Приказ Минэкономразвития РФ от 28.12.2023 N 927

"Об утверждении Методических рекомендаций по оценке возможного ущерба от воздействия климатических рисков, в том числе рекомендаций по формированию перечня климатически уязвимых объектов в отраслях экономики, в субъектах Российской Федерации и Методических рекомендаций по мониторингу и оценке эффективности и результативности мер по адаптации к изменениям климата"
Редакция от 28.12.2023 — Действует с 28.12.2023

МИНИСТЕРСТВО ЭКОНОМИЧЕСКОГО РАЗВИТИЯ РОССИЙСКОЙ ФЕДЕРАЦИИ

ПРИКАЗ
от 28 декабря 2023 г. N 927

ОБ УТВЕРЖДЕНИИ МЕТОДИЧЕСКИХ РЕКОМЕНДАЦИЙ ПО ОЦЕНКЕ ВОЗМОЖНОГО УЩЕРБА ОТ ВОЗДЕЙСТВИЯ КЛИМАТИЧЕСКИХ РИСКОВ, В ТОМ ЧИСЛЕ РЕКОМЕНДАЦИЙ ПО ФОРМИРОВАНИЮ ПЕРЕЧНЯ КЛИМАТИЧЕСКИ УЯЗВИМЫХ ОБЪЕКТОВ В ОТРАСЛЯХ ЭКОНОМИКИ, В СУБЪЕКТАХ РОССИЙСКОЙ ФЕДЕРАЦИИ И МЕТОДИЧЕСКИХ РЕКОМЕНДАЦИЙ ПО МОНИТОРИНГУ И ОЦЕНКЕ ЭФФЕКТИВНОСТИ И РЕЗУЛЬТАТИВНОСТИ МЕР ПО АДАПТАЦИИ К ИЗМЕНЕНИЯМ КЛИМАТА

В целях реализации пунктов 9 и 11 приложения к национальному плану мероприятий второго этапа адаптации к изменениям климата на период до 2025 года, утвержденному распоряжением Правительства Российской Федерации от 11 марта 2023 г. N 559-р, приказываю:

1. Утвердить прилагаемые:

а) Методические рекомендации по оценке возможного ущерба от воздействия климатических рисков, в том числе рекомендации по формированию перечня климатически уязвимых объектов в отраслях экономики, в субъектах Российской Федерации;

б) Методические рекомендации по мониторингу и оценке эффективности и результативности мер по адаптации к изменениям климата.

2. Контроль за исполнением настоящего приказа возложить на первого заместителя Министра Торосова И.Э.

Министр
М.Г. РЕШЕТНИКОВ

УТВЕРЖДЕНЫ
приказом Минэкономразвития России
от 28.12.2023 г. N 927

МЕТОДИЧЕСКИЕ РЕКОМЕНДАЦИИ ПО ОЦЕНКЕ ВОЗМОЖНОГО УЩЕРБА ОТ ВОЗДЕЙСТВИЯ КЛИМАТИЧЕСКИХ РИСКОВ, В ТОМ ЧИСЛЕ РЕКОМЕНДАЦИИ ПО ФОРМИРОВАНИЮ ПЕРЕЧНЯ КЛИМАТИЧЕСКИ УЯЗВИМЫХ ОБЪЕКТОВ В ОТРАСЛЯХ ЭКОНОМИКИ, В СУБЪЕКТАХ РОССИЙСКОЙ ФЕДЕРАЦИИ

1. Общие положения

1. Настоящие Методические рекомендации по оценке возможного ущерба от воздействия климатических рисков, в том числе рекомендации по формированию перечня климатически уязвимых объектов в отраслях экономики, в субъектах Российской Федерации (далее - Рекомендации) подготовлены в рамках реализации пункта 9 приложения к национальному плану мероприятий второго этапа адаптации к изменениям климата на период до 2025 года, утвержденному распоряжением Правительства Российской Федерации от 11 марта 2023 г. N 559-р (далее - Национальный план).

В электронном документе нумерация пунктов соответствует официальному источнику.

1.2. Рекомендации предназначены для неограниченного круга лиц при оценке возможного ущерба от воздействия климатических рисков, а также при формировании перечня климатически уязвимых объектов в отраслях экономики и субъектах Российской Федерации.

1.3. Рекомендации основываются на следующих принципах:

а) единый подход к оценке возможного ущерба от воздействия климатических рисков в отраслях экономики и субъектах Российской Федерации;

б) учет прямого (фактического и ожидаемого) и косвенного ущерба от воздействия климатических рисков для населения, инфраструктуры и экономики Российской Федерации;

в) мониторинг и прогнозирование ущерба от воздействия климатических рисков в региональном и отраслевом разрезах.

2. Термины и определения

2.1. Климатически уязвимый объект - антропогенный объект или компонент природной системы, функционирование которого зависит от факторов климата и который обладает ограниченной способностью адаптироваться к воздействию этих факторов.

2.2. Возможный ущерб от воздействия климатических рисков - возможные потери, включающие возможный экономический ущерб (прямой и косвенный) и возможные неэкономические потери.

2.3. Субъект адаптации - федеральный орган исполнительной власти, высшее должностное лицо субъекта Российской Федерации, высший исполнительный орган субъекта Российской Федерации, исполнительный орган субъекта Российской Федерации или организация, которые принимают меры по адаптации к изменениям климата в отношении климатически уязвимых объектов, находящихся в их ведении (собственности).

3. Общие подходы к оценке возможного ущерба от воздействия климатических рисков

3.1. В оценку возможного ущерба от воздействия климатических рисков рекомендуется включать:

а) выявление климатических рисков опасного, весьма опасного и катастрофического уровней (далее - опасные климатические риски), реализация которых приводит к экономическому ущербу и неэкономическим потерям;

б) формирование перечня климатически уязвимых объектов;

в) оценку возможного прямого и косвенного экономического ущерба, а также возможных неэкономических потерь в разрезе климатически уязвимых объектов;

г) оценку возможных последствий возникновения климатических рисков для бюджетной системы Российской Федерации;

д) оценку суммарного размера возможных выплат по страховым случаям, связанным со стихийными бедствиями или опасными природными явлениями (далее - возможные выплаты по страховым случаям).

3.2. Выявление опасных климатических рисков рекомендуется осуществлять в соответствии с Методическими рекомендациями по оценке климатических рисков, утвержденными приказом Минэкономразвития России от 13 мая 2021 г. N 267.

3.3. Для формирования перечня климатически уязвимых объектов рекомендуется использовать характеристики климатически уязвимых объектов, а также формы в виде таблиц, приведенные в разделе 1 рекомендуемой формы для представления результатов оценки возможного ущерба от воздействия климатических рисков в отраслях экономики и субъектах Российской Федерации и в приложении к этому разделу (приложение N 1 к Рекомендациям). Сформированный перечень климатически уязвимых объектов рекомендуется обобщать субъектом адаптации в рамках Национального плана и направлять в Минэкономразвития России.

Для определения объектов, соответствующих характеристикам климатически уязвимых объектов, рекомендуется использовать доступную для субъекта адаптации информацию о наличии объектов капитального строительства, находящихся в зоне воздействия опасных климатических рисков. Данная информация может быть также получена по итогам обобщения информации об эксплуатации объектов капитального строительства, инвентаризации таких объектов или иных мероприятий, проводимых по усмотрению субъекта адаптации.

3.4. При оценке возможного ущерба от воздействия климатических рисков в разрезе климатически уязвимых объектов рекомендуется учитывать возможные экономический ущерб и неэкономические потери, возникновение которых обусловлено реализацией опасных климатических рисков.

При оценке возможного экономического ущерба рекомендуется оценивать возможный прямой экономический ущерб (ущерб объектам жилищно-коммунального хозяйства, объектам социальной инфраструктуры, объектам здравоохранения, объектам торговли и снабжения, объектам образования и культуры, объектам транспортной инфраструктуры, объектам промышленности, промышленной инфраструктуры и иным категориям объектов) и возможный косвенный экономический ущерб (ущерб, связанный со снижением выпуска продукции и прекращением оказания услуг, досрочным выбытием фонда и мощностей, остановкой производства и иной деятельности).

В возможные неэкономические потери рекомендуется включать ущерб здоровью, жизни и благосостоянию населения, воздействие на экосистемные услуги и биоразнообразие.

3.5. Для оценки возможных прямого экономического ущерба и неэкономических потерь рекомендуется использовать ретроспективные справки об оценке ущерба от чрезвычайной ситуации (в части чрезвычайных ситуаций, связанных с реализацией климатических рисков) (рекомендуемый образец приведен в приложении к Методике оценки ущерба от чрезвычайных ситуаций, утвержденной приказом МЧС России от 1 сентября 2020 г. N 631 (зарегистрирован Минюстом России 25 ноября 2020 г., регистрационный N 61087) с изменениями, внесенными приказом МЧС России от 24 июля 2022 г. N 740 (зарегистрирован Минюстом России 19 сентября 2022 г., регистрационный N 70141).

3.6. При оценке возможного прямого экономического ущерба могут быть использованы:

а) имеющиеся данные о количестве и восстановительной (первоначальной) стоимости отдельных объектов основных фондов (жилые здания, нежилые здания, сооружения и транспортные средства), ликвидированных вследствие стихийных бедствий и природных катастроф;

б) ретроспективные материалы, обосновывающие выделение целевых субсидий (трансфертов) в целях компенсации субъектам предпринимательской деятельности ущерба, причиненного в результате чрезвычайных ситуаций природного характера, связанных с реализацией климатических рисков.

3.7. Для оценки возможных прямого экономического ущерба и неэкономических потерь от наводнений рекомендуется использовать оценку тяжести людских потерь при аварии гидротехнических сооружений, шкалу тяжести разрушений жилых зданий, шкалу тяжести разрушений промышленных сооружений и шкалу тяжести разрушений элементов транспорта и связи, приведенные в приложениях N 3 - 6 к Методике определения размера вреда, который может быть причинен жизни, здоровью физических лиц, имуществу физических и юридических лиц в результате аварии гидротехнического сооружения (за исключением судоходных и портовых гидротехнических сооружений), утвержденной приказом Ростехнадзора от 10 декабря 2020 г. N 516 (зарегистрирован Минюстом России 24 декабря 2020 г., регистрационный N 61785).

3.8. Результаты оценки возможных прямого экономического ущерба и неэкономических потерь рекомендуется представлять по форме в виде таблицы, приведенной в разделе 2 рекомендуемой формы для представления результатов оценки возможного ущерба от воздействия климатических рисков в отраслях экономики и субъектах Российской Федерации (приложение N 1 к Рекомендациям).

3.9. Оценку возможного косвенного экономического ущерба рекомендуется осуществлять на основании информации, представленной субъектами предпринимательской деятельности в добровольном порядке, о снижении выпуска продукции и прекращении оказания услуг, досрочном выбытии фонда и мощностей, остановке производства и иной деятельности, возможных в результате воздействия климатических рисков.

При оценке возможного косвенного экономического ущерба могут использоваться ретроспективные материалы, обосновывающие выделение целевых субсидий (трансфертов) в целях оказания государственной поддержки субъектам малого и среднего предпринимательства, пострадавшим от климатических рисков, на возобновление их деятельности.

Результаты оценки возможного косвенного экономического ущерба рекомендуется представлять по форме, приведенной в разделе 3 рекомендуемой формы для представления результатов оценки возможного ущерба от воздействия климатических рисков в отраслях экономики и субъектах Российской Федерации (приложение N 1 к Рекомендациям).

3.10. Оценку возможных последствий возникновения климатических рисков для бюджетной системы Российской Федерации рекомендуется проводить по четырем сценариям:

а) сценарий 1: утрата субъектом адаптации всех климатически уязвимых объектов, перечисленных в разделе 1 рекомендуемой формы для представления результатов оценки возможного ущерба от воздействия климатических рисков в отраслях экономики и субъектах Российской Федерации (приложение N 1 к Рекомендациям), которые находятся в аварийном техническом состоянии;

б) сценарий 2: утрата субъектом адаптации всех климатически уязвимых объектов, перечисленных в разделе 1 рекомендуемой формы для представления результатов оценки возможного ущерба от воздействия климатических рисков в отраслях экономики и субъектах Российской Федерации (приложение N 1 к Рекомендациям), которые находятся в аварийном и ограниченно работоспособном техническом состоянии;

в) сценарий 3: утрата субъектом адаптации всех климатически уязвимых объектов, перечисленных в разделе 1 рекомендуемой формы для представления результатов оценки возможного ущерба от воздействия климатических рисков в отраслях экономики и субъектах Российской Федерации (приложение N 1 к Рекомендациям);

г) сценарий 4: утрата субъектом адаптации климатически уязвимых объектов, перечисленных в разделе 1 рекомендуемой формы для представления результатов оценки возможного ущерба от воздействия климатических рисков в отраслях экономики и субъектах Российской Федерации (приложение N 1 к Рекомендациям), в случае повторения ранее зафиксированных субъектом адаптации наиболее разрушительных чрезвычайной ситуации природного характера или стихийного бедствия, обусловленных климатическими рисками.

3.11. При оценке возможных последствий возникновения климатических рисков для бюджетной системы Российской Федерации по сценариям 1, 2 и 3 рекомендуется использовать данные о возможных потерях и ущербе, указанные субъектом адаптации в разрезе каждого климатически уязвимого объекта, перечисленного в приложении к разделу 1 рекомендуемой формы для представления результатов оценки возможного ущерба от воздействия климатических рисков в отраслях экономики и субъектах Российской Федерации (приложение N 1 к Рекомендациям).

3.12. При оценке возможных последствий возникновения климатических рисков для бюджетной системы Российской Федерации по сценарию 4 могут использоваться:

а) имеющиеся у субъекта адаптации официальные данные о наиболее разрушительных чрезвычайной ситуации природного характера или стихийном бедствии, обусловленных климатическими рисками, приведенные к ценам 2022 года;

б) ретроспективные обосновывающие материалы, подготовленные субъектом адаптации для рассмотрения вопроса о выделении целевых трансфертов (субсидий) из федерального бюджета либо из бюджета субъекта Российской Федерации, приведенные к ценам 2022 года.

При наличии различающихся оценок возможных последствий возникновения климатических рисков для бюджетной системы Российской Федерации рекомендуется использовать максимальное значение.

3.13. Результаты оценки возможных последствий возникновения климатических рисков для бюджетной системы Российской Федерации рекомендуется представлять по форме, приведенной в разделе 4 рекомендуемой формы для представления результатов оценки возможного ущерба от воздействия климатических рисков в отраслях экономики и субъектах Российской Федерации (приложение N 1 к Рекомендациям).

3.14. Для оценки возможных выплат по страховым случаям рекомендуется использовать данные организаций, находящихся в ведении субъекта адаптации, о страховании имущества по страховым случаям, связанным со стихийными бедствиями или опасными природными явлениями.

Результаты оценки возможных выплат по страховым случаям рекомендуется представлять по форме, приведенной в разделе 5 рекомендуемой формы для представления результатов оценки возможного ущерба от воздействия климатических рисков в отраслях экономики и субъектах Российской Федерации (приложение N 1 к Рекомендациям).

При организации возмещения ущерба климатически уязвимым объектам с использованием механизма добровольного страхования рекомендуется учитывать перечень и градации климатических рисков, предусмотренные Методическими рекомендациями по оценке климатических рисков, утвержденными приказом Минэкономразвития России от 13 мая 2021 г. N 267.

3.15. При отсутствии информации, указанной в пунктах 3.5 - 3.8, 3.10 - 3.14 Рекомендаций, могут использоваться фиксированные значения характеристик, используемые для оценки возможного ущерба от воздействия климатических рисков в отраслях экономики и субъектах Российской Федерации, приведенные в приложении N 2 к Рекомендациям.

Приложение N 1
к Методическим рекомендациям по оценке
возможного ущерба от воздействия
климатических рисков, в том числе
рекомендациям по формированию перечня
климатически уязвимых объектов
в отраслях экономики, в субъектах
Российской Федерации, утвержденным
приказом Минэкономразвития России
от 28.12.2023 г. N 927

РЕКОМЕНДУЕМАЯ ФОРМА
ДЛЯ ПРЕДСТАВЛЕНИЯ РЕЗУЛЬТАТОВ ОЦЕНКИ ВОЗМОЖНОГО УЩЕРБА ОТ ВОЗДЕЙСТВИЯ КЛИМАТИЧЕСКИХ РИСКОВ В ОТРАСЛЯХ ЭКОНОМИКИ И СУБЪЕКТАХ РОССИЙСКОЙ ФЕДЕРАЦИИ

Общая информация

1. Наименование субъекта адаптации                                                              
                  (федеральный орган исполнительной власти или высший исполнительный орган субъекта Российской Федерации)
                                                                               
2. Общее количество климатически уязвимых объектов,   из них
Значение
из графы 2
по коду 13
раздела 1
        в работоспособном техническом состоянии                    
                                                     
        в ограниченно работоспособном состоянии     ед.                
                                                                 
                                  в аварийном состоянии             ед.                
                                                        Значения из граф 3 - 5 по коду 13 раздела 1    
                                                                               
3. Восстановительная (первоначальная) стоимость климатически уязвимых объектов, млн рублей (в ценах 2022 г.)   Значение
из графы 6
по коду 13
раздела 1
                                                     
                                                                               
                  Количество пострадавших, чел.   Материальный ущерб, млн рублей
(в ценах 2022 года)
  Привлечение сил и средств РСЧС для ликвидации последствий
                                                    Силы РСЧС. чел.   Средства РСЧС, ед. техники
4. Оценка возможных потерь и ущерба от природных чрезвычайных ситуаций, связанных с реализацией климатических рисков              
                  Значение из графы 2 строки 4.1 раздела 2   Значение из графы 2 строки 4.2 раздела 2   Значение из графы 2 строки 4.3 раздела 2   Значение из графы 2 строки 4.4 раздела 2
                                                                               
                  от   до                              
5. Оценка возможных последствий возникновения климатических рисков для бюджетной системы Российской Федерации   -   млн рублей (в ценах 2022 года)              
                  Минимальное значение из граф 3 - 6 категории 1 раздела 4   Максимальное значение из граф 3 - 6 категории 1 раздела 4                              
                                                                               
6. Возможные выплаты по страховым случаям   млн рублей (в ценах 2022 года)                                
                  Значение из строки 4
раздела 5
                                               
                                                                               
                  от   до                              
7. Оценка возможного косвенного экономического ущерба (по данным организаций)       млн рублей (в ценах 2022 года)          
                  Сумма значений по графе 8 раздела 3, поделенная на 1000   Сумма значений по графе 9 раздела 3, поделенная на 1000                              

Раздел 1. Характеристики и перечень климатически уязвимых объектов

Пояснение:

в число климатически уязвимых объектов включаются объекты капитального строительства, находящиеся в собственности (либо на праве оперативного управления) у субъекта адаптации (или находящихся в его ведении организаций), либо объекты жилищного фонда, в отношении которых субъект адаптации осуществляет государственный учет, подверженные воздействию на уровне 1% обеспеченности (1 раз в 100 лет) следующих климатических рисков:

наводнение;

деградация многолетней мерзлоты;

склоновые опасные процессы (оползни, сели, лавины);

иные климатические риски (по усмотрению субъекта адаптации).

Код, наименование категорий и подкатегорий объектов Характеристики климатически уязвимых объектов Перечень климатически уязвимых объектов (указывается номер приложения к разделу)
Количество объектов Восстановительная (первоначальная) стоимость объектов на конец 2022 года, млн рублей
(в ценах 2022 года)
Всего в том числе по категориям технического состояния Всего в том числе по категориям технического состояния
Работоспособное Ограниченно работоспособное Аварийное Работоспособное Ограниченно работоспособное Аварийное
1 2 3 4 5 6 7 8 9 10
   
1. Объекты административно-делового управления, всего                  
   
1.1. Объекты государственного и муниципального управления, обеспечения безопасности, охраны правопорядка и правосудия                  
   
1.2. Объекты обеспечения ликвидации чрезвычайных ситуаций и стихийных бедствий                  
   
1.3. Объекты делового и финансового управления (офисные здания, банки и т.п.)                  
   
1.4. Объекты коммуникации (центры обработки данных, радиотелецентры, центры связи, радиобашни и т.п.)                  
   
1.5. Объекты промышленных площадок (логистические центры, склады, промышленные парки и т.п.)                  
   
1.6. Прочие объекты административно-делового управления                  
   
2. Объекты для проживания, всего                  
   
2.1. Жилые объекты для постоянного проживания, всего                  
   
2.1.1. Индивидуальный жилой дом                  
   
2.1.2. Многоквартирный жилой дом
(1 - 2 этажа)
                 
   
2.1.3. Многоквартирный! жилой дом
(3 - 5 этажей)
                 
   
2.1.4. Многоквартирный жилой дом
(6 этажей и выше)
                 
   
2.2. Жилые объекты специализированного назначения (детские дома, интернаты, общежития и т.п.)                  
   
2.3. Прочие объекты для проживания                  
   
3. Объекты сферы обращения с отходами, всего                  
   
3.1. Объекты обращения с отходами производства                  
   
3.2. Объекты обращения с радиоактивными отходами                  
   
3.3. Объекты обращения с твердыми коммунальными отходами и отходами от использования товаров                  
   
3.4. Объекты обращения с медицинскими отходами                  
   
3.5. Объекты обращения с биологическими отходами                  
   
3.6. Прочие объекты сферы обращения с отходами                  
   
4. Объекты торговли и обслуживания населения, всего                  
   
4.1. Объекты бытового обслуживания                  
   
4.2. Объекты общественного питания                  
   
4.3. Объекты почтовой связи                  
   
4.4. Объекты торговли                  
   
4.5. Многофункциональные центры                  
   
4.6. Прочие объекты торговли и обслуживания населения                  
 
5. Объекты сферы образования, науки, культуры, искусства и религии, всего                  
 
5.1. Библиотеки и архивы                  
   
5.2. Исторические места и здания, памятники истории и культуры                  
   
5.3. Концертные залы, театры, музеи                  
   
5.4. Объекты научной деятельности                  
   
5.5. Объекты дошкольного образования                  
   
5.6. Объекты среднего образования                  
   
5.7. Объекты высшего и среднего профессионального образования                  
   
5.8. Объекты дополнительного образования                  
   
5.9. Религиозные и культовые объекты                  
   
5.10. Прочие объекты сферы образования. науки, культуры, искусства и религии                  
   
6. Объекты здравоохранения, спорта и отдыха, всего                  
   
6.1. Больницы общего профиля                  
   
6.2. Диспансеры, медицинские центры                  
   
6.3. Поликлиники, станции скорой медицинской помощи и переливания крови                  
   
6.4. Специализированные больницы, центры, лечебно-профилактические организации                  
   
6.5. Объекты для кратковременного проживания (гостиницы, базы отдыха, санатории)                  
   
6.6. Объекты досуга и спорта                  
   
6.7. Прочие объекты здравоохранения, спорта и отдыха                  
   
7. Объекты транспорта, всего                  
   
7.1. Объекты автомобильного транспорта                  
   
7.2. Объекты водного транспорта                  
   
7.3. Объекты воздушного транспорта                  
   
7.4. Объекты железнодорожного транспорта                  
   
7.5. Транспортные сооружения и переходы                  
   
7.6. Прочие объекты транспорта                  
   
8. Объекты энергетики, всего                  
   
8.1. Теплоэлектростанции                  
   
8.2. Объекты передачи электроэнергии (воздушные линии электропередачи, кабельные линии, подстанции и т.п.)                  
   
8.3. Атомные электростанции                  
   
8.4. Гидроэлектростанции                  
   
8.5. Электрические станции на возобновляемых источниках энергии                  
   
8.6. Объекты трубопроводного транспорта                  
   
8.7. Прочие объекты энергетики                  
   
9. Объекты сельского, лесного хозяйства, пищевой, лесной промышленности, особо охраняемых природных территорий, всего                  
 
9.1. Объекты системы мелиорации, всего                  
 
9.1.1. Объекты системы орошения                  
 
9.1.2. Объекты системы осушения                  
 
9.2. Объекты растениеводства                  
 
9.3. Объекты животноводства                  
 
9.4. Объекты пищевой промышленности                  
 
9.5. Природно-хозяйственные объекты лесного хозяйства                  
 
9.6. Объекты лесной инфраструктуры                  
 
9.7. Объекты лесозаготовки, деревообрабатывающей и целлюлозно-бумажной промышленности                  
 
9.8. Природно-хозяйственные объекты особо охраняемых природных территорий                  
 
9.9. Прочие объекты сельского, лесного хозяйства, пищевой, лесной промышленности                  
 
10. Промышленные объекты, всего                  
   
10.1. Объекты химической промышленности                  
   
10.2. Объекты добывающей промышленности                  
   
10.3. Объекты металлургии                  
   
10.4. Объекты производства машин и оборудования                  
   
10.5. Объекты производства готовых изделий                  
   
10.6. Прочие промышленные объекты                  
   
11. Инженерные сети и объекты инфраструктуры, всего                  
   
11.1. Объекты сетей теплоснабжения                  
   
11.2. Объекты электрических сетей                  
   
11.3. Объекты сетей водоотведения                  
   
11.4. Объекты сетей водоснабжения                  
   
11.5. Объекты слаботочных сетей (сети связи, видеонаблюдения, пожарной сигнализации и др.)                  
   
11.6. Объекты сетей газоснабжения                  
   
11.7. Прочие объекты инфраструктуры и инженерные сети                  
   
12. Гидротехнические сооружения и сооружения для защиты населения и территорий, всего                  
   
12.1. Гидротехнические объекты, всего                  
   
12.1.1. Водоподпорные сооружения (плотина, дамба и др.)                  
   
12.1.2. Водопроводящие сооружения
(канал, шлюз, трубопровод и др.)
                 
   
12.1.3. Водосбросные сооружения
(водослив, глубинный водосброс, водоспуск и пр.)
                 
   
12.1.4. Регуляционные сооружения
(струенаправляющая дамба, берегоукрепительное сооружение и пр.)
                 
   
12.1.5. Специальные сооружения
(рыбохозяйственное, лесосплавное, система осушения и др.)
                 
   
12.1.6. Дренажные сооружения
(штольня, галерея и др.)
                 
   
12.1.7. Накопительные сооружения
(бассейн, пруд, водохранилище и др.)
                 
   
12.1.8. Прочие гидротехнические объекты                  
   
12.2. Объекты защиты населения и территорий, всего                  
   
12.2.1. Здания (сооружения) гражданской обороны                  
   
12.2.2. Защитные сооружения от природных воздействий (подпорная стена, противооползневое/противоселевое/противолавинное сооружение, боносетевое заградительное сооружение и др.)                  
   
12.2.3. Прочие объекты защиты населения                  
   
13. Всего                  

Приложение
к разделу 1 приложения N 1
к Методическим рекомендациям по оценке
возможного ущерба от воздействия
климатических рисков, в том числе
рекомендациям по формированию перечня
климатически уязвимых объектов
в отраслях экономики, в субъектах
Российской Федерации

Рекомендуемая форма

ПЕРЕЧЕНЬ КЛИМАТИЧЕСКИ УЯЗВИМЫХ ОБЪЕКТОВ
по категории _______________________________________________________
указывается код и наименование категории

Наименование климатически уязвимых объектов Код подкатегории объекта в соответствии с графой 1 раздела 1 Категория технического состояния объекта
(работоспособное, ограниченно работоспособное, аварийное)
Восстановительная (первоначальная) стоимость объекта на конец 2022 года, млн рублей
(в ценах 2022 года)
Фактический адрес, сведения о координатах объекта и регистрационный номер объекта в ЕГРН (при наличии), кадастровая стоимость объекта недвижимости (при наличии) Применимый(е) климатический(е) риск(и)
(наводнение, деградация многолетней мерзлоты, склоновые опасные процессы, иные климатические риски
(по усмотрению субъекта адаптации)
Краткое описание текущей защиты от климатического риска (при наличии) Стоимость дополнительных мероприятий для снижения уровня опасности климатического риска, млн рублей (в ценах 2022 года) Краткое описание потерь и ущерба в случае уничтожения объекта в результате возникновения климатического риска
                 
1. Объект А                
                 
2. Объект Б                
                 
...                

Раздел 2. Оценка возможных прямого экономического ущерба и неэкономических потерь

Категории потерь и ущерба от чрезвычайных ситуаций природного характера, связанных с реализацией климатических рисков Всего По видам климатических рисков
Паводок Половодье Комплекс явлений Засуха Сильные осадки или град Сильный ветер Иные климатические риски, предусмотренные приложением N 3 к Методическим рекомендациям по оценке климатических рисков, утвержденным приказом Минэкономразвития России от 13 мая 2021 г. N 267
(при наличии)
1 2 3 4 5 6 7 8 9
   
1. Общее количество зафиксированных чрезвычайных ситуаций природного характера, связанных с реализацией климатических рисков  
1.1. По территории субъекта Российской Федерации
(заполняется высшим исполнительным органом субъекта Российской Федерации)
               
   
1.2. В отношении имущества, находящегося в собственности Российской Федерации
(заполняется федеральным органом исполнительной власти или организацией)
               
   
1.3. Продолжительность периода, в течение которого фиксировались чрезвычайные ситуации, лет
(заполняется федеральным органом исполнительной власти, высшим исполнительным органом субъекта Российской Федерации или организацией. Продолжительность указывается начиная с года, в котором начат мониторинг чрезвычайных ситуаций природного характера)
               
   
2. Среднее количество чрезвычайных ситуаций природного характера, связанных с реализацией климатических рисков в год
(значения по строке 1.1 или 1.2 необходимо разделить на период, в течение которого фиксировались чрезвычайные ситуации, указанный в строке 1.3)
               
   
3. Характеристики потерь и ущерба в расчете на единичную чрезвычайную ситуацию природного характера, связанную с реализацией климатических рисков
(указывается среднее значение характеристики за период, в течение которого фиксировались чрезвычайные ситуации, либо используются фиксированные значения. Фиксированные значения, используемые для оценки возможного ущерба от воздействия климатических рисков в отраслях экономики и субъектах Российской Федерации, приведены в приложении N 2 к настоящим Методическим рекомендациям)
               
   
3.1. Количество пострадавших. чел.                
   
3.2. Материальный ущерб, млн рублей (в ценах 2022 года) (для использования данных об ущербе за разные годы используются индексы потребительских цен на товары и услуги по Российской Федерации в 1991 - 2023 годах
(размещены на официальном сайте Росстата - htlps://rosstat.gov.ru/statistics/price)
               
   
3.3. Привлечение сил РСЧС для ликвидации последствий, чел.                
   
3.4. Привлечение средств РСЧС для ликвидации последствий, ед. техники                
   
4. Оценка возможных потерь и ущерба от чрезвычайных ситуаций природного характера, связанных с реализацией климатических рисков, в год  
4.1. Количество пострадавших, чел.
(значения в строке 2 необходимо умножить на значения в строке 3.1)
               
   
4.2. Материальный ущерб, млн рублей (в ценах 2022 года)
(значения по строке 2 необходимо умножить на значения в строке 3.2)
               
   
4.3. Привлечение сил РСЧС для ликвидации последствий, чел.
(значения по строке 2 необходимо умножить на значения в строке 3.3)
               
   
4.4. Привлечение средств РСЧС для ликвидации последствий, ед. техники
(значения по строке 2 необходимо умножить на значения в строке 3.4)
               

Раздел 3. Оценка возможного косвенного экономического ущерба (при наличии информации, представленной субъектами предпринимательской деятельности в добровольном порядке)

Пояснение:

заполнение раздела осуществляется при наличии информации, представленной субъектами предпринимательской деятельности в добровольном порядке, для получения этой информации рекомендуется направлять форму для представления информации, приведенную в настоящем разделе, и суммировать значения, представленные субъектами предпринимательской деятельности, в разрезе ОКВЭД2, указанных в заполненных формах.

Наименование субъекта адаптации  
  (федеральный орган исполнительной власти или высший исполнительный орган субъекта Российской Федерации, в адрес которого направляется информация)
   
Общее количество организаций (включая филиалы и представительства), по которым предоставляется информация     Оценка возможного косвенного экономического ущерба на основе ретроспективных материалов, обосновывающих выделение целевых субсидий и иных трансфертов, тыс. рублей, в ценах 2022 года  
Основной код ОКВЭД2
(5 знаков)
Количество объектов основных фондов (только жилые и нежилые здания, а также сооружения), ликвидированных за время осуществления деятельности в результате опасных природных явлений или стихийных бедствий Остаточная стоимость объектов основных фондов (только жилые и нежилые здания, а также сооружения), ликвидированных за время осуществления деятельности в результате опасных природных явлений или стихийных бедствий, тыс. рублей,
в ценах 2022 года
Первоначальная стоимость объектов основных фондов (только жилые и нежилые здания, а также сооружения), ликвидированных за время осуществления деятельности в результате опасных природных явлений или стихийных бедствий, тыс. рублей,
в ценах 2022 года
Оценка экономического ущерба, связанного со снижением выпуска продукции, прекращением оказания услуг, остановкой производства и т.п. в результате воздействия опасных природных явлений или стихийных бедствий, тыс. рублей, в ценах 2022 года
Среднее за год Максимальное в год за время осуществления деятельности
  Всего В среднем за год Всего В среднем за год Всего В среднем за год
1 2 3 4 5 6 7 8 9
XXXX1                
XXXX2                
....                

Раздел 4. Оценка возможных последствий возникновения климатических рисков для бюджетной системы Российской Федерации

Пояснение:

оценка возможных последствий возникновения климатических рисков Для бюджетной системы Российской Федерации ведется по четырем сценариям:

Сценарий 1: утрата субъектом адаптации всех климатически уязвимых объектов, перечисленных в разделе 1 настоящего приложения, которые находятся в аварийном техническом состоянии.

Сценарий 2: утрата субъектом адаптации всех климатически уязвимых объектов, перечисленных в разделе 1 настоящего приложения, которые находятся в аварийном и ограниченно работоспособном техническом состоянии.

Сценарий 3: утрата субъектом адаптации всех климатически уязвимых объектов, перечисленных в разделе 1 настоящего приложения.

Сценарий 4: утрата субъектом адаптации климатически уязвимых объектов в случае повторения ранее зафиксированных субъектом адаптации наиболее разрушительных чрезвычайной ситуации природного характера или стихийного бедствия, обусловленных климатическими рисками.

При оценке возможных последствий по сценариям 1, 2 и 3 рекомендуется использовать данные о возможных потерях и ущербе, указанные субъектом адаптации в разрезе каждого климатически уязвимого объекта в приложении к разделу 1 настоящего приложения.

При оценке возможных последствий по сценарию 4 могут использоваться:

имеющиеся у субъекта адаптации официальные данные о наиболее разрушительных чрезвычайной ситуации природного характера или стихийном бедствии, обусловленных климатическими рисками, приведенные к ценам 2022 года;

ретроспективные обосновывающие материалы, подготовленные субъектом адаптации для рассмотрения вопроса о выделении целевых трансфертов (субсидий) из федерального бюджета либо из бюджета субъекта Российской Федерации, приведенные к ценам 2022 года.

При наличии различающихся оценок возможных последствий возникновения климатических рисков для бюджетной системы Российской Федерации рекомендуется использовать максимальное значение.

Категории целевых трансфертов и субсидий, предоставляемых в связи с возникновением стихийных бедствий, обусловленных климатическими рисками Справочно: Оценка потенциальной потребности в предоставлении целевых трансфертов и субсидий в случае возникновения чрезвычайных ситуаций и стихийных бедствий, обусловленных климатическими рисками, млн рублей
(в ценах 2022 года)
Средний размер трансферта (субсидии) по данным за 2018 - 2022 годы, млн рублей
(в ценах 2022 года)
Сценарий 1 Сценарий 2 Сценарий 3 Сценарий 4
1 2 3 4 5 6
   
1. Сумма по всем категориям трансфертов          
2. Выплаты гражданам, жилые помещения которых повреждены 18        
   
3. Выплаты гражданам, жилые помещения которых утрачены 147        
   
4. Оказание гражданам единовременной материальной помощи, финансовой помощи первой необходимости в связи с утратой имущества 123        
   
5. Обеспечение мероприятий по переселению граждан, обеспечению жилыми помещениями граждан, приобретению или строительству жилых помещений, взамен утраченных жилых помещений (в том числе находившихся в муниципальной собственности) 390        
   
6. Обеспечение мероприятий по развертыванию и содержанию пунктов временного размещения и питания для эвакуируемых граждан 2        
   
7. Восстановление и капитальный ремонт поврежденных объектов (жилье, объекты связи, социальная, коммунальная, энергетическая и транспортная инфраструктура, образовательные, медицинские объекты, объекты ТЭК и культуры, гидротехнические сооружения, административные здания), строительство жилых помещений взамен утраченных, поддержка пострадавших субъектов малого и среднего предпринимательства 462        
   
8. Обеспечение отдельных мероприятий по предупреждению чрезвычайных ситуаций, вызванных климатическими рисками (содержание комплекса защитных сооружений от наводнений, строительство противопаводковой дамбы, берегозащитных сооружений, проведение срочных противооползневых и берегоукрепительных работ и т.п.) 2358        
   
9. Социальная поддержка пострадавших граждан (включая поддержку, право на получение которой установлено судебным решением), граждан, жилые помещения которых утрачены, компенсации гражданам расходов на оплату обучения, субсидии социально ориентированным некоммерческим организациям, осуществляющим деятельность в области защиты населения и территорий от чрезвычайных ситуаций 1054        
   
10. Иной трансферт (субсидия)
(указать цель предоставления трансферта (субсидии)
         

Раздел 5. Оценка суммарного размера возможных выплат по страховым случаям, связанным со стихийными бедствиями или опасными природными явлениями

Страхование средств транспорта Сельскохозяйственное страхование Страхование грузов Страхование имущества юридических лиц Страхование имущества граждан
   
1. Среднегодовое количество выплат по страховым случаям, связанным со стихийными бедствиями или опасными природными явлениями
(используются данные организаций, находящихся в ведении субъекта адаптации, статистика страхования или фиксированные значения. Фиксированные значения, используемые для оценки возможного ущерба от воздействия климатических рисков в отраслях экономики и субъектах Российской Федерации, приведены в приложении N 2 к настоящим Методическим рекомендациям)
         
 
2. Средний размер единичной выплаты по страховым случаям, связанным со стихийными бедствиями или опасными природными явлениями (тыс. рублей, в ценах 2022 года)
(используются данные организаций, находящихся в ведении субъекта адаптации, статистика страхования или фиксированные значения)
         
   
3. Оценка суммарного размера возможных выплат по страховым случаям, связанным со стихийными бедствиями или опасными природными явлениями, по видам страхования имущества, млн рублей, в ценах 2022 года
(значения по строке 1 умножаются на значения в строке 2 и делятся на 1000)
         
   
4. Оценка суммарного размера возможных выплат по страховым случаям, связанным со стихийными бедствиями или опасными природными явлениями, млн рублей, в ценах 2022 года
(сумма значений в строке 3)
 
   
5. Информация об утвержденной (при наличии) программе организации возмещения ущерба, причиненного климатически уязвимым объектам, с использованием механизма добровольного страхования (в том числе в рамках статьи 11.1 Федерального закона от 21 декабря 1994 г. N 68-ФЗ "О защите населения и территорий от чрезвычайных ситуаций природного и техногенного характера") Указываются реквизиты утвержденной программы и перечень климатических рисков, предусмотренных программой

Приложение N 2
к Методическим рекомендациям по оценке
возможного ущерба от воздействия
климатических рисков, в том числе
рекомендациям по формированию перечня
климатически уязвимых объектов
в отраслях экономики, в субъектах
Российской Федерации, утвержденным
приказом Минэкономразвития России
от 28.12.2023 г. N 927

ФИКСИРОВАННЫЕ ЗНАЧЕНИЯ ХАРАКТЕРИСТИК, ИСПОЛЬЗУЕМЫЕ ДЛЯ ОЦЕНКИ ВОЗМОЖНОГО УЩЕРБА ОТ ВОЗДЕЙСТВИЯ КЛИМАТИЧЕСКИХ РИСКОВ В ОТРАСЛЯХ ЭКОНОМИКИ И СУБЪЕКТАХ РОССИЙСКОЙ ФЕДЕРАЦИИ

Характеристики потерь и ущерба в расчете на единичную чрезвычайную ситуацию природного характера, связанную с реализацией климатических рисков (по видам климатических рисков) <1>

<1> По данным оперативного мониторинга МЧС России за 2018 - 2022 годы.

Характеристики потерь и ущерба По видам климатических рисков
Паводок Половодье Комплекс явлений Засуха Сильные осадки или град Сильный ветер
 
1. Количество пострадавших, человек            
среднее количество 2 598 1 320 47 - 5 0
максимум 46 700 18 193 1 131 - 64 3
             
2. Материальный ущерб, млн рублей (в ценах 2022 года)  
среднее значение 351 79 50 1 326 66 19
максимум 8 147 647 751 31 343 815 123
             
3. Количество привлеченных сил РСЧС, человек  
среднее количество 478 265 242 95 63 121
максимум 5 314 1 915 3 252 396 329 1 026
             
4. Количество привлеченных средств РСЧС, единиц техники  
среднее количество 113 79 92 39 20 33
максимум 1 044 510 1 224 392 124 345
             

Таблица 2

Характеристика среднего числа выплат по страховым случаям, связанным с климатическими рисками (N, ед.), и среднего размера единичной выплаты (S, тыс. рублей) по видам страхования имущества <2>

<2> По сводным данным статистической формы отчетности страховщиков за 2018 - 2022 годы, (официальный сайт Банка России - https://cbr.ru/statistics/insurance/). В качестве страховых случаев, связанных с климатическими рисками, использовались данные по страховым случаям, связанным со стихийными бедствиями и опасными природными явлениями.

Примечание.

В случае осуществления деятельности на территории нескольких субъектов Российской Федерации используются средние значения для этих субъектов Российской Федерации

Федеральный округ Субъект Российской Федерации Страхование средств транспорта Сельскохозяйственное страхование Страхование грузов Страхование имущества юридических лиц Страхование имущества граждан
N S N S N S N S N S
                     
Центральный федеральный округ Белгородская область 3324 137 9 4180 2 846 56 2533 344 44
Брянская область 2490 119 20 4813     69 883 552 48
Владимирская область 3594 125 3 73 1 2356 40 513 1425 138
Воронежская область 7864 152 11 15014 40 1066 60 887 624 81
Ивановская область 1929 157 2 35   717 22 1892 983 98
Калужская область 3459 129 2 83 8 176 23 6081 484 127
Костромская область 1383 110 4 477     23 929 717 91
Курская область 1652 127 11 14362 1 680 27 888 311 42
Липецкая область 2404 145 13 2502 2 284 21 871 264 68
Московская область 26527 135 1 102 18 896 501 1630 5815 186
Орловская область 1230 126 5 30777     19 610 237 57
Рязанская область 5111 127 9 267   213 56 424 1182 92
Смоленская область 2650 144 2 66 57 269 29 638 465 74
Тамбовская область 1726 120 21 3328   24 16 756 654 42
Тверская область 4817 131 7 6800   417 26 1851 710 131
Тульская область 5235 123 2 20912 1 273 18 1024 503 86
Ярославская область 6389 122 2 174 3 2766 37 3668 871 158
Город Москва 92284 130 11 4326 3239 137 2840 3604 31386 25
                       
Северо-Западный федеральный округ Республика Карелия 2670 149 1 52913 1 708 38 1094 374 94
Республика Коми 2856 105   21 1 1187 36 880 793 65
Архангельская область 3985 159 1 30 2 361 110 1312 1051 80
Вологодская область 4648 119 5 386 5 587 67 565 2244 76
Калининградская область 4791 105 2 21679 6 1296 99 1459 485 33
Ленинградская область 3124 134   653   201 49 3063 591 235
Мурманская область 2310 183     2 110 33 904 330 97
Новгородская область 2241 116 2 9361 6 377 31 534 487 107
Псковская область 1852 115 4 52   432 14 390 407 105
Город Санкт-Петербург 123811 136 4 30195 43114 22 1056 1341 4325 131
                     
Приволжский федеральный округ Республика Башкортостан 11273 98 96 70 17 682 128 936 3364 68
Республика Марий Эл 1154 113 56 28     17 1388 703 78
Республика Мордовия 1008 143 61 2352   43 31 811 977 95
Республика Татарстан (Татарстан) 22534 135 712 221 35 773 227 1059 5110 74
Удмуртская Республика 8655 85 42 60 3 665 66 550 1529 69
Чувашская Республика - Чувашии 3266 93 442 41 2 139 24 1186 1564 48
Кировская область 3593 107 67 91 4 266 189 113 1299 97
Нижегородская область 12619 158 50 78 80 788 133 881 2821 127
Оренбургская область 4069 120 6 4035 1 1060 79 2658 614 67
Пензенская область 2141 144 38 3650 1 2852 36 2455 1250 61
Пермский край 10212 107 76 1247 6 567 93 924 1850 96
Самарская область 15446 136 12 16423 153 197 147 1501 1355 65
Саратовская область 4181 158 4 4515 4 572 55 1124 571 53
Ульяновская область 2705 145 32 277 1 1205 18 2353 736 75
Уральский федеральный округ Курганская область 1244 102 3 121 1 123 34 558 463 87
Свердловская область 22120 175 8 105 2760 38 427 617 2257 102
Тюменская область 8585 148 7 36 1 454 137 760 1335 84
Челябинская область 14576 124 3 2364 7 248 216 3815 1511 79
Ханты-Мансийский автономный округ 6594 197     87 255 333 1919 574 199
Ямало-Ненецкий автономный округ 961 129     1 81 13 11059 251 251
                     
Северо-Кавказский федеральный округ Республика Дагестан 148 280   102       1666 26 80
Республика Ингушетия 4 349             6 80
Кабардино-Балкарская Республика 162 154         2 4884 36 61
Карачаево-Черкесская Республика 36 183 1 4744     1 1516 69 86
Республика Северная Осетия - Алания 146 139         1 1688 18 86
Чеченская Республика 49 207             9 144
Ставропольский край 6234 163 34 22020 1 412 40 25229 689 43
                     
Южный федеральный округ Республика Адыгея (Адыгея) 150 157         2 1880 43 98
Республика Калмыкия 36 119           47 22 165
Краснодарский край 16797 165 23 14021 58 438 223 1336 1754 63
Астраханская область 1251 134 1 29451 5   20 2316 244 55
Волгоградская область 5223 143 8 3182 5 990 40 613 752 44
Ростовская область 8716 160 7 18706 56 711 122 1815 785 45
                     
Сибирский федеральный округ Республика Алтай 76 113   119     1 1512 10 122
Республика Тыва 49 73 3 47     1 221 38 77
Республика Хакасия 1131 79 2 646     12 476 144 90
Алтайский край 3015 123 6 4412 4 963 36 419 973 50
Красноярский край 13069 104 4 3368 9 457 111 2650 1147 110
Иркутская область 6544 163 1 3358 20 332 128 2461 1339 198
Кемеровская область - Кузбасс 6763 125 3 292 2 51 81 1104 1028 70
Новосибирская область 8008 205 5 662 57 370 181 1022 1230 99
Омская область 4754 119 8 8801 6 1172 52 747 611 56
Томская область 2873 106 2 602 2 832 43 1689 472 80
                     
Дальневосточный федеральный округ Республика Бурятия 322 111       23 21 1178 259 76
Республика Саха (Якутия) 369 262     6 832 183 300 297 105
Забайкальский край 391 133   556 1 177 18 2837 339 86
Камчатский край 144 602     2 458 5 2481 65 140
Приморский край 5314 242 7 20449 15 421 145 2201 1160 80
Хабаровский край 2648 210   237 27 124 94 931 998 79
Амурская область 417 148 1 44 1 222 18 1201 160 123
Магаданская область 54 355     1 1176 4 4616 26 67
Сахалинская область 897 259     1 317 21 3041 180 50
Еврейская автономная область 22 169         3 10215 56 136
Чукотский автономный округ 3 629                

УТВЕРЖДЕНЫ
приказом Минэкономразвития России
от 28.12.2023 г. N 927

МЕТОДИЧЕСКИЕ РЕКОМЕНДАЦИИ ПО МОНИТОРИНГУ И ОЦЕНКЕ ЭФФЕКТИВНОСТИ И РЕЗУЛЬТАТИВНОСТИ МЕР ПО АДАПТАЦИИ К ИЗМЕНЕНИЯМ КЛИМАТА

1. Общие положения

1.1. Настоящие Методические рекомендации по мониторингу и оценке эффективности и результативности мер по адаптации к изменениям климата (далее - Рекомендации) подготовлены в рамках реализации пункта 11 приложения к национальному плану мероприятий второго этапа адаптации к изменениям климата на период до 2025 года, утвержденному распоряжением Правительства Российской Федерации от 11 марта 2023 г. N 559-р.

1.2. Рекомендации предназначены для неограниченного круга лиц при мониторинге и оценке эффективности и результативности мер по адаптации к изменениям климата.

2. Мониторинг мер по адаптации к изменениям климата

2.1. Мониторинг мер по адаптации к изменениям климата, предусмотренных отраслевыми, региональными и корпоративными планами адаптации к изменениям климата (далее - планы адаптации), рекомендуется осуществлять на ежегодной основе по следующим характеристикам:

а) общий прогресс выполнения адаптационных мероприятий;

б) текущий уровень выполнения адаптационных мероприятий;

в) общий прогресс выполнения показателей достижения целей адаптации (далее - целевые показатели), предусмотренных Показателями достижения целей адаптации к изменениям климата, утвержденными приказом Минэкономразвития России от 13 мая 2021 г. N 267;

г) текущий уровень выполнения плана адаптации.

2.2. Определение указанных характеристик рекомендуется осуществлять на основе текущего статуса выполнения мероприятий и целевых показателей по состоянию на 31 декабря отчетного года (далее - отчетная дата).

2.3. Общий прогресс выполнения адаптационных мероприятий рекомендуется определять по формуле:

,

где:

ОПМ - общий прогресс выполнения адаптационных мероприятий, %;

N1 - количество выполненных мероприятий плана адаптации по состоянию на отчетную дату;

N - общее количество мероприятий плана адаптации.

2.4. Текущий уровень выполнения адаптационных мероприятий рекомендуется определять по формуле:

,

где:

ТМ - текущий уровень выполнения адаптационных мероприятий, %;

N1 - количество выполненных мероприятий плана адаптации по состоянию на отчетную дату;

- количество мероприятий плана адаптации, плановый срок выполнения которых истекает до отчетной даты (включая отчетную дату).

2.5. Общий прогресс выполнения целевых показателей рекомендуется определять по следующей формуле:

,

где:

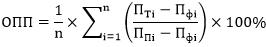
ОПП - общий прогресс выполнения целевых показателей, %;

n - общее количество целевых показателей в плане адаптации;

- значение i-го целевого показателя по состоянию на отчетную дату;

- плановое значение i-го целевого показателя в 2027 году;

- фактическое значение i-го целевого показателя в 2023 году.

2.6. При отсутствии в плане адаптации целевых показателей значение общего прогресса выполнения целевых показателей рекомендуется принимать равным нулю.

2.7. Текущий уровень выполнения плана адаптации (ТПА, в%) рекомендуется определять по формуле:

,

2.8. Результаты мониторинга мер по адаптации к изменениям климата рекомендуется представлять по рекомендуемой форме для представления результатов мониторинга мер по адаптации к изменениям климата, приведенной в приложении N 1 к Рекомендациям.

3. Оценка эффективности и результативности мер по адаптации к изменениям климата

3.1. Эффективность меры по адаптации к изменениям климата рекомендуется выражать в стоимости достижения единицы целевого показателя за счет выполнения этой меры и оценивать по формуле:

,

где:

- эффективность m-й меры по адаптации, тыс. рублей на единицу измерения соответствующего показателя;

- общие затраты на выполнение m-й меры по адаптации, тыс. рублей в ценах 2022 года;

- фактическое значение i-го целевого показателя для m-й меры по адаптации в 2023 году;

- плановое значение i-го целевого показателя для m-й меры по адаптации в 2027 году.

3.2. В случае если мера по адаптации к изменениям климата характеризуется двумя и более целевыми показателями, то для оценки эффективности меры могут использоваться значения целевого показателя с максимальным относительным изменением. Относительное изменение целевого показателя рекомендуется определять по формуле:

,

где:

- плановое значение i-го целевого показателя для m-й меры по адаптации в 2027 году;

- фактическое значение i-го целевого показателя для m-й меры по адаптации в 2023 году.

3.3. В случае если мера по адаптации к изменениям климата не характеризуется целевым показателем, то данную меру рекомендуется принимать как неэффективную и оценку ее эффективности рекомендуется не проводить.

В случае если мера по адаптации к изменениям климата характеризуется нулевыми общими затратами на ее выполнение, то для данной меры эффективность не рассчитывается.

3.4. Результативность меры по адаптации к изменениям климата рекомендуется оценивать по количеству целевых показателей, изменение которых связано с реализацией этой меры, и рекомендуется выражать по следующей шкале:

а) нормативная - мера характеризуется одним целевым показателем;

6) высокая - мера характеризуется двумя целевыми показателями;

в) очень высокая - мера характеризуется тремя и более целевыми показателями;

г) нерезультативная - мера не характеризуется целевыми показателями.

3.5. Оценку эффективности и результативности мер по адаптации к изменениям климата рекомендуется выполнять в отношении всех мероприятий плана адаптации (либо планируемых к включению в план адаптации).

3.6. При наличии данных об изменении размера оцениваемого ущерба до и после реализации меры по адаптации к изменениям климата экономическая эффективность такой меры может быть рассчитана по формуле:

,

где:

- экономическая эффективность m-й меры по адаптации, %;

- общие затраты на выполнение m-й меры по адаптации, тыс. рублей в ценах 2022 года;

- оценка ущерба от изменений климата, на сокращение которого направлена m-я мера, тыс. рублей в ценах 2022 года;

- оценка ущерба от изменений климата, на сокращение которого направлена m-я мера, после реализации данной меры, тыс. рублей в ценах 2022 года.

3.7. Результаты оценки эффективности и результативности мер по адаптации к изменениям климата рекомендуется представлять по рекомендуемой форме для представления результатов оценки эффективности и результативности мер по адаптации к изменениям климата, приведенной в приложении N 2 к Рекомендациям.

Приложение N 1
к Методическим рекомендациям
по мониторингу и оценке
эффективности и результативности
мер по адаптации к изменениям
климата, утвержденным приказом
Минэкономразвития России
от 28 декабря 2023 г. N 927

РЕКОМЕНДУЕМАЯ ФОРМА
ДЛЯ ПРЕДСТАВЛЕНИЯ РЕЗУЛЬТАТОВ МОНИТОРИНГА МЕР ПО АДАПТАЦИИ К ИЗМЕНЕНИЯМ КЛИМАТА

1. Наименование субъекта адаптации  
  (федеральный орган исполнительной власти или высший исполнительный орган субъекта Российской Федерации)
     
2. Отчетный год      
     
3. Характеристики мониторинга Наименование Значение
общий прогресс выполнения мероприятий (ОПМ, в %)  
текущий уровень выполнения мероприятий (ТМ, в %)  
общий прогресс выполнения показателей достижения целей адаптации (ОПП, в %)  
текущий уровень выполнения плана адаптации (ТПА, в %)  
     
4. Информация о ходе выполнения мероприятий и показателей достижения целей адаптации (целевых показателей)
N п/п Наименование мероприятия (указываются все мероприятия плана адаптации) Исполнитель Срок Текущий статус и информация о ходе исполнения мероприятия и достижении целевых показателей
(указывается информация по каждому мероприятию о выполнении, документах, подтверждающих выполнение, либо о ходе работы)
Информация о причинах неисполнения мероприятия/показателя (при наличии) и принятых мерах по их устранению
           

Приложение N 2
к Методическим рекомендациям
по мониторингу и оценке
эффективности и результативности
мер по адаптации к изменениям
климата, утвержденным приказом
Минэкономразвития России
от 28 декабря 2023 г. N 927

РЕКОМЕНДУЕМАЯ ФОРМА
ДЛЯ ПРЕДСТАВЛЕНИЯ РЕЗУЛЬТАТОВ ОЦЕНКИ ЭФФЕКТИВНОСТИ И РЕЗУЛЬТАТИВНОСТИ МЕР ПО АДАПТАЦИИ К ИЗМЕНЕНИЯМ КЛИМАТА

1. Наименование субъекта адаптации  
  (федеральный орган исполнительной власти или высший исполнительный орган субъекта Российской Федерации)
2. Оценка эффективности реализуемых мер по адаптации к изменениям климата
N п/п Наименование мероприятия
(указываются все мероприятия плана адаптации)
Характеристики целевого показателя Затраты на выполнение мероприятия, тыс. рублей
(в ценах 2022 года)
Эффективность меры, тыс. рублей
(в ценах 2022 года)
(указывается значение показателя Эm по формуле, приведенной в пункте 3.1 Рекомендаций, либо "не применимо" в случае нулевых затрат на выполнение мероприятий, либо "мера неэффективна" в случае отсутствия целевых показателей)
Наименование и единица измерения Значение в 2023 году Значение за отчетную дату Значение в 2027 году
(в случае завершения мероприятия до 2027 года указывается плановое значение на год завершения мероприятия)
               
3. Оценка результативности реализуемых мер по адаптации к изменениям климата
Общее количество мер     Из них: с нормативной результативностью   (__%) (Указывается доля в % от общего количества мер)
      с высокой результативностью   (__%)
      с очень высокой результативностью   (__%)
      нерезультативные меры   (__%)
N п/п Наименование мероприятия
(указываются все мероприятия плана адаптации)
Общее количество целевых показателей для мероприятия Результативность мероприятия  
           
           

4. Оценка экономической эффективности реализуемых мер по адаптации к изменениям климата

(заполняется при наличии данных об изменении размера оцениваемого ущерба до и после реализации меры по адаптации к изменениям климата)

N п/п Наименование мероприятия (указываются все мероприятия плана адаптации) Оценка ущерба от изменений климата, на сокращение которого направлена m-я мера, тыс. рублей (в ценах 2022 г.) Затраты на выполнение мероприятия, тыс. рублей
(в ценах 2022 года)
Экономическая эффективность меры, %
Значение в 2023 году Плановое значение по итогам выполнения мероприятия Итоговое значение по итогам выполнения мероприятия
             

5. Оценка эффективности и результативности мер по адаптации к изменениям климата, планируемых к включению в план адаптации к изменениям климата

N п/п Наименование мероприятия Характеристики целевого показателя Общее количество целевых показателей Затраты на выполнение мероприятия, тыс. рублей Эффективность меры, тыс. рублей
(указывается значение показателя Эm по формуле, приведенной в пункте 3.1 Рекомендаций, либо "не применимо" в случае нулевых затрат на выполнение мероприятий, либо "мера неэффективна" в случае отсутствия целевых показателей)
Результативность меры Экономическая эффективность меры, %
(при наличии)
Наименование и единица измерения Фактическое значение в 2023 году
(или иной отчетный год)
Плановое значение в 2027 году
(в случае завершения мероприятия до 2027 года указывается плановое значение на год завершения мероприятия)