Шум. методы измерения шума на территориях жилой застройки и в помещениях жилых и общественных зданий. ГОСТ 23337-2014

(утв. Приказом Росстандарта от 18.11.2014 N 1643-СТ)
Редакция от 26.12.2022 — Действует с 01.03.2023
Показать изменения

Введен в действие
Приказом Федерального
агентства по техническому
регулированию и метрологии
от 18 ноября 2014 г. N 1643-ст

МЕЖГОСУДАРСТВЕННЫЙ СТАНДАРТ

ШУМ. МЕТОДЫ ИЗМЕРЕНИЯ ШУМА НА ТЕРРИТОРИЯХ ЖИЛОЙ ЗАСТРОЙКИ И В ПОМЕЩЕНИЯХ ЖИЛЫХ И ОБЩЕСТВЕННЫХ ЗДАНИЙ

NOISE. METHODS OF NOISE MEASUREMENT IN RESIDENTIAL DEVELOPMENT AREAS AND IN THE ROOMS OF RESIDENTIAL AND COMMUNITY BUILDINGS

(в ред. Изменения N 1, утв. Протоколом Росстандарта от 26.12.2022 N 157-П)

(ISO 1996-1:2016, NEQ)

(ISO 1996-2:2017, NEQ)

ГОСТ 23337-2014

МКС 17.140.01

Дата введения
1 июля 2015 года

Предисловие

Цели, основные принципы и основной порядок проведения работ по межгосударственной стандартизации установлены ГОСТ 1.0-92 "Межгосударственная система стандартизации. Основные положения" и ГОСТ 1.2-2009 "Межгосударственная система стандартизации. Стандарты межгосударственные, правила, рекомендации по межгосударственной стандартизации. Правила разработки, принятия, применения, обновления и отмены".

Сведения о стандарте

1. Разработан Федеральным государственным бюджетным учреждением "Научно-исследовательский институт строительной физики Российской академии архитектуры и строительных наук" (НИИСФ РААСН).

2. Внесен Техническим комитетом по стандартизации ТК 465 "Строительство".

3. Принят Межгосударственным советом по стандартизации, метрологии и сертификации (протокол от 30 сентября 2014 г. N 70-П).

За принятие проголосовали:

Краткое наименование страны по МК (ИСО 3166) 004-97 Код страны по МК (ИСО 3166) 004-97 Сокращенное наименование национального органа по стандартизации
Армения AM Минэкономики Республики Армения
Беларусь BY Госстандарт Республики Беларусь
Киргизия KG Кыргызстандарт
Россия RU Росстандарт
Украина UA Минэкономразвития Украины

4. Приказом Федерального агентства по техническому регулированию и метрологии от 18 ноября 2014 г. N 1643-ст межгосударственный стандарт ГОСТ 23337-2014 введен в действие в качестве национального стандарта Российской Федерации с 1 июля 2015 г.

5. Настоящий стандарт соответствует международным стандартам ISO 1996-1:2016 "Шум. Описание, измерение и оценка шума на местности. Часть 1. Основные величины и процедуры оценки" ("Acoustics - Description, measurement and assessment of environmental noise - Part 1: Basic quantities and assessment procedures", NEQ) и ISO 1996-2:2017 "Шум. Описание, измерение и оценка шума на местности. Часть 2. Определение уровней звукового давления" ("Acoustics - Description, measurement and assessment of environmental noise - Part 2: Determination of sound pressure levels", NEQ) в части описания методов и процедур измерения шума внешних и внутренних источников на территориях жилой застройки и в помещениях жилых и общественных зданий. (в ред. Изменения N 1, утв. Протоколом Росстандарта от 26.12.2022 N 157-П)

6. Взамен ГОСТ 23337-78*.

Информация об изменениях к настоящему стандарту публикуется в ежегодном информационном указателе "Национальные стандарты", а текст изменений и поправок - в ежемесячном информационном указателе "Национальные стандарты". В случае пересмотра (замены) или отмены настоящего стандарта соответствующее уведомление будет опубликовано в ежемесячном информационном указателе "Национальные стандарты". Соответствующая информация, уведомление и тексты размещаются также в информационной системе общего пользования - на официальном сайте Федерального агентства по техническому регулированию и метрологии в сети Интернет.

1. Область применения

1.1. Настоящий стандарт распространяется на описание и измерение количественных параметров, характеризующих общий шум на территориях жилой застройки и в помещениях жилых и общественных зданий. (в ред. Изменения N 1, утв. Протоколом Росстандарта от 26.12.2022 N 157-П)

1.2. Настоящий стандарт устанавливает общие методы измерения в реальных условиях уровней шума от внешних источников на территориях жилой застройки в городах, поселках и других населенных пунктах и уровней шума от внешних и внутренних источников в помещениях жилых и общественных зданий без детализации источников шума по их видам. (в ред. Изменения N 1, утв. Протоколом Росстандарта от 26.12.2022 N 157-П)

1.3. Настоящий стандарт не распространяется на методы измерения уровней шума в помещениях общественных зданий, предназначенных для трудовой деятельности, и в помещениях специального назначения (радио-, теле-, киностудии; кинотеатральные, театральные, концертные и спортивные залы).

1.4. Настоящий стандарт не распространяется на методы измерения шумовых характеристик различных машин, механизмов и оборудования на территории и в помещениях жилых и общественных зданий, установленные другими межгосударственными стандартами.

1.5. Настоящий стандарт не распространяется на методы измерения уровней шума, связанного с проведением аварийно-спасательных и ремонтных работ по ликвидации последствий аварий, стихийных бедствий и других чрезвычайных ситуаций природного и техногенного характера.

1.6. Настоящий стандарт не распространяется на методы измерения уровней шума, связанного с проведением массовых мероприятий (митингов, уличных шествий, демонстраций, религиозных обрядов и т.п.).

1.7. Настоящий стандарт не распространяется на методы расчета прогнозируемых уровней шума в окружающей среде и в помещениях жилых и общественных зданий и на методы проектирования шумозащитных мероприятий. (в ред. Изменения N 1, утв. Протоколом Росстандарта от 26.12.2022 N 157-П)

1.8. Настоящий стандарт предназначен для применения организациями, аккредитованными в установленном порядке на измерение шума на территориях жилой застройки и в помещениях жилых и общественных зданий, в целях оценки соответствия требованиям технических регламентов, гигиенических нормативов и других нормативных документов. (в ред. Изменения N 1, утв. Протоколом Росстандарта от 26.12.2022 N 157-П)

2. Нормативные ссылки (в ред. Изменения N 1, утв. Протоколом Росстандарта от 26.12.2022 N 157-П)

В настоящем стандарте использованы нормативные ссылки на следующие стандарты:

ГОСТ 12.1.003 Система стандартов безопасности труда. Шум. Общие требования безопасности

ГОСТ 12.1.036 Система стандартов безопасности труда. Шум. Допустимые уровни в жилых и общественных зданиях

ГОСТ 12090 Частоты для акустических измерений. Предпочтительные ряды

ГОСТ 34100.1/ISO/IEC Guide 98-1:2009 Неопределенность измерения. Часть 1. Введение в руководства по выражению неопределенности измерения

Официальный источник электронного документа содержит неточность: имеется в виду ГОСТ 34100.3.

ГОСТ 34100-3/ISO/IEC Guide 98-3:2008 Неопределенность измерения. Часть 3. Руководство по выражению неопределенности измерения

Примечание - При пользовании настоящим стандартом целесообразно проверить действие ссылочных стандартов (и классификаторов) на официальном интернет-сайте Межгосударственного совета по стандартизации, метрологии и сертификации (www.easc.by) или по указателям национальных стандартов, издаваемым в государствах, указанных в предисловии, или на официальных сайтах соответствующих национальных органов по стандартизации. Если на документ дана недатированная ссылка, то следует использовать документ, действующий на текущий момент, с учетом всех внесенных в него изменений. Если заменен ссылочный документ, на который дана датированная ссылка, то следует использовать указанную версию этого документа. Если после принятия настоящего стандарта в ссылочный документ, на который дана датированная ссылка, внесено изменение, затрагивающее положение, на которое дана ссылка, то это положение применяется без учета данного изменения. Если ссылочный документ отменен без замены, то положение, в котором дана ссылка на него, применяется в части, не затрагивающей эту ссылку.

3. Термины и определения

В настоящем стандарте применены следующие термины с соответствующими определениями:

3.1. Общий шум: шум в определенной ситуации в определенное время и в определенном месте, обычно состоящий из шума различных источников как подвижных (средства дорожного, рельсового, водного и воздушного транспорта), так и расположенных стационарно (промышленные предприятия, энергетические и прочие установки, а также инженерно-техническое и прочее оборудование в жилых и общественных зданиях).

3.2. Шум известного источника: часть общего шума, которая может быть определена и приписана конкретному источнику шума.

3.3 фоновый (остаточный) шум: Часть общего шума после отключения известных источников. (в ред. Изменения N 1, утв. Протоколом Росстандарта от 26.12.2022 N 157-П)

Примечание - Фоновый шум может включать в себя воздушный шум, шум излучения вибрирующих поверхностей, электрический шум средств измерений (в ред. Изменения N 1, утв. Протоколом Росстандарта от 26.12.2022 N 157-П)

3.4. Внешние источники шума: источники шума, расположенные вне здания с помещениями, в которых измеряются уровни шума. (в ред. Изменения N 1, утв. Протоколом Росстандарта от 26.12.2022 N 157-П)

3.5. Внутренние источники шума: источники шума внутри здания с помещениями, в которых измеряются уровни шума, в том числе, возможно, и в самих этих помещениях. Внутренними источниками шума могут являться также ограждающие конструкции помещений, если они совершают вынужденные колебания под воздействием источников вибрации, находящихся как внутри здания, так и вне его.

3.6. Постоянный шум: шум, для которого разность между наибольшим и наименьшим значениями уровня звука за временной интервал наблюдения не превышает 5 дБА при измерении на временной характеристике "S шумомера". (в ред. Изменения N 1, утв. Протоколом Росстандарта от 26.12.2022 N 157-П)

Примечание - См. [1] (в ред. Изменения N 1, утв. Протоколом Росстандарта от 26.12.2022 N 157-П)

3.7. Непостоянный шум: шум, не удовлетворяющий условиям 3.6. Непостоянный шум подразделяют на колеблющийся, прерывистый и импульсный.

3.8 колеблющийся шум: Непостоянный, неимпульсный шум, уровень звука которого непрерывно изменяется в интервале наблюдения; (в ред. Изменения N 1, утв. Протоколом Росстандарта от 26.12.2022 N 157-П)

3.9 прерывистый шум: Непостоянный шум, уровень звука которого ступенчато изменяется в регулярных или нерегулярных интервалах, причем длительность интервалов, в течение которых уровень звука остается постоянным, составляет не менее 1 с; (в ред. Изменения N 1, утв. Протоколом Росстандарта от 26.12.2022 N 157-П)

3.10 импульсный шум: Шум, состоящий из одного или ряда коротких звуковых сигналов (импульсов), создаваемых, например, ударами, штамповкой, хлопками дверей, выстрелами из стрелкового оружия или другими аналогичными кратковременными событиями, и характеризующийся резкими изменениями звукового давления. Продолжительность одного импульса, как правило, менее 1 с; (в ред. Изменения N 1, утв. Протоколом Росстандарта от 26.12.2022 N 157-П)

Примечание - В соответствии с ГОСТ 12.1.003 и другими нормативными документами к импульсным шумам относят сигналы длительностью менее 1 с, уровни звука A которых, измеренные соответственно на характеристиках I и S шумомера (см. [1]), различаются между собой не менее чем на 7 дБА. При такой величине разности сигналы длительностью от 0,2 до 1,0 с не могут быть отнесены ни к импульсным шумам в силу характеристик шумомера (см. [1]), ни к прерывистым ввиду их малой длительности. Для устранения возникающего противоречия необходимо уменьшить указанный числовой критерий до 2 дБА. Однако такое снижение может также привести к отнесению к импульсному шуму отдельных видов прерывистых и колеблющихся шумов. Поэтому данный критерий, несмотря на его очевидную практичность, исключен из определения импульсного шума (в ред. Изменения N 1, утв. Протоколом Росстандарта от 26.12.2022 N 157-П)

3.11. Тональный шум: шум, характеризуемый единственной частотой или узкополосными компонентами, различаемыми на слух на фоне общего шума.

Примечание. На практике шум считают тональным, если при измерениях в третьоктавных полосах частот превышение уровня звукового давления в одной полосе над соседними больше или равно 10 дБ.

3.12. Диапазон частот измерений: диапазон частот, включающий октавные полосы со среднегеометрическими частотами от 31,5 до 8000 Гц по ГОСТ 12090 или третьоктавные полосы со среднегеометрическими частотами от 25 до 10000 Гц по ГОСТ 12090.

3.13. Опорное звуковое давление : установленное по соглашению опорное значение звукового давления в воздухе, равное Па.

3.14. Уровень звукового давления , дБ: величина, равная десяти десятичным логарифмам квадрата отношения среднеквадратичного звукового давления, измеренного при стандартных временной и частотной характеристиках шумомера (см. [1]) или измерительной системы с аналогичными характеристиками к квадрату опорного звукового давления. (в ред. Изменения N 1, утв. Протоколом Росстандарта от 26.12.2022 N 157-П)

Примечание. Звуковое давление выражают в паскалях (Па).

3.15 корректированный уровень звукового давления: Десять десятичных логарифмов квадрата отношения среднеквадратического звукового давления, измеренного при заданных функциях частотной и временной коррекций, к опорному значению звукового давления. (в ред. Изменения N 1, утв. Протоколом Росстандарта от 26.12.2022 N 157-П)

Примечания (в ред. Изменения N 1, утв. Протоколом Росстандарта от 26.12.2022 N 157-П)

1. Стандартными функциями частотной коррекции являются частотные коррекции по характеристикам A и C шумомера (см. [1]). (в ред. Изменения N 1, утв. Протоколом Росстандарта от 26.12.2022 N 157-П)

2. Стандартными функциями коррекции являются коррекции по характеристикам F и S шумомера (см. [1]). (в ред. Изменения N 1, утв. Протоколом Росстандарта от 26.12.2022 N 157-П)

3. Корректированный уровень звукового давления называют уровнем звука с указанием частотной характеристики шумомера и выражают в децибелах также с указанием частотной характеристики шумомера. Например, корректированный по частотной характеристике A уровень звукового давления называют уровнем звука A и выражают в дБА (в ред. Изменения N 1, утв. Протоколом Росстандарта от 26.12.2022 N 157-П)

3.16. Эквивалентный уровень звукового давления , дБ: величина, равная десяти десятичным логарифмам отношения квадрата среднеквадратичного звукового давления на заданном временном интервале, измеренного при стандартных временной и частотной характеристиках шумомера (см. [1]) или измерительной системы с аналогичными характеристиками, к квадрату опорного звукового давления. (в ред. Изменения N 1, утв. Протоколом Росстандарта от 26.12.2022 N 157-П)

3.17. Эквивалентный уровень звука A , дБА: величина, равная десяти десятичным логарифмам отношения квадрата среднеквадратичного звукового давления на заданном временном интервале, измеренного при стандартной частотной характеристике A шумомера (см. [1]) или измерительной системы с аналогичными характеристиками, к квадрату опорного звукового давления; рассчитывается по формуле (в ред. Изменения N 1, утв. Протоколом Росстандарта от 26.12.2022 N 157-П)

,

где - заданный временной интервал, с;

- начало временного интервала, с;

- конец временного интервала, с;

- мгновенное корректированное по частотной характеристике A шумомера по ГОСТ 17187 звуковое давление в момент времени t, Па;

= Па - опорное звуковое давление.

3.18. Максимальный уровень звука A , дБА: наибольший корректированный по A уровень звука на заданном временном интервале. При проведении измерения шума измерительными системами, содержащими анализаторы статистического распределения, за максимальный уровень звука следует принимать в соответствии с нормативными документами <1>, действующими на территории государства - участника Соглашения, принявшего настоящий стандарт, уровень звука , дБА, превышаемый в течение 1% длительности интервала измерения или интервала наблюдения. (в ред. Изменения N 1, утв. Протоколом Росстандарта от 26.12.2022 N 157-П)

<1> В Российской Федерации действует ГОСТ Р ИСО 1996-1-2019 "Акустика. Описание, измерение и оценка шума на местности. Часть 1. Основные величины и процедура оценки".

3.19. Звуковое воздействие E, : интеграл по времени от квадрата звукового давления за временной интервал наблюдения или за временной интервал измерения

,

где p(t) - мгновенное звуковое давление, Па.

3.20. Опорное звуковое воздействие , : величина, равная произведению квадрата опорного звукового давления Па, умноженному на опорный временной интервал длительностью 1 с ().

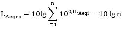
3.21. Уровень звукового воздействия , дБ: величина, равная десяти десятичным логарифмам отношения звукового воздействия на заданном временном интервале или на интервале, равном продолжительности звукового события, к опорному звуковому воздействию; рассчитывается по формуле

,

где E - звуковое воздействие на временном интервале T, (Па)2·с.

3.22. Уровень звукового воздействия A , дБА: уровень звукового воздействия, корректированный по частотной характеристике A шумомера (см. [1]) или измерительной системы с аналогичными характеристиками. (в ред. Изменения N 1, утв. Протоколом Росстандарта от 26.12.2022 N 157-П)

Уровень звукового воздействия A, измеренный на временном интервале T, позволяет определить эквивалентный уровень звука с помощью формулы (в ред. Изменения N 1, утв. Протоколом Росстандарта от 26.12.2022 N 157-П)

,

(в ред. Изменения N 1, утв. Протоколом Росстандарта от 26.12.2022 N 157-П)

где = 1 с.

3.23. Коррекция: здесь любая величина, положительная или отрицательная, которую прибавляют к измеренному или рассчитанному по результатам измерения значению уровня шума для того, чтобы учесть влияние на него дополнительных факторов, связанных с местом измерения (например, влияние фонового (остаточного) шума, влияние звукопоглощающих свойств помещения и т.п.) или с особенностями источника шума.

3.24. Оценочный уровень: измеренное или рассчитанное значение уровня шума с учетом коррекции.

3.25. Точка измерения (точка наблюдения): место, в котором измеряют шум и размещают измерительный микрофон.

3.26. Временной интервал измерения: промежуток времени, в течение которого проводят единичное (однократное) измерение уровней шума.

3.27. Временной интервал наблюдения: промежуток времени, в течение которого проводят серию измерений уровней шума. Интервал наблюдения может включать в себя несколько интервалов измерения, следующих друг за другом непрерывно или с паузами.

3.28 территория жилой застройки: Территория населенного пункта, застроенная или предназначенная для застройки преимущественно или исключительно жилыми и/или общественными зданиями. (в ред. Изменения N 1, утв. Протоколом Росстандарта от 26.12.2022 N 157-П)

Примечание - К территориям жилой застройки относятся также территории садоводческих товариществ, дачных поселков и отдельных домостроений, расположенных вдоль автомобильных дорог общего пользования или железных дорог. (в ред. Изменения N 1, утв. Протоколом Росстандарта от 26.12.2022 N 157-П)

3.29 неопределенность измерений: Неотрицательный параметр, характеризующий рассеяние возможных значений измеряемой величины вокруг ее математического ожидания. (в ред. Изменения N 1, утв. Протоколом Росстандарта от 26.12.2022 N 157-П)

Примечание - В качестве количественной характеристики неопределенности измерений допускается использовать среднеквадратическое отклонение, стандартную суммарную и расширенную неопределенность измерений (в ред. Изменения N 1, утв. Протоколом Росстандарта от 26.12.2022 N 157-П)

4. Общие положения

4.1. Измерения в соответствии с настоящим стандартом должны проводиться для оценки фактического шумового режима:

- территориях жилой застройки, обусловленного внешними источниками шума, - средствами автомобильного, рельсового (железная дорога, трамвай, метропоезда на открытых линиях метрополитена) и водного транспорта, вентиляционным и различным технологическим оборудованием промышленных предприятий, энергетическим оборудованием ТЭЦ, котельных, отдельно расположенных тепловых пунктов, насосных, трансформаторов открытых понижающих подстанций и трансформаторных пунктов, а также прочими источниками шума на территории микрорайонов, кварталов и групп жилых зданий; (в ред. Изменения N 1, утв. Протоколом Росстандарта от 26.12.2022 N 157-П)

- внутри помещений жилых и общественных зданий, обусловленного как вышеуказанными внешними, так и внутренними источниками шума (инженерное и санитарно-техническое оборудование зданий, технологическое оборудование встроенных предприятий торговли, общественного питания, насосных, индивидуальных тепловых пунктов, котельных и т.п., аудио-, видеоаппаратура), а также шум, возникающий при передаче на конструкции здания вибраций от линий метро мелкого заложения или иных источников.

4.2 Оценка измеренных уровней шума на соответствие допустимым уровням шума должна проводиться по ГОСТ 12.1.036, санитарным нормам и нормативным документам <1>, действующим на территории государства - участника Соглашения, принявшего настоящий стандарт (в ред. Изменения N 1, утв. Протоколом Росстандарта от 26.12.2022 N 157-П)

<1> В Российской Федерации действует СП 51.13330.2011 "СНиП 23-03-2003 Защита от шума". (в ред. Изменения N 1, утв. Протоколом Росстандарта от 26.12.2022 N 157-П)

4.3. В зависимости от характера шума устанавливаются следующие параметры, подлежащие измерению и дальнейшей оценке:

- для постоянного шума - октавные уровни звукового давления , дБ, в октавных полосах со среднегеометрическими частотами в диапазоне от 31,5 до 8000 Гц по ГОСТ 12090 или третьоктавные уровни звукового давления , дБ, в третьоктавных полосах со среднегеометрическими частотами в диапазоне от 25 до 10000 Гц по ГОСТ 12090, а также уровень звука , дБА, измеренные на характеристике S шумомера (см. [1]). (в ред. Изменения N 1, утв. Протоколом Росстандарта от 26.12.2022 N 157-П)

Примечание. Измерение третьоктавных уровней звукового давления может понадобиться для выявления тональных составляющих в спектре шума или для расчетов требуемой звукоизоляции строительных конструкций, или для других целей;

- для непостоянного (колеблющегося во времени и прерывистого) шума - эквивалентный (по энергии) уровень звука , дБА, и максимальный уровень звука , дБА, измеренные на характеристике S шумомера (см. [1]); (в ред. Изменения N 1, утв. Протоколом Росстандарта от 26.12.2022 N 157-П)

- для непостоянного (импульсного) шума - эквивалентный (по энергии) уровень звука , дБА, и максимальный уровень звука , дБА, измеренные на характеристике S шумомера (см. [1]), а также максимальный уровень звука , дБАI, измеренный на характеристике I шумомера (см. [1]); (в ред. Изменения N 1, утв. Протоколом Росстандарта от 26.12.2022 N 157-П)

- для непостоянного шума всех видов допускается дополнительно определять октавные эквивалентные (по энергии) уровни звукового давления , дБ, в октавных полосах со среднегеометрическими частотами в диапазоне от 31,5 до 8000 Гц по ГОСТ 12090 или третьоктавные эквивалентные (по энергии) уровни звукового давления , дБ, в третьоктавных полосах со среднегеометрическими частотами в диапазоне от 25 до 10000 Гц по ГОСТ 12090, измеренные на характеристике S шумомера (см. [1]). (в ред. Изменения N 1, утв. Протоколом Росстандарта от 26.12.2022 N 157-П)

5. Средства измерения

5.1. Измерение уровней звука, эквивалентных и максимальных уровней звука следует проводить интегрирующими-усредняющими шумомерами 1-го или 2-го класса (см. [1]) или измерительными системами с аналогичными характеристиками. (в ред. Изменения N 1, утв. Протоколом Росстандарта от 26.12.2022 N 157-П)

5.2. Измерения уровней звукового воздействия A следует проводить интегрирующими шумомерами 1-го или 2-го класса (см. [1]) или измерительными системами с аналогичными характеристиками. (в ред. Изменения N 1, утв. Протоколом Росстандарта от 26.12.2022 N 157-П)

5.3. Измерение октавных (третьоктавных) уровней звукового давления или октавных (третьоктавных) эквивалентных уровней звукового давления следует проводить с помощью средств измерения, указанных в 5.1 и 5.2, дополнительно снабженных октавными (третьоктавными) полосовыми фильтрами 1-го или 2-го класса [2] <1>. (в ред. Изменения N 1, утв. Протоколом Росстандарта от 26.12.2022 N 157-П)

<1> В Российской Федерации действует ГОСТ Р 8.714-2010 (МЭК 61260:1995) "Государственная система обеспечения единства измерений. Фильтры полосовые октавные и на доли октавы. Технические требования и методы испытаний". (в ред. Изменения N 1, утв. Протоколом Росстандарта от 26.12.2022 N 157-П)

Примечание. Контролирующие организации (например, органы госнадзора) могут потребовать применения шумомера (комбинированной измерительной системы) только 1-го класса.

5.4. Перед началом измерений и после их окончания должна быть проведена проверка чувствительности средств измерения в соответствии с руководствами по их эксплуатации. Проверка чувствительности средств измерения 1-го класса должна проводиться с помощью акустического калибратора звука 1-го класса, а в случае применения средств измерения 2-го класса - с помощью калибратора звука 1-го или 2-го класса (см. [3] <2>). (в ред. Изменения N 1, утв. Протоколом Росстандарта от 26.12.2022 N 157-П)

<2> В Российской Федерации действует ГОСТ Р МЭК 60942-2009 "Калибраторы акустические. Технические требования и требования к испытаниям". (в ред. Изменения N 1, утв. Протоколом Росстандарта от 26.12.2022 N 157-П)

5.5 Перед началом измерений и после их окончания необходимо проверить разницу между показанием средства измерений и уровнем калибровочного сигнала внешнего акустического калибратора. Допустимое отклонение указывается в эксплуатационной документации средства измерений. Если указанная разница показаний перед началом измерений или после их окончания превышает допустимое отклонение, то необходимо провести корректировку средства измерений в соответствии с его эксплуатационной документацией и повторить измерения. (в ред. Изменения N 1, утв. Протоколом Росстандарта от 26.12.2022 N 157-П)

5.6. Средства измерений, предназначенные для измерения шума, должны иметь действующие свидетельства о поверке. Межповерочный интервал устанавливает производитель измерительной аппаратуры или соответствующий стандарт, или другой нормативный документ. (в ред. Изменения N 1, утв. Протоколом Росстандарта от 26.12.2022 N 157-П)

5.7. Перед проведением измерений шума на открытом воздухе следует определять метеорологические условия (скорость ветра, температуру воздуха, влажность, атмосферное давление) по официальным данным метеослужбы либо с помощью соответствующих средств измерений, имеющих действующие свидетельства о поверке и удовлетворяющих следующим требованиям:

- приборы для измерения скорости ветра (например, анемометр) должны иметь диапазон измерений не менее от 1 до 10 м/с и погрешность не более +/- 0,5 м/с;

- приборы для измерения температуры воздуха (например, термометр) должны иметь погрешность не более +/- 1°;

- приборы для измерения относительной влажности воздуха (например, гигрометр) должны иметь погрешность не более +/- 5%; (в ред. Изменения N 1, утв. Протоколом Росстандарта от 26.12.2022 N 157-П)

- приборы для измерения атмосферного давления (например, барометр) должны иметь погрешность не более +/- 5 мм рт. ст. (+/- 6,7 гПа). (в ред. Изменения N 1, утв. Протоколом Росстандарта от 26.12.2022 N 157-П)

5.8 При проведении длительных измерений шума на территории жилой застройки следует применять шумомеры, микрофоны или иные измерительные средства, конструкция которых обеспечивает сохранение их работоспособности при неблагоприятных погодных условиях, за исключением условий, перечисленных в 6.10. (в ред. Изменения N 1, утв. Протоколом Росстандарта от 26.12.2022 N 157-П)

6. Условия измерений

6.1. Измерение шума на территории следует проводить:

- на площадках отдыха микрорайонов и групп жилых домов, площадках детских дошкольных учреждений, школ и других учебных заведений, на территориях больниц и санаториев, домов отдыха, пансионатов, домов-интернатов для престарелых и инвалидов - не менее чем в трех точках, расположенных на ближайшей к источнику шума границе площадок (вне звуковой тени) и в центре площадок на высоте над уровнем поверхности площадок и на расстоянии не менее 2 м от зданий, сплошных заборов или других сооружений, препятствующих распространению шума;

- на территории, непосредственно прилегающей к жилым домам, зданиям больниц, санаториев, поликлиник, амбулаторий, диспансеров, домов отдыха, пансионатов, домов-интернатов для престарелых и инвалидов, детских дошкольных учреждений, школ и других учебных заведений, библиотек, гостиниц и общежитий не менее чем в трех точках, расположенных на расстоянии 2 м от ограждающих конструкций зданий на высоте над уровнем поверхности территории;

- при наличии многоэтажной застройки измерительные точки следует выбирать также на уровне последнего этажа здания в 2 м от его наружных ограждений, а в необходимых случаях и на уровне других этажей;

- на границе санитарно-защитной зоны промышленного предприятия или на границе территории промышленного предприятия с территорией жилой застройки не менее чем в четырех точках, расположенных вне звуковой тени на расстоянии не более 50 м друг от друга и на высоте над уровнем поверхности территории. При разности эквивалентных уровней звука в соседних точках более 5 дБА выбирают дополнительные промежуточные точки.

Допускается выбор измерительных точек и на других участках территории жилой застройки в зависимости от целей измерения. (в ред. Изменения N 1, утв. Протоколом Росстандарта от 26.12.2022 N 157-П)

6.2. При проведении измерений с целью последующего составления карты шума данной территории микрофон следует располагать на высоте (4,0 +/- 0,5) м в зоне многоэтажной застройки и на высоте (1,5 +/- 0,1) м в зоне одноэтажной застройки или в зонах отдыха.

Если расположение микрофона на высоте (4,0 +/- 0,5) м не представляется возможным, то измерения проводят на высоте (1,5 +/- 0,1) м, о чем в протоколе измерений должна быть сделана соответствующая запись. (в ред. Изменения N 1, утв. Протоколом Росстандарта от 26.12.2022 N 157-П)

6.3. Внутри жилых и общественных зданий измерения шума следует проводить в помещениях, оборудованных в соответствии со своим назначением.

В отдельных случаях допускается проводить измерение шума в необорудованных помещениях. При этом в результаты измерений должна быть внесена поправка в соответствии с 8.5.

6.4. Измерение шума в помещениях жилых и общественных зданий площадью до 20 кв. м включительно следует проводить в одной измерительной точке, расположенной в средней части помещения на высоте (1,2 ± 0,1) м (1,5 ± 0,1) м над уровнем пола, не ближе (1,0 +/- 0,1) м от стен и не ближе (1,5 +/- 0,1) м от окон. (в ред. Изменения N 1, утв. Протоколом Росстандарта от 26.12.2022 N 157-П)

В помещениях площадью более 20 кв. м (в частности, классы, аудитории и т.п.) необходимо проводить измерение шума не менее чем в трех точках, распределенных по всему помещению, не ближе (1,0 +/- 0,1) м от стен и не ближе (1,5 +/- 0,1) м от окон на высоте над уровнем пола. (в ред. Изменения N 1, утв. Протоколом Росстандарта от 26.12.2022 N 157-П)

При невозможности выполнения этого требования допускается проводить измерение в одной точке помещения, предпочтительно в его средней части.

6.5 При измерении шума в помещениях жилых и общественных зданий с внутренними источниками шума окна и двери помещений должны быть закрыты. В случае если источники шума располагаются вне здания с исследуемым помещением, а в помещении отсутствует принудительная механическая вентиляция, то двери и окна должны быть закрыты. Но при этом должны быть открыты устройства, обеспечивающие естественную вентиляцию в данном помещении: форточка или фрамуга в оконном блоке должна быть открыта полностью; если форточка или фрамуга в оконном блоке не предусмотрена конструкцией, то должна быть приоткрыта на (15 +/- 1) см одна из створок оконного блока. При наличии шумозащитных окон должны быть открыты вентиляционные устройства (например, клапаны для проветривания помещения). В случае, когда в оконном блоке жилого помещения отсутствуют открывающиеся конструктивные элементы, но в том же помещении присутствует балконный дверной блок, то балконное дверное полотно должно быть приоткрыто на (7 +/- 1) см. (в ред. Изменения N 1, утв. Протоколом Росстандарта от 26.12.2022 N 157-П)

6.6. В том случае, когда источники шума, являющегося внешним по отношению к территории или жилым и общественным зданиям, расположенным на ней, находятся внутри помещений промышленных цехов или иных зданий, форточки, фрамуги и другие вентиляционные проемы этих цехов или зданий должны быть открыты, если это предусмотрено условиями эксплуатации. Если проветривание помещения промышленного цеха или иного здания проводится с помощью внутренней системы вентиляции, то все его окна, форточки, фрамуги и двери должны быть закрыты.

6.7. Во время измерения шума в помещении должен находиться только персонал, проводящий измерение шума, а действие всех посторонних источников шума (радио, телевизор, бытовая техника и т.п.), должно быть прекращено.

В конфликтных ситуациях допускается присутствие заинтересованных сторон, но не более трех человек, которые обязаны строго соблюдать тишину и своими действиями не мешать проведению измерений.

6.8. При измерении низких уровней шума в помещении предпочтительна организация дистанционных измерений, когда микрофон располагается в заданной точке, а измерительная аппаратура - в соседнем помещении.

6.9. При измерении шума снаружи помещения на расстоянии 2 м от его наружных ограждающих конструкций (например, при измерениях на этажах зданий выше второго) окна, балконные двери, форточки и фрамуги помещения, около которого измеряется шум, должны быть закрыты, а измерительный микрофон должен быть укреплен на штанге, выдвинутой из открытого окна соседнего помещения, и расположен в указанной измерительной точке. При этом в данном соседнем помещении не должны действовать источники, создающие уровни шума выше фоновых значений.

6.10. Измерение шума на территории не следует проводить во время выпадения атмосферных осадков, при тумане, при температуре и влажности воздуха, не соответствующих паспортным данным на аппаратуру, и при скорости ветра более 5 м/с. При скорости ветра от 1 до 5 м/с следует применять ветрозащитное устройство, рекомендованное изготовителем шумомера. (в ред. Изменения N 1, утв. Протоколом Росстандарта от 26.12.2022 N 157-П)

Значения других метеорологических параметров (температура воздуха, влажность, атмосферное давление) во время измерений не должны выходить за рамки предельных значений, приведенных в технической документации на соответствующую измерительную аппаратуру.

6.11. При проведении измерения шума измерительная аппаратура не должна подвергаться воздействию вибрации, электрических и магнитных полей, радиоактивного излучения, превышающих пределы, установленные технической документацией на эту аппаратуру.

7. Проведение измерений

7.1. При проведении измерений уровней шума предпочтительно закреплять измерительный микрофон или шумомер с микрофоном на штативе, установленном в точке измерения.

При этом главная ось измерительного микрофона должна быть направлена в сторону основного источника шума.

В том случае, если невозможно определить основной источник шума, измерительный микрофон должен быть ориентирован своей лицевой частью (мембраной) вверх перпендикулярно поверхности территории на местности или пола в помещении.

7.2. Во время проведения измерения шума оператор, проводящий измерение, должен находиться от измерительного микрофона на расстоянии не менее 0,5 м для уменьшения нежелательных отражений звука. Между измерительным микрофоном и источником шума не должны находиться какие-либо лица или размещаться посторонние (особенно крупногабаритные) предметы.

7.3. В соответствии с руководством по эксплуатации шумомеров выполняются прямые измерения следующих величин:

- средние по времени (непрерывные эквивалентные) уровни звука с частотной коррекцией A;

- уровни звука с временной коррекцией S (медленно) и частотной коррекцией A;

- для импульсного шума - уровни звука с временной коррекцией I (импульс) и частотной коррекцией A;

- средние по времени (непрерывные эквивалентные) уровни звукового давления в октавных или 1/3-октавных полосах частот;

- уровни звукового воздействия, корректированные по частотной характеристике A шумомера (см. [1]). (в ред. Изменения N 1, утв. Протоколом Росстандарта от 26.12.2022 N 157-П)

Методика выполнения измерений этих величин должна быть включена в руководство по эксплуатации шумомеров и аттестована.

Примечание. Методики выполнения прямых измерений аттестуются при утверждении типа средства измерений.

7.4. При проведении измерения шума шумомерами за максимальный уровень звука , дБА, следует принимать наибольшее значение уровня за временной интервал измерения, а также за временной интервал наблюдения.

При проведении измерения шума измерительными системами, содержащими анализаторы статистического распределения, за максимальный уровень звука A следует принимать в соответствии с нормативными документами <1>, действующими на территории государства - участника Соглашения, принявшего настоящий стандарт, уровень звука , дБА, превышаемый в течение 1% длительности временного интервала измерения или временного интервала наблюдения. (в ред. Изменения N 1, утв. Протоколом Росстандарта от 26.12.2022 N 157-П)

<1> В Российской Федерации действует ГОСТ Р ИСО 1996-1-2019 "Акустика. Описание, измерение и оценка шума на местности. Часть 1. Основные величины и процедуры оценки". (в ред. Изменения N 1, утв. Протоколом Росстандарта от 26.12.2022 N 157-П)

7.5. Перед проведением измерения шума как на территориях жилой застройки, так и в помещениях жилых и общественных зданий необходимо: (в ред. Изменения N 1, утв. Протоколом Росстандарта от 26.12.2022 N 157-П)

- определить, шум от каких источников будет измеряться и оцениваться (общий шум или шум известного источника);

- убедиться в наличии или отсутствии акустических помех, а именно - шума, создаваемого единичными случайными источниками, оценка которых не входит в задачу выполняемых в данный момент измерений (в том числе лай собак, крик птиц, проезд отдельных автомашин и пр.);

- определить категорию шума (постоянный, непостоянный).

7.6. Для определения категории шума проводят предварительно в течение не менее 5 мин наблюдения за показаниями на цифровом дисплее шумомера или иного цифрового прямопоказывающего индикатора применяемого для измерений прибора. Если корректированные по A уровни звука, дБА, и уровни звукового давления в октавных (третьоктавных) полосах частот (если таковые необходимо оценить), дБ, при работающих, а затем при отключенных основных источниках шума или, если возможно, в паузах между интервалами действия основных источников шума изменяются в пределах, соответствующих 3.6, шум относится к постоянному, в противном случае - к непостоянному.

В спорных случаях (например, если не вполне ясно, относится ли шум к прерывистому или нет) предварительное наблюдение проводят в течение времени, необходимого для принятия однозначного решения, или в других точках, ближе к источнику шума.

7.7. Предварительные измерения проводят в тех же измерительных точках, в которых будут проводиться и основные измерения шума.

7.8. При проведении измерений уровней шума от известных источников измерения следует проводить сначала при работающих источниках, а затем в тех же точках при выключенных источниках (фоновый шум), если это возможно по условиям работы источников шума. (в ред. Изменения N 1, утв. Протоколом Росстандарта от 26.12.2022 N 157-П)

7.9. Если разность между измеренным уровнем шума от известных источников и уровнем фонового шума не превышает 10 дБ (дБА), то необходимо внести поправку в результаты измерения в соответствии с 8.3, 8.4.

7.10. Если разность уровней шума при работающих и при отключенных известных источниках шума менее 3 дБ (дБА), то необходимо перенести измерения на более тихий период суток (с меньшим уровнем фона). При отсутствии возможности в любой период суток обеспечить разность уровней шума при работающих и при отключенных известных источниках не менее 3 дБ (дБА) принимается решение о невозможности корректной оценки влияния данных источников шума. В этом случае допустимо проводить измерение и оценку только общих (суммарных) уровней шума в данной ситуации в данное время, о чем в протоколе измерений должна быть сделана соответствующая запись.

7.11. Время оценки шума T - временной интервал наблюдения - на территориях жилой застройки и в помещениях жилых и общественных зданий должно определяться исходя из цели измерений. (в ред. Изменения N 1, утв. Протоколом Росстандарта от 26.12.2022 N 157-П)

7.12. Непосредственные измерения шума должны проводиться в такие периоды, чтобы в процессе измерений были зарегистрированы все типичные шумовые ситуации в месте измерений, в том числе и наиболее шумные периоды действия источников шума. Для их выявления должно быть проведено предварительное изучение периодов действия основных источников шума и установлена категория излучаемого ими шума (постоянный или колеблющийся). (в ред. Изменения N 1, утв. Протоколом Росстандарта от 26.12.2022 N 157-П)

7.13. Если источник шума может иметь несколько режимов работы, то измерения проводят при работе на максимальном режиме, предусмотренном технической и эксплуатационной документацией на данный источник шума. (в ред. Изменения N 1, утв. Протоколом Росстандарта от 26.12.2022 N 157-П)

7.14. Измерения шума проводятся раздельно для дневного (с 7.00 до 23.00 ч) и для ночного (с 23.00 до 7.00 ч) периодов суток при условии действия основных источников шума в соответствующий период.

Если режим работы источника шума не меняется в течение суток, то допускается проведение измерений только в дневное время при условии распространения полученных результатов и на ночное время. При этом оценка шума должна проводиться раздельно как для дневного, так и для ночного периода суток в соответствии с допустимыми для них уровнями шума.

7.15. Продолжительность отдельного непосредственного измерения шума (длительность временного интервала измерения) должна приниматься в зависимости от характера шума.

Допускается выбирать в течение времени оценки (временного интервала наблюдения) T несколько временных интервалов измерения различной длительности , которые могут отделяться друг от друга паузами. При этом суммарная длительность временных интервалов измерения может быть меньше или равняться времени оценки шума T. Измерения в каждой точке измерения должны быть проведены не менее чем для трех временных интервалов.

7.16 При измерении постоянного шума минимальная продолжительность каждого измерения должна составлять не менее 3 мин. Измерения проводят на характеристике S шумомера (см. [1]) (в ред. Изменения N 1, утв. Протоколом Росстандарта от 26.12.2022 N 157-П)

7.17. При измерении колеблющегося шума длительность измерительного интервала в каждой измерительной точке должна составлять не менее 15 мин. В отдельных случаях, например когда необходимо измерить шум от инженерного оборудования в квартире, но при этом наблюдается высокий фон от движения транспорта перед домом, допускается выбирать несколько интервалов измерения длительностью менее 15 мин в периоды наименьшего фонового шума. Об этом должна быть сделана запись в протоколе измерений. Продолжительность измерений может быть уменьшена, если значение измеряемого параметра стабилизировалось и его дальнейшие изменения не превышают 0,5 дБ, а изменение характера измеряемого шума исключено. Измерения проводят на характеристике S шумомера (см. [1]) (в ред. Изменения N 1, утв. Протоколом Росстандарта от 26.12.2022 N 157-П)

7.18. При измерении прерывистого шума длительность измерительного интервала должна охватывать не менее трех следующих подряд друг за другом циклов характерного действия источника прерывистого шума.

7.19. При измерении импульсного шума длительность измерительного интервала должна охватывать не менее десяти следующих подряд друг за другом импульсов шума или фактическое количество импульсов шума при меньшем их числе.

7.20. Уровень звукового воздействия определяется с помощью интегрирующего шумомера (см. [1]) за время действия единичного события (отдельного источника кратковременного шума). При единичном звуковом событии (например, шум при проезде отдельного автомобиля или при проходе отдельного поезда и т.п.), когда шум источника действует в течение небольшого времени, а на протяжении большей части временного интервала наблюдения имеет место фоновый шум, измерение каждого звукового события проводят в течение времени, которое достаточно для того, чтобы охватить все основные составляющие шума. Например, для проходящего транспортного средства шум следует измерять до тех пор, пока уровень звука снизится по меньшей мере на 10 дБА относительно наибольшего мгновенного уровня звука, наблюдаемого в момент прохода транспортного средства непосредственно мимо точки измерения. (в ред. Изменения N 1, утв. Протоколом Росстандарта от 26.12.2022 N 157-П)

7.21. Во время проведения измерения шума должна быть зафиксирована вся необходимая информация об источнике (или источниках) шума, о месте, времени и условиях измерения, о применявшейся аппаратуре и о полученных результатах измерений, достаточная для составления протокола проведения измерения шума в соответствии с Приложением А.

7.22. По результатам измерений шума в течение временных интервалов измерения определяют характеристики шума, перечисленные в 4.3, и подвергают их дальнейшей обработке в соответствии с разделом 8.

8. Обработка результатов измерений

8.1. При проведении повторных измерений уровней звука, эквивалентных уровней звука, октавных или третьоктавных эквивалентных уровней звукового давления и других параметров шума в той же измерительной точке и при тех же условиях должны быть рассчитаны средние значения измеренных параметров в соответствии с Приложением Б. Минимальное число повторных измерений должно быть не менее 4 (n 4). (в ред. Изменения N 1, утв. Протоколом Росстандарта от 26.12.2022 N 157-П)

8.2. В результаты измерений параметров шума должны быть внесены коррекции, учитывающие различную степень раздражения, вызываемого тем или иным источником шума, характером его действия, временем суток. Если для одиночного источника шума существует несколько коррекций, то выбирают наибольшую. (в ред. Изменения N 1, утв. Протоколом Росстандарта от 26.12.2022 N 157-П)

Для источников непрерывного шума производят коррекцию эквивалентного уровня звука или эквивалентных уровней звукового давления. Для разовых звуковых событий производят коррекцию уровня звукового воздействия для каждого события.

8.3. Корректированный уровень шума определяют по формуле (в ред. Изменения N 1, утв. Протоколом Росстандарта от 26.12.2022 N 157-П)

, дБ (дБА), (1)

(в ред. Изменения N 1, утв. Протоколом Росстандарта от 26.12.2022 N 157-П)

где - коррекция на влияние фонового (остаточного) шума (если определение уровня фонового шума является невозможным, то поправка на влияние фонового шума не вносится),

- коррекция на влияние звукопоглощения помещения (при измерениях в помещениях),

- коррекция на происхождение шума,

- коррекция на импульсность или на тональность шума,

- коррекция на время суток.

8.4. Коррекцию следует определять по таблице 1, коррекцию - по 8.5, коррекции , , - по таблице 2.

Таблица 1

Коррекция на влияние остаточного (фонового шума)

Разность соответствующих параметров измеренного шума основных источников и фонового (остаточного) шума в месте проведения измерения L, дБ (дБА) Коррекция , дБ (дБА)
3 -3
4 - 5 -2
6 - 9 -1
10 и более 0

Если L < 3 дБ (дБА), то следует руководствоваться указаниями 7.10. Более точно коррекцию на влияние фонового шума, дБ (дБА), определяют по формуле (в ред. Изменения N 1, утв. Протоколом Росстандарта от 26.12.2022 N 157-П)

, (1а) (в ред. Изменения N 1, утв. Протоколом Росстандарта от 26.12.2022 N 157-П)

где , (в ред. Изменения N 1, утв. Протоколом Росстандарта от 26.12.2022 N 157-П)

- измеренный суммарный уровень шума при одновременном действии исследуемого источника шума и фонового шума окружающей среды, дБ (дБА); (в ред. Изменения N 1, утв. Протоколом Росстандарта от 26.12.2022 N 157-П)

- уровень фонового шума, дБ (дБА) (в ред. Изменения N 1, утв. Протоколом Росстандарта от 26.12.2022 N 157-П)

Таблица 2

Коррекции , ,

(в ред. Изменения N 1, утв. Протоколом Росстандарта от 26.12.2022 N 157-П)

Параметр, принимаемый во внимание Категория источника шума Коррекция, дБ (дБА)
Происхождение шума
(коррекция )
Автомобильный и водный транспорт 0
Воздушный транспорт 3
Железнодорожный транспорт <*> -3
Промышленные объекты 0
Характер источника шума
(коррекция )
С импульсным шумом (импульсный) <**> 5
С преобладанием тонов (тональный) <**> 5
Время суток
(коррекция )
День <**> 0
Ночь <**> 10
<*> Коррекцию для железнодорожного транспорта не применяют в случае длинных (свыше 15 вагонов) дизельных поездов или поездов, идущих со скоростью 250 км/ч и более.
<**> Если коррекции на импульсный или тональный характер источника шума, а также на время суток приведены в санитарных нормах допустимого шума или в других национальных нормативных документах, регламентирующих уровни допустимого шума в помещениях жилых и общественных зданий и на территориях жилой застройки, то коррекции на импульсность, тональность шума и время суток по настоящему стандарту не применяют. В спорных случаях необходимость применения коррекций на импульсность, тональность шума и время суток (день, ночь) при расчете по формуле (1) корректированного уровня шума определяет национальный компетентный орган, уполномоченный разъяснять положения нормативного документа, на соответствие которому выполняется оценка шума.

8.5. Коррекцию на влияние звукопоглощения помещения следует применять при обработке результатов измерений шума в необорудованных помещениях жилых и общественных зданий.

Коррекцию следует рассчитывать по формуле

, (2)

где - эквивалентная площадь звукопоглощения помещения, не оборудованного в соответствии со своим назначением, кв. м; может быть определена расчетом по формуле

, (3)

где V - объем помещения, куб. м;

- время реверберации в октавной или третьоктавной полосе частот, с (при внесении коррекции в уровни звука (эквивалентные уровни звука), корректированные по A, принимают в качестве время реверберации в октавной полосе 500 Гц);

= 10 кв. м - стандартное значение эквивалентной площади звукопоглощения помещения.

Необходимо соблюдать требования к измерению времени реверберации в помещении (см. [4]). (в ред. Изменения N 1, утв. Протоколом Росстандарта от 26.12.2022 N 157-П)

При отсутствии необходимых данных для расчета величины допускается принимать = -2 дБ (дБА).

8.6. При определении средних значений измеренных и затем откорректированных параметров шума следует определять расширенную неопределенность измерений в соответствии с разделом 9.

8.7. Усредненные результаты измерений, усредненные результаты измерений с внесенными коррекциями и расширенная неопределенность измерений должны быть внесены в протокол проведения измерений шума в соответствии с Приложением А (таблица А.1 или таблица А.2). (в ред. Изменения N 1, утв. Протоколом Росстандарта от 26.12.2022 N 157-П)

8.8. Результат измерения шума соответствует 1-й степени точности в том случае, если измерение проводилось с помощью шумомера 1-го класса с полосовыми фильтрами 1-го или 2-го класса.

8.9. Результат измерения шума соответствует 2-ой степени точности в случае, если измерение проводилось с помощью шумомера 2-го класса с полосовыми фильтрами 2-го класса.

8.10 С нормативными уровнями шума, установленными ГОСТ 12.1.036, санитарными нормами и правилами и другими действующими национальными нормативными документами, следует сопоставлять верхнюю границу одностороннего интервала охвата (см. раздел 9) оценочного уровня шума в той точке измерения внутри помещения или на территории, или в пределах зоны внутри них (при наличии зонирования при разных допустимых значениях уровней шума), в которой зарегистрированы наибольшие значения определяемых уровней звука (уровней звукового давления); при этом наибольшие значения эквивалентного и наибольшие значения максимального уровней звука могут наблюдаться в разных измерительных точках. (в ред. Изменения N 1, утв. Протоколом Росстандарта от 26.12.2022 N 157-П)

9 Метод расчета расширенной неопределенности измерения (в ред. Изменения N 1, утв. Протоколом Росстандарта от 26.12.2022 N 157-П)

9.1 В настоящем разделе рассматривается метод расчета расширенной неопределенности измерений эквивалентных уровней звука, дБА, и эквивалентных уровней звукового давления, дБ, в полосах частот.

Для максимальных уровней звука расширенную неопределенность не рассчитывают.

9.2 Для оценки шумового режима на территориях жилой застройки или в помещениях жилых и общественных зданий проводят серию измерений, в результате которых получают совокупность отдельных значений исследуемой величины (например, уровней звука, дБА; уровней звукового давления, дБ, и др.). На точность измерений влияет ряд случайных факторов, связанных с функционированием измерительной системы, методикой измерений, квалификацией оператора, состоянием окружающей среды и т.п., поэтому полученные значения исследуемой величины носят случайный характер. Так как истинное значение случайной величины установить невозможно, то согласно ГОСТ 34100.1 в качестве наилучшей оценки измеряемой величины следует использовать математическое ожидание измеряемой величины с указанием неопределенности измерений (расширенной неопределенности измерений).

9.3 Расширенная неопределенность измерений U - величина, определяющая границы интервала вокруг математического ожидания, в пределах которого находится с заданной вероятностью часть значений измеряемой величины.

9.4 Причинами неопределенности измерений могут быть:

- систематические погрешности - погрешности измерения, остающиеся постоянными или закономерно меняющимися при повторных измерениях одной и той же физической величины. Систематические погрешности подразделяются на инструментальные, методические и субъективные погрешности. Перед началом обработки данных измерений все известные систематические погрешности должны быть исключены внесением соответствующих поправок. При дальнейшей обработке результатов измерений учитывают только неисключенные систематические погрешности;

- случайные погрешности - погрешности измерения, изменяющиеся случайным образом (как по знаку, так и по значению) в серии повторных измерений одной и той же физической величины, проведенных с одинаковой тщательностью в одних и тех же условиях. Источники случайных погрешностей: приборная погрешность, погрешность отсчета, ошибки оператора, влияние окружающей среды и др.;

- грубые погрешности (промахи) - это случайная погрешность результата отдельного наблюдения, резко отличающегося от остальных результатов. Такие значения должны быть исключены при обработке результатов измерения. В сомнительных случаях следует выполнять более точный их анализ на основе критерия Граббса <1>.

<1> В Российской Федерации действует ГОСТ Р 8.736-2011 "Государственная система обеспечения единства измерений. Измерения прямые многократные. Методы обработки результатов измерений. Основные положения".

9.5 Для вычисления неопределенности результатов измерений необходимо выполнять многократные измерения исследуемой величины в одних и тех же условиях. Многократными считаются измерения, количество которых n 4.

При проведении расчетов неопределенности предполагают, что распределение случайных погрешностей не противоречит нормальному распределению, а неисключенные систематические погрешности, представленные заданными границами, имеют равномерное (прямоугольное) распределение.

При однократных измерениях случайная величина подчиняется равномерному распределению, когда появление того или иного значения случайной величины имеет одинаковую вероятность. За результат однократного измерения принимают значение величины, полученное при таком измерении.

9.6 Расширенную неопределенность измерений исследуемой величины - эквивалентного уровня звука, дБА, или эквивалентных уровней звукового давления, дБ, следует определять в соответствии с ГОСТ 34100.1, ГОСТ 34100.3 с дополнениями, указанными в 9.6.1 - 9.6.7.

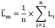
9.6.1 По откорректированным результатам нескольких аналогичных измерений эквивалентных уровней звука (эквивалентных уровней звукового давления), выполненных в одной и той же точке измерения, одним и тем же прибором и по одной и той же методике, вычисляют их среднее значение (), дБА (дБ) по формуле

, (4)

где - значение измеренного и откорректированного эквивалентного уровня звука (эквивалентного уровня звукового давления), полученное для i-го измерения в конкретной точке измерения, i = 1, 2, 3,..., n (n - общее количество измерений в данной точке).

9.6.2 Для полученной серии измерений в данной точке измерения оценивают составляющую неопределенности по типу A (, дБА (дБ)), связанную с источниками неопределенности случайного характера (погрешности методики измерений, влияние факторов окружающей среды и др.), по формуле

 
. (5)

9.6.3 Оценивают составляющую неопределенности по типу B (, дБА (дБ)), обусловленную источниками неопределенности, имеющими систематический характер (инструментальная погрешность измерительных приборов, погрешность калибровки и т.п.).

Эти данные обычно представляют в виде границ отклонений значений величин от их оценок.

9.6.4 Составляющую неопределенности по типу B рассчитывают по формуле

, (6)

где - инструментальная погрешность измерений уровня звука (уровней звукового давления), дБА (дБ), которую определяют в соответствии с инструкцией по эксплуатации шумомера или другого применявшегося для измерений прибора или на основе иных вышеуказанных сведений.

При отсутствии таких данных следует использовать значения стандартной неопределенности = 0,7 дБА (дБ) для шумомеров 1-го класса и = 1,5 дБА (дБ) для шумомеров 2-го класса, полученные на основании проводившихся ранее специальных экспериментальных исследований.

9.6.5 Вычисляют суммарную стандартную неопределенность по формуле

. (7)

При однократном измерении определяют только неопределенность по типу B.

9.6.6 В качестве расширенной неопределенности измерений U(N) исследуемой величины используют односторонний или двухсторонний интервал охвата усредненного уровня звука, дБА (усредненного уровня звукового давления, дБ), с уровнем доверия N, %, и коэффициентом охвата k.

Вычисление расширенной неопределенности измерений U(N), дБА (дБ), для уровня доверия N, %, выполняют по формуле

, (8)

где k - коэффициент охвата, значение которого зависит от распределения возможных значений измеряемой величины и уровня доверия N;

- суммарная стандартная неопределенность измерений по формуле (7), дБА (дБ).

9.6.7 Значение коэффициента охвата принимается в зависимости от цели измерений и от вида интервала (односторонний или двухсторонний).

При предположении нормального закона распределения значений измеряемой величины коэффициент охвата для одностороннего интервала составляет k = 1,3 при уровне доверия N = 90%; k = 1,65 при N = 95%. Для двухстороннего интервала коэффициент охвата составляет k = 1,65 при N = 90%; k = 2 при N = 95%; k = 3 при N = 99%.

Для равномерного закона распределения принимают k = 1,65 при N = 95% и k = 1,71 при N = 99%.

При неизвестном распределении принимают коэффициент охвата k = 2.

9.6.8 Расширенный интервал охвата усредненного эквивалентного уровня звука, дБА (усредненного эквивалентного уровня звукового давления, дБ), при уровне доверия N, %, и коэффициенте охвата k составляет

. (9)

9.7 Так как шумовой режим в помещении или на территории жилой застройки должен соответствовать санитарным нормам и в периоды наиболее интенсивного шума, то при оценке соответствия исследуемого шума санитарным нормам и правилам, гигиеническим нормативам следует учитывать верхнюю границу интервала охвата, дБА (дБ), которая с вероятностью N, %, покрывает истинное среднее значение измеряемой величины и составляет

. (10)

В этом случае для расчета расширенной неопределенности U(N) по формуле (8) следует применять коэффициент охвата k для одностороннего интервала. При уровне доверия N = 95% коэффициент охвата составляет k = 1,65.

Например, для проверки, соответствует ли эквивалентный уровень звука , рассчитанный по формуле (4), санитарным нормам и правилам, гигиеническим нормативам, следует принять односторонний интервал охвата с уровнем доверия N = 95% и коэффициентом охвата k = 1,65.

Если , то санитарная норма шума соблюдена с вероятностью N = 95%

Приложение А
(рекомендуемое)

ПРОТОКОЛ ПРОВЕДЕНИЯ ИЗМЕРЕНИЯ ШУМА

(в ред. Изменения N 1, утв. Протоколом Росстандарта от 26.12.2022 N 157-П)

1. Наименование организации, проводившей измерения, _______________________________________________________________________________________________

2. Дата и время проведения измерения _____________________________________________________________________________________________________________

3. Адрес места проведения измерения ______________________________________________________________________________________________________________

4. Цель проведения измерения ____________________________________________________________________________________________________________________

5. Описание места проведения измерений на территории (ситуационный план территории с указанием расположения зданий, транспортных дорог, источников шума, точек измерения и другой подобной информации) ______________________________________________________________________________________________________________________ (в ред. Изменения N 1, утв. Протоколом Росстандарта от 26.12.2022 N 157-П)

6 При измерении внутри помещения описание помещения (его назначение, этаж, размеры, объем, отделка поверхностей, наличие окон, дверей, оборудования и т.п.) ___________________________ (в ред. Изменения N 1, утв. Протоколом Росстандарта от 26.12.2022 N 157-П)

7. Основные источники шума, описание режима их работы и характер создаваемого ими шума на территории или в помещении ___________________________________

_______________________________________________________________________________________________________________________________________________

8 Особые условия, влияющие на результаты измерений (в том числе данные об атмосферном давлении, о температуре, относительной влажности воздуха и скорости ветра при измерении на территории) ______________________ (в ред. Изменения N 1, утв. Протоколом Росстандарта от 26.12.2022 N 157-П)

9. Средства измерений (наименование, изготовитель, модель, заводской номер, сведения о поверке) ________________________________________________________

10. Метод измерений, ссылка на нормативный документ _______________________________________________________________________________________________

11. Измеренные и откорректированные значения уровней звука, эквивалентных и максимальных уровней звука, октавных/третьоктавных (эквивалентных октавных/третьоктавных) уровней звукового давления, корректированных уровней звукового воздействия:

для постоянных шумов заполняется таблица А.1;

для непостоянных шумов заполняется таблица А.2.

12. Пункт исключен. (в ред. Изменения N 1, утв. Протоколом Росстандарта от 26.12.2022 N 157-П)

13. Заключение (оценка результатов измерений) ______________________________________________________________________________________________________

14. Приложения (в приложениях могут быть приведены любые материалы, относящиеся к предмету исследований, необходимость которых определяется исполнителем или заказчиком).

15. Должности, фамилии, инициалы и личные подписи лиц, проводивших измерения,

_______________________________________________________________________________________________________________________________________________

Протокол должен быть подписан руководителем организации (испытательной лаборатории), выполнившей измерения.

Таблица А.1

Постоянный шум

Измеренные, откорректированные и оценочные октавные уровни звукового давления и уровни звука

Место проведения измерения ___________________________________________________________________________

Дата и время проведения измерения _____________________________________________________________________

Величина Среднегеометрические частоты октавных полос, Гц Уровень звука, дБА
31,5 63 125 250 500 1000 2000 4000 8000
Измеренные уровни звукового давления, дБ, в октавных полосах и измеренные уровни звука, дБА
Средние по измерениям уровни звукового давления, дБ, в октавных полосах и средний по измерениям уровень звука, дБА
(в ред. Изменения N 1, утв. Протоколом Росстандарта от 26.12.2022 N 157-П)
Коррекция , дБ (дБА)
Коррекция , дБ (дБА)
Коррекция , дБ (дБА)
Коррекция , дБ (дБА)
Коррекция , дБ (дБА)
Откорректированные средние уровни звукового давления, дБ, в октавных полосах и откорректированный средний уровень звука, дБА
Расширенная неопределенность измерений, дБ (дБА)
Оценочные уровни звукового давления, дБ, в октавных полосах и оценочный уровень звука, дБА
Примечания
1. Коррекции принимаются согласно 8.4 и 8.5.
2. В случае проведения исследований уровней шума в третьоктавных полосах частот составляют аналогичную таблицу, в которой:
- заменяют в наименовании слово: "октавные" на "третьоктавные";
- по всей таблице заменяют слово: "октавных" на "третьоктавных" (5 раз);
- вместо девяти граф, соответствующих среднегеометрическим частотам октавных полос от 31,5 до 8000 Гц, приводят двадцать семь граф, соответствующих среднегеометрическим частотам третьоктавных полос от 25 до 10000 Гц
(в ред. Изменения N 1, утв. Протоколом Росстандарта от 26.12.2022 N 157-П)

Таблица А.2

Непостоянный шум

(в ред. Изменения N 1, утв. Протоколом Росстандарта от 26.12.2022 N 157-П)

Место проведения измерения _____________________________________________________________________

Дата и время проведения измерения _______________________________________________________________

Величины Номер измерения уровней шума в измерительных точках Эквивалентный уровень звука, дБА Максимальный уровень звука, дБА
Измерительная точка T.1
Измеренные уровни звука (повторные измерения в данной измерительной точке) 1
2
3
i
  Средний по измерениям эквивалентный уровень звука в измерительной точке T.1 Наибольший из измеренных максимальных уровней звука в измерительной точке T.1
Сумма коррекций
Откорректированный экв./макс. уровень звука
Расширенная неопределенность измерений -
Оценочный уровень звука в измерительной точке T.1
Измерительная точка T.2
далее пункты, аналогичные вышеприведенным пунктам таблицы для измерительной точки T.1
Измерительная точка T.i
далее пункты, аналогичные вышеприведенным пунктам таблицы для измерительной точки T.1
Примечание - Коррекции принимают согласно 8.4 и 8.5.

Приложение Б
(справочное)

ОПРЕДЕЛЕНИЕ СРЕДНЕГО ЗНАЧЕНИЯ УРОВНЕЙ ЗВУКА (ОКТАВНЫХ/ТРЕТЬОКТАВНЫХ УРОВНЕЙ ЗВУКОВОГО ДАВЛЕНИЯ)

(в ред. Изменения N 1, утв. Протоколом Росстандарта от 26.12.2022 N 157-П)

Б.1. Среднее значение уровней звука (октавных/третьоктавных уровней звукового давления) вычисляют по формуле:

, (Б.1)

где - i-й из измеренных в данной точке октавных/третьоктавных уровней звукового давления, дБ, или уровней звука, дБА;

i = 1, 2, 3,..., n (n - общее количество измерений в данной точке).

Если разность между наибольшим и наименьшим измеренными уровнями звука не превышает 7 дБА, то среднее значение уровней , дБА, может быть найдено по формуле (в ред. Изменения N 1, утв. Протоколом Росстандарта от 26.12.2022 N 157-П)

, (Б.2)

(в ред. Изменения N 1, утв. Протоколом Росстандарта от 26.12.2022 N 157-П)

где и n - те же, что и в формуле (Б.1) (в ред. Изменения N 1, утв. Протоколом Росстандарта от 26.12.2022 N 157-П)

Б.2. Пункт исключен. (в ред. Изменения N 1, утв. Протоколом Росстандарта от 26.12.2022 N 157-П)

Б.2.1. Пункт исключен. (в ред. Изменения N 1, утв. Протоколом Росстандарта от 26.12.2022 N 157-П)

Б.2.2. Пункт исключен. (в ред. Изменения N 1, утв. Протоколом Росстандарта от 26.12.2022 N 157-П)

Б.2.3. Пункт исключен. (в ред. Изменения N 1, утв. Протоколом Росстандарта от 26.12.2022 N 157-П)

Таблица Б.1. - Исключена.

Б.2.4. Далее находят разность между полученной суммой и третьим уровнем и повторяют действия по Б.2.2 и Б.2.3 до тех пор, пока не будут использованы все уровни.

Если разность между наибольшим и наименьшим измеренными уровнями звука не превышает 7 дБ (дБА), то среднее значение уровней может быть найдено по формуле

. (Б.2)

Приложение В
(справочное)

ПРИМЕР РАСЧЕТА РАСШИРЕННОЙ НЕОПРЕДЕЛЕННОСТИ ИЗМЕРЕНИЙ

(в ред. Изменения N 1, утв. Протоколом Росстандарта от 26.12.2022 N 157-П)

На территории жилой застройки была выбрана точка измерения, в которой было проведено восемь серий измерений уровней шума с помощью шумомера 1-го класса с инструментальной погрешностью дБА. Измерения проводились по одной и той методике, одним и тем же оператором. Результаты измерений эквивалентных уровней звука за интервалы измерения с внесенными в них коррекциями по 8.4 - 8.5 приведены в таблице В.1 (графа 2). По этим результатам по формуле (Б.1) был определен средний эквивалентный уровень звука , который составил 71 дБА. (в ред. Изменения N 1, утв. Протоколом Росстандарта от 26.12.2022 N 157-П)

Таблица В.1

Измеренные и расчетные величины для расчета расширенной неопределенности измерений

Номер замера шума в каждой точке измерения Измеренный и откорректированный эквивалентный уровень звука за интервал измерения, дБА Расчетная величина, дБА
Средний эквивалентный уровень звука по результатам измерений Неопределенность измерений по типу A Неопределенность измерений по типу B Расширенная неопределенность измерений для уровня доверия 95% U(95%) Верхняя граница интервала охвата
1 2 3 4 5 6 7
(в ред. Изменения N 1, утв. Протоколом Росстандарта от 26.12.2022 N 157-П)
1 68 71,5 0,756 0,404 1,7 71,5 + 1,7 = 73,2
2 70
3 69
4 71
5 73
6 70
7 74
8 73
(в ред. Изменения N 1, утв. Протоколом Росстандарта от 26.12.2022 N 157-П)

Далее по формулам (5) и (6) были рассчитаны неопределенности измерения типа A и типа B, а на их основе по формуле (8) была рассчитана расширенная неопределенность измерений для уровня доверия 95% (соответствующий коэффициент охвата k = 2). Согласно таблице В.1 (графа 6) расширенная неопределенность измерения составляет 1,7 дБА. При этом верхняя граница интервала охвата по формуле (10) равна (71,5 + 1,7 = 73,2 дБА). Это означает, что с вероятностью 95% эквивалентные уровни звука в данной точке измерения не будут превышать 73,2 дБА. (в ред. Изменения N 1, утв. Протоколом Росстандарта от 26.12.2022 N 157-П)

Расчет 95%-ного доверительного интервала с учетом квантилей распределения Стьюдента дает значение (71,5 +/- 1,4) дБА, т.е. несколько более узкий интервал (в ред. Изменения N 1, утв. Протоколом Росстандарта от 26.12.2022 N 157-П)

Расчет 95%-го доверительного интервала по обычной методике дает значение (71 +/- 1,4) дБА, т.е. несколько более узкий интервал.

БИБЛИОГРАФИЯ (в ред. Изменения N 1, утв. Протоколом Росстандарта от 26.12.2022 N 157-П)

[1] IEC 61672-1:2013 Electroacoustics - Sound level meters - Part 1: Specifications (Электроакустика. Шумомеры. Часть 1. Технические требования)
[2] IEC 61260-1:2014 Electroacoustics - Octave-band and fractional-octave-band filters - Part 1: Specifications (Электроакустика. Фильтры полосовые шириной, равной октаве или части октавы. Часть 1. Технические условия)
[3] IEC 60942:2017 Electroacoustics - Sound calibrators (Электроакустика. Калибраторы акустические)
[4] ISO 3382-2:2008 Acoustics - Measurement of room acoustic parameters - Part 2: Reverberation time in ordinary rooms (Акустика. Измерение акустических параметров в помещениях. Часть 2. Время реверберации в обычных помещениях)".