Постановление Правительства РФ от 18.12.2023 N 2192

"О внесении изменений в некоторые акты Правительства Российской Федерации"
Редакция от 18.12.2023 — Действует с 26.12.2023

ПРАВИТЕЛЬСТВО РОССИЙСКОЙ ФЕДЕРАЦИИ

ПОСТАНОВЛЕНИЕ
от 18 декабря 2023 г. N 2192

О ВНЕСЕНИИ ИЗМЕНЕНИЙ В НЕКОТОРЫЕ АКТЫ ПРАВИТЕЛЬСТВА РОССИЙСКОЙ ФЕДЕРАЦИИ

Правительство Российской Федерации постановляет:

1. Утвердить прилагаемые изменения, которые вносятся в акты Правительства Российской Федерации.

2. Упразднить рабочую группу по исследовательским центрам в сфере искусственного интеллекта.

3. Признать утратившими силу акты Правительства Российской Федерации по перечню согласно приложению.

4. Настоящее постановление вступает в силу со дня его официального опубликования.

Председатель Правительства
Российской Федерации
М. МИШУСТИН

УТВЕРЖДЕНЫ
постановлением Правительства
Российской Федерации
от 18 декабря 2023 г. N 2192

ИЗМЕНЕНИЯ, КОТОРЫЕ ВНОСЯТСЯ В АКТЫ ПРАВИТЕЛЬСТВА РОССИЙСКОЙ ФЕДЕРАЦИИ

1. Пункт 6 Положения о Правительственной комиссии по цифровому развитию, использованию информационных технологий для улучшения качества жизни и условий ведения предпринимательской деятельности, утвержденного постановлением Правительства Российской Федерации от 7 сентября 2018 г. N 1065 "О Правительственной комиссии по цифровому развитию, использованию информационных технологий для улучшения качества жизни и условий ведения предпринимательской деятельности" (Собрание законодательства Российской Федерации, 2018, N 38, ст. 5846), дополнить абзацем следующего содержания:

"Президиум Комиссии определяет перечень получателей поддержки на реализацию программ исследовательских центров в сфере искусственного интеллекта, в том числе в области "сильного" искусственного интеллекта, систем доверенного искусственного интеллекта и этических аспектов применения искусственного интеллекта (далее - центры), утверждает сводный отчет о результатах мониторинга предоставления поддержки центрам, подготавливаемый в соответствии с пунктом 69 Правил предоставления субсидии из федерального бюджета на государственную поддержку автономной некоммерческой организации "Аналитический центр при Правительстве Российской Федерации" в целях поддержки исследовательских центров в сфере искусственного интеллекта, в том числе в области "сильного" искусственного интеллекта, систем доверенного искусственного интеллекта и этических аспектов применения искусственного интеллекта, утвержденных постановлением Правительства Российской Федерации от 5 июля 2021 г. N 1120 "Об утверждении Правил предоставления субсидии из федерального бюджета на государственную поддержку автономной некоммерческой организации "Аналитический центр при Правительстве Российской Федерации" в целях поддержки исследовательских центров в сфере искусственного интеллекта, в том числе в области "сильного" искусственного интеллекта, систем доверенного искусственного интеллекта и этических аспектов применения искусственного интеллекта", рассматривает оценку достижения целей реализации программ центров и показателей предоставления поддержки, проведенную по итогам последнего года реализации программ центров, а также принимает решение о прекращении предоставления поддержки одному или нескольким центрам.".

2. В Правилах предоставления субсидии из федерального бюджета на государственную поддержку автономной некоммерческой организации "Аналитический центр при Правительстве Российской Федерации" в целях поддержки исследовательских центров в сфере искусственного интеллекта, в том числе в области "сильного" искусственного интеллекта, систем доверенного искусственного интеллекта и этических аспектов применения искусственного интеллекта, утвержденных постановлением Правительства Российской Федерации от 5 июля 2021 г. N 1120 "Об утверждении Правил предоставления субсидии из федерального бюджета на государственную поддержку автономной некоммерческой организации "Аналитический центр при Правительстве Российской Федерации" в целях поддержки исследовательских центров в сфере искусственного интеллекта, в том числе в области "сильного" искусственного интеллекта, систем доверенного искусственного интеллекта и этических аспектов применения искусственного интеллекта" (Собрание законодательства Российской Федерации, 2021, N 28, ст. 5548):

1) в пункте 2:

абзац девятый изложить в следующей редакции:

"получатель поддержки" - участник отбора получателей поддержки, определенный по итогам отбора получателей поддержки в порядке, предусмотренном настоящими Правилами, в 2021 году, или участник предварительного отбора, определенный решением президиума Правительственной комиссии по цифровому развитию, использованию информационных технологий для улучшения качества жизни и условий ведения предпринимательской деятельности (далее - президиум Комиссии) в 2023 году;";

после абзаца девятого дополнить абзацем следующего содержания:

"предварительный отбор получателей поддержки" - совокупность организационно-технических и экспертно-аналитических мероприятий, включая их информационное сопровождение, проводимых оператором субсидии в форме предварительного отбора в соответствии с документацией предварительного отбора получателей поддержки исследовательских центров в сфере искусственного интеллекта, в том числе в области "сильного" искусственного интеллекта, систем доверенного искусственного интеллекта и этических аспектов применения искусственного интеллекта (центров 2-й волны) (далее - документация предварительного отбора), утвержденной Министерством экономического развития Российской Федерации. Результаты предварительного отбора направляются оператором субсидии в Министерство экономического развития Российской Федерации в целях формирования Министерством экономического развития Российской Федерации рекомендаций по определению перечня получателей поддержки для президиума Комиссии;";

в абзаце десятом слова "на период до 2024 года включительно" заменить словами "в 2021 году или участником предварительного отбора получателей поддержки в 2023 году";

абзац одиннадцатый изложить в следующей редакции:

"экспертный совет" - экспертный совет по исследовательским центрам в сфере искусственного интеллекта, который является постоянно действующим органом, образованным оператором субсидии по согласованию с Министерством экономического развития Российской Федерации в соответствии с пунктом 62 настоящих Правил;";

в абзаце двенадцатом слова "для рассмотрения рабочей группой" исключить;

абзац четырнадцатый после слов "в документации отбора получателей поддержки" дополнить словами "в 2021 году";

после абзаца пятнадцатого дополнить абзацем следующего содержания:

"цель программы центра" - цель, на достижение которой направлена реализация программы и плана деятельности центра, заявленная получателем поддержки в соответствии с требованиями, установленными в документации отбора получателей поддержки или документации предварительного отбора получателей поддержки;";

абзац шестнадцатый заменить текстом следующего содержания:

"центр" - исследовательский центр, который является структурным подразделением участника отбора получателей поддержки, получателя поддержки, целью деятельности которого является:

для центров 1-й волны (отобранных в 2021 году) - проведение научных исследований, включая фундаментальные и прикладные исследования, и разработок по передовым направлениям развития сферы искусственного интеллекта, в том числе "сильного" искусственного интеллекта, систем доверенного искусственного интеллекта и этических аспектов применения искусственного интеллекта, а также участие в подготовке и реализации образовательных программ в форме подготовки учебно-методических материалов и (или) средств обучения и воспитания, в том числе подготовки и проведения учебных курсов по тематике искусственного интеллекта, создания и развития образовательных технологий с использованием искусственного интеллекта, в кооперации с другими организациями;

для центров 2-й волны (перечень которых определяется решением президиума Комиссии в 2023 году) - проведение прикладных исследований и разработок по передовым направлениям развития сферы искусственного интеллекта в одной или нескольких отраслях экономики, создание прикладных продуктов и решений на основе технологий искусственного интеллекта, методологическое сопровождение их тиражирования, а также участие в подготовке и реализации образовательных программ в форме подготовки учебно-методических материалов и (или) средств обучения и воспитания, в том числе подготовки и проведения учебных курсов по тематике искусственного интеллекта, создания и развития образовательных технологий с использованием искусственного интеллекта, в кооперации с другими организациями. Перечень отраслей экономики для отбора центров 2-й волны устанавливается в документации отбора получателей поддержки. В указанный перечень не могут быть включены нефтегазовая отрасль, финансовая отрасль и торговля;";

абзац семнадцатый признать утратившим силу;

2) абзац второй подпункта "б" пункта 3 после слова "работников" дополнить словами ", выплаты выходного пособия, среднего месячного заработка на период трудоустройства";

3) пункт 4 дополнить абзацем следующего содержания:

"Затраты на фонд оплаты труда оператора субсидии и начисления на оплату труда за счет средств субсидии по направлению, указанному в подпункте "б" пункта 3 настоящих Правил, в 2023 году не могут превышать предельные предусмотренные соглашением объемы бюджетных ассигнований на указанные расходы в 2022 году с учетом ежегодной индексации.";

4) пункт 6 изложить в следующей редакции:

"6. Сведения о субсидии размещаются на едином портале бюджетной системы Российской Федерации в разделе "Бюджет" в информационно-телекоммуникационной сети "Интернет" (далее - сеть "Интернет") не позднее 15-го рабочего дня, следующего за днем принятия федерального закона о федеральном бюджете (федерального закона о внесении изменений в федеральный закон о федеральном бюджете).";

5) пункт 8 изложить в следующей редакции:

"8. Характеристикой (показателем, необходимым для достижения результата предоставления субсидии) (далее - характеристика) является количество структурных подразделений, функционирующих на базе получателей поддержки и реализующих программы центров.";

6) в пункте 10:

подпункт "а" изложить в следующей редакции:

"а) согласие оператора субсидии на осуществление в отношении его проверки Управлением делами Президента Российской Федерации соблюдения порядка и условий предоставления субсидии, в том числе в части достижения результатов предоставления субсидии, а также проверки органами государственного финансового контроля соблюдения оператором субсидии порядка и условий предоставления субсидии в соответствии со статьями 268.1 и 269.2 Бюджетного кодекса Российской Федерации, а также обязательство оператора субсидии по включению в договоры (соглашения), заключаемые с иными лицами в целях исполнения обязательств по соглашению о предоставлении субсидии, положений о согласии таких лиц на проведение указанных проверок;";

в подпункте "б" слова "показателя, необходимого для достижения результата предоставления субсидии" заменить словом "характеристики";

подпункт "в" изложить в следующей редакции:

"в) право Управления делами Президента Российской Федерации устанавливать в соглашении о предоставлении субсидии сроки и формы представления оператором субсидии дополнительной отчетности;";

подпункт "е" изложить в следующей редакции:

"е) запрет приобретения оператором субсидии за счет полученных из федерального бюджета средств иностранной валюты, за исключением операций, осуществляемых в соответствии с валютным законодательством Российской Федерации при закупке (поставке) высокотехнологичного импортного оборудования, сырья и комплектующих изделий;";

подпункт "з" после слов "отбора получателей поддержки" дополнить словами "в 2021 году";

подпункт "к" после слов "с целью определения получателей поддержки" дополнить словами "в 2021 году";

7) в пункте 11 слова "показателя, необходимого для его достижения" заменить словом "характеристики";

8) в пункте 12:

подпункт "а" дополнить словами ", проведения предварительного отбора получателей поддержки";

подпункт "г" изложить в следующей редакции:

"г) информационное сопровождение определения получателей поддержки в 2021 году, проведение предварительного отбора получателей поддержки в 2023 году и результатов мониторинга предоставления поддержки;";

дополнить подпунктом "д" следующего содержания:

"д) осуществляет контроль за достижением получателями поддержки показателей предоставления поддержки.";

9) подпункт "ж" пункта 13 изложить в следующей редакции:

"ж) оператор субсидии не является иностранным юридическим лицом.";

10) пункт 14 изложить в следующей редакции:

"14. Для заключения соглашения о предоставлении субсидии оператор субсидии представляет в Управление делами Президента Российской Федерации перечень затрат, источником финансового обеспечения которых является субсидия, на цели, указанные в пункте 1 настоящих Правил, и подписанные руководителем (уполномоченным лицом) справки по состоянию на 1-е число месяца, предшествующего месяцу, в котором планируется заключение соглашения о предоставлении субсидии, о соответствии оператора субсидии требованиям, предусмотренным пунктом 13 настоящих Правил.";

11) в пункте 18:

в подпункте "б" слово "ежегодно" заменить словами "ежеквартально и ежегодно", слова "результата предоставления субсидии, показателя, необходимого для достижения результата предоставления субсидии," заменить словами "значений результата предоставления субсидии и характеристики";

подпункт "в" дополнить словами ", по форме, установленной соглашением о предоставлении субсидии";

12) в пункте 19:

в абзаце первом слова "Указанные отчеты направляются в Управление делами Президента Российской Федерации" заменить словами "Указанные отчеты направляются в Министерство экономического развития Российской Федерации";

дополнить абзацем следующего содержания:

"Согласованная Министерством экономического развития Российской Федерации ежегодная отчетность представляется оператором субсидии в Управление делами Президента Российской Федерации в государственной интегрированной информационной системе управления общественными финансами "Электронный бюджет".";

13) пункт 21 изложить в следующей редакции:

"21. Субсидия перечисляется на казначейский счет для осуществления и отражения операций с денежными средствами участников казначейского сопровождения, открытый в территориальном органе Федерального казначейства, не позднее 2-го рабочего дня после представления оператором субсидии в территориальный орган Федерального казначейства распоряжений о совершении казначейских платежей для оплаты денежного обязательства оператора субсидии.";

14) абзац седьмой пункта 22 изложить в следующей редакции:

"у - порядковый номер получателя поддержки, определяемый по итогам отбора получателей поддержки в 2021 году или определенный решением президиума Комиссии в 2023 году;";

15) абзац первый пункта 29 после слов "получателей поддержки," дополнить словами "реализующим программу центра 1-й волны,";

16) дополнить пунктом 29.1 следующего содержания:

"29.1. Размер поддержки, запрашиваемый одним участником отбора получателей поддержки, реализующим программу центра 2-й волны, не может превышать в 2023 году 20000 тыс. рублей.";

17) подпункт "в" пункта 30 изложить в следующей редакции:

"в) получатель поддержки не является иностранным юридическим лицом, а также российским юридическим лицом, в уставном (складочном) капитале которого доля прямого или косвенного (через третьих лиц) участия иностранных юридических лиц, местом регистрации которых является государство или территория, включенные в утверждаемый Министерством финансов Российской Федерации перечень государств и территорий, используемых для промежуточного (офшорного) владения активами в Российской Федерации, в совокупности превышает 25 процентов;";

18) пункт 31 изложить в следующей редакции:

"31. Результатом предоставления поддержки центрам является достижение центрами целей программ и следующих показателей предоставления поддержки:

а) для центров 1-й волны:

количество статей по тематике искусственного интеллекта за авторством специалистов центров, опубликованных в журналах 1 квартиля и индексированных в системах WOS/SCOPUS (порядковый номер этого показателя (z) - 1);

количество публикаций специалистов центров на конференциях в области искусственного интеллекта уровня A* (порядковый номер этого показателя (z) - 2);

количество сформированных и поддержанных фреймворков по искусственному интеллекту (порядковый номер этого показателя (z) - 3);

количество сформированных и проведенных курсов лекций и семинаров по тематикам центров (порядковый номер этого показателя (z) - 4);

количество аспирантов, являющихся сотрудниками центров (порядковый номер этого показателя (z) - 5);

количество привлеченных индустриальных партнеров (порядковый номер этого показателя (z) - 6);

цитируемость в ведущих мировых научных изданиях научных статей российских ученых центров на тему, посвященную искусственному интеллекту (порядковый номер этого показателя (z) - 7);

количество заявок на регистрацию исключительных прав на изобретения и полезные модели, возникших в ходе деятельности центров (порядковый номер этого показателя (z) - 8);

количество зарегистрированных (учтенных) результатов интеллектуальной деятельности центров в области искусственного интеллекта (порядковый номер этого показателя (z) - 9);

количество разработанных на основе результатов интеллектуальной деятельности центров в области искусственного интеллекта прикладных технологических решений, используемых в практической деятельности индустриальными партнерами (порядковый номер этого показателя (z) - 10);

б) для центров 2-й волны:

количество разработанных на основе результатов интеллектуальной деятельности центров 2-й волны прикладных отраслевых технологических решений, внедренных индустриальными партнерами (порядковый номер этого показателя (z) - 1);

количество сформированных и поддержанных отраслевых фреймворков по искусственному интеллекту с подтвержденной востребованностью, оцениваемой в соответствии с документацией предварительного отбора получателей поддержки (порядковый номер этого показателя (z) - 2);

количество наборов данных, сформированных центрами 2-й волны, соответствующих требованиям, установленным пунктом 82 настоящих Правил (порядковый номер этого показателя (z) - 3);

количество зарегистрированных (учтенных) результатов интеллектуальной деятельности центров 2-й волны в области искусственного интеллекта (порядковый номер этого показателя (z) - 4);

количество индустриальных партнеров, привлеченных к реализации программ центров 2-й волны (порядковый номер этого показателя (z) - 5);

численность отраслевых специалистов, прошедших обучение на базе центров 2-й волны по программам дополнительного профессионального образования в сфере искусственного интеллекта по тематике программы центра 2-й волны (порядковый номер этого показателя (z) - 6);

количество сформированных и проведенных курсов лекций и семинаров по тематикам центров 2-й волны (порядковый номер этого показателя (z) - 7);

количество аспирантов, являющихся сотрудниками центров 2-й волны (порядковый номер этого показателя (z) - 8);

количество статей по тематике искусственного интеллекта за авторством специалистов центров 2-й волны, опубликованных в журналах, включенных в Белый список научных журналов Министерства науки и высшего образования Российской Федерации, в соответствии с требованиями, установленными в документации предварительного отбора получателей поддержки (порядковый номер этого показателя (z) - 9);

количество отраслевых стандартов в сфере искусственного интеллекта, разработанных центрами 2-й волны и направленных в Федеральное агентство по техническому регулированию и метрологии (порядковый номер этого показателя (z) - 10);

количество публикаций специалистов центров 2-й волны на конференциях в области искусственного интеллекта уровня A*, соответствующих требованиям, установленным в документации предварительного отбора получателей поддержки (порядковый номер этого показателя (z) - 11).";

19) в пункте 34:

подпункт "ж" изложить в следующей редакции:

"ж) порядок и сроки представления получателем поддержки отчетности о достижении значений результата предоставления поддержки и отчетности о расходах, источником финансового обеспечения которых является грант, по формам, установленным Министерством финансов Российской Федерации, а также отчетности о ходе реализации плана деятельности центра;";

в подпункте "з" слово "целей," исключить;

подпункт "л" изложить в следующей редакции:

"л) обязательство получателя поддержки обеспечить ежегодное софинансирование мероприятий программы центра за счет внебюджетных источников в размере:

не менее 20 процентов размера поддержки, предоставленной получателю поддержки в 2021 году на реализацию программы центра 1-й волны;

не менее 32 процентов размера поддержки, предоставленной получателю поддержки в 2022 году и в последующие годы на реализацию программы центра 1-й волны;

не менее 30 процентов размера поддержки, предоставленной получателю поддержки в 2024 году на реализацию программы центра 2-й волны, в случае доведения бюджетного финансирования;

не менее 40 процентов размера поддержки, предоставленной получателю поддержки в 2025 году на реализацию программы центра 2-й волны, в случае доведения бюджетного финансирования;

не менее 50 процентов размера поддержки, предоставленной получателю поддержки в 2026 году на реализацию программы центра 2-й волны, в случае доведения бюджетного финансирования;";

подпункт "н" изложить в следующей редакции:

"н) порядок и сроки возврата поддержки в случае нарушения условий ее предоставления;";

подпункт "п" изложить в следующей редакции:

"и) запрет приобретения получателем поддержки за счет полученных из федерального бюджета средств иностранной валюты, за исключением операций, осуществляемых в соответствии с валютным законодательством Российской Федерации при закупке (поставке) высокотехнологичного импортного оборудования, сырья и комплектующих изделий;";

в подпункте "с" слова "целей, условий и порядка" заменить словом "условий";

подпункт "т" изложить в следующей редакции:

"т) согласие получателя поддержки на осуществление в отношении его проверки Управлением делами Президента Российской Федерации соблюдения порядка и условий предоставления поддержки, в том числе в части достижения результатов предоставления поддержки, а также проверки органами государственного финансового контроля соблюдения получателем поддержки порядка и условий предоставления субсидии в соответствии со статьями 268.1 и 269.2 Бюджетного кодекса Российской Федерации, а также обязательство получателя поддержки по включению в договоры (соглашения), заключаемые с иными лицами в целях исполнения обязательств по соглашению о предоставлении гранта, положений о согласии таких лиц на проведение указанных проверок;";

в подпункте "ф" слово "целей," исключить;

подпункт "щ" признать утратившим силу;

дополнить пунктом "я" следующего содержания:

"я) возможность возмещения за счет поддержки расходов (части расходов) получателя поддержки, произведенных за счет собственных средств на реализацию программы центра 2-й волны, в том числе произведенных в предшествующем году и (или) произведенных до заключения соглашения о предоставлении гранта, но не ранее 30 октября 2023 г., при наличии документов, подтверждающих оплату произведенных расходов (части расходов), а также при условии соблюдения требования, предусмотренного подпунктом "л" настоящего пункта.";

20) в пункте 37:

абзац третий после слов "получателями поддержки" дополнить словами ", реализующими программы центров 1-й волны,";

дополнить абзацем следующего содержания:

"Предельно допустимый срок заключения соглашений о предоставлении гранта между оператором субсидии и получателями поддержки, реализующими программы центров 2-й волны, устанавливается до 31 декабря 2023 г.";

21) пункт 38 изложить в следующей редакции:

"38. Грант перечисляется на казначейский счет для осуществления и отражения операций с денежными средствами участников казначейского сопровождения, открытый в территориальном органе Федерального казначейства, не позднее 2-го рабочего дня после представления получателем поддержки в территориальный орган Федерального казначейства распоряжений о совершении казначейских платежей для оплаты денежного обязательства получателя поддержки.";

22) в пункте 39:

абзац четвертый после слова "центра" дополнить словами ", начисления на выплаты по оплате труда работников, выплаты выходного пособия, среднего месячного заработка на период трудоустройства, компенсационные выплаты работникам в соответствии с законодательством Российской Федерации";

в абзаце седьмом:

слова "для реализации деятельности" заменить словами "для реализации плана деятельности";

после слов "объема поддержки" дополнить словами ", в том числе на закупку образовательных услуг не более 10 процентов общего объема поддержки";

в абзаце девятом слова "рабочей группой" заменить словами "экспертным советом";

23) в пункте 42:

абзац первый изложить в следующей редакции:

"42. Значение коэффициента (т) для каждого центра в последующие годы устанавливается по решению экспертного совета.";

в абзацах пятом и шестом слова "рабочей группой" заменить словами "экспертным советом";

24) пункт 43 изложить в следующей редакции:

"43. Баллы (В) определяются для каждого центра по формуле:

,

где:

n - общее количество показателей центра 1-й волны (центра 2-й волны), предусмотренных пунктом 31 настоящих Правил;

z - порядковый номер показателя предоставления поддержки, указанного в пункте 31 настоящих Правил (от 1 до 10 - для центров 1-й волны, от 1 до 11 - для центров 2-й волны);

- относительный вес показателя предоставления поддержки, указанного в пункте 31 настоящих Правил под порядковым номером (z) (от 1 до 10 - для центров 1-й волны, от 1 до 11 - для центров 2-й волны), в отчетном периоде, значение которого устанавливается в документации отбора получателей поддержки, при этом на wz накладываются следующие ограничения:

;

- фактическое значение показателя предоставления поддержки, указанного в пункте 31 настоящих Правил под порядковым номером (z) (от 1 до 10 - для центров 1-й волны, от 1 до 11 - для центров 2-й волны), достигнутое получателем поддержки в отчетном периоде;

- плановое значение показателя предоставления поддержки, указанного в пункте 31 настоящих Правил под порядковым номером (z) (от 1 до 10 - для центров 1-й волны, от 1 до 11 - для центров 2-й волны), установленное в программе центра, реализуемой получателем поддержки;

E - число членов экспертного совета, оценивших результаты деятельности центра по итогам рассмотрения сводного отчета о результатах мониторинга предоставления поддержки;

j - порядковый номер члена экспертного совета, оценившего результаты деятельности центра по итогам рассмотрения сводного отчета о результатах мониторинга предоставления поддержки;

- балл, который по 5-балльной шкале поставил член экспертного совета под порядковым номером (j) центру по итогам рассмотрения сводного отчета о результатах мониторинга предоставления поддержки.";

25) в абзаце первом пункта 44 слова "рабочая группа" заменить словами "экспертный совет";

26) пункт 45 изложить в следующей редакции:

"45. Отбор получателей поддержки является открытым. В результате такого отбора начиная с 2021 года поддержка должна быть предоставлена не менее чем 6 получателям поддержки - центрам 1-й волны. Начиная с 2023 года поддержка должна быть предоставлена не менее чем 6 получателям поддержки - центрам 2-й волны, перечень которых определяется решением президиума Комиссии.";

27) абзац первый пункта 46 после слов "Участники отбора получателей поддержки" дополнить словами "(центры 1-й волны)";

28) пункт 47 после слов "Каждый участник отбора получателей поддержки" дополнить словами "в 2021 году";

29) пункт 48 после слов "Для целей отбора получателей поддержки" дополнить словами "в 2021 году";

30) в пункте 51:

в подпункте "п" слова ", и (или) сетевого адреса," исключить;

подпункт "с" изложить в следующей редакции:

"с) дата размещения результатов отбора, которая не может быть позднее 2 рабочих дней со дня поступления протокола заседания президиума Комиссии.";

31) в подпункте "б" пункта 52 слова "рабочей группы" заменить словами "президиума Комиссии";

32) в пункте 59 слова "рабочую группу" заменить словами "экспертный совет";

33) пункты 60 - 64 изложить в следующей редакции:

"60. Экспертный совет включает в себя ведущих представителей экспертного сообщества в сфере искусственного интеллекта, в том числе представителей российских образовательных организаций высшего образования и научных организаций, коммерческих организаций, осуществляющих разработку, внедрение или масштабное использование технологий искусственного интеллекта в своей деятельности, организаций, осуществляющих предоставление поддержки на проведение исследований и разработок, в том числе по тематике искусственного интеллекта, Министерства экономического развития Российской Федерации и заинтересованных федеральных органов исполнительной власти.

Члены экспертного совета осуществляют свою деятельность на общественных началах.

61. Экспертный совет осуществляет следующие основные функции:

а) рассмотрение заявок участников отбора и результатов экспертизы заявок участников отбора получателей поддержки, предварительного отбора получателей поддержки, формирование рекомендации по определению получателей поддержки;

б) согласование программ центров;

в) рассмотрение и согласование результатов мониторинга предоставления поддержки;

г) согласование изменений в программы центров с учетом результатов мониторинга предоставления поддержки;

д) определение на финансовый год, следующий за отчетным годом, значений коэффициентов, используемых для дифференциации предоставляемой поддержки получателям поддержки;

е) формирование рекомендаций для президиума Комиссии по прекращению предоставления поддержки;

ж) формирование предложений по приоритетным направлениям научных исследований и развития технологий в области искусственного интеллекта, в том числе для их включения в документацию отбора получателей поддержки;

з) проведение оценки достижения целей реализации программ центров и показателей предоставления поддержки, установленных пунктом 31 настоящих Правил.

62. Оператор субсидии создает экспертный совет, утверждает по согласованию с Министерством экономического развития Российской Федерации положение об экспертном совете, устанавливающее цели, функции, полномочия экспертного совета, порядок его формирования и деятельности, а также состав экспертного совета.

В целях формирования состава экспертного совета оператор субсидии направляет в адрес организаций, указанных в пункте 60 настоящих Правил, запрос о представлении предложений по включению представителей указанных организаций в состав экспертного совета.

63. Экспертный совет по итогам рассмотрения заявок участников отбора, заявок участников предварительного отбора и результатов экспертизы заявок участников отбора, заявок участников предварительного отбора формирует рекомендации по определению получателей поддержки в срок до 10 рабочих дней со дня представления оператором субсидии результатов экспертизы заявок участников отбора, заявок участников предварительного отбора. Результаты заседания экспертного совета оформляются протоколом.

В срок до 5 рабочих дней со дня подписания протокол экспертного совета направляется оператором субсидии в адрес Министерства экономического развития Российской Федерации в целях подготовки рекомендаций для принятия решения президиумом Комиссии.

64. Управлением делами Президента Российской Федерации осуществляются проверки соблюдения оператором субсидии порядка и условий предоставления субсидии, в том числе в части достижения результатов предоставления субсидии. Органами государственного финансового контроля осуществляются проверки в соответствии со статьями 268.1 и 269.2 Бюджетного кодекса Российской Федерации.

Управление делами Президента Российской Федерации проводит мониторинг достижения результата предоставления субсидии, исходя из достижения значений результата предоставления субсидии, определенных соглашением, и событий, отражающих факт завершения соответствующего мероприятия по получению результата предоставления субсидии (контрольная точка), в порядке и по формам, которые установлены Министерством финансов Российской Федерации, но не чаще одного раза в квартал.";

34) в абзаце первом пункта 65 слова "и (или)" заменить словом "и", слова "целей, условий и порядка" заменить словом "условий";

35) в пункте 66:

в абзаце первом слова "и показателя, необходимого для достижения результата предоставления субсидии," исключить;

в абзаце пятом слова "определенных рабочей группой" заменить словами "утвержденных президиумом Комиссии";

36) пункт 67 изложить в следующей редакции:

"67. Управление делами Президента Российской Федерации осуществляет проверки соблюдения получателем поддержки порядка и условий предоставления поддержки, в том числе в части достижения результатов предоставления поддержки. Органы государственного финансового контроля проводят проверки получателей поддержки в соответствии со статьями 268.1 и 269.2 Бюджетного кодекса Российской Федерации.";

37) в пункте 68:

слова "рабочей группы" заменить словами "экспертного совета";

дополнить абзацем следующего содержания:

"По итогам последнего года реализации программ центров экспертным советом проводится оценка достижения целей реализации программ центров и показателей предоставления поддержки, установленных пунктом 31 настоящих Правил.";

38) в пункте 69:

слова "рабочей группы" заменить словами "экспертного совета";

дополнить абзацем следующего содержания:

"Экспертный совет осуществляет согласование сводного отчета о результатах мониторинга предоставления поддержки. Согласованный сводный отчет о результатах мониторинга предоставления поддержки, а также оценка достижения целей реализации программ центров и показателей предоставления поддержки, установленных пунктом 31 настоящих Правил, проведенная по итогам последнего года реализации программ центров, направляются оператором субсидии в адрес президиума Комиссии в срок до 7 рабочих дней со дня подписания соответствующего протокола заседания экспертного совета.";

39) пункт 70 изложить в следующей редакции:

"70. Рассмотрение результатов мониторинга предоставления поддержки осуществляется экспертным советом, в том числе в части оценки достижения центрами показателей предоставления поддержки, относящихся непосредственно к деятельности указанных центров, в том числе в целях:

а) подготовки рекомендаций президиуму Комиссии о целесообразности дальнейшего предоставления поддержки получателям поддержки или прекращении предоставления поддержки одному или нескольким получателям поддержки;

б) подготовки рекомендаций оператору субсидии о целесообразности внесения изменений в программы центров с учетом результатов мониторинга предоставления поддержки;

в) подготовки рекомендаций оператору субсидии о целесообразности реализации оператором субсидии отдельных организационно-технических и экспертно-аналитических мероприятий, а также информационного сопровождения в интересах повышения эффективности мероприятий поддержки центров.";

40) в пункте 71 слова "рабочей группы" заменить словами "экспертного совета";

41) пункт 72 изложить в следующей редакции:

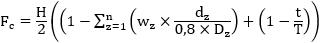
"72. Размер штрафных санкций, применяемых оператором субсидии в отношении получателя поддержки (Fc), определяется по формуле:

,

где:

H - размер поддержки, предоставленной получателю поддержки в отчетном периоде;

n - общее количество показателей центра, предусмотренных пунктом 31 настоящих Правил;

- относительный вес показателя предоставления поддержки, указанного в пункте 31 настоящих Правил под порядковым номером (z) (от 1 до 10 - для центров 1-й волны, от 1 до 11 - для центров 2-й волны), в отчетном периоде, значение которого устанавливается для центров 1-й волны в документации отбора получателей поддержки, для центров 2-й волны в документации предварительного отбора получателей поддержки, при этом на wz накладываются следующие ограничения:

;

dz - фактическое значение показателя предоставления поддержки, указанного в пункте 31 настоящих Правил под порядковым номером (z) (от 1 до 10 - для центров 1-й волны, от 1 до 11 - для центров 2-й волны), достигнутое получателем поддержки в отчетном периоде;

- плановое значение показателя предоставления поддержки, указанного в пункте 31 настоящих Правил под порядковым номером (z) (от 1 до 10 - для центров 1-й волны, от 1 до 11 - для центров 2-й волны), установленное в программе центра;

t - число ключевых контрольных точек плана деятельности центра, выполненных в отчетном году;

T - число ключевых контрольных точек плана деятельности центра, предусмотренных в отчетном году.

В случае если > 0,8 x , то = 0,8 x .";

42) подпункт "а" пункта 73 изложить в следующей редакции:

"а) значение величины ;";

43) пункт 74 после слов "по итогам оценки центра" дополнить словами "1-й волны", дополнить словами ", по итогам оценки центра 2-й волны по степени достижения им результатов, начиная с отчетного периода, следующего за годом начала предоставления поддержки";

44) в пункте 77 слово "целей," исключить;

45) дополнить пунктом 82 следующего содержания:

"82. Наборы данных, сформированные центрами 2-й волны, в целях достижения показателя предоставления поддержки, предусмотренного абзацем четвертым подпункта "б" пункта 31 настоящих Правил, должны соответствовать цели программы центра и удовлетворять следующим требованиям:

а) обеспечена защищенность данных;

б) не используются сведения, которые отнесены к государственной тайне;

в) обращение с наборами данных, полученными с использованием данных, содержащих сведения ограниченного доступа, не относящиеся к государственной тайне, должно осуществляться в соответствии с установленным законодательством Российской Федерации правовым режимом для данных, используемых для создания соответствующих наборов данных;

г) применимость для обучения технологий искусственного интеллекта и иные требования, предъявляемые к качеству данных в соответствии с документацией предварительного отбора получателей поддержки;

д) иные требования, устанавливаемые законодательством Российской Федерации.".

Приложение
к постановлению Правительства
Российской Федерации
от 18 декабря 2023 г. N 2192

ПЕРЕЧЕНЬ УТРАТИВШИХ СИЛУ АКТОВ ПРАВИТЕЛЬСТВА РОССИЙСКОЙ ФЕДЕРАЦИИ

1. Постановление Правительства Российской Федерации от 28 августа 2021 г. N 1428 "О рабочей группе по исследовательским центрам в сфере искусственного интеллекта" (Собрание законодательства Российской Федерации, 2021, N 36, ст. 6402).

2. Распоряжение Правительства Российской Федерации от 10 сентября 2021 г. N 2523-р (Собрание законодательства Российской Федерации, 2021, N 38, ст. 6661).

3. Распоряжение Правительства Российской Федерации от 21 января 2022 г. N 48-р (Собрание законодательства Российской Федерации, 2022, N 5, ст. 803).

4. Распоряжение Правительства Российской Федерации от 19 сентября 2022 г. N 2705-р (Собрание законодательства Российской Федерации, 2022, N 39, ст. 6680).

5. Распоряжение Правительства Российской Федерации от 31 мая 2023 г. N 1429-р (Собрание законодательства Российской Федерации, 2023, N 23, ст. 4257).