Постановление Правительства РФ от 30.12.2023 N 2416

"О внесении изменений в постановление Правительства Российской Федерации от 16 декабря 2020 г. N 2136"
Редакция от 30.12.2023 — Действует с 18.01.2024

ПРАВИТЕЛЬСТВО РОССИЙСКОЙ ФЕДЕРАЦИИ

ПОСТАНОВЛЕНИЕ
от 30 декабря 2023 г. N 2416

О ВНЕСЕНИИ ИЗМЕНЕНИЙ В ПОСТАНОВЛЕНИЕ ПРАВИТЕЛЬСТВА РОССИЙСКОЙ ФЕДЕРАЦИИ ОТ 16 ДЕКАБРЯ 2020 Г. N 2136

Правительство Российской Федерации постановляет:

1. Утвердить прилагаемые изменения, которые вносятся в постановление Правительства Российской Федерации от 16 декабря 2020 г. N 2136 "Об утверждении Правил предоставления из федерального бюджета субсидий российским организациям на финансовое обеспечение мероприятий по проведению научно-исследовательских и опытно-конструкторских работ в области средств производства электроники" (Собрание законодательства Российской Федерации, 2020, N 52, ст. 8823; 2022, N 38, ст. 6461).

2. Министерству промышленности и торговли Российской Федерации привести заключенные до дня вступления в силу настоящего постановления соглашения о предоставлении из федерального бюджета субсидий российским организациям на финансовое обеспечение мероприятий по проведению научно-исследовательских и опытно-конструкторских работ в области средств производства электроники в соответствие с изменениями, утвержденными настоящим постановлением.

Председатель Правительства
Российской Федерации
М. МИШУСТИН

УТВЕРЖДЕНЫ
постановлением Правительства
Российской Федерации
от 30 декабря 2023 г. N 2416

ИЗМЕНЕНИЯ, КОТОРЫЕ ВНОСЯТСЯ В ПОСТАНОВЛЕНИЕ ПРАВИТЕЛЬСТВА РОССИЙСКОЙ ФЕДЕРАЦИИ ОТ 16 ДЕКАБРЯ 2020 Г. N 2136

1. Наименование и текст после слова "предоставления" дополнить словами "в 2023 году".

2. Правила предоставления из федерального бюджета субсидий российским организациям на финансовое обеспечение мероприятий по проведению научно-исследовательских и опытно-конструкторских работ в области средств производства электроники, утвержденные указанным постановлением, изложить в следующей редакции:

"УТВЕРЖДЕНЫ
постановлением Правительства
Российской Федерации
от 16 декабря 2020 г. N 2136
(в редакции постановления
Правительства Российской Федерации
от 30 декабря 2023 г. N 2416)

ПРАВИЛА ПРЕДОСТАВЛЕНИЯ В 2023 ГОДУ ИЗ ФЕДЕРАЛЬНОГО БЮДЖЕТА СУБСИДИЙ РОССИЙСКИМ ОРГАНИЗАЦИЯМ НА ФИНАНСОВОЕ ОБЕСПЕЧЕНИЕ МЕРОПРИЯТИЙ ПО ПРОВЕДЕНИЮ НАУЧНО-ИССЛЕДОВАТЕЛЬСКИХ И ОПЫТНО-КОНСТРУКТОРСКИХ РАБОТ В ОБЛАСТИ СРЕДСТВ ПРОИЗВОДСТВА ЭЛЕКТРОНИКИ

1. Настоящие Правила устанавливают порядок, цели и условия предоставления в 2023 году субсидий из федерального бюджета российским организациям на финансовое обеспечение мероприятий по проведению научно-исследовательских и опытно-конструкторских работ в области средств производства электроники (далее - субсидия).

Субсидии предоставляются в рамках федерального проекта "Развитие технологий производства электроники" государственной программы Российской Федерации "Научно-технологическое развитие Российской Федерации", утвержденной постановлением Правительства Российской Федерации от 29 марта 2019 г. N 377 "Об утверждении государственной программы Российской Федерации "Научно-технологическое развитие Российской Федерации", в целях обеспечения роста объемов производства и реализации российских средств производства электроники.

2. Понятия, используемые в настоящих Правилах, означают следующее:

"высокопроизводительное рабочее место" - рабочее место, созданное российской организацией в рамках реализации комплексного проекта и соответствующее следующим критериям:

оснащение технологическим оборудованием, и (или) специализированными средствами проектирования, и (или) высокопроизводительными системами вычислений;

наличие трудовых отношений с работником, занятым на указанном рабочем месте и имеющим высшее или среднее профессиональное образование в области технических, естественных или прикладных наук и высокую квалификацию;

стоимость создания нового рабочего места или модернизации старого рабочего места составляет не менее 0,5 млн. рублей;

заработная плата работника, занятого на указанном рабочем месте, превышает величину средней заработной платы в соответствующем субъекте Российской Федерации согласно данным Федеральной службы государственной статистики за предыдущий финансовый год;

"заинтересованный потребитель" - российская организация электронной промышленности, или центр коллективного пользования, или дизайн-центр, или образовательная организация высшего образования, в которых ресурсы (оборудование, технологии, сырье, материалы, энергия, информационные ресурсы) объединяются в производственный процесс, позволяющий создать средства производства электроники, или оказать услуги, или провести прикладные научные исследования в области электронной промышленности;

"ключевое техническое решение" - результат интеллектуальной деятельности российской организации, с получением которого связано (становится возможным) достижение устанавливаемого в бизнес-плане комплексного проекта уровня технико-экономических показателей средств производства электроники и (или) технологий, разрабатываемых в рамках комплексного проекта;

"комплексный проект" - комплекс взаимосвязанных мероприятий по разработке, производству и коммерциализации средств производства электроники и (или) технологий, ограниченный по времени и ресурсам, включающий:

выполнение научно-исследовательских, опытно-конструкторских и технологических работ;

организацию долговременного технологического тестирования опытных образцов, опытных партий средств производства электроники, бета-версий систем автоматизированного проектирования;

организацию выпуска средств производства электроники, в том числе создание производственной инфраструктуры;

последующий вывод средств производства электроники и (или) технологий на рынок;

"российская организация" - юридическое лицо, образованное в соответствии с законодательством Российской Федерации, информация о котором размещена в открытом доступе в государственной информационной системе промышленности в информационно-телекоммуникационной сети "Интернет" (далее - сеть "Интернет");

"отбор" - процедура выбора Министерством промышленности и торговли Российской Федерации на конкурсной основе комплексных проектов, представленных российскими организациями, исходя из наилучших условий достижения результата, в целях достижения которого предоставляется субсидия;

"сквозной проект" - комплекс взаимосвязанных мероприятий, направленных на внедрение программно-аппаратных комплексов или систем интеллектуального управления, включающий в том числе организацию создания средств производства электроники, проведение научно-исследовательских и опытно-конструкторских работ по разработке радиоэлектронных средств, создание встроенных программ для электронных вычислительных машин (далее - ЭВМ), адаптацию существующих программ для ЭВМ, а также мероприятий, связанных с выводом средств производства электроники на рынок с гарантированным объемом ее потребления, превышающим сумму затрат на реализацию указанных мероприятий, и возможностью применения средств производства электроники различными заинтересованными потребителями, в том числе в других отраслях экономики, одобренный общественным экспертным советом по использованию электроники в отраслях экономики при президиуме Правительственной комиссии по цифровому развитию, использованию информационных технологий для улучшения качества жизни и условий ведения предпринимательской деятельности (далее - общественный экспертный совет);

"средства производства электроники" - оборудование, системы автоматизированного проектирования и материалы для производства электроники с техническими характеристиками, заявленными российской организацией в составе заявки на участие в отборе (далее - заявка), направленной российской организацией в соответствии с пунктом 11 настоящих Правил;

"центр коллективного пользования" - научно-исследовательская организация, обладающая современным научным и аналитическим оборудованием, высококвалифицированными кадрами и обеспечивающая проведение на имеющемся оборудовании научных исследований и оказание услуг (исследований, испытаний, измерений) в интересах организаций.

3. Субсидии предоставляются Министерством промышленности и торговли Российской Федерации российской организации по результатам отбора в пределах лимитов бюджетных обязательств, доведенных в установленном порядке до Министерства промышленности и торговли Российской Федерации как получателя средств федерального бюджета на цели, предусмотренные пунктом 1 настоящих Правил.

Сведения о субсидии размещаются на едином портале бюджетной системы Российской Федерации в сети "Интернет" (далее - единый портал) не позднее 15-го рабочего дня, следующего за днем принятия федерального закона о федеральном бюджете (федерального закона о внесении изменений в федеральный закон о федеральном бюджете).

4. Результатом предоставления субсидии является объем реализации средств производства электроники, созданных в рамках комплексного проекта, в денежном выражении, превышающем объем направленных на реализацию комплексного проекта средств федерального бюджета не менее чем на 15 процентов.

Характеристиками (показателями, необходимыми для достижения результата предоставления субсидии) (далее - характеристики) в рамках комплексного проекта являются:

количество вновь создаваемых и (или) модернизируемых высокопроизводительных рабочих мест в рамках комплексного проекта;

соотношение размера субсидии, запрашиваемой на проведение научно-исследовательских, опытно-конструкторских и технологических работ в рамках комплексного проекта, и размера заемных и (или) собственных средств, планируемых к привлечению для реализации комплексного проекта;

соотношение размера субсидии, полученной на проведение научно-исследовательских, опытно-конструкторских и технологических работ в рамках реализации комплексного проекта, и размера заемных и (или) собственных средств, привлеченных за время реализации комплексного проекта;

количество результатов интеллектуальной деятельности, охраняемых патентами и (или) удовлетворяющих условиям патентоспособности (подтверждаются результатами патентных исследований, проведенных в соответствии с национальным стандартом Российской Федерации ГОСТ Р 15.011-96 "Система разработки и постановки продукции на производство. Патентные исследования. Содержание и порядок проведения" (далее - ГОСТ Р 15.011-96) и охраняемых в качестве секретов производства (ноу-хау), в том числе ключевых технических решений.

Значения результата предоставления субсидии и характеристик устанавливаются соглашением о предоставлении субсидии.

5. Отбор проводится по следующим технологическим направлениям:

а) оборудование и компоненты оборудования:

оборудование для молекулярно-лучевой эпитаксии;

оборудование для мос-гидридной эпитаксии;

оборудование для жидкофазной эпитаксии;

оборудование для газофазной эпитаксии;

оборудование литографическое для формирования топологического рисунка на полупроводниковых пластинах;

оборудование для нанесения, удаления и сушки фоторезиста, химической очистки полупроводниковых пластин в жидких средах;

оборудование для плазмохимической очистки полупроводниковых пластин;

оборудование для производства печатных плат;

оборудование для гальванического нанесения металлов на полупроводниковые пластины;

оборудование для ионной имплантации примесей в полупроводниковые пластины;

оборудование для производства полупроводниковых слитков (булей);

оборудование для процессов групповой термической обработки кремниевых пластин (отжиг, окисление);

оборудование для быстрого термического отжига и температурной обработки полупроводниковых пластин в контролируемой газовой среде или вакууме;

оборудование для проведения процессов плазмохимического травления и осаждения на полупроводниковых пластинах;

оборудование для атомно-слоевого осаждения тонких пленок на полупроводниковые пластины;

оборудование для физического осаждения;

оборудование для магнетронного напыления тонких пленок в вакууме на полупроводниковые пластины;

оборудование для электронно-лучевого напыления тонких пленок в вакууме на полупроводниковые пластины;

оборудование для ионно-лучевого напыления тонких пленок в вакууме на полупроводниковые пластины;

системы вакуумные кластерные для объединения 2 и более технологических модулей различного назначения для обработки полупроводниковых пластин;

оборудование лазерное для обработки полупроводниковых пластин;

оборудование для разделения и резки подложек электронно-компонентной базы (далее - экб);

оборудование для сверления и прошивки;

оборудование для лазерной пайки и микросварки;

оборудование для селективного удаления и нанесения слоев;

лазерное оборудование для отжига, реструктуризации;

лазерное оборудование для подгонки, ремонта и устранения дефектов экб и фотошаблонов;

оборудование для химико-механического утонения, планаризации, бондинга и дебондинга полупроводниковых пластин;

оборудование для химико-механического утонения полупроводниковых пластин;

оборудование для планаризации полупроводниковых пластин;

оборудование для бондинга и дебондинга полупроводниковых пластин;

оборудование для резки и обработки полупроводниковых слитков (булей);

оборудование сборочное для производства интегральных схем и дискретных полупроводниковых приборов;

оборудование монтажа кристаллов, поверхностного и штыревого монтажа;

оборудование монтажа (микросварки) проволочных выводов;

оборудование шлифовки, полировки и обработки полупроводниковых пластин;

оборудование дисковой резки полупроводниковых пластин и подложек;

баллоны и специальные контейнеры для газов, в том числе для фосфина;

фильтры для очистки газов;

фильтры для очистки жидких реагентов;

тары для хранения и транспортировки жидких реагентов;

оборудование для сборки и контроля качества (испытания) электронной компонентной базы, корпусирования и микросборки;

б) ключевые запасные части, комплектующие и ключевые узлы, инструменты и принадлежности к оборудованию, перечисленному в подпункте "а" настоящего пункта;

в) специальные материалы:

инертные газы высокочистые (5N - 7N);

специальные газы и смеси газов высокочистые (4N - 7N);

металлоорганические соединения высокочистые (4N - 7N);

высокочистые материалы для молекулярно-лучевой эпитаксии (6N - 9N);

кислоты высокочистые (> 6N) (содержание следов металлов и частиц не более 0,1 ppb);

растворители высокочистые (6N) и вспомогательные материалы; фоторезисты и суспензии;

высокочистые материалы для получения кварца и (или) синтетического кварцевого стекла;

высокочистые оксиды, карбиды, нитриды;

высокочистые простые вещества и неорганические соединения; материалы для высокочистого синтетического кварца;

изделия из стекла и кварца;

высокочистые оксиды редких и редкоземельных элементов;

высокочистые поликристаллические материалы;

высокочистые монокристаллы элементарных полупроводников 5N - 7N, полупроводниковые пластины (подложки) из высокочистых элементарных полупроводников (Si, Ge), соединений A2B6, A3B5, A3N, A4B4;

материалы для активных лазерных элементов;

лазерные монокристаллы и оптические элементы;

лазерные эпитаксиальные структуры;

фотоприемные эпитаксиальные структуры;

эпитаксиальные структуры для сверхвысокочастотной и силовой электроники;

высокочистые монокристаллические нелинейно-оптические материалы;

электрооптические пленочные материалы;

конструкционные материалы;

металлические функциональные материалы;

мишени для формирования функциональных слоев и покрытий;

клеи и герметики, заливочные компаунды;

полимерные диэлектрики (полиимиды, парилены, бензоциклобутены и т.д.) и вспомогательные материалы к ним (адгезивы, промывочные жидкости и т.д.);

материалы для печатных плат;

материалы для формирования покрытий методами атомно-слоевого осаждения;

кристаллы для магнитно-управляемой оптики;

сцинтилляционные материалы.

6. Решение о проведении отбора принимается Министерством промышленности и торговли Российской Федерации при наличии лимитов бюджетных обязательств, доведенных в установленном порядке до Министерства промышленности и торговли Российской Федерации как получателя средств федерального бюджета на цели, указанные в пункте 1 настоящих Правил, с учетом ранее принятых обязательств по предоставлению субсидий.

Объявление о проведении отбора размещается после принятия Министерством промышленности и торговли Российской Федерации решения о проведении отбора в государственной информационной системе промышленности (с размещением указателя страницы сайта на едином портале), а также на официальном сайте Министерства промышленности и торговли Российской Федерации в сети "Интернет" (http://minpromtorg.gov.ru) (далее - официальный сайт Министерства промышленности и торговли Российской Федерации) с указанием:

а) сроков проведения отбора (дата и время начала и дата окончания приема заявок российских организаций), а также информации о проведении нескольких этапов отбора с указанием сроков и порядка их проведения;

б) наименования, места нахождения, почтового адреса, адреса электронной почты Министерства промышленности и торговли Российской Федерации;

в) результата предоставления субсидии и характеристик в соответствии с пунктом 4 настоящих Правил и технологических направлений в соответствии с пунктом 5 настоящих Правил;

г) указателя страницы официального сайта Министерства промышленности и торговли Российской Федерации, на котором обеспечивается проведение отбора;

д) требований к российской организации, принявшей решение участвовать в отборе (далее - организация - участник отбора), указанных в пунктах 7 и 8 настоящих Правил, и перечня сведений и документов в соответствии с пунктом 11 настоящих Правил, направляемых организациями - участниками отбора для подтверждения их соответствия указанным требованиям;

е) порядка подачи заявок и требований, предъявляемых к форме и содержанию заявок;

ж) порядка отзыва и возврата заявок, определяющего в том числе основания для возврата заявок, порядка внесения изменений в заявки;

з) правил рассмотрения и оценки заявок;

и) порядка, даты начала и даты окончания предоставления организациям - участникам отбора разъяснений положений объявления о проведении отбора;

к) срока, в течение которого организации - победители отбора должны подписать соглашение о предоставлении субсидии в соответствии с абзацем первым пункта 25 настоящих Правил;

л) условий признания организации - победителя отбора уклонившейся от заключения соглашения о предоставлении субсидии;

м) даты размещения результатов отбора на сайте государственной информационной системы промышленности (с размещением указателя страницы сайта на едином портале), а также на официальном сайте Министерства промышленности и торговли Российской Федерации.

7. Организация - участник отбора на 1-е число месяца, предшествующего месяцу подачи заявки, должна соответствовать следующим требованиям:

а) у организации - участника отбора отсутствует неисполненная обязанность по уплате налогов, сборов, страховых взносов, пеней, штрафов, процентов, подлежащих уплате в соответствии с законодательством Российской Федерации о налогах и сборах;

б) у организации - участника отбора отсутствуют просроченная задолженность по возврату в федеральный бюджет субсидий, бюджетных инвестиций, предоставленных в том числе в соответствии с иными нормативными правовыми актами Российской Федерации, а также иная просроченная (неурегулированная) задолженность по денежным обязательствам перед Российской Федерацией;

в) организация - участник отбора не находится в процессе реорганизации (за исключением реорганизации в форме присоединения к организации - участнику отбора другого юридического лица), ликвидации, в отношении организации не введена процедура банкротства, деятельность организации не приостановлена в порядке, предусмотренном законодательством Российской Федерации;

г) в реестре дисквалифицированных лиц отсутствуют сведения о дисквалифицированных руководителе, членах коллегиального исполнительного органа, лице, исполняющем функции единоличного исполнительного органа, или главном бухгалтере (при наличии) организации - участника отбора;

д) организация - участник отбора не является иностранным юридическим лицом, в том числе местом регистрации которого являются государство или территория, включенные в утверждаемый Министерством финансов Российской Федерации перечень государств и территорий, используемых для промежуточного (офшорного) владения активами в Российской Федерации (далее - офшорные компании), а также российскими юридическими лицами, в уставном (складочном) капитале которых доля прямого или косвенного (через третьих лиц) участия офшорных компаний в совокупности превышает 25 процентов (если иное не предусмотрено законодательством Российской Федерации). При расчете доли участия офшорных компаний в капитале российских юридических лиц не учитываются прямое и (или) косвенное участие офшорных компаний в капитале публичных акционерных обществ (в том числе со статусом международной компании), акции которых обращаются на организованных торгах в Российской Федерации, а также косвенное участие таких офшорных компаний в капитале других российских юридических лиц, реализованное через участие в капитале указанных публичных акционерных обществ;

е) организация - участник отбора не получает из федерального бюджета средства на основании иных нормативных правовых актов Российской Федерации на цели, установленные пунктом 1 настоящих Правил;

ж) организация - участник отбора не находится в перечне организаций и физических лиц, в отношении которых имеются сведения об их причастности к экстремистской деятельности или терроризму.

8. Организация - участник отбора должна соответствовать следующим требованиям:

а) среднесписочная численность работников организации - участника отбора за предшествующий календарный год составляет не менее 20 человек, в случае если такая российская организация претендует на получение субсидии на реализацию только одного комплексного проекта и не реализует на дату заключения соглашения о предоставлении субсидии иных проектов в рамках государственной программы Российской Федерации "Научно-технологическое развитие Российской Федерации". Среднесписочная численность работников организации - участника отбора за предшествующий календарный год при реализации 2 комплексных проектов должна составлять не менее 30 человек, при реализации 3 комплексных проектов - не менее 40 человек, при реализации 4 комплексных проектов - не менее 50 человек, при реализации 5 комплексных проектов - не менее 60 человек;

б) организация - участник отбора создана не менее чем за 3 года до даты подачи заявки либо включена в перечень системообразующих предприятий российской экономики или является дочерним обществом системообразующей организации с долей участия в уставном капитале не менее 50 процентов и не находилась в течение 3 последних лет в процессе ликвидации или банкротства;

в) организация - участник отбора не является некоммерческой организацией, за исключением организаций, участвующих в отборе по технологическому направлению, указанному в подпункте "г" пункта 5 настоящих Правил;

г) с организацией - участником отбора за последние 3 года не было расторгнуто соглашение о предоставлении субсидии в рамках государственной программы Российской Федерации "Научно-технологическое развитие Российской Федерации" и государственной программы Российской Федерации "Развитие электронной и радиоэлектронной промышленности".

9. Отбор проводится конкурсной комиссией, образуемой Министерством промышленности и торговли Российской Федерации.

В случае наличия неиспользованных лимитов бюджетных обязательств, образовавшихся по результатам проведения отбора, Министерство промышленности и торговли Российской Федерации вправе провести в течение финансового года дополнительный отбор с учетом ранее принятых обязательств по предоставлению субсидии.

Отбор проводится с соблюдением сроков, установленных Положением о мерах по обеспечению исполнения федерального бюджета, утвержденным постановлением Правительства Российской Федерации от 9 декабря 2017 г. N 1496 "О мерах по обеспечению исполнения федерального бюджета".

10. В целях проведения отбора Министерство промышленности и торговли Российской Федерации формирует соответствующий требованиям, установленным пунктом 26 настоящих Правил, проект соглашения о предоставлении субсидии, заключаемого Министерством промышленности и торговли Российской Федерации с организацией - победителем отбора.

11. Для участия в отборе организация - участник отбора направляет через государственную информационную систему промышленности в Министерство промышленности и торговли Российской Федерации в электронном виде заявку, подписанную усиленной квалифицированной электронной подписью лица, имеющего право действовать от имени организации - участника отбора, с приложением следующих сведений и документов:

а) сведения об обеспеченности организации - участника отбора технологическим и испытательным оборудованием для реализации комплексного проекта, принадлежащим на праве собственности или на ином законном основании организации - участнику отбора, либо его дочерним обществам, либо российским организациям, находящимся на территории Российской Федерации, по отношению к которым организация - участник отбора является дочерней;

б) сведения о наличии у организации - участника отбора необходимых для реализации комплексного проекта и принадлежащих ей на праве собственности или на ином законном основании зданий, строений и сооружений, права на которые не зарегистрированы в Едином государственном реестре недвижимости;

в) сведения о наличии у организации - участника отбора успешного опыта реализации подобных комплексных проектов, в том числе о достижении всех заявленных технических характеристик опытных образцов, а также о выводе комплексных проектов на плановую окупаемость и достижении запланированных показателей экономической эффективности;

г) сведения об осуществлении организацией - участником отбора на дату подачи заявки работ по реализации комплексного проекта за счет собственных и (или) заемных средств с указанием объема фактически осуществленных затрат и выполненных работ (при наличии);

д) подтверждение, что организация - участник отбора соответствует требованиям, установленным подпунктами "б" - "ж" пункта 7 и подпунктами "б" - "г" пункта 8 настоящих Правил;

е) подтверждение, что на 1-е число месяца, предшествующего месяцу, в котором подается заявка, у организации - участника отбора отсутствует неисполненная обязанность по уплате налогов, сборов, страховых взносов, пеней, штрафов, процентов, подлежащих уплате в соответствии с законодательством Российской Федерации о налогах и сборах (в случае непредставления организацией - участником отбора такого документа Министерство промышленности и торговли Российской Федерации запрашивает его самостоятельно);

ж) утвержденное руководителем организации - участника отбора технико-экономическое обоснование комплексного проекта, включающее:

краткое описание комплексного проекта с указанием наименований всех единиц, создаваемых в рамках комплексного проекта средств производства электроники, соответствующих кодов Общероссийского классификатора продукции по видам экономической деятельности (ОКПД 2) и наименований контрагентов, привлекаемых к реализации комплексного проекта;

срок реализации комплексного проекта - не более 10 лет, при этом научно-исследовательские, опытно-конструкторские и технологические работы должны быть завершены в срок, не превышающий 5 лет;

технологический анализ комплексного проекта с описанием ключевых технических характеристик разрабатываемых базовых технологий и создаваемых средств производства электроники;

выводы о результатах проведения патентных исследований в части разрабатываемых в рамках комплексного проекта средств производства электроники, сведения о патентоспособных ключевых технических решениях, которые предполагается создать и использовать в рамках комплексного проекта (при наличии), с приложением копии отчета о патентных исследованиях, результаты которых подтверждают возможность получения патентоспособных ключевых технических решений в рамках реализации комплексного проекта, а также о востребованности указанных ключевых технических решений на рынке;

сведения о наличии у участника отбора научно-исследовательских, опытно-конструкторских и технологических работ, необходимых для реализации комплексного проекта;

сведения о применяемых в рамках реализации комплексного проекта импортных технологиях и комплектующих;

маркетинговый анализ комплексного проекта, содержащий анализ российского и мирового рынков средств производства электроники, создаваемых в рамках реализации комплексного проекта, а также анализ конкурентной среды в части сравнения таких средств, создаваемых в рамках комплексного проекта, с российскими и иностранными аналогами;

обоснование спроса на средства производства электроники, разрабатываемые в рамках комплексного проекта, с приложением подтверждающих писем от заинтересованных потребителей средств производства электроники;

план-график реализации комплексного проекта, предусмотренного соглашением о предоставлении субсидии, определяющий сроки и результаты достижения ключевых событий и значений характеристик в рамках реализации комплексного проекта (к концу реализации комплексного проекта значения каждой характеристики должны быть отличны от нуля) (далее - план-график реализации комплексного проекта), включая:

объем производства и реализации средств производства электроники, создаваемых в рамках комплексного проекта, в денежном выражении (в действующих ценах), который на конец срока реализации комплексного проекта должен составлять не менее 115 процентов суммы предоставленной субсидии;

количество вновь создаваемых и (или) модернизируемых высокопроизводительных рабочих мест в рамках реализации комплексного проекта;

размер субсидии, запрашиваемой в рамках реализации комплексного проекта (не может превышать 2500 млн. рублей за весь срок реализации комплексного проекта и 500 млн. рублей в течение одного года реализации комплексного проекта);

объем внебюджетных средств, привлекаемых организацией на реализацию комплексного проекта (не менее 10 процентов стоимости комплексного проекта);

количество планируемых заключений о технологическом тестировании опытных образцов, опытных партий средств производства электроники, бета-версий систем автоматизированного проектирования;

количество созданных результатов интеллектуальной деятельности, охраняемых патентами и (или) удовлетворяющих условиям патентоспособности (подтверждаются результатами патентных исследований, проведенных в соответствии с ГОСТом Р 15.011-96) и охраняемых в качестве секретов производства (ноу-хау), в том числе ключевых технических решений;

план-график финансового обеспечения реализации комплексного проекта на финансовое обеспечение затрат на проведение научно-исследовательских, опытно-конструкторских и технологических работ (далее - план-график финансового обеспечения реализации комплексного проекта);

з) отчет о проведении патентных исследований в части разрабатываемых технологий и (или) создаваемых средств производства электроники в рамках комплексного проекта;

и) письмо, подписанное руководителем либо лицом, имеющим право действовать от имени организации - участника отбора, подтверждающее наличие у организации - участника отбора инфраструктуры и специалистов для проведения всех этапов технологического тестирования опытных образцов, опытных партий средств производства электроники и (или) бета-версий программ для ЭВМ, планируемых к разработке в рамках реализации комплексного проекта, либо письмо от организации, обладающей инфраструктурой и специалистами для проведения всех этапов технологического тестирования опытных образцов, опытных партий средств производства электроники и (или) бета-версий программ для ЭВМ, планируемых к разработке в рамках реализации комплексного проекта, подтверждающее готовность данной организации предоставить организации - участнику отбора инфраструктуру и специалистов для проведения всех этапов технологического тестирования опытных образцов, опытных партий средств производства электроники и (или) бета-версий программ для ЭВМ, планируемых к разработке в рамках реализации комплексного проекта;

к) копии согласованного технического задания (при разработке в рамках комплексного проекта специальных материалов - копии согласованных технического задания и спецификации на специальные материалы), подписанные руководителями либо лицами, имеющими право действовать от имени организации - участника отбора и заинтересованного потребителя;

л) письмо, подписанное руководителем заинтересованного потребителя, о готовности к закупке средств производства электроники, планируемых к созданию в рамках реализации комплексного проекта в установленный срок, с указанием объемов планируемой закупки;

м) согласие на публикацию (размещение) в сети "Интернет" информации об организации - участнике отбора, о подаваемой организацией - участником отбора заявке и иной информации об организации - участнике отбора, связанной с отбором;

н) расчет размера субсидии в соответствии с пунктом 28 настоящих Правил, подписанный руководителем и главным бухгалтером (при наличии) организации - участника отбора;

о) письмо, подписанное руководителем заинтересованного потребителя, о необходимости реализации комплексного проекта в рамках сквозного проекта с приложением копии решения общественного экспертного совета об одобрении сквозного проекта, в рамках которого планируется реализация комплексного проекта (при наличии).

12. Заявка подается в отношении одного комплексного проекта. Одна организация - участник отбора может подать не более 3 заявок. При этом одна организация - участник отбора может реализовывать одновременно не более 5 комплексных проектов, субсидируемых в соответствии с настоящими Правилами.

13. Поступившим в Министерство промышленности и торговли Российской Федерации с использованием государственной информационной системы промышленности от организаций - участников отбора заявкам с прилагаемыми к ним документами в соответствии с пунктом 11 настоящих Правил присваиваются регистрационные номера. Зарегистрированные в установленном Министерством промышленности и торговли Российской Федерации порядке заявки с прилагаемыми к ним документами направляются в конкурсную комиссию после окончания приема заявок.

Заявки с прилагаемыми к ним документами, поступившие после срока, указанного в объявлении о проведении отбора, возвращаются организациям - участникам отбора через государственную информационную систему промышленности без рассмотрения.

14. Отбор проводится в 3 этапа.

15. На 1-м этапе конкурсная комиссия в сроки и в порядке, которые установлены в объявлении о проведении отбора, в том числе с использованием государственной информационной системы промышленности (при наличии технической возможности), рассматривает заявки и прилагаемые к ним документы, представленные организациями - участниками отбора, указанные в объявлении о проведении отбора, во время и в месте, которые указаны в объявлении о проведении отбора, обеспечивает проверку наличия сведений и документов, предусмотренных пунктом 11 настоящих Правил, обеспечивает проверку соответствия организации - участника отбора требованиям пунктов 7 и 8 настоящих Правил, заявок - форме, приведенной в объявлении о проведении отбора, технико-экономических обоснований комплексных проектов требованиям подпункта "ж" пункта 11 настоящих Правил, а также обеспечивает оценку финансово-экономического состояния организации - участника отбора в соответствии с методикой оценки финансово-экономического состояния российских организаций, выполняющих научно-исследовательские и опытно-конструкторские работы в области средств производства электроники, согласно приложению N 1.

По итогам рассмотрения заявок и прилагаемых к ним документов, проведения оценки финансово-экономического состояния организаций - участников отбора и проверки документов организаций - участников отбора на соответствие их требованиям настоящих Правил в государственной информационной системе промышленности оформляется протокол рассмотрения заявок, который подписывается каждым присутствующим членом конкурсной комиссии усиленной квалифицированной электронной подписью и содержит следующие сведения:

дата, время и место проведения рассмотрения заявок и прилагаемых к ним документов;

информация об организациях - участниках отбора, заявки которых были рассмотрены;

информация об организациях - участниках отбора, заявки которых были отклонены, с указанием причин их отклонения, которым не соответствуют заявки;

информация об организациях - участниках отбора, заявки которых допущены к участию в отборе.

Подписанный протокол рассмотрения заявок размещается на сайте государственной информационной системы промышленности (с размещением указателя страницы сайта на едином портале), а также на официальном сайте Министерства промышленности и торговли Российской Федерации.

16. Заявки подлежат отклонению в следующих случаях:

а) несоответствие организации - участника отбора требованиям пунктов 7 и 8 настоящих Правил;

б) несоответствие содержания представленных организацией сведений и документов положениям, предусмотренным пунктом 11 настоящих Правил;

в) недостоверность представленной информации (в том числе информации о месте нахождения и об адресе юридического лица), а также несоответствие информации, представленной в заявке, информации, содержащейся в прилагаемых к ней документах;

г) подача одной организацией - участником отбора более 3 заявок либо наличие реализуемых организацией - участником отбора комплексных проектов в соответствии с ранее заключенными соглашениями о предоставлении субсидии, количество которых в совокупности с количеством поданных заявок превышает 5 комплексных проектов;

д) подача организацией - участником отбора заявки после даты и (или) времени, определенных для подачи заявки.

17. Конкурсная комиссия после подписания протокола рассмотрения заявок обеспечивает передачу заявок с приложенными сведениями и документами экспертному совету по проведению научно-технической оценки комплексных проектов и контролю их реализации, образуемому Министерством промышленности и торговли Российской Федерации (далее - экспертный совет).

18. На 2-м этапе экспертный совет после получения заявок с приложенными сведениями и документами проводит научно-техническую оценку комплексных проектов в соответствии с методикой проведения оценки достижения характеристик (показателей, необходимых для достижения результата предоставления из федерального бюджета субсидий российским организациям на финансовое обеспечение мероприятий по проведению научно-исследовательских и опытно-конструкторских работ в области средств производства электроники) в рамках реализации комплексного проекта, а также выполнения мероприятий (ключевых событий) плана-графика реализации комплексного проекта, предусмотренного соглашением о предоставлении субсидии, согласно приложению N 2 и следующими критериями:

соответствие одному из указанных в пункте 5 настоящих Правил технологическому направлению;

рыночная перспективность - оцениваются востребованность разрабатываемой в рамках комплексного проекта продукции на рынке, в том числе регулируемом, возможность ее применения в объектах критической информационной инфраструктуры, соответствие отраслевому плану импортозамещения, а также экспортный потенциал;

технологический суверенитет - оцениваются технические характеристики продукции, результаты интеллектуальной деятельности, применение отечественных решений в составе продукции комплексного проекта, наличие у организации научно-технического и технологического задела и его значимость для реализации комплексного проекта;

производственный потенциал - оцениваются возможность локализации технологических операций, производственные активы для создания и производства продукции комплексного проекта, применение продукции из реестра российской радиоэлектронной продукции в составе изделия;

финансово-экономическая эффективность - оцениваются финансово-экономическая эффективность и заявленная стоимость комплексного проекта, а также финансовое состояние (финансовая устойчивость) организации. Для научно-производственного объединения в сфере обеспечения технологического развития критической информационной инфраструктуры и в отношении организаций, доля участия субъекта Российской Федерации (либо организации, являющейся собственностью субъекта Российской Федерации не менее чем на 50 процентов) в которых составляет не менее 50 процентов - оценка финансово-экономического состояния.

19. Экспертный совет проводит заседание в очной форме или в форме видео-конференц-связи (с приглашением организации - участника отбора) по рассмотрению каждой заявки с приложенными сведениями и документами. По итогам рассмотрения комплексных проектов в государственной информационной системе промышленности экспертным советом оформляется протокол научно-технической оценки комплексных проектов, который подписывается каждым членом экспертного совета усиленной квалифицированной электронной подписью и содержит следующие сведения:

а) дата, время и место проведения рассмотрения заявок и прилагаемых к ним документов;

б) информация об организациях - участниках отбора, заявки которых были рассмотрены;

в) информация об организациях - участниках отбора, заявки которых не прошли научно-техническую оценку комплексных проектов;

г) информация об организациях - участниках отбора, заявки которых прошли научно-техническую оценку комплексных проектов;

д) заключение по каждому комплексному проекту.

20. Подписанные заключения по каждому комплексному проекту и протокол научно-технической оценки комплексных проектов передаются в конкурсную комиссию через государственную информационную систему промышленности (при наличии технической возможности) после их подписания.

21. На 3-м этапе конкурсная комиссия проверяет после подписания протокола научно-технической оценки соответствие документов по комплексным проектам, прошедшим научно-техническую оценку, условиям, указанным в объявлении о проведении отбора, и определяет рейтинг заявок в соответствии с методикой определения рейтинга заявок, представленных российскими организациями в рамках отбора на право получения из федерального бюджета субсидий на финансовое обеспечение мероприятий по проведению научно-исследовательских и опытно-конструкторских работ в области средств производства электроники, согласно приложению N 3 и следующими критериями:

а) реализация комплексного проекта в рамках сквозного проекта, одобренного общественным экспертным советом. Рейтинг, присуждаемый i-й заявке по критерию, касающемуся включения комплексного проекта в состав сквозного проекта, одобренного общественным экспертным советом, определяется равным 1,2 в случае включения комплексного проекта в состав сквозного проекта, одобренного общественным экспертным советом. В остальных случаях указанный рейтинг принимается равным 1;

б) объем реализации средств производства электроники, которые будут созданы в ходе реализации комплексного проекта;

в) патентоспособность ключевых технических решений (непатентоспособно, или патентоспособно в качестве полезной модели, или патентоспособно в качестве изобретения);

г) соотношение размера субсидии, запрашиваемой на проведение научно-исследовательских, опытно-конструкторских и технологических работ в рамках комплексного проекта, и размера заемных и (или) собственных средств, планируемых к привлечению для реализации комплексного проекта;

д) наличие успешного опыта реализации подобных комплексных проектов, в том числе по их выводу на плановую окупаемость и обеспечению достижения запланированных показателей экономической эффективности.

22. На основании определенного в соответствии с пунктом 21 настоящих Правил рейтинга заявок конкурсная комиссия присваивает каждой заявке порядковый номер. По итогам оценки и определения рейтинга заявок в государственной информационной системе промышленности (при наличии технической возможности) оформляется протокол оценки и определения рейтинга заявок.

23. Подписанный протокол оценки и определения рейтинга заявок с результатами отбора содержит:

а) дату, время и место проведения рассмотрения заявок;

б) дату, время и место оценки заявок;

в) информацию об организациях - участниках отбора, заявки которых были рассмотрены;

г) информацию об организациях - участниках отбора, заявки которых были отклонены, с указанием причин их отклонения, которым не соответствуют такие заявки;

д) информацию об организациях - участниках отбора, заявки которых не прошли научно-техническую оценку комплексных проектов;

е) последовательность проведения оценки заявок, присвоенные заявкам значения по каждому из предусмотренных критериев оценки и принятое на основании результатов оценки решение о присвоении заявкам порядковых номеров;

ж) наименования организаций - получателей субсидии, с которыми заключаются соглашения о предоставлении субсидии, и размеры субсидий.

24. Подписанный протокол оценки и определения рейтинга заявок с результатами отбора размещается без указания информации о российских организациях, участвовавших в отборе, на сайте государственной информационной системы промышленности (при наличии технической возможности) с указателем страницы сайта на едином портале, а также на официальном сайте Министерства промышленности и торговли Российской Федерации.

25. После подписания протокола оценки и определения рейтинга заявок Министерство промышленности и торговли Российской Федерации заключает с российскими организациями - получателями субсидии соглашения о предоставлении субсидии.

Соглашения о предоставлении субсидии заключаются на сроки реализации комплексных проектов в соответствии с технико-экономическими обоснованиями комплексных проектов в порядке рейтинга заявок, определенного в соответствии с пунктом 21 настоящих Правил (начиная с наибольшего значения и далее по убыванию), до момента исчерпания лимитов бюджетных обязательств, доведенных в установленном порядке до Министерства промышленности и торговли Российской Федерации как получателя средств федерального бюджета на цели, указанные в пункте 1 настоящих Правил.

Обязательства о предоставлении субсидии принимаются Министерством промышленности и торговли Российской Федерации на период доведенных до него в установленном порядке лимитов бюджетных обязательств на цели, указанные в пункте 1 настоящих Правил, с возможностью пролонгации этих обязательств в случае доведения лимитов бюджетных обязательств на указанные цели на очередной финансовый год. При этом общий срок, на который предоставляется субсидия, не может превышать 5 лет.

В случае если срок выполнения научно-исследовательских, опытно-конструкторских и технологических работ и подготовки производства по созданию средств производства электроники превышает срок действия доведенных в установленном порядке до Министерства промышленности и торговли Российской Федерации как получателя средств федерального бюджета лимитов бюджетных обязательств на цели, указанные в пункте 1 настоящих Правил, решение о заключении соглашения о предоставлении субсидии (дополнительного соглашения о предоставлении субсидии) на срок, превышающий срок действия указанных лимитов бюджетных обязательств, принимается в соответствии с Правилами принятия решений о заключении договоров (соглашений) о предоставлении из федерального бюджета субсидий юридическим лицам на срок, превышающий срок действия лимитов бюджетных обязательств, утвержденными постановлением Правительства Российской Федерации от 17 октября 2017 г. N 1261 "Об утверждении Правил принятия решений о заключении договоров (соглашений) о предоставлении из федерального бюджета субсидий юридическим лицам на срок, превышающий срок действия лимитов бюджетных обязательств".

26. Соглашение о предоставлении субсидии (дополнительное соглашение о предоставлении субсидии) заключается в соответствии с типовой формой, утвержденной Министерством финансов Российской Федерации, в государственной интегрированной информационной системе управления общественными финансами "Электронный бюджет", подписывается усиленной квалифицированной электронной подписью лиц, имеющих право действовать от имени каждой из сторон. Соглашение о предоставлении субсидии предусматривает в том числе следующие положения:

а) общая стоимость комплексного проекта и максимальный размер субсидии на срок реализации комплексного проекта в соответствии с технико-экономическим обоснованием комплексного проекта;

б) значения результата предоставления субсидии и значения характеристик;

в) план-график реализации комплексного проекта;

г) план-график финансового обеспечения реализации комплексного проекта;

д) согласие российской организации - получателя субсидии и лиц, получающих средства на основании договоров, заключенных с российской организацией - получателем субсидии (за исключением государственных (муниципальных) унитарных предприятий, хозяйственных товариществ и обществ с участием публично-правовых образований в их уставных (складочных) капиталах, коммерческих организаций с участием таких товариществ и обществ в их уставных (складочных) капиталах), на проведение в отношении них Министерством промышленности и торговли Российской Федерации с привлечением членов экспертного совета, в том числе на территории российской организации - получателя субсидии, проверок соблюдения российской организацией - получателем субсидии условий и порядка предоставления субсидии, установленных соглашением о предоставлении субсидии и настоящими Правилами, в том числе в части достижения результата предоставления субсидии, а также на проведение органами государственного финансового контроля проверок в соответствии со статьями 268.1 и 269.2 Бюджетного кодекса Российской Федерации;

е) порядок пересмотра условий соглашения о предоставлении субсидии и согласования новых условий соглашения о предоставлении субсидии в случае уменьшения Министерству промышленности и торговли Российской Федерации как получателю средств федерального бюджета ранее доведенных лимитов бюджетных обязательств, приводящего к невозможности предоставления субсидии в размере, определенном в соглашении о предоставлении субсидии;

ж) порядок и условия расторжения соглашения о предоставлении субсидии, в том числе расторжения соглашения о предоставлении субсидии в одностороннем порядке Министерством промышленности и торговли Российской Федерации в случае нарушения организацией - получателем субсидии условий и порядка предоставления субсидии, в том числе:

непредставления (представления не в полном объеме) документов, предусмотренных пунктом 30 настоящих Правил, в течение 2 периодов реализации комплексного проекта подряд;

непредставления в срок, превышающий 3 месяца, пояснений и исправленных отчетных документов, предусмотренных пунктом 30 настоящих Правил, в случае выявления Министерством промышленности и торговли Российской Федерации факта недостоверности представленной организацией - получателем субсидии информации;

наличие у российской организации - получателя субсидии просроченной (неурегулированной) задолженности по денежным обязательствам перед Российской Федерацией в течение 6 месяцев;

фактическое недостижение значений результата предоставления субсидии или одной из характеристик комплексного проекта более чем на 30 процентов плановых значений, предусмотренных соглашением о предоставлении субсидии, выявленное в рамках проверки соблюдения российской организацией - получателем субсидии условий и порядка предоставления субсидии, осуществляемой Министерством промышленности и торговли Российской Федерации в соответствии с подпунктом "д" настоящего пункта;

фактическое невыполнение результатов мероприятий (ключевых событий) плана-графика реализации комплексного проекта, предусмотренного соглашением о предоставлении субсидии, в течение 3 периодов реализации комплексного проекта подряд (нарастающим итогом);

недостижение согласия по новым условиям, предложенным Министерством промышленности и торговли Российской Федерации в соответствии с подпунктом "е" настоящего пункта;

з) требование к ведению российской организацией - получателем субсидии раздельного учета затрат на проведение научно-исследовательских, опытно-конструкторских и технологических работ;

и) обязанность российской организации - получателя субсидии представлять в срок, установленный в подпункте "б" пункта 30 настоящих Правил, отчет о достижении значений результата предоставления субсидии и значений характеристик, отчет об осуществлении расходов, источником финансового обеспечения которых является субсидия, по формам, определенным типовой формой соглашения о предоставлении субсидии, утвержденной Министерством финансов Российской Федерации, а также дополнительную отчетность в соответствии с условиями, предусмотренными соглашением о предоставлении субсидии;

к) ответственность российской организации - получателя субсидии за несоблюдение порядка представления документов, а также форм и сроков представления отчетов, указанных в подпункте "и" настоящего пункта;

л) запрет приобретения российской организацией - получателем субсидии за счет полученных из федерального бюджета средств иностранной валюты, за исключением операций, осуществляемых российской организацией - получателем субсидии в соответствии с валютным законодательством Российской Федерации при закупке (поставке) высокотехнологичного импортного оборудования, технологической оснастки, результатов интеллектуальной деятельности, сырья и комплектующих изделий, а также иных операций, связанных с достижением результата предоставления субсидии;

м) запрет на размещение полученных из федерального бюджета средств на депозитных счетах в кредитных организациях или государственной корпорации развития "ВЭБ.РФ";

н) условия, касающиеся достижения следующих результатов интеллектуальной деятельности:

обеспечение правовой охраны и учета результатов интеллектуальной деятельности, созданных в рамках реализации комплексного проекта;

осуществление государственного учета созданных в рамках реализации комплексного проекта ключевых технических решений, а также результатов интеллектуальной деятельности, не относящихся к ключевым техническим решениям, но являющихся охраноспособными, сведения о сущности которых охраняются в том числе в качестве секрета производства (ноу-хау);

порядок распределения и закрепления прав на созданные охраноспособные результаты интеллектуальной деятельности;

о) обязательство российской организации - получателя субсидии по включению в договоры, заключаемые в целях исполнения обязательств по соглашению о предоставлении субсидии, согласия лиц, получающих средства на основании договоров, заключенных с российской организацией - получателем субсидии (за исключением государственных (муниципальных) унитарных предприятий, хозяйственных товариществ и обществ с участием публично-правовых образований в их уставных (складочных) капиталах, коммерческих организаций с участием таких товариществ и обществ в их уставных (складочных) капиталах) на проведение в отношении них Министерством промышленности и торговли Российской Федерации и органами государственного финансового контроля проверок соблюдения условий и порядка предоставления субсидий в соответствии со статьями 268.1 и 269.2 Бюджетного кодекса Российской Федерации, в том числе в части достижения результата предоставления субсидии, установленного соглашением о предоставлении субсидии и настоящими Правилами;

п) обязательство российской организации - получателя субсидии по получению по итогам реализации комплексного проекта охраняемых результатов интеллектуальной деятельности и приравненных к ним средств индивидуализации, предусмотренных Гражданским кодексом Российской Федерации;

р) обязательство российской организации - получателя субсидии по возврату в доход федерального бюджета в порядке, установленном бюджетным законодательством Российской Федерации, полученных по соглашению о предоставлении субсидии средств субсидии (в полном объеме) в случае одностороннего расторжения соглашения о предоставлении субсидии по инициативе Министерства промышленности и торговли Российской Федерации;

с) положения о казначейском сопровождении, установленные правилами казначейского сопровождения в соответствии с бюджетным законодательством Российской Федерации.

27. Субсидируемые затраты российских организаций на проведение научно-исследовательских, опытно-конструкторских и технологических работ в рамках комплексного проекта включают в себя непосредственно связанные с реализацией комплексного проекта:

а) расходы на оплату труда работников, непосредственно занятых выполнением научно-исследовательских, опытно-конструкторских и технологических работ в рамках комплексного проекта, а также расходы на обязательное пенсионное страхование, на обязательное социальное страхование на случай временной нетрудоспособности и в связи с материнством, обязательное медицинское страхование, обязательное социальное страхование от несчастных случаев на производстве и профессиональных заболеваний, начисленные на указанные суммы расходов на оплату труда;

б) накладные расходы в размере не более 200 процентов суммы субсидируемых расходов на оплату труда работников, непосредственно занятых реализацией комплексного проекта, включающие:

расходы на оплату труда административно-управленческого персонала российской организации (за исключением доплат и надбавок стимулирующего характера, премий и иных поощрительных выплат), а также расходы на обязательное пенсионное страхование, на обязательное социальное страхование на случай временной нетрудоспособности и в связи с материнством, обязательное медицинское страхование, обязательное социальное страхование от несчастных случаев на производстве и профессиональных заболеваний, начисленные на указанные суммы расходов;

расходы на аренду зданий, строений и сооружений, которые российская организация использует для проведения научно-исследовательских, опытно-конструкторских и технологических работ;

расходы на оплату коммунальных услуг, обслуживание и ремонт зданий, строений и сооружений, которые организация использует для проведения научно-исследовательских, опытно-конструкторских и технологических работ в рамках реализации комплексного проекта;

расходы на оплату транспортировки грузов, непосредственно связанных с проведением научно-исследовательских, опытно-конструкторских и технологических работ в рамках реализации комплексного проекта;

в) расходы на выполнение научно-исследовательских, опытно-конструкторских и технологических работ в размере не более 60 процентов размера предоставленной субсидии в отчетном периоде реализации комплексного проекта;

г) расходы на приобретение у российских и иностранных организаций неисключительных лицензий на результаты интеллектуальной деятельности, необходимых для реализации комплексного проекта;

д) расходы на проведение исследований в центрах коллективного пользования;

е) расходы на изготовление опытных образцов, макетов и стендов, в том числе на приобретение материалов и покупных комплектующих изделий;

ж) расходы на производство опытной серии средств производства электроники, их тестирование, сертификацию и (или) регистрацию, а также на проведение испытаний;

з) расходы на аренду (лизинг) технологического оборудования и технологической оснастки, необходимых для проведения научно-исследовательских, опытно-конструкторских и технологических работ;

и) расходы на обеспечение правовой охраны созданных в ходе выполнения научно-исследовательских, опытно-конструкторских и технологических работ результатов интеллектуальной деятельности, включая патентование, в том числе за рубежом;

к) расходы на проведение патентных исследований в соответствии с ГОСТом Р 15.011-96;

л) затраты на выплату авторских вознаграждений за создание и использование результатов интеллектуальной деятельности;

м) расходы на оснащение и обслуживание создаваемых и модернизируемых в рамках проведения научно-исследовательских, опытно-конструкторских и технологических работ при реализации комплексного проекта высокопроизводительных рабочих мест;

н) расходы на приобретение изделий сравнения в размере не более 20 процентов размера предоставленной субсидии в рамках комплексного проекта.

28. Размер субсидируемых затрат на одного человека по комплексному проекту по каждой из статей расходов, указанных в подпунктах "а" и "б" пункта 27 настоящих Правил (в части расходов на оплату труда административно-управленческого персонала российской организации), не может превышать 75 процентов размера предоставленной в рамках комплексного проекта субсидии. Размер субсидируемых затрат по статьям расходов, указанных в подпункте "а" пункта 27 настоящих Правил, не может более чем в 5 раз превышать среднемесячный уровень оплаты труда в Российской Федерации по таким видам экономической деятельности, как "научные исследования и разработки" и "деятельность профессиональная научная и техническая прочая", исчисленный (по данным Федеральной службы государственной статистики) за предыдущий год и размещенный на официальном сайте Федеральной службы государственной статистики в сети "Интернет".

Субсидии предоставляются российской организации в соответствии с соглашением о предоставлении субсидии в сроки, установленные планом-графиком финансового обеспечения реализации комплексного проекта, обязательства по которым возникли не ранее календарного года получения субсидии, в том числе до заключения соглашения о предоставлении субсидии.

Периоды реализации комплексного проекта равны полугодиям календарного года.

Объем внебюджетных средств, привлекаемых организацией - получателем субсидии по каждому комплексному проекту в течение срока реализации комплексного проекта, не может быть менее 10 процентов стоимости комплексного проекта. При этом в каждом периоде реализации комплексного проекта российская организация привлекает внебюджетные средства в размере не менее 10 процентов понесенных затрат, предусмотренных пунктом 27 настоящих Правил. Оставшийся объем указанных внебюджетных средств организация - получатель субсидии может привлекать для создания, расширения, модернизации комплекса объектов недвижимого имущества, приобретения и модернизации оборудования в целях организации производства для создания средств производства электроники, приобретения у российских и (или) иностранных организаций исключительных прав на результаты интеллектуальной деятельности, необходимых для реализации комплексного проекта.

29. Расходы, связанные с созданием, расширением, модернизацией объектов недвижимого имущества, приобретением и модернизацией оборудования в целях организации производства для создания средств производства электроники в рамках комплексного проекта, включают:

а) расходы на оплату труда работников, непосредственно занятых выполнением работ по созданию, расширению, модернизации объектов недвижимого имущества, приобретению и модернизации оборудования в целях организации производства для создания средств производства электроники в рамках комплексного проекта, за период выполнения ими работ в рамках комплексного проекта, а также расходы на обязательное пенсионное страхование, обязательное социальное страхование на случай временной нетрудоспособности и в связи с материнством, обязательное медицинское страхование, обязательное социальное страхование от несчастных случаев на производстве и профессиональных заболеваний, начисленные на указанные суммы расходов на оплату труда;

б) накладные расходы в размере, определенном в соответствии с принципами учетной политики российской организации по распределению косвенных расходов между объектами калькуляции, но не более 200 процентов суммы расходов на оплату труда работников, непосредственно занятых выполнением работ по созданию, расширению, модернизации объектов недвижимого имущества, приобретению и модернизации оборудования в целях организации производства для создания средств производства электроники в рамках комплексного проекта, в том числе:

расходы на оплату труда административно-управленческого персонала организации, а также расходы на обязательное пенсионное страхование, на обязательное социальное страхование на случай временной нетрудоспособности и в связи с материнством, обязательное медицинское страхование, обязательное социальное страхование от несчастных случаев на производстве и профессиональных заболеваний, начисленные на указанные суммы расходов на оплату труда;

расходы на аренду зданий, строений и сооружений, которые российская организация использует в целях организации производства продукции в рамках комплексного проекта;

расходы на оплату коммунальных услуг, обслуживание и ремонт зданий, строений и сооружений, которые российская организация использует в целях организации производства для создания средств производства электроники в рамках комплексного проекта;

в) расходы на оплату товаров, работ и услуг в целях организации выпуска средств производства электроники в рамках комплексного проекта, в том числе:

расходы, непосредственно связанные с созданием, расширением, модернизацией объектов недвижимого имущества, в том числе на создание производственной инфраструктуры;

расходы на приобретение и модернизацию оборудования;

расходы на приобретение и обслуживание программ для ЭВМ, используемых при реализации и управлении комплексным проектом, включая фиксированные разовые и периодические платежи;

расходы на обеспечение противопожарной безопасности на объектах недвижимого имущества;

расходы на охрану объектов недвижимого имущества;

расходы на охрану труда;

расходы на аренду земельных участков;

канцелярские, типографские, почтово-телеграфные и телефонные расходы;

расходы на поверку и аттестацию измерительных приборов и оборудования;

расходы на приобретение, ремонт и восстановление инструмента и приспособлений общего назначения;

г) расходы на приобретение акций (долей) в организациях, обладающих необходимым комплексом объектов недвижимого имущества.

30. Для получения субсидии российская организация, с которой заключено соглашение о предоставлении субсидии, ежегодно представляет в Министерство промышленности и торговли Российской Федерации следующие документы:

а) в рамках 1-го периода реализации комплексного проекта в течение 30 рабочих дней с даты заключения соглашения о предоставлении субсидии в 2023 году:

заявление о предоставлении субсидии, составленное в произвольной форме и подписанное руководителем российской организации, с указанием размера запрашиваемой субсидии;

справка налогового органа (по состоянию на дату не ранее 1-го числа месяца, предшествующего месяцу представления заявления о предоставлении субсидии), подтверждающая, что у российской организации отсутствует неисполненная обязанность по уплате налогов, сборов, страховых взносов, пеней, штрафов, процентов, подлежащих уплате в соответствии с законодательством Российской Федерации о налогах и сборах (в случае непредставления организацией такого документа Министерство промышленности и торговли Российской Федерации запрашивает его самостоятельно);

справки о соответствии российской организации требованиям, указанным в подпунктах "б" - "д" и "ж" пункта 7 настоящих Правил, подписанные руководителем и главным бухгалтером (при наличии) российской организации;

б) не позднее 25-го числа каждого месяца, следующего за истекшим календарным кварталом:

отчет о достижении значений результата предоставления субсидии и значений характеристик, составленный по форме, установленной типовой формой соглашения о предоставлении субсидии, утвержденной Министерством финансов Российской Федерации, с приложением подтверждающих документов (в случае первичного предоставления субсидии такой отчет не требуется);

отчет об осуществлении расходов, источником финансового обеспечения которых является субсидия, составленный по форме, установленной типовой формой соглашения о предоставлении субсидии, утвержденной Министерством финансов Российской Федерации (в случае первичного предоставления субсидии такой отчет не требуется);

в) дополнительная отчетность в соответствии с условиями, предусмотренными соглашением о предоставлении субсидии.

31. Министерство промышленности и торговли Российской Федерации регистрирует в порядке поступления документы, указанные в пункте 30 настоящих Правил, в специальном журнале (за исключением документов, поступивших через государственную информационную систему промышленности), который должен быть постранично пронумерован, прошнурован и скреплен печатью Министерства промышленности и торговли Российской Федерации.

Министерство промышленности и торговли Российской Федерации рассматривает представленные российскими организациями документы в порядке их поступления и обеспечивает проведение проверки полноты и достоверности сведений, содержащихся в документах, в течение 60 календарных дней со дня их поступления.

32. Сведения о проведенных в рамках реализации мероприятий комплексного проекта научно-исследовательских, опытно-конструкторских и технологических работах гражданского назначения направляются организацией в порядке, предусмотренном постановлением Правительства Российской Федерации от 12 апреля 2013 г. N 327 "О единой государственной информационной системе учета научно-исследовательских, опытно-конструкторских и технологических работ гражданского назначения".

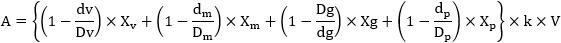
33. В случае если лимитов бюджетных обязательств, доведенных в установленном порядке до Министерства промышленности и торговли Российской Федерации как получателя средств федерального бюджета на цели, указанные в пункте 1 настоящих Правил, недостаточно для предоставления субсидии в текущем периоде реализации комплексного проекта в полном объеме, скорректированный размер предоставляемой субсидии российской организации () определяется по формуле:

,

где:

ЛБО - доведенные в установленном порядке до Министерства промышленности и торговли Российской Федерации как получателя средств федерального бюджета лимиты бюджетных обязательств на цели, указанные в пункте 1 настоящих Правил;

- размер предоставляемой субсидии в соответствии с заключенным соглашением о предоставлении субсидии для i-й российской организации;

- размер предоставляемой субсидии в соответствии с заключенным соглашением о предоставлении субсидии для j-й российской организации.

34. Основаниями для отказа в предоставлении субсидии являются:

а) непредставление (непредставление в полном объеме), а также несоответствие документов требованиям пункта 30 настоящих Правил;

б) установление факта недостоверности информации, представленной получателем субсидии (в случае непредставления по запросу Министерства промышленности и торговли Российской Федерации доработанных документов с учетом замечаний, направленных Министерством промышленности и торговли Российской Федерации);

в) наличие у российской организации просроченной (неурегулированной) задолженности по денежным обязательствам перед Российской Федерацией.

35. Перечисление субсидии осуществляется на казначейский счет для осуществления и отражения операций с денежными средствами участников казначейского сопровождения, открытый в территориальном органе Федерального казначейства, не позднее 2-го рабочего дня после представления российской организацией в территориальный орган Федерального казначейства распоряжений о совершении казначейских платежей для оплаты денежного обязательства российской организации.

36. Информация о размерах и сроках перечисления субсидии учитывается Министерством промышленности и торговли Российской Федерации при формировании прогноза кассовых выплат из федерального бюджета, необходимого для составления в установленном порядке кассового плана исполнения федерального бюджета.

37. Министерство промышленности и торговли Российской Федерации проводит проверки соблюдения российскими организациями - получателями субсидии порядка и условий предоставления субсидии, в том числе в части достижения результата предоставления субсидии. Органы государственного финансового контроля проводят проверки в соответствии со статьями 268.1 и 269.2 Бюджетного кодекса Российской Федерации.

38. Министерство промышленности и торговли Российской Федерации проводит мониторинг достижения результата предоставления субсидии, исходя из достижения значений результата предоставления субсидии, определенных соглашением о предоставлении субсидии, и событий, отражающих факт завершения соответствующего мероприятия по получению результата предоставления субсидии (контрольная точка), в порядке и по формам, которые установлены Министерством финансов Российской Федерации.

39. В случае нарушения российской организацией - получателем субсидии условий, установленных при предоставлении субсидии, выявленного в том числе по итогам проверок, проведенных Министерством промышленности и торговли Российской Федерации и органом государственного финансового контроля, соответствующие средства в размере выявленных нарушений подлежат возврату в доход федерального бюджета в порядке, установленном бюджетным законодательством Российской Федерации, на основании:

а) соответствующего требования Министерства промышленности и торговли Российской Федерации - в течение 10 рабочих дней со дня получения российской организацией - получателем субсидии указанного требования;

б) представления и (или) предписания органа государственного финансового контроля - в сроки, установленные в соответствии с бюджетным законодательством Российской Федерации.

40. В случае если по итогам реализации комплексного проекта значение результата предоставления субсидии или хотя бы одной из характеристик, указанных в соглашении о предоставлении субсидии, составляет менее 90 процентов планового значения, определенного соглашением о предоставлении субсидии, и не достигнуто в течение одного календарного года со дня завершения комплексного проекта, российская организация - получатель субсидии возвращает субсидию в размере, который определяется в соответствии с расчетом согласно приложению N 4.

41. Российская организация - получатель субсидии вправе обратиться в Министерство промышленности и торговли Российской Федерации с мотивированным заявлением о внесении изменений в соглашение о предоставлении субсидии (далее - заявление о внесении изменений) в следующих случаях:

а) введение иностранным государством запретов и ограничений в области предпринимательской деятельности, осуществления валютных операций, а также иных ограничительных и запретительных мер, действующих в отношении Российской Федерации или российской организации - получателя субсидии;

б) изменение валютных курсов более чем на 30 процентов с фиксацией измененного курса в течение не менее 6 месяцев, предшествующих дате подачи заявления о внесении изменений;

в) изменение на мировых рынках стоимости высокотехнологичного импортного оборудования, технологической оснастки, прав на результаты интеллектуальной деятельности, сырья, комплектующих изделий и услуг, необходимых для реализации комплексного проекта, в рублевом эквиваленте более чем на 15 процентов с фиксацией измененной стоимости в течение не менее 6 месяцев, предшествующих дате подачи заявления о внесении изменений;

г) применение Правительством Российской Федерации мер, ограничивающих закупку высокотехнологичного импортного оборудования, технологической оснастки, приобретение прав на результаты интеллектуальной деятельности, сырья, комплектующих изделий и услуг, указанных в технико-экономическом обосновании комплексного проекта и оказывающих влияние на сроки реализации мероприятий (достижения ключевых событий) плана-графика реализации комплексного проекта и достижение результата предоставления субсидии и характеристик;

д) установление в ходе выполнения научно-исследовательских, опытно-конструкторских и технологических работ по созданию научно-исследовательских, опытно-конструкторских и технологических работ факторов технологического, техногенного, эпидемиологического характера и иных ограничений и запретов, связанных с деятельностью исполнителя комплексного проекта, оказывающих влияние на сроки реализации мероприятий (достижения ключевых событий) плана-графика реализации комплексного проекта и достижение результата предоставления субсидии и характеристик.

42. В случае наступления одного или нескольких событий, указанных в пункте 41 настоящих Правил, а также в случае уменьшения размера предоставляемой субсидии, если лимитов бюджетных обязательств, доведенных в установленном порядке до Министерства промышленности и торговли Российской Федерации как получателя средств федерального бюджета на цели, указанные в пункте 1 настоящих Правил, недостаточно для предоставления субсидии в текущем финансовом году в полном объеме, российская организация направляет в Министерство промышленности и торговли Российской Федерации заявление о внесении изменений, подписанное руководителем российской организации, с приложением документов, свидетельствующих о наступлении указанных событий, расчетов, обосновывающих степень влияния наступивших событий на характеристики, указанные в соглашении о предоставлении субсидии, а также предложения о внесении изменений в план-график реализации комплексного проекта.

43. После получения заявления о внесении изменений Министерство промышленности и торговли Российской Федерации передает его экспертному совету. Экспертный совет после получения заявления о внесении изменений проводит оценку документов и оформляет заключение о целесообразности внесения изменений в соглашение о предоставлении субсидии.

44. На основании заключения экспертного совета Министерство промышленности и торговли Российской Федерации вносит изменения (отказывает во внесении изменений) в соглашение о предоставлении субсидии. При этом уточнения указанных в соглашении о предоставлении субсидии значений характеристик в рамках отдельных периодов реализации комплексного проекта могут вноситься при условии сохранения итоговых значений этих показателей на конец реализации комплексного проекта, а внесение изменений в план-график реализации комплексного проекта при условии сохранения срока его реализации.

45. Министерство промышленности и торговли Российской Федерации и российская организация - получатель субсидии вправе пересмотреть сроки реализации комплексного проекта (на срок до 12 месяцев) при условии сохранения значения планового результата предоставления субсидии, установленного в соглашении о предоставлении субсидии, в следующих случаях:

а) сокращение лимитов обязательств, доведенных в установленном порядке до Министерства промышленности и торговли Российской Федерации как получателя средств федерального бюджета на цели, указанные в пункте 1 настоящих Правил;

б) увеличение сроков поставки технологического оборудования, необходимого для разработки средств производства электроники в рамках реализации комплексного проекта;

в) изменение законодательства Российской Федерации, влияющего на сроки выполнения мероприятий комплексного проекта.

46. В случае пересмотра срока реализации комплексного проекта в соответствии с пунктом 45 настоящих Правил перенос сроков выполнения ключевых событий не рассматривается в качестве основания для расторжения соглашения, предусмотренного абзацем шестым подпункта "ж" пункта 26 настоящих Правил.

Приложение N 1
к Правилам предоставления
в 2023 году из федерального бюджета
субсидий российским организациям
на финансовое обеспечение мероприятий
по проведению научно-исследовательских
и опытно-конструкторских работ в области
средств производства электроники

МЕТОДИКА ОЦЕНКИ ФИНАНСОВО-ЭКОНОМИЧЕСКОГО СОСТОЯНИЯ РОССИЙСКИХ ОРГАНИЗАЦИЙ, ВЫПОЛНЯЮЩИХ НАУЧНО-ИССЛЕДОВАТЕЛЬСКИЕ И ОПЫТНО-КОНСТРУКТОРСКИЕ РАБОТЫ В ОБЛАСТИ СРЕДСТВ ПРОИЗВОДСТВА ЭЛЕКТРОНИКИ

1. Оценка финансово-экономического состояния российских организаций, выполняющих научно-исследовательские и опытно-конструкторские работы в области средств производства электроники, соответствующих требованиям пункта 7 Правил предоставления в 2023 году из федерального бюджета субсидий российским организациям на финансовое обеспечение мероприятий по проведению научно-исследовательских и опытно-конструкторских работ в области средств производства электроники, утвержденных постановлением Правительства Российской Федерации от 16 декабря 2020 г. N 2136 "Об утверждении Правил предоставления в 2023 году из федерального бюджета субсидий российским организациям на финансовое обеспечение мероприятий по проведению научно-исследовательских и опытно-конструкторских работ в области средств производства электроники" (далее соответственно - организации, Правила), проводится конкурсной комиссией по проведению отбора российских организаций на право получения из федерального бюджета субсидий на финансовое обеспечение мероприятий по проведению научно-исследовательских и опытно-конструкторских работ в области средств производства электроники, образуемой Министерством промышленности и торговли Российской Федерации в соответствии с абзацем первым пункта 9 Правил (далее соответственно - конкурсная комиссия, отбор) в рамках отбора.

2. Оценка финансово-экономического состояния организации проводится на основании технико-экономического обоснования комплексного проекта, представляемого в соответствии с подпунктом "ж" пункта 11 Правил.

3. Оценка финансово-экономического состояния организации проводится в баллах на основе значения интегрального показателя финансово-экономического состояния организации, определяемого в соответствии со следующими показателями:

а) коэффициент финансовой зависимости - характеризует структуру капитала организации, оценивает степень зависимости организации от кредиторов и определяется как отношение суммы долгосрочных обязательств (код строки 1400 формы по бухгалтерскому балансу ОКУД 0710001) и краткосрочных обязательств (код строки 1500 формы по бухгалтерскому балансу ОКУД 0710001) за вычетом доходов будущих периодов, образованных за счет целевого финансирования (средства субсидии - коды строк 1450 и 1530 формы по бухгалтерскому балансу ОКУД 0710001), к сумме оборотных активов (код строки 1200 формы по бухгалтерскому балансу ОКУД 0710001) и внеоборотных активов (код строки 1100 формы по бухгалтерскому балансу ОКУД 0710001) за вычетом оборотных и внеоборотных активов, сформированных за счет средств целевого финансирования (средства субсидии в разрезе кодов строк 1100 и 1200 формы по бухгалтерскому балансу ОКУД 0710001), по состоянию на конец года, предшествующего году подачи заявки на участие в отборе (далее - заявка), в соответствии со следующей формулой:

;

б) коэффициент абсолютной ликвидности - отражает уровень платежеспособности и возможности погашения текущих обязательств организации и определяется как отношение оборотных активов (код строки 1200 формы по бухгалтерскому балансу ОКУД 0710001) к краткосрочным обязательствам (код строки 1500 формы по бухгалтерскому балансу ОКУД 0710001) за вычетом доходов будущих периодов, образованных за счет целевого финансирования (код строки 1530 формы по бухгалтерскому балансу ОКУД 0710001), по состоянию на конец года, предшествующего году подачи заявки, в соответствии со следующей формулой:

;

в) чистые активы - характеризуют общую финансово-экономическую эффективность деятельности организации (код строки 3600 формы отчета об изменениях капитала ОКУД 0710004) и определяются по состоянию на конец года, предшествующего году подачи заявки;

г) среднегодовой темп прироста выручки (код строки 2110 формы отчета о финансовых результатах ОКУД 0710002) за последние 3 календарных года - определяет динамику развития организации в соответствии со следующей формулой:

;

д) рентабельность продаж по валовой прибыли - характеризует эффективность используемых ресурсов и прибыльность продаж при ведении финансово-хозяйственной деятельности организации и определяется как отношение валовой прибыли (код строки 2100 формы отчета о финансовых результатах ОКУД 0710002) к выручке (код строки 2110 формы отчета о финансовых результатах ОКУД 0710002) за год, предшествующий году подачи заявки, в соответствии со следующей формулой:

;

е) отношение планируемого объема выручки (объема производства и реализации продукции, создаваемой в рамках комплексного проекта) (далее - продукция), за срок реализации комплексного проекта без учета налога на добавленную стоимость по комплексному проекту к среднегодовому объему выручки (код строки 2110 формы отчета о финансовых результатах ОКУД 0710002) организации за предыдущие 3 календарных года - характеризует соответствие объема планируемой в рамках комплексного проекта реализации продукции масштабу деятельности организации и определяется по следующей формуле:

;

ж) коэффициент обеспеченности собственных инвестиций в комплексный проект - характеризует способность организации обеспечить требуемый объем собственных инвестиций в комплексный проект и определяется как отношение планируемого объема собственных инвестиций в комплексный проект к сумме оборотных активов (код строки 1200 формы по бухгалтерскому балансу ОКУД 0710001) и внеоборотных активов (код строки 1100 формы по бухгалтерскому балансу ОКУД 0710001) за вычетом оборотных и внеоборотных активов, сформированных за счет средств целевого финансирования (средства субсидии в разрезе кодов строк 1100 и 1200 формы по бухгалтерскому балансу ОКУД 0710001), по состоянию на конец года, предшествующего году подачи заявки, в соответствии со следующей формулой:

.

4. Интегральный показатель оценки финансово-экономического состояния организации определяется весовым коэффициентом (ИОС), который рассчитывается по следующей формуле:

,

где:

i - количество показателей, равное 7;

- вес показателя, равный:

для показателя "коэффициент финансовой зависимости" - 10 процентов;

для показателя "коэффициент абсолютной ликвидности" - 10 процентов;

для показателя "чистые активы" - 10 процентов;

для показателя "среднегодовой темп прироста выручки за последние 3 календарных года" - 10 процентов;

для показателя "рентабельность продаж по валовой прибыли" - 15 процентов;

для показателя "отношение планируемого объема выручки (объема производства и реализации продукции, создаваемой в рамках комплексного проекта, за срок реализации комплексного проекта без учета налога на добавленную стоимость) по комплексному проекту к среднегодовому объему выручки организации за предыдущие 3 календарных года" - 20 процентов;

для показателя "коэффициент обеспеченности собственных инвестиций в комплексный проект" - 25 процентов;

- балл показателя, равный:

для значений показателя "коэффициент финансовой зависимости":

более 0,7 - 0 баллов;

более 0,5, но менее 0,7 - 1 балл;

менее 0,5 - 2 балла;

для значений показателя "коэффициент абсолютной ликвидности":

менее 1 - 0 баллов;

не менее 2 - 1 балл;

более 1, но менее 2 - 2 балла;

для значений показателя "чистые активы":

не более 0 - 0 баллов;

более 0 - 2 балла;

для значений показателя "среднегодовой темп прироста выручки за последние 3 календарных года":

не более 0 - 0 баллов;

более 0, но менее 3,9 процента - 1 балл;

более 3,9 процента - 2 балла;

для значений показателя "рентабельность продаж по валовой прибыли":

от 0 до 8 процентов - 0 баллов;

более 8 процентов, но менее 30 процентов - 1 балл;

более 30 процентов - 2 балла;

для значений показателя "отношение планируемого объема выручки (объема производства и реализации продукции, создаваемой в рамках комплексного проекта, за срок реализации комплексного проекта без учета налога на добавленную стоимость) по комплексному проекту к среднегодовому объему выручки организации за предыдущие 3 календарных года":

более 8 - 0 баллов;

более 2, но менее 8 - 1 балл;

менее 2 - 2 балла;

для значений показателя "коэффициент обеспеченности собственных инвестиций в комплексный проект":

более 0,7 - 0 баллов;

более 0,3, но менее 0,7 - 1 балл;

менее 0,3 - 2 балла;

- коэффициент приведения, равный 50.

5. Значение интегрального показателя оценки финансово-экономического состояния организации 50 и более является основанием для принятия решения конкурсной комиссией о допуске организации к отбору в соответствии с пунктом 15 Правил.

6. Результаты проведенной оценки финансово-экономического состояния организации указываются в протоколе рассмотрения заявок конкурсной комиссии в соответствии с пунктом 15 Правил.

Приложение N 2
к Правилам предоставления
в 2023 году из федерального бюджета
субсидий российским организациям
на финансовое обеспечение мероприятий
по проведению научно-исследовательских
и опытно-конструкторских работ в области
средств производства электроники

МЕТОДИКА ПРОВЕДЕНИЯ ОЦЕНКИ ДОСТИЖЕНИЯ ХАРАКТЕРИСТИК (ПОКАЗАТЕЛЕЙ, НЕОБХОДИМЫХ ДЛЯ ДОСТИЖЕНИЯ РЕЗУЛЬТАТА ПРЕДОСТАВЛЕНИЯ ИЗ ФЕДЕРАЛЬНОГО БЮДЖЕТА СУБСИДИЙ РОССИЙСКИМ ОРГАНИЗАЦИЯМ НА ФИНАНСОВОЕ ОБЕСПЕЧЕНИЕ МЕРОПРИЯТИЙ ПО ПРОВЕДЕНИЮ НАУЧНО-ИССЛЕДОВАТЕЛЬСКИХ И ОПЫТНО-КОНСТРУКТОРСКИХ РАБОТ В ОБЛАСТИ СРЕДСТВ ПРОИЗВОДСТВА ЭЛЕКТРОНИКИ) В РАМКАХ РЕАЛИЗАЦИИ КОМПЛЕКСНОГО ПРОЕКТА, А ТАКЖЕ ВЫПОЛНЕНИЯ МЕРОПРИЯТИЙ (КЛЮЧЕВЫХ СОБЫТИЙ) ПЛАНА-ГРАФИКА РЕАЛИЗАЦИИ КОМПЛЕКСНОГО ПРОЕКТА, ПРЕДУСМОТРЕННОГО СОГЛАШЕНИЕМ О ПРЕДОСТАВЛЕНИИ СУБСИДИИ

1. Оценка достижения характеристик (показателей, необходимых для достижения результата предоставления из федерального бюджета субсидии российским организациям на финансовое обеспечение мероприятий по проведению научно-исследовательских и опытно-конструкторских работ в области средств производства электроники (далее - субсидии) в рамках реализации комплексного проекта, а также выполнения мероприятий (ключевых событий) плана-графика реализации комплексного проекта, предусмотренного соглашением о предоставлении субсидии (далее соответственно - проект, оценка), проводится экспертным советом по проведению научно-технической оценки комплексных проектов и контролю их реализации (далее - экспертный совет), предусмотренным пунктом 17 Правил предоставления в 2023 году из федерального бюджета субсидий российским организациям на финансовое обеспечение мероприятий по проведению научно-исследовательских и опытно-конструкторских работ в области средств производства электроники, утвержденных постановлением Правительства Российской Федерации от 16 декабря 2020 г. N 2136 "Об утверждении Правил предоставления в 2023 году из федерального бюджета субсидий российским организациям на финансовое обеспечение мероприятий по проведению научно-исследовательских и опытно-конструкторских работ в области средств производства электроники" (далее - Правила).

2. Оценка проектов, представленных организациями - участниками отбора (далее - организация) в рамках отбора на право получения из федерального бюджета субсидий (далее - отбор), проводится каждым членом экспертного совета на основе сведений и документов, представляемых организацией в соответствии с пунктом 11 Правил, по критериям, установленным пунктом 18 Правил, путем заполнения опросных листов:

а) соответствие проекта одному из технологических направлений, указанных в пункте 5 Правил.

В случае если проект не соответствует ни одному из указанных в пункте 5 Правил технологических направлений, а также при отсутствии письма, направляемого организацией в соответствии с подпунктом "и" пункта 11 Правил, дальнейшая оценка по нему не проводится;

б) рыночная перспективность - оцениваются востребованность разрабатываемой в рамках комплексного проекта продукции на рынке, в том числе регулируемом, возможность ее применения в объектах критической информационной инфраструктуры, соответствие отраслевому плану импортозамещения, а также экспортный потенциал (далее - продукция), оценка в баллах;

в) технологический суверенитет - оцениваются технические характеристики продукции, результаты интеллектуальной деятельности, применение отечественных решений в составе продукции комплексного проекта, наличие у организации научно-технического и технологического задела и его значимость для реализации комплексного проекта, оценка в баллах;

г) производственный потенциал - оцениваются возможность локализации технологических операций, производственные активы для создания и производства продукции комплексного проекта, применение продукции из реестра российской радиоэлектронной продукции в составе изделия, оценка в баллах;

д) финансово-экономическая эффективность - оцениваются финансово-экономическая эффективность и заявленная стоимость комплексного проекта, а также финансовое состояние (финансовая устойчивость) организации. Для научно-производственного объединения в сфере обеспечения технологического развития критической информационной инфраструктуры и в отношении организаций, доля участия субъекта Российской Федерации (либо организации, являющейся собственностью субъекта Российской Федерации не менее чем на 50 процентов) в которых составляет не менее 50 процентов, оценка финансово-экономического состояния организации не производится, оценка в баллах.

3. Рыночная перспективность оценивается по следующим критериям:

а) рыночная перспективность продукции оценивается в баллах исходя из соответствия одному из значений оцениваемого критерия:

маркетинговый анализ проекта и анализ конкурентной среды в части сравнения продукции с российскими и иностранными аналогами содержат данные, не позволяющие оценить рыночную перспективность продукции и (или) объем спроса на продукцию, подтвержденный письмами от заинтересованных потребителей продукции, представленными организацией в соответствии с подпунктом "л" пункта 11 Правил (далее - письма от заинтересованных потребителей продукции), и составляют не более 10 процентов планового значения объема производства и реализации продукции за срок реализации проекта, представляемого в плане-графике реализации комплексного проекта, предусмотренного соглашением о предоставлении субсидии, определяющим сроки и результаты достижения ключевых событий и значений характеристик в рамках реализации комплексного проекта в соответствии с подпунктом "ж" пункта 11 Правил (далее - объем производства и реализации продукции за срок реализации проекта) - 0 баллов;

объем спроса на продукцию, подтвержденный письмами от заинтересованных потребителей продукции, составляет более 10 процентов планового значения объема производства и реализации продукции за срок реализации проекта - 1 балл;

объем спроса на продукцию, подтвержденный письмами от заинтересованных потребителей продукции, составляет не менее 25 процентов планового значения объема производства и реализации продукции за срок реализации проекта - 2 балла;

объем спроса на продукцию, подтвержденный письмами от заинтересованных потребителей продукции, составляет не менее 50 процентов планового значения объема производства и реализации продукции за срок реализации проекта - 3 балла;

объем спроса на продукцию, подтвержденный письмами от заинтересованных потребителей продукции, составляет не менее 75 процентов планового значения объема производства и реализации продукции за срок реализации проекта - 4 балла;

объем спроса на продукцию, подтвержденный письмами от заинтересованных потребителей продукции, равен плановому значению объема производства и реализации продукции за срок реализации проекта - 5 баллов;

б) конкурентоспособность продукции относительно российских и иностранных аналогов оценивается в баллах исходя из соответствия одному из значений оцениваемого критерия:

продукция не соответствует выпускаемым российским аналогам по ключевым техническим характеристикам и цене - 0 баллов;

ключевые технические характеристики и (или) цена продукции соответствуют или превышают ключевые технические характеристики и (или) цену серийно выпускаемых российских аналогов по количественным характеристикам - 1 балл;

ключевые технические характеристики продукции соответствуют или превышают ключевые технические характеристики иностранных аналогов при более высокой цене - 2 балла;

ключевые технические характеристики продукции соответствуют или превышают ключевые технические характеристики иностранных аналогов, а цена продукции меньше или равна цене иностранного аналога - 3 балла;

в) потенциал импортозамещения продукции оценивается в баллах исходя из соответствия одному из значений оцениваемого критерия:

данные о составе продукции не представлены - 0 баллов;

данные о составе продукции представлены и позволяют оценить степень локализации производства - 1 балл;

схема деления на продукцию согласно национальному стандарту Российской Федерации ГОСТ Р 2.711-2019 "Единая система конструкторской документации. Схема деления изделия на составные части" (далее - ГОСТ Р 2.711-2019), или технологическая последовательность изготовления специальных материалов, или структурная схема программ для электронных вычислительных машин (далее - ЭВМ) представлена и в ее составе присутствуют компоненты, и (или) материалы, и (или) технологическое оборудование, и (или) прикладные программы для ЭВМ иностранного производства, свидетельствующие о признаках критической зависимости продукции от иностранных поставщиков, - 2 балла;

схема деления на продукцию согласно ГОСТу Р 2.711-2019, или технологическая последовательность изготовления специальных материалов, или структурная схема программы для ЭВМ представлена и в ее составе отсутствуют компоненты, и (или) материалы, и (или) технологическое оборудование, и (или) прикладные программы для ЭВМ иностранного производства, свидетельствующие о признаках критической зависимости продукции от иностранных поставщиков, - 3 балла;

г) экспортный потенциал продукции оценивается в баллах исходя из соответствия одному из значений оцениваемого критерия:

в случае если проект не предполагает экспорт продукции, - 0 баллов;

в случае если проект предполагает экспорт продукции, - 1 балл.

4. Технологический суверенитет оценивается по следующим критериям:

а) научно-техническая перспективность проекта оценивается на основании технико-экономического обоснования комплексного проекта, представляемого в соответствии с подпунктом "ж" пункта 11 Правил (далее - технико-экономическое обоснование комплексного проекта), в баллах исходя из соответствия одному из значений оцениваемого критерия:

в рамках реализации проекта предусмотрено оформление не менее одного секрета производства (ноу-хау) - 1 балл;

в ходе реализации проекта предусмотрено оформление не менее одного секрета производства (ноу-хау) и (или) получение российского патента на полезную модель, охраняющего ключевые технические решения продукции, - 2 балла;

в ходе реализации проекта предусмотрено получение российского патента на изобретение, охраняющего ключевые технические решения продукции, или свидетельства на ЭВМ, или свидетельства на базы данных - 3 балла;

в ходе реализации проекта предусмотрено получение иностранного патента на изобретение, охраняющего ключевые технические решения продукции и зарегистрированного в стране, входящей в "G-20" ("Большую двадцатку") и располагающей собственными производителями аналогичной продукции, либо подача заявки на такой патент с присвоенной датой приоритета - 4 балла;

б) наличие у организации научно-исследовательских, опытно-конструкторских и технологических работ и их значимость для реализации проекта оцениваются в баллах исходя из соответствия одному из значений оцениваемого критерия:

на дату подачи заявки на участие в отборе организацией начато освоение технологий и ключевых технических решений (могут классифицироваться уровнем готовности технологии 1 - 2 (УГТ1 - УГТ2) согласно национальному стандарту Российской Федерации ГОСТ Р 58048-2017 "Трансфер технологий. Методические указания по оценке уровня зрелости технологий" (далее - ГОСТ Р 58048-2017), необходимых для разработки и производства продукции, кроме планируемых к разработке в рамках проведения научно-исследовательских и опытно-конструкторских работ проекта (низкий уровень научно-исследовательских, опытно-конструкторских и технологических работ), - 1 балл;

на дату подачи заявки на участие в отборе организацией освоены заявленные и необходимые технологии и ключевые технические решения на уровне классификации готовности технологии 3 (УГТ3) согласно ГОСТу Р 58048-2017, необходимые для разработки и производства продукции, кроме планируемых к разработке в рамках проведения научно-исследовательских и опытно-конструкторских работ проекта (средний уровень научно-технического и технологического задела), - 2 балла;

на дату подачи заявки на участие в отборе организацией освоены все заявленные и необходимые технологии и технические решения, квалифицирующиеся уровнем готовности технологии 4 - 6 (УГТ4 - УГТ6) согласно ГОСТу Р 58048-2017, необходимые для разработки и производства продукции, кроме планируемых к разработке в рамках проведения научно-исследовательских и опытно-конструкторских работ проекта (высокий уровень научно-исследовательских, опытно-конструкторских и технологических работ), - 3 балла.

В случае если на дату подачи заявки на участие в отборе у организации отсутствует научно-технический и технологический задел для реализации проекта либо заявляемый проект имеет уровень готовности технологии 8 (УГТ8) и выше согласно ГОСТу Р 58048-2017, проекту присваивается 0 баллов.

5. Производственный потенциал оценивается по следующим критериям:

а) характеристики имеющейся либо планируемой к созданию в рамках проекта инфраструктуры организации не соответствуют требованиям планируемой к производству продукции - 0 баллов;

б) организация обладает опытом производства аналогичной продукции, но представленной организацией в технико-экономическом обосновании проекта информации недостаточно для оценки соответствия имеющейся либо планируемой к созданию инфраструктуры производства продукции - 1 балл;

в) организация располагает на территории Российской Федерации инфраструктурой для реализации проекта или имеет утвержденный план ее дооснащения, для отдельных технологических операций производственного маршрута планирует использовать производства предприятий электронной и радиоэлектронной промышленности, расположенных на территории Российской Федерации и за рубежом, - 2 балла;

г) организация располагает на территории Российской Федерации инфраструктурой для реализации проекта или имеет утвержденный план ее дооснащения, а также планирует использовать производства предприятий электронной и радиоэлектронной промышленности, расположенных на территории Российской Федерации, - 3 балла.

6. Финансово-экономическая эффективность оценивается по следующим критериям, рассчитанным на основе данных, приведенных в технико-экономическом обосновании к комплексному проекту:

отношение значения объема производства и реализации продукции за срок реализации проекта к размеру запрашиваемой субсидии на реализацию проекта;

чистая приведенная стоимость проекта;

дисконтированный срок окупаемости проекта.

Отношение значения объема производства и реализации продукции за срок реализации проекта к размеру запрашиваемой субсидии на реализацию проекта определяется по следующей формуле:

.

Чистая приведенная стоимость проекта определяется по следующей формуле:

,

где ставка дисконтирования принимается равной на день размещения объявления о проведении отбора (подпункт "а" пункта 6 Правил) значению доходности (годовые проценты) по государственным облигациям со сроком погашения 10 лет согласно значениям кривой бескупонной доходности государственных облигаций.

Дисконтированный срок окупаемости проекта определяется как минимальный номер периода (полугодия) реализации проекта, в котором значение чистой приведенной стоимости больше или равно 0.

Интегральная оценка финансово-экономической эффективности проекта оценивается весовым коэффициентом (ИОЭ), который рассчитывается по следующей формуле:

,

где:

i - количество показателей, равное 3;

- вес показателя, равный:

для показателя "Отношение значения объема производства и реализации продукции за срок реализации проекта к размеру запрашиваемой субсидии на реализацию проекта" - 40 процентов;

для показателя "Чистая приведенная стоимость проекта" - 30 процентов;

для показателя "Дисконтированный срок окупаемости проекта" - 30 процентов;

- балл показателя, равный:

для значений показателя "Отношение значения объема производства и реализации продукции за срок реализации проекта к размеру запрашиваемой субсидии на реализацию проекта":

менее 115 процентов - 0 баллов;

более 115 процентов, но менее 130 процентов - 1 балл;

более 130 процентов - 2 балла;

для значений показателя "Чистая приведенная стоимость проекта":

0 и менее 0 - 0 баллов;

более 0 - 2 балла;

для значений показателя "Дисконтированный срок окупаемости проекта":

более срока реализации проекта - 0 баллов;

равен сроку реализации проекта - 1 балл;

менее срока реализации проекта - 2 балла;

- коэффициент приведения, равный 50.

В зависимости от значения интегральной оценки финансово-экономической эффективности проекта организации присваиваются баллы:

менее 20 - 0 баллов;

более или равно 20, но менее 40 - 1 балл;

более или равно 40, но менее 85 - 2 балла;

более или равно 85 - 3 балла.

7. Результаты оценки каждого проекта рассчитываются путем сложения среднего арифметического по каждому из критериев исходя из оценки каждого члена экспертного совета.

8. Проект признается экспертным советом прошедшим оценку, если итоговая сумма баллов проекта в соответствии с пунктом 3 настоящей методики составила не менее 18 баллов при одновременном выполнении условия отсутствия нулевых оценок более чем у 50 процентов членов экспертного совета по одному из критериев, за исключением критерия, приведенного в подпункте "г" пункта 3 настоящей методики.

Приложение N 3
к Правилам предоставления
в 2023 году из федерального бюджета
субсидий российским организациям
на финансовое обеспечение мероприятий
по проведению научно-исследовательских
и опытно-конструкторских работ в области
средств производства электроники

МЕТОДИКА ОПРЕДЕЛЕНИЯ РЕЙТИНГА ЗАЯВОК, ПРЕДСТАВЛЕННЫХ РОССИЙСКИМИ ОРГАНИЗАЦИЯМИ В РАМКАХ ОТБОРА НА ПРАВО ПОЛУЧЕНИЯ ИЗ ФЕДЕРАЛЬНОГО БЮДЖЕТА СУБСИДИЙ НА ФИНАНСОВОЕ ОБЕСПЕЧЕНИЕ МЕРОПРИЯТИЙ ПО ПРОВЕДЕНИЮ НАУЧНО-ИССЛЕДОВАТЕЛЬСКИХ И ОПЫТНО-КОНСТРУКТОРСКИХ РАБОТ В ОБЛАСТИ СРЕДСТВ ПРОИЗВОДСТВА ЭЛЕКТРОНИКИ

1. Определение рейтинга заявок, представленных российскими организациями в рамках отбора на право получения из федерального бюджета субсидий на финансовое обеспечение мероприятий по проведению научно-исследовательских и опытно-конструкторских работ в области средств производства электроники (далее соответственно - заявка, организация, отбор, субсидия), осуществляется на основании критериев, предусмотренных подпунктами "б" - "д" пункта 21 Правил предоставления в 2023 году из федерального бюджета субсидий российским организациям на финансовое обеспечение мероприятий по проведению научно-исследовательских и опытно-конструкторских работ в области средств производства электроники, утвержденных постановлением Правительства Российской Федерации от 16 декабря 2020 г. N 2136 "Об утверждении Правил предоставления в 2023 году из федерального бюджета субсидий российским организациям на финансовое обеспечение мероприятий по проведению научно-исследовательских и опытно-конструкторских работ в области средств производства электроники".

2. Рейтинг заявки () определяется по следующей формуле:

,

где:

- рейтинг, присуждаемый i-й заявке по критерию "Объем реализации средств производства электроники, которые будут созданы в ходе реализации комплексного проекта";

- удельный вес рейтинга, присуждаемого i-й заявке по критерию "Объем реализации средств производства электроники, которые будут созданы в ходе реализации комплексного проекта", значимость которого составляет 40 процентов;

- рейтинг, присуждаемый i-й заявке по критерию "Патентоспособность ключевых технических решений (непатентоспособно, патентоспособно в качестве полезной модели, патентоспособно в качестве изобретения)";

- удельный вес рейтинга, присуждаемый i-й заявке по критерию "Патентоспособность ключевых технических решений (непатентоспособно, патентоспособно в качестве полезной модели, патентоспособно в качестве изобретения)", значимость которого составляет 30 процентов;

- рейтинг, присуждаемый i-й заявке по критерию "Соотношение размера субсидии, запрашиваемой на проведение научно-исследовательских, опытно-конструкторских и технологических работ в рамках комплексного проекта, и размера заемных и (или) собственных средств, планируемых к привлечению для реализации комплексного проекта";

- удельный вес рейтинга, присуждаемый i-й заявке по критерию "Соотношение размера субсидии, запрашиваемой на проведение научно-исследовательских, опытно-конструкторских и технологических работ в рамках комплексного проекта, и размера заемных и (или) собственных средств, планируемых к привлечению для реализации комплексного проекта", значимость которого составляет 20 процентов;

- рейтинг, присуждаемый i-й заявке по критерию "Наличие успешного опыта реализации подобных комплексных проектов, в том числе по их выводу на плановую окупаемость и обеспечению достижения запланированных показателей экономической эффективности";

- удельный вес рейтинга, присуждаемого i-й заявке по критерию "Наличие успешного опыта реализации подобных комплексных проектов, в том числе по их выводу на плановую окупаемость и обеспечению достижения запланированных показателей экономической эффективности", значимость которого составляет 10 процентов.

3. Рейтинг, присуждаемый i-й заявке по критерию "Объем реализации средств производства электроники, которые будут созданы в ходе реализации комплексного проекта" (), определяется по следующей формуле:

,

где:

- предложение i-й организации об объеме реализации средств производства электроники (далее - продукция), которые будут созданы в ходе реализации комплексного проекта (рублей);

- минимальный объем реализации продукции, которая будет создана в ходе реализации комплексного проекта (рублей);

- максимальный объем реализации продукции, которая будет создана в ходе реализации комплексного проекта, заявленного одной из организаций (рублей).

4. Рейтинг, присуждаемый i-й заявке по критерию "Патентоспособность ключевых технических решений (непатентоспособно, патентоспособно в качестве полезной модели, патентоспособно в качестве изобретения)" (), определяется по следующей формуле:

,

где:

- предложение i-й организации о создании патентоспособного ключевого технического решения:

если созданное в ходе реализации комплексного проекта ключевое техническое решение будет патентоспособно в качестве:

изобретения, то = 5;

полезной модели, то = 3;

если в ходе реализации комплексного проекта в качестве ключевого технического решения будет использован ранее запатентованный результат интеллектуальной деятельности, исключительное право на который принадлежит i-й организации, то = 2;

если в ходе реализации комплексного проекта в качестве ключевого технического решения будет использован результат интеллектуальной деятельности, являющийся непатентоспособным, то = 1.

При отсутствии информации о ключевом техническом решении = 0;

- максимальный уровень патентоспособности ключевого технического решения, заявленный одной из организаций.

5. Рейтинг, присуждаемый i-й заявке по критерию "Соотношение размера субсидии, запрашиваемой на проведение научно-исследовательских, опытно-конструкторских и технологических работ в рамках комплексного проекта, и размера заемных и (или) собственных средств, планируемых к привлечению для реализации комплексного проекта" (), определяется по следующей формуле:

,

где:

- начальный (максимальный) размер соотношения размера субсидии, запрашиваемой на проведение научно-исследовательских, опытно-конструкторских и технологических работ в рамках комплексного проекта, и размера заемных и (или) собственных средств, планируемых к привлечению для реализации комплексного проекта;

- предложение i-й организации по соотношению размера субсидии, запрашиваемой на проведение научно-исследовательских, опытно-конструкторских и технологических работ в рамках комплексного проекта, и размера заемных и (или) собственных средств, планируемых к привлечению для реализации комплексного проекта.

6. Рейтинг, присуждаемый i-й заявке по критерию "Наличие успешного опыта реализации подобных комплексных проектов, в том числе по их выводу на плановую окупаемость, обеспечению достижения запланированных показателей экономической эффективности" (Roi), определяется по следующей формуле:

,

где:

- предложение i-й организации по наличию успешного опыта реализации подобных комплексных проектов, в том числе по их выводу на плановую окупаемость, обеспечению достижения запланированных показателей экономической эффективности (штук);

- предложение по наибольшему количеству успешного опыта реализации подобных комплексных проектов, в том числе по их выводу на плановую окупаемость, обеспечению достижения запланированных показателей экономической эффективности, заявленное организацией (штук).

Приложение N 4
к Правилам предоставления
в 2023 году из федерального бюджета
субсидий российским организациям
на финансовое обеспечение мероприятий
по проведению научно-исследовательских
и опытно-конструкторских работ в области
средств производства электроники

РАСЧЕТ РАЗМЕРА СУБСИДИИ ИЗ ФЕДЕРАЛЬНОГО БЮДЖЕТА РОССИЙСКИМ ОРГАНИЗАЦИЯМ НА ФИНАНСОВОЕ ОБЕСПЕЧЕНИЕ МЕРОПРИЯТИЙ ПО ПРОВЕДЕНИЮ НАУЧНО-ИССЛЕДОВАТЕЛЬСКИХ И ОПЫТНО-КОНСТРУКТОРСКИХ РАБОТ В ОБЛАСТИ СРЕДСТВ ПРОИЗВОДСТВА ЭЛЕКТРОНИКИ, ПОДЛЕЖАЩЕЙ ВОЗВРАТУ В ДОХОД ФЕДЕРАЛЬНОГО БЮДЖЕТА В СЛУЧАЕ НЕДОСТИЖЕНИЯ РОССИЙСКОЙ ОРГАНИЗАЦИЕЙ ЗНАЧЕНИЙ РЕЗУЛЬТАТА ПРЕДОСТАВЛЕНИЯ СУБСИДИИ И ЗНАЧЕНИЙ ХАРАКТЕРИСТИК (ПОКАЗАТЕЛЕЙ, НЕОБХОДИМЫХ ДЛЯ ДОСТИЖЕНИЯ РЕЗУЛЬТАТА ПРЕДОСТАВЛЕНИЯ СУБСИДИИ)

1. Понятия, используемые в настоящем документе, означают следующее:

"высокопроизводительное рабочее место" - рабочее место, созданное российской организацией в рамках реализации комплексного проекта и соответствующее следующим критериям:

оснащение технологическим оборудованием, и (или) специализированными средствами проектирования, и (или) высокопроизводительными системами вычислений;

наличие трудовых отношений с работником, занятым на указанном рабочем месте и имеющим профильное образование и высокую квалификацию;

стоимость создания нового рабочего места или модернизации старого рабочего места составляет не менее 0,5 млн. рублей;

заработная плата работника, занятого на указанном рабочем месте, превышает величину средней заработной платы в соответствующем субъекте Российской Федерации согласно данным Федеральной службы государственной статистики за предыдущий финансовый год;

"комплексный проект" - комплекс взаимосвязанных мероприятий по разработке, производству и коммерциализации средств производства электроники и (или) технологий, ограниченный по времени и ресурсам, включающий:

выполнение научно-исследовательских, опытно-конструкторских и технологических работ;

организацию долговременного технологического тестирования опытных образцов, опытных партий средств производства электроники, бета-версий систем автоматизированного проектирования;

организацию выпуска средств производства электроники, в том числе создание производственной инфраструктуры;

последующий вывод средств производства электроники и (или) технологий на рынок;

"российская организация" - юридическое лицо, образованное в соответствии с законодательством Российской Федерации, информация о котором размещена в открытом доступе в государственной информационной системе промышленности в информационно-телекоммуникационной сети "Интернет";

"средства производства электроники" - оборудование, системы автоматизированного проектирования и материалы для производства электроники с техническими характеристиками.

2. Размер субсидии из федерального бюджета на финансовое обеспечение мероприятий по проведению научно-исследовательских и опытно-конструкторских работ в области средств производства электроники (далее - субсидия), подлежащей возврату в доход федерального бюджета в случае недостижения российской организацией значений результата предоставления субсидии и значений характеристик (показателей, необходимых для достижения результата предоставления субсидии) (далее - характеристика) (A) (тыс. рублей), определяется по следующей формуле:

,

где:

dv - достигнутое значение результата предоставления субсидии - объема реализации средств производства электроники, созданных в рамках комплексного проекта, рублей;

Dv - плановое значение результата предоставления субсидии - объема реализации средств производства электроники, создаваемых в рамках комплексного проекта (рублей), указанное в соглашении о предоставлении субсидии;

- удельный вес результата предоставления субсидии - объема реализации средств производства электроники, создаваемых в рамках комплексного проекта (рублей), значимость которого составляет 20 процентов;

- достигнутое значение характеристики - количество вновь создаваемых и (или) модернизируемых высокопроизводительных рабочих мест в рамках реализации комплексного проекта (единиц);

- плановое значение характеристики - количество вновь создаваемых и (или) модернизируемых высокопроизводительных рабочих мест в рамках реализации комплексного проекта (единиц), указанное в соглашении о предоставлении субсидии;

- удельный вес характеристики - количество вновь создаваемых и (или) модернизируемых высокопроизводительных рабочих мест в рамках реализации комплексного проекта (единиц), значимость которого составляет 20 процентов;

Dg - плановое значение характеристики - соотношение размера субсидии, запрашиваемой на проведение научно-исследовательских, опытно-конструкторских и технологических работ в рамках комплексного проекта, и размера заемных и (или) собственных средств, планируемых к привлечению для реализации комплексного проекта, указанное в соглашении о предоставлении субсидии;

dg - достигнутое значение характеристики - соотношение размера субсидии, запрашиваемой на проведение научно-исследовательских, опытно-конструкторских и технологических работ в рамках комплексного проекта, и размера заемных и (или) собственных средств, планируемых к привлечению для реализации комплексного проекта;

Xg - удельный вес характеристики - соотношение размера субсидии, запрашиваемой на проведение научно-исследовательских, опытно-конструкторских и технологических работ в рамках комплексного проекта, и размера заемных и (или) собственных средств, планируемых к привлечению для реализации комплексного проекта, значимость которого составляет 20 процентов;

- достигнутое значение характеристики - количество результатов интеллектуальной деятельности, охраняемых патентами и (или) удовлетворяющих условиям патентоспособности (подтверждаются результатами патентных исследований, проведенных в соответствии с национальным стандартом Российской Федерации ГОСТ Р 15.011-96 "Система разработки и постановки продукции на производство. Патентные исследования. Содержание и порядок проведения" (далее - ГОСТ Р 15.011-96) и охраняемых в качестве секретов производства (ноу-хау), в том числе ключевых технических решений (единиц);

- плановое значение характеристики - количество результатов интеллектуальной деятельности, охраняемых патентами и (или) удовлетворяющих условиям патентоспособности (подтверждаются результатами патентных исследований, проведенных в соответствии с ГОСТом Р 15.011-96) и охраняемых в качестве секретов производства (ноу-хау), в том числе ключевых технических решений, указанное в соглашении о предоставлении субсидии;

- удельный вес характеристики - количество результатов интеллектуальной деятельности, охраняемых патентами и (или) удовлетворяющих условиям патентоспособности (подтверждаются результатами патентных исследований, проведенных в соответствии с ГОСТом Р 15.011-96) и охраняемых в качестве секретов производства (ноу-хау), в том числе ключевых технических решений (единиц), значимость которого составляет 20 процентов;

k - коэффициент, учитывающий средний размер ключевой ставки, устанавливаемой Центральным банком Российской Федерации;

V - объем средств федерального бюджета, использованный российской организацией в рамках реализации комплексного проекта на день окончания срока реализации такого проекта или на день окончания периода реализации комплексного проекта, в котором принято решение о расторжении соглашения о предоставлении субсидии (тыс. рублей).

Достигнутые значения показателей (dv, , ) учитываются на дату окончания срока реализации комплексного проекта.

В случае если достигнутые значения характеристик (dv, , ) превышают плановые значения этих характеристик (Dv, , ), отношение достигнутых значений характеристик к их плановому значению необходимо считать равным 1.

В случае если достигнутые значения характеристик (, ) не превышают плановых значений этих характеристик (, ), отношение достигнутых значений характеристик к их плановому значению необходимо считать равным 1.

3. Расчет коэффициента, учитывающего средний размер ключевой ставки, устанавливаемой Центральным банком Российской Федерации (k), осуществляется по следующей формуле:

,

где:

r - средний размер ключевой ставки, устанавливаемой Центральным банком Российской Федерации;

s - количество лет с момента заключения российской организацией соглашения о предоставлении субсидии (дробное значение с округлением до десятой доли при наличии неполных лет).

4. Средний размер ключевой ставки (r), устанавливаемой Центральным банком Российской Федерации, определяется по следующей формуле:

,

где:

n - количество периодов реализации комплексного проекта, в которых действовали различные уровни ключевой ставки Центрального банка Российской Федерации;

di - количество календарных дней действия i-й ключевой ставки Центрального банка Российской Федерации (в пределах периода реализации комплексного проекта со дня заключения российской организацией соглашения о предоставлении субсидии);

ki - значения уровней ключевой ставки Центрального банка Российской Федерации;

t - суммарное количество календарных дней со дня заключения российской организацией соглашения о предоставлении субсидии.".