется использовать среднюю численность за период. Например, при осуществлении выплат по итогам достижения показателей результативности ежегодно среднюю численность рекомендуется рассчитывать по формуле:

,

где:  
среднегодовая численность прикрепленного населения к i-той медицинской организации в j-м году, человек;
численность прикрепленного населения к i-той медицинской организации по состоянию на 1 число первого месяца j-го года, человек;
численность прикрепленного населения к i-той медицинской организации по состоянию на 1 число второго месяца года, следующего за j-тым, человек;
численность прикрепленного населения к i-той медицинской организации по состоянию на 1 число одиннадцатого месяца j-го года, человек;
численность прикрепленного населения к i-той медицинской организации по состоянию на 1 число двенадцатого месяца j-го года, человек.

Объем средств, направляемый в i-ю медицинскую организацию II и III групп за j-тый период при распределении 70 процентов от объема средств с учетом показателей результативности (), рассчитывается следующим образом:

,

где:  
численность прикрепленного населения в j-м периоде к i-той медицинской организации II и III групп.

2 часть - распределение 30 процентов от объема средств с учетом показателей результативности за соответствующей период.

Указанные средства распределяются среди медицинских организаций III группы с учетом абсолютного количества набранных соответствующими медицинскими организациями баллов.

,

где:  
объем средств, используемый при распределении 30 процентов от объема средств на стимулирование медицинских организаций за j-ый период, в расчете на 1 балл, рублей;
совокупный объем средств на стимулирование медицинских организаций за j-ый период, рублей;
количество баллов, набранных в j-м периоде всеми медицинскими организациями III группы.

Объем средств, направляемый в i-ю медицинскую организацию III группы за j-тый период, при распределении 30 процентов от объема средств на стимулирование медицинских организаций (), рассчитывается следующим образом:

,

где:  
количество баллов, набранных в j-м периоде i-той медицинской организацией III группы.

Если по итогам года отсутствуют медицинские организации, включенные в III группу, средства, предназначенные для осуществления стимулирующих выплат медицинским организациям III группы, распределяются между медицинскими организациями II группы в соответствии с установленной методикой (с учетом численности прикрепленного населения).

Общий объем средств, направляемых на оплату медицинской помощи с учетом показателей результативности деятельности в медицинскую организацию III группы за j-тый период определяется путем суммирования 1 и 2 частей, а для медицинских организаций I группы за j-тый период - равняется нулю.

Осуществление выплат стимулирующего характера медицинской организации, оказывающей медицинскую помощь в амбулаторных условиях, по результатам оценки ее деятельности, следует производить в полном объеме при условии снижения показателей смертности прикрепленного к ней населения в возрасте от 30 до 69 лет (за исключением смертности от внешних причин) и (или) смертности детей в возрасте от 0 - 17 лет (за исключением смертности от внешних причин) (далее - показатели смертности прикрепленного населения (взрослого и детского), а также фактического выполнения не менее 90 процентов, установленных решением Комиссии объемов предоставления медицинской помощи с профилактической и иными целями, а также по поводу заболеваний (посещений и обращений соответственно).

В случае, если не достигнуто снижение вышеуказанных показателей смертности прикрепленного населения (взрослого и детского) и (или) выполнения медицинской организацией менее 90 процентов указанного объема медицинской помощи, Комиссия вправе применять понижающие коэффициенты к размеру стимулирующих выплат.

III. СПОСОБЫ ОПЛАТЫ СКОРОЙ МЕДИЦИНСКОЙ ПОМОЩИ, В ТОМ ЧИСЛЕ НА ОСНОВЕ ПОДУШЕВОГО НОРМАТИВА ФИНАНСИРОВАНИЯ

1. Основные подходы к оплате скорой медицинской помощи

При оплате скорой медицинской помощи, оказанной вне медицинской организации (по месту вызова бригады скорой, в том числе скорой специализированной, медицинской помощи, а также в транспортном средстве при медицинской эвакуации), применяются способы оплаты, установленные Программой.

2. Расчет объема средств на оплату скорой медицинской помощи, оказанной вне медицинской организации

Средний размер финансового обеспечения медицинской помощи, оказанной вне медицинской организации, рассчитывается по следующей формуле:

,

где:  
объем средств на оплату скорой медицинской помощи, оказываемой вне медицинской организации, медицинскими организациями, участвующими в реализации территориальной программы обязательного медицинского страхования данного субъекта Российской Федерации, рублей;
численность застрахованного населения субъекта Российской Федерации, человек.

Общий объем средств на оплату скорой медицинской помощи по подушевому нормативу финансирования скорой медицинской помощи, оказываемой вне медицинской организации, медицинскими организациями, участвующими в реализации территориальной программы обязательного медицинского страхования данного субъекта Российской Федерации, по следующей формуле:

,

где:  
средний норматив объема скорой медицинской помощи вне медицинской организации, установленный Территориальной программой государственных гарантий в части базовой программы, вызовов;
средний норматив финансовых затрат на единицу объема скорой медицинской помощи вне медицинской организации, установленный Территориальной программой государственных гарантий в части базовой программы, рублей;
объем средств, направляемых на оплату скорой медицинской помощи вне медицинской организации, оказываемой застрахованным лицам за пределами субъекта Российской Федерации, на территории которого выдан полис обязательного медицинского страхования за вызов, рублей;
численность застрахованного населения субъекта Российской Федерации, человек.

2.1. Определение базового подушевого норматива финансирования скорой медицинской помощи

Базовый подушевой норматив финансирования скорой медицинской помощи, оказываемой вне медицинской организации, рассчитывается исходя из объема средств на оплату скорой медицинской помощи, оказываемой вне медицинской организации, медицинскими организациями, участвующими в реализации территориальной программы обязательного медицинского страхования данного субъекта Российской Федерации, по следующей формуле:

,

где:  
базовый подушевой норматив финансирования скорой медицинской помощи вне медицинской организации, рублей;
объем средств, направляемых на оплату скорой медицинской помощи вне медицинской организации застрахованным в данном субъекте Российской Федерации лицам за вызов, рублей;
КД единый коэффициент дифференциации субъекта Российской Федерации, рассчитанный в соответствии с Постановлением N 462.

Тарифы на оплату вызовов скорой медицинской помощи устанавливаются тарифным соглашением, в том числе на оплату скорой медицинской помощи в случае проведения тромболизиса.

В субъекте Российской Федерации может быть принято решение об исключении отдельных видов вызовов скорой медицинской помощи (вызов с проведением тромболизиса, вызов специализированных кардиологических бригад и т.п.) из подушевого норматива финансирования и оплаты указанных вызовов за соответствующую единицу объема.

В реестры счетов на оплату медицинской помощи в обязательном порядке включаются все единицы объема оказанной скорой медицинской помощи по установленным тарифам.

2.2. Определение дифференцированного подушевого норматива финансирования скорой медицинской помощи

На основе базового подушевого норматива финансирования скорой медицинской помощи, оказываемой вне медицинской организации, с учетом объективных критериев дифференциации стоимости оказания медицинской помощи в субъекте Российской Федерации, рассчитывается дифференцированный подушевой норматив финансирования скорой медицинской помощи для медицинских организаций по следующей формуле:

,

где:  
дифференцированный подушевой норматив финансирования скорой медицинской помощи для i-той медицинской организации, рублей;
коэффициент половозрастного состава;
коэффициент уровня расходов медицинских организаций (особенности плотности населения, транспортной доступности, климатических и географических особенностей, размер медицинской организации) для i-той медицинской организации (при необходимости);
коэффициент достижения целевых показателей уровня заработной платы медицинских работников, установленных "дорожными картами" развития здравоохранения в субъекте Российской Федерации, для i-той медицинской организации (при необходимости);
коэффициент дифференциации i-той медицинской организации.

Исчерпывающий перечень коэффициентов дифференциации, которые могут использоваться при расчете , установлен Требованиями. Использование иных коэффициентов, не предусмотренных Требованиями, недопустимо.

При этом в субъекте Российской Федерации могут использоваться только те коэффициенты, которые отражают особенности данного субъекта. В таком случае, в тарифном соглашении указывается размер не используемых коэффициентов из перечня, предусмотренного Требованиями, в размере 1.

При расчете каждого коэффициента дифференциации значение, равное 1, соответствует средневзвешенному уровню расходов, учитываемых для расчета коэффициента.

При осуществлении дифференциации подушевого норматива следует учитывать, что основным фактором дифференциации является половозрастной состав прикрепившегося населения.

Для расчета половозрастных коэффициентов дифференциации подушевого норматива финансирования скорой медицинской помощи численность застрахованных лиц в субъекте Российской Федерации распределяется на половозрастные группы (подгруппы). При этом для каждой половозрастной группы (подгруппы) рассчитываются единые значения коэффициента дифференциации в пределах субъекта Российской Федерации. Указанные коэффициенты устанавливаются тарифным соглашением.

В целях приведения в соответствие объема средств, рассчитанного по дифференцированным подушевым нормативам финансирования скорой медицинской помощи вне медицинской организации, к общему объему средств на финансирование медицинских организаций рассчитывается поправочный коэффициент (ПК) по формуле:

,

где:  
численность застрахованных лиц, обслуживаемых i-той медицинской организацией, человек.

В случае, если при расчете фактических дифференцированных подушевых нормативов используется поправочный коэффициент, отличный от 1, указанный коэффициент в обязательном порядке отражается в тарифном соглашении.

Фактический дифференцированный подушевой норматив финансирования скорой медицинской помощи вне медицинской организации (ФДПн) рассчитывается по формуле:

,

где:  
фактический дифференцированный подушевой норматив финансирования скорой медицинской помощи для i-той медицинской организации, рублей.

2.3. Определение размера финансового обеспечения медицинской организации, оказывающей скорую медицинскую помощь вне медицинской организации

Размер финансового обеспечения медицинской организации, оказывающей скорую медицинскую помощь вне медицинской организации, определяется исходя из значения дифференцированного подушевого норматива, численности обслуживаемого населения, а также объемов медицинской помощи, оплата которых осуществляется за вызов по следующей формуле:

,

где:  
размер финансового обеспечения медицинской организации, оказывающей скорую медицинскую помощь вне медицинской организации, рублей;
численность застрахованных лиц, обслуживаемых данной медицинской организацией, человек.

Установленные в тарифном соглашении тарифы на оплату отдельных случаев оказания скорой медицинской помощи вне медицинской организации за единицу объема медицинской помощи - за вызов скорой медицинской помощи (используется при оплате медицинской помощи, оказанной застрахованным лицам за пределами субъекта Российской Федерации, на территории которого выдан полис обязательного медицинского страхования, а также оказанной в отдельных медицинских организациях, не имеющих прикрепившихся лиц) (в дополнение к подушевому нормативу финансирования) являются едиными для всех медицинских организаций, оказывающих скорую медицинскую помощь, участвующих в реализации территориальной программы обязательного медицинского страхования, и могут отличаться только в зависимости от коэффициента дифференциации для отдельных территорий субъекта Российской Федерации, в которых расположена медицинская организация.

IV. ОПЛАТА МЕДИЦИНСКОЙ ПОМОЩИ ПО ПОДУШЕВОМУ НОРМАТИВУ ФИНАНСИРОВАНИЯ НА ПРИКРЕПИВШИХСЯ К МЕДИЦИНСКОЙ ОРГАНИЗАЦИИ ЛИЦ, ВКЛЮЧАЯ ОПЛАТУ МЕДИЦИНСКОЙ ПОМОЩИ ПО ВСЕМ ВИДАМ И УСЛОВИЯМ ПРЕДОСТАВЛЯЕМОЙ УКАЗАННОЙ МЕДИЦИНСКОЙ ОРГАНИЗАЦИЕЙ МЕДИЦИНСКОЙ ПОМОЩИ, С УЧЕТОМ ПОКАЗАТЕЛЕЙ РЕЗУЛЬТАТИВНОСТИ ДЕЯТЕЛЬНОСТИ МЕДИЦИНСКОЙ ОРГАНИЗАЦИИ, В ТОМ ЧИСЛЕ ПОКАЗАТЕЛЕЙ ОБЪЕМА МЕДИЦИНСКОЙ ПОМОЩИ

При оплате медицинской помощи в отдельных медицинских организациях, имеющих в своем составе подразделения, оказывающие медицинскую помощь в амбулаторных, стационарных условиях и в условиях дневного стационара, а также медицинскую реабилитацию, может применяться способ оплаты по подушевому нормативу финансирования на прикрепившихся к такой медицинской организации лиц, включая оплату медицинской помощи по всем видам и условиям предоставляемой указанной медицинской организацией медицинской помощи, с учетом показателей результативности деятельности медицинской организации, в том числе показателей объема медицинской помощи. При этом из расходов на финансовое обеспечение медицинской помощи в амбулаторных условиях исключаются расходы на проведение компьютерной томографии, магнитно-резонансной томографии, ультразвукового исследования сердечно-сосудистой системы, эндоскопических диагностических исследований, молекулярно-генетических исследований и патологоанатомических исследований биопсийного (операционного) материала, тестирования на выявление новой коронавирусной инфекции (COVID-19), профилактических медицинских осмотров и диспансеризации, в том числе углубленной диспансеризации, а также средств на оплату диспансерного наблюдения и финансовое обеспечение фельдшерских и фельдшерско-акушерских пунктов.

Указанный подушевой норматив финансирования на прикрепившихся лиц для медицинской организации складывается из рассчитанного фактического дифференцированного подушевого норматива финансирования на прикрепившихся лиц для данной медицинской организации, включающего медицинскую помощь в неотложной форме, а также объем средств на финансовое обеспечение медицинской помощи в стационарных условиях и в условиях дневного стационара.

При применении указанного способа оплаты из общего объема средств, предназначенных для финансового обеспечения медицинской помощи, оказываемой в стационарных условиях и в условиях дневного стационара и оплачиваемой по КСГ, исключаются средства, направляемые на оплату медицинской помощи в стационарных условиях и в условиях дневного стационара в медицинские организации, оплата медицинской помощи в стационарных условиях и в условиях дневного стационара для которых осуществляется в рамках подушевого норматива финансирования на прикрепившихся к данной медицинской организации лиц.

Указанный способ оплаты может применяться в целях оптимизации оплаты медицинской помощи, оказываемой медицинскими организациями, являющимися самостоятельными юридическими лицами, в том числе расположенными в сельской местности, в отдаленных, труднодоступных и малонаселенных районах, с учетом количества структурных подразделений, объема оказываемой медицинской помощи, численности прикрепленного населения. При этом для обоснования и планирования объемов специализированной медицинской помощи рекомендуется использовать в том числе повышающий коэффициент специфики и возможность отнесения медицинской организации к более высокому подуровню медицинской организации.

V. ОСНОВНЫЕ ПОДХОДЫ К ОПЛАТЕ МЕДИЦИНСКОЙ ПОМОЩИ В РАМКАХ МЕЖУЧРЕЖДЕНЧЕСКИХ И МЕЖТЕРРИТОРИАЛЬНЫХ РАСЧЕТОВ

Оплата медицинской помощи, оказанной застрахованным лицам за пределами субъекта Российской Федерации, на территории которого выдан полис обязательного медицинского страхования (далее - проведение межтерриториальных расчетов), осуществляется в соответствии с тарифами, установленными тарифным соглашением по месту оказания медицинской помощи.

Межучрежденческие расчеты рекомендуется осуществлять с использованием двух моделей организации оплаты:

- через страховую медицинскую организацию (по тарифам для проведения межучрежденческих, в том числе межтерриториальных, расчетов, установленным тарифным соглашением);

- в рамках Договоров.

При использовании модели оплаты в рамках межучрежденческих расчетов через страховую медицинскую организацию в тарифном соглашении устанавливаются единые для всех медицинских организаций тарифы на оплату медицинской помощи при межучрежденческих расчетах, которые также применяются при проведении межтерриториальных расчетов. Медицинскими организациями составляется реестр счетов по установленным тарифам на каждую выполненную единицу объема медицинской помощи (медицинская услуга, посещение, обращение (законченный случай)) с указанием информации о медицинской организации, выдавшей направление. Страховые медицинские организации осуществляют оплату услуг на основании представленных реестров счетов и счетов на оплату медицинской помощи. При осуществлении окончательного расчета за медицинскую помощь сумма средств для медицинской организации - инициатора оказания медицинской помощи в другой медицинской организации уменьшается на объем средств, перечисленных медицинской организации, в которой были фактически выполнены отдельные медицинские услуги (медицинские вмешательства, исследования), за выполнение указанных отдельных медицинских услуг по направлениям, выданным данной медицинской организацией.

В случае использования модели оплаты медицинской помощи в рамках Договоров между медицинскими организациями без участия страховой медицинской организации указанный случай оказания медицинской помощи может быть отражен в реестре счетов только одной медицинской организации. Оплата медицинской помощи в рамках Договоров осуществляется в том числе из средств, направленных страховой медицинской организацией в медицинскую организацию, отражающую указанный случай медицинской помощи в реестрах счетов. Комиссия не вправе устанавливать тарифы на оплату медицинской помощи в рамках Договоров.

В рамках межучрежденческих и межтерриториальных расчетов может осуществляться оплата отдельных патологоанатомических исследований биопсийного (операционного) материала, проводимых в том числе при прохождении пациентом лечения в условиях круглосуточного стационара и в референс-центрах, включая дистанционное предоставление заключения (описание, интерпретация) по данным выполненного исследования.

VI. ОСНОВНЫЕ ПОДХОДЫ К ИСПОЛЬЗОВАНИЮ КОЭФФИЦИЕНТОВ ДЛЯ ОПРЕДЕЛЕНИЯ РАЗМЕРА НЕОПЛАТЫ ИЛИ НЕПОЛНОЙ ОПЛАТЫ ЗАТРАТ МЕДИЦИНСКОЙ ОРГАНИЗАЦИИ НА ОКАЗАНИЕ МЕДИЦИНСКОЙ ПОМОЩИ В РАМКАХ ТЕРРИТОРИАЛЬНОЙ ПРОГРАММЫ ОБЯЗАТЕЛЬНОГО МЕДИЦИНСКОГО СТРАХОВАНИЯ И РАЗМЕРА ШТРАФА ЗА НЕОКАЗАНИЕ, НЕСВОЕВРЕМЕННОЕ ОКАЗАНИЕ ЛИБО ОКАЗАНИЕ МЕДИЦИНСКОЙ ПОМОЩИ НЕНАДЛЕЖАЩЕГО КАЧЕСТВА

Значения коэффициентов для определения размера неоплаты или неполной оплаты затрат медицинской организации на оказание медицинской помощи в рамках территориальной программы обязательного медицинского страхования и размера штрафа за неоказание, несвоевременное оказание либо оказание медицинской помощи ненадлежащего качества (далее - Перечень оснований для применения санкций) по результатам медико-экономического контроля, медико-экономической экспертизы, экспертизы качества медицинской помощи (далее - МЭК, МЭЭ, ЭКМП) определены приложением N 5 к Правилам ОМС.

В соответствии с пунктом 154 Правил ОМС размер неоплаты или неполной оплаты затрат медицинской организации на оказание медицинской помощи в рамках территориальной программы обязательного медицинского страхования (Н) рассчитывается по формуле:

,

где:  
Н размер неоплаты или неполной оплаты затрат медицинской организации на оказание медицинской помощи в рамках территориальной программы обязательного медицинского страхования;
РТ размер тарифа на оплату медицинской помощи, действующий на дату оказания медицинской помощи;
коэффициент для определения размера неполной оплаты медицинской помощи по основанию для отказа в оплате медицинской помощи либо уменьшению оплаты медицинской помощи, действующий на дату проведения МЭК, МЭЭ, ЭКМП.

Если стоимость случая, подлежащего неоплате (неполной оплате) не является тарифом, утвержденным тарифным соглашением, или получена расчетным путем, в том числе с использованием доли оплаты прерванных случаев, то параметр РТ следует понимать как сумму, выставленную к оплате по законченному случаю лечения.

Согласно пункту 155 Правил ОМС размер штрафа, применяемого к медицинской организации за неоказание, несвоевременное оказание либо оказание медицинской помощи ненадлежащего качества (), рассчитывается по формуле:

,

где:  
размер штрафа за неоказание, несвоевременное оказание либо оказание медицинской помощи ненадлежащего качества;
РП установленный тарифным соглашением на дату проведения контроля объемов, сроков, качества и условий предоставления медицинской помощи и применяемый в зависимости от условий оказания медицинской помощи, в отношении оказания которой проводится контроль объемов, сроков, качества и условий предоставления медицинской помощи, подушевой норматив финансирования медицинской помощи;
коэффициент для определения размера штрафа по основанию для начисления штрафа за неоказание, несвоевременное оказание либо оказание медицинской помощи ненадлежащего качества, действующий на дату проведения МЭК, МЭЭ, ЭКМП.

В случае, если коэффициент дифференциации не является единым на территории субъекта Российской Федерации, при расчете РП применяется коэффициент дифференциации, рассчитанный для территории, на которой находится медицинская организация (структурное подразделение медицинской организации), в отношении которой (которого) применяются штрафные санкции (далее - соответствующая медицинская организация). В таком случае параметр РП рассчитывается путем деления подушевого норматива, установленного Территориальной программой государственных гарантий на единый коэффициент дифференциации, рассчитанный в соответствии с Постановлением N 462, и умножения на коэффициент дифференциации, используемый при оплате медицинской помощи в соответствующей медицинской организации в соответствующих условиях). В остальных случаях используется единый коэффициент дифференциации для субъекта Российской Федерации, рассчитанный в соответствии с Постановлением N 462.

С целью обеспечения единства подходов к определению размера штрафов на всей территории Российской Федерации одновременно со сведениями о перечне оснований для отказа в оплате медицинской помощи либо уменьшения оплаты медицинской помощи в соответствии с порядком проведения контроля объемов, сроков, качества и условий предоставления медицинской помощи по обязательному медицинскому страхованию застрахованным лицам, а также ее финансового обеспечения, устанавливаемыми в тарифном соглашении в соответствии с пунктом 7 Требований рекомендуется устанавливать размеры подушевых нормативов финансирования, используемые при определении размера штрафа за неоказание, несвоевременное оказание либо оказание медицинской помощи ненадлежащего качества в разрезе условий оказания медицинской помощи:

1. в амбулаторных условиях - установленный Территориальной программой государственных гарантий подушевой норматив финансирования за счет средств обязательного медицинского страхования для медицинской помощи, предоставляемой в рамках базовой программы застрахованным лицам в амбулаторных условиях (при необходимости - с учетом коэффициента дифференциации соответствующей медицинской организации);

2. при оплате скорой медицинской помощи вне медицинской организации - установленный Территориальной программой государственных гарантий подушевой норматив финансирования за счет средств обязательного медицинского страхования для скорой медицинской помощи, предоставляемой в рамках базовой программы застрахованным лицам (при необходимости - с учетом коэффициента дифференциации соответствующей медицинской организации);

3. в стационарных условиях, в том числе при оказании высокотехнологичной медицинской помощи, - установленный Территориальной программой государственных гарантий подушевой норматив финансирования за счет средств обязательного медицинского страхования для специализированной медицинской помощи в стационарных условиях, предоставляемой в рамках базовой программы застрахованным лицам (при необходимости - с учетом коэффициента дифференциации соответствующей медицинской организации).

4. в условиях дневного стационара, в том числе при оказании высокотехнологичной медицинской помощи, - установленный Территориальной программой государственных гарантий подушевой норматив финансирования за счет средств обязательного медицинского страхования для специализированной медицинской помощи в условиях дневного стационара, предоставляемой в рамках базовой программы застрахованным лицам (при необходимости - с учетом коэффициента дифференциации соответствующей медицинской организации).

При этом размеры подушевых нормативов в разрезе условий оказания медицинской помощи, применяемые для расчета штрафных санкций в рамках базовой программы ОМС, должны быть в обязательном порядке установлены в тарифном соглашении.

С целью достижения сопоставимости размера штрафов по сопоставимым основаниям в одинаковых условиях оказания медицинской помощи среди медицинских организаций, участвующих в реализации территориальной программы обязательного медицинского страхования, в случае, если медицинская помощь, в отношении которой по результатам МЭК, МЭЭ или ЭКМП принято решение о необходимости применения штрафа за неоказание, несвоевременное оказание либо оказание медицинской помощи ненадлежащего качества, подлежит оплате в субъекте Российской Федерации по подушевому нормативу финансирования на прикрепившихся лиц по всем видам и условиям оказания медицинской помощи, при определении размера штрафа применяется значение вышеуказанных подушевых нормативов финансирования в зависимости от условий, в которых фактически была оказана медицинская помощь, подлежащая наложению штрафа, независимо от применяемого способа оплаты.

Приложение 1

ПЕРЕЧЕНЬ СЛУЧАЕВ, ДЛЯ КОТОРЫХ УСТАНОВЛЕН КСЛП

N Случаи, для которых установлен КСЛП Значение КСЛП
1 предоставление спального места и питания законному представителю несовершеннолетних (дети до 4 лет, дети старше 4 лет при наличии медицинских показаний), за исключением случаев, к которым применяется КСЛП, предусмотренный пунктом 2 настоящего перечня 0,2
2 предоставление спального места и питания законному представителю несовершеннолетних (детей до 4 лет, детей старше 4 лет при наличии медицинских показаний), получающих медицинскую помощь по профилю "детская онкология" и (или) "гематология" 0,6
3 оказание медицинской помощи пациенту в возрасте старше 75 лет в случае проведения консультации врача-гериатра, за исключением случаев госпитализации на геронтологические профильные койки 0,2
4 развертывание индивидуального поста 0,2
5 наличие у пациента тяжелой сопутствующей патологии <1>, требующей оказания медицинской помощи в период госпитализации 0,6
6 проведение сочетанных хирургических вмешательств или проведение однотипных операций на парных органах (уровень 1) <2> 0,05
7 проведение сочетанных хирургических вмешательств или проведение однотипных операций на парных органах (уровень 2) <2> 0,47
8 проведение сочетанных хирургических вмешательств или проведение однотипных операций на парных органах (уровень 3) <2> 1,16
9 проведение сочетанных хирургических вмешательств или проведение однотипных операций на парных органах (уровень 4) <2> 2,07
10 проведение сочетанных хирургических вмешательств или проведение однотипных операций на парных органах (уровень 5) <2> 3,49
11 проведение 1 этапа медицинской реабилитации пациентов <3> 0,15
12 проведение сопроводительной лекарственной терапии при злокачественных новообразованиях у взрослых в стационарных условиях в соответствии с клиническими рекомендациями <*> 0,63
13 проведение сопроводительной лекарственной терапии при злокачественных новообразованиях у взрослых в условиях дневного стационара в соответствии с клиническими рекомендациями <*> 1,20
14 проведение тестирования на выявление респираторных вирусных заболеваний (гриппа, новой коронавирусной инфекции COVID-19) в период госпитализации 0,05

<1> Наличие у пациента дополнительного диагноза (диагноза осложнения заболевания) из перечня, определенного настоящим Приложением, медицинская помощь в соответствии с которым оказывалась пациенту в период госпитализации.

<2> Перечень возможных операций, а также критерии отнесения соответствующих операций к уровню КСЛП определен настоящим Приложением.

<3> При проведении реабилитационных мероприятий при нахождении пациента на реанимационной койке и/или койке интенсивной терапии, начавшихся не позднее 48 часов от поступления в отделение реанимации или на койку интенсивной терапии с общей длительностью реабилитационных мероприятий не менее 5 суток, включая период после перевода на профильные койки по окончании реанимационных мероприятий, при обязательной продолжительности реабилитационных мероприятий не менее одного часа в сутки (при условии организации отделения ранней медицинской реабилитации на не менее чем 12 коек отделения, оказывающего медицинскую помощь по профилю "анестезиология и реанимация", и его укомплектования в соответствии с порядком оказания медицинской помощи по медицинской реабилитации).

<*> Стоимость КСЛП "проведение сопроводительной лекарственной терапии при злокачественных новообразованиях у взрослых в соответствии с клиническими рекомендациями" в стационарных условиях и в условиях дневного стационара определяется без учета коэффициента дифференциации субъекта Российской Федерации.

Перечень схем сопроводительной лекарственной терапии

Код схемы Описание схемы Условия применения
supt0l Филграстим 4 дня введения по 300 мкг  
supt02 Деносумаб 1 день введения 120 мг N 18.3, N 18.4, N 18.5 "Хроническая болезнь почки, стадия 3 - 5" (при клиренсе креатинина < 59 мл/мин
supt03 Тоцилизумаб 1 день введения 4 мг/кг  
supt04 Филграстим 8 дней введения по 300 мкг  
supt05 Эмпэгфилграстим 1 день введения 7,5 мг  
supt06 Филграстим 10 дней введения по 300 мкг  
supt07 Микофенолата мофетил 30 дней введения по 500 мг 2 раза в день  
supt08 Такролимус 30 дней введения по 0,1 мг/кг  
supt09 Ведолизумаб 1 день введения 300 мг  
supt10 Инфликсимаб 1 день введения 800 мг  
supt11 Иммуноглобулин человека нормальный 2 дня введения по 1000 мг/кг  
supt12 Иммуноглобулин антитимоцитарный 8 - 14 дней введения 10 - 20 мг/кг  

Проведение тестирования на выявление респираторных вирусных заболеваний (гриппа, новой коронавирусной инфекции COVID-19) в период госпитализации

Указанный КСЛП не может применяться при оплате случаев лечения, оплачиваемых по КСГ st12.012 "Грипп, вирус гриппа идентифицирован" и КСГ st12.015 - st12.019, используемых для оплаты случаев лечения новой коронавирусной инфекции COVID-19.

Наличие у пациентов тяжелой сопутствующей патологии, осложнений заболеваний, влияющих на сложность лечения пациента

К таким сопутствующим заболеваниям и осложнениям заболеваний целесообразно относить:

- Сахарный диабет типа 1 и 2;

- Заболевания, включенные в Перечень редких (орфанных) заболеваний, размещенный на официальном сайте Министерства здравоохранения Российской Федерации <2>;

<2> https://minzdrav.gov.ru/documents/8048-perechen-redkih-orfannyh-zabolevaniy.

- Рассеянный склероз (G35);

- Хронический лимфоцитарный лейкоз (C91.1);

- Состояния после трансплантации органов и (или) тканей (Z94.0; Z94.1; Z94.4; Z94.8);

- Детский церебральный паралич (G80);

- ВИЧ/СПИД, стадии 4Б и 4В, взрослые (B20 - B24);

- Перинатальный контакт по ВИЧ-инфекции, дети (Z20.6).

Проведение сочетанных хирургических вмешательств

Перечень сочетанных (симультанных) хирургических вмешательств, выполняемых во время одной госпитализации, представлен в таблицах:

Уровень 1

Операция 1 Операция 2
A16.01.031 Устранение рубцовой деформации A16.01.017.001 Удаление доброкачественных новообразований кожи методом электрокоагуляции
A16.01.031 Устранение рубцовой деформации A16.01.017 Удаление доброкачественных новообразований кожи
A16.01.013 Удаление сосудистой мальформации A16.01.017 Удаление доброкачественных новообразований кожи
A16.01.013 Удаление сосудистой мальформации A16.01.017.001 Удаление доброкачественных новообразований кожи методом электрокоагуляции
A16.18.027 Эндоскопическое электрохирургическое удаление новообразования толстой кишки A16.19.017 Удаление полипа анального канала и прямой кишки
A16.18.027 Эндоскопическое электрохирургическое удаление новообразования толстой кишки A16.19.003.001 Иссечение анальной трещины
A16.26.093 Факоэмульсификация без интраокулярной линзы.
Факофрагментация, факоаспирация
A16.26.073.003 Проникающая склерэктомия
A16.26.093.002 Факоэмульсификация с имплантацией интраокулярной линзы A16.26.070 Модифицированная синустрабекулэктомия
A16.26.093.001 Факоэмульсификация с использованием фемтосекундного лазера A16.26.070 Модифицированная синустрабекулэктомия
A16.26.049.008 Сквозная кератопластика A16.26.092 Экстракапсулярная экстракция катаракты с имплантацией ИОЛ
A16.07.061.001 Хейлоринопластика (устранение врожденной расщелины верхней губы) A16.07.042 Пластика уздечки верхней губы
A16.07.061.001 Хейлоринопластика (устранение врожденной расщелины верхней губы) A16.07.044 Пластика уздечки языка
A16.07.066 Уранопластика (устранение врожденной расщелины твердого и мягкого неба) A16.07.042 Пластика уздечки верхней губы
A16.07.066 Уранопластика (устранение врожденной расщелины твердого и мягкого неба) A16.07.044 Пластика уздечки языка
A16.30.014 Экстирпация срединных кист и свищей шеи A16.01.018 Удаление доброкачественных новообразований подкожно-жировой клетчатки
A16.30.014 Экстирпация срединных кист и свищей шеи A16.01.017 Удаление доброкачественных новообразований кожи
A16.30.015 Экстирпация боковых свищей шеи A16.01.018 Удаление доброкачественных новообразований подкожно-жировой клетчатки
A16.30.015 Экстирпация боковых свищей шеи A16.01.017 Удаление доброкачественных новообразований кожи
A16.07.016 Цистотомия или цистэктомия A16.01.018 Удаление доброкачественных новообразований подкожно-жировой клетчатки
A16.01.031 Устранение рубцовой деформации A16.01.018 Удаление доброкачественных новообразований подкожно-жировой клетчатки
A16.01.013 Удаление сосудистой мальформации A16.01.018 Удаление доброкачественных новообразований подкожно-жировой клетчатки
A16.26.106 Удаление инородного тела, новообразования из глазницы A16.26.111 Пластика века (блефаропластика) без и с пересадкой тканей
A16.07.016 Цистотомия или цистэктомия A16.07.042 Пластика уздечки верхней губы
A16.07.016 Цистотомия или цистэктомия A16.07.043 Пластика уздечки нижней губы

Уровень 2

Операция 1 Операция 2
A16.12.009 Тромбэндартерэктомия A06.12.015 Ангиография бедренной артерии прямая, обеих сторон
A16.12.009.001 Тромбоэктомия из сосудистого протеза A06.12.015 Ангиография бедренной артерии прямая, обеих сторон
A16.12.038.006 Бедренно-подколенное шунтирование A06.12.015 Ангиография бедренной артерии прямая, обеих сторон
A16.12.008.001 Эндартерэктомия каротидная A06.12.005 Ангиография внутренней сонной артерии
A16.12.038.008 Сонно-подключичное шунтирование A06.12.007 Ангиография артерий верхней конечности прямая
A16.12.006.001 Удаление поверхностных вен нижней конечности A16.30.001 Оперативное лечение пахово-бедренной грыжи
A16.12.006.001 Удаление поверхностных вен нижней конечности A16.30.001.001 Оперативное лечение пахово-бедренной грыжи с использованием видеоэндоскопических технологий
A16.12.006.001 Удаление поверхностных вен нижней конечности A16.30.001.002 Оперативное лечение пахово-бедренной грыжи с использованием сетчатых имплантов
A16.14.009 Холецистэктомия A16.30.002 Оперативное лечение пупочной грыжи
A16.14.009 Холецистэктомия A16.30.003 Оперативное лечение околопупочной грыжи
A16.14.009 Холецистэктомия A16.30.004 Оперативное лечение грыжи передней брюшной стенки
A16.14.009.002 Холецистэктомия лапароскопическая A16.30.002 Оперативное лечение пупочной грыжи
A16.14.009.002 Холецистэктомия лапароскопическая A16.30.003 Оперативное лечение околопупочной грыжи
A16.14.009.002 Холецистэктомия лапароскопическая A16.30.004 Оперативное лечение грыжи передней брюшной стенки
A16.14.009.001 Холецистэктомия малоинвазивная A16.30.002 Оперативное лечение пупочной грыжи
A16.14.009.001 Холецистэктомия малоинвазивная A16.30.003 Оперативное лечение околопупочной грыжи
A16.14.009.001 Холецистэктомия малоинвазивная A16.30.004 Оперативное лечение грыжи передней брюшной стенки
A16.09.026.004 Пластика диафрагмы с использованием видеоэндоскопических технологий A16.16.006.001 Бужирование пищевода эндоскопическое
A16.22.001 Гемитиреоидэктомия A16.14.009.002 Холецистэктомия лапароскопическая
A16.22.001 Гемитиреоидэктомия A16.30.001 Оперативное лечение пахово-бедренной грыжи
A16.22.001 Гемитиреоидэктомия A16.30.001.001 Оперативное лечение пахово-бедренной грыжи с использованием видеоэндоскопических технологий
A16.22.001 Гемитиреоидэктомия A16.30.001.002 Оперативное лечение пахово-бедренной грыжи с использованием сетчатых имплантов
A16.22.001 Гемитиреоидэктомия A16.30.002 Оперативное лечение пупочной грыжи
A16.22.001 Гемитиреоидэктомия A16.30.002.001 Оперативное лечение пупочной грыжи с использованием видеоэндоскопических технологий
A16.22.001 Гемитиреоидэктомия A16.30.004 Оперативное лечение грыжи передней брюшной стенки
A16.20.032 Резекция молочной железы A16.20.004 Сальпингэктомия лапаротомическая
A16.20.032 Резекция молочной железы A16.20.017 Удаление параовариальной кисты лапаротомическое
A16.20.032 Резекция молочной железы A16.20.061 Резекция яичника лапаротомическая
A16.20.005 Кесарево сечение A16.20.041 Стерилизация маточных труб лапаротомическая
A16.20.005 Кесарево сечение A16.20.075 Перевязка маточных артерий
A16.20.063.001 Влагалищная экстирпация матки с придатками с использованием видеоэндоскопических технологий A16.20.083 Кольпоперинеоррафия и леваторопластика
A16.16.033.001 Фундопликация лапароскопическая A16.14.009.002 Холецистэктомия лапароскопическая
A16.18.027 Эндоскопическое электрохирургическое удаление новообразования толстой кишки A16.19.013 Удаление геморроидальных узлов
A16.28.071.001 Иссечение кисты почки лапароскопическое A16.20.001.001 Удаление кисты яичника с использованием видеоэндоскопических технологий
A16.21.002 Трансуретральная резекция простаты A16.28.085 Трансуретральная эндоскопическая цистолитотрипсия
A16.26.111.001 Пластика верхних век без пересадки тканей чрескожным доступом A16.26.041.001 Пластика конъюнктивальной полости с использованием свободного лоскута слизистой со щеки
A16.26.145 Пластика опорно-двигательной культи при анофтальме A16.26.041.001 Пластика конъюнктивальной полости с использованием свободного лоскута слизистой со щеки
A16.19.013 Удаление геморроидальных узлов A16.19.003.001 Иссечение анальной трещины
A16.26.093 Факоэмульсификация без интраокулярной линзы.
Факофрагментация, факоаспирация
A16.26.069 Трабекулотомия
A16.26.093 Факоэмульсификация без интраокулярной линзы.
Факофрагментация, факоаспирация
A16.26.146 Реконструкция угла передней камеры глаза
A16.30.004.011 Оперативное лечение грыжи передней брюшной стенки с использованием сетчатых имплантов A16.30.001.002 Оперативное лечение пахово-бедренной грыжи с использованием сетчатых имплантов
A16.30.004.011 Оперативное лечение грыжи передней брюшной стенки с использованием сетчатых имплантов A16.30.001.001 Оперативное лечение пахово-бедренной грыжи с использованием видеоэндоскопических технологий
A16.30.002.001 Оперативное лечение пупочной грыжи с использованием видеоэндоскопических технологий A16.30.001.002 Оперативное лечение пахово-бедренной грыжи с использованием сетчатых имплантов
A16.30.002.001 Оперативное лечение пупочной грыжи с использованием видеоэндоскопических технологий A16.30.001.001 Оперативное лечение пахово-бедренной грыжи с использованием видеоэндоскопических технологий
A16.30.002 Оперативное лечение пупочной грыжи A16.30.001 Оперативное лечение пахово-бедренной грыжи
A16.30.004 Оперативное лечение грыжи передней брюшной стенки A16.30.001 Оперативное лечение пахово-бедренной грыжи
A16.08.013.001 Пластика носовой перегородки с использованием видеоэндоскопических технологий A16.08.017.001 Гайморотомия с использованием видеоэндоскопических технологий
A16.26.093 Факоэмульсификация без интраокулярной линзы.
Факофрагментация, факоаспирация
A16.26.115 Удаление силиконового масла (или иного высокомолекулярного соединения) из витреальной полости
A16.26.099 Эвисцерация глазного яблока A16.26.041.001 Пластика конъюнктивальной полости с использованием свободного лоскута слизистой со щеки
A16.26.115 Удаление силиконового масла (или иного высокомолекулярного соединения) из витреальной полости A16.26.094 Имплантация интраокулярной линзы
A16.12.019.001 Ревизия бедренных артерий A16.12.028 Установка стента в сосуд
A16.12.019.001 Ревизия бедренных артерий A16.12.026 Баллонная вазодилатация
A16.12.019.001 Ревизия бедренных артерий A16.12.026.018 Баллонная ангиопластика подвздошной артерии
A16.14.009 Холецистэктомия A16.30.002.001 Оперативное лечение пупочной грыжи с использованием видеоэндоскопических технологий
A16.14.009 Холецистэктомия A16.30.002.002 Оперативное лечение пупочной грыжи с использованием сетчатых имплантов
A16.14.009 Холецистэктомия A16.30.004.011 Оперативное лечение грыжи передней брюшной стенки с использованием сетчатых имплантов
A16.14.009.002 Холецистэктомия лапароскопическая A16.30.002.001 Оперативное лечение пупочной грыжи с использованием видеоэндоскопических технологий
A16.14.009.002 Холецистэктомия лапароскопическая A16.30.002.002 Оперативное лечение пупочной грыжи с использованием сетчатых имплантов
A16.14.009.002 Холецистэктомия лапароскопическая A16.30.004.011 Оперативное лечение грыжи передней брюшной стенки с использованием сетчатых имплантов
A16.14.009.001 Холецистэктомия малоинвазивная A16.30.002.001 Оперативное лечение пупочной грыжи с использованием видеоэндоскопических технологий
A16.14.009.001 Холецистэктомия малоинвазивная A16.30.002.002 Оперативное лечение пупочной грыжи с использованием сетчатых имплантов
A16.14.009.001 Холецистэктомия малоинвазивная A16.30.004.011 Оперативное лечение грыжи передней брюшной стенки с использованием сетчатых имплантов
A16.30.003 Оперативное лечение околопупочной грыжи A16.30.001.002 Оперативное лечение пахово-бедренной грыжи с использованием сетчатых имплантов
A16.30.002 Оперативное лечение пупочной грыжи A16.30.001.002 Оперативное лечение пахово-бедренной грыжи с использованием сетчатых имплантов
A16.30.004 Оперативное лечение грыжи передней брюшной стенки A16.30.001.002 Оперативное лечение пахово-бедренной грыжи с использованием сетчатых имплантов
A16.30.002 Оперативное лечение пупочной грыжи A16.16.033.001 Фундопликация лапароскопическая
A16.30.002 Оперативное лечение пупочной грыжи A16.09.026.004 Пластика диафрагмы с использованием видеоэндоскопических технологий
A16.30.005.003 Устранение грыжи пищеводного отверстия диафрагмы с использованием видеоэндоскопических технологий A16.16.046.002 Лапароскопическая диафрагмокрурорафия
A16.30.005.003 Устранение грыжи пищеводного отверстия диафрагмы с использованием видеоэндоскопических технологий A16.16.033.001 Фундопликация лапароскопическая
A16.20.043 Мастэктомия A16.20.011.002 Тотальная гистерэктомия (экстирпация матки) с придатками лапаротомическая
A16.20.005 Кесарево сечение A16.20.035 Миомэктомия (энуклеация миоматозных узлов) лапаротомическая
A16.20.005 Кесарево сечение A16.20.001 Удаление кисты яичника
A16.20.005 Кесарево сечение A16.20.061 Резекция яичника лапаротомическая
A16.20.005 Кесарево сечение A16.20.039 Метропластика лапаротомическая
A16.20.083 Кольпоперинеоррафия и леваторопластика A16.20.042.001 Слинговые операции при недержании мочи
A16.14.009.002 Холецистэктомия лапароскопическая A16.20.063.001 Влагалищная экстирпация матки с придатками с использованием видеоэндоскопических технологий
A16.18.009.001 Аппендэктомия с использованием видеоэндоскопических технологий A16.20.061.001 Резекция яичника с использованием видеоэндоскопических технологий
A16.18.009 Аппендэктомия A16.20.061 Резекция яичника лапаротомическая
A16.28.054 Трансуретральная уретеролитоэкстракция A16.28.003.001 Лапароскопическая резекция почки
A16.26.093 Факоэмульсификация без интраокулярной линзы.
Факофрагментация, факоаспирация
A16.26.049 Кератопластика (трансплантация роговицы)
A16.26.093 Факоэмульсификация без интраокулярной линзы.
Факофрагментация, факоаспирация
A16.26.087 Замещение стекловидного тела
A16.26.098 Энуклеация глазного яблока A16.26.041.001 Пластика конъюнктивальной полости с использованием свободного лоскута слизистой со щеки
A16.26.115 Удаление силиконового масла (или иного высокомолекулярного соединения) из витреальной полости A16.26.093.002 Факоэмульсификация с имплантацией интраокулярной линзы
A16.26.094 Имплантация интраокулярной линзы A16.26.086.001 Интравитреальное введение лекарственных препаратов

Уровень 3

Операция 1 Операция 2
A16.22.001 Гемитиреоидэктомия A16.30.002.002 Оперативное лечение пупочной грыжи с использованием сетчатых имплантов
A16.18.016 Гемиколэктомия правосторонняя A16.14.030 Резекция печени атипичная
A16.30.002.002 Оперативное лечение пупочной грыжи с использованием сетчатых имплантов A16.30.001.002 Оперативное лечение пахово-бедренной грыжи с использованием сетчатых имплантов
A16.30.002.002 Оперативное лечение пупочной грыжи с использованием сетчатых имплантов A16.30.001.001 Оперативное лечение пахово-бедренной грыжи с использованием видеоэндоскопических технологий
A16.26.093.002 Факоэмульсификация с имплантацией интраокулярной линзы A16.26.049.005 Неавтоматизированная эндотекатопластика
A16.26.049.004 Послойная кератопластика A16.26.093.002 Факоэмульсификация с имплантацией интраокулярной линзы
A16.26.089.002 Витреоэктомия задняя субтотальная закрытая A16.26.093.002 Факоэмульсификация с имплантацией интраокулярной линзы

Уровень 4

Операция 1 Операция 2
A16.09.026.004 Пластика диафрагмы с использованием видеоэндоскопических технологий A16.16.032.002 Эндоскопическая кардиодилятация пищевода баллонным кардиодилятатором
A16.28.004.001 Лапароскопическая нефрэктомия A16.21.002 Трансуретральная резекция простаты
A16.26.089.002 Витреоэктомия задняя субтотальная закрытая A16.26.094 Имплантация интраокулярной линзы
A16.26.089.002 Витреоэктомия задняя субтотальная закрытая A16.26.082 Круговое эпиклеральное пломбирование
A16.12.011.008 Пластика глубокой бедренной артерии A16.12.026 Баллонная вазодилатация
A16.26.093.001 Факоэмульсификация с использованием фемтосекундного лазера A16.26.049.005 Неавтоматизированная эндотекатопластика
A16.26.093.001 Факоэмульсификация с использованием фемтосекундного лазера A16.26.093.002 Факоэмульсификация с имплантацией интраокулярной линзы
A16.30.005.003 Устранение грыжи пищеводного отверстия диафрагмы с использованием видеоэндоскопических технологий A16.30.005.001 Пластика диафрагмы с использованием импланта
A16.20.014 Влагалищная тотальная гистерэктомия (экстирпация матки) с придатками A16.20.042.001 Слинговые операции при недержании мочи
A16.20.063.001 Влагалищная экстирпация матки с придатками с использованием видеоэндоскопических технологий A16.20.042.001 Слинговые операции при недержании мочи
A16.26.049.004 Послойная кератопластика A16.26.093.001 Факоэмульсификация с использованием фемтосекундного лазера
A16.12.009.001 Тромбоэктомия из сосудистого протеза A16.12.026.018 Баллонная ангиопластика подвздошной артерии
A16.12.038.006 Бедренно-подколенное шунтирование A16.12.026.018 Баллонная ангиопластика подвздошной артерии
A16.12.009.001 Тромбоэктомия из сосудистого протеза A16.12.028 Установка стента в сосуд
A16.12.011.008 Пластика глубокой бедренной артерии A16.12.028 Установка стента в сосуд
A16.12.011.008 Пластика глубокой бедренной артерии A16.12.026.018 Баллонная ангиопластика подвздошной артерии
A16.12.009 Тромбэндартерэктомия A16.12.028 Установка стента в сосуд
A16.12.009 Тромбэндартерэктомия A16.12.026.018 Баллонная ангиопластика подвздошной артерии
A16.12.038.006 Бедренно-подколенное шунтирование A16.12.026.002 Баллонная ангиопластика подколенной артерии и магистральных артерий голени
A16.12.038.006 Бедренно-подколенное шунтирование A16.12.026.004 Баллонная ангиопластика со стентированием подколенной артерии и магистральных артерий голени
A16.26.089.002 Витреоэктомия задняя субтотальная закрытая A16.26.093.001 Факоэмульсификация с использованием фемтосекундного лазера

Проведение однотипных операций на парных органах

К данным операциям относятся операции на парных органах/частях тела, при выполнении которых необходимы в том числе дорогостоящие расходные материалы. Перечень хирургических вмешательств, при проведении которых одновременно на двух парных органах может быть применен КСЛП, представлен в таблицах:

Уровень 1

Код услуги Наименование
A16.26.007 Пластика слезных точек и слезных канальцев
A16.26.019 Устранение эпикантуса
A16.26.020 Устранение энтропиона или эктропиона
A16.26.021 Коррекция блефароптоза
A16.26.021.001 Устранение птоза
A16.26.022 Коррекция блефарохалязиса
A16.26.023 Устранение блефароспазма
A16.26.028 Миотомия, тенотомия глазной мышцы
A22.26.004 Лазерная корепраксия, дисцизия задней капсулы хрусталика
A22.26.005 Лазерная иридэктомия
A22.26.006 Лазергониотрабекулопунктура
A22.26.007 Лазерный трабекулоспазис
A22.26.009 Фокальная лазерная коагуляция глазного дна
A22.26.010 Панретинальная лазерная коагуляция
A22.26.019 Лазерная гониодесцеметопунктура
A22.26.023 Лазерная трабекулопластика

Уровень 2

Код услуги Наименование
A16.03.033.002 Наложение наружных фиксирующих устройств с использованием компрессионно-дистракционного аппарата внешней фиксации
A16.12.006 Разрез, иссечение и закрытие вен нижней конечности
A16.12.006.002 Подапоневротическая перевязка анастомозов между поверхностными и глубокими венами голени
A16.12.012 Перевязка и обнажение варикозных вен
A16.26.075 Склеропластика
A16.26.075.001 Склеропластика с использованием трансплантатов
A16.26.079 Реваскуляризация заднего сегмента глаза
A16.26.094 Имплантация интраокулярной линзы
A16.26.147 Ретросклеропломбирование

Уровень 3

Код услуги Наименование
A16.12.006.001 Удаление поверхностных вен нижней конечности
A16.12.006.003 Диссекция перфорантных вен с использованием видеоэндоскопических технологий
A16.26.093.002 Факоэмульсификация с имплантацией интраокулярной линзы

Уровень 4

Код услуги Наименование
A16.03.022.002 Остеосинтез титановой пластиной
A16.03.022.004 Интрамедуллярный стержневой остеосинтез
A16.03.022.005 Остеосинтез с использованием биодеградируемых материалов
A16.03.022.006 Интрамедуллярный блокируемый остеосинтез
A16.03.024.005 Реконструкция кости. Остеотомия кости с использованием комбинируемых методов фиксации
A16.03.024.007 Реконструкция кости. Корригирующая остеотомия при деформации стоп
A16.03.024.008 Реконструкция кости. Корригирующая остеотомия бедра
A16.03.024.009 Реконструкция кости. Корригирующая остеотомия голени
A16.03.024.010 Реконструкция кости при ложном суставе бедра
A16.04.014 Артропластика стопы и пальцев ноги
A16.12.008.001 Эндартерэктомия каротидная
A16.12.008.002 Эндартерэктомия каротидная с пластикой
A16.20.043.003 Мастэктомия радикальная с односторонней пластикой молочной железы с применением микрохирургической техники
A16.20.043.004 Мастэктомия расширенная модифицированная с пластическим закрытием дефекта грудной стенки
A16.20.047 Мастэктомия расширенная модифицированная с пластическим закрытием дефекта грудной стенки различными вариантами кожно-мышечных лоскутов
A16.20.048 Мастэктомия радикальная с реконструкцией TRAM-лоскутом

Уровень 5

Код услуги Наименование
A16.20.032.007 Резекция молочной железы субтотальная с маммопластикой и эндопротезированием
A16.20.103 Отсроченная реконструкция молочной железы с использованием эндопротеза
A16.20.049.001 Мастэктомия радикальная по Маддену с реконструкцией кожно-мышечным лоскутом и эндопротезированием

Приложение 2

РЕКОМЕНДУЕМЫЕ КОЭФФИЦИЕНТЫ ОТНОСИТЕЛЬНОЙ ЗАТРАТОЕМКОСТИ К БАЗОВЫМ СТОИМОСТЯМ УСЛУГ ДИАЛИЗА (БЕЗ УЧЕТА КОЭФФИЦИЕНТА ДИФФЕРЕНЦИАЦИИ)

N Код услуги Наименование услуги Условия оказания Единица оплаты Коэффициент относительной затратоемкости
Услуги гемодиализа
1 A18.05.002 Гемодиализ стационарно, дневной стационар, амбулаторно услуга 1,00
2 A18.05.002.002 Гемодиализ интермиттирующий низкопоточный стационарно, дневной стационар, амбулаторно услуга 1,00
3 A18.05.002.001 Гемодиализ интермиттирующий высокопоточный стационарно, дневной стационар, амбулаторно услуга 1,05
4 A18.05.011 Гемодиафильтрация стационарно, дневной стационар, амбулаторно услуга 1,08
5 A18.05.004 Ультрафильтрация крови стационарно услуга 0,92
6 A18.05.002.003 Гемодиализ интермиттирующий продленный стационарно услуга 2,76
7 A18.05.003 Гемофильтрация крови стационарно услуга 2,88
8 A18.05.004.001 Ультрафильтрация продленная стационарно услуга 2,51
9 A18.05.011.001 Гемодиафильтрация продленная стационарно услуга 3,01
10 A18.05.002.005 Гемодиализ продолжительный стационарно сутки 5,23
11 A18.05.003.002 Гемофильтрация крови продолжительная стационарно сутки 5,48
12 A18.05.011.002 Гемодиафильтрация продолжительная стационарно сутки 5,73
Услуги перитонеального диализа
13 A18.30.001 Перитонеальный диализ стационарно, дневной стационар, амбулаторно день обмена 1,00
14 A18.30.001.001 Перитонеальный диализ проточный стационарно день обмена 4,92
15 A18.30.001.002 Перитонеальный диализ с использованием автоматизированных технологий стационарно, дневной стационар, амбулаторно день обмена 1,24
16 A18.30.001.003 Перитонеальный диализ при нарушении ультрафильтрации стационарно, дневной стационар, амбулаторно день обмена 1,09

Приложение 3

СРЕДНЕЕ КОЛИЧЕСТВО УЕТ В ОДНОЙ МЕДИЦИНСКОЙ УСЛУГЕ, ПРИМЕНЯЕМОЕ ДЛЯ ОБОСНОВАНИЯ ОБЪЕМА И СТОИМОСТИ ПОСЕЩЕНИЙ ПРИ ОКАЗАНИИ ПЕРВИЧНОЙ МЕДИКО-САНИТАРНОЙ СПЕЦИАЛИЗИРОВАННОЙ СТОМАТОЛОГИЧЕСКОЙ ПОМОЩИ В АМБУЛАТОРНЫХ УСЛОВИЯХ

Код услуги Наименование услуги Число УЕТ
взрослый прием детский прием
A12.07.001 Витальное окрашивание твердых тканей зуба 0,35 0,35
A12.07.003 Определение индексов гигиены полости рта 0,61 0,61
A12.07.004 Определение пародонтальных индексов 0,76 0,76
B01.003.004.002 Проводниковая анестезия 0,96 0,96
B01.003.004.004 Аппликационная анестезия 0,31 0,31
B01.003.004.005 Инфильтрационная анестезия 0,5 0,5
A06.30.002 Описание и интерпретация рентгенографических изображений 0,93 0,93
A06.07.010 Радиовизиография челюстно-лицевой области 0,75 0,75
A06.07.003 Прицельная внутриротовая контактная рентгенография 0,75 0,75
A11.07.026 Взятие образца биологического материала из очагов поражения органов рта 1,12 1,12
A11.01.019 Получение соскоба с эрозивно-язвенных элементов кожи и слизистых оболочек 1,12 1,12
A11.07.011 Инъекционное введение лекарственных препаратов в челюстно-лицевую область 1,1 1,1
A25.07.001 Назначение лекарственных препаратов при заболеваниях полости рта и зубов 0,25 0,25
A05.07.001 Электроодонтометрия зуба 0,42 0,42
B01.064.003 Прием (осмотр, консультация) врача-стоматолога детского первичный   1,95
B01.064.004 Прием (осмотр, консультация) врача-стоматолога детского повторный   1,37
B04.064.001 Диспансерный прием (осмотр, консультация) врача-стоматолога детского   1,19
B01.065.007 Прием (осмотр, консультация) врача-стоматолога первичный 1,68 1,95
B01.065.008 Прием (осмотр, консультация) врача-стоматолога повторный 1,18 1,37
B04.065.005 Диспансерный прием (осмотр, консультация) врача-стоматолога 1,25 1,19
B01.065.001 Прием (осмотр, консультация) врача-стоматолога-терапевта первичный 1,68  
B01.065.002 Прием (осмотр, консультация) врача-стоматолога-терапевта повторный 1,18  
B04.065.001 Диспансерный прием (осмотр, консультация) врача-стоматолога-терапевта 1,25  
B01.065.003 Прием (осмотр, консультация) зубного врача первичный 1,68 1,95
B01.065.004 Прием (осмотр, консультация) зубного врача повторный 1,18 1,37
B04.065.003 Диспансерный прием (осмотр, консультация) зубного врача 1,25 1,19
B01.065.005 Прием (осмотр, консультация) гигиениста стоматологического первичный 1,5 1,5
B01.065.006 Прием (осмотр, консультация) гигиениста стоматологического повторный 0,9 0,9
A03.07.001 Люминесцентная стоматоскопия 0,63 0,63
A11.07.010 Введение лекарственных препаратов в пародонтальный карман 0,99 0,99
A11.07.022 Аппликация лекарственного препарата на слизистую оболочку полости рта 0,45 0,45
A16.07.051 Профессиональная гигиена полости рта и зубов <1> 2 2
A16.07.082 Сошлифовывание твердых тканей зуба 0,25 0,25
A11.07.023 Применение метода серебрения зуба 0,88 0,88
A15.07.003 Наложение лечебной повязки при заболеваниях слизистой оболочки полости рта и пародонта в области одной челюсти 2 2
A16.07.002.001 Восстановление зуба пломбой I, II, III, V, VI класс по Блэку с использованием стоматологических цементов <2> 1,53 1,53
A16.07.002.002 Восстановление зуба пломбой I, II, III, V, VI класс по Блэку с использование материалов химического отверждения <2> 1,95 1,95
A16.07.002.003 Восстановление зуба пломбой с нарушением контактного пункта II, III класс по Блэку с использованием стоматологических цементов <2> 1,85 1,85
A16.07.002.004 Восстановление зуба пломбой с нарушением контактного пункта II, III класс по Блэку с использованием материалов химического отверждения <2> 2,5 2,5
A16.07.002.005 Восстановление зуба пломбой IV класс по Блэку с использованием стеклоиномерных цементов <2> 2,45 2,45
A16.07.002.006 Восстановление зуба пломбой IV класс по Блэку с использованием материалов химического отверждения <2> 3,25 3,25
A16.07.002.007 Восстановление зуба пломбой из амальгамы I, V класс по Блэку <2> 1,95 1,95
A16.07.002.008 Восстановление зуба пломбой из амальгамы II класс по Блэку <2> 2,33 2,33
A16.07.002.010 Восстановление зуба пломбой I, V, VI класс по Блэку с использованием материалов из фотополимеров <2> 3,35 3,35
A16.07.002.011 Восстановление зуба пломбой с нарушением контактного пункта II, III класс по Блэку с использованием материалов из фотополимеров <2> 3,75 3,75
A16.07.002.012 Восстановление зуба пломбой IV класс по Блэку с использованием материалов из фотополимеров <2> 4 4
A16.07.002.009 Наложение временной пломбы 1,25 1,25
A16.07.091 Снятие временной пломбы 0,25 0,25
A16.07.092 Трепанация зуба, искусственной коронки 0,48 0,48
A16.07.008.001 Пломбирование корневого канала зуба пастой 1,16 1,16
A16.07.008.002 Пломбирование корневого канала зуба гуттаперчивыми штифтами 1,7 1,7
A11.07.027 Наложение девитализирующей пасты 0,03 0,03
A16.07.009 Пульпотомия (ампутация коронковой пульпы) 0,21 0,21
A16.07.010 Экстирпация пульпы 0,46 0,46
A16.07.019 Временное шинирование при заболеваниях пародонта <3> 1,98 1,98
A16.07.020.001 Удаление наддесневых и поддесневых зубных отложений в области зуба ручным методом <4> 0,32 0,32
A16.07.025.001 Избирательное полирование зуба 0,2 0,2
A22.07.002 Ультразвуковое удаление наддесневых и поддесневых зубных отложений в области зуба <4> 0,2 0,2
A16.07.030.001 Инструментальная и медикаментозная обработка хорошо проходимого корневого канала 0,92 0,92
A16.07.030.002 Инструментальная и медикаментозная обработка плохо проходимого корневого канала 1,71 1,71
A16.07.030.003 Временное пломбирование лекарственным препаратом корневого канала 0,5 0,5
A16.07.039 Закрытый кюретаж при заболеваниях пародонта в области зуба <4> 0,31 0,31
A16.07.082.001 Распломбировка корневого канала, ранее леченного пастой 2 2
A16.07.082.002 Распломбировка одного корневого канала, ранее леченного фосфатцементом/резорцин-формальдегидным методом 3,55 3,55
B01.067.001 Прием (осмотр, консультация) врача-стоматолога-хирурга первичный 1,4 1,4
B01.067.002 Прием (осмотр, консультация) врача-стоматолога-хирурга повторный 1,08 1,08
A11.03.003 Внутрикостное введение лекарственных препаратов 0,82 0,82
A15.03.007 Наложение шины при переломах костей <5> 6,87 6,87
A15.03.011 Снятие шины с одной челюсти 1,43 1,43
A15.04.002 Наложение иммобилизационной повязки при вывихах (подвывихах) суставов 2,55 2,55
A15.07.001 Наложение иммобилизационной повязки при вывихах (подвывихах) зубов 2,96 2,96
A11.07.001 Биопсия слизистой полости рта 1,15 1,15
A11.07.002 Биопсия языка 1,15 1,15
A11.07.005 Биопсия слизистой преддверия полости рта 1,15 1,15
A11.07.007 Биопсия тканей губы 1,15 1,15
A11.07.008 Пункция кисты полости рта 0,91 0,91
A11.07.009 Бужирование протоков слюнных желез 3,01 3,01
A11.07.013 Пункция слюнной железы 0,91 0,91
A11.07.014 Пункция тканей полости рта 0,91 0,91
A11.07.015 Пункция языка 0,91 0,91
A11.07.016 Биопсия слизистой ротоглотки 1,15 1,15
A11.07.018 Пункция губы 0,91 0,91
A11.07.019 Пункция патологического образования слизистой преддверия полости рта 0,91 0,91
A11.07.020 Биопсия слюнной железы 1,15 1,15
A15.01.003 Наложение повязки при операции в челюстно-лицевой области 1,06 1,06
A15.07.002 Наложение повязки при операциях в полости рта 1,06 1,06
A16.01.004 Хирургическая обработка раны или инфицированной ткани <6> 1,3 1,3
A16.01.008 Сшивание кожи и подкожной клетчатки <7> 0,84 0,84
A16.07.097 Наложение шва на слизистую оболочку рта 0,84 0,84
A16.01.012 Вскрытие и дренирование флегмоны (абсцесса) 2 2
A16.01.016 Удаление атеромы 2,33 2,33
A16.01.030 Иссечение грануляции 2,22 2,22
A16.04.018 Вправление вывиха сустава 1 1
A16.07.095.001 Остановка луночного кровотечения без наложения швов методом тампонады 1,25 1,25
A16.07.095.002 Остановка луночного кровотечения без наложения швов с использованием гемостатических материалов 1 1
A16.07.001.001 Удаление временного зуба 1,01 1,01
A16.07.001.002 Удаление постоянного зуба 1,55 1,55
A16.07.001.003 Удаление зуба сложное с разъединением корней 2,58 2,58
A16.07.024 Операция удаления ретинированного, дистопированного или сверхкомплектного зуба 3 3
A16.07.040 Лоскутная операция в полости рта <8> 2,7 2,7
A16.07.007 Резекция верхушки корня 3,78 3,78
A16.07.011 Вскрытие подслизистого или поднадкостничного очага воспаления в полости рта 1 1
A16.07.012 Вскрытие и дренирование одонтогенного абсцесса 0,97 0,97
A16.07.013 Отсроченный кюретаж лунки удаленного зуба 1,03 1,03
A16.07.014 Вскрытие и дренирование абсцесса полости рта 2,14 2,14
A16.07.015 Вскрытие и дренирование очага воспаления мягких тканей лица или дна полости рта 2,41 2,41
A16.07.016 Цистотомия или цистэктомия 3,89 3,89
A16.07.017.002 Коррекция объема и формы альвеолярного отростка <9> 1,22 1,22
A16.07.026 Гингивэктомия 4,3 4,3
A16.07.089 Гингивопластика 4,3 4,3
A16.07.038 Открытый кюретаж при заболеваниях пародонта в области зуба <4> 1 1
A16.07.042 Пластика уздечки верхней губы 2,1 2,1
A16.07.043 Пластика уздечки нижней губы 2,1 2,1
A16.07.044 Пластика уздечки языка 1 1
A16.07.096 Пластика перфорации верхнечелюстной пазухи 4 4
A16.07.008.003 Закрытие перфорации стенки корневого канала зуба 1,8 1,8
A16.07.058 Лечение перикоронита (промывание, рассечение и/или иссечение капюшона) 1,04 1,04
A16.07.059 Гемисекция зуба 2,6 2,6
A11.07.025 Промывание протока слюнной железы 1,85 1,85
A16.22.012 Удаление камней из протоков слюнных желез 3 3
A16.30.064 Иссечение свища мягких тканей 2,25 2,25
A16.30.069 Снятие послеоперационных швов (лигатур) 0,38 0,38
B01.054.001 Осмотр (консультация) врача-физиотерапевта 1,5 1,5
A17.07.001 Электрофорез лекарственных препаратов при патологии полости рта и зубов 1,5 1,5
A17.07.003 Диатермокоагуляция при патологии полости рта и зубов 0,5 0,5
A17.07.004 Ионофорез при патологии полости рта и зубов 1,01 1,01
A17.07.006 Депофорез корневого канала зуба 1,5 1,5
A17.07.007 Дарсонвализация при патологии полости рта 2 2
A17.07.008 Флюктуоризация при патологии полости рта и зубов 1,67 1,67
A17.07.009 Воздействие электрическими полями при патологии полости рта и зубов 1 1
A17.07.010 Воздействие токами надтональной частоты (ультратонотерапия) при патологии полости рта и зубов 1 1
A17.07.011 Воздействие токами ультравысокой частоты при патологии полости рта и зубов 1,25 1,25
A17.07.012 Ультравысокочастотная индуктотермия при патологии полости рта и зубов 1,25 1,25
A20.07.001 Гидроорошение при заболевании полости рта и зубов 1,5 1,5
A21.07.001 Вакуум-терапия в стоматологии 0,68 0,68
A22.07.005 Ультрафиолетовое облучение ротоглотки 1,25 1,25
A22.07.007 Ультрафонофорез лекарственных препаратов на область десен 1 1
Ортодонтия
B01.063.001 Прием (осмотр, консультация) врача-ортодонта первичный   4,21
B01.063.002 Прием (осмотр, консультация) врача-ортодонта повторный   1,38
B04.063.001 Диспансерный прием (осмотр, консультация) врача-ортодонта   1,69
A02.07.004 Антропометрические исследования   1,1
A23.07.002.027 Изготовление контрольной модели   2,5
A02.07.010.001 Снятие оттиска с одной челюсти   1,4
A02.07.010 Исследование на диагностических моделях челюстей   2
A23.07.001.001 Коррекция съемного ортодонического аппарата   1,75
A23.07.003 Припасовка и наложение ортодонтического аппарата   1,8
A23.07.001.002 Ремонт ортодонического аппарата   1,55
A23.07.002.037 Починка перелома базиса самотвердеющей пластмассой   1,75
A23.07.002.045 Изготовление дуги вестибулярной с дополнительными изгибами   3,85
A23.07.002.073 Изготовление дуги вестибулярной   2,7
A23.07.002.051 Изготовление кольца ортодонтического   4
A23.07.002.055 Изготовление коронки ортодонтической   4
A23.07.002.058 Изготовление пластинки вестибулярной   2,7
A23.07.002.059 Изготовление пластинки с заслоном для языка (без кламмеров)   2,5
A23.07.002.060 Изготовление пластинки с окклюзионными накладками   18,0
A16.07.053.002 Распил ортодонтического аппарата через винт   1
Профилактические услуги
B04.064.002 Профилактический прием (осмотр, консультация) врача-стоматолога детского   1,57
B04.065.006 Профилактический прием (осмотр, консультация) врача-стоматолога 1,3 1,57
B04.065.002 Профилактический прием (осмотр, консультация) врача-стоматолога-терапевта 1,3  
B04.065.004 Профилактический прием (осмотр, консультация) зубного врача 1,3 1,3
A11.07.012 Глубокое фторирование эмали зуба 0,3 0,3
A11.07.024 Местное применение реминерализующих препаратов в области зуба <4> 0,7 0,7
A13.30.007 Обучение гигиене полости рта 0,87 0,87
A16.07.057 Запечатывание фиссуры зуба герметиком 1 1

Примечания:

<1> Одного квадранта.

<2> Включая полирование пломбы.

<3> Трех зубов.

<4> Одного зуба.

<5> На одной челюсти.

<6> Без наложения швов.

<7> Один шов.

<8> В области двух-трех зубов.

<9> В области одного-двух зубов.

Приложение 4

ПЕРЕЧЕНЬ КСГ, ИСПОЛЬЗУЕМЫЙ ПРИ ОПЛАТЕ ПРЕРВАННЫХ СЛУЧАЕВ ОКАЗАНИЯ МЕДИЦИНСКОЙ ПОМОЩИ

Таблица 1. Перечень КСГ с оптимальной длительностью лечения до 3 дней включительно

N КСГ Наименование КСГ
Круглосуточный стационар
st02.001 Осложнения, связанные с беременностью
st02.002 Беременность, закончившаяся абортивным исходом
st02.003 Родоразрешение
st02.004 Кесарево сечение
st02.010 Операции на женских половых органах (уровень 1)
st02.011 Операции на женских половых органах (уровень 2)
st03.002 Ангионевротический отек, анафилактический шок
st05.008 Лекарственная терапия при доброкачественных заболеваниях крови и пузырном заносе <*>
st08.001 Лекарственная терапия при злокачественных новообразованиях других локализаций (кроме лимфоидной и кроветворной тканей), дети <*>
st08.002 Лекарственная терапия при остром лейкозе, дети <*>
st08.003 Лекарственная терапия при других злокачественных новообразованиях лимфоидной и кроветворной тканей, дети <*>
st12.010 Респираторные инфекции верхних дыхательных путей с осложнениями, взрослые
st12.011 Респираторные инфекции верхних дыхательных путей, дети
st14.002 Операции на кишечнике и анальной области (уровень 2)
st15.008 Неврологические заболевания, лечение с применением ботулотоксина (уровень 1) <*>
st15.009 Неврологические заболевания, лечение с применением ботулотоксина (уровень 2) <*>
st16.005 Сотрясение головного мозга
st19.007 Операции при злокачественных новообразованиях почки и мочевыделительной системы (уровень 2)
st19.038 Установка, замена порт-системы (катетера) для лекарственной терапии злокачественных новообразований
st19.125 Лекарственная терапия при злокачественных новообразованиях (кроме лимфоидной и кроветворной тканей), взрослые (уровень 1) <*>
st19.126 Лекарственная терапия при злокачественных новообразованиях (кроме лимфоидной и кроветворной тканей), взрослые (уровень 2) <*>
st19.127 Лекарственная терапия при злокачественных новообразованиях (кроме лимфоидной и кроветворной тканей), взрослые (уровень 3) <*>
st19.128 Лекарственная терапия при злокачественных новообразованиях (кроме лимфоидной и кроветворной тканей), взрослые (уровень 4) <*>
st19.129 Лекарственная терапия при злокачественных новообразованиях (кроме лимфоидной и кроветворной тканей), взрослые (уровень 5) <*>
st19.130 Лекарственная терапия при злокачественных новообразованиях (кроме лимфоидной и кроветворной тканей), взрослые (уровень 6) <*>
st19.131 Лекарственная терапия при злокачественных новообразованиях (кроме лимфоидной и кроветворной тканей), взрослые (уровень 7) <*>
st19.132 Лекарственная терапия при злокачественных новообразованиях (кроме лимфоидной и кроветворной тканей), взрослые (уровень 8) <*>
st19.133 Лекарственная терапия при злокачественных новообразованиях (кроме лимфоидной и кроветворной тканей), взрослые (уровень 9) <*>
st19.134 Лекарственная терапия при злокачественных новообразованиях (кроме лимфоидной и кроветворной тканей), взрослые (уровень 10) <*>
st19.135 Лекарственная терапия при злокачественных новообразованиях (кроме лимфоидной и кроветворной тканей), взрослые (уровень 11) <*>
st19.136 Лекарственная терапия при злокачественных новообразованиях (кроме лимфоидной и кроветворной тканей), взрослые (уровень 12) <*>
st19.137 Лекарственная терапия при злокачественных новообразованиях (кроме лимфоидной и кроветворной тканей), взрослые (уровень 13) <*>
st19.138 Лекарственная терапия при злокачественных новообразованиях (кроме лимфоидной и кроветворной тканей), взрослые (уровень 14) <*>
st19.139 Лекарственная терапия при злокачественных новообразованиях (кроме лимфоидной и кроветворной тканей), взрослые (уровень 15) <*>
st19.140 Лекарственная терапия при злокачественных новообразованиях (кроме лимфоидной и кроветворной тканей), взрослые (уровень 16) <*>
st19.141 Лекарственная терапия при злокачественных новообразованиях (кроме лимфоидной и кроветворной тканей), взрослые (уровень 17) <*>
st19.142 Лекарственная терапия при злокачественных новообразованиях (кроме лимфоидной и кроветворной тканей), взрослые (уровень 18) <*>
st19.143 Лекарственная терапия при злокачественных новообразованиях (кроме лимфоидной и кроветворной тканей), взрослые (уровень 19) <*>
st19.082 Лучевая терапия (уровень 8)
st19.090 ЗНО лимфоидной и кроветворной тканей без специального противоопухолевого лечения (уровень 1)
st19.094 ЗНО лимфоидной и кроветворной тканей, лекарственная терапия, взрослые (уровень 1)
st19.097 ЗНО лимфоидной и кроветворной тканей, лекарственная терапия с применением отдельных препаратов (по перечню), взрослые (уровень 1)
st19.100 ЗНО лимфоидной и кроветворной тканей, лекарственная терапия с применением отдельных препаратов (по перечню), взрослые (уровень 4)
st20.005 Операции на органе слуха, придаточных пазухах носа и верхних дыхательных путях (уровень 1)
st20.006 Операции на органе слуха, придаточных пазухах носа и верхних дыхательных путях (уровень 2)
st20.010 Замена речевого процессора
st21.001 Операции на органе зрения (уровень 1)
st21.002 Операции на органе зрения (уровень 2)
st21.003 Операции на органе зрения (уровень 3)
st21.004 Операции на органе зрения (уровень 4)
st21.005 Операции на органе зрения (уровень 5)
st21.006 Операции на органе зрения (уровень 6)
st21.009 Операции на органе зрения (факоэмульсификация с имплантацией ИОЛ)
st25.004 Диагностическое обследование сердечно-сосудистой системы
st27.012 Отравления и другие воздействия внешних причин
st30.006 Операции на мужских половых органах, взрослые (уровень 1)
st30.010 Операции на почке и мочевыделительной системе, взрослые (уровень 1)
st30.011 Операции на почке и мочевыделительной системе, взрослые (уровень 2)
st30.012 Операции на почке и мочевыделительной системе, взрослые (уровень 3)
st30.014 Операции на почке и мочевыделительной системе, взрослые (уровень 5)
st31.017 Доброкачественные новообразования, новообразования in situ кожи, жировой ткани и другие болезни кожи
st32.002 Операции на желчном пузыре и желчевыводящих путях (уровень 2)
st32.012 Аппендэктомия, взрослые (уровень 2)
st32.016 Другие операции на органах брюшной полости (уровень 1)
st34.002 Операции на органах полости рта (уровень 1)
st36.001 Комплексное лечение с применением препаратов иммуноглобулина <*>
st36.020 Оказание услуг диализа (только для федеральных медицинских организаций) (уровень 1)
st36.021 Оказание услуг диализа (только для федеральных медицинских организаций) (уровень 2)
st36.022 Оказание услуг диализа (только для федеральных медицинских организаций) (уровень 3)
st36.023 Оказание услуг диализа (только для федеральных медицинских организаций) (уровень 4)
st36.007 Установка, замена, заправка помп для лекарственных препаратов
st36.009 Реинфузия аутокрови
st36.010 Баллонная внутриаортальная контрпульсация
st36.011 Экстракорпоральная мембранная оксигенация
st36.024 Радиойодтерапия
st36.025 Проведение иммунизации против респираторно-синцитиальной вирусной инфекции (уровень 1)
st36.026 Проведение иммунизации против респираторно-синцитиальной вирусной инфекции (уровень 2)
st36.028 Лечение с применением генно-инженерных биологических препаратов и селективных иммунодепрессантов (уровень 1) <*>
st36.029 Лечение с применением генно-инженерных биологических препаратов и селективных иммунодепрессантов (уровень 2) <*>
st36.030 Лечение с применением генно-инженерных биологических препаратов и селективных иммунодепрессантов (уровень 3) <*>
st36.031 Лечение с применением генно-инженерных биологических препаратов и селективных иммунодепрессантов (уровень 4) <*>
st36.032 Лечение с применением генно-инженерных биологических препаратов и селективных иммунодепрессантов (уровень 5) <*>
st36.033 Лечение с применением генно-инженерных биологических препаратов и селективных иммунодепрессантов (уровень 6) <*>
st36.034 Лечение с применением генно-инженерных биологических препаратов и селективных иммунодепрессантов (уровень 7) <*>
st36.035 Лечение с применением генно-инженерных биологических препаратов и селективных иммунодепрессантов (уровень 8) <*>
st36.036 Лечение с применением генно-инженерных биологических препаратов и селективных иммунодепрессантов (уровень 9) <*>
st36.037 Лечение с применением генно-инженерных биологических препаратов и селективных иммунодепрессантов (уровень 10) <*>
st36.038 Лечение с применением генно-инженерных биологических препаратов и селективных иммунодепрессантов (уровень 11) <*>
st36.039 Лечение с применением генно-инженерных биологических препаратов и селективных иммунодепрессантов (уровень 12) <*>
st36.040 Лечение с применением генно-инженерных биологических препаратов и селективных иммунодепрессантов (уровень 13) <*>
st36.041 Лечение с применением генно-инженерных биологических препаратов и селективных иммунодепрессантов (уровень 14) <*>
st36.042 Лечение с применением генно-инженерных биологических препаратов и селективных иммунодепрессантов (уровень 15) <*>
st36.043 Лечение с применением генно-инженерных биологических препаратов и селективных иммунодепрессантов (уровень 16) <*>
st36.044 Лечение с применением генно-инженерных биологических препаратов и селективных иммунодепрессантов (уровень 17) <*>
st36.045 Лечение с применением генно-инженерных биологических препаратов и селективных иммунодепрессантов (уровень 18) <*>
st36.046 Лечение с применением генно-инженерных биологических препаратов и селективных иммунодепрессантов (уровень 19) <*>
st36.047 Лечение с применением генно-инженерных биологических препаратов и селективных иммунодепрессантов (уровень 20) <*>
Дневной стационар
ds02.001 Осложнения беременности, родов, послеродового периода
ds02.006 Искусственное прерывание беременности (аборт)
ds02.007 Аборт медикаментозный
ds02.008 Экстракорпоральное оплодотворение (уровень 1)
ds05.005 Лекарственная терапия при доброкачественных заболеваниях крови и пузырном заносе <*>
ds08.001 Лекарственная терапия при злокачественных новообразованиях других локализаций (кроме лимфоидной и кроветворной тканей), дети <*>
ds08.002 Лекарственная терапия при остром лейкозе, дети <*>
ds08.003 Лекарственная терапия при других злокачественных новообразованиях лимфоидной и кроветворной тканей, дети <*>
ds15.002 Неврологические заболевания, лечение с применением ботулотоксина (уровень 1) <*>
ds15.003 Неврологические заболевания, лечение с применением ботулотоксина (уровень 2) <*>
ds19.028 Установка, замена порт-системы (катетера) для лекарственной терапии злокачественных новообразований
ds19.029 Госпитализация в диагностических целях с постановкой (подтверждением) диагноза злокачественного новообразования с использованием ПЭТ КТ (только для федеральных медицинских организаций)
ds19.033 Госпитализация в диагностических целях с проведением биопсии и последующим проведением молекулярно-генетического и (или) иммуногистохимического исследования
ds19.097 Лекарственная терапия при злокачественных новообразованиях (кроме лимфоидной и кроветворной тканей), взрослые (уровень 1) <*>
ds19.098 Лекарственная терапия при злокачественных новообразованиях (кроме лимфоидной и кроветворной тканей), взрослые (уровень 2) <*>
ds19.099 Лекарственная терапия при злокачественных новообразованиях (кроме лимфоидной и кроветворной тканей), взрослые (уровень 3) <*>
ds19.100 Лекарственная терапия при злокачественных новообразованиях (кроме лимфоидной и кроветворной тканей), взрослые (уровень 4) <*>
ds19.101 Лекарственная терапия при злокачественных новообразованиях (кроме лимфоидной и кроветворной тканей), взрослые (уровень 5) <*>
ds19.102 Лекарственная терапия при злокачественных новообразованиях (кроме лимфоидной и кроветворной тканей), взрослые (уровень 6) <*>
ds19.103 Лекарственная терапия при злокачественных новообразованиях (кроме лимфоидной и кроветворной тканей), взрослые (уровень 7) <*>
ds19.104 Лекарственная терапия при злокачественных новообразованиях (кроме лимфоидной и кроветворной тканей), взрослые (уровень 8) <*>
ds19.105 Лекарственная терапия при злокачественных новообразованиях (кроме лимфоидной и кроветворной тканей), взрослые (уровень 9) <*>
ds19.106 Лекарственная терапия при злокачественных новообразованиях (кроме лимфоидной и кроветворной тканей), взрослые (уровень 10) <*>
ds19.107 Лекарственная терапия при злокачественных новообразованиях (кроме лимфоидной и кроветворной тканей), взрослые (уровень 11) <*>
ds19.108 Лекарственная терапия при злокачественных новообразованиях (кроме лимфоидной и кроветворной тканей), взрослые (уровень 12) <*>
ds19.109 Лекарственная терапия при злокачественных новообразованиях (кроме лимфоидной и кроветворной тканей), взрослые (уровень 13) <*>
ds19.110 Лекарственная терапия при злокачественных новообразованиях (кроме лимфоидной и кроветворной тканей), взрослые (уровень 14) <*>
ds19.111 Лекарственная терапия при злокачественных новообразованиях (кроме лимфоидной и кроветворной тканей), взрослые (уровень 15) <*>
ds19.112 Лекарственная терапия при злокачественных новообразованиях (кроме лимфоидной и кроветворной тканей), взрослые (уровень 16) <*>
ds19.113 Лекарственная терапия при злокачественных новообразованиях (кроме лимфоидной и кроветворной тканей), взрослые (уровень 17) <*>
ds19.114 Лекарственная терапия при злокачественных новообразованиях (кроме лимфоидной и кроветворной тканей), взрослые (уровень 18) <*>
ds19.115 Лекарственная терапия при злокачественных новообразованиях (кроме лимфоидной и кроветворной тканей), взрослые (уровень 19) <*>
ds19.057 Лучевая терапия (уровень 8)
ds19.063 ЗНО лимфоидной и кроветворной тканей без специального противоопухолевого лечения (уровень 1)
ds19.067 ЗНО лимфоидной и кроветворной тканей, лекарственная терапия, взрослые (уровень 1)
ds19.071 ЗНО лимфоидной и кроветворной тканей, лекарственная терапия с применением отдельных препаратов (по перечню), взрослые (уровень 1)
ds19.075 ЗНО лимфоидной и кроветворной тканей, лекарственная терапия с применением отдельных препаратов (по перечню), взрослые (уровень 5)
ds20.002 Операции на органе слуха, придаточных пазухах носа и верхних дыхательных путях (уровень 1)
ds20.003 Операции на органе слуха, придаточных пазухах носа и верхних дыхательных путях (уровень 2)
ds20.006 Замена речевого процессора
ds21.002 Операции на органе зрения (уровень 1)
ds21.003 Операции на органе зрения (уровень 2)
ds21.004 Операции на органе зрения (уровень 3)
ds21.005 Операции на органе зрения (уровень 4)
ds21.006 Операции на органе зрения (уровень 5)
ds21.007 Операции на органе зрения (факоэмульсификация с имплантацией ИОЛ)
ds25.001 Диагностическое обследование сердечно-сосудистой системы
ds27.001 Отравления и другие воздействия внешних причин
ds34.002 Операции на органах полости рта (уровень 1)
ds36.001 Комплексное лечение с применением препаратов иммуноглобулина <*>
ds36.011 Оказание услуг диализа (только для федеральных медицинских организаций)
ds36.012 Проведение иммунизации против респираторно-синцитиальной вирусной инфекции (уровень 1)
ds36.013 Проведение иммунизации против респираторно-синцитиальной вирусной инфекции (уровень 2)
ds36.015 Лечение с применением генно-инженерных биологических препаратов и селективных иммунодепрессантов (уровень 1) <*>
ds36.016 Лечение с применением генно-инженерных биологических препаратов и селективных иммунодепрессантов (уровень 2) <*>
ds36.017 Лечение с применением генно-инженерных биологических препаратов и селективных иммунодепрессантов (уровень 3) <*>
ds36.018 Лечение с применением генно-инженерных биологических препаратов и селективных иммунодепрессантов (уровень 4) <*>
ds36.019 Лечение с применением генно-инженерных биологических препаратов и селективных иммунодепрессантов (уровень 5) <*>
ds36.020 Лечение с применением генно-инженерных биологических препаратов и селективных иммунодепрессантов (уровень 6) <*>
ds36.021 Лечение с применением генно-инженерных биологических препаратов и селективных иммунодепрессантов (уровень 7) <*>
ds36.022 Лечение с применением генно-инженерных биологических препаратов и селективных иммунодепрессантов (уровень 8) <*>
ds36.023 Лечение с применением генно-инженерных биологических препаратов и селективных иммунодепрессантов (уровень 9) <*>
ds36.024 Лечение с применением генно-инженерных биологических препаратов и селективных иммунодепрессантов (уровень 10) <*>
ds36.025 Лечение с применением генно-инженерных биологических препаратов и селективных иммунодепрессантов (уровень 11) <*>
ds36.026 Лечение с применением генно-инженерных биологических препаратов и селективных иммунодепрессантов (уровень 12) <*>
ds36.027 Лечение с применением генно-инженерных биологических препаратов и селективных иммунодепрессантов (уровень 13) <*>
ds36.028 Лечение с применением генно-инженерных биологических препаратов и селективных иммунодепрессантов (уровень 14) <*>
ds36.029 Лечение с применением генно-инженерных биологических препаратов и селективных иммунодепрессантов (уровень 15) <*>
ds36.030 Лечение с применением генно-инженерных биологических препаратов и селективных иммунодепрессантов (уровень 16) <*>
ds36.031 Лечение с применением генно-инженерных биологических препаратов и селективных иммунодепрессантов (уровень 17) <*>
ds36.032 Лечение с применением генно-инженерных биологических препаратов и селективных иммунодепрессантов (уровень 18) <*>
ds36.033 Лечение с применением генно-инженерных биологических препаратов и селективных иммунодепрессантов (уровень 19) <*>
ds36.034 Лечение с применением генно-инженерных биологических препаратов и селективных иммунодепрессантов (уровень 20) <*>
ds36.035 Лечение с применением методов афереза (каскадная плазмофильтрация, липидная фильтрация, иммуносорбция) в случае отсутствия эффективности базисной терапии

<*> При условии соблюдения режима введения лекарственных препаратов согласно инструкциям по применению лекарственных препаратов для медицинского применения.

Таблица 2. Перечень КСГ, которые предполагают хирургическое вмешательство или тромболитическую терапию

N КСГ Наименование КСГ
В стационарных условиях
st02.003 Родоразрешение
st02.004 Кесарево сечение
st02.010 Операции на женских половых органах (уровень 1)
st02.011 Операции на женских половых органах (уровень 2)
st02.012 Операции на женских половых органах (уровень 3)
st02.013 Операции на женских половых органах (уровень 4)
st02.014 Слинговые операции при недержании мочи
st09.001 Операции на мужских половых органах, дети (уровень 1)
st09.002 Операции на мужских половых органах, дети (уровень 2)
st09.003 Операции на мужских половых органах, дети (уровень 3)
st09.004 Операции на мужских половых органах, дети (уровень 4)
st09.005 Операции на почке и мочевыделительной системе, дети (уровень 1)
st09.006 Операции на почке и мочевыделительной системе, дети (уровень 2)
st09.007 Операции на почке и мочевыделительной системе, дети (уровень 3)
st09.008 Операции на почке и мочевыделительной системе, дети (уровень 4)
st09.009 Операции на почке и мочевыделительной системе, дети (уровень 5)
st09.010 Операции на почке и мочевыделительной системе, дети (уровень 6)
st10.001 Детская хирургия (уровень 1)
st10.002 Детская хирургия (уровень 2)
st10.003 Аппендэктомия, дети (уровень 1)
st10.004 Аппендэктомия, дети (уровень 2)
st10.005 Операции по поводу грыж, дети (уровень 1)
st10.006 Операции по поводу грыж, дети (уровень 2)
st10.007 Операции по поводу грыж, дети (уровень 3)
st13.002 Нестабильная стенокардия, инфаркт миокарда, легочная эмболия (уровень 2)
st13.005 Нарушения ритма и проводимости (уровень 2)
st13.007 Эндокардит, миокардит, перикардит, кардиомиопатии (уровень 2)
st13.008 Инфаркт миокарда, легочная эмболия, лечение с применением тромболитической терапии (уровень 1)
st13.009 Инфаркт миокарда, легочная эмболия, лечение с применением тромболитической терапии (уровень 2)
st13.010 Инфаркт миокарда, легочная эмболия, лечение с применением тромболитической терапии (уровень 3)
st14.001 Операции на кишечнике и анальной области (уровень 1)
st14.002 Операции на кишечнике и анальной области (уровень 2)
st14.003 Операции на кишечнике и анальной области (уровень 3)
st15.015 Инфаркт мозга (уровень 2)
st15.016 Инфаркт мозга (уровень 3)
st16.007 Операции на центральной нервной системе и головном мозге (уровень 1)
st16.008 Операции на центральной нервной системе и головном мозге (уровень 2)
st16.009 Операции на периферической нервной системе (уровень 1)
st16.010 Операции на периферической нервной системе (уровень 2)
st16.011 Операции на периферической нервной системе (уровень 3)
st18.002 Формирование, имплантация, реконструкция, удаление, смена доступа для диализа
st19.001 Операции на женских половых органах при злокачественных новообразованиях (уровень 1)
st19.002 Операции на женских половых органах при злокачественных новообразованиях (уровень 2)
st19.003 Операции на женских половых органах при злокачественных новообразованиях (уровень 3)
st19.004 Операции на кишечнике и анальной области при злокачественных новообразованиях (уровень 1)
st19.005 Операции на кишечнике и анальной области при злокачественных новообразованиях (уровень 2)
st19.006 Операции при злокачественных новообразованиях почки и мочевыделительной системы (уровень 1)
st19.007 Операции при злокачественных новообразованиях почки и мочевыделительной системы (уровень 2)
st19.008 Операции при злокачественных новообразованиях почки и мочевыделительной системы (уровень 3)
st19.009 Операции при злокачественных новообразованиях кожи (уровень 1)
st19.010 Операции при злокачественных новообразованиях кожи (уровень 2)
st19.011 Операции при злокачественных новообразованиях кожи (уровень 3)
st19.012 Операции при злокачественном новообразовании щитовидной железы (уровень 1)
st19.013 Операции при злокачественном новообразовании щитовидной железы (уровень 2)
st19.014 Мастэктомия, другие операции при злокачественном новообразовании молочной железы (уровень 1)
st19.015 Мастэктомия, другие операции при злокачественном новообразовании молочной железы (уровень 2)
st19.016 Операции при злокачественном новообразовании желчного пузыря, желчных протоков и поджелудочной железы (уровень 1)
st19.017 Операции при злокачественном новообразовании желчного пузыря, желчных протоков и поджелудочной железы (уровень 2)
st19.018 Операции при злокачественном новообразовании пищевода, желудка (уровень 1)
st19.019 Операции при злокачественном новообразовании пищевода, желудка (уровень 2)
st19.020 Операции при злокачественном новообразовании пищевода, желудка (уровень 3)
st19.021 Другие операции при злокачественном новообразовании брюшной полости
st19.022 Операции на органе слуха, придаточных пазухах носа и верхних дыхательных путях при злокачественных новообразованиях
st19.023 Операции на нижних дыхательных путях и легочной ткани при злокачественных новообразованиях (уровень 1)
st19.024 Операции на нижних дыхательных путях и легочной ткани при злокачественных новообразованиях (уровень 2)
st19.025 Операции при злокачественных новообразованиях мужских половых органов (уровень 1)
st19.026 Операции при злокачественных новообразованиях мужских половых органов (уровень 2)
st19.123 Прочие операции при ЗНО (уровень 1)
st19.124 Прочие операции при ЗНО (уровень 2)
st19.038 Установка, замена порт-системы (катетера) для лекарственной терапии злокачественных новообразований
st19.104 Эвисцерация малого таза при лучевых повреждениях
st20.005 Операции на органе слуха, придаточных пазухах носа и верхних дыхательных путях (уровень 1)
st20.006 Операции на органе слуха, придаточных пазухах носа и верхних дыхательных путях (уровень 2)
st20.007 Операции на органе слуха, придаточных пазухах носа и верхних дыхательных путях (уровень 3)
st20.008 Операции на органе слуха, придаточных пазухах носа и верхних дыхательных путях (уровень 4)
st20.009 Операции на органе слуха, придаточных пазухах носа и верхних дыхательных путях (уровень 5)
st20.010 Замена речевого процессора
st21.001 Операции на органе зрения (уровень 1)
st21.002 Операции на органе зрения (уровень 2)
st21.003 Операции на органе зрения (уровень 3)
st21.004 Операции на органе зрения (уровень 4)
st21.005 Операции на органе зрения (уровень 5)
st21.006 Операции на органе зрения (уровень 6)
st21.009 Операции на органе зрения (факоэмульсификация с имплантацией ИОЛ)
st24.004 Ревматические болезни сердца (уровень 2)
st25.004 Диагностическое обследование сердечно-сосудистой системы
st25.005 Операции на сердце и коронарных сосудах (уровень 1)
st25.006 Операции на сердце и коронарных сосудах (уровень 2)
st25.007 Операции на сердце и коронарных сосудах (уровень 3)
st25.008 Операции на сосудах (уровень 1)
st25.009 Операции на сосудах (уровень 2)
st25.010 Операции на сосудах (уровень 3)
st25.011 Операции на сосудах (уровень 4)
st25.012 Операции на сосудах (уровень 5)
st27.007 Стенокардия (кроме нестабильной), хроническая ишемическая болезнь сердца (уровень 2)
st27.009 Другие болезни сердца (уровень 2)
st28.002 Операции на нижних дыхательных путях и легочной ткани, органах средостения (уровень 1)
st28.003 Операции на нижних дыхательных путях и легочной ткани, органах средостения (уровень 2)
st28.004 Операции на нижних дыхательных путях и легочной ткани, органах средостения (уровень 3)
st28.005 Операции на нижних дыхательных путях и легочной ткани, органах средостения (уровень 4)
st29.007 Тяжелая множественная и сочетанная травма (политравма)
st29.008 Эндопротезирование суставов
st29.009 Операции на костно-мышечной системе и суставах (уровень 1)
st29.010 Операции на костно-мышечной системе и суставах (уровень 2)
st29.011 Операции на костно-мышечной системе и суставах (уровень 3)
st29.012 Операции на костно-мышечной системе и суставах (уровень 4)
st29.013 Операции на костно-мышечной системе и суставах (уровень 5)
st30.006 Операции на мужских половых органах, взрослые (уровень 1)
st30.007 Операции на мужских половых органах, взрослые (уровень 2)
st30.008 Операции на мужских половых органах, взрослые (уровень 3)
st30.009 Операции на мужских половых органах, взрослые (уровень 4)
st30.010 Операции на почке и мочевыделительной системе, взрослые (уровень 1)
st30.011 Операции на почке и мочевыделительной системе, взрослые (уровень 2)
st30.012 Операции на почке и мочевыделительной системе, взрослые (уровень 3)
st30.013 Операции на почке и мочевыделительной системе, взрослые (уровень 4)
st30.014 Операции на почке и мочевыделительной системе, взрослые (уровень 5)
st30.015 Операции на почке и мочевыделительной системе, взрослые (уровень 6)
st31.002 Операции на коже, подкожной клетчатке, придатках кожи (уровень 1)
st31.003 Операции на коже, подкожной клетчатке, придатках кожи (уровень 2)
st31.004 Операции на коже, подкожной клетчатке, придатках кожи (уровень 3)
st31.005 Операции на коже, подкожной клетчатке, придатках кожи (уровень 4)
st31.006 Операции на органах кроветворения и иммунной системы (уровень 1)
st31.007 Операции на органах кроветворения и иммунной системы (уровень 2)
st31.008 Операции на органах кроветворения и иммунной системы (уровень 3)
st31.009 Операции на эндокринных железах, кроме гипофиза (уровень 1)
st31.010 Операции на эндокринных железах, кроме гипофиза (уровень 2)
st31.015 Остеомиелит (уровень 3)
st31.019 Операции на молочной железе (кроме злокачественных новообразований)
st32.001 Операции на желчном пузыре и желчевыводящих путях (уровень 1)
st32.002 Операции на желчном пузыре и желчевыводящих путях (уровень 2)
st32.003 Операции на желчном пузыре и желчевыводящих путях (уровень 3)
st32.004 Операции на желчном пузыре и желчевыводящих путях (уровень 4)
st32.005 Операции на печени и поджелудочной железе (уровень 1)
st32.006 Операции на печени и поджелудочной железе (уровень 2)
st32.007 Панкреатит, хирургическое лечение
st32.008 Операции на пищеводе, желудке, двенадцатиперстной кишке (уровень 1)
st32.009 Операции на пищеводе, желудке, двенадцатиперстной кишке (уровень 2)
st32.010 Операции на пищеводе, желудке, двенадцатиперстной кишке (уровень 3)
st32.011 Аппендэктомия, взрослые (уровень 1)
st32.012 Аппендэктомия, взрослые (уровень 2)
st32.013 Операции по поводу грыж, взрослые (уровень 1)
st32.014 Операции по поводу грыж, взрослые (уровень 2)
st32.015 Операции по поводу грыж, взрослые (уровень 3)
st32.019 Операции по поводу грыж, взрослые (уровень 4)
st32.016 Другие операции на органах брюшной полости (уровень 1)
st32.017 Другие операции на органах брюшной полости (уровень 2)
st32.018 Другие операции на органах брюшной полости (уровень 3)
st34.002 Операции на органах полости рта (уровень 1)
st34.003 Операции на органах полости рта (уровень 2)
st34.004 Операции на органах полости рта (уровень 3)
st34.005 Операции на органах полости рта (уровень 4)
st36.009 Реинфузия аутокрови
st36.010 Баллонная внутриаортальная контрпульсация
st36.011 Экстракорпоральная мембранная оксигенация
В условиях дневного стационара
ds02.006 Искусственное прерывание беременности (аборт)
ds02.003 Операции на женских половых органах (уровень 1)
ds02.004 Операции на женских половых органах (уровень 2)
ds09.001 Операции на мужских половых органах, дети
ds09.002 Операции на почке и мочевыделительной системе, дети
ds10.001 Операции по поводу грыж, дети
ds13.002 Болезни системы кровообращения с применением инвазивных методов
ds14.001 Операции на кишечнике и анальной области (уровень 1)
ds14.002 Операции на кишечнике и анальной области (уровень 2)
ds16.002 Операции на периферической нервной системе
ds18.003 Формирование, имплантация, удаление, смена доступа для диализа
ds19.016 Операции при злокачественных новообразованиях кожи (уровень 1)
ds19.017 Операции при злокачественных новообразованиях кожи (уровень 2)
ds19.028 Установка, замена порт-системы (катетера) для лекарственной терапии злокачественных новообразований
ds20.002 Операции на органе слуха, придаточных пазухах носа и верхних дыхательных путях (уровень 1)
ds20.003 Операции на органе слуха, придаточных пазухах носа и верхних дыхательных путях (уровень 2)
ds20.004 Операции на органе слуха, придаточных пазухах носа и верхних дыхательных путях (уровень 3)
ds20.005 Операции на органе слуха, придаточных пазухах носа и верхних дыхательных путях (уровень 4)
ds20.006 Замена речевого процессора
ds21.002 Операции на органе зрения (уровень 1)
ds21.003 Операции на органе зрения (уровень 2)
ds21.004 Операции на органе зрения (уровень 3)
ds21.005 Операции на органе зрения (уровень 4)
ds21.006 Операции на органе зрения (уровень 5)
ds21.007 Операции на органе зрения (факоэмульсификация с имплантацией ИОЛ)
ds25.001 Диагностическое обследование сердечно-сосудистой системы
ds25.002 Операции на сосудах (уровень 1)
ds25.003 Операции на сосудах (уровень 2)
ds28.001 Операции на нижних дыхательных путях и легочной ткани, органах средостения
ds29.001 Операции на костно-мышечной системе и суставах (уровень 1)
ds29.002 Операции на костно-мышечной системе и суставах (уровень 2)
ds29.003 Операции на костно-мышечной системе и суставах (уровень 3)
ds30.002 Операции на мужских половых органах, взрослые (уровень 1)
ds30.003 Операции на мужских половых органах, взрослые (уровень 2)
ds30.004 Операции на почке и мочевыделительной системе, взрослые (уровень 1)
ds30.005 Операции на почке и мочевыделительной системе, взрослые (уровень 2)
ds30.006 Операции на почке и мочевыделительной системе, взрослые (уровень 3)
ds31.002 Операции на коже, подкожной клетчатке, придатках кожи (уровень 1)
ds31.003 Операции на коже, подкожной клетчатке, придатках кожи (уровень 2)
ds31.004 Операции на коже, подкожной клетчатке, придатках кожи (уровень 3)
ds31.005 Операции на органах кроветворения и иммунной системы
ds31.006 Операции на молочной железе
ds32.001 Операции на пищеводе, желудке, двенадцатиперстной кишке (уровень 1)
ds32.002 Операции на пищеводе, желудке, двенадцатиперстной кишке (уровень 2)
ds32.003 Операции по поводу грыж, взрослые (уровень 1)
ds32.004 Операции по поводу грыж, взрослые (уровень 2)
ds32.005 Операции по поводу грыж, взрослые (уровень 3)
ds32.006 Операции на желчном пузыре и желчевыводящих путях
ds32.007 Другие операции на органах брюшной полости (уровень 1)
ds32.008 Другие операции на органах брюшной полости (уровень 2)
ds34.002 Операции на органах полости рта (уровень 1)
ds34.003 Операции на органах полости рта (уровень 2)

Приложение 5

ПЕРЕЧЕНЬ КСГ, ПРИ ОПЛАТЕ ПО КОТОРЫМ НЕ ПРИМЕНЯЕТСЯ КОЭФФИЦИЕНТ УРОВНЯ (ПОДУРОВНЯ) МЕДИЦИНСКОЙ ОРГАНИЗАЦИИ

N КСГ Наименование КСГ
Круглосуточный стационар
st01.001 Беременность без патологии, дородовая госпитализация в отделение сестринского ухода
st02.002 Беременность, закончившаяся абортивным исходом
st02.006 Послеродовой сепсис
st02.012 Операции на женских половых органах (уровень 3)
st03.002 Ангионевротический отек, анафилактический шок
st04.001 Язва желудка и двенадцатиперстной кишки
st09.003 Операции на мужских половых органах, дети (уровень 3)
st09.004 Операции на мужских половых органах, дети (уровень 4)
st09.008 Операции на почке и мочевыделительной системе, дети (уровень 4)
st09.009 Операции на почке и мочевыделительной системе, дети (уровень 5)
st09.010 Операции на почке и мочевыделительной системе, дети (уровень 6)
st10.003 Аппендэктомия, дети (уровень 1)
st10.005 Операции по поводу грыж, дети (уровень 1)
st14.001 Операции на кишечнике и анальной области (уровень 1)
st15.005 Эпилепсия, судороги (уровень 1)
st15.008 Неврологические заболевания, лечение с применением ботулотоксина (уровень 1)
st15.009 Неврологические заболевания, лечение с применением ботулотоксина (уровень 2)
st16.003 Дорсопатии, спондилопатии, остеопатии
st16.005 Сотрясение головного мозга
st16.010 Операции на периферической нервной системе (уровень 2)
st16.011 Операции на периферической нервной системе (уровень 3)
st20.008 Операции на органе слуха, придаточных пазухах носа и верхних дыхательных путях (уровень 4)
st20.009 Операции на органе слуха, придаточных пазухах носа и верхних дыхательных путях (уровень 5)
st20.010 Замена речевого процессора
st21.004 Операции на органе зрения (уровень 4)
st21.006 Операции на органе зрения (уровень 6)
st21.009 Операции на органе зрения (факоэмульсификация с имплантацией ИОЛ)
st27.001 Болезни пищевода, гастрит, дуоденит, другие болезни желудка и двенадцатиперстной кишки
st27.003 Болезни желчного пузыря
st27.005 Гипертоническая болезнь в стадии обострения
st27.006 Стенокардия (кроме нестабильной), хроническая ишемическая болезнь сердца (уровень 1)
st27.010 Бронхит необструктивный, симптомы и признаки, относящиеся к органам дыхания
st28.004 Операции на нижних дыхательных путях и легочной ткани, органах средостения (уровень 3)
st28.005 Операции на нижних дыхательных путях и легочной ткани, органах средостения (уровень 4)
st29.002 Переломы шейки бедра и костей таза
st29.003 Переломы бедренной кости, другие травмы области бедра и тазобедренного сустава
st29.004 Переломы, вывихи, растяжения области грудной клетки, верхней конечности и стопы
st29.005 Переломы, вывихи, растяжения области колена и голени
st29.012 Операции на костно-мышечной системе и суставах (уровень 4)
st29.013 Операции на костно-мышечной системе и суставах (уровень 5)
st30.004 Болезни предстательной железы
st30.008 Операции на мужских половых органах, взрослые (уровень 3)
st30.009 Операции на мужских половых органах, взрослые (уровень 4)
st30.015 Операции на почке и мочевыделительной системе, взрослые (уровень 6)
st31.002 Операции на коже, подкожной клетчатке, придатках кожи (уровень 1)
st31.009 Операции на эндокринных железах кроме гипофиза (уровень 1)
st31.010 Операции на эндокринных железах кроме гипофиза (уровень 2)
st31.012 Артрозы, другие поражения суставов, болезни мягких тканей
st31.018 Открытые раны, поверхностные, другие и неуточненные травмы
st32.004 Операции на желчном пузыре и желчевыводящих путях (уровень 4)
st32.010 Операции на пищеводе, желудке, двенадцатиперстной кишке (уровень 3)
st32.011 Аппендэктомия, взрослые (уровень 1)
st32.012 Аппендэктомия, взрослые (уровень 2)
st32.013 Операции по поводу грыж, взрослые (уровень 1)
st32.014 Операции по поводу грыж, взрослые (уровень 2)
st32.015 Операции по поводу грыж, взрослые (уровень 3)
st36.001 Комплексное лечение с применением препаратов иммуноглобулина
st36.007 Установка, замена, заправка помп для лекарственных препаратов
st36.009 Реинфузия аутокрови
st36.010 Баллонная внутриаортальная контрпульсация
st36.011 Экстракорпоральная мембранная оксигенация
st36.024 Радиойодтерапия
st36.027 Лечение с применением генно-инженерных биологических препаратов и селективных иммунодепрессантов (инициация)
st36.028 Лечение с применением генно-инженерных биологических препаратов и селективных иммунодепрессантов (уровень 1)
st36.029 Лечение с применением генно-инженерных биологических препаратов и селективных иммунодепрессантов (уровень 2)
st36.030 Лечение с применением генно-инженерных биологических препаратов и селективных иммунодепрессантов (уровень 3)
st36.031 Лечение с применением генно-инженерных биологических препаратов и селективных иммунодепрессантов (уровень 4)
st36.032 Лечение с применением генно-инженерных биологических препаратов и селективных иммунодепрессантов (уровень 5)
st36.033 Лечение с применением генно-инженерных биологических препаратов и селективных иммунодепрессантов (уровень 6)
st36.034 Лечение с применением генно-инженерных биологических препаратов и селективных иммунодепрессантов (уровень 7)
st36.035 Лечение с применением генно-инженерных биологических препаратов и селективных иммунодепрессантов (уровень 8)
st36.036 Лечение с применением генно-инженерных биологических препаратов и селективных иммунодепрессантов (уровень 9)
st36.037 Лечение с применением генно-инженерных биологических препаратов и селективных иммунодепрессантов (уровень 10)
st36.038 Лечение с применением генно-инженерных биологических препаратов и селективных иммунодепрессантов (уровень 11)
st36.039 Лечение с применением генно-инженерных биологических препаратов и селективных иммунодепрессантов (уровень 12)
st36.040 Лечение с применением генно-инженерных биологических препаратов и селективных иммунодепрессантов (уровень 13)
st36.041 Лечение с применением генно-инженерных биологических препаратов и селективных иммунодепрессантов (уровень 14)
st36.042 Лечение с применением генно-инженерных биологических препаратов и селективных иммунодепрессантов (уровень 15)
st36.043 Лечение с применением генно-инженерных биологических препаратов и селективных иммунодепрессантов (уровень 16)
st36.044 Лечение с применением генно-инженерных биологических препаратов и селективных иммунодепрессантов (уровень 17)
st36.045 Лечение с применением генно-инженерных биологических препаратов и селективных иммунодепрессантов (уровень 18)
st36.046 Лечение с применением генно-инженерных биологических препаратов и селективных иммунодепрессантов (уровень 19)
st36.047 Лечение с применением генно-инженерных биологических препаратов и селективных иммунодепрессантов (уровень 20)
st37.004 Медицинская реабилитация пациентов с заболеваниями центральной нервной системы (6 баллов по ШРМ)
st37.024 Продолжительная медицинская реабилитация пациентов с заболеваниями центральной нервной системы
st37.025 Продолжительная медицинская реабилитация пациентов с заболеваниями опорно-двигательного аппарата и периферической нервной системы
st37.026 Продолжительная медицинская реабилитация пациентов с заболеваниями центральной нервной системы и с заболеваниями опорно-двигательного аппарата и периферической нервной системы (сестринский уход)

Указанный перечень является исчерпывающим. Субъект Российской Федерации вправе самостоятельно определять подобный перечень для КСГ в дневном стационаре, за исключением КСГ, относящихся к профилю "Детская онкология" и "Онкология" (для данных КСГ обязательно применение КУС в случае использования КУС в условиях дневного стационара).

Приложение 6

РАСШИФРОВКА КЛИНИКО-СТАТИСТИЧЕСКИХ ГРУПП ЗАБОЛЕВАНИЙ ДЛЯ ОПЛАТЫ МЕДИЦИНСКОЙ ПОМОЩИ, ОКАЗАННОЙ В СТАЦИОНАРНЫХ УСЛОВИЯХ

Файл "Расшифровка групп КС 2023.xlsx"
(размещен в электронном виде на официальном сайте Федерального фонда обязательного медицинского страхования в сети Интернет в разделе "Документы")

Приложение 7

РАСШИФРОВКА КЛИНИКО-СТАТИСТИЧЕСКИХ ГРУПП ЗАБОЛЕВАНИЙ ДЛЯ ОПЛАТЫ МЕДИЦИНСКОЙ ПОМОЩИ, ОКАЗАННОЙ В УСЛОВИЯХ ДНЕВНОГО СТАЦИОНАРА

Файл "Расшифровка групп ДС 2023.xlsx"
(размещен в электронном виде на официальном сайте Федерального фонда обязательного медицинского страхования в сети Интернет в разделе "Документы")

Приложение 8

1. СПРАВОЧНИКИ РАСШИФРОВКИ ГРУПП

Файлы "Расшифровка групп", являющиеся Приложением 6 и 7 к настоящим рекомендациям, имеют одинаковую структуру и состоят из следующих листов, содержащих соответствующие справочники:

- "КСГ" - перечень КСГ и коэффициенты относительной затратоемкости в соответствии с Перечнем;

- "МКБ 10" - справочник кодов МКБ 10 с указанием для каждого кода, включенного в группировку, номеров КСГ, к которым может быть отнесен данный код диагноза;

- "Номенклатура" - справочник кодов Номенклатуры с указанием для каждого кода услуги, включенного в группировку, номеров КСГ, к которым может быть отнесен данный код;

- "Онкология, схемы ЛТ" - справочник схем лекарственной терапии при злокачественных новообразованиях (кроме лимфоидной и кроветворной тканей) с указанием для каждой схемы номера КСГ, к которой может быть отнесен случай госпитализации с применением данной схемы;

"ХГС, схемы ЛТ" - справочник схем лекарственной терапии при хроническом вирусном гепатите C с указанием для каждой схемы номера КСГ, к которой может быть отнесен случай госпитализации с применением данной схемы;

- "ГИБП, схемы ЛТ" - справочник схем лекарственной терапии с применением генно-инженерных биологических препаратов и селективных иммунодепрессантов с указанием для каждой схемы номера КСГ, к которой может быть отнесен случай госпитализации с применением данной схемы;

- "МНН ЛП" - справочник МНН лекарственных препаратов (сочетания МНН лекарственных препаратов) с указанием для каждой позиции номеров КСГ, к которым может быть отнесен случай госпитализации с применением данного МНН лекарственного препарата (сочетания МНН лекарственных препаратов);

- "ДКК" - справочник кодов иных классификационных критериев (в дополнение к справочникам "Онкология, схемы ЛТ", "ХГС, схемы ЛТ", "ГИБП, схемы ЛТ" и "МНН ЛП", используемых для отнесения случая госпитализации к определенным КСГ;

- "Группировщик" - таблица, определяющая однозначное отнесение каждого пролеченного случая к конкретной КСГ на основании всех возможных комбинаций классификационных критериев;

- "Группировщик детальный" - таблица, соответствующая листу "Группировщик", с расшифровкой кодов основных справочников;

- "Структура справочников" - таблица, определяющая названия столбцов всех листов файла, а также обозначения кодов, вводимых в файле в дополнение к кодам основных справочников.

1.1. Справочник КСГ

В файле MS Excel "Расшифровка групп" на листе "КСГ" содержится перечень КСГ и коэффициенты относительной затратоемкости в соответствии с Перечнем в следующем формате:

Структура справочника "КСГ" (лист "КСГ" файла "Расшифровка групп"):

Наименование столбца Описание Примечание
КСГ Номер КСГ В соответствии с приложением 4 к программе государственных гарантий бесплатного оказания гражданам медицинской помощи
Наименование КСГ Наименование КСГ
КЗ Коэффициент относительной затратоемкости КСГ
Код профиля Код профиля  
Профиль Наименование профиля В соответствии с приказом Минздравсоцразвития России от 17.05.2012 N 555н "Об утверждении номенклатуры коечного фонда по профилям медицинской помощи"
Доля з/п и прочих расходов Доля заработной платы и прочих расходов в структуре стоимости КСГ Установлено приложением 4 к программе государственных гарантий бесплатного оказания гражданам медицинской помощи

1.2. Справочник МКБ 10

В файле MS Excel "Расшифровка групп" на листе "МКБ 10" содержится справочник МКБ 10, в котором каждому диагнозу соответствуют номера КСГ, к которым может быть отнесен случай госпитализации с данным диагнозом.

Структура справочника "МКБ 10" (лист "МКБ 10" файла "Расшифровка групп"):

Наименование столбца Описание Примечание
Код по МКБ 10 Код диагноза в соответствии с МКБ 10  
Диагноз Наименование диагноза  
КСГ1..n Номера КСГ, к которым может быть отнесен диагноз  
Использовано в КСГ Признак использования кода в качестве критерия группировки КСГ "True/ИСТИНА" - код диагноза используется в группировке КСГ

Внимание: в ряде случаев, когда коды МКБ 10, одинаковые по трем первым знакам, могут попадать в разные КСГ в зависимости от знака после точки, ввод трехзначных кодов не допускается (данные коды исключены из группировки). Необходимо принять меры к использованию полного кода диагноза, включая знаки после точки.

1.3. Справочник Номенклатуры

В файле MS Excel "Расшифровка групп" на листе "Номенклатура" содержится справочник кодов Номенклатуры, с указанием для каждого кода услуги, включенной в группировку, номеров КСГ, к которым может быть отнесен данный код. Справочник Номенклатуры представлен разделом A16 в полном объеме, с некоторыми исключениями, а также отдельными кодами из других разделов.

Структура справочника "Номенклатура" (лист "Номенклатура" файла "Расшифровка групп"):

Наименование столбца Описание Примечание
Код услуги Код хирургической операции и/или другой применяемой медицинской технологии в соответствии с Номенклатурой  
Наименование услуги Наименование хирургической операции и/или другой применяемой медицинской технологии  
КСГ1..n Номера КСГ, к которым может быть отнесен диагноз  
Использовано в КСГ Признак использования кода в качестве критерия группировки КСГ "True/ИСТИНА" - код услуги используется в группировке КСГ

1.4. Справочник схем лекарственной терапии для онкологии

В файле MS Excel "Расшифровка групп" на листе "Онкология, схемы ЛТ" содержится справочник схем лекарственной терапии при злокачественных новообразованиях (кроме лимфоидной и кроветворной тканей), в котором каждой схеме соответствуют номера КСГ, к которым относится случай госпитализации с применением данной схемы.

В таблице приведен перечень элементов и описание состава справочника "Онкология, схемы ЛТ":

Таблица - Структура справочника "Онкология, схемы ЛТ" (лист "Онкология, схемы ЛТ" файла "Расшифровка групп")

N п\п Наименование столбца Описание Примечание
1 Код схемы Код схемы лекарственной терапии Значения sh0001 - sh9003
2 МНН лекарственных препаратов МНН лекарственных препаратов, входящих в состав схемы  
3 Наименование и описание схемы Длительность цикла лекарственной терапии, режим дозирования и способ введения лекарственных препаратов  
4 Количество дней введения в тарифе Количество дней введения лекарственных препаратов, оплачиваемых по КСГ  
5 КСГ Номер КСГ, к которой может быть отнесена схема лекарственной терапии  
6 Использовано в КСГ Признак использования кода в качестве критерия группировки КСГ "True/ИСТИНА" - код услуги используется в группировке КСГ

В первом столбце справочника приведен код схемы лекарственной терапии, который используется в группировщике для отнесения случаев лечения с применением данной схемы к конкретным КСГ. Перечень схем лекарственной терапии, включенных в группировщик, сформирован путем извлечения данных из соответствующих разделов клинических рекомендаций, размещенных в рубрикаторе Минздрава России.

Во втором столбце приведены лекарственные препараты, входящие в состав лекарственной терапии злокачественных новообразований, применение которых оплачивается в рамках одной КСГ. Часть схем включает монотерапию (применение одного лекарственного препарата), а часть - комбинированную терапию (применение двух и более препаратов). Лекарственные препараты, входящие в состав комбинированных схем терапии, приведены перечислением через знак "+".

Например:

- схема sh0001 "Абиратерон" - подразумевает применение одного препарата (монотерапия);

- схема sh0179 "Трастузумаб" - подразумевает применение одного препарата (монотерапия);

- схема sh0130 "Кальция фолинат + оксалиплатин + фторурацил" - подразумевает комбинированную терапию (препаратами, входящими в состав схемы FOLFOX 4);

- схема sh0144 "Карбоплатин + паклитаксел" - подразумевает комбинированную терапию препаратами, входящими в состав схемы, не имеющей общепринятой аббревиатуры.

Также через "+" приведены препараты, не входящие в состав одной схемы лекарственной терапии, но применяющиеся одновременно.

Например:

- схема sh0002: "Абиратерон + бусерелин";

- схема sh0169: "Бусерелин + тамоксифен".

В третьем столбце приведено краткое описание схемы.

В целях настоящих Рекомендаций под циклом химиотерапии понимается введение химиотерапевтических препаратов в рамках определенной схемы химиотерапии. В цикле присутствуют "дни введения" и "дни отдыха". Под курсом химиотерапии понимается последовательное неоднократное применение циклов. При этом первый день последующего цикла начинается сразу после последнего дня предыдущего.

Краткое описание схемы приведено с целью идентификации и правильного кодирования схемы лекарственной терапии ЗНО с последующим отнесением каждого случая лечения с применением данной схемы к конкретной КСГ.

Соответственно, в описание всех схем включены доза лекарственного препарата, длительность цикла и дни введения. В описание некоторых схем включено указание пути введения. Эти признаки позволяют, в частности, дифференцировать схемы, включающие одни и те же лекарственные препараты, но в разных дозах, или с разным путем введения, или с разной длительностью цикла.

При снижении дозы химиотерапевтических препаратов и/или изменении дней введения (увеличение интервала между введениями) по сравнению с указанными в столбце "Наименование и описание схемы" кодируется схема, указанная в группировщике, при соблюдении следующих условий, отраженных в первичной медицинской документации:

- снижение дозы произведено в соответствии с инструкцией к химиотерапевтическому препарату в связи усилением токсических реакций или с тяжестью состояния пациента;

- изменение дней введения (увеличение интервала между введениями) произведено в связи с медицинскими противопоказаниями к введению препаратов в день, указанный в описании схемы.

При соблюдении вышеуказанных условий снижение дозы и/или увеличение интервала между введениями оплачивается по коду основной схемы лекарственной терапии.

Также в описание включено принятое сокращенное название схемы - при наличии.

Например:

Схема sh0018

Наименование схемы: "Блеомицин + цисплатин + этопозид".

Описание схемы: "ВЕР: блеомицин 30 мг в 1-й, 3-й, 5-й дни + этопозид 100 мг/м2 в 1 - 5-й дни + цисплатин 20 мг/м2 в 1 - 5-й дни; цикл 21 день". В описании указаны:

- сокращенное наименование схемы (ВЕР),

- доза препаратов и дни, в которые производится введение (блеомицин 30 мг в 1-й, 3-й, 5-й дни; этопозид 100 мг/м2 в 1 - 5-й дни; цисплатин 20 мг/м2 в 1 - 5-й дни);

- длительность цикла - 21 день.

Описание схем в справочнике не может служить заменой сведениям, изложенным в клинических рекомендациях, и инструкциям к лекарственным препаратам, и предназначено не для информирования медицинских работников о возможных вариантах лечения, а для идентификации проведенного лечения в целях его корректного кодирования.

В четвертом столбце приводится количество дней введения лекарственных препаратов, включенных в тариф, то есть в один законченный случай лечения.

Количество дней введения определено на основе режима дозирования схемы, указанной в столбце "Наименование и описание схемы".

Например:

Схема sh0018 "Блеомицин + цисплатин + этопозид".

Описание схемы: "ВЕР: Блеомицин 30 мг в 1-й, 3-й, 5-й дни + этопозид 100 мг/м2 в 1 - 5-й дни + цисплатин 20 мг/м2 в 1 - 5-й дни; цикл 21 день"

Как следует из описания схемы, лекарственные препараты вводятся с первого по пятый дни каждые 21 день, соответственно, количество дней введения - 5.

Количество дней введения не равно длительности госпитализации: больной может находиться в стационаре как до введения лекарственных препаратов, так и после него, например, в связи с развитием нежелательных явлений на фоне лечения.

В справочнике схем лекарственной терапии ряд схем имеют одинаковое описание, но разное количество дней введения в тарифе.

Например:

Схема sh0027 "Винорелбин + трастузумаб". Описание схемы: Винорелбин 25 мг/м2 в 1-й, 8-й дни + трастузумаб 6 мг/кг (нагрузочная доза 8 мг/кг) в 1-й день; цикл 21 день. Количество дней введения в тарифе - 1.

Схема sh0027.1 "Винорелбин + трастузумаб". Описание схемы: Винорелбин 25 мг/м2 в 1-й, 8-й дни + трастузумаб 6 мг/кг (нагрузочная доза 8 мг/кг) в 1-й день; цикл 21 день. Количество дней введения в тарифе - 2.

Из различий в количестве дней введения в тарифе следует, что стоимость схемы sh0027 рассчитана исходя из одного введения лекарственных средств в рамках одной госпитализации, а стоимость схемы sh0027.1 включает стоимость всех введений лекарственных препаратов, включенных в цикл, в рамках одной госпитализации. Таким образом, предусмотрено два варианта оплаты одной схемы лечения - за введение и за весь цикл.

При этом наличие возможности оплаты за весь цикл (выделение схем с точкой в коде) предусмотрено только для схем, предусматривающих перерыв между введениями лекарственных препаратов, во время которого пациент может нуждаться в круглосуточном либо в ежедневном наблюдении.

В пятом столбце указан номер КСГ, к которому относится случай с применением каждой схемы.

1.5. Справочник схем лекарственной терапии при хроническом вирусном гепатите C

В файле MS Excel "Расшифровка групп" на листе "ХГС, схемы ЛТ" содержится справочник схем лекарственной терапии при хроническом вирусном гепатите C (далее - ХГС), в котором каждой схеме соответствуют номера КСГ, к которым относится случай госпитализации с применением данной схемы.

В таблице приведен перечень элементов и описание состава справочника "ХГС, схемы ЛТ":

Таблица - Структура справочника "ХГС, схемы ЛТ" (лист "ХГС, схемы ЛТ" файла "Расшифровка групп")

N п\п Наименование столбца Описание Примечание
1 Код схемы Код схемы лекарственной терапии Значения thc01 - thc18
2 МНН лекарственных препаратов МНН лекарственных препаратов, входящих в состав схемы  
3 Наименование и описание схемы Режим дозирования и способ введения лекарственных препаратов  
4 Количество дней введения в тарифе Количество дней введения лекарственных препаратов, оплачиваемых по КСГ  
5 КСГ Номер КСГ, к которой может быть отнесена схема лекарственной терапии  
6 Использовано в КСГ Признак использования кода в качестве критерия группировки КСГ "True/ИСТИНА" - код услуги используется в группировке КСГ

В первом столбце справочника приведен код схемы лекарственной терапии, который используется в группировщике для отнесения случаев лечения с применением данной схемы к конкретным КСГ. Перечень схем лекарственной терапии, включенных в группировщик, сформирован путем извлечения данных из соответствующих разделов клинических рекомендаций, размещенных в рубрикаторе Минздрава России.

Во втором столбце приведены лекарственные препараты, входящие в состав лекарственной терапии ХГС, применение которых оплачивается в рамках одной КСГ. Все схемы представляют собой комбинированную терапию (применение двух и более препаратов), где входящие в них лекарственные препараты приведены перечислением через знак "+". При этом фиксированные комбинированные противовирусные препараты прямого действия (далее - ПППД) взяты в квадратные скобки ("[]").

Например:

- схема thc02: "[велпатасвир + софосбувир] + рибавирин", где [велпатасвир + софосбувир] - фиксированные комбинированные ПППД.

В третьем столбце приведено краткое описание схемы с целью идентификации и правильного кодирования схемы лекарственной терапии ХГС с последующим отнесением каждого случая лечения с применением данной схемы к конкретной КСГ.

В описание всех схем включены доза и режим дозирования лекарственного препарата, в описание некоторых схем также включено указание лекарственной формы препарата. Эти признаки позволяют, в частности, дифференцировать схемы, включающие одни и те же лекарственные препараты, но в разных дозах или разной лекарственной формы.

Например:

Схема thc03

Наименование схемы: "[глекапревир + пибрентасвир]".

Описание схемы: "[Глекапревир + пибрентасвир] таблетки, покрытые пленочной оболочкой 300 мг + 120 мг (3 таблетки по 100 мг + 40 мг) 1 раз в сутки". В описании указаны:

- доза препаратов и режим дозирования (300 мг + 120 мг (3 таблетки по 100 мг + 40 мг) 1 раз в сутки);

- лекарственная форма препаратов (таблетки, покрытые пленочной оболочкой).

Описание схем в справочнике не может служить заменой сведениям, изложенным в клинических рекомендациях, и инструкциям к лекарственным препаратам, и предназначено не для информирования медицинских работников о возможных вариантах лечения, а для идентификации проведенного лечения в целях его корректного кодирования.

В четвертом столбце приводится количество дней введения лекарственных препаратов, включенных в тариф, то есть в один законченный случай лечения.

Для всех схем лекарственной терапии при ХГС, включенных в настоящие Рекомендации, количество дней введения в тарифе равно 28 дней (данные схемы подлежат оплате в рамках специально выделенных КСГ только в условиях дневного стационара).

В пятом столбце указан номер КСГ, к которому относится случай с применением каждой схемы.

1.6. Справочник МНН лекарственных препаратов

В файле MS Excel "Расшифровка групп" на листе "МНН ЛП" содержится справочник МНН лекарственных препаратов (сочетаний МНН лекарственных препаратов), влияющих на отнесение к ряду КСГ:

проведение тромболитической терапии при инфаркте миокарда и легочной эмболии (st13.008 - st13.010);

лекарственная терапия с применением отдельных препаратов при ЗНО лимфоидной и кроветворной тканей (st19.097 - st19.102, ds19.071 - ds19.078);

лучевая терапия в сочетании с лекарственной терапией (st19.084 - st19.089, ds19.058 - ds19.062);

В таблице приведен перечень элементов и описание состава справочника "МНН ЛП":

Таблица - Структура справочника "МНН ЛП" (лист "МНН ЛП" файла "Расшифровка групп")

Наименование столбца Описание Примечание
Код МНН Код МНН лекарственных препаратов (сочетания МНН лекарственных препаратов) Значения mt001 - mt024, flt1 - flt5, gemop1 - gemop14, gemop16 - gemop18, gemop20 - gemop26,
МНН лекарственных препаратов Международное непатентованное наименование лекарственных препаратов  
КСГ1...n Номера КСГ, к которым может быть отнесена схема лекарственной терапии  
Использовано в КСГ Признак использования кода в качестве критерия группировки КСГ "True/ИСТИНА" - код услуги используется в группировке КСГ

В электронном документе нумерация разделов соответствует официальному источнику.

1.8. Справочник иных классификационных критериев

В файле MS Excel "Расшифровка групп" на листе "ДКК" содержится справочник иных классификационных критериев (в дополнение к справочникам "Онкология, схемы ЛТ", "ХГС, схемы ЛТ", "ГИБП, схемы ЛТ" и "МНН ЛП"), используемых для формирования отдельных КСГ, с указанием соответствующих КСГ для каждого классификационного критерия.

В таблице приведен перечень элементов и описание состава справочника "ДКК":

Структура справочника "ДКК" (лист "ДКК" файла "Расшифровка групп")

Наименование столбца Описание Примечание
Код ДКК Код иного классификационного критерия Значения amt01 - amt15, bt1 - bt3, derm1 - derm9, ep1 - ep3, gem, irs1 - irs2, it1 - it2, ivf1 - ivf7, mgi, ftg, lgh1 - lgh12, olt, plt, rb2 - rb6, rbb2 - rbb3, rbpt, rb2cov - rb5cov, rb4d12, rb4d14, rb5d18, rb5d20, rbb4d14, rbb5d20, rbbp4 - rbbp5, rbbprob4 - rbbprob5, rbbrob4d14, rbbrob5d20, rbp4 - rbp5, rbprob4 - rbprob5, rbps5, rbrob4d12, rbrob4d14, rbrob5d18, rbrob5d20, ykur1 - ykur4, ykur3d12, ykur4d18, rbs, stt1 - stt5, in, inc, kudi
Наименование ДКК Наименование иного классификационного критерия  
КСГ1...n Номера КСГ, к которым может быть отнесен случай с применением иного классификационного критерия  
Использовано в КСГ Признак использования кода в качестве критерия группировки КСГ "True/ИСТИНА" - код услуги используется в группировке КСГ

2. ОПИСАНИЕ ЛОГИЧЕСКОЙ СХЕМЫ ГРУППИРОВЩИКА КСГ

2.1. Таблицы "Группировщик" и "Группировщик детальный"

Процесс отнесения случая к КСГ регламентируется таблицами "Группировщик" и "Группировщик детальный" (таблицы идентичны, за исключением того, что "Группировщик детальный" содержит расшифровки кодов МКБ 10, Номенклатуры и КСГ).

"Группировщик" позволяет каждый случай в реестре пролеченных больных, оплата которого производится в рамках системы КСГ, отнести к определенной группе на основании классификационных критериев, которые соответствуют этому случаю. С помощью данной таблицы осуществляется отнесение случаев ко всем КСГ, кроме КСГ st29.007 "Тяжелая множественная и сочетанная травма (политравма)", алгоритм формирования которой описан в разделе "Особенности формирования отдельных КСГ".

Таблица "Группировщик" состоит из столбцов, каждый из которых содержит значение, соответствующее одному классификационному критерию.

Структура таблицы "Группировщик" (лист "Группировщик" файла "Расшифровка групп"):

Наименование столбца Описание Источник данных и связь с другими справочниками
Код по МКБ-10 Код основного диагноза по МКБ-10 Столбец "Код по МКБ-10" справочника "МКБ-10"
Код по МКБ-10 (2) Код дополнительного диагноза по МКБ-10 Столбец "Код по МКБ-10" справочника "МКБ-10"
Код по МКБ-10 (3) Код диагноза осложнения по МКБ-10 Столбец "Код по МКБ-10" справочника "МКБ-10"
Код услуги Код хирургической операции и/или другой применяемой медицинской технологии в соответствии с Номенклатурой Столбец "Код услуги" справочника "Номенклатура"
Возраст Возрастная категория пациента Справочник возрастных категорий (приведен далее)
Пол Пол пациента 1 - мужской, 2 - женский
Длительность Длительность пребывания, дней 1 - пребывание до 3 дней включительно, 2 - от 4 до 10 дней включительно, 3 - от 11 до 20 дней включительно, 4 - от 21 до 30 дней включительно
Диапазон фракций Диапазон количества дней проведения лучевой терапии (количества фракций) fr01-05 - количество фракций от 1 до 5 включительно;
fr06-07 - количество фракций от 6 до 7 включительно;
fr08-10 - количество фракций от 8 до 10 включительно;
fr11-20 - количество фракций от 11 до 20 включительно;
fr21-29 - количество фракций от 21 до 29 включительно;
fr30-32 - количество фракций от 30 до 32 включительно;
fr33-99 - количество фракций от 33 включительно и более
Иной классификационный критерий Иные классификационные критерии, представленные в справочниках "Онкология, схемы ЛТ", "ХГС, схемы ЛТ", "ГИБП, схемы ЛТ", "МНН ЛП" и "ДКК" Значения в соответствии со справочниками схем лекарственной терапии (лист "Онкология, схемы ЛТ", "ХГС, схемы ЛТ", "ГИБП, схемы ЛТ"), МНН лекарственных препаратов (лист "МНН ЛП") и дополнительных классификационных критериев (лист "ДКК")
КСГ Номер КСГ, к которой относится случай Столбец "КСГ" справочника КСГ

Внимание: если в таблице не содержится значения в соответствующем столбце, то данный классификационный критерий не влияет на группировку.

Пример из таблицы "Группировщик":

Код по МКБ 10 Код по МКБ 10 (2) Код по МКБ 10 (3) Код услуги Возраст Пол Длительность КСГ
  P05.0   A16.19.010 2     st10.002
  P05.2   A16.19.010 2     st10.002
  P07.3   A16.19.010 2     st10.002
T24.2 T32.6           st33.004
T30.2 T32.1           st33.004
I.     A06.10.006     1 st25.004
S30.2         2   st02.009
T19.8         1   st30.005
C00 - C80     A16.20.004.001       st19.002
C.   D70         st19.037

2.2. Справочник категорий возраста (столбец "Возраст" группировщика)

Код Диапазон возраста
1 от 0 до 28 дней
2 от 29 до 90 дней
3 от 91 дня до 1 года
4 от 0 дней до 2 лет
5 от 0 дней до 18 лет
6 старше 18 лет
7 от 0 до 21 года

Категории возраста применяются в четырех аспектах, не предполагающих одновременное (совместное) использование всех категорий возраста для классификации случаев в одни и те же КСГ.

1-й аспект применения: диапазоны 1 - 3 используются для классификации случаев в КСГ st10.001 "Детская хирургия (уровень 1)", КСГ st10.002 "Детская хирургия (уровень 2)" и st17.003 "Лечение новорожденных с тяжелой патологией с применением аппаратных методов поддержки или замещения витальных функций":

- при возрасте ребенка до 28 дней (код 1) случаи классифицируются в КСГ st10.002 или st17.003 по соответствующему коду номенклатуры, независимо от кода диагноза;

- если ребенок родился маловесным, то по тем же кодам номенклатуры случай классифицируется в КСГ st10.002 или st17.003 при возрасте до 90 дней (код 2). При этом признаком маловесности служит соответствующий код МКБ 10 (P05 - P07), который используется как дополнительный диагноз (Код по МКБ 10 (2). В столбце "основной диагноз" может быть указан любой диагноз, который является основным поводом для госпитализации и проведения соответствующего хирургического вмешательства;

- при возрасте от 91 дня до 1 года (код 3), независимо от диагноза, случай классифицируется в КСГ st10.001 по коду номенклатуры.

Также код возраста 1 в сочетании с определенными диагнозами МКБ-10 применяется для отнесения случаев лечения к КСГ st17.005 "Другие нарушения, возникшие в перинатальном периоде (уровень 1)", КСГ st17.006 "Другие нарушения, возникшие в перинатальном периоде (уровень 2)" и КСГ st17.007 "Другие нарушения, возникшие в перинатальном периоде (уровень 3)". Например, диагноз J20.6 "Острый бронхит, вызванный риновирусом" при отсутствии дополнительного кода возраста 1 (дети до 28 дней) относится к КСГ st27.010 "Бронхит необструктивный, симптомы и признаки, относящиеся к органам дыхания", при наличии кода 1 - к КСГ st17.007 "Другие нарушения, возникшие в перинатальном периоде (уровень 3)".

2-й аспект применения: диапазон возраста 4 используется для классификации случаев в КСГ st36.025 и ds36.012 "Проведение иммунизации против респираторно-синцитиальной вирусной инфекции (уровень 1)", а также st36.026 и ds36.013 "Проведение иммунизации против респираторно-синцитиальной вирусной инфекции (уровень 2)" в сочетании с кодом основного либо дополнительного диагноза Z25.8 "Необходимость иммунизации против другой уточненной одной вирусной болезни" и иным классификационным критерием "irs1" либо "irs2". В данном случае возникает ситуация, при которой иной классификационный критерий конкретизирует диапазон возраста.

3-й аспект применения: диапазоны возраста 5 - 6 используются для классификации случаев в большое количество "детских" и "взрослых" групп. При этом, если случай хирургического вмешательства ребенку до одного года может быть классифицирован в КСГ st10.001 или КСГ st10.002 (приоритет), он классифицируется в эти группы. Во всех остальных случаях классификация осуществляется в соответствующие КСГ с применением кодов возраста 5 - 6.

4-й аспект применения: диапазон возраста 7 используется для классификации случаев в КСГ st08.001 и ds08.001 "Лекарственная терапия при злокачественных новообразованиях других локализаций (кроме лимфоидной и кроветворной тканей), дети", st08.002 и ds08.002 "Лекарственная терапия при остром лейкозе, дети", а также st08.003 и ds08.003 "Лекарственная терапия при других злокачественных новообразованиях лимфоидной и кроветворной тканей, дети" на основании сочетания услуги A25.30.014 "Назначение лекарственных препаратов при онкологическом заболевании у детей" и определенных основных диагнозов МКБ-10.

2.3. Особенности использования неполного кода МКБ-10

В Группировщике используется обозначение неполного кода МКБ-10 со знаком "." (C., I.), это означает, что могут использоваться любые знаки после точки. Так, например, запись C. в КСГ st36.012 "Злокачественное новообразование без специального противоопухолевого лечения" означает, что при любом диагнозе класса "C" в отсутствие иных классификационных критериев случай относится к указанной КСГ. Аналогичным образом в КСГ st25.004 "Диагностическое обследование сердечно-сосудистой системы" запись I. означает, что случай лечения с любым диагнозом соответствующего класса МКБ-10 при проведении инструментальных диагностических исследований и при длительности госпитализации менее 3 дней включительно относится к данной КСГ.

2.4. Особенности использования диапазона кодов МКБ-10

В Группировщике используется обозначение диапазона кодов МКБ-10 со знаком "-" (в частности, C00 - C80, C81 - C96, D00 - D09, D45 - D47, Q20 - Q28), это означает, что могут использоваться любые коды МКБ-10, входящие в указанный диапазон кодов. Например, следующая запись означает, что схема лекарственной терапии sh0024 классифицируется в КСГ st19.125 в комбинации с любым диагнозом класса "C", входящим в диапазон C00 - C80:

Код по МКБ-10           Возраст     Иной классификационный критерий КСГ
C00 - C80           6     sh0024 st19.125

2.5. Описание алгоритма группировки с применением таблицы "Группировщик"

По каждому случаю в реестре пролеченных пациентов классификационные критерии КСГ и их комбинации анализируются с помощью таблицы "Группировщик" по следующему алгоритму:

На первом этапе необходимо собрать все параметры, которые относятся к случаю оказания медицинской помощи. В таблице представлен полный перечень классификационных критериев в рамках случая оказания медицинской помощи.

Классификационный критерий Примечание
Код основного диагноза по МКБ-10 (основной диагноз) В рамках случая является обязательным параметром.
Код дополнительного диагноза по МКБ-10 (2) Возможные варианты значений: один код диагноза по МКБ-10, несколько кодов диагноза по МКБ-10, отсутствует (пустое значение)
Код диагноза осложнения по МКБ-10 (3) Возможные варианты значений: один код диагноза по МКБ-10, несколько кодов диагноза по МКБ-10, отсутствует (пустое значение)
Код услуги (код хирургической операции и/или другой применяемой медицинской технологии в соответствии с Номенклатурой) Указывается код услуги в соответствии с Номенклатурой медицинских услуг. Возможные варианты значений: один код услуги, несколько кодов услуг, отсутствует (пустое значение)
Иной классификационный критерий Указывается код иного классификационного критерия, который определен в справочниках схем лекарственной терапии, МНН лекарственных препаратов и дополнительных классификационных критериев, в соответствующем поле. Возможные варианты значений: один код, несколько кодов, отсутствует (пустое значение). Пример всех значений справочника: sh0001 - sh9003, thc01 - thc18, gsh001 - gsh121, flt1 - flt5, gemop1 - gemop14, gemop16 - gemop18, gemop20 - gemop26, mt001 - mt024, amt01 - amt15, bt1 - bt3, derm1 - derm9, ep1 - ep3, gem, irs1 - irs2, it1 - it2, ivf1 - ivf7, mgi, ftg, lgh1 - lgh12, olt, plt, rb2 - rb6, rbb2 - rbb3, rbpt, rb2cov - rb5cov, rb4d12, rb4d14, rb5d18, rb5d20, rbb4d14, rbb5d20, rbbp4 - rbbp5, rbbprob4 - rbbprob5, rbbrob4d14, rbbrob5d20, rbp4 - rbp5, rbprob4 - rbprob5, rbps5, rbrob4d12, rbrob4d14, rbrob5d18, rbrob5d20, ykur1 - ykur4, ykur3d12, ykur4d18, rbs, stt1 - stt5, in, inc, kudi
Диапазон фракций (диапазон количества дней проведения лучевой терапии) Указывается код диапазона из справочника, соответствующий фактически оказанному количеству фракций. Возможные варианты значений: один код диапазона (пример: "fr01 - 05", "fr06 - 07", "fr08 - 10", "fr11 - 20", "fr21 - 29", "fr30 - 32", "fr33 - 99"), отсутствует значение (пустое значение)
Код пола пациента Указывается код пола пациента из справочника (мужской - "1", женский - "2")
Диапазон возраста пациента Диапазон определяется на дату начала госпитализации в круглосуточном и дневном стационаре. Указывается диапазон возраста пациента в соответствии с установленными значениями. Список диапазонов:
"от 0 до 28 дней",
"от 29 до 90 дней",
"от 91 дня до 1 года",
"от 1 года включительно до 2 лет",
"от 2 лет включительно до 18 лет",
"от 18 лет включительно", "от 0 до 21 года".
Случай всегда относится только к одному диапазону возраста.
Длительность случая Длительность пребывания в стационаре в днях. Используется для определения признака длительности случая. Возможные варианты значений: один код, отсутствует значение (пустое значение). Пример всех значений справочника: 1 - пребывание до 3 дней включительно, 2 - от 4 до 10 дней включительно, 3 - от 11 до 20 дней включительно, 4 - от 21 до 30 дней включительно.

На втором этапе создается пустая "временная таблица", аналогичная таблице "Группировщик", но с двумя дополнительными полями "Приоритет" и "Коэффициент затратоемкости КСГ". Поле "Приоритет" по умолчанию имеет значение равное "0", соответствующее обычному приоритету при сравнении групп. Поле "Коэффициент затратоемкости КСГ" необходимо для сохранения значения коэффициента затратоемкости конкретной строчки таблицы, отнесенной к конкретной КСГ. Структура и описание полей представлены в таблице.

N п/п Наименование поля Примечание
1 N Порядковый номер строки
2 Код по МКБ-10 (основной диагноз)
3 Код по МКБ-10 (2)  
4 Код по МКБ-10 (3)  
5 Код услуги  
6 Возраст  
7 Пол  
8 Длительность  
9 Иной классификационный критерий  
10 Диапазон фракций  
11 КСГ Код КСГ в соответствии с группировщиком
12 Приоритет Поле с вариантами значений "0" - обычный приоритет, "1" - высокий приоритет, "-1" - низкий приоритет
13 Стоимость случая лечения по КСГ Числовое поле с двумя знаками после запятой
Значение определяется исходя из правил расчета стоимости законченного случая лечения (п. 3 Рекомендаций), при необходимости - с учетом доли оплаты прерванного случая

На третьем этапе осуществляется фильтрация основной таблицы "Группировщик" и заполнение временной таблицы значениями. Под фильтрацией подразумевается отбор подходящих под заданные критерии данных, осуществляемый программными средствами. Таблицу "Группировщик" необходимо отфильтровать одновременно по всем классификационным критериям, учитывая особенности каждого параметра:

a) В фильтр по полю "Код по МКБ-10" входят пустое значение и значение основного диагноза случая. Если для основного диагноза существуют расширительные диапазоны (C00 - C80, D00 - D09, Q20 - Q28, C., I.), то эти расширительные диапазоны также включаются в фильтр.

b) В фильтр по полю "Код по МКБ-10 (2)" обязательно входит пустое значение. Если в случае присутствуют дополнительные диагнозы (один или несколько), фильтр дополняется всеми значениями дополнительных диагнозов; если для дополнительного диагноза существуют расширительные диапазоны (C00 - C80, D00 - D09, Q20 - Q28, C., I.), то эти расширительные диапазоны также включаются в фильтр.

c) В фильтр по полю "Код по МКБ-10 (3)" обязательно входит пустое значение. Если в случае присутствуют диагнозы осложнения (один или несколько), фильтр дополняется всеми значениями диагнозов осложнения; если для диагноза осложнения существуют расширительные диапазоны (C00 - C80, D00 - D09, Q20 - Q28, C., I.), то эти расширительные диапазоны также включаются в фильтр.

d) В фильтр по полю "Код услуги" обязательно входит пустое значение. Если в случае присутствуют коды услуг (один или несколько), фильтр дополняется всеми значениями кодов услуг. Примечание: если исходный случай содержит несколько кодов услуг, то выборку необходимо осуществлять дополнительно по каждому коду услуги.

e) В фильтр по полю "Возраст" обязательно входит пустое значение. Кроме пустого значения фильтр в зависимости от возраста пациента содержит следующие значения:

- Для диапазона возраста от 0 до 28 дней - значение справочника категорий возраста включает значения "1", "4", "5", "7";

- Для диапазона возраста от 29 до 90 дней - значение справочника категорий возраста включает значения "2", "4", "5", "7";

- Для диапазона возраста от 91 дня до 1 года - значение справочника категорий возраста включает значения "3", "4", "5", "7";

- Для диапазона возраста от 1 года включительно до 2 лет - значение справочника категорий возраста включает значения "4", "5", "7";

- Для диапазона возраста от 2 лет включительно до 17 лет - значение справочника категорий возраста включает значения "5", "7";

- Для диапазона возраста от 18 лет включительно - значение справочника категорий возраста включает значения "6", "7".

f) В фильтр по полю "Пол" обязательно входит пустое значение, а также значение из справочника согласно полу пациента (пациент мужского пола - значение кода "1", пациент женского пола - значение кода "2").

g) В фильтр по полю "Длительность" обязательно входит пустое значение, а для тех случаев, длительность которых составляет 3 дня и менее - значение 1.

h) В фильтр по полю "Иной классификационный критерий" обязательно входит пустое значение. Если в случае присутствуют иные классификационные критерии (один или несколько), фильтр дополняется всеми значениями иных классификационных критериев. Примеры значений: sh0001 - sh9003, thc01 - thc18, gsh001 - gsh121, flt1 - flt5, gemop1 - gemop14, gemop16 - gemop18, gemop20 - gemop26, gibp01 - gibp31, mt001 - mt024, amt01 - amt15, bt1 - bt3, derm1 - derm9, ep1 - ep3, gem, irs1 - irs2, it1 - it2, ivf1 - ivf7, mgi, ftg, lgh1 - lgh12, olt, plt, rb2 - rb6, rbb2 - rbb3, rbpt, rb2cov - rb5cov, rb4d12, rb4d14, rb5d18, rb5d20, rbb4d14, rbb5d20, rbbp4 - rbbp5, rbbprob4 - rbbprob5, rbbrob4d14, rbbrob5d20, rbp4 - rbp5, rbprob4 - rbprob5, rbps5, rbrob4d12, rbrob4d14, rbrob5d18, rbrob5d20, ykur1 - ykur4, ykur3d12, ykur4d18, rbs, stt1 - stt5, in, inc, kudi.

i) В фильтр по полю "Диапазон фракций" обязательно входит пустое значение. Если в случае присутствует код диапазона фракций (может быть только один), фильтр дополняется этим кодом.

Отфильтрованные записи из таблицы "Группировщик" копируются в описанную на втором этапе "временную таблицу" в соответствии с названиями полей. Для каждой записи во временной таблице в поле "Приоритет" проставляется значение "0", а в поле "Стоимость случая лечения по КСГ" проставляется стоимость (значения из "Справочника КСГ" с учетом поправочных коэффициентов, в том числе доли оплаты прерванных случаев) для каждой КСГ в соответствии с полем "КСГ".

На четвертом этапе необходимо проверить данные из "временной таблицы" на наличие исключений и установки приоритетов по строчкам. Во временной таблице в поле "Приоритет" меняем значения на "1" для следующих записей:

- Если случай может быть отнесен к профилю "Медицинская реабилитация" (st37, ds37);

- Если поле "Длительность" содержит значение "1", а случай может быть отнесен к КСГ st25.004 или ds25.001 "Диагностическое обследование сердечно-сосудистой системы" (значение "1" в поле "Длительность" не является приоритетом для выбора КСГ st19.090, st19.094, st19.097, st19.100 и ds19.063, ds19.067, ds19.071 и ds19.075);

- Если поле "Код по МКБ-10" основной диагноз содержит коды МКБ-10 из списка L08.0; L26; L27.0, L27.2 и поле "Возраст" содержит значение "1".

- Если поле "Код по МКБ-10" основной диагноз содержит код МКБ-10 C84.0 и поле "Иной классификационный критерий" содержит значение "derm4", или "derm5", или "derm7", или "derm8".

Если во "временной таблице" одновременно присутствуют строчки, относящиеся к двум КСГ из списка:

- st02.010 - Операции на женских половых органах (уровень 1) и st02.008 - Доброкачественные новообразования, новообразования in situ, неопределенного и неизвестного характера женских половых органов;

- st02.011 - Операции на женских половых органах (уровень 2) и st02.008 - Доброкачественные новообразования, новообразования in situ, неопределенного и неизвестного характера женских половых органов;

- st02.010 - Операции на женских половых органах (уровень 1) и st02.009 - Другие болезни, врожденные аномалии, повреждения женских половых органов;

- st14.001 - Операции на кишечнике и анальной области (уровень 1) и st04.002 - Воспалительные заболевания кишечника;

- st14.002 - Операции на кишечнике и анальной области (уровень 2) и st04.002 - Воспалительные заболевания кишечника;

- st21.001 - Операции на органе зрения (уровень 1) и st21.007 - Болезни глаза;

- st34.002 - Операции на органах полости рта (уровень 1) и st34.001 - Болезни полости рта, слюнных желез и челюстей, врожденные аномалии лица и шеи, взрослые;

- st34.002 - Операции на органах полости рта (уровень 1) и st26.001 - Болезни полости рта, слюнных желез и челюстей, врожденные аномалии лица и шеи, дети, необходимо для строчки, закодированной только кодом МКБ-10 по группам КСГ (st02.008, st02.009, st04.002, st21.007, st34.001, st26.001), установить значение в поле "Приоритет" равное "-1" (тем самым отдать приоритет в пользу КСГ, закодированной через услугу в Номенклатуре). Список КСГ и их комбинаций указан в пункте 1.2.7 в таблице "Перечень КСГ, в которых не предусмотрена возможность выбора между критерием диагноза и услуги".

Если во "временной таблице" одновременно присутствуют строчки, относящиеся к КСГ ds19.028 "Установка, замена порт-системы (катетера) для лекарственной терапии злокачественных новообразований" и ds25.002 "Операции на сосудах (уровень 1)" (ситуация возможна при основном диагнозе "C.", "D00 - D09" или "D45 - D47" и коде услуги "A11.12.001.002 - Имплантация подкожной венозной порт-системы"), необходимо для строчки с КСГ ds25.002 установить значение в поле "Приоритет" равное "-1" (тем самым отдать приоритет в пользу КСГ ds19.028).

На пятом этапе производится окончательное определение КСГ для случая оказания медицинской помощи. Для окончательного определения КСГ путем сравнения стоимости случаев, определенных по разным КСГ, коэффициентов затратоемкости групп с учетом приоритетов необходимо провести сортировку "временной таблицы" одновременно по полю "Приоритет" в порядке убывания (сверху окажутся максимальные значения) и по полю "Стоимость случая лечения по КСГ" в порядке убывания (сверху окажутся максимальные значения). В результате сортировки самая верхняя строчка "временной таблицы" будет содержать в поле "КСГ" код искомой КСГ для данного случая.

В случае, если длительность случая составляет 3 дня и менее, при этом хотя бы одна из КСГ во временной таблице не входит в перечень КСГ с оптимальной длительностью лечения до 3 дней включительно, установленный таблицей 1 Приложения 4 к настоящим рекомендациям, - выбор КСГ определяется по полю "Стоимость случая лечения по КСГ", рассчитанному с учетом доли оплаты прерванного случая оказания медицинской помощи.

Примечание: особенности формирования КСГ st29.007 "Тяжелая множественная и сочетанная травма (политравма)" представлены Приложении 9 к настоящим рекомендациям.

2.6. Перечень КСГ, в которых не предусмотрена возможность выбора между критерием диагноза и услуги

Однозначный выбор при оказании услуги, входящей в КСГ Однозначный выбор в отсутствие оказанной услуги
N Наименование КСГ, сформированной по услуге КЗ N Наименование КСГ, сформированной по диагнозу КЗ
st02.010 Операции на женских половых органах (уровень 1) 0,39 st02.008 Доброкачественные новообразования, новообразования in situ, неопределенного и неизвестного характера женских половых органов 0,89
st02.011 Операции на женских половых органах (уровень 2) 0,58 st02.008 Доброкачественные новообразования, новообразования in situ, неопределенного и неизвестного характера женских половых органов 0,89
st02.010 Операции на женских половых органах (уровень 1) 0,39 st02.009 Другие болезни, врожденные аномалии, повреждения женских половых органов 0,46
st14.001 Операции на кишечнике и анальной области (уровень 1) 0,84 st04.002 Воспалительные заболевания кишечника 2,01
st14.002 Операции на кишечнике и анальной области (уровень 2) 1,74 st04.002 Воспалительные заболевания кишечника 2,01
st21.001 Операции на органе зрения (уровень 1) 0,49 st21.007 Болезни глаза 0,51
st34.002 Операции на органах полости рта (уровень 1) 0,74 st34.001 Болезни полости рта, слюнных желез и челюстей, врожденные аномалии лица и шеи, взрослые 0,89
st34.002 Операции на органах полости рта (уровень 1) 0,74 st26.001 Болезни полости рта, слюнных желез и челюстей, врожденные аномалии лица и шеи, дети 0,79

Субъект Российской Федерации вправе самостоятельно определять аналогичный перечень для дневного стационара.

2.7. Влияние кода диагноза по МКБ-10 на группировку

Случаи, при которых диагноз является критерием группировки для хирургической операции (комбинированные группы), определены Группировщиком таким образом, что в одной строке Группировщика приведен код номенклатуры и код диагноза.

Пример:

Код по МКБ-10 Код услуги Возраст Пол Длительность КСГ Комментарий
  A16.20.002.001       st02.012 Диагноз не влияет на группировку, и случай относится к КСГ st02.012 независимо от диагноза
C00 - C80 A16.20.002.001       st19.001 Случай относится к КСГ st19.001 при комбинации кода услуги и любого диагноза, входящего в диапазон "C00 - C80"

Приложение 9

ОСОБЕННОСТИ ФОРМИРОВАНИЯ ОТДЕЛЬНЫХ КСГ

В данном Приложении более подробно описаны алгоритмы формирования отдельных групп, имеющих определенные особенности.

При этом базовый алгоритм отнесения для всех КСГ определяется таблицей "Группировщик".

1. Группы, формируемые с учетом возраста

КСГ st10.001 "Детская хирургия (уровень 1)";

КСГ st10.002 "Детская хирургия (уровень 2)".

Классификационным критерием группировки также является возраст.

Алгоритм формирования групп:

При отнесении случая к КСГ st10.002, для доношенных детей критерием новорожденности является возраст не более 28 дней. Для недоношенных детей (недоношенность обозначается кодами МКБ 10 дополнительного диагноза P05.0, P05.1, P05.2, P05.9, P07.0, P07.1, P07.2, P07.3) отнесение к данной группе может производиться в период не более 90 дней со дня рождения.

Дети возрастом от 90 дней до года классифицируются по тем же операциям в КСГ st10.001.

КСГ st17.003 "Лечение новорожденных с тяжелой патологией с применением аппаратных методов поддержки или замещения витальных функций"

Классификационным критерием группировки также является возраст.

Формирование данной группы осуществляется с применением кодов номенклатуры:

Код услуги Наименование услуги
A16.09.011.002 Неинвазивная искусственная вентиляция легких
A16.09.011.003 Высокочастотная искусственная вентиляция легких
A16.09.011.004 Синхронизированная перемежающаяся принудительная вентиляция легких

Отнесение к данной КСГ производится в следующих случаях:

- если новорожденный ребенок характеризуется нормальной массой тела при рождении, но страдает заболеванием, требующем использования искусственной вентиляции легких. В этом случае критерием новорожденности является возраст не более 28 дней;

- если ребенок имел при рождении низкую массу тела, но госпитализируется по поводу другого заболевания, требующего использования искусственной вентиляции легких. В этом случае отнесение к данной группе может производиться в период не более 90 дней со дня рождения; должен быть указан основной диагноз (являющийся поводом к госпитализации) и дополнительный диагноз - недоношенность (обозначается кодами МКБ 10 диагноза P05.0, P05.1, P05.2, P05.9, P07.0, P07.1, P07.2, P07.3).

Алгоритм формирования группы:

Также с учетом возраста формируется ряд других КСГ, классификационным критерием группировки также является возраст - менее 18 лет (код 5).

Внимание: на листе "Группировщик" возраст до 18 лет кодируется кодом 5 в столбец "Возраст". Для "взрослых" КСГ код возраста установлен 6. Для КСГ, не имеющих отметки о возрасте в Группировщике, отнесение осуществляется без учета возраста.

Универсальный алгоритм формирования группы с учетом возраста:

2. Группы, формируемые с учетом пола

Формирование КСГ в зависимости от пола осуществляется применительно к следующим КСГ:

N КСГ Наименование КСГ
st02.009 Другие болезни, врожденные аномалии, повреждения женских половых органов
st30.005 Другие болезни, врожденные аномалии, повреждения мочевой системы и мужских половых органов

Классификационным критерием группировки также является пол (мужской, женский).

Алгоритм формирования групп с учетом пола:

3. Особенности формирования КСГ акушерско-гинекологического профиля

Отнесение к КСГ st02.003 "Родоразрешение" при любом основном диагнозе класса XV. Беременность, роды и послеродовой период (O00 - O99), включенном в данную КСГ, производится при комбинации с любой из следующих услуг:

B01.001.006 Ведение патологических родов врачом-акушером-гинекологом
B01.001.009 Ведение физиологических родов врачом-акушером-гинекологом
B02.001.002 Ведение физиологических родов акушеркой
A16.20.007 Пластика шейки матки
A16.20.015 Восстановление тазового дна
A16.20.023 Восстановление влагалищной стенки
A16.20.024 Реконструкция влагалища
A16.20.030 Восстановление вульвы и промежности

Если при наличии диагноза класса XV. Беременность, роды и послеродовой период (O00 - O99) нет закодированных услуг, соответствующих родоразрешению, случай относится к КСГ st02.001 "Осложнения, связанные с беременностью".

Большинство услуг, представляющих собой акушерские манипуляции, операции, не используется в группировке в связи с нецелесообразностью их использования как основного критерия отнесения к конкретной КСГ. Это, например, следующие услуги:

Код услуги Наименование услуги
A16.20.005.001 Расширение шеечного канала
A16.20.070 Наложение акушерских щипцов
A16.20.071 Вакуум-экстракция плода
A16.20.071.001 Экстракция плода за тазовый конец
A16.20.073 Ручное пособие при тазовом предлежании плода (по Цовьянову)
A16.20.073.001 Поворот плода за ножку
A16.20.073.002 Классическое ручное пособие при тазовом предлежании плода
A16.20.076 Наложение гемостатических компрессионных швов (B-lunch)
A16.20.076.001 Наложение клемм по Бакшееву
A16.20.076.002 Наложение клемм по Генкелю-Тиканадзе
A16.20.077 Установка внутриматочного баллона
A16.20.073.003 Ручное отделение плаценты и выделение последа

Такой подход в полной мере соответствует заранее заложенному в основу формирования КСГ принципу и ни в коей мере не означает, что проведение таких операций при родоразрешении или искусственном аборте не финансируется системой ОМС. Он означает, что их проведение уже учтено при расчете коэффициента относительной затратоемкости случаев в соответствующей КСГ.

При выполнении операции кесарева сечения (A16.20.005 "Кесарево сечение") случай относится к КСГ st02.004 вне зависимости от диагноза.

С целью снижения стимулов к искажению статистики и перевода пациентов в более затратные категории, в группировщике предусмотрено однозначное отнесение к КСГ st02.003 "Родоразрешение" комбинаций диагнозов, входящих в КСГ st02.003, и следующих услуг:

- A16.20.007 "Пластика шейки матки";

- A16.20.015 "Восстановление тазового дна";

- A16.20.023 "Восстановление влагалищной стенки";

- A16.20.024 "Реконструкция влагалища";

- A16.20.030 "Восстановление вульвы и промежности".

Если в ходе оказания медицинской помощи роженице выполнялась операция, входящая в КСГ st02.012 или st02.013 (операции на женских половых органах уровней 3 и 4), например, субтотальная или тотальная гистерэктомия, отнесение случая производится к КСГ по коду операции.

Как указывалось ранее, при дородовой госпитализации пациентки в отделение патологии беременности с последующим родоразрешением оплата по двум КСГ (st02.001 "Осложнения, связанные с беременностью" и st02.003 "Родоразрешение" или st02.001 "Осложнения, связанные с беременностью" и st02.004 "Кесарево сечение" возможна в случае пребывания в отделении патологии беременности в течение 6 дней и более.

При этом оплата по 2 КСГ возможна в случае пребывания в отделении патологии беременности не менее 2 дней при оказании медицинской помощи по следующим МКБ 10:

- O14.1 Тяжелая преэклампсия;

- O34.2 Послеоперационный рубец матки, требующий предоставления медицинской помощи матери;

- O36.3 Признаки внутриутробной гипоксии плода, требующие предоставления медицинской помощи матери;

- O36.4 Внутриутробная гибель плода, требующая предоставления медицинской помощи матери;

- O42.2 Преждевременный разрыв плодных оболочек, задержка родов, связанная с проводимой терапией.

КСГ st01.001 "Беременность без патологии, дородовая госпитализация в отделение сестринского ухода" может быть подана на оплату только медицинскими организациями, имеющими в структуре соответствующее отделение или выделенные койки сестринского ухода.

3.1. Особенности формирования КСГ для случаев проведения экстракорпорального оплодотворения (ЭКО) в дневном стационаре

В рамках проведения программы ЭКО в соответствии с порядком использования вспомогательных репродуктивных технологий выделяются следующие этапы:

1. Стимуляция суперовуляции;

2. Получение яйцеклетки;

3. Экстракорпоральное оплодотворение и культивирование эмбрионов;

4. Внутриматочное введение (перенос) эмбрионов.

5. Дополнительно в процессе проведения процедуры цикла ЭКО возможно осуществление криоконсервации полученных на III этапе эмбрионов.

Хранение криоконсервированных эмбрионов за счет средств обязательного медицинского страхования не осуществляется.

Отнесение к КСГ случаев проведения ЭКО осуществляется на основании иных классификационных критериев "ivf1" - "ivf7", отражающих проведение различных этапов цикла ЭКО (полная расшифровка кодов ДКК представлена в справочнике "ДКК" в пункте 1.1.6 настоящего приложения).

В случае если базовый цикл ЭКО завершен по итогам I этапа (стимуляция суперовуляции) ("ivf2"), I - II этапов (получение яйцеклетки) ("ivf3"), I - III этапов (экстракорпоральное оплодотворение и культивирование эмбрионов) без последующей криоконсервации эмбрионов ("ivf4"), оплата случая осуществляется по КСГ ds02.009 "Экстракорпоральное оплодотворение (уровень 2)".

В случае проведения первых трех этапов цикла ЭКО с последующей криоконсервацией эмбрионов без переноса эмбрионов ("ivf5"), а также проведения в рамках случая госпитализации четырех этапов цикла ЭКО без осуществления криоконсервации эмбрионов ("ivf6"), оплата случая осуществляется по КСГ ds02.010 "Экстракорпоральное оплодотворение (уровень 3)".

В случае проведения в рамках одного случая всех этапов цикла ЭКО с последующей криоконсервацией эмбрионов ("ivf7"), оплата случая осуществляется по КСГ ds02.011 "Экстракорпоральное оплодотворение (уровень 4)".

В случае проведения цикла ЭКО с применением криоконсервированных эмбрионов ("ivf1"), случай госпитализации оплачивается по КСГ ds02.008 "Экстракорпоральное оплодотворение (уровень 1)".

Средний норматив финансовых затрат на единицу объема медицинской помощи для оказания медицинской помощи при экстракорпоральном оплодотворении представляет собой усредненную стоимость случая ЭКО с учетом проведения у части пациентов неполных циклов и проведения в отдельных случаях полного цикла с криоконсервацией эмбрионов и не эквивалентен стоимости КСГ ds02.010 "Экстракорпоральное оплодотворение (уровень 3)".

4. Особенности формирования КСГ для оплаты случаев лечения сепсиса

Отнесение к КСГ, применяемым для оплаты случаев лечения сепсиса (st12.005, st12.006, ) осуществляется по сочетанию кода диагноза МКБ 10 и возрастной категории пациента и/или иного классификационного критерия "it1". Необходимо учитывать, что сепсис может являться как основным поводом для госпитализации, так и осложнением в ходе продолжающегося лечения основного заболевания. Таким образом, при кодировании случаев лечения сепсиса соответствующий диагноз необходимо указывать либо в столбце "Основной диагноз", либо в столбце "Диагноз осложнения". При этом отнесение к указанным КСГ с учетом возрастной категории и/или критерия "it1" сохраняется вне зависимости от того, в каком столбце указан код диагноза.

В случае возникновения септических осложнений в ходе госпитализации по поводу ожогов, в целях корректного кодирования случая лечения диагноз септического осложнения также необходимо указывать в столбце "Диагноз осложнения". При этом порядок кодирования по классификационным критериям КСГ профиля "Комбустиология" не изменяется (см. раздел "Особенности формирования КСГ по профилю "Комбустиология").

5. Особенности формирования КСГ st12.012 "Грипп, вирус гриппа идентифицирован"

Отнесение к данной КСГ производится по комбинации кода МКБ-10 и кодов Номенклатуры. При идентификации вируса гриппа другими методами (закодированными как услуги, не являющиеся классификационными критериями отнесения случая к КСГ st12.012) и при неидентифицированном вирусе гриппа случай классифицируется в КСГ st12.010 "Респираторные инфекции верхних дыхательных путей с осложнениями, взрослые" или КСГ st12.011 "Респираторные инфекции верхних дыхательных путей, дети" в зависимости от возраста пациента.

6. Особенности формирования КСГ для случаев лечения пациентов с новой коронавирусной инфекцией (COVID-19) (st12.015 - st12.019)

Формирование групп осуществляется по коду МКБ-10 (U07.1 или U07.2) в сочетании с кодами иного классификационного критерия: "stt1" - "stt4", отражающих тяжесть течения заболевания, или "stt5", отражающим признак долечивания пациента с новой коронавирусной инфекцией (COVID-19). Перечень кодов "stt1" - "stt5" с расшифровкой содержится на вкладке "ДКК" файла "Расшифровка групп".

Тяжесть течения заболевания определяется в соответствии с классификацией новой коронавирусной инфекции COVID-19 по степени тяжести, представленной во Временных методических рекомендациях "Профилактика, диагностика и лечение новой коронавирусной инфекции (COVID-19)", утвержденных Министерством здравоохранения Российской Федерации. Каждому уровню тяжести состояния соответствует отдельная КСГ st12.015 - st12.018 (уровни 1 - 4).

Коэффициенты относительной затратоемкости по КСГ st12.016 - st12.018 (уровни 2 - 4), соответствующим случаям среднетяжелого, тяжелого и крайне тяжелого лечения, учитывают период долечивания пациента.

Правила оплаты госпитализаций в случае перевода на долечивание:

- в пределах одной медицинской организации - оплата в рамках одного случая оказания медицинской помощи (по КСГ с наибольшей стоимостью законченного случая лечения заболевания);

- в другую медицинскую организацию - оплата случая лечения до перевода осуществляется за прерванный случай оказания медицинской помощи по КСГ, соответствующей тяжести течения заболевания. Оплата законченного случая лечения после перевода осуществляется по КСГ st12.019 "Коронавирусная инфекция COVID-19 (долечивание)". Оплата прерванных случаев после перевода осуществляется в общем порядке;

- в амбулаторных условиях - оплата случая лечения до перевода осуществляется за прерванный случай оказания медицинской помощи по КСГ, соответствующей тяжести течения заболевания. Оплата медицинской помощи в амбулаторных условиях осуществляется в общем порядке, определенным тарифным соглашением.

7. Особенности формирования КСГ для оплаты лекарственной терапии при хроническом вирусном гепатите C в дневном стационаре

С 2023 года оплата случаев лекарственной терапии по поводу хронического вирусного гепатита C осуществляется в соответствии со схемами лекарственной терапии.

С учетом установленной длительности одной госпитализации 28 дней сформированы 18 схем лекарственной терапии хронического вирусного гепатита C, включающих три схемы лекарственной терапии у детей от 3 до 12 лет.

Учитывая, что отнесение к КСГ случаев лекарственной терапии хронического вирусного гепатита C осуществляется только по сочетанию кода диагноза по МКБ-10 и иного классификационного критерия "thc", отражающего применение определенной схемы лекарственной терапии для проведения противовирусной терапии, каждой из сформированных схем присвоен код "thc" от 01 до 18.

Детальное описание группировки схем лекарственной терапии хронического вирусного гепатита C в КСГ представлено в таблице.

Иной классификационный критерий МНН лекарственных препаратов Наименование и описание схемы Длительность лекарственной терапии, учтенная в тарифе (дней) КСГ
thc13 [дасабувир; омбитасвир + паритапревир + ритонавир] [Дасабувир; омбитасвир + паритапревир + ритонавир] таблеток набор, содержащий: дасабувир - таблетки, покрытые пленочной оболочкой 250 мг (2 таблетки в наборе), 1 таблетка 2 раза в сутки; омбитасвир + паритапревир + ритонавир - таблетки, покрытые пленочной оболочкой 12,5 мг + 75 мг + 50 мг (2 таблетки в наборе), 2 таблетки 1 раз в сутки 28 ds12.012
thc14 [дасабувир; омбитасвир + паритапревир + ритонавир] + рибавирин [Дасабувир; омбитасвир + паритапревир + ритонавир] таблеток набор, содержащий: дасабувир - таблетки, покрытые пленочной оболочкой 250 мг (2 таблетки в наборе), 1 таблетка 2 раза в сутки; омбитасвир + паритапревир + ритонавир - таблетки, покрытые пленочной оболочкой 12,5 мг + 75 мг + 50 мг (2 таблетки в наборе), 2 таблетки 1 раз в сутки + рибавирин 1000 - 1200 мг в два приема 28
thc09 [гразопревир + элбасвир] [гразопревир + элбасвир] таблетки, покрытые пленочной оболочкой 100 мг + 50 мг, 1 таблетка 1 раз в сутки 28
thc10 [гразопревир + элбасвир] + рибавирин [гразопревир + элбасвир] таблетки, покрытые пленочной оболочкой 100 мг + 50 мг, 1 таблетка 1 раз в сутки + рибавирин 800 - 1400 мг в два приема 28
thc04 [глекапревир + пибрентасвир] [Глекапревир + пибрентасвир] гранулы, покрытые оболочкой, для детей 150 мг + 60 мг (3 саше по 50 мг + 20 мг), 1 раз в сутки 28 ds12.013
thc15 даклатасвир + нарлапревир + ритонавир даклатасвир 60 мг 1 раз в сутки + нарлапревир 200 мг 1 раз в сутки + ритонавир 100 мг 1 раз в сутки 28
thc01 [велпатасвир + софосбувир] [велпатасвир + софосбувир] таблетки, покрытые пленочной оболочкой 100 мг + 400 мг, 1 таблетка 1 раз в сутки 28
thc16 даклатасвир + софосбувир даклатасвир 60 мг 1 раз в сутки + софосбувир 400 мг 1 раз в сутки 28
thc02 [велпатасвир + софосбувир] + рибавирин [велпатасвир + софосбувир] таблетки, покрытые пленочной оболочкой 100 мг + 400 мг, 1 таблетка 1 раз в сутки + рибавирин 1000 - 1200 мг в два приема 28
thc17 даклатасвир + софосбувир + рибавирин даклатасвир 60 мг 1 раз в сутки + софосбувир 400 мг 1 раз в сутки + рибавирин 1000 - 1200 мг в два приема 28
thc05 [глекапревир + пибрентасвир] [Глекапревир + пибрентасвир] гранулы, покрытые оболочкой, для детей 200 мг + 80 мг (4 саше по 50 мг + 20 мг), 1 раз в сутки 28 ds12.014
thc18 нарлапревир + ритонавир + софосбувир нарлапревир 200 мг 1 раз в сутки + ритонавир 100 мг 1 раз в сутки + софосбувир 400 мг 1 раз в сутки 28
thc11 [гразопревир + элбасвир] + софосбувир [гразопревир + элбасвир] таблетки, покрытые пленочной оболочкой 100 мг + 50 мг, 1 таблетка 1 раз в сутки + софосбувир 400 мг 1 раз в сутки 28
thc12 [гразопревир + элбасвир] + софосбувир + рибавирин [гразопревир + элбасвир] таблетки, покрытые пленочной оболочкой 100 мг + 50 мг, 1 таблетка 1 раз в сутки + софосбувир 400 мг 1 раз в сутки + рибавирин 800 - 1400 мг в два приема 28
thc06 [глекапревир + пибрентасвир] [Глекапревир + пибрентасвир] гранулы, покрытые оболочкой, для детей 250 мг + 100 мг (5 саше по 50 мг + 20 мг), 1 раз в сутки 28
thc03 [глекапревир + пибрентасвир] [Глекапревир + пибрентасвир] таблетки, покрытые пленочной оболочкой 300 мг + 120 мг (3 таблетки по 100 мг + 40 мг) 1 раз в сутки 28
thc07 [глекапревир + пибрентасвир] + софосбувир [Глекапревир + пибрентасвир] таблетки, покрытые пленочной оболочкой 300 мг + 120 мг (3 таблетки по 100 мг + 40 мг) 1 раз в сутки + софосбувир 400 мг 1 раз в сутки 28 ds12.015
thc08 [глекапревир + пибрентасвир] + софосбувир + рибавирин [Глекапревир + пибрентасвир] таблетки, покрытые пленочной оболочкой 300 мг + 120 мг (3 таблетки по 100 мг + 40 мг) 1 раз в сутки + софосбувир 400 мг 1 раз в сутки + рибавирин 1000 - 1200 мг в два приема 28

В целях отнесения случая госпитализации к одной из КСГ кодирование указанного случая должно осуществляться с использованием иного классификационного критерия, соответствующего применяемой схеме лекарственной терапии.

Коэффициент относительной затратоемкости для указанных КСГ приведен в расчете на усредненные затраты, исходя из длительности лекарственной терапии 28 дней.

Учитывая, что длительность курса кратна 28 дням, в рамках оплаты курса терапии предполагается подача счетов на оплату каждые 28 дней, начиная с 29 дня от даты госпитализации.

При этом курсовая длительность лекарственной терапии определяется клиническими рекомендациями по вопросам оказания медицинской помощи пациентам с хроническим вирусным гепатитом C и инструкцией к лекарственному препарату.

8. Особенности формирования КСГ для оплаты случаев оказания медицинской помощи при эпилепсии

Оплата случаев лечения по поводу эпилепсии в круглосуточном стационаре осуществляется по четырем КСГ профиля "Неврология", при этом КСГ st15.005 "Эпилепсия, судороги (уровень 1)" формируется только по коду диагноза по МКБ-10, а КСГ st15.018, st15.019 и st15.020 формируются по сочетанию кода диагноза и иного классификационного критерия "ep1", "ep2" или "ep3" соответственно, с учетом объема проведенных лечебно-диагностических мероприятий. Детальное описание группировки указанных КСГ представлено в таблице.

КСГ Коды диагноза МКБ-10 Иной классификационный критерий Описание классификационного критерия
st15.005 "Эпилепсия, судороги (уровень 1)" G40, G40.0, G40.1, G40.2, G40.3, G40.4, G40.6, G40.7, G40.8, G40.9, G41, G41.0, G41.1, G41.2, G41.8, G41.9, R56, R56.0, R56.8 нет ---
st15.018 "Эпилепсия, судороги (уровень 2)" G40.0, G40.1, G40.2, G40.3, G40.4, G40.5, G40.6, G40.7, G40.8, G40.9, R56, R56.0, R56.8 ep1 Обязательное выполнение магнитно-резонансной томографии с высоким разрешением (3 Тл) по программе эпилептического протокола и проведение продолженного видео-ЭЭГ мониторинга с включением сна (не менее 4 часов)
st15.019 "Эпилепсия (уровень 3)" G40.0, G40.1, G40.2, G40.3, G40.4, G40.5, G40.6, G40.7, G40.8, G40.9 ep2 Обязательное выполнение магнитно-резонансной томографии с высоким разрешением (3 Тл) по программе эпилептического протокола и проведение продолженного видео-ЭЭГ мониторинга с включением сна (не менее 4 часов) и терапевтического мониторинга противоэпилептических препаратов в крови с целью подбора противоэпилептической терапии
st15.020 "Эпилепсия (уровень 4)" G40.1, G40.2, G40.3, G40.4, G40.5, G40.8, G40.9 ep3 Обязательное выполнение магнитно-резонансной томографии с высоким разрешением (3 Тл) по программе эпилептического протокола и проведение продолженного видео-ЭЭГ мониторинга с включением сна (не менее 24 часов) и терапевтического мониторинга противоэпилептических препаратов в крови с целью подбора противоэпилептической терапии и консультация врача-нейрохирурга

9. Особенности формирования КСГ для случаев лечения неврологических заболеваний с применением ботулотоксина

Отнесение к КСГ "Неврологические заболевания, лечение с применением ботулотоксина (уровень 1)" (st15.008 и ds15.002) производится по комбинации кода МКБ-10 (диагноза), кода Номенклатуры A25.24.001.002 "Назначение ботулинического токсина при заболеваниях периферической нервной системы", а также иного классификационного критерия "bt2", соответствующего применению ботулотоксину при других показаниях к его применению в соответствии с инструкцией по применению (кроме фокальной спастичности нижней конечности).

Отнесение к КСГ "Неврологические заболевания, лечение с применением ботулотоксина (уровень 2)" (st15.009 и ds15.003) производится по комбинации:

- кода МКБ-10 (диагноза), кода Номенклатуры A25.24.001.002 "Назначение ботулинического токсина при заболеваниях периферической нервной системы", а также иного классификационного критерия "bt1", соответствующего применению ботулотоксина при фокальной спастичности нижней конечности;

- кода МКБ-10 (диагноза), кода возраста "5" (от 0 дней до 18 лет), а также иного классификационного критерия "bt3", соответствующего назначению ботулинического токсина при сиалорее (только в рамках КСГ st15.009 в стационарных условиях).

При одновременном применении ботулотоксина в рамках одного случая госпитализации как при фокальной спастичности нижней конечности, так и при других показаниях, случай подлежит кодированию с использованием кода "bt1".

10. Особенности формирования отдельных КСГ, объединяющих случаи лечения болезней системы кровообращения

Отнесение к большинству КСГ кардиологического (а также ревматологического или терапевтического) профиля производится путем комбинации двух классификационных критериев: терапевтического диагноза и услуги. Это следующие КСГ:

N КСГ Наименование КСГ
Круглосуточный стационар
st13.002 Нестабильная стенокардия, инфаркт миокарда, легочная эмболия (уровень 2)
st13.005 Нарушения ритма и проводимости (уровень 2)
st13.007 Эндокардит, миокардит, перикардит, кардиомиопатии (уровень 2)
st24.004 Ревматические болезни сердца (уровень 2)
st27.007 Стенокардия (кроме нестабильной), хроническая ишемическая болезнь сердца (уровень 2)
st27.009 Другие болезни сердца (уровень 2)
Круглосуточный стационар
Дневной стационар
ds13.002 Болезни системы кровообращения с применением инвазивных методов

Соответственно, если предусмотренные для отнесения к этим КСГ услуги не оказывались, случай классифицируется по диагнозу в соответствии с кодом МКБ-10.

Аналогичный подход применяется при классификации госпитализаций при инфаркте мозга: при проведении тромболитической терапии и/или ряда диагностических манипуляций случай относится к одной из двух КСГ:

N КСГ Наименование КСГ КЗ
st15.015 Инфаркт мозга (уровень 2) 3,12
st15.016 Инфаркт мозга (уровень 3) 4,51

Если никаких услуг, являющихся классификационными критериями, больным не оказывалось, случай должен относиться к КСГ st15.014 "Инфаркт мозга (уровень 1)".

Классификационные критерии отнесения к КСГ st15.015 и st15.016:

Код услуги Наименование услуги N КСГ
A06.12.031.001 Церебральная ангиография тотальная селективная st15.016
A05.12.006 Магнитно-резонансная ангиография с контрастированием (одна область) st15.016
A06.12.056 Компьютерно-томографическая ангиография сосудов головного мозга st15.016
A25.30.036.002 Назначение ферментных фибринолитических лекарственных препаратов для внутривенного введения при инсульте st15.015
A06.12.031 Церебральная ангиография st15.016
A25.30.036.003 Назначение ферментных фибринолитических лекарственных препаратов для внутриартериального введения при инсульте st15.016

КСГ st25.004 "Диагностическое обследование сердечно-сосудистой системы" (ds25.001 "Диагностическое обследование сердечно-сосудистой системы")

Данные КСГ предназначены для оплаты краткосрочных (не более трех дней) случаев госпитализации, целью которых является затратоемкое диагностическое обследование при болезнях системы кровообращения.

Отнесение к данным КСГ производится по комбинации критериев: услуга, представляющая собой метод диагностического обследования, и терапевтический диагноз, в том числе относящийся к диапазонам "I." и Q20 - Q28 по МКБ-10 для болезней системы кровообращения.

Алгоритм формирования группы:

КСГ для случаев проведения тромболитической терапии при инфаркте миокарда и легочной эмболии (КСГ st13.008 - st13.010)

Отнесение к КСГ случаев проведения тромболитической терапии при инфаркте миокарда и легочной эмболии осуществляется на основании иных классификационных критериев "flt1" - "flt5", соответствующих МНН применяемых лекарственных препаратов (см. справочник "МНН ЛП". Детальное описание группировки указанных КСГ представлено в таблице.

Код МНН МНН лекарственных препаратов Код КСГ Наименование КСГ
flt1 Стрептокиназа st13.008 Инфаркт миокарда, легочная эмболия, лечение с применением тромболитической терапии (уровень 1) <*>
flt2 Рекомбинантный белок, содержащий аминокислотную последовательность стафилокиназы st13.009 Инфаркт миокарда, легочная эмболия, лечение с применением тромболитической терапии (уровень 2)
flt3 Проурокиназа
flt4 Алтеплаза st13.010 Инфаркт миокарда, легочная эмболия, лечение с применением тромболитической терапии (уровень 3)
flt5 Тенектеплаза

<*> Оплата по КСГ осуществляется в случае назначения лекарственного препарата по решению врачебной комиссии.

11. Особенности формирования КСГ, классифицирующих случаи диагностики и лечения злокачественных новообразований

Лекарственная терапия злокачественных новообразований (КСГ st08.001 - st08.003, st19.090 - st19.102, st19.125 - st19.143, ds08.001 - ds08.003, ds19.063 - ds19.078, ds19.097 - ds19.115)

Отнесение случаев к группам st19.125 - st19.143 и ds19.097 - ds19.115, охватывающим случаи лекарственного лечения злокачественных новообразований у взрослых (кроме ЗНО кроветворной и лимфоидной ткани), осуществляется на основе комбинации соответствующего кода терапевтического диагноза класса "C" (C00 - C80, C97, D00 - D09) и кода схемы лекарственной терапии (sh0001 - sh9003).

При этом указание в реестре счетов на оплату медицинской помощи услуги A25.30.033 "Назначение лекарственных препаратов при онкологическом заболевании у взрослых" аналогично другим услугам, в том числе не являющимся тарифообразующими, возможно в соответствии с Общими принципами построения и функционирования информационных систем и порядком информационного взаимодействия в сфере обязательного медицинского страхования, утвержденными приказом Федерального фонда обязательного медицинского страхования от 07.04.2011 N 79.

За законченный случай принимается госпитализация для осуществления одному больному определенного числа дней введения лекарственных препаратов, указанному в столбце "Количество дней введения в тарифе" листа "Онкология, схемы ЛТ".

Количество дней введения не равно числу введений, так как в один день больной может получать несколько лекарственных препаратов. Также количество дней введения не равно длительности госпитализации.

Пример 1: схема sh0024 - Винорелбин 25 - 30 мг/м2 в 1-й, 8-й дни; цикл 21 день

Количество дней введения в тарифе - 1.

В один законченный случай входит один день введения винорелбина одному больному, соответственно, за каждый 21-дневный цикл у каждого больного предусмотрено 2 госпитализации: первая для введения винорелбина в 1-й день, вторая - для введения винорелбина в 8-й день.

Схема sh0024.1 - Винорелбин 25 - 30 мг/м2 в 1-й, 8-й дни; цикл 21 день

Количество дней введения в тарифе - 2.

В один законченный случай входит два дня введения винорелбина одному больному, соответственно, за каждый 21-дневный цикл у каждого больного предусмотрена 1 госпитализация для введения винорелбина в 1-й и в 8-й день.

Пример 2: схема sh0695 - Фторурацил 375 - 425 мг/м2 в 1 - 5-й дни + кальция фолинат 20 мг/м2 в 1 - 5-й дни; цикл 28 дней

Количество дней введения в тарифе - 5.

В один законченный случай входит пять последовательных дней введения лекарственных препаратов одному больному; соответственно, за каждый 28-дневный цикл у одного больного предусмотрена одна госпитализация. При применении данной схемы в каждый день введения больной получает 2 лекарственных препарата.

Оплата случая в рамках КСГ рассчитана исходя из определенного количества дней введения. При этом количество дней госпитализации может превышать количество дней введения с учетом периода наблюдения пациента до и после введения лекарственных препаратов. В случае включения в тариф 1 дня введения лекарственных препаратов из нескольких дней, составляющих цикл, предполагается, что между госпитализациями с целью введения лекарственных препаратов (в том числе в рамках одного цикла) пациенту не показано пребывание в условиях круглосуточного и дневного стационара.

В случае применения многокомпонентной схемы, в которой в первое введение вводится несколько препаратов, а в последующие введения вводится один препарат, стоимость КСГ рассчитана по принципу усреднения затрат и распределена равномерно между введениями в рамках цикла. В указанных случаях для всех введений должен использоваться одинаковый код схемы.

Например:

Пациенту проводится химиотерапия в режиме винорелбин 25 мг/м2 в 1-й, 8-й дни + трастузумаб 6 мг/кг (нагрузочная доза 8 мг/кг) в 1-й день; цикл 21 день.

Корректная кодировка для первого и второго введения: Схема sh0027 "Винорелбин + трастузумаб" - подразумевает введение винорелбина и трастузумаба в 1-й день цикла и введение винорелбина в 8-й день цикла.

При расчете стоимости случаев лекарственной терапии учтены при необходимости в том числе нагрузочные дозы (начальная доза больше поддерживающей) в соответствии с инструкциями по применению лекарственных препаратов для медицинского применения (отдельно схемы лекарственной терапии для нагрузочных доз не выделяются), а также учтена сопутствующая терапия для коррекции нежелательных явлений (например, противорвотные препараты, препараты, влияющие на структуру и минерализацию костей и др.) и для лечения и профилактики осложнений основного заболевания.

Нагрузочные дозы отражены в названии и описании схемы, например: Схема sh0218 Цетуксимаб (описание схемы - Цетуксимаб 250 мг/м2 (нагрузочная доза 400 мг/м2) в 1-й день; цикл 7 дней) - подразумевает нагрузочную дозу цетуксимаба 400 мг/м2.

В расчете стоимости случаев лекарственной терапии с применением схем лекарственной терапии, включающих "трастузумаб" с режимом дозирования, учтена возможность изменения режима дозирования на "600 мг" в соответствии с клиническими рекомендациями и инструкциями к лекарственным препаратам.

Отнесение случаев лекарственного лечения с применением схем, не включенных в справочник в качестве классификационного критерия, производится по коду sh9003.

В то же время ввиду того, что в описании схем лекарственной терапии указываются только противоопухолевые лекарственные препараты, при соблюдении применения всех лекарственных препаратов, указанных в составе схемы лекарственной терапии, в случае назначения дополнительных лекарственных препаратов, применяемых в качестве сопроводительной терапии, случай кодируется по коду основной схемы, а назначение дополнительных лекарственных препаратов, не относящихся к противоопухолевой лекарственной терапии, не может служить основанием для применения кода схемы sh9003 в целях кодирования случая противоопухолевой лекарственной терапии.

Также в 2023 году кодируются как sh9003 схемы с лекарственными препаратами, не включенными в перечень жизненно необходимых и важнейших лекарственных препаратов для медицинского применения.

Отнесение случаев к группам st08.001 - st08.003 и ds08.001 - ds08.003, охватывающим случаи лекарственного лечения злокачественных новообразований у детей, производится на основе комбинации соответствующего кода терапевтического диагноза класса "C, D45 - D47", кодов Номенклатуры и возраста - менее 18 лет. Отнесение к указанным КСГ производится по коду Номенклатуры - A25.30.014 Назначение лекарственных препаратов при онкологическом заболевании у детей.

С 2021 года изменились принципы оплаты случаев лекарственной терапии взрослых со злокачественными новообразованиями лимфоидной и кроветворной тканей (КСГ st19.090 - st19.102 и ds19.063 - ds19.078).

Отнесение к указанным КСГ осуществляется по сочетанию кода МКБ-10 (коды C81 - C96, D45 - D47), кода длительности госпитализации, а также, при наличии, кода МНН или АТХ группы применяемых лекарственных препаратов.

Длительность госпитализации распределена на 4 интервала: "1" - пребывание до 3 дней включительно, "2" - от 4 до 10 дней включительно, "3" - от 11 до 20 дней включительно, "4" - от 21 до 30 дней включительно.

Перечень кодов МНН лекарственных препаратов, для которых предусмотрена оплата по КСГ для случаев лекарственной терапии взрослых со злокачественными новообразованиями лимфоидной и кроветворной тканей (st19.097 - st19.102 и ds19.071 - ds19.078), с расшифровкой содержится на вкладке "МНН ЛП" файла "Расшифровка групп" (коды gemop1 - gemop14, gemop16 - gemop18, gemop20 - gemop26). Для случаев применения иных лекарственных препаратов, относящихся к АТХ группе "L" - противоопухолевые препараты и иммуномодуляторы, - предусмотрен код "gem" (вкладка "ДКК" файла "Расшифровка групп"), использующийся для формирования КСГ st19.094 - st19.096 (ЗНО лимфоидной и кроветворной тканей, лекарственная терапия, взрослые, уровни 1 - 3) и ds19.067 - ds19.070 (ЗНО лимфоидной и кроветворной тканей, лекарственная терапия, взрослые, уровни 1 - 4).

Учитывая, что при злокачественных новообразованиях лимфоидной и кроветворной тканей в ряде случаев длительность госпитализации может значительно превышать 30 дней, предполагается ежемесячная подача счетов на оплату, начиная с 30 дней с даты госпитализации. Для каждого случая, предъявляемого к оплате, отнесение к КСГ осуществляется на основании критериев за период, для которого формируется счет.

Пример:

Пациент находился в стационаре в течение 40 дней. При этом на 25-ый день госпитализации ему был введен однократно даратумумаб, более никаких препаратов из перечня (справочник gemop1 - gemop14, gemop16 - gemop18, gemop20 - gemop26) не вводилось, но вводились другие лекарственные препараты с кодом АТХ "L".

Данный случай целесообразно подать к оплате по истечении 30 дней по КСГ st19.102 "ЗНО лимфоидной и кроветворной тканей, лекарственная терапия с применением отдельных препаратов (по перечню), взрослые (уровень 6)" (код длительности - "4", код МНН - "gemop6"), а за оставшиеся 10 дней - по КСГ st19.094 "ЗНО лимфоидной и кроветворной тканей, лекарственная терапия, взрослые (уровень 1)" (код длительности - "2", код АТХ - "gem").

В случае если между последовательными госпитализациями перерыв составляет 1 день и более, то к оплате подаются 2 случая. При этом не допускается предъявление к оплате нескольких случаев в течение 30 дней, если перерыв между госпитализациями составлял менее 1 дня (дата начала следующей госпитализации следовала сразу за датой выписки после предыдущей госпитализации). Также не допускается сочетание в рамках одного случая госпитализации и/или одного периода лечения оплаты по КСГ и по нормативу финансовых затрат на случай оказания высокотехнологичной медицинской помощи.

КСГ st19.037 "Фебрильная нейтропения, агранулоцитоз вследствие проведения лекарственной терапии злокачественных новообразований"

Данная КСГ применяется в случаях, когда фебрильная нейтропения, агранулоцитоз являются основным поводом для госпитализации после перенесенного специализированного противоопухолевого лечения. В случаях, когда фебрильная нейтропения, агранулоцитоз развивается у больного в ходе госпитализации с целью проведения специализированного противоопухолевого лечения, оплата производится по КСГ с наибольшим размером оплаты.

Отнесение случаев лечения к КСГ st19.037 осуществляется по сочетанию двух кодов МКБ-10 (C. и D70 Агранулоцитоз). Учитывая, что кодирование фебрильной нейтропении, агранулоцитоза по КСГ st19.037 осуществляется в случаях госпитализации по поводу осложнений специализированного противоопухолевого лечения, в столбце "Основной диагноз" необходимо указать диагноз, соответствующий злокачественному заболеванию, а код D70 необходимо указать в столбце "Диагноз осложнения". В случае если код D70 указан в столбце "Основной диагноз", случай лечения будет отнесен к другой КСГ, не связанной с лечением злокачественного новообразования.

КСГ st19.038 (ds19.028) "Установка, замена порт-системы (катетера) для лекарственной терапии злокачественных новообразований"

Данная КСГ применяется в случаях, когда установка, замена порт-системы являются основным поводом для госпитализации. Если больному в рамках одной госпитализации устанавливают, меняют порт-систему (катетер) для лекарственной терапии злокачественных новообразований с последующим проведением лекарственной терапии или после хирургического лечения, оплата осуществляется по двум КСГ.

Отнесение случая к КСГ st19.038 (ds19.028) осуществляется по кодам МКБ-10 (C., D00 - D09) и коду Номенклатуры A11.12.001.002 "Имплантация подкожной венозной порт-системы". При этом по коду данной услуги также допустимо кодирование установки и замены периферического венозного катетера - ПИК-катетера (ввиду отсутствия соответствующей услуги в Номенклатуре).

Лучевая терапия (КСГ st19.075 - st19.082 и ds19.050 - ds19.057)

Отнесение к соответствующей КСГ случаев лучевой терапии осуществляется на основании кода медицинской услуги в соответствии с Номенклатурой, а также в ряде случаев - количества дней проведения лучевой терапии (числа фракций).

Справочник диапазонов числа фракций (столбец "Диапазон фракций" листа "Группировщик")

Диапазон фракций Расшифровка
fr01 - 05 Количество фракций от 1 до 5 включительно
fr06 - 07 Количество фракций от 6 до 7 включительно
fr08 - 10 Количество фракций от 8 до 10 включительно
fr11 - 20 Количество фракций от 11 до 20 включительно
fr21 - 29 Количество фракций от 21 до 29 включительно
fr30 - 32 Количество фракций от 30 до 32 включительно
fr33 - 99 Количество фракций от 33 включительно и более

В случае отсутствия указания кода диапазона фракций в Расшифровке групп отнесение случая к соответствующей КСГ осуществляется вне зависимости от числа фракций.

Лучевая терапия в сочетании с лекарственной терапией (КСГ st19.084 - st19.089 и ds19.058, ds19.060 - ds19.062)

Для оплаты случаев лучевой терапии в сочетании с лекарственной терапией и лекарственными препаратами предусмотрены соответствующие КСГ. Отнесение к группам осуществляется по коду медицинской услуги в соответствии с Номенклатурой с учетом количества дней проведения лучевой терапии (числа фракций) (при наличии), а также кода МНН лекарственных препаратов.

В случае отсутствия указания кода диапазона фракций в Расшифровке групп отнесение случая к соответствующей КСГ осуществляется вне зависимости от числа фракций.

Перечень кодов МНН лекарственных препаратов, для которых предусмотрена оплата по КСГ для случаев проведения лучевой терапии в сочетании с лекарственной терапией, с расшифровкой содержится на вкладке "МНН ЛП" файла "Расшифровка групп".

В случае применения лекарственных препаратов, не относящихся к перечню МНН лекарственных препаратов на вкладке "МНН ЛП" файла "Расшифровка групп", предусмотренных для отнесения к КСГ для случаев проведения лучевой терапии в сочетании с лекарственной терапией, оплата случая осуществляется по КСГ, определенной исходя из действующего алгоритма группировки.

Хирургическая онкология

Отнесение к КСГ производится при комбинации диагнозов C00 - C80, C97 и D00 - D09 и услуг, обозначающих выполнение оперативного вмешательства.

К таким КСГ относятся:

st19.001 Операции на женских половых органах при злокачественных новообразованиях (уровень 1)
st19.002 Операции на женских половых органах при злокачественных новообразованиях (уровень 2)
st19.003 Операции на женских половых органах при злокачественных новообразованиях (уровень 3)
st19.004 Операции на кишечнике и анальной области при злокачественных новообразованиях (уровень 1)
st19.005 Операции на кишечнике и анальной области при злокачественных новообразованиях (уровень 2)
st19.006 Операции при злокачественных новообразованиях почки и мочевыделительной системы (уровень 1)
st19.007 Операции при злокачественных новообразованиях почки и мочевыделительной системы (уровень 2)
st19.008 Операции при злокачественных новообразованиях почки и мочевыделительной системы (уровень 3)
st19.009 Операции при злокачественных новообразованиях кожи (уровень 1)
st19.010 Операции при злокачественных новообразованиях кожи (уровень 2)
st19.011 Операции при злокачественных новообразованиях кожи (уровень 3)
st19.012 Операции при злокачественном новообразовании щитовидной железы (уровень 1)
st19.013 Операции при злокачественном новообразовании щитовидной железы (уровень 2)
st19.014 Мастэктомия, другие операции при злокачественном новообразовании молочной железы (уровень 1)
st19.015 Мастэктомия, другие операции при злокачественном новообразовании молочной железы (уровень 2)
st19.016 Операции при злокачественном новообразовании желчного пузыря, желчных протоков и поджелудочной железы (уровень 1)
st19.017 Операции при злокачественном новообразовании желчного пузыря, желчных протоков и поджелудочной железы (уровень 2)
st19.018 Операции при злокачественном новообразовании пищевода, желудка (уровень 1)
st19.019 Операции при злокачественном новообразовании пищевода, желудка (уровень 2)
st19.020 Операции при злокачественном новообразовании пищевода, желудка (уровень 3)
st19.021 Другие операции при злокачественном новообразовании брюшной полости
st19.022 Операции на органе слуха, придаточных пазухах носа и верхних дыхательных путях при злокачественных новообразованиях
st19.023 Операции на нижних дыхательных путях и легочной ткани при злокачественных новообразованиях (уровень 1)
st19.024 Операции на нижних дыхательных путях и легочной ткани при злокачественных новообразованиях (уровень 2)
st19.025 Операции при злокачественных новообразованиях мужских половых органов (уровень 1)
st19.026 Операции при злокачественных новообразованиях мужских половых органов (уровень 2)
ds19.016 Операции при злокачественных новообразованиях кожи (уровень 1)
st19.123 Прочие операции при ЗНО (уровень 1)
st19.124 Прочие операции при ЗНО (уровень 2)
ds19.017 Операции при злокачественных новообразованиях кожи (уровень 2)

Если больному со злокачественным новообразованием выполнялось оперативное вмешательство, не являющееся классификационным критерием для онкологических хирургических групп, то отнесение такого случая к КСГ производится по общим правилам, то есть к КСГ, формируемой по коду выполненного хирургического вмешательства.

В случае если злокачественное новообразование выявлено в результате госпитализации с целью оперативного лечения по поводу неонкологического заболевания (доброкачественное новообразование, кишечная непроходимость и др.), отнесение к КСГ и оплата осуществляются в соответствии с классификационными критериями по коду медицинской услуги без учета кода диагноза злокачественного новообразования. При формировании реестров счетов в указанных случаях рекомендуется установление соответствующей отметки, при этом процесс кодирования случая по соответствующей КСГ осуществляется на уровне субъекта РФ.

Лечение лучевых повреждений

В модели КСГ с 2021 года для случаев лечения лучевых повреждений выделены КСГ st19.103 и ds19.079 "Лучевые повреждения", а также st19.104 "Эвисцерация малого таза при лучевых повреждениях". При этом эвисцерация малого таза при лучевых повреждениях относится в том числе к хирургической онкологии.

Формирование КСГ "Лучевые повреждения" осуществляется на основании сочетания кода МКБ-10, соответствующего лучевым повреждениям, дополнительного кода C., а также иного классификационного критерия "olt", отражающего состояние после перенесенной лучевой терапии.

Формирование КСГ "Эвисцерация малого таза при лучевых повреждениях" осуществляется на основании сочетания кода МКБ-10, соответствующего лучевым повреждениям, дополнительного кода C., иного классификационного критерия "olt", отражающего состояние после перенесенной лучевой терапии, а также следующих кодов Номенклатуры:

A16.30.022 Эвисцерация малого таза;

A16.30.022.001 Эвисцерация малого таза с реконструктивно-пластическим компонентом.

КСГ st36.012 и ds36.006 "Злокачественное новообразование без специального противоопухолевого лечения"

Отнесение к данной КСГ производится, если диагноз относится к классу C, при этом больному не оказывалось услуг, являющихся классификационным критерием (химиотерапии, лучевой терапии, хирургической операции). Данная группа может применяться в случае необходимости проведения поддерживающей терапии и симптоматического лечения.

При экспертизе качества медицинской помощи целесообразно обращать внимание на обоснованность подобных госпитализаций.

В соответствии с Программой по указанным КСГ, а также по КСГ st19.090 - st19.093 и ds19.063 - ds19.066 "ЗНО лимфоидной и кроветворной тканей без специального противоопухолевого лечения" может осуществляться оплата случаев введения медицинской организацией лекарственных препаратов, предоставленных пациентом или иной организацией, действующей в интересах пациента, из иных источников финансирования (за исключением лекарственных препаратов приобретенных пациентом или его представителем за счет личных средств).

КСГ st27.014 "Госпитализация в диагностических целях с постановкой (подтверждением) диагноза злокачественного новообразования"

Отнесение случая к этой группе осуществляется с применением соответствующего кода номенклатуры из раздела "B". Данная группа предназначена в основном как для оплаты случаев госпитализаций в отделения/медицинские организации неонкологического профиля, когда в ходе обследования выявлено злокачественное новообразование с последующим переводом (выпиской) больного для лечения в профильной организации, так и для оплаты случаев госпитализации в отделения онкологического профиля с диагностической целью, включая также необходимость проведения биопсии.

КСГ ds19.029 "Госпитализация в диагностических целях с постановкой (подтверждением) диагноза злокачественного новообразования с использованием ПЭТ КТ (только для федеральных медицинских организаций)"

Данная КСГ применяется только для оплаты медицинской помощи в федеральных медицинских организациях. В связи с чем в тарифных соглашениях субъектов РФ целесообразно предусмотреть тарифы для оплаты ПЭТ КТ в амбулаторных условиях. Отнесение к КСГ ds19.029 осуществляется по коду МКБ-10 (C., D00 - D09) в сочетании со следующими кодами Номенклатуры:

- A07.23.008.001 "Позитронная эмиссионная томография, совмещенная с компьютерной томографией головного мозга с введением контрастного вещества";

- A07.30.043 "Позитронная эмиссионная томография, совмещенная с компьютерной томографией с туморотропными РФП";

- A07.30.043.001 "Позитронная эмиссионная томография, совмещенная с компьютерной томографией с туморотропными РФП с контрастированием".

КСГ ds19.033 "Госпитализация в диагностических целях с проведением молекулярно-генетического и (или) иммуногистохимического исследования или иммунофенотипирования"

С 2020 года диагностика злокачественных новообразований методами молекулярно-генетических и иммуногистохимических исследований при проведении в условиях дневного стационара оплачивается по отдельной КСГ. В 2023 году в рамках данной группы расширены возможности для проведения в том числе иммунофенотипирования при онкогематологических заболеваниях. Отнесение к КСГ ds19.033 осуществляется в соответствии с иными классификационными критериями "mgi" и "ftg", применяемыми для кодирования случаев госпитализации с обязательным выполнением биопсии при подозрении на злокачественное новообразование и проведением диагностических молекулярно-генетических и/или иммуногистохимических исследований или обязательное выполнение трепанобиопсии/или забора крови (другой биологической жидкости) с последующим проведением иммунофенотипирования методом проточной цитофлуориметрии.

В случае если в условиях дневного стационара пациенту выполнена биопсия, являющаяся классификационным критерием КСГ с коэффициентом затратоемкости, превышающим коэффициент затратоемкости КСГ ds19.033, оплата такой госпитализации осуществляется по КСГ с наибольшим коэффициентом затратоемкости.

КСГ st19.122 "Поздний посттрансплантационный период после пересадки костного мозга"

Отнесение к КСГ st19.122 осуществляется по коду иного классификационного критерия "rbpt", соответствующего посттрансплантационному периоду для пациентов, перенесших трансплантацию гемопоэтических стволовых клеток крови и костного мозга (от 30 до 100 дней).

12. Особенности формирования КСГ по профилю "Офтальмология"

Выполнение косметических процедур за счет средств обязательного медицинского страхования не осуществляется. В связи с этим оплата по КСГ услуги A16.26.046.001 "Эксимерлазерная фототерапевтическая кератэктомия" осуществляется только при лечении эрозии, язвы роговицы, кератита, помутнения роговицы, возникшего вследствие воспалительного заболевания или травмы роговицы и в случае невозможности компенсации вызванной ими иррегулярности роговицы с помощью очковой или контактной коррекции, услуг A16.26.046.002 "Эксимерлазерная фоторефракционная кератэктомия" и A16.26.047 "Кератомилез" - при коррекции астигматизма или иррегулярности роговицы, возникших вследствие воспалительного заболевания или травмы роговицы и в случае невозможности их компенсации с помощью очковой или контактной коррекции. Аналогичные принципы применяются для медицинской услуги A16.26.046 "Кератэктомия".

Кодирование медицинского вмешательства по коду услуги A16.26.093 "Факоэмульсификация без интраокулярной линзы. Факофрагментация, факоаспирация" возможно только при наличии противопоказаний к имплантации интраокулярной линзы, отраженных в первичной медицинской документации.

Выявление данных случаев необходимо осуществлять в рамках проведения контроля объемов, сроков, качества и условий предоставления медицинской помощи в системе обязательного медицинского страхования.

Кодирование медицинского вмешательства по КСГ st21.006 "Операции на органе зрения (уровень 6)" по коду услуги A16.26.089 "Витреоэктомия" не допускается при проведении передней витреоэктомии - данные вмешательства должны кодироваться по КСГ st21.003 "Операции на органе зрения (уровень 3)" по коду услуги A16.26.089.001 "Витрэктомия передняя".

13. Особенности формирования КСГ st29.007 "Тяжелая множественная и сочетанная травма (политравма)"

С 2021 года формирование "Тяжелая множественная и сочетанная травма (политравма)" осуществляется по коду иного классификационного критерия "plt", отражающего наличие травмы в двух и более анатомических областях (голова/шея, позвоночник, грудная клетка, живот, таз, конечности), множественную травму и травму в нескольких областях тела, и коду МКБ-10 дополнительного диагноза, характеризующего тяжесть состояния.

Для кодирования критерия "plt" необходимо наличие травм в 2 и более анатомических областях (голова/шея, позвоночник, грудная клетка, живот, таз, конечности - минимум 2 кода МКБ-10) или одного диагноза множественной травмы и травмы в нескольких областях тела. Распределение кодов МКБ-10, которые участвуют в формировании группы st29.007 "Тяжелая множественная и сочетанная травма (политравма)", по анатомическим областям приведено в следующей таблице. Для удобства восприятия, каждой анатомической области присвоен код (столбец "Код анатомич. области").

Код анатомич. области Анатомическая область Коды МКБ-10
T1 Голова/шея S02.0, S02.1, S04.0, S05.7, S06.1, S06.2, S06.3, S06.4, S06.5, S06.6, S06.7, S07.0, S07.1, S07.8, S09.0, S11.0, S11.1, S11.2, S11.7, S15.0, S15.1, S15.2, S15.3, S15.7, S15.8, S15.9, S17.0, S17.8, S18
T2 Позвоночник S12.0, S12.9, S13.0, S13.1, S13.3, S14.0, S14.3, S22.0, S23.0, S23.1, S24.0, S32.0, S32.1, S33.0, S33.1, S33.2, S33.4, S34.0, S34.3, S34.4
T3 Грудная клетка S22.2, S22.4, S22.5, S25.0, S25.1, S25.2, S25.3, S25.4, S25.5, S25.7, S25.8, S25.9, S26.0, S27.0, S27.1, S27.2, S27.4, S27.5, S27.6, S27.8, S28.0, S28.1
T4 Живот S35.0, S35.1, S35.2, S35.3, S35.4, S35.5, S35.7, S35.8, S35.9, S36.0, S36.1, S36.2, S36.3, S36.4, S36.5, S36.8, S36.9, S37.0, S38.3
T5 Таз S32.3, S32.4, S32.5, S36.6, S37.1, S37.2, S37.4, S37.5, S37.6, S37.8, S38.0, S38.2
T6 Конечности S42.2, S42.3, S42.4, S42.8, S45.0, S45.1, S45.2, S45.7, S45.8, S47, S48.0, S48.1, S48.9, S52.7, S55.0, S55.1, S55.7, S55.8, S57.0, S57.8, S57.9, S58.0, S58.1, S58.9, S68.4, S71.7, S72.0, S72.1, S72.2, S72.3, S72.4, S72.7, S75.0, S75.1, S75.2, S75.7, S75.8, S77.0, S77.1, S77.2, S78.0, S78.1, S78.9, S79.7, S82.1, S82.2, S82.3, S82.7, S85.0, S85.1, S85.5, S85.7, S87.0, S87.8, S88.0, S88.1, S88.9, S95.7, S95.8, S95.9, S97.0, S97.8, S98.0
T7 Множественная травма и травма в нескольких областях тела S02.7, S12.7, S22.1, S27.7, S29.7, S31.7, S32.7, S36.7, S38.1, S39.6, S39.7, S37.7, S42.7, S49.7, T01.1, T01.8, T01.9, T02.0, T02.1, T02.2, T02.3, T02.4, T02.5, T02.6, T02.7, T02.8, T02.9, T04.0, T04.1, T04.2, T04.3, T04.4, T04.7, T04.8, T04.9, T05.0, T05.1, T05.2, T05.3, T05.4, T05.5, T05.6, T05.8, T05.9, T06.0, T06.1, T06.2, T06.3, T06.4, T06.5, T06.8, T07

В качестве кода дополнительного диагноза, характеризующего тяжесть состояния, должен быть использован как минимум один из нижеследующих диагнозов: J94.2, J94.8, J94.9, J93, J93.0, J93.1, J93.8, J93.9, J96.0, N 17, T79.4, R57.1, R57.8.

Алгоритм формирования группы:

В этом алгоритме T1 - T7 - коды анатомической области. Комбинация кодов, определяющих политравму (T1 - T6), должна быть из разных анатомических областей.

14. Особенности формирования КСГ по профилю "Комбустиология"

Критерии отнесения: комбинация диагнозов.

КСГ по профилю "Комбустиология" (ожоговые группы) формируются методом комбинации двух диагнозов, один из которых характеризует степень ожога, а другой площадь ожога. Логика формирования групп приведена далее и интегрирована в Группировщике.

N КСГ Наименование КСГ Комментарий (модель) Коды МКБ-10 Дополнительные коды МКБ-10
st33.001 Отморожения (уровень 1) Лечение пострадавших с поверхностными отморожениями T33.0 - T33.9, T35.0  
st33.002 Отморожения (уровень 2) Лечение пострадавших с отморожением, некрозом ткани T34, T34.0 - T34.9, T35.1 - T35.7  
st33.003 Ожоги (уровень 1) Лечение пострадавших с поверхностными ожогами 1 - 2 ст. (площадью менее 10%) T20.1, T20.2, T20.5, T20.6, T21.1, T21.2, T21.5, T21.6, T22.1, T22.2, T22.5, T22.6, T23.1, T23.2, T23.5, T23.6, T24.1, T24.2, T24.5, T24.6, T25.1, T25.2, T25.5, T25.6, T29.1, T29.2, T29.5, T29.6, T30.0, T30.1, T30.2, T30.4, T30.5 T31.0, T32.0
st33.004 Ожоги (уровень 2) Лечение пострадавших с поверхностными ожогами 1 - 2 ст. (площадью 10% и более) T20.1, T20.2, T20.5, T20.6, T21.1, T21.2, T21.5, T21.6, T22.1, T22.2, T22.5, T22.6, T23.1, T23.2, T23.5, T23.6, T24.1, T24.2, T24.5, T24.6, T25.1, T25.2, T25.5, T25.6, T29.1, T29.2, T29.5, T29.6, T30.0, T30.1, T30.2, T30.4, T30.5, T30.6 T31.1 - T31.9, T32.1 - T32.7
st33.005 Ожоги (уровень 3) Лечение пострадавших с глубокими ожогами 3 ст. (площадью менее 10%) T20.0, T20.3, T20.4, T20.7, T21.0, T21.3, T21.4, T21.7, T22.0, T22.3, T22.4, T22.7, T23.0, T23.3, T23.4, T23.7, T24.0, T24.3, T24.4, T24.7, T25.0, T25.3, T25.4, T25.7, T29.0, T29.3, T29.4, T29.7, T30.3, T30.7 T31.0, T32.0
st33.006 Ожоги (уровень 4) Лечение пострадавших с глубокими ожогами 3 ст. (площадью 10% - 29%) T20.0, T20.3, T20.4, T20.7, T21.0, T21.3, T21.4, T21.7, T22.0, T22.3, T22.4, T22.7, T23.0, T23.3, T23.4, T23.7, T24.0, T24.3, T24.4, T24.7, T25.0, T25.3, T25.4, T25.7, T29.0, T29.3, T29.4, T29.7, T30.3, T30.7 T31.1, T31.2, T32.1, T32.2
Термические и химические ожоги внутренних органов T27.0, T27.1, T27.2, T27.3 T27.4, T27.5, T27.6, T27.7  
st33.007 Ожоги (уровень 5) Лечение пострадавших с глубокими ожогами 3 ст. (площадью более 30%) T20.0, T20.3, T20.4, T20.7, T21.0, T21.3, T21.4, T21.7, T22.0, T22.3, T22.4, T22.7, T23.0, T23.3, T23.4, T23.7, T24.0, T24.3, T24.4, T24.7, T25.0, T25.3, T25.4, T25.7, T29.0, T29.3, T29.4, T29.7, T30.3, T30.7 T31.3, T31.4, T31.5, T31.6, T31.7, T31.8, T31.9, T32.3, T32.4, T32.5, T32.6, T32.7, T32.8, T32.9

Исключением являются ожоги дыхательной системы (коды МКБ-10), при наличии которых случай относится к КСГ st33.006 "Ожоги (уровень 4)" независимо от степени и площади ожога туловища.

Ожоги других внутренних органов относятся к КСГ иных профилей, например:

T28.5 Химический ожог рта и глотки st27.004 Другие болезни органов пищеварения, взрослые
T28.5 Химический ожог рта и глотки st22.002 Другие болезни органов пищеварения, дети
T28.0 Термический ожог рта и глотки st27.004 Другие болезни органов пищеварения, взрослые
T28.0 Термический ожог рта и глотки st22.002 Другие болезни органов пищеварения, дети

15. Лекарственная терапия с применением генно-инженерных биологических препаратов и селективных иммунодепрессантов

15.1. Особенности формирования КСГ st36.028 - st36.047 и ds36.015 - ds36.034 "Лечение с применением генно-инженерных биологических препаратов и селективных иммунодепрессантов (уровни 1 - 20)"

Отнесение к данным КСГ производится по комбинации иного классификационного критерия из диапазона "gsh001" - "gsh121", соответствующего МНН лекарственного препарата, наименованию и описанию схемы, количеству дней введения в соответствии со справочником "ГИБП, схемы ЛТ" файла "Расшифровка групп" и кода возраста "5" (от 0 дней до 18 лет) или "6" (старше 18 лет). Код возраста применяется в случае, если лекарственный препарат в соответствии с инструкцией по применению назначается в дозе из расчета на кг веса (мг/кг), и данная дозировка совпадает для пациентов в возрасте от 0 дней до 18 лет и пациентов старше 18 лет.

Периодичность подачи счетов на оплату случаев госпитализации при лечении одного пациента по КСГ st36.028 - st36.047 и ds36.015 - ds36.034 определяется инструкцией к лекарственному препарату и клиническими рекомендациями по соответствующей нозологии.

Выбор КСГ для оплаты случая лечения осуществляется по общим правилам. В ряде случаев стоимость КСГ, определенной по коду основного заболевания, превышает стоимость КСГ с применением генно-инженерных биологических препаратов и селективных иммунодепрессантов (далее - ГИБП и СИ), и оплата в данном случае может осуществляться по КСГ, определенной по коду основного заболевания, при этом учитывается фактическая длительность лечения и наличие у КСГ, определяемой по коду основного заболевания, признака прерванности, в случае длительности госпитализации менее 3-х дней.

В случае лечения пациента лекарственными препаратами в таблетированной форме в стационарных условиях оплата случая осуществляется по КСГ, определенной по коду основного заболевания.

15.2. Особенности формирования КСГ st36.027 и ds36.014 "Лечение с применением генно-инженерных биологических препаратов и селективных иммунодепрессантов (инициация)"

Указанные КСГ применяются для оплаты проведения инициации или замены ГИБП и СИ для заболеваний и состояний, по которым не предусмотрена инициация или замена ГИПБ и СИ, либо предусмотрено назначение только ГИБП без возможности применения СИ, в рамках оказания ВМП.

Необходимо отметить, что поликомпонентная лекарственная терапия с включением (инициацией и заменой) ГИБП и СИ предполагает возможность повторной госпитализации, требующейся в связи с применением насыщающих доз в соответствии с инструкцией по применению лекарственного препарата как в рамках модели КСГ, так и при оказании ВМП.

Отнесение к данным КСГ производится по следующим комбинациям:

- кода МКБ-10, кода возраста "6" (старше 18 лет) и кода иного классификационного критерия "in", соответствующего терапии с инициацией или заменой генно-инженерных биологических лекарственных препаратов или селективных иммунодепрессантов;

- кода МКБ-10, кода возраста "6" (старше 18 лет) и кода иного классификационного критерия "inc", соответствующего терапии с инициацией или заменой селективных иммунодепрессантов;

- кода МКБ-10 и кода иного классификационного критерия "in", соответствующего терапии с инициацией или заменой генно-инженерных биологических лекарственных препаратов или селективных иммунодепрессантов.

16. Особенности формирования КСГ st36.025, st36.026 и ds36.012, ds36.013 "Проведение иммунизации против респираторно-синцитиальной вирусной инфекции"

С 2023 года оплата случаев иммунизации против респираторно-синцитиальной вирусной (РСВ) инфекции дифференцирована на две КСГ уровень 1 и уровень 2 в зависимости от возраста ребенка. При этом МНН лекарственного препарата и конкретизация возраста ребенка закодирована в ином классификационном критерии:

- irs1 "паливизумаб (1 введение) в рамках проведения иммунизации против респираторно-синцитиальной вирусной инфекции (дети до 2-х месяцев, включительно)";

- irs2 "паливизумаб (1 введение) в рамках проведения иммунизации против респираторно-синцитиальной вирусной инфекции (дети старше 2-х месяцев)".

Для отнесения к КСГ st36.025, st36.026 и ds36.012, ds36.013 случай следует кодировать по коду МКБ-10 основного диагноза Z25.8 "Необходимость иммунизации против другой уточненной одной вирусной болезни", коду возраста "4" (от 0 дней до 2 лет) и коду иного классификационного критерия "irs1", соответствующего одному введению паливизумаба в рамках проведения иммунизации против РСВ инфекции для детей до 2-х месяцев (включительно) или "irs2", соответствующего одному введению паливизумаба в рамках проведения иммунизации против РСВ инфекции для детей старше 2-х месяцев.

Указанная КСГ может применяться как самостоятельно, в случае, когда иммунизация против РСВ является основным поводом к госпитализации, так и в сочетании с КСГ для случаев госпитализации по поводу лечения нарушений, возникающих в перинатальном периоде, являющихся в том числе показанием к иммунизации.

Если иммунизация против респираторно-синцитиальной вирусной инфекции оплачивается в сочетании с другой КСГ, то случай следует кодировать с указанием диагноза Z25.8 "Необходимость иммунизации против другой уточненной одной вирусной болезни" в качестве дополнительного диагноза, кодом возраста "4" (от 0 дней до 2 лет) и коду иного классификационного критерия "irs1" или "irs2".

Детальное описание группировки указанных КСГ для круглосуточного и дневного стационара представлено в таблице.

КСГ Основной диагноз (Код МКБ-10) Дополнительный диагноз (Код МКБ-10) Возраст Иной классификационный критерий Описание классификационного критерия
st36.025 или ds36.012 "Проведение иммунизации против респираторно-синцитиальной вирусной инфекции (уровень 1)" Z25.8   4 irs1 Паливизумаб (1 введение) в рамках проведения иммунизации против респираторно-синцитиальной вирусной инфекции (дети до 2-х месяцев, включительно)
st36.025 или ds36.012 "Проведение иммунизации против респираторно-синцитиальной вирусной инфекции (уровень 1)"   Z25.8 4 irs1 Паливизумаб (1 введение) в рамках проведения иммунизации против респираторно-синцитиальной вирусной инфекции (дети до 2-х месяцев, включительно)
st36.026 или ds36.013 "Проведение иммунизации против респираторно-синцитиальной вирусной инфекции (уровень 2)" Z25.8   4 irs2 Паливизумаб (1 введение) в рамках проведения иммунизации против респираторно-синцитиальной вирусной инфекции (дети старше 2-х месяцев)
st36.026 или ds36.013 "Проведение иммунизации против респираторно-синцитиальной вирусной инфекции (уровень 2)"   Z25.8 4 irs2 Паливизумаб (1 введение) в рамках проведения иммунизации против респираторно-синцитиальной вирусной инфекции (дети старше 2-х месяцев)

17. Оплата медицинской помощи при отторжении, отмирании трансплантата органов и тканей

После операции, при дисфункции трансплантированного органа, ведением реципиентов трансплантата занимаются врачи специализированных отделений центров трансплантации в стационаре, а врачи-специалисты наблюдают больных в позднем посттрансплантационном периоде, при поздней дисфункции трансплантата в условиях стационара и дневного стационара.

Учитывая особенности оказания проводимого лечения в стационарных условиях и дневном стационаре, необходимо к законченному случаю относить лечение в течение всего периода нахождения пациента (2 - 3 недели). Отнесение случая к данным группам осуществляется по коду МКБ-10. При этом в период лечения, как в круглосуточном, так и в дневном стационаре, пациент должен обеспечиваться всеми необходимыми лекарственными препаратами.

Пример в условиях стационара:

КСГ st36.006 "Отторжение, отмирание трансплантата органов и тканей"

При этом при расчете стоимости необходимо учитывать поправочные коэффициенты (коэффициент сложности лечения пациентов (в том числе обусловленный наличием трансплантируемого органа), уровень оказания помощи).

Пример в условиях дневного стационара:

КСГ ds36.005 "Отторжение, отмирание трансплантата органов и тканей"

При этом при расчете стоимости необходимо учитывать поправочные коэффициенты (коэффициент сложности лечения пациентов (в том числе обусловленный наличием трансплантируемого органа), уровень оказания помощи).

При проведении экспертизы качества медицинской помощи необходимо оценивать обязательность проводимого лечения в полном объеме.

18. Особенности формирования реанимационных КСГ

Отнесение к КСГ st36.009 "Реинфузия аутокрови", КСГ st36.010 "Баллонная внутриаортальная контрпульсация" и КСГ st36.011 "Экстракорпоральная мембранная оксигенация" осуществляется соответственно по следующим кодам услуг Номенклатуры:

Код услуги Наименование услуги
A16.20.078 Реинфузия аутокрови (с использованием аппарата cell-saver)
A16.12.030 Баллонная внутриаортальная контрпульсация
A16.10.021.001 Экстракорпоральная мембранная оксигенация

Оплата случаев лечения с применением данных медицинских услуг с 2020 года осуществляется по двум КСГ - по сочетанию КСГ для оплаты лечения основного заболевания, являющегося поводом для госпитализации, и одной из вышеуказанных КСГ.

Отнесение случаев лечения пациентов с органной дисфункцией к КСГ st04.006 "Панкреатит с синдромом органной дисфункции", КСГ st12.007 "Сепсис с синдромом органной дисфункции", КСГ st12.013 "Грипп и пневмония с синдромом органной дисфункции", КСГ st27.013 "Отравления и другие воздействия внешних причин с синдромом органной дисфункции" и КСГ st33.008 "Ожоги (уровень 4,5) с синдромом органной дисфункции" осуществляется с учетом в том числе классификационного критерия - "оценка состояния пациента" с кодом "it1".

При этом необходимыми условиями кодирования случаев лечения пациентов с органной дисфункцией являются:

1. Непрерывное проведение искусственной вентиляции легких в течение 72 часов и более;

2. Оценка по шкале органной недостаточности у пациентов, находящихся на интенсивной терапии (Sequential Organ Failure Assessment, SOFA) не менее 5 или оценка по шкале оценки органной недостаточности у пациентов детского возраста, находящихся на интенсивной терапии (Pediatric Sequential Organ Failure Assessment, pSOFA) не менее 4.

Для кодирования признака "it1" должны выполняться одновременно оба условия. За основу берется оценка по шкале SOFA или pSOFA (для лиц младше 18 лет) в наиболее критическом за период госпитализации состоянии пациента.

Оценка состояния пациента по шкале SOFA осуществляется на основе оценки дисфункции шести органных систем (дыхательная, коагуляционная, печеночная, сердечно-сосудистая, неврологическая, почечная). Оценка каждого параметра в 0 баллов соответствует легкой дисфункции, оценка в 4 балла соответствует тяжелой недостаточности.

Градации оценок по шкале SOFA:

Оценка Показатель 0 балл 1 балл 2 балла 3 балла 4 балла
Дыхание PaO2/FiO2, мм рт. ст. 400 < 400 < 300 < 200 < 100
Сердечно-сосудистая система Среднее АД, мм рт. ст. или вазопрессоры, мкг/кг/мин 70 < 70 Дофамин < 5 или добутамин (любая доза) Дофамин 5 - 15 или адреналин < 0,1 норадреналин < 0.1 Дофамин > 15 или адреналин > 0,1 или норадреналин > 0,1
Коагуляция Тромбоциты, 10 3/мкл 150 < 150 < 100 < 50 < 20
Печень Билирубин, ммоль/л, мг/дл < 20 20 - 32 33 - 101 102 - 201 > 204
< 1,2 1.2 - 1.9 2.0 - 5.9 6.0 - 11.9 12.0
Почки Креатинин, мкмоль/л, мг/дл < 110 110 - 170 171 - 299 300 - 440 > 440
< 1,2 1,2 - 1,9 2,0 - 3,4 3,5 - 4,9 > 4,9
ЦНС Шкала Глазго, баллы 15 13 - 14 10 - 12 6 - 9 < 6

Примечания:

- Дисфункция каждого органа оценивается отдельно в динамике.

- PaO2 в mm Hg и FIO2 в % 0.21 - 1.00.

- Адренергические препараты назначены как минимум на 1 час в дозе мкг на кг в минуту.

- Среднее АД в mm Hg =

= ((систолическое АД в mm Hg) + (2 * (диастолическое АД в mm Hg))) / 3.

- 0 баллов - норма; 4 балла - наибольшее отклонение от нормального значения

- Общий балл SOFA = Сумма баллов всех 6 параметров.

Интерпретация:

- минимальный общий балл: 0

- максимальный общий балл: 24

- чем выше балл, тем больше дисфункция органа.

- чем больше общий балл, тем сильнее мультиорганная дисфункция.

Шкала комы Глазго, используемая для оценки дисфункции центральной нервной системы, представлена ниже:

Клинический признак Балл
Открывание глаз:
отсутствует 1
в ответ на болевой стимул 2
в ответ на обращенную речь 3
произвольное 4
Вербальный ответ:
отсутствует 1
нечленораздельные звуки 2
неадекватные слова или выражения 3
спутанная, дезориентированная речь 4
ориентированный ответ 5
Двигательный ответ:
отсутствует 1
тоническое разгибание конечности в ответ на болевой стимул (децеребрация) 2
тоническое сгибание конечности в ответ на болевой стимул (декортикация) 3
отдергивание конечности в ответ на болевой стимул 4
целенаправленная реакция на болевой стимул 5
выполнение команд 6

Примечания:

- 15 баллов - сознание ясное.

- 10 - 14 баллов - умеренное и глубокое оглушение.

- 9 - 10 баллов - сопор.

- 7 - 8 баллов - кома 1-й степени.

- 5 - 6 баллов - кома 2-й степени.

- 3 - 4 балла - кома 3-й степени.

Для оценки состояния пациентов младше 18 лет используется модифицированная шкала pSOFA:

Оценка Показатель
0 балл 1 балл 2 балла 3 балла 4 балла
Дыхание PaO2/FiO2b, мм рт. ст. 400 300 - 399 200 - 299 100 - 199 с респираторной поддержкой < 100 с респираторной поддержкой
или SpO2/FiO2c 292 264 - 291 221 - 264 148 - 220 с респираторной поддержкой < 148 с респираторной поддержкой
Сердечно-сосудистая система Среднее АД соответственно возрастной группе или инфузия вазоактивных препаратов, мм рт. ст. или мкг/кг/минd          
< 1 мес. жизни 46 < 46 Допамин гидрохлорид 5 или добутамин гидрохлорид (любой из препаратов) Допамин гидрохлорид > 5 или эпинефрин 0.1 или норэпинефрин битартрат 0.1 Допамин гидрохлорид > 15 или эпинефрин > 0.1 или норэпинефрин битартрат > 0.1
1 - 11 мес. 55 < 55
12 - 23 мес. 60 < 60
24 - 59 мес. 62 < 62
60 - 143 мес. 65 < 65
144 - 216 67 < 67
Коагуляция Тромбоциты, 103/мкл 150 100 - 149 50 - 99 20 - 49 < 20
Печень Билирубин, мг/дл < 1.2 1.2 - 1.9 2.0 - 5.9 6.0 - 11.9 > 12.0
Почки Креатинин соответственно возрастной группе, мг/дл          
< 1 мес. жизни < 0.8 0.8 - 0.9 1.1 - 1.0 1.2 - 1.5 1.6
1 - 11 мес. < 0.3 0.3 - 0.4 0.5 - 0.7 0.8 - 1.1 1.2
12 - 23 мес. < 0.4 0.4 - 0.5 0.6 - 1.0 1.1 - 1.4 1.5
24 - 59 мес. < 0.6 0.6 - 0.8 0.9 - 1.5 1.6 - 2.2 2.3
60 - 143 мес. < 0.7 0.7 - 1.0 1.1 - 1.7 1.8 - 2.5 2.6
144 - 216 < 1.0 1.0 - 1.6 1.7 - 2.8 2.9 - 4.1 4.2
ЦНС Шкала Глазго, 15 13 - 14 10 - 12 6 - 9 < 6

Примечания:

a - Оценка по шкале pSOFA производится каждые 24 часа. За 24-период берется худшее значение каждой из переменных для всех 6 систем органов. Если в течение 24-периода какая-либо из переменных не регистрировалась, то считается, что ее значение было 0 баллов, т.е. нормальное. Оценка по шкале pSOFA достигается суммированием оценок по 6 системам органов (от 0 до 24 баллов). Чем выше итоговое значение в баллах, тем хуже прогноз.

b - PaO2 измеряется в миллиметрах ртутного столба.

c - в расчете используется значение SpO2 97% и ниже.

d - Среднее артериальное давление (САД, миллиметры ртутного столба) в случаях измерения имеет балльные оценки 0 или 1; в случаях назначения вазопрессорных медикаментов (измеряются в микрограммах на 1 килограмм массы тела в минуту) присваиваются балльные значения 2 или 4. Учитывается период назначения вазопрессоров как минимум в течение 1 часа.

e - Точкой отсечения является возраст пациентов старше 18 лет (216 месяцев жизни), когда должна использоваться оригинальная шкала SOFA.

f - Расчет производился по педиатрической модификации шкалы комы Глазго.

Модификация шкалы комы Глазго, используемой для оценки дисфункции центральной нервной системы у детей, представлена ниже:

Старше 1 года Младше 1 года Оценка
Открывание глаз Спонтанное Спонтанное 4
На вербальную команду На окрик 3
На боль На боль 2
Нет реакции Нет реакции 1
Двигательный ответ Правильно выполняет команду Спонтанный 6
Локализует боль Локализует боль 5
Сгибание-отдергивание Сгибание-отдергивание 4
Патологическое сгибание (декортикационная ригидность) Патологическое сгибание (декортикационная ригидность) 3
Разгибание (децеребрационная ригидность) Разгибание (децеребрационная ригидность) 2
Нет реакции Нет реакции 1
Вербальный ответ Старше 5 лет От 2 до 5 лет 0 - 23 месяца  
Ориентирован Осмысленные слова и фразы Гулит/улыбается 5
Дезориентирован Бессмысленные слова Плач 4
Бессмысленные слова Продолжающийся плач и крик Продолжающийся неадекватный плач или крик 3
Нечленораздельные звуки Стоны (хрюканье) Стоны, ажитация, беспокойство 2
Отсутствует Отсутствует Отсутствует 1

При этом субъект Российской Федерации вправе дополнительно выделять в рамках КСГ, утвержденных на федеральном уровне, подгруппы для случаев органной дисфункции с учетом установленных критериев (оценка по шкале SOFA не менее 5 баллов и непрерывное проведение ИВЛ в течение 72 часов и более или оценка по шкале pSOFA не менее 4 баллов и непрерывное проведение ИВЛ в течение 72 часов и более). Перечень КСГ, для которых рекомендуется дополнительно выделять подгруппы для случаев лечения пациентов с органной дисфункцией:

N КСГ Наименование КСГ
st02.002 Беременность, закончившаяся абортивным исходом
st02.003 Родоразрешение
st02.004 Кесарево сечение
st12.003 Вирусный гепатит острый
st16.006 Переломы черепа, внутричерепная травма
st16.008 Операции на центральной нервной системе и головном мозге (уровень 2)
st29.007 Тяжелая множественная и сочетанная травма (политравма)

Отнесение к КСГ st36.008 "Интенсивная терапия пациентов с нейрогенными нарушениями жизненно важных функций, нуждающихся в их длительном искусственном замещении" по коду МКБ-10 (основное заболевание) и коду классификационного критерия "it2", означающего непрерывное проведение искусственной вентиляции легких в течение 480 часов и более.

19. Особенности формирования КСГ st36.013 - st36.015 для случаев проведения антимикробной терапии инфекций, вызванных полирезистентными микроорганизмами

Отнесение к КСГ st36.013 - st36.015 "Проведение антимикробной терапии инфекций, вызванных полирезистентными микроорганизмами (уровни 1 - 3)" осуществляется по коду иного классификационного критерия из диапазона "amt01" - "amt15", соответствующего коду схемы лекарственной терапии в соответствии со справочником "ДКК" файла "Расшифровка групп".

Иные классификационные критерии для данных КСГ включают МНН дорогостоящего лекарственного препарата, назначение которого является критерием отнесения к группе, а также обязательность наличия результатов микробиологического исследования, подтверждающего наличие инфекции, вызванной полирезистентными микроорганизмами. При этом не ограничена возможность использования в составе применяемой схемы других антимикробных лекарственных препаратов: для антибактериальных лекарственных препаратов возможно сочетание с любыми другими лекарственными препаратами, предусмотренными для проведения антимикробной терапии, в том числе антимикотическими, и наоборот. Также возможно использование как схем, включающих только антибактериальные лекарственные средства, так и терапии, включающей только антимикотические препараты.

Оплата случая лечения по указанным КСГ во всех случаях осуществляется в сочетании с КСГ, определенной по коду основного заболевания. В случае последовательного назначения нескольких курсов антимикробной терапии инфекций, вызванных полирезистентными микроорганизмами, осуществляется оплата по нескольким КСГ, однако не допускается выставление случая по двум КСГ из перечня st36.013 - st36.015 "Проведение антимикробной терапии инфекций, вызванных полирезистентными микроорганизмами (уровень 1 - 3)" с пересекающимися сроками лечения.

20. Особенности формирования реабилитационных КСГ

Отнесение к КСГ st37.001 - st37.018 и ds37.001 - ds37.012, охватывающим случаи оказания реабилитационной помощи, производится по коду сложных и комплексных услуг Номенклатуры (раздел B) в большинстве случаев вне зависимости от диагноза. С 2023 года в КСГ, используемые для оплаты медицинской реабилитации пациентов с заболеваниями центральной нервной системы, дополнительно включен диагноз "Рассеянный склероз" (код МКБ-10 G35).

Также для отнесения к группе КСГ учитывается иной классификационный критерий, в котором учтены следующие параметры:

- шкала реабилитационной маршрутизации (ШРМ), установленной Порядком медицинской реабилитации взрослых;

- уровень курации, установленный порядком медицинской реабилитации для детей;

- оптимальная длительность реабилитации в койко-днях (пациенто-днях);

- факт проведения медицинской реабилитации после перенесенной коронавирусной инфекции COVID-19;

- факт назначения ботулинического токсина;

- факт применения роботизированных систем;

- факт сочетания 2-х медицинских услуг: B05.069.005 "Разработка индивидуальной программы дефектологической реабилитации", B05.069.006 "Разработка индивидуальной программы логопедической реабилитации".

Перечень иных классификационных критериев представлен с расшифровкой в таблице.

Код ДКК Наименование ДКК
rb2 2 балла по шкале реабилитационной маршрутизации (ШРМ)
rb2cov Медицинская реабилитация после перенесенной коронавирусной инфекции COVID-19, 2 балла по шкале реабилитационной маршрутизации (ШРМ)
rb3 3 балла по шкале реабилитационной маршрутизации (ШРМ)
rb3cov Медицинская реабилитация после перенесенной коронавирусной инфекции COVID-19, 3 балла по шкале реабилитационной маршрутизации (ШРМ)
rb4 4 балла по шкале реабилитационной маршрутизации (ШРМ)
rb4cov Медицинская реабилитация после перенесенной коронавирусной инфекции COVID-19, 4 балла по шкале реабилитационной маршрутизации (ШРМ)
rb4d12 4 балла по шкале реабилитационной маршрутизации (ШРМ), не менее 12 дней
rb4d14 4 балла по шкале реабилитационной маршрутизации (ШРМ), не менее 14 дней
rb5 5 баллов по шкале реабилитационной маршрутизации (ШРМ)
rb5cov Медицинская реабилитация после перенесенной коронавирусной инфекции COVID-19, 5 баллов по шкале реабилитационной маршрутизации (ШРМ)
rb5d18 5 баллов по шкале реабилитационной маршрутизации (ШРМ), не менее 18 дней
rb5d20 5 баллов по шкале реабилитационной маршрутизации (ШРМ), не менее 20 дней
rb6 6 баллов по шкале реабилитационной маршрутизации (ШРМ)
rbb2 2 балла по шкале реабилитационной маршрутизации (ШРМ), назначение ботулинического токсина
rbb3 3 балла по шкале реабилитационной маршрутизации (ШРМ), назначение ботулинического токсина
rbb4d14 4 балла по шкале реабилитационной маршрутизации (ШРМ), назначение ботулинического токсина, не менее 14 дней
rbb5d20 5 баллов по шкале реабилитационной маршрутизации (ШРМ), назначение ботулинического токсина, не менее 20 дней
rbbp4 продолжительная медицинская реабилитация (30 дней), 4 балла по шкале реабилитационной маршрутизации (ШРМ), назначение ботулинического токсина
rbbp5 продолжительная медицинская реабилитация (30 дней), 5 баллов по шкале реабилитационной маршрутизации (ШРМ), назначение ботулинического токсина
rbbprob4 продолжительная медицинская реабилитация (30 дней), 4 балла по шкале реабилитационной маршрутизации (ШРМ) с применением роботизированных систем и назначение ботулинического токсина
rbbprob5 продолжительная медицинская реабилитация (30 дней), 5 баллов по шкале реабилитационной маршрутизации (ШРМ) с применением роботизированных систем и назначение ботулинического токсина
rbbrob4d14 4 балла по шкале реабилитационной маршрутизации (ШРМ) с применением роботизированных систем и назначение ботулинического токсина, не менее 14 дней
rbbrob5d20 5 баллов по шкале реабилитационной маршрутизации (ШРМ) с применением роботизированных систем и назначение ботулинического токсина, не менее 20 дней
rbp4 продолжительная медицинская реабилитация (30 дней), 4 балла по шкале реабилитационной маршрутизации (ШРМ)
rbp5 продолжительная медицинская реабилитация (30 дней), 5 баллов по шкале реабилитационной маршрутизации (ШРМ)
rbprob4 продолжительная медицинская реабилитация (30 дней), 4 балла по шкале реабилитационной маршрутизации (ШРМ) с применением роботизированных систем
rbprob5 продолжительная медицинская реабилитация (30 дней), 5 баллов по шкале реабилитационной маршрутизации (ШРМ) с применением роботизированных систем
rbps5 продолжительная медицинская реабилитация (сестринский уход) (30 дней), 5 баллов по шкале реабилитационной маршрутизации (ШРМ)
rbpt Посттрансплантационный период для пациентов, перенесших трансплантацию гемопоэтических стволовых клеток крови и костного мозга (от 30 до 100 дней)
rbrob4d12 4 балла по шкале реабилитационной маршрутизации (ШРМ) с применением роботизированных систем, не менее 12 дней
rbrob4d14 4 балла по шкале реабилитационной маршрутизации (ШРМ) с применением роботизированных систем, не менее 14 дней
rbrob5d18 5 баллов по шкале реабилитационной маршрутизации (ШРМ) с применением роботизированных систем, не менее 18 дней
rbrob5d20 5 баллов по шкале реабилитационной маршрутизации (ШРМ) с применением роботизированных систем, не менее 20 дней
rbs Обязательное сочетание 2-х медицинских услуг: B05.069.005 "Разработка индивидуальной программы дефектологической реабилитации", B05.069.006 "Разработка индивидуальной программы логопедической реабилитации"
ykur1 Уровень курации I
ykur2 Уровень курации II
ykur3d12 Уровень курации III, не менее 12 дней
ykur4d18 Уровень курации IV, не менее 18 дней
ykur3 Уровень курации III
ykur4 Уровень курации IV

Состояние пациента по ШРМ оценивается при поступлении в круглосуточный стационар или дневной стационар по максимально выраженному признаку.

При оценке 0 - 1 балл по ШРМ пациент не нуждается в медицинской реабилитации; при оценке 2 балла пациент получает медицинскую реабилитацию в условиях дневного стационара; при оценке 3 балла медицинская реабилитация оказывается пациенту в условиях дневного стационара или в стационарных условиях в зависимости от состояния пациента и в соответствии с маршрутизацией, установленной в субъекте Российской Федерации; при оценке 4 - 6 баллов медицинская реабилитация осуществляется в стационарных условиях, а также в рамках выездной реабилитации в домашних условиях и консультаций в телемедицинском режиме.

Медицинская реабилитация детей с нарушениями слуха без замены речевого процессора системы кохлеарной имплантации

Отнесение к КСГ "Медицинская реабилитация детей с нарушениями слуха без замены речевого процессора системы кохлеарной имплантации" (КСГ st37.015 и ds37.010) осуществляется по коду медицинской услуги B05.028.001 "Услуги по медицинской реабилитации пациента с заболеваниями органа слуха" или B05.046.001 "Слухо-речевая реабилитация глухих детей с кохлеарным имплантом" в сочетании с двумя классификационными критериями: возраст до 18 лет (код 5) и код классификационного критерия "rbs".

Классификационный критерий "rbs" означает обязательное сочетание двух медицинских услуг: B05.069.005 "Разработка индивидуальной программы дефектологической реабилитации" и B05.069.006 "Разработка индивидуальной программы логопедической реабилитации".

21. Особенности формирования КСГ для случаев лечения дерматозов (st06.004 - st06.007 и ds06.002 - ds06.005)

Отнесение к КСГ st06.004 и ds06.002 "Лечение дерматозов с применением наружной терапии" производится только по коду МКБ-10 (диагнозу).

Отнесение к КСГ st06.005 и ds06.003 "Лечение дерматозов с применением наружной терапии, физиотерапии, плазмафереза", st06.006 и ds06.004 "Лечение дерматозов с применением наружной и системной терапии", st06.007 и ds06.005 "Лечение дерматозов с применением наружной терапии и фототерапии" производится по комбинации кода МКБ-10 (диагноза) и иного классификационного критерия из диапазона "derm1" - "derm9", соответствующего примененному виду терапии в соответствии со справочником "ДКК" файла "Расшифровка групп". Для случаев лечения псориаза в ином классификационном критерии также предусмотрена оценка индекса тяжести и распространенности псориаза (PASI).

Также в указанные КСГ добавлен код МКБ-10 C84.0 - Грибовидный микоз. При этом сочетание кода C84.0 с иным классификационным критерием "derm4", или "derm5", или "derm7", или "derm8" возможно только при оказании медицинской помощи по профилю "Дерматовенерология".

22. Оплата случаев лечения соматических заболеваний, осложненных старческой астенией

КСГ st38.001 "Соматические заболевания, осложненные старческой астенией" формируется с учетом двух классификационных критериев - основного диагноза пациента (из установленного Расшифровкой групп перечня) и сопутствующего диагноза пациента (R54 Старческая астения).

Обязательным условием для оплаты медицинской помощи по данной КСГ также является лечение на геронтологической профильной койке.

23. Оплата медицинской помощи с применением методов диализа

Примеры КСГ в стационарных условиях:

КСГ st18.002 "Формирование, имплантация, реконструкция, удаление, смена доступа для диализа". Группа формируется исходя из соответствующих кодов МКБ-10 и кодов номенклатуры, обозначающих выполнение услуг, обеспечивающих доступ для диализа.

КСГ st18.001 "Почечная недостаточность".

Группа включает острое и устойчивое нарушение функции почек (острая почечная недостаточность и хронические болезни почек).

Пример в условиях дневного стационара:

КСГ ds18.002 "Лекарственная терапия у пациентов, получающих диализ".

Данная группа включает в себя затраты на лекарственные препараты для лечения и профилактики осложнений диализа (эритропоэз стимулирующие препараты, препараты железа, фосфат связывающие вещества, кальцимиметики, препараты витамина Д и др.).

КСГ ds18.003 "Формирование, имплантация, удаление, смена доступа для диализа"

Группа формируется исходя из соответствующих кодов МКБ 10 и кодов номенклатуры, обозначающих выполнение услуг, обеспечивающих доступ для диализа.

При этом стоимость услуги с учетом количества фактически выполненных услуг прибавляется в рамках одного случая лечения по всем КСГ. Перечень рекомендуемых коэффициентов относительной затратоемкости к базовым тарифам (A18.05.002 "Гемодиализ" и A18.30.001 "Перитонеальный диализ") для оплаты диализа (без учета коэффициента дифференциации), представлен в Приложении 2 к настоящим рекомендациям. Поправочные коэффициенты: КУС, КСЛП, коэффициент специфики распространяются только на КСГ, установленные Программой, и подгруппы в их составе. Применение поправочных коэффициентов к стоимости услуг диализа недопустимо.

Приложение 10

ПРАВИЛА ВЫДЕЛЕНИЯ И ПРИМЕНЕНИЯ ПОДГРУПП

Настоящие правила регламентируют подходы к выделению подгрупп в структуре КСГ и их применению для оплаты медицинской помощи.

Выделение подгрупп рекомендуется проводить после всестороннего анализа информации, проведения моделирования и экономических расчетов, подтверждающих целесообразность такого шага.

Увеличение количества групп должно осуществляться только через выделение подгрупп в структуре стандартного перечня КСГ. При этом необходимо придерживаться следующих правил:

- номер подгруппы формируется из номера базовой КСГ, точки и порядкового номера подгруппы в группе;

- наименование подгруппы совпадает с наименованием базовой КСГ либо содержит наименование базовой КСГ со смысловым дополнением.

Пример:

Базовая КСГ:

N КСГ Наименование КСГ КЗ
st05.003 Нарушения свертываемости крови 4,50

После разделения на подгруппы:

КСГ Наименование КСГ КЗ
st05.003.1 Нарушения свертываемости крови, уровень 1 3,15
st05.003.2 Нарушения свертываемости крови, уровень 2 6,52

Формирование подгрупп может осуществляться следующими основными способами:

1-й способ: выделение подгрупп с использованием справочников МКБ 10 и Номенклатуры.

Данный способ предполагает, что базовая КСГ делится на подгруппы через разнесение кодов основных классификационных справочников (МКБ-10 и Номенклатура), используемых при формировании базовой КСГ.

Внимание: формирование подгрупп из кодов МКБ-10 и Номенклатуры, входящих в разные базовые КСГ, не допускается.

2-й способ: выделение подгрупп с использованием схемы лекарственной терапии или МНН лекарственных препаратов.

В рамках данного способа базовая КСГ делится на подгруппы на основании схем лекарственной терапии или кодов МНН, как в случае их использования в базовой КСГ, так и при отсутствии схемы/МНН в базовой КСГ. В случае отсутствия схемы/МНН в базовой КСГ предполагается формирование соответствующего перечня возможных к применению в рамках указанной КСГ лекарственных препаратов строго в соответствии с клиническими рекомендациями. Данный способ выделения подгрупп целесообразно применять в случае отсутствия соответствующих услуг по назначению лекарственных препаратов в Номенклатуре, но необходимости назначения соответствующего лечения согласно клиническим рекомендациям.

3-й способ: выделение подгрупп через введение дополнительно установленных классификационных критериев.

Введение дополнительно установленных классификационных критериев приводит к созданию новых, как позитивных, так и негативных экономических стимулов, для медицинских организаций. Поэтому данный способ может применяться исключительно в тех случаях, когда классификационный критерий отвечает следующим основным требованиям:

- основания к применению данного критерия должны быть четко регламентированы нормативными документами (например, в клинических протоколах, стандартах медицинской помощи);

- применение дополнительно установленного классификационного критерия легко проконтролировать.

Классификационный критерий должен быть включен в реестр счетов на оплату медицинской помощи.

Примеры дополнительно установленных классификационных критериев:

- длительное пребывание на профильной койке (реанимационные, реанимационные для новорожденных, интенсивной терапии, интенсивной терапии для новорожденных) или использование дорогостоящих реанимационных технологий;

- тяжесть состояния больных, характеризующаяся однозначными клиническими критериями;

- осложнение, серьезное сопутствующее заболевание.

Внимание: формирование подгрупп целесообразно предусматривать, если количество случаев, которые планируется выделить в подгруппу статистически репрезентативно, и их большая затратоемкость внутри действующей КСГ, является закономерным (систематически встречающимся) явлением. Оплату отдельных, редко встречающихся, затратных случаев целесообразно осуществлять с применением коэффициента сложности лечения пациента (КСЛП).

По мере внедрения системы КСГ необходимо постоянно осуществлять мониторинг объемных показателей и количества случаев в разрезе подгрупп, прежде всего, имеющих повышенный коэффициент затратоемкости (по сравнению с базовой КСГ). При возникновении чрезмерного роста таких случаев необходимо пересмотреть подходы к формированию подгрупп, а также регулярно проводить медико-экономическую экспертизу.

Расчет весовых коэффициентов подгрупп

Основным условием расчета весовых коэффициентов подгрупп является необходимость сохранить принцип бюджетной нейтральности и обеспечить, чтобы СКЗ подгрупп равнялся коэффициенту затратоемкости базовой группы.

При этом, при необходимости, коэффициент затратоемкости базовой группы может быть скорректирован коэффициентом специфики, в соответствии с рекомендациями.

СКЗ рассчитывается по формуле:

,

где:
- весовой коэффициент затратоемкости подгруппы i;
- количество случаев, пролеченных по подгруппе i;
КС - количество случаев в целом по группе.

Количество случаев по каждой подгруппе планируется в соответствии с количеством случаев за предыдущий год, с учетом запланированной динамики на текущий год.

1 этап: Расчет КЗ "приоритетной группы", или всех КЗ, кроме последней группы

Как правило, выделение подгрупп предполагает определение группы случаев в структуре базовой КСГ, которые предполагается оплачивать по более высокому тарифу, чем остальные случаи в группе.

Средняя стоимость таких случаев рассчитывается в соответствии с действующими нормативными актами (методологией расчета тарифов). Далее, рассчитывается КЗ выделяемой подгруппы по формуле:

,

где:  
коэффициент затратоемкости подгруппы N;
средняя стоимость случая, входящего в подгруппу N;
БС базовая ставка финансирования, утвержденная тарифным соглашением.

2 этап: Определяется КЗ "оставшейся" подгруппы

Расчетный коэффициент затратоемкости оставшейся подгруппы определяется по формуле:

В электронном документе нумерация пунктов соответствует официальному источнику.

2. Для самой последней подгруппы по формуле:

,

где:

- коэффициент затратоемкости оставшейся (последней) подгруппы;

КЗ - коэффициент затратоемкости основной группы;

КС - количество случаев, планируемых по группе в целом;

- коэффициент затратоемкости подгруппы 1;

- количество случаев, планируемых по подгруппе 1;

- коэффициент затратоемкости подгруппы m-1;

- количество случаев, планируемых по подгруппе m-1;

- количество случаев, планируемых по оставшейся (последней) подгруппе.

Необходимо учитывать, что выделение подгрупп может внести существенные искажения в систему финансирования. Например, если количество случаев в "дорогой" подгруппе будет большим, и расчетная средняя стоимость в этой подгруппе существенно превышает стоимость случая в других подгруппах, то более "дешевые" подгруппы могут получить крайне низкий КЗ. Для обеспечения баланса в системе финансирования необходимо использовать, при необходимости, другие инструменты коррекции рисков (коэффициент специфики, коэффициент уровня медицинской организации и др.).

Приложение 11

РЕКОМЕНДУЕМЫЕ ПОДХОДЫ К БАЛЛЬНОЙ ОЦЕНКЕ ПОКАЗАТЕЛЕЙ РЕЗУЛЬТАТИВНОСТИ

(в ред. Письма Минздрава РФ от 11.05.2023 N 31-2/И/2-8278)

N Наименование показателя Предположительный результат Индикаторы выполнения показателя <***> Макс. балл <**>
Взрослое население (в возрасте 18 лет и старше) 19
Оценка эффективности профилактических мероприятий
1 Доля врачебных посещений с профилактической целью за период, от общего числа посещений за период (включая посещения на дому). Прирост показателя за период по отношению к показателю за предыдущий период Прирост < 3% - 0 баллов;
Прирост 3% - 0,5 балла;
Прирост 7% - 1 балл;
Значение показателя в текущем периоде выше среднего значения по субъекту Российской Федерации <****> в текущем периоде (далее - выше среднего) - 0,5 балла;
В текущем периоде достигнуто максимально возможное значение показателя (далее - максимально возможное значение) - 1 балл
1
2 Доля взрослых с болезнями системы кровообращения, выявленными впервые при профилактических медицинских осмотрах и диспансеризации за период, от общего числа взрослых пациентов с болезнями системы кровообращения с впервые в жизни установленным диагнозом за период. Прирост показателя за период по отношению к показателю за предыдущий период Прирост < 5% - 0 баллов;
Прирост 5% - 1 балл;
Прирост 10% - 2 балла;
Выше среднего - 1 балл;
Максимально возможное значение - 2 балла
2
3 Доля взрослых с установленным диагнозом злокачественное новообразование, выявленным впервые при профилактических медицинских осмотрах и диспансеризации за период, от общего числа взрослых пациентов с впервые в жизни установленным диагнозом злокачественное новообразование за период. Прирост показателя за период по отношению к показателю за предыдущий период Прирост < 5% - 0 баллов;
Прирост 5% - 0,5 балла;
Прирост 10% - 1 балл;
Выше среднего - 0,5 балла;
Максимально возможное значение - 1 балл
1
4 Доля взрослых с установленным диагнозом хроническая обструктивная болезнь легких, выявленным впервые при профилактических медицинских осмотрах и диспансеризации за период, от общего числа взрослых пациентов с впервые в жизни установленным диагнозом хроническая обструктивная легочная болезнь за период. Прирост показателя за период по отношению к показателю за предыдущий период Прирост < 5% - 0 баллов;
Прирост 5% - 0,5 балла;
Прирост 10% - 1 балл;
Выше среднего - 0,5 балла;
Максимально возможное значение - 1 балл
1
5 Доля взрослых с установленным диагнозом сахарный диабет, выявленным впервые при профилактических медицинских осмотрах и диспансеризации за период, от общего числа взрослых пациентов с впервые в жизни установленным диагнозом сахарный диабет за период. Прирост показателя за период по отношению к показателю за предыдущий период Прирост < 5% - 0 баллов;
Прирост 5% - 0,5 балла;
Прирост 10% - 1 балл;
Выше среднего - 0,5 балла;
Максимально возможное значение - 1 балл
1
6 Выполнение плана вакцинации взрослых граждан по эпидемиологическим показаниям за период (коронавирусная инфекция COVID-19) Достижение планового показателя 100% плана или более - 2 балла;
Выше среднего - 1 балл
2
Оценка эффективности диспансерного наблюдения
7 Доля взрослых с болезнями системы кровообращения <*>, имеющих высокий риск преждевременной смерти, состоящих под диспансерным наблюдением, от общего числа взрослых пациентов с болезнями системы кровообращения <*>, имеющих высокий риск преждевременной смерти, за период. Прирост показателя за период по отношению к показателю за предыдущий период Прирост < 3% - 0 баллов;
Прирост 3% - 1 балл;
Прирост 7% - 2 балла;
Выше среднего - 1 балл;
Максимально возможное значение - 2 балла
2
8 Число взрослых с болезнями системы кровообращения <*>, имеющих высокий риск преждевременной смерти, которым за период оказана медицинская помощь в экстренной и неотложной форме, от общего числа взрослых пациентов с болезнями системы кровообращения <*>, имеющих высокий риск преждевременной смерти, за период. Уменьшение показателя за период по отношению к показателю в предыдущем периоде Уменьшение < 5% - 0 баллов;
Уменьшение 5% - 0,5 балла;
Уменьшение 10% - 1 балл;
Значение показателя в текущем периоде ниже среднего значения по субъекту Российской Федерации <****> в текущем периоде (далее - ниже среднего) - 0,5 балла;
В текущем периоде достигнуто минимально возможное значение показателя (далее - минимально возможное значение) - 1 балл
1
9 Доля взрослых с болезнями системы кровообращения, в отношении которых установлено диспансерное наблюдение за период, от общего числа взрослых пациентов с впервые в жизни установленным диагнозом болезни системы кровообращения за период. Достижение планового показателя 100% плана или более - 1 балл;
Выше среднего - 0,5 балла
1
10 Доля взрослых с установленным диагнозом хроническая обструктивная болезнь легких, в отношении которых установлено диспансерное наблюдение за период, от общего числа взрослых пациентов с впервые в жизни установленным диагнозом хроническая обструктивная болезнь легких за период. Достижение планового показателя 100% плана или более - 1 балл;
Выше среднего - 0,5 балла
1
11 Доля взрослых с установленным диагнозом сахарный диабет, в отношении которых установлено диспансерное наблюдение за период, от общего числа взрослых пациентов с впервые в жизни установленным диагнозом сахарный диабет за период. Достижение планового показателя 100% плана или более - 2 балла;
Выше среднего - 1 балл
2
12 Доля взрослых, госпитализированных за период по экстренным показаниям в связи с обострением (декомпенсацией) состояний, по поводу которых пациент находится под диспансерным наблюдением, от общего числа взрослых пациентов, находящихся под диспансерным наблюдением за период. Уменьшение показателя за период по отношению к показателю в предыдущем периоде Уменьшение < 5% - 0 баллов;
Уменьшение 5% - 0,5 балла;
Уменьшение 10% - 1 балл;
Ниже среднего - 0,5 балла;
Минимально возможное значение - 1 балл
1
13 Доля взрослых, повторно госпитализированных за период по причине заболеваний сердечно-сосудистой системы или их осложнений в течение года с момента предыдущей госпитализации, от общего числа взрослых, госпитализированных за период по причине заболеваний сердечно-сосудистой системы или их осложнений. Уменьшение показателя за период по отношению к показателю в предыдущем периоде Уменьшение < 3% - 0 баллов;
Уменьшение 3% - 1 балл;
Уменьшение 7% - 2 балла;
Ниже среднего - 1 балл;
Минимально возможное значение - 2 балла
2
14 Доля взрослых, находящихся под диспансерным наблюдением по поводу сахарного диабета, у которых впервые зарегистрированы осложнения за период (диабетическая ретинопатия, диабетическая стопа), от общего числа находящихся под диспансерным наблюдением по поводу сахарного диабета за период. Уменьшение показателя за период по отношению к показателю в предыдущем периоде Уменьшение < 5% - 0 баллов;
Уменьшение 5% - 0,5 балла;
Уменьшение 10% - 1 балл;
Ниже среднего - 0,5 балла;
Минимально возможное значение - 1 балл
1
Детское население (от 0 до 17 лет включительно) 7
Оценка эффективности профилактических мероприятий и диспансерного наблюдения
15 Охват вакцинацией детей в рамках Национального календаря прививок. Достижение планового показателя 100% плана или более - 1 балл;
Выше среднего - 0,5 балла
1
16 Доля детей, в отношении которых установлено диспансерное наблюдение по поводу болезней костно-мышечной системы и соединительной ткани за период, от общего числа детей с впервые в жизни установленными диагнозами болезней костно-мышечной системы и соединительной ткани за период. Достижение планового показателя 100% от числа подлежащих диспансерному наблюдению - 1 балл;
Выше среднего - 0,5 балла
1
17 Доля детей, в отношении которых установлено диспансерное наблюдение по поводу болезней глаза и его придаточного аппарата за период, от общего числа детей с впервые в жизни установленными диагнозами болезней глаза и его придаточного аппарата за период. Достижение планового показателя 100% от числа подлежащих диспансерному наблюдению - 1 балл;
Выше среднего - 0,5 балла
1
18 Доля детей, в отношении которых установлено диспансерное наблюдение по поводу болезней органов пищеварения за период, от общего числа детей с впервые в жизни установленными диагнозами болезней органов пищеварения за период. Достижение планового показателя 100% от числа подлежащих диспансерному наблюдению - 1 балл;
Выше среднего - 0,5 балла
1
19 Доля детей, в отношении которых установлено диспансерное наблюдение по поводу болезней системы кровообращения за период от общего числа детей с впервые в жизни установленными диагнозами болезней системы кровообращения за период. Достижение планового показателя 100% от числа подлежащих диспансерному наблюдению - 2 балла;
Выше среднего - 1 балл
2
20 Доля детей, в отношении которых установлено диспансерное наблюдение по поводу болезней эндокринной системы, расстройства питания и нарушения обмена веществ за период, от общего числа детей с впервые в жизни установленными диагнозами болезней эндокринной системы, расстройства питания и нарушения обмена веществ за период. Достижение планового показателя 100% от числа подлежащих диспансерному наблюдению - 1 балл;
Выше среднего - 0,5 балла
1
Оказание акушерско-гинекологической помощи 6
Оценка эффективности профилактических мероприятий
21 Доля женщин, отказавшихся от искусственного прерывания беременности, от числа женщин, прошедших доабортное консультирование за период. Прирост показателя за период по отношению к показателю за предыдущий период Прирост < 5% - 0 баллов;
Прирост 5% - 0,5 балла;
Прирост 10% - 1 балл;
Выше среднего - 0,5 балла;
Максимально возможное значение - 1 балл
1
22 Доля беременных женщин, вакцинированных от новой коронавирусной инфекции (COVID-19), за период, от числа женщин, состоящих на учете по беременности и родам на начало периода. Достижение планового показателя 100% плана или более - 1 балл;
Выше среднего - 0,5 балла
1
23 Доля женщин с установленным диагнозом злокачественное новообразование шейки матки, выявленным впервые при диспансеризации, от общего числа женщин с установленным диагнозом злокачественное новообразование шейки матки за период. Прирост показателя за период по отношению к показателю за предыдущий период Прирост < 5% - 0 баллов;
Прирост 5% - 0,5 балла;
Прирост 10% - 1 балл;
Выше среднего - 0,5 балла;
Максимально возможное значение - 1 балл
1
24 Доля женщин с установленным диагнозом злокачественное новообразование молочной железы, выявленным впервые при диспансеризации, от общего числа женщин с установленным диагнозом злокачественное новообразование молочной железы за период. Прирост показателя за период по отношению к показателю за предыдущий период Прирост < 5% - 0 баллов;
Прирост 5% - 0,5 балла;
Прирост 10% - 1 балл;
Выше среднего - 0,5 балла;
Максимально возможное значение - 1 балл
1
25 Доля беременных женщин, прошедших скрининг в части оценки антенатального развития плода за период, от общего числа женщин, состоявших на учете по поводу беременности и родов за период. Достижение планового показателя 100% плана или более - 2 балла;
Выше среднего - 1 балл
2

<*> По набору кодов Международной статистической классификацией болезней и проблем, связанных со здоровьем, десятого пересмотра (МКБ-10).

<**> По решению Комиссии рекомендуемые значения максимальных баллов и их количество могут быть пересмотрены для учреждений, которые оказывают помощь женщинам и детскому населению (отдельные юридические лица).

<***> Выполненным считается показатель со значением 0,5 и более баллов. В случае, если медицинская организация удовлетворяет нескольким критериям для начисления баллов - присваивается максимальный из возможных для начисления балл. В случае, если значение, указанное в знаменателе соответствующих формул, приведенных в Приложении 12, равняется нулю, баллы по показателю не начисляются, а указанный показатель (по решению субъекта Российской Федерации) может исключаться из числа применяемых показателей при расчете доли достигнутых показателей результативности для медицинской организации за период.

<****> Среднее значение по субъекту Российской Федерации по показателям рекомендуется рассчитывать на основании сведений об оказании медицинской помощи медицинскими организациями, имеющими прикрепленное население, оплата медицинской помощи в которых осуществляется по подушевому нормативу финансирования, путем деления суммы значений, указанных в числителе соответствующих формул, приведенных в Приложении 12, на сумму значений, указанных в знаменателе соответствующих формул, приведенных в Приложении 12. Полученное значение умножается на 100 по аналогии с алгоритмом, описанным Приложением 12.

Минимально возможным значением показателя является значение "0". Максимально возможным значением показателя "100 процентов".

К группам диагнозов, обусловливающих высокий риск смерти, целесообразно относить любое сочетание сопутствующих заболеваний и осложнений с основным диагнозом, указанных в таблице:

Основной диагноз Сопутствующие заболевания Осложнение заболевания
Ишемические болезни сердца I20 - I25
Гипертензивные болезни I10 - I11; I12 - I13
Цереброваскулярные болезни I60 - I69
Сахарный диабет E10 - E11
Хроническая обструктивная легочная болезнь J44.0 - J44.9
Хроническая болезнь почек, гипертензивная болезнь с поражением почек N18.1 - N18.9
Недостаточность сердечная I50.0 - I50.9
Нарушение ритма I48 - 49
Нарушения проводимости I44 - I45
Сердце легочное хроническое I27.9
Гипостатическая пневмония J18.2
Недостаточность почечная N18.9
Уремия N19
Гангрена R02
Недостаточность легочная J98.4
Эмфизема J43.9

Приложение 12

РЕКОМЕНДУЕМЫЙ ПОРЯДОК РАСЧЕТА ЗНАЧЕНИЙ ПОКАЗАТЕЛЕЙ РЕЗУЛЬТАТИВНОСТИ ДЕЯТЕЛЬНОСТИ МЕДИЦИНСКИХ ОРГАНИЗАЦИЙ

(в ред. Письма Минздрава РФ от 11.05.2023 N 31-2/И/2-8278)

N Наименование показателя Формула расчета <**> Единицы измерения Источник
Взрослое население (в возрасте 18 лет и старше)
Оценка эффективности профилактических мероприятий
1. Доля врачебных посещений с профилактической целью за период, от общего числа посещений за период (включая посещения на дому). , Процент Источником информации являются реестры, оказанной медицинской помощи застрахованным лицам за исключением посещений стоматологического профиля.
Отбор информации для расчета показателей осуществляется по полям реестра:
- дата окончания лечения;
- цель посещения.
где:
- доля врачебных посещений с профилактической целью за период, от общего числа посещений за период (включая посещения на дому), выраженное в процентах;
- число врачебных посещений с профилактической целью за период;
Pvs - посещений за период (включая посещения на дому);
Oz - общее число обращений за отчетный период;
k - коэффициент перевода обращений в посещения.
2. Доля взрослых с болезнями системы кровообращения, выявленными впервые при профилактических медицинских осмотрах и диспансеризации за период, от общего числа взрослых пациентов с болезнями системы кровообращения с впервые в жизни установленным диагнозом за период. , Процент Источником информации являются реестры, оказанной медицинской помощи застрахованным лицам.
Отбор информации для расчета показателей осуществляется по полям реестра:
- дата окончания лечения;
- диагноз основной;
- впервые выявлено (основной);
- характер заболевания;
- цель посещения;
- дата рождения.
где:
Dбск - доля взрослых пациентов с болезнями системы кровообращения, выявленными впервые при профилактических медицинских осмотрах и диспансеризации за период, от общего числа взрослых пациентов с болезнями системы кровообращения с впервые в жизни установленным диагнозом за период;
BSКдисп - число взрослых пациентов с болезнями системы кровообращения, выявленными впервые при профилактических медицинских осмотрах и диспансеризации за период;
BSКвп - общее число взрослых пациентов с болезнями системы кровообращения с впервые в жизни установленным диагнозом за период.
3. Доля взрослых с установленным диагнозом злокачественное новообразование, выявленным впервые при профилактических медицинских осмотрах и
диспансеризации за период, от общего числа взрослых пациентов с впервые в жизни установленным диагнозом злокачественное новообразование за период.
, Процент Расчет показателя осуществляется путем отбора информации по полям реестра формата Д3 "Файл со сведениями об оказанной медицинской помощи при диспансеризации" предусматривает поле реестра "признак подозрения на злокачественное новообразование".
Движение пациента отслеживается по формату реестра Д4 "Файл со сведениями при осуществлении персонифицированного учета оказанной медицинской помощи при подозрении на злокачественное новообразование или установленном диагнозе злокачественного новообразования":
- диагноз основной,
- характер основного заболевания.
где:
Dзно - доля взрослых пациентов с установленным диагнозом злокачественное новообразование, выявленным впервые при профилактических медицинских осмотрах и диспансеризации за период, от общего числа взрослых пациентов с впервые в жизни установленным диагнозом злокачественное новообразование за период;
ZNОдисп - число взрослых пациентов с установленным диагнозом злокачественное новообразование, выявленным впервые при профилактических медицинских осмотрах и диспансеризации за период;
ZNОвп - общее число взрослых пациентов с впервые в жизни установленным диагнозом злокачественное новообразование за период.
4. Доля взрослых с установленным диагнозом хроническая обструктивная болезнь легких, выявленным впервые при профилактических медицинских осмотрах и диспансеризации за период, от общего числа взрослых пациентов с впервые в жизни установленным диагнозом хроническая обструктивная легочная болезнь за период. , Процент Источником информации являются реестры, оказанной медицинской помощи застрахованным лицам.
Отбор информации для расчета показателей осуществляется по полям реестра:
- дата окончания лечения;
- диагноз основной;
- впервые выявлено (основной);
- характер заболевания;
- цель посещения;
- дата рождения.
где:
Dхобл - доля взрослых пациентов с установленным диагнозом хроническая обструктивная болезнь легких, выявленным впервые при профилактических медицинских осмотрах и диспансеризации за период, от общего числа взрослых пациентов с впервые в жизни установленным диагнозом хроническая обструктивная легочная болезнь за период;
Ндисп - число взрослых пациентов с
установленным диагнозом хроническая обструктивная болезнь легких, выявленным впервые при профилактических медицинских осмотрах и диспансеризации за период;
Нвп - общее число взрослых пациентов с впервые в жизни установленным диагнозом хроническая обструктивная легочная болезнь за период.
5. Доля взрослых с установленным диагнозом сахарный диабет, выявленным впервые при профилактических медицинских осмотрах и диспансеризации за период, от общего числа взрослых пациентов с впервые в жизни установленным диагнозом сахарный диабет за период. , Процент Источником информации являются реестры, оказанной медицинской помощи застрахованным лицам.
Отбор информации для расчета показателей осуществляется по полям реестра:
- дата окончания лечения;
- диагноз основной;
- впервые выявлено (основной);
- характер заболевания;
- цель посещения;
- дата рождения.
где:
Dсд - доля взрослых пациентов с установленным диагнозом сахарный диабет, выявленным впервые при профилактических медицинских осмотрах и диспансеризации за период, от общего числа взрослых пациентов с впервые в жизни установленным диагнозом сахарный диабет за период;
SDдисп - число взрослых пациентов с установленным диагнозом сахарный диабет, выявленным впервые при профилактических медицинских осмотрах и диспансеризации за период;
SDвп - общее число взрослых пациентов с впервые в жизни установленным диагнозом сахарный диабет за период.
6. Выполнение плана вакцинации взрослых граждан по эпидемиологическим показаниям за период (коронавирусная инфекция COVID-19). , Процент Источником информации являются сведения органов государственной власти субъектов Российской Федерации в сфере охраны здоровья, соотносимые с данными федерального регистра вакцинированных.
где:
Vvэпид - процент выполнения плана вакцинации взрослых граждан по эпидемиологическим показаниям за период (коронавирусная инфекция COVID-19);
Fvэпид - фактическое число взрослых граждан, вакцинированных от коронавирусной инфекции COVID-19 в отчетном периоде;
Pvэпид - число граждан, подлежащих вакцинации по эпидемиологическим показаниям за период (коронавирусная инфекция COVID-19)
Оценка эффективности диспансерного наблюдения
7. Доля взрослых с болезнями системы кровообращения <*>, имеющих высокий риск преждевременной смерти, состоящих под диспансерным наблюдением, от общего числа взрослых пациентов с болезнями системы кровообращения <*>, имеющих высокий риск преждевременной смерти, за период. , На 100 пациентов Расчет показателя осуществляется путем отбора информации по полям реестра в формате Д1 "Файл со сведениями об оказанной медицинской помощи за период, кроме ВМП, диспансеризации, профилактических медицинских осмотров, медицинской помощи при подозрении на ЗНО":
- дата окончания лечения;
- результат обращения;
- диагноз основной;
- диагноз сопутствующего заболевания;
- диагноз осложнения заболевания;
- диспансерное наблюдение.
где:
DNриск - доля взрослых пациентов с болезнями системы кровообращения <*>, имеющих высокий риск преждевременной смерти, состоящих под диспансерным наблюдением, от общего числа взрослых пациентов с болезнями системы кровообращения <*>, имеющих высокий риск преждевременной смерти, за период;
Rдн - число взрослых пациентов с болезнями системы кровообращения <*>, имеющих высокий риск преждевременной смерти, состоящих под диспансерным наблюдением;
Rвп - общее число взрослых пациентов с болезнями системы кровообращения <*>, имеющих высокий риск преждевременной смерти, обратившихся за медицинской помощью за период.
8. Число взрослых с болезнями системы кровообращения <*>, имеющих высокий риск преждевременной смерти, которым за период оказана медицинская помощь в экстренной и неотложной форме, от общего числа взрослых пациентов с болезнями системы кровообращения <*>, имеющих высокий риск преждевременной смерти, за период. , На 100 пациентов Расчет показателя осуществляется путем отбора информации по полям реестра в формате Д1 "Файл со сведениями об оказанной медицинской помощи, кроме ВМП, диспансеризации, профилактических медицинских осмотров, медицинской помощи при подозрении на ЗНО":
- дата окончания лечения;
- результат обращения;
- диагноз основной;
- диагноз сопутствующего заболевания;
- диагноз осложнения заболевания;
- диспансерное наблюдение;
- условия оказания медицинской помощи;
- форма оказания медицинской помощи.
где:
Sриск - число взрослых пациентов с болезнями системы кровообращения <*>, имеющих высокий риск преждевременной смерти, которым за период оказана медицинская помощь в неотложной форме и (или) скорая медицинская помощь, от общего числа взрослых пациентов с болезнями системы кровообращения <*>, имеющих высокий риск преждевременной смерти, за период;
Vриск - число взрослых пациентов с болезнями системы кровообращения <*>, имеющих высокий риск преждевременной смерти, которым за период оказана медицинская помощь в неотложной форме и (или) скорая медицинская помощь по поводу болезней системы кровообращения <*>, приводящих к высокому риску преждевременной смертности;
Dриск - общее число взрослых пациентов с болезнями системы кровообращения <*>, имеющих высокий риск преждевременной смерти, обратившихся за медицинской помощью за период.
9. Доля взрослых с болезнями системы кровообращения, в отношении которых установлено диспансерное наблюдение за период, от общего числа взрослых пациентов с впервые в жизни установленным диагнозом болезни системы кровообращения за период. , Процент Источником информации являются реестры, оказанной медицинской помощи застрахованным лицам.
Отбор информации для расчета показателей осуществляется по полям реестра:
- дата постановки на диспансерный учет;
- диагноз основной;
- возраст пациента;
- характер заболевания;
- впервые выявлено (основной);
- дата рождения.
Источником информации является информационный ресурс территориального фонда в части сведений о лицах, состоящих под диспансерным наблюдением (гл. 15 Приказ 108н МЗ РФ)
где:
DNбск - доля взрослых пациентов с болезнями системы кровообращения, в отношении которых установлено диспансерное наблюдение за период, от общего числа взрослых пациентов с впервые в жизни установленным диагнозом болезни системы кровообращения за период;
BSКдн - число взрослых пациентов с болезнями системы кровообращения, в отношении которых установлено диспансерное наблюдение за период;
BSКвп - общее число взрослых пациентов с впервые в жизни установленным диагнозом болезни системы кровообращения за период.
10. Доля взрослых с установленным диагнозом хроническая обструктивная болезнь легких, в отношении которых установлено диспансерное наблюдение за период, от общего числа взрослых пациентов с впервые в жизни установленным диагнозом хроническая обструктивная болезнь легких за период. , Процент Источником информации являются реестры, оказанной медицинской помощи застрахованным лицам.
Отбор информации для расчета показателей осуществляется по полям реестра:
- дата постановки на диспансерный учет;
- диагноз основной;
- возраст пациента;
- характер заболевания;
- впервые выявлено (основной);
- дата рождения.
Источником информации является информационный ресурс территориального фонда в части сведений о лицах, состоящих под диспансерным наблюдением (гл. 15 Приказ 108н МЗ РФ)
где:
DNхобл - доля взрослых пациентов с установленным диагнозом хроническая обструктивная болезнь легких, в отношении которых установлено диспансерное наблюдение за период, от общего числа взрослых пациентов с впервые в жизни установленным диагнозом хроническая обструктивная болезнь легких за период;
Ндн - число взрослых пациентов с установленным диагнозом хроническая обструктивная болезнь легких, в отношении которых установлено диспансерное наблюдение за период;
Нвп - общее число взрослых пациентов с впервые в жизни установленным диагнозом хроническая обструктивная болезнь легких за период.
11. Доля взрослых с установленным диагнозом сахарный диабет, в отношении которых установлено диспансерное наблюдение за период, от общего числа взрослых пациентов с впервые в жизни установленным диагнозом сахарный диабет за период. , Процент Источником информации являются реестры, оказанной медицинской помощи застрахованным лицам.
Отбор информации для расчета показателей осуществляется по полям реестра:
- дата постановки на диспансерный учет;
- диагноз основной;
- возраст пациента;
- характер заболевания;
- впервые выявлено (основной);
- дата рождения.
Источником информации является информационный ресурс территориального фонда в части сведений о лицах, состоящих под диспансерным наблюдением (гл. 15 Приказ 108н МЗ РФ)
где:
DNсд - доля взрослых пациентов с установленным диагнозом сахарный диабет, в отношении которых установлено диспансерное наблюдение за период, от общего числа взрослых пациентов с впервые в жизни установленным диагнозом сахарный диабет за период;
SDдн - число взрослых пациентов с установленным диагнозом сахарный диабет, в отношении которых установлено диспансерное наблюдение за период;
SDвп - общее число взрослых пациентов с впервые в жизни установленным диагнозом сахарный диабет за период.
12. Доля взрослых, госпитализированных за период по экстренным показаниям в связи с обострением (декомпенсацией) состояний, по поводу которых пациент находится под диспансерным наблюдением, от общего числа взрослых пациентов, находящихся под диспансерным наблюдением за период. , Процент Источником информации является информационный ресурс территориального фонда в части сведений о лицах, состоящих под диспансерным наблюдением (гл. 15 Приказ 108н МЗ РФ)
Источником информации являются реестры (стационар), оказанной медицинской помощи застрахованным лицам.
Отбор информации для расчета показателей осуществляется по полям реестра:
- дата окончания лечения;
- диагноз основной;
- диагноз сопутствующий;
- диагноз осложнений;
- характер заболевания;
- форма оказания медицинской помощи.
где:
Нвсего - доля взрослых пациентов, госпитализированных за период по экстренным показаниям в связи с обострением (декомпенсацией) состояний, по поводу которых пациент находится под диспансерным наблюдением, от общего числа взрослых пациентов, находящихся под диспансерным наблюдением за период;
Овсего - число взрослых пациентов, госпитализированных за период по экстренным показаниям в связи с обострением (декомпенсацией) состояний, по поводу которых пациент находится под диспансерным наблюдением;
Dnвсего - общее число взрослых пациентов, находящихся под диспансерным наблюдением за период.
13. Доля взрослых, повторно госпитализированных за период по причине заболеваний сердечно-сосудистой системы или их осложнений в течение года с момента предыдущей госпитализации, от общего числа взрослых, госпитализированных за период по причине заболеваний сердечно-сосудистой системы или их осложнений. , Процент Источником информации являются реестры (стационар), оказанной медицинской помощи застрахованным лицам.
Отбор информации для расчета показателей осуществляется по полям реестра:
- дата начала лечения;
- диагноз основной;
- диагноз сопутствующий;
- диагноз осложнений;
- характер заболевания;
- форма оказания медицинской помощи
где:
Рбск - доля взрослых пациентов, повторно госпитализированных за период по причине заболеваний сердечно-сосудистой системы или их осложнений в течение года с момента предыдущей госпитализации, от общего числа взрослых пациентов, госпитализированных за период по причине заболеваний сердечно-сосудистой системы или их осложнений;
РНбск - число взрослых пациентов, повторно госпитализированных за период по причине заболеваний сердечно-сосудистой системы или их осложнений в течение года с момента предыдущей госпитализации;
Нбск - общее число взрослых пациентов, госпитализированных за период по причине заболеваний сердечно-сосудистой системы или их осложнений.
14. Доля взрослых, находящихся под диспансерным наблюдением по поводу сахарного диабета, у которых впервые зарегистрированы осложнения за период (диабетическая ретинопатия, диабетическая стопа), от общего числа находящихся под диспансерным наблюдением по поводу сахарного диабета за период. , Процент Источником информации является информационный ресурс территориального фонда в части сведений о лицах, состоящих под диспансерным наблюдением (гл. 15 Приказ 108н МЗ РФ)
Источником информации являются реестры, оказанной медицинской помощи застрахованным лицам.
Отбор информации для расчета показателей осуществляется по полям реестра:
- дата окончания лечения;
- диагноз основной;
- диагноз сопутствующий;
- впервые выявлено (основной);
- характер заболевания;
- цель посещения.
где:
SD - доля взрослых пациентов, находящихся под диспансерным наблюдением по поводу сахарного диабета, у которых впервые зарегистрированы осложнения за период (диабетическая ретинопатия, диабетическая стопа), от общего числа взрослых пациентов, находящихся под диспансерным наблюдением по поводу сахарного диабета за период;
Osl - число взрослых пациентов, находящихся под диспансерным наблюдением по поводу сахарного диабета, у которых впервые зарегистрированы осложнения за период (диабетическая ретинопатия, диабетическая стопа);
SD - общее число взрослых пациентов, находящихся под диспансерным наблюдением по поводу сахарного диабета за период.
Детское население (от 0 до 17 лет включительно)
Оценка эффективности профилактических мероприятий и диспансерного наблюдения
15. Охват вакцинацией детей в рамках Национального календаря прививок. , Процент Источником информации являются данные органов государственной власти субъектов Российской Федерации в сфере охраны здоровья, предоставляемые на бумажных носителях.
где:
Vdнац - процент охвата вакцинацией детей в рамках Национального календаря прививок в отчетном периоде;
Fdнац - фактическое число вакцинированных детей в рамках Национального календаря прививок в отчетном периоде;
Pdнац - число детей соответствующего возраста (согласно Национальному календарю прививок) на начало отчетного периода.
16. Доля детей, в отношении которых установлено диспансерное наблюдение по поводу болезней костно-мышечной системы и соединительной ткани за период, от общего числа детей с впервые в жизни установленными диагнозами болезней костно-мышечной системы и соединительной ткани за период. , Процент Источником информации являются реестры, оказанной медицинской помощи застрахованным лицам.
Отбор информации для расчета показателей осуществляется по полям реестра:
- дата рождения;
- дата окончания лечения;
- диагноз основной;
- впервые выявлено (основной);
- характер заболевания;
- цель посещения.
где:
Ddkms - доля детей, в отношении которых установлено диспансерное наблюдение по поводу болезней костно-мышечной системы и соединительной ткани за период, от общего числа детей с впервые в жизни установленными диагнозами болезней костно-мышечной системы и соединительной ткани за период;
Cdkms - число детей, в отношении которых установлено диспансерное наблюдение по поводу болезней костно-мышечной системы и соединительной ткани за период;
Cpkms - общее число детей с впервые в жизни установленными диагнозами болезней костно-мышечной системы и соединительной ткани за период.
17. Доля детей, в отношении которых установлено диспансерное наблюдение по поводу болезней глаза и его придаточного аппарата за период, от общего числа детей с впервые в жизни установленными диагнозами болезней глаза и его придаточного аппарата за период. , Процент Источником информации являются реестры, оказанной медицинской помощи застрахованным лицам.
Отбор информации для расчета показателей осуществляется по полям реестра:
- дата рождения;
- дата окончания лечения;
- диагноз основной;
- впервые выявлено (основной);
- характер заболевания;
- цель посещения.
где:
Ddgl - доля детей, в отношении которых установлено диспансерное наблюдение по поводу болезней глаза и его придаточного аппарата за период, от общего числа детей с впервые в жизни установленными диагнозами болезней глаза и его придаточного аппарата за период;
Cdgl - число детей, в отношении которых установлено диспансерное наблюдение по поводу болезней глаза и его придаточного аппарата за период;
Cpgl - общее число детей с впервые в жизни установленными диагнозами болезней глаза и его придаточного аппарата за период.
18. Доля детей, в отношении которых установлено диспансерное наблюдение по поводу болезней органов пищеварения за период, от общего числа детей с впервые в жизни установленными диагнозами болезней органов пищеварения за период. , Процент Источником информации являются реестры, оказанной медицинской помощи застрахованным лицам.
Отбор информации для расчета показателей осуществляется по полям реестра:
- дата рождения;
- дата окончания лечения;
- диагноз основной;
- впервые выявлено (основной);
- характер заболевания;
- цель посещения.
где:
Dbop - доля детей, в отношении которых установлено диспансерное наблюдение по поводу болезней органов пищеварения за период, от общего числа детей с впервые в жизни установленными диагнозами болезней органов пищеварения за период;
Cdbop - число детей, в отношении которых установлено диспансерное наблюдение по поводу болезней органов пищеварения за период;
Cpbop - общее число детей с впервые в жизни установленными диагнозами болезней органов пищеварения за период.
19. Доля детей, в отношении которых установлено диспансерное наблюдение по поводу болезней системы кровообращения за период от общего числа детей с впервые в жизни установленными диагнозами болезней системы кровообращения за период. , Процент Источником информации являются реестры, оказанной медицинской помощи застрахованным лицам.
Отбор информации для расчета показателей осуществляется по полям реестра:
- дата рождения;
- дата окончания лечения;
- диагноз основной;
- впервые выявлено (основной);
- характер заболевания;
- цель посещения.
где:
Ddbsk - доля детей, в отношении которых установлено диспансерное наблюдение по поводу болезней системы кровообращения за период, от общего числа детей с впервые в жизни установленными диагнозами болезней системы кровообращения за период;
Cdbsk - число детей, в отношении которых установлено диспансерное наблюдение по поводу болезней системы кровообращения за период
Cpbsk - общее число детей с впервые в жизни установленными диагнозами болезней системы кровообращения за период.
20. Доля детей, в отношении которых установлено диспансерное наблюдение по поводу болезней эндокринной системы, расстройства питания и нарушения обмена веществ за период, от общего числа детей с впервые в жизни установленными диагнозами болезней эндокринной системы, расстройства питания и нарушения обмена веществ за период. , Процент Источником информации являются реестры, оказанной медицинской помощи застрахованным лицам.
Отбор информации для расчета показателей осуществляется по полям реестра:
- дата рождения;
- дата окончания лечения;
- диагноз основной;
- впервые выявлено (основной);
- характер заболевания;
- цель посещения.
где:
Ddbes - доля детей, в отношении которых установлено диспансерное наблюдение по поводу болезней эндокринной системы, расстройства питания и нарушения обмена веществ за период, от общего числа детей с впервые в жизни установленными диагнозами болезней эндокринной системы, расстройства питания и нарушения обмена веществ за период;
Cdbes - число детей, в отношении которых установлено диспансерное наблюдение по поводу болезней эндокринной системы, расстройства питания и нарушения обмена веществ за период;
Cpbes - общее число детей с впервые в жизни установленными диагнозами болезней эндокринной системы, расстройства питания и нарушения обмена веществ за период.
Оказание акушерско-гинекологической помощи
Оценка эффективности профилактических мероприятий
21. Доля женщин, отказавшихся от искусственного прерывания беременности, от числа женщин, прошедших доабортное консультирование за период. , Процент Источником информации являются данные органов государственной власти субъектов Российской Федерации в сфере охраны здоровья, предоставляемые на бумажных носителях.
где:
W - доля женщин, отказавшихся от искусственного прерывания беременности, от числа женщин, прошедших доабортное консультирование за период;
Котк - число женщин, отказавшихся от искусственного прерывания беременности;
K - общее число женщин, прошедших доабортное консультирование за период.
22. Доля беременных женщин, вакцинированных от коронавирусной инфекции COVID-19, за период, от числа женщин, состоящих на учете по беременности и родам на начало периода. , Процент Источником информации являются данные органов государственной власти субъектов Российской Федерации в сфере охраны здоровья, предоставляемые на бумажных носителях (Pbcovid) и данные федерального регистра вакцинированных (Fbcovid).
где:
Vbcovid - доля беременных женщин, вакцинированных от коронавирусной инфекции COVID-19, за период, от числа женщин, состоящих на учете по беременности и родам на начало периода;
Fbcovid - фактическое число беременных женщин, вакцинированных от коронавирусной инфекции COVID-19, за период;
Pbcovid - число женщин, состоящих на учете по беременности и родам на начало периода.
23. Доля женщин с установленным диагнозом злокачественное новообразование шейки матки, выявленным впервые при диспансеризации, от общего числа женщин с установленным диагнозом злокачественное новообразование шейки матки за период. , Процент Расчет показателя производится путем отбора информации по полям реестра формата Д3 "Файл со сведениями об оказанной медицинской помощи при диспансеризации" предусматривает поле реестра:
- признак подозрения на злокачественное новообразование.
В дальнейшем движение пациента возможно отследить по формату Д4. Файл со сведениями при осуществлении персонифицированного учета оказанной медицинской помощи при подозрении на злокачественное новообразование или установленном диагнозе злокачественного новообразования
- диагноз основной,
- характер основного заболевания
где:
Z шм - доля женщин с установленным диагнозом злокачественное новообразование шейки матки, выявленным впервые при диспансеризации, от общего числа женщин с установленным диагнозом злокачественное новообразование шейки матки за период;
A шм - число женщин с установленным диагнозом злокачественное новообразование шейки матки, выявленным впервые при диспансеризации;
V шм - общее число женщин с установленным диагнозом злокачественное новообразование шейки матки за период.
24. Доля женщин с установленным диагнозом злокачественное новообразование молочной железы, выявленным впервые при диспансеризации, от общего числа женщин с установленным диагнозом злокачественное новообразование молочной железы за период. , Процент Расчет осуществляется путем отбора информации по полям реестра формата Д3 "Файл со сведениями об оказанной медицинской помощи при диспансеризации" предусматривает поле реестра:
- признак подозрения на злокачественное новообразование.
В дальнейшем движение пациента возможно отследить по формату Д4. Файл со сведениями при осуществлении персонифицированного учета оказанной медицинской помощи при подозрении на злокачественное новообразование или установленном диагнозе злокачественного новообразования
- диагноз основной,
- характер основного заболевания.
где:
Z мж - доля женщин с установленным диагнозом злокачественное новообразование молочной железы, выявленным впервые при диспансеризации, от общего числа женщин с установленным диагнозом злокачественное новообразование молочной железы за период;
A мж - число женщин с установленным диагнозом злокачественное новообразование молочной железы, выявленным впервые при диспансеризации;
V мж - общее число женщин с установленным диагнозом злокачественное новообразование молочной железы за период.
25. Доля беременных женщин, прошедших скрининг в части оценки антенатального развития плода за период, от общего числа женщин, состоявших на учете по поводу беременности и родов за период. , Процент Источником информации являются данные органов государственной власти субъектов Российской Федерации в сфере охраны здоровья, предоставляемые на бумажных носителях.
где:
B - доля беременных женщин, прошедших скрининг в части оценки антенатального развития плода за период, от общего числа женщин, состоявших на учете по поводу беременности и родов за период;
S - число беременных женщин, прошедших скрининг в части оценки антенатального развития плода при сроке беременности 11 - 14 недель (УЗИ и определение материнских сывороточных маркеров) и 19 - 21 неделя (УЗИ), с родоразрешением за период;
U - общее число женщин, состоявших на учете по поводу беременности и родов за период, с родоразрешением за период.

<*> По набору кодов Международной статистической классификацией болезней и проблем, связанных со здоровьем, десятого пересмотра (МКБ-10).

<**> В условиях распространения новой коронавирусной инфекции (COVID-19) методика расчета показателя может быть скорректирована на предмет исключения из расчета периода, когда деятельность медицинской организации (в части соответствующего направления деятельности) была приостановлена приказом руководителя медицинской организации за отчетный и предыдущий год соответственно путем пересчета к годовому значению.