Зерно и продукты его переработки. Метод определения белка. ГОСТ 10846-91

(утв. Постановлением Комитета стандартизации и метрологии СССР от 18.12.91 N 1995)
Редакция от 17.12.1991 — Действует с 01.06.1993

МЕЖГОСУДАРСТВЕННЫЙ СТАНДАРТ

ЗЕРНО И ПРОДУКТЫ ЕГО ПЕРЕРАБОТКИ

МЕТОД ОПРЕДЕЛЕНИЯ БЕЛКА

GRAIN AND PRODUCTS OF ITS PROCESSING. METHOD FOR DETERMINATION OF PROTEIN

ГОСТ 10846-91

Дата введения
1 июня 1993 года

ИНФОРМАЦИОННЫЕ ДАННЫЕ

1. Разработан и внесен ВНПО "Зернопродукт".

Разработчики: Г.С. Зелинский, канд. техн. наук; К.А. Чурусов, канд. техн. наук (руководитель темы); Н.М. Яскина, канд. биол. наук; М.И. Шварцман, канд. техн. наук; А.Ф. Щухнов, канд. техн. наук; Е.В. Соломонова; И.А. Вережникова; Ж.Б. Левинтон; И.Д. Звенигородская; Н.П. Левицкая; Л.П. Зельцман.

2. Утвержден и введен в действие Постановлением Комитета стандартизации и метрологии СССР от 18.12.91 N 1995.

3. Взамен ГОСТ 10846-74.

4. Ссылочные нормативно-технические документы

Обозначение НТД, на который дана ссылка Номер раздела, пункта
ГОСТ 1770-74 2
ГОСТ 4145-74 2
ГОСТ 4165-78 2
ГОСТ 4204-77 2
ГОСТ 4328-77 2, 3.2.4
ГОСТ 5962-67 2
ГОСТ 6709-72 отменен. Взамен него с 01.07.2021 введен в действие ГОСТ Р 58144-2018.
ГОСТ 6709-72 2
ГОСТ 9147-80 2
ГОСТ 9404-88 3.1.3
ГОСТ 9656-75 2
ГОСТ 10929-76 2
ГОСТ 13586.3-83 1.1
ГОСТ 13586.5-93 отменен. Взамен него с 01.07.2016 введен в действие ГОСТ 13586.5-2015.
ГОСТ 13586.5-93 3.1.3
ГОСТ 25336-82 2
ГОСТ 25791-90 3.2.3
ГОСТ 26312.1-84 1.2
ГОСТ 26312.7-88 3.1.3
ГОСТ 27668-88 1.3
ТУ 14-4-1374-86 2

5. Издание (май 2009 г.) с Поправкой (ИУС 8-2006).

Настоящий стандарт распространяется на зерно и продукты его переработки и устанавливает метод определения белка.

Сущность метода заключается в минерализации органического вещества серной кислотой в присутствии катализатора с образованием сульфата аммония, разрушении сульфата аммония щелочью с выделением аммиака, отгонке аммиака водяным паром в раствор серной или борной кислоты с последующим титрованием.

1. МЕТОДЫ ОТБОРА ПРОБ

1.1. Отбор проб зерна - по ГОСТ 13586.3.

1.2. Отбор проб крупы - по ГОСТ 26312.1.

1.3. Отбор проб муки и отрубей - по ГОСТ 27668.

2. АППАРАТУРА, МАТЕРИАЛЫ И РЕАКТИВЫ

Мельница лабораторная марки УI-УМЛ, марки ЛЭМ или другой марки, обеспечивающая требуемую крупность размола.

Сито из проволочной сетки N 08 по ТУ 14-4-1374.

Весы лабораторные общего назначения с пределом допускаемой погрешности взвешивания +/- 0,01 г.

Весы лабораторные общего назначения с пределом допускаемой погрешности взвешивания +/- 0,001 г.

Шкаф сушильный электрический СЭШ-3М или другого типа с терморегулятором, обеспечивающим создание и поддержание температуры в рабочей зоне высушивания (100 - 140) °C с погрешностью +/- 2°C.

Электронагреватели или газовые горелки.

Бачок-парообразователь металлический или термостойкая колба вместимостью 2000 куб. см.

Колбы Кьельдаля исполнения 2 вместимостью 100, 250 и 500 куб. см по ГОСТ 25336.

Бюретки вместимостью 25 или 50 куб. см.

Колбы конические исполнения 2 вместимостью 250 и 500 куб. см по ГОСТ 25336.

Колбы мерные исполнения 1 вместимостью 500 и 1000 куб. см по ГОСТ 1770.

Холодильник шариковый или с прямой трубкой исполнения 3 по ГОСТ 25336.

Каплеуловитель исполнения КО-60 по ГОСТ 25336.

Воронки стеклянные лабораторные диаметром 25 или 36 мм, высотой 38 или 50 мм по ГОСТ 25336.

Пробирки цилиндрические диаметром 10 мм, высотой 90 мм по ГОСТ 25336.

Трубки стеклянные соединительные по ГОСТ 25336.

Капельница для индикатора.

Ступки фарфоровые и пестик.

Стакан фарфоровый вместимостью 1000 куб. см по ГОСТ 9147.

Цилиндр мерный вместимостью 1000 куб. см по ГОСТ 1770.

Кислота серная концентрированная по ГОСТ 4204, х.ч., и раствор серной кислоты или стандарт-титр концентрацией 0,05 моль/куб. дм.

Натрия гидроокись по ГОСТ 4328, х.ч. или ч.д.а., раствор массовой концентрацией 330 - 400 г/куб. дм и раствор гидроокиси натрия концентрацией 0,1 моль/куб. дм.

Кислота борная по ГОСТ 9656, ч.д.а., и раствор массовой концентрацией 40 г/куб. дм.

Медь сернокислая 5-водная по ГОСТ 4165.

Калий сернокислый по ГОСТ 4145.

Водорода пероксид по ГОСТ 10929, водный раствор объемной долей 30%.

ГОСТ Р 51652-2000 отменен. Взамен него с 15.02.2015 введен в действие ГОСТ 5962-2013.

Спирт этиловый ректификованный по ГОСТ 5962 <*>.

<*> На территории Российской Федерации действует ГОСТ Р 51652-2000.

Вода дистиллированная по ГОСТ 6709-72.

Метиловый красный.

Бромкрезоловый зеленый.

Селен, ч.

3. ПОДГОТОВКА К ОПРЕДЕЛЕНИЮ

3.1. Подготовка пробы к определению

3.1.1. Из средней пробы зерна или продукта его переработки вручную или при помощи делителя выделяют (50,0 +/- 0,1) г. Зерно и крупу очищают от сорной примеси, за исключением испорченных зерен или ядер. Очищенное зерно или крупу размалывают на лабораторной мельнице так, чтобы весь размолотый продукт прошел при просеивании через сито из проволочной сетки N 08.

При размоле на мельнице зерно, влажность которого превышает 17%, предварительно подсушивают на воздухе или в одном из следующих устройств: сушильном шкафу, термостате, лабораторном сушильном аппарате ЛСА при температуре воздуха не более 50°C.

3.1.2. Из тщательно перемешанного материала отбирают и помещают в чистую и сухую пробирку, свободно входящую в колбу Кьельдаля, поочередно две навески массой 0,3 - 0,7 г каждая. Пробирку с навеской взвешивают на весах с погрешностью +/- 0,001 г, помещают как можно глубже в колбу Кьельдаля (во избежание распыления продукта по стенкам колбы) и осторожно высыпают продукт из пробирки. Пустую пробирку взвешивают. По разности между результатами первого и второго взвешивания устанавливают массу навески.

Для облегчения введения пробирки с навеской в колбу Кьельдаля на запаянный конец пробирки надевают резиновую трубку.

Допускается взвешивать навеску на обеззоленном фильтре размером 3 x 3 см. Фильтр с навеской сворачивают и помещают в колбу Кьельдаля.

Примечание. При взятии навески на обеззоленном фильтре в "холостом" определении проводят обязательное сжигание фильтра.

3.1.3. Одновременно со взятием навесок для анализа берут навески для определения влажности: зерна - по ГОСТ 13586.5, крупы - по ГОСТ 26312.7, муки и отрубей - по ГОСТ 9404.

3.2. Подготовка реактивов и растворов

3.2.1. Для приготовления катализатора 1 взвешивают 10,0 г сернокислой меди, 100,0 г сернокислого калия и 2,0 г селена, помещают навеску в ступку и смесь тщательно растирают до получения однородного мелкозернистого порошка.

Для приготовления катализатора 2 взвешивают 10,0 г сернокислой меди и 300,0 г сернокислого калия, помещают навески в ступку и смесь тщательно растирают до получения однородного мелкозернистого порошка.

3.2.2. Для приготовления раствора индикатора взвешивают 0,2 г метилового красного и 0,1 г бромкрезолового зеленого; растворяют навески в 100 куб. см 96%-ного этилового спирта.

3.2.3. Для приготовления 0,05 моль/куб. дм раствора серной кислоты используют концентрированную кислоту - по ГОСТ 25791 и титр серной кислоты - в соответствии со стандартами и правилами, приложенными к комплекту.

3.2.4. Для приготовления 0,1 моль/куб. дм раствора гидроокиси натрия используют натрия гидроокись по ГОСТ 4328 и титр натрия гидроокиси в соответствии со стандартами и правилами, приложенными к комплекту.

3.2.5. Для приготовления раствора борной кислоты массовой концентрацией 40 г/куб. дм взвешивают 40 г борной кислоты, растворяют навеску в небольшом количестве воды при нагревании, а затем раствор переносят в мерную колбу на 1000 куб. см, объем которой после охлаждения раствора доводят до метки дистиллированной водой.

4. ПРОВЕДЕНИЕ ОПРЕДЕЛЕНИЯ

4.1. Разрушение органического вещества

4.1.1. В колбу Кьельдаля с навеской добавляют 1,5 - 2,0 г катализатора 1 или 2 и осторожно вливают 10 - 15 куб. см концентрированной серной кислоты. Содержимое перемешивают покачиванием колбы, добиваясь полного смачивания навески.

Допускается в колбу Кьельдаля с навеской вместо катализатора 1 или 2 добавлять 7 - 10 куб. см раствора перекиси водорода объемной долей 30% и после прекращения бурной реакции приливать 7 - 10 куб. см концентрированной серной кислоты.

4.1.2. Нагревание колбы проводят в вытяжном шкафу или помещении с принудительной вентиляцией.

В горлышко колбы Кьельдаля вставляют маленькую стеклянную воронку или втулку для уменьшения улетучивания паров кислоты во время нагревания.

Колбу устанавливают на электроплитке или укрепляют в штативе над газовой горелкой так, чтобы ее ось была под углом 30 - 45°.

Начальное нагревание колбы проводят под наблюдением при слабом накале электроплитки или на слабом пламени газовой горелки медленно ввиду возможного образования пены, которая может подняться в горлышко колбы или даже перелиться через край.

4.1.3. После прекращения образования пены усиливают нагревание колбы и доводят содержимое ее до кипения. Дальнейшая интенсивность кипения раствора в колбе должна быть такой, чтобы пары кислоты конденсировались в средней части горлышка колбы Кьельдаля.

Во время нагревания колбы следят за тем, чтобы на стенках колбы не оставалось черных несгоревших частиц продукта. Если их обнаруживают, то смывают небольшим количеством серной кислоты, которую добавляют в колбу, или легким встряхиванием содержимого колбы.

4.1.4. Раствор в колбе кипятят до тех пор, пока он не станет прозрачным (допускается слегка зеленоватый оттенок). Затем проводят дополнительное нагревание колбы еще в течение 30 мин, после чего сжигание заканчивают.

4.1.5. Колбу охлаждают и к ее содержимому постепенно приливают 70 куб. см дистиллированной воды, слегка взбалтывая раствор. Полученный раствор снова охлаждают.

4.2. Отгонка аммиака

4.2.1. В бачок-парообразователь 1 (см. Приложение) через воронку 2 наливают дистиллированную воду, заполняя ею более половины объема бачка. Открывают кран 3 и зажим 4.

Нагревают бачок с водой на электрической плитке или газовой горелке. Присоединяют пустую колбу Кьельдаля 10 к каплеуловителю 7 и воронке для щелочи 5.

После того как вода в бачке закипит, закрывают кран 3. Включают холодильник 8, подставляют под него пустую коническую колбу 9 и в течение 5 - 10 мин "пропаривают" прибор.

По истечении указанного времени открывают краны 3 и 6, а зажим 4 закрывают.

4.2.2. В коническую колбу вместимостью 250 куб. см приливают при помощи бюретки или пипетки 20 куб. см раствора борной кислоты массовой концентрацией 40 г/куб. дм или же 25 куб. см 0,05 моль/куб. дм раствора серной кислоты и добавляют 4 - 5 капель индикатора. Вынимают пустую коническую колбу из-под холодильника и вместо нее подставляют коническую колбу с раствором борной или серной кислоты.

Колбу подставляют под холодильник так, чтобы кончик холодильника был погружен в раствор на глубину не менее 1 см.

Вынимают пустую колбу Кьельдаля и вместо нее подставляют колбу Кьельдаля с растворами.

4.2.3. Закрывают кран 6 и наливают в воронку 40 куб. см раствора щелочи массовой концентрацией 330 - 400 г/куб. дм. Затем осторожно открывают кран 6 и понемногу при слабом покачивании колбы Кьельдаля приливают щелочь к содержимому колбы.

При этом наблюдается изменение цвета раствора в колбе Кьельдаля: из прозрачного он становится синим или бурым.

4.2.4. Открывают зажим 4, закрывают краны 3 и 6 и начинают отгонку аммиака, который, перегоняемый паром из колбы Кьельдаля, конденсируется в холодильнике и попадает в приемную коническую колбу с раствором борной или серной кислоты.

Через 10 мин коническую колбу с раствором кислоты опускают, при этом кончик холодильника не должен касаться жидкости.

Конец отгонки устанавливают при помощи лакмусовой бумажки. Для этого кончик холодильника обмывают небольшим количеством дистиллированной воды, отставляют коническую колбу из-под холодильника и под стекающие из холодильника капли конденсата подставляют лакмусовую бумажку. В случаях, когда лакмусовая бумажка не синеет, отгонку аммиака заканчивают. Если лакмусовая бумажка синеет, то приемную колбу снова подставляют под холодильник и продолжают отгонку.

4.2.5. После окончания отгонки закрывают зажим 4 и открывают краны 3 и 6.

Обмывают кончик холодильника над конической колбой дистиллированной водой и коническую колбу убирают. Колбу Кьельдаля заменяют на пустую и "пропаривают" всю систему для удаления возможных остаточных количеств аммиака.

4.2.6. Допускается при применении для сжигания навесок колб Кьельдаля вместимостью 500 куб. см проводить отгонку аммиака без бачка-парообразователя непосредственным нагревом колбы Кьельдаля на электронагревателе. Содержимое колбы Кьельдаля перед отгонкой аммиака разбавляют 150 - 200 куб. см дистиллированной воды и дальнейшие операции отгонки выполняют так, как указано в п.п. 4.2.2 - 4.2.5.

4.3. Титрование

4.3.1. При отгонке аммиака в раствор борной кислоты аммиак, содержащийся в приемной конической колбе, оттитровывают 0,05 моль/куб. дм раствором серной кислоты до перехода окраски индикатора из зеленой в розовую.

4.3.2. При отгонке аммиака в раствор серной кислоты содержимое конической колбы (избыток 0,05 моль/куб. дм раствора серной кислоты) титруют 0,1 моль/куб. дм раствором гидроокиси натрия до перехода окраски в зеленую.

4.4. Определение азота в реактивах и воде

4.4.1. Одновременно с определением азота в зерне и продуктах его переработки проводят анализ на выявление загрязнения воды и реактивов азотом ("холостое" определение). Для этого проводят весь анализ в соответствии с требованиями разд. 4, за исключением взятия навески.

4.4.2. Если для взятия навески использовался обеззоленный фильтр, то аналогичный фильтр также должен быть использован в анализе на выявление загрязнения реактивов и воды азотом.

4.4.3. Определение азота в реактивах проводят каждый раз после замены партий реактивов.

5. ОБРАБОТКА РЕЗУЛЬТАТОВ

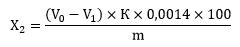
5.1. При отгонке аммиака в раствор борной кислоты содержание азота в зерне или продуктах его переработки при фактической влажности в процентах вычисляют по формуле

,

где m - масса навески, г;

- объем раствора серной кислоты, пошедшей на титрование аммиака в растворе, куб. см;

K - поправка к титру 0,05 моль/куб. дм раствора серной кислоты (при приготовлении раствора из концентрированной серной кислоты);

0,0014 - количество азота, эквивалентное 1 куб. см 0,05 моль/куб. дм раствора серной кислоты, г;

- объем 0,05 моль/куб. дм раствора серной кислоты, пошедшего на титрование в "холостом" определении, куб. см.

5.2. При отгонке аммиака в раствор серной кислоты содержание азота в зерне или продуктах его переработки при фактической влажности в процентах вычисляют по формуле

,

где m - масса навески, г;

- объем 0,1 моль/куб. дм раствора гидроокиси натрия, пошедшего на титрование 0,05 моль/куб. дм серной кислоты в "холостом" определении, куб. см;

- объем 0,1 моль/куб. дм раствора гидроокиси натрия, пошедшего на титрование 0,05 моль/куб. дм серной кислоты в анализируемом растворе, куб. см;

K - поправка к титру 0,1 моль/куб. дм раствора гидроокиси натрия;

0,0014 - количество азота, эквивалентное 1 куб. см 0,05 моль/куб. дм раствора серной кислоты, г.

5.3. Вычисления проводят до третьего десятичного знака с последующим округлением результата до второго десятичного знака.

5.4. За окончательный результат определения азота принимают среднеарифметическое значение результатов двух параллельных определений, допускаемые расхождения между которыми не должны превышать

,

5.5. Допускаемые расхождения при контрольных определениях азота не должны превышать0,04 + 0,045 , где - среднеарифметическое значение результатов первоначального и контрольного определений.

5.6. Содержание азота в зерне и продуктах его переработки в пересчете на сухое вещество в процентах вычисляют по формуле

,

где или - содержание азота в зерне или продуктах его переработки при фактической влажности, %;

W - влажность зерна или продуктов его переработки, %.

5.7. Содержание белка в зерне или продуктах его переработки и в процентах вычисляют по формулам:

;

,

где K - коэффициент пересчета содержания азота на белок, равный:

5,7 - для пшеницы, овса и продуктов их переработки;

5,6 - для ржи и продуктов ее переработки;

6,0 - для риса и продуктов его переработки;

6,25 - для семян бобовых культур, продуктов их переработки и пивоваренного ячменя.

Приложение
Обязательное

АППАРАТ ДЛЯ ОТГОНКИ АММИАКА С ВОДЯНЫМ ПАРОМ

1 - парообразователь; 2 и 5 - воронки; 3 и 6 - краны; 4 - зажим; 7 - каплеуловитель; 8 - холодильник; 9 - приемная колба; 10 - отгонная колба