3.1.1. Профилактика инфекционных болезней. Кишечные инфекции. Профилактика холеры. Организационные мероприятия. Оценка противоэпидемической готовности медицинских учреждений к проведению мероприятий на случай возникновения очага холеры. Методические указания. МУ 3.1.1.2232-07

(утв. Роспотребнадзором 06.08.2007)
Редакция от 05.08.2022 — Действует с 05.08.2022
Показать изменения

УТВЕРЖДАЮ
Руководитель Федеральной
службы по надзору в сфере
защиты прав потребителей
и благополучия человека,
Главный государственный
санитарный врач
Российской Федерации
Г.Г.ОНИЩЕНКО
6 августа 2007 года

Дата введения -
1 октября 2007 года

3.1.1. ПРОФИЛАКТИКА ИНФЕКЦИОННЫХ БОЛЕЗНЕЙ. КИШЕЧНЫЕ ИНФЕКЦИИ

ПРОФИЛАКТИКА ХОЛЕРЫ. ОРГАНИЗАЦИОННЫЕ МЕРОПРИЯТИЯ. ОЦЕНКА ПРОТИВОЭПИДЕМИЧЕСКОЙ ГОТОВНОСТИ МЕДИЦИНСКИХ УЧРЕЖДЕНИЙ К ПРОВЕДЕНИЮ МЕРОПРИЯТИЙ НА СЛУЧАЙ ВОЗНИКНОВЕНИЯ ОЧАГА ХОЛЕРЫ

(в ред. Изменения N 1, утв. Роспотребнадзором от 05.08.2022)

МЕТОДИЧЕСКИЕ УКАЗАНИЯ
МУ 3.1.1.2232-07

1. Разработаны: Федеральной службой по надзору в сфере защиты прав потребителей и благополучия человека (Ю.М. Федоров, Н.Я. Жилина); федеральным государственным учреждением здравоохранения "Ростовский-на-Дону научно-исследовательский противочумный институт" Роспотребнадзора (Ю.М. Ломов, Э.А. Москвитина, Л.С. Подосинникова, Л.Г. Воронежская, И.Я. Черепахина, Л.М. Смоликова, В.И. Прометный); Федеральным государственным учреждением здравоохранения "Иркутский научно-исследовательский противочумный институт" Роспотребнадзора (А.С. Марамович, А.Ф. Даниленко, Г.А. Воронова, С.А. Косилко, В.И. Погорелов); федеральным государственным учреждением здравоохранения "Российский научно-исследовательский противочумный институт "Микроб" Роспотребнадзора (А.В. Топорков, А.И. Кологоров); федеральным государственным учреждением здравоохранения "Противочумный центр" Роспотребнадзора (В.Е. Бессмертный, С.М. Иванова); федеральным государственным учреждением науки "Центральный научно-исследовательский институт эпидемиологии" Роспотребнадзора (В.В. Малеев).

2. Рекомендованы к утверждению Комиссией по государственному санитарно-эпидемиологическому нормированию Федеральной службы по надзору в сфере защиты прав потребителей и благополучия человека (протокол N 2 от 21 июня 2007 г.).

3. Утверждены Руководителем Федеральной службы по надзору в сфере защиты прав потребителей и благополучия человека, Главным государственным санитарным врачом Российской Федерации Г.Г. Онищенко 6 августа 2007 г. и введены в действие с 1 октября 2007 г.

4. Введены взамен МУ 3.1.1096-02 "Профилактика холеры. Организационные мероприятия. Оценка противоэпидемической готовности медицинских учреждений к проведению мероприятий на случай возникновения очага холеры".

1. ОБЛАСТЬ ПРИМЕНЕНИЯ

1.1. Методические указания разработаны для внедрения и применения санитарных правил и норм СанПиН 3.3686-21 "Санитарно-эпидемиологические требования по профилактике инфекционных болезней" <1> в части, касающейся организации и проведения профилактических противохолерных мероприятий на случай возникновения очага. (в ред. Изменения N 1, утв. Роспотребнадзором 05.08.2022)

<1> Утверждены постановлением Главного государственного санитарного врача Российской Федерации от 28.01.2021 N 4 (зарегистрировано Минюстом России 15.02.2021, регистрационный N 62500), с изменениями, внесенными постановлениями Главного государственного санитарного врача Российской Федерации от 11.02.2022 N 5 (зарегистрировано Минюстом России 01.03.2022, регистрационный N 67587), от 25.05.2022 N 16 (зарегистрировано Минюстом России 21.06.2022, регистрационный N 68934). (в ред. Изменения N 1, утв. Роспотребнадзором от 05.08.2022)

1.2. Методические указания предназначены для специалистов органов и учреждений Федеральной службы по надзору в сфере защиты прав потребителей и благополучия человека, лечебно-профилактических учреждений, участвующих в организации и проведении противохолерных мероприятий, в обеспечении и оценке противоэпидемической готовности учреждений на территории Российской Федерации.

2. НОРМАТИВНЫЕ ССЫЛКИ

2.1. Федеральный закон от 30 марта 1999 г. N 52-ФЗ "О санитарно-эпидемиологическом благополучии населения".

2.2. "Положение о Федеральной службе по надзору в сфере защиты прав потребителей и благополучия человека", утвержденное Постановлением Правительства Российской Федерации от 30.06.2004 N 322.

2.3. СанПиН 3.3686-21 "Санитарно-эпидемиологические требования по профилактике инфекционных болезней". (в ред. Изменения N 1, утв. Роспотребнадзором от 05.08.2022)

2.4. Постановление Главного государственного санитарного врача Российской Федерации от 04.02.2016 N 11 "О представлении внеочередных донесений о чрезвычайных ситуациях санитарно-эпидемиологического характера". (в ред. Изменения N 1, утв. Роспотребнадзором от 05.08.2022)

2.5. Методические указания "Организация, обеспечение и оценка противоэпидемической готовности медицинских учреждений к проведению мероприятий в случае завоза или возникновения особо опасных инфекций, контагиозных вирусных геморрагических лихорадок, инфекционных болезней неясной этиологии, представляющих опасность для населения Российской Федерации и международного сообщения" МУ 3.4.1030-01.

2.6. МУК 4.2.3745-22 "Методы лабораторной диагностики холеры", утвержденные руководителем Федеральной службы по надзору в сфере защиты прав потребителей и благополучия человека, Главным государственным санитарным врачом Российской Федерации 12.05.2022. (в ред. Изменения N 1, утв. Роспотребнадзором от 05.08.2022)

2.7. СП 2.1.3678-20 "Санитарно-эпидемиологические требования к эксплуатации помещений, зданий, сооружений, оборудования и транспорта, а также условиям деятельности хозяйствующих субъектов, осуществляющих продажу товаров, выполнение работ или оказание услуг". (в ред. Изменения N 1, утв. Роспотребнадзором от 05.08.2022)

2.8. СанПиН 2.1.3684-21 "Санитарно-эпидемиологические требования к содержанию территорий городских и сельских поселений, к водным объектам, питьевой воде и питьевому водоснабжению, атмосферному воздуху, почвам, жилым помещениям, эксплуатации производственных, общественных помещений, организации и проведению санитарно-противоэпидемических (профилактических) мероприятий". (в ред. Изменения N 1, утв. Роспотребнадзором от 05.08.2022)

2.9. СанПиН 1.2.3685-21 "Гигиенические нормативы и требования к обеспечению безопасности и (или) безвредности для человека факторов среды обитания". (в ред. Изменения N 1, утв. Роспотребнадзором от 05.08.2022)

2.10-2.12. Пункты утратили силу. (в ред. Изменения N 1, утв. Роспотребнадзором от 05.08.2022)

2.13. Методические указания "Нормы времени на выполнение основных видов микробиологических исследований", М., Федеральный центр госсанэпиднадзора Минздрава России, 1999, 15 с.

3. ОБЩИЕ ПОЛОЖЕНИЯ

3.1. Организационные мероприятия по профилактике холеры включают комплекс мероприятий на случай выявления больного (трупа) с подозрением на холеру и предупреждения возникновения очага этой инфекции.

3.2. Организация, обеспечение и оценка противоэпидемической готовности медицинских учреждений к проведению мероприятий на случай возникновения очага холеры являются составной частью организационных профилактических противохолерных мероприятий.

3.3. Проведение профилактических противохолерных мероприятий регламентируется СанПиН 3.3686-21 "Санитарно-эпидемиологические требования по профилактике инфекционных болезней" и настоящими Методическими указаниями. (в ред. Изменения N 1, утв. Роспотребнадзором от 05.08.2022)

4. ОРГАНИЗАЦИОННЫЕ ПРОФИЛАКТИЧЕСКИЕ ПРОТИВОХОЛЕРНЫЕ МЕРОПРИЯТИЯ

4.1. Составление комплексных планов противохолерных мероприятий

Управления (отделы) Федеральной службы по надзору в сфере защиты прав потребителей и благополучия человека (Роспотребнадзора) по субъектам (городам и районам), ФБУЗ "Центры гигиены и эпидемиологии" в субъектах Российской Федерации, городах и районах с участием органов исполнительной власти субъекта Российской Федерации в сфере охраны здоровья, противочумных учреждений и других заинтересованных органов и учреждений (Минобороны России, МВД России и др.) разрабатывают комплексные планы противохолерных мероприятий с учетом типа административных территорий (субъекта) по эпидемическим проявлениям холеры сроком на пять лет, ежегодно их корректируют. План утверждается органом исполнительной власти субъекта Российской Федерации <2> в составе комплексного плана по санитарной охране территории Федерации. Схема комплексного плана противохолерных мероприятий приведена в Прилож. 1. (в ред. Изменения N 1, утв. Роспотребнадзором от 05.08.2022)

<2> Пункты 578, 1911, 1914 СанПиН 3.3686-21 "Санитарно-эпидемиологические требования по профилактике инфекционных болезней". (в ред. Изменения N 1, утв. Роспотребнадзором от 05.08.2022)

В плане предусмотрена следующая структура с указанием наименования мероприятий, сроков исполнения и ответственных исполнителей по разделам:

1) организационные мероприятия;

2) подготовка кадров;

3) профилактические мероприятия;

4) противоэпидемические мероприятия;

5) мероприятия после ликвидации очага холеры.

4.2. Формирование медицинского штаба

Формирование медицинского штаба предусматривают на случай выявления больного (подозрительного на заболевание) холерой, при выделении из поверхностных водоемов и других объектов окружающей среды холерных вибрионов О1 или О139 серогрупп с учетом эпидемической обстановки, угрозе распространения инфекции.

Санитарно-противоэпидемической комиссией (СПК) назначается начальник медицинского штаба - руководитель Управления (отдела) Роспотребнадзора в субъекте (муниципальном образовании). Начальник медицинского штаба координирует и контролирует выполнение решений штаба.

В состав медицинского штаба входят специалисты:

1) Управлений (отделов) Роспотребнадзора в субъекте (муниципальном образовании), ФБУЗ "Центр гигиены и эпидемиологии" в субъекте (филиалов ФБУЗ "Центр гигиены и эпидемиологии" в муниципальных образованиях) для осуществления: (в ред. Изменения N 1, утв. Роспотребнадзором от 05.08.2022)

- сбора и учета информации о профилактических и противоэпидемических противохолерных мероприятиях;

- эпидемиологического обследования очагов холеры;

- текущей и заключительной дезинфекции в очагах (по месту жительства, работы и др.), камерной дезинфекции, а также по эпидпоказаниям (систем водоснабжения, водоотведения, поверхностных водоемов и других объектов);

- организации, проведения и контроля бактериологического обследования больных холерой, вибриононосителей и контактировавших с ними, а также населения (по эпидпоказаниям) и исследования проб из объектов окружающей среды;

- контроля выполнения режима биологической безопасности работы в холерном и провизорном госпиталях, изоляторе, бактериологических лабораториях, патологоанатомических отделениях (моргах) и других медицинских учреждениях, независимо от их ведомственной принадлежности;

- оперативного эпидемиологического анализа;

- санитарно-эпидемиологического надзора и контроля состояния среды обитания и условий проживания населения;

- санитарного надзора;

- санитарно-эпидемиологического надзора и контроля за питанием населения, предприятиями общественного питания, торговли пищевыми продуктами и другими объектами;

- санитарно-эпидемиологического надзора и контроля за детскими и подростковыми учреждениями;

- санитарно-эпидемиологического надзора и контроля за промышленными и другими объектами;

2) органов управления и учреждений здравоохранения для организации и проведения противохолерных мероприятий по обеспечению работы:

- по сбору и учету информации о противохолерных мероприятиях в лечебно-профилактических учреждениях;

- холерного госпиталя с бактериологической лабораторией, провизорного госпиталя и изолятора для госпитализации, клинико-лабораторного, бактериологического обследования, лечения больных холерой и экстренной профилактики вибриононосителей и контактировавших с ними;

- по госпитализации больных холерой, вибриононосителей и контактировавших с ними;

- по активному выявлению больных холерой и находившихся с ними в одинаковых условиях по риску инфицирования путем организации подворных обходов;

- по медицинскому наблюдению за контактировавшими с больными холерой или вибриононосителями, оставленными на дому;

- по организации и проведению сплошного или выборочного бактериологического обследования на холеру населения;

- патологоанатомических отделений (моргов) - по вскрытию умерших, причиной смерти которых явились кишечные инфекции неустановленной этиологии, отбору проб и доставке в бактериологическую лабораторию для исследований на холеру;

- по текущей и заключительной дезинфекции в холерном госпитале, провизорном госпитале, изоляторе и других объектах;

3) противочумных учреждений, консультанты-инфекционисты, эпидемиологи, бактериологи и другие.

4.3. Формирование госпитальной базы - план перепрофилирования медицинских организаций (в ред. Изменения N 1, утв. Роспотребнадзором от 05.08.2022)

4.3.1. Органами исполнительной власти субъектов проведение мероприятий, направленных на предупреждение заноса и распространения холеры на территории Российской Федерации, осуществляется в соответствии с утвержденными комплексными планами по санитарной охране территории (или раздела этого плана по противохолерным мероприятиям), в состав которых также включается план перепрофилирования инфекционных и соматических стационаров (отделений) с учетом их поэтапного задействования в зависимости от эпидемической ситуации по рекомендуемой форме, указанной в приложении 11 к настоящим методическим указаниям. (в ред. Изменения N 1, утв. Роспотребнадзором от 05.08.2022)

4.3.2. План перепрофилирования медицинских организаций, составляющих госпитальную базу очага холеры, согласовывается с Управлением Роспотребнадзора по субъекту Российской Федерации. (в ред. Изменения N 1, утв. Роспотребнадзором от 05.08.2022)

4.3.3. Выбор и набор помещений специальных медицинских организаций (инфекционного госпиталя для больных холерой, провизорного госпиталя, изолятора) осуществляют в соответствии с СанПиН 3.3686-21 "Санитарно-эпидемиологические требования по профилактике инфекционных болезней". (в ред. Изменения N 1, утв. Роспотребнадзором от 05.08.2022)

5. МЕРОПРИЯТИЯ ПО ОРГАНИЗАЦИИ И ОБЕСПЕЧЕНИЮ ПРОТИВОЭПИДЕМИЧЕСКОЙ ГОТОВНОСТИ УПРАВЛЕНИЙ (ОТДЕЛОВ) РОСПОТРЕБНАДЗОРА, ФБУЗ "ЦЕНТРЫ ГИГИЕНЫ И ЭПИДЕМИОЛОГИИ" И ЛЕЧЕБНО-ПРОФИЛАКТИЧЕСКИХ УЧРЕЖДЕНИЙ НА СЛУЧАЙ ВЫЯВЛЕНИЯ БОЛЬНОГО (ТРУПА) С ПОДОЗРЕНИЕМ НА ХОЛЕРУ (в ред. Изменения N 1, утв. Роспотребнадзором от 05.08.2022)

5.1. Составление оперативных планов проведения первичных противоэпидемических мероприятий на случай выявления больного (трупа)

В плане предусматривают:

- порядок передачи информации (в рабочее и нерабочее время) о выявлении подозрительного больного;

- схему оповещения и сбора специалистов (в рабочее и нерабочее время);

- наличие комплектов индивидуальной защиты (противочумные костюмы или другие регламентированные средства индивидуальной защиты);

- наличие и укомплектование укладок для забора материала от больного (с подозрением на заболевание) холерой и проб из объектов окружающей среды (Прилож. 2, 3);

- учет имеющихся дезинфекционных камер, определение степени их пригодности к эксплуатации и содержание в постоянной готовности;

- определение функциональных обязанностей и действий каждого специалиста при выявлении больного (трупа) с подозрением на холеру.

5.2. Организация и обеспечение противоэпидемической готовности санитарно-карантинных отделов (пунктов)

Противоэпидемическая готовность санитарно-карантинных отделов (СКО) на водном транспорте, санитарно-карантинных пунктов (СКП) на воздушном и автодорожном, пограничных санитарно-карантинных пунктов (ПСКП) на железнодорожном транспорте проводится согласно оперативному плану первичных противоэпидемических мероприятий, который утверждается руководителем Управления (отдела) Роспотребнадзора и содержит следующие основные мероприятия:

- порядок передачи информации (в рабочее и нерабочее время) о выявлении больного с подозрением на холеру;

- составление и корректировка оперативных планов первичных санитарно-противоэпидемических мероприятий на случай выявления больного на транспортном средстве, в здании аэровокзала, морского (речного) вокзала, железнодорожной или автодорожной станции;

- определение приказом руководителя транспортного предприятия места санитарной площадки (причала, тупика, стоянки), мероприятий диспетчерских служб при выявлении больного с подозрением на холеру на транспортном средстве;

- согласование порядка обеспечения вооруженной охраны транспортного средства, багажа пассажиров;

- согласование порядка прохождения пограничного и таможенного контроля больного с подозрением на холеру и пассажиров, контактных с больным, их багажа;

- определение и подготовка необходимого набора помещений:

для временной изоляции больного с подозрением на холеру;

для хранения багажа больного, пассажиров, контактировавших с больным, подозрительным на заболевание холерой;

- выделение транспорта для эвакуации больного и контактировавших с ним из транспортного средства в помещение для временной изоляции;

- укомплектование укладки для забора материала (Прилож. 2, 3);

- наличие необходимого запаса дезинфицирующих средств;

- взаимодействие с лечебно-профилактическими учреждениями специального назначения, со службами транспортного предприятия и противочумными учреждениями.

5.3. Мероприятия по обеспечению эпидемиологического надзора за холерой

Мероприятия включают:

- сбор и анализ заболеваемости холерой за рубежом и на территории России;

- ретроспективный эпидемиологический анализ заболеваемости холерой и выявления вибриононосителей, выделения холерных вибрионов О1/О139 из объектов окружающей среды на обслуживаемой территории;

- определение контингентов, подлежащих обязательному бактериологическому обследованию на холеру в соответствии с СанПиН 3.3686-21 "Санитарно-эпидемиологические требования по профилактике инфекционных болезней", осуществление контроля за обследованием людей на холеру; (в ред. Изменения N 1, утв. Роспотребнадзором от 05.08.2022)

- определение стационарных точек отбора проб воды на холеру из поверхностных водоемов и других объектов окружающей среды и осуществление контроля за исследованием на холеру;

- проведение мероприятий при выделении холерных вибрионов О1/О139 серогрупп из объектов окружающей среды.

На стационарные точки отбора проб воды из поверхностных водоемов специалистами ФБУЗ "Центры гигиены и эпидемиологии" составляются паспорта, которые согласовываются и контролируются Управлениями (отделами) Роспотребнадзора (Прилож. 4). (в ред. Изменения N 1, утв. Роспотребнадзором от 05.08.2022)

Лабораторные исследования на холеру проводят бактериологические лаборатории ФБУЗ "Центры гигиены и эпидемиологии", лечебно-профилактических и противочумных учреждений, имеющих лицензию на деятельность с возбудителями II - III групп патогенности с обеспечением режима безопасности работы в соответствии с СанПиН 3.3686-21 "Санитарно-эпидемиологические требования по профилактике инфекционных болезней" (в ред. Изменения N 1, утв. Роспотребнадзором от 05.08.2022)

На лаборатории для проведения исследований на холеру составляется паспорт (Прилож. 5).

6. ФОРМИРОВАНИЕ ЛАБОРАТОРНОЙ БАЗЫ

6.1. Формирование лабораторной базы и порядок ее реализации в очаге холеры

При выборе лаборатории руководствуются обязательными требованиями, предусматривающими размещение ее в отдельном здании или в изолированных помещениях (в обоих случаях с двумя входами) с наличием водопровода и канализации, силовой электроэнергии, телефонной связи. Планировка здания должна позволять развертывание всех подразделений лаборатории для проведения исследований на холеру с соблюдением требований действующих санитарных правил по режиму биологической безопасности работы.

Все диагностические лаборатории, предусмотренные для работы в очаге холеры, входят в лабораторную базу очага (Прилож. 6).

С учетом конкретной ситуации корректируют предусмотренный комплексным планом противохолерных мероприятий порядок перепрофилирования лабораторных помещений, реализации расчетной мощности и кадрового обеспечения лабораторной базы.

6.2. Расчет мощности лаборатории и организация лабораторной службы

Мощность лаборатории определяется максимальным количеством анализов, которое может быть выполнено в сутки. Мощность лабораторной базы очага определяется суммой показателей мощности всех лабораторий. Расчет производственной мощности лабораторий проводят в соответствии с "Нормами времени на выполнение основных видов микробиологических исследований", утвержденными Минздравом России (1999).

Среднее время, затрачиваемое на 1 анализ, выраженное в лабораторных единицах (10 мин.), определяется суммой средних показателей времени для каждого вида исследований с учетом вероятной частоты встречаемости его в общем объеме анализов.

Предусмотрены показатели затрат времени на 1 анализ (в лабораторных единицах) всех сотрудников лаборатории (врач, лаборант, санитарка) для разных групп анализов.

Исследование по полной схеме:

материала от людей - 5,0;

воды - 7,5.

Идентификация выделенной культуры:

слайд-агглютинация - 2,0;

реакция иммунофлюоресценции - 6,0;

развернутая агглютинация - 4,5;

биохимическое исследование - 3,0;

чувствительность к фагам - 4,0;

определение токсигенности бактериологическим и биологическим методами - 6,0;

определение токсигенности в ПЦР - 18,0;

определение чувствительности к антибиотикам методом дисков - 2,0;

определение чувствительности к антибиотикам методом серийных разведений - 6,0;

приготовление питательной среды - 0,5;

контроль качества питательной среды - 4,0;

прием, регистрация, выдача ответа - 0,75.

Расчет производственной мощности лабораторной базы проводят совместно эпидемиологическое и лабораторное подразделения с учетом количественных показателей анализов для конкретных контингентов и объектов обследования с определением среднесуточного объема по схеме (табл. 1).

Таблица 1

РАСЧЕТ ПРОИЗВОДСТВЕННОЙ МОЩНОСТИ ЛАБОРАТОРИИ

N п/п Объекты исследования Количество объектов Количество анализов Количество дней работы лаборатории Среднее количество анализов
1 2 3 4 5 6

В графе "Объекты исследования":

а) больные холерой и вибриононосители (определяется ориентировочно 1:1);

б) контактные с больными и вибриононосителями (1:4 - 5);

в) больные ОКИ;

г) обследование на вибриононосительство декретированных и других групп населения;

д) объекты окружающей среды (водные объекты, источники водоснабжения, хозяйственно-бытовые стоки, пробы из очага больного и вибриононосителя).

Планируемая мощность лабораторной базы (М) определяется как сумма показателей графы 6.

При планировании целесообразно исходить из следующих положений:

- общее количество анализов на одного больного холерой и вибриононосителя составляет 6;

- число госпитализированных в провизорный госпиталь в день должно быть выше примерно на 15,0% по отношению к среднедневному количеству больных ОКИ, вычисленному для данного сезона в конкретном населенном пункте (за счет активного выявления больных);

- среднее число анализов от одного госпитализированного в провизорный госпиталь составляет 3;

- количество лиц, подлежащих обследованию на вибриононосительство, определяется противоэпидемической службой очага.

Объем и продолжительность работы лабораторной базы после ликвидации очага холеры рассчитывают в соответствии с конкретными задачами, определяемыми противоэпидемической службой.

Необходимо предусмотреть планирование обследований (в сутки) по контингентам и регулирование нагрузки лабораторий в соответствии с их расчетной мощностью.

Расчетная мощность лаборатории может быть превышена (иногда) не более чем на 20%. Ответственность за регулирование нагрузки лабораторий возлагается на руководителя лабораторной службы очага.

В зависимости от территории очага, объема исследований и имеющихся возможностей лабораторная база очага может состоять из одной, двух или более лабораторий.

Целесообразно следующее распределение анализов между лабораториями по контингентам с учетом особенностей их исследования:

- анализы из холерного и провизорного госпиталей, изолятора и обсерватора;

- анализы от остальных групп населения, обследуемых по эпидемиологическим показаниям (декретируемые контингенты, обследуемые в соответствии с эпидемиологическим надзором, и другие);

- исследование объектов окружающей среды.

Указанные группы анализов целесообразно вести и учитывать раздельно, независимо от их распределения в одной или более лабораториях.

При большом объеме исследований основные питательные среды готовят и контролируют централизованно в специально организованной лаборатории. Целесообразно централизованно осуществлять розлив 1%-й пептонной воды по флаконам и пробиркам, доставляя их в лабораторию стерильными. Также целесообразно организовывать дополнительные формирования, обеспечивающие централизованную стерилизацию лабораторной посуды для всех очаговых лабораторий и обеззараживание посевов.

При работе в очаге нескольких диагностических лабораторий идентификацию культур вибрионов в каждой из них проводят по сокращенной схеме или ограничиваются слайд-агглютинацией.

Полную идентификацию холерных и других видов вибрионов, с характеристикой чувствительности к антибиотикам и токсигенности, проводит специально организованная лаборатория или группа в составе одной из действующих лабораторий. Она же осуществляет контроль питательных сред. При необходимости в составе этой же лаборатории организуют группу серологических исследований.

Группы отбора проб входят в состав противоэпидемической службы. Обеспечение их необходимыми средствами для отбора проб осуществляет лабораторная служба.

Менее рациональным является принцип организации лабораторной службы в очаге холеры - распределение анализов по территориальному признаку.

6.3. Расчет потребности в кадрах

Особенностью работы лабораторий в очаге холеры является необходимость круглосуточной и ежедневной работы лабораторий. Предлагается следующая формула расчета потребности в кадрах, необходимых для реализации расчетной производственной мощности лаборатории в очаге холеры:

, ,

где:

М - производственная мощность лаборатории (количество анализов в сутки);

Р - средняя продолжительность работы 1-го сотрудника в сутки (ч);

С - общее число сотрудников лаборатории;

Нср - норма времени на 1 анализ (человеко-час).

Под нормой времени здесь принята сумма средних показателей рабочего времени врача, лаборанта, санитарки, необходимого для качественного выполнения одного анализа в условиях рациональной организации труда.

Для удобства расчета показатель времени вычисляют как сумму средних показателей времени, затрачиваемого на производство анализа, - на основные манипуляции, вспомогательные, подготовительно-заключительные работы и личные нужды.

Следует иметь в виду зависимость нормы времени анализа от производственной мощности лабораторий - чем больше мощность лаборатории, тем больше (при правильной организации труда) возможности увеличения производительности за счет максимальной дифференциации выполняемых операций и экономии времени на вспомогательных и подготовительно-заключительных работах.

При расчете мощности лаборатории учитывают, что сотрудники лабораторий в очаге холеры не выполняют внелабораторную работу, как это имеет место в обычное время.

При таком расчете нормы времени одного анализа показатель Р (средняя продолжительность времени работы одного сотрудника в сутки) можно учитывать полностью, т.е. как 100%. Величина показателя Р определяется в зависимости от принятого графика двух- или трехсменной работы лаборатории в сутки.

Показатели Нср для анализов от людей (Нл) и проб воды (Нв) существенно различаются за счет удвоенного количества анализов для воды (1 проба - 2 анализа) и сравнительного преобладания числа анализов, требующих отбора колоний с последующей дифференциацией.

Соответственно для лабораторий, сочетающих эти виды анализов, расчет производится по формуле:

.

Показатель Нср для анализов пищевых продуктов, смывов и другого приравнивается к анализам от людей.

При расчете потребности кадров для таких лабораторий следует считать, что анализы проб воды в показателе производственной мощности (М) для очаговых лабораторий составляют не более 20%.

При наличии обосновывающих данных расчет конкретизируют с учетом значений Нср при массовом исследовании на холеру (табл. 2).

Таблица 2

ЗНАЧЕНИЕ Нср ПРИ МАССОВЫХ ИССЛЕДОВАНИЯХ НА ХОЛЕРУ

Объекты исследования Производственная мощность (М)
< 100 > 100 > 200 > 300 > 500 > 1000
Люди 0,45 0,40 0,35 0,30 0,23 0,2
Вода 1,40 1,20 1,0 0,9 0,75 0,6

При этом следует принять за оптимальное соотношение врач - лаборант - санитарка при М = 200 - 500 как 1:2:1. При М более 500 - 3000 - 1:3:3 и при М более 3000 - 1:4:4.

Нормы времени на один анализ не предусматривают работу лабораторий средоварения. Потребность в кадрах для лаборатории средоварения определяется дополнительно в зависимости от исходного продукта приготовления основных сред (полное средоварение, приготовление из сухих готовых сред и т.д.).

Расчет потребности лабораторных работников для осуществления контроля питательных сред определяется не только в зависимости от потребности в средах для расчетного объема лабораторных исследований, но и от производственной мощности емкостей для средоварения.

В соответствии с расчетной мощностью лабораторий, входящих в состав лабораторной службы, определяют потребность в лабораторных работниках для каждой из них. Потребность лабораторной базы очага в кадрах определяется суммой этих показателей для каждой из лабораторий. Производить такой расчет, исходя из мощности всей лабораторной базы, нельзя, т.к. сумма лабораторных работников, необходимых для работы в очаге нескольких лабораторий, будет больше, чем для одной, производственная мощность которой равна сумме мощностей этих лабораторий.

Централизация лабораторных исследований в очаге холеры позволяет наиболее эффективно использовать привлеченные малоквалифицированные по этой инфекции кадры лабораторных работников за счет максимальной дифференциации выполняемых операций.

6.4. Организация труда

Максимальная производительность труда лаборатории может быть достигнута в результате предельно узкой специализации выполняемых операций.

В каждой лаборатории должны быть созданы следующие функциональные подразделения - группы:

- приема материала;

- пересевов;

- просмотра посевов и отбора колоний;

- идентификации, ускоренной диагностики и определения антибиотикограмм;

- обеззараживания материала;

- мойки посуды, заготовки и стерилизации;

- розлива сред и подготовки их к посевам;

- регистрации и выдачи ответов;

- материально-технического обслуживания.

Количественный состав групп функционального подразделения определяется объемом выполняемых исследований.

Примерное распределение лабораторных работников по функциональным группам в лабораториях, работающих круглосуточно, дано в табл. 3.

Таблица 3

ПРИМЕРНОЕ РАСПРЕДЕЛЕНИЕ РАБОТНИКОВ ПО ФУНКЦИОНАЛЬНЫМ ГРУППАМ В ЛАБОРАТОРИИ МОЩНОСТЬЮ 1000 АНАЛИЗОВ В СУТКИ (700 - ОТ ЛЮДЕЙ И 300 - ВОДЫ)

N п/п Функциональная группа Врачи Лаборанты Младший медицинский персонал
1 Группа приема материала - 7 -
2 Группа пересевов - 6 -
3 Группа просмотра посевов 7 3 -
4 Группа идентификации, ускоренной диагностики и определения антибиотикограмм 7 9 -
5 Группа обеззараживания - 5 -
6 Группа мойки, стерилизации и подготовки посуды - 3 22
7 Группа розлива сред - 8 -
8 Группа регистрации 1 3 -
9 Группа материально-технического обеспечения и хозяйственных работ (не считая специалистов по оборудованию, электрика, сантехника и т.д.) - 1 8
  Итого 15 45 30

6.5. Материально-техническое обеспечение лаборатории

Расчет потребности в оборудовании, лабораторной посуде, спецодежде, питательных средах и диагностических препаратах проводят с учетом норм их расходов на 1 анализ (Прилож. 7).

Примерный табель оснащения лаборатории мощностью 200, 500 и 1000 анализов на холеру с продолжительностью 30 дней дан в Прилож. 8. В соответствии с табелем определяют наличие и дополнительную потребность.

7. ПРОТИВОЭПИДЕМИЧЕСКАЯ ГОТОВНОСТЬ ЛЕЧЕБНО-ПРОФИЛАКТИЧЕСКИХ УЧРЕЖДЕНИЙ

7.1. Готовность специальных медицинских организаций: инфекционного и провизорного госпиталей, изолятора (в ред. Изменения N 1, утв. Роспотребнадзором от 05.08.2022)

Медицинские организации, составляющие госпитальную базу очага холеры, должны иметь: (в ред. Изменения N 1, утв. Роспотребнадзором от 05.08.2022)

- паспорта на госпиталь для больных холерой, провизорный госпиталь и изолятор (Прилож. 9);

- оперативные планы первичных противоэпидемических мероприятий на случай выявления больного с подозрением на холеру;

- схему оповещения при выявлении больного с подозрением на холеру;

- укладку для забора материала от больного (Прилож. 2);

запас средств экстренной профилактики, дезинфицирующих средств, защитной одежды.

7.2. Мощности специализированных лечебно-профилактических учреждений, их штатно-организационная структура

При планировании госпитальной базы необходимо учитывать, к какому типу по эпидемическим проявлениям холеры относится административная территория.

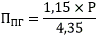
Мощность холерного госпиталя должна быть предусмотрена на единичные и групповые случаи заболеваний холерой и вибриононосительства (более пяти больных холерой и вибриононосителей). Потребность в койках провизорного госпиталя в очаге холеры определяется в зависимости от уровня заболеваемости острыми кишечными инфекциями в данном населенном пункте в месяц сезонного подъема и рассчитывается по формуле: (в ред. Изменения N 1, утв. Роспотребнадзором от 05.08.2022)

(в ред. Изменения N 1, утв. Роспотребнадзором от 05.08.2022)

где:

П_пг - потребность в койках;

1,15 - поправочный коэффициент;

Р - среднее число больных ОКИ за месяц сезонного подъема (по данным за предыдущие 3 года);

4,35 - коэффициент оборота койки в месяц, рассчитанный путем деления среднего количества дней в месяце (365 дней/12 месяцев) на продолжительность пребывания больного на койке (7 дней) (в ред. Изменения N 1, утв. Роспотребнадзором от 05.08.2022)

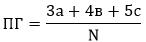
Мощность изолятора определяется на основании предполагаемого количества больных холерой и вибриононосителей и средней численности состава семьи на конкретной территории, определяется по формуле:

где:

П_из - потребность в койках для изоляции контактных;

Б - предполагаемые количества больных холерой и вибриононосителей;

Н - средняя численность семьи на данной территории.

7.3. Обеспечение специальных лечебно-профилактических учреждений средствами патогенетической и этиотропной терапии, защитной одеждой и дезинфицирующими средствами в соответствии с действующими нормативными документами

В лечебных учреждениях, на базе которых в соответствии с комплексным планом предусматривается развернуть специализированные учреждения на единичные случаи холеры, должен быть резервный запас средств патогенетической и этиотропной терапии, защитной одежды (противочумные костюмы IV типа, резиновые перчатки и респираторы) и дезинфицирующих средств.

При регистрации групповых случаев холеры недостающие средства обеспечиваются из фонда Министерства (департамента, отдела, управления) здравоохранения субъекта РФ.

Лечебными учреждениями, на базе которых планируется развертывание холерного госпиталя, должны быть предусмотрены необходимое оборудование, запас медикаментов для проведения патогенетической и этиотропной терапии (табл. 4).

В обязательном порядке должно быть предусмотрено наличие оборудования для оснащения реанимационно-регидратационной палаты (отделения), определены источники дооснащения (электрокардиограф, центрифуга и др.) (табл. 5).

Таблица 4

ОСНАЩЕНИЕ ХОЛЕРНОГО ГОСПИТАЛЯ НА 100 БОЛЬНЫХ

N Наименования медикаментов и других материалов Количество
Для патогенетической терапии (регидратационные растворы)
1 Глюкосолан 650 пакетов (на 1 л раствора каждый)
2 Молочно-кислый раствор Рингера или другой регидратационный раствор типа трисоль, дисоль, квартасоль, даккский раствор 5:4:1 300 флаконов по 400 мл
3 Апирогенные системы для внутривенного введения 50 шт.
4 Наборы для введения жидкости в вены головы у детей или подключичную вену 10 шт.
5 Интраназальный катетер, внешний диаметр 2,7 мм, внутренний диаметр 1,5 мм, длина 38 см (для детей) 3 шт.
Другие предметы и материалы для организации лечения
1 Бак с краном (с отметкой уровней на 5 и 10 л) для приготовления больших количеств растворов глюкосолана 2 шт
2 Сосуд емкостью на 1 л для раствора глюкосолана 20 шт
3 Стаканы на 200 мл для питья 100 шт
4 Чайные ложки 20 шт
5 Вата 5 кг
6 Лейкопластырь 3 катушки
7 Бинты разные 20 шт.
8 Шприцы одноразовые на 2, 5, 10 и 20 мл 400 шт.
9 Шприцы обычные, разного объема 20 шт.
10 Иглы к шприцам N 16 - 18 30 шт.
11 Стерилизатор 1 шт
12 Перчатки хирургические 6 - 9 размера 50 пар
13 Марля 20 м
14 Жгуты для сдавливания вен конечностей 3 шт.
15 Термометр максимальный 5 шт.
16 Штатив для внутривенной трансфузии 5 шт
17 Емкости для сбора выделений 50 шт
18 Емкости для приготовления дезсредств, 10 л 4 шт

В обязательном порядке должно быть предусмотрено наличие оборудования для оснащения реанимационно-регидратационной палаты (отделения), определены источники дооснащения (электрокардиограф, центрифуга и др.) (табл. 5).

Таблица 5

ОСНАЩЕНИЕ РЕАНИМАЦИОННО-РЕГИДРАТАЦИОННОЙ ПАЛАТЫ

N Наименования медикаментов и других материалов Количество, шт
1 Специальная или приспособленная холерная кровать 2
2 Градуированное или приспособленное ведро 4
3 Таз для рвотных масс 2
4 Емкость для обеззараживания выделений больных (20 - 30 л) 1
5 Емкость для замачивания горшков, подкладных суден (10 - 15 л) 1
6 Емкость для замачивания белья (10 - 15 л) 1
7 Емкость для обеззараживания столовой посуды больного (5 - 10 л) 1
8 Емкость для замачивания спецодежды персонала (20 - 30 л) 1
9 Емкость для замачивания аптечной посуды (10 - 15 л) 1
10 Ведро с тряпками для мытья полов 1
11 Бутыль для приготовления маточного раствора 10%-й хлорной извести 1
12 Емкость для мытья (дезинфекции) рук персонала 1
13 Дезковрик 1
14 Стерилизатор, электроплитка 1 + 1
15 Укладка для забора материала от больного, бикс для его транспортирования 1
16 Рабочий стол или тумбочка 1
17 Центрифуга на 3000 об./мин. 1
18 Набор флаконов для определения удельного веса плазмы 1
19 Штатив для внутривенной трансфузии 2
20 Грелка 5
21 Тонометр с фонендоскопом 1
22 Электрокардиограф портативный с автономным питанием 1
23 Клеенчатый мешок для хранения и отправки вещей больного и постельных принадлежностей 2

7.4. Обеспечение противоэпидемической готовности поликлиник, станций и пунктов скорой медицинской помощи

В целях обеспечения противоэпидемической готовности поликлиник, станций и пунктов скорой медицинской помощи эти учреждения должны иметь:

- оперативный план проведения первичных противоэпидемических мероприятий на случай выявления больного (трупа), подозрительного на холеру;

- схему оповещения вышестоящих организаций;

- противочумные костюмы IV типа (комбинезон или пижама, носки, тапочки, шапочка или малая косынка, противочумный или хирургический халат) + РП (респиратор) не менее 3 комплектов;

- укладки для забора материала от больных (Прилож. 2);

- солевые растворы для пероральной регидратации - не менее 5 л, система разовая для внутривенного введения - 2 комплекта;

- аптечка для неотложной помощи больному в критическом состоянии;

- у всех специалистов, ведущих прием больных, у ответственного дежурного врача смены станции (пункта) скорой медицинской помощи должны быть памятки по основным клиническим симптомам холеры и действию врача при выявлении больного, мерам личной профилактики и правилам забора материала для лабораторного исследования на холеру.

7.5. Организация и обеспечение работы патологоанатомической службы

Для вскрытия умерших с подозрением на холеру должно быть предусмотрено патологоанатомическое отделение. Вскрытие трупа с подозрением на холеру проводит бригада, включая патологоанатома (судмедэксперта), имеющего специальную подготовку, с соблюдением требований биологической безопасности работы.

Штатное расписание патологоанатомической службы определяется мощностью госпитальной базы административной территории.

В патологоанатомическом отделении должны быть:

- оперативный план противоэпидемических мероприятий на случай подозрения на холеру при вскрытии трупа;

- схема оповещения;

- памятка по технике вскрытия и забора материала для бактериологического исследования;

- защитная одежда (противочумной костюм II типа, 2-я пара резиновых перчаток, фартук, нарукавники);

- укладка для забора материала (Прилож. 2);

- стерильный секционный набор;

- запас дезинфицирующих средств и емкости для их приготовления.

8. ОЦЕНКА СОСТОЯНИЯ ГОТОВНОСТИ (КРИТЕРИИ ОЦЕНКИ) ОРГАНОВ И УЧРЕЖДЕНИЙ РОСПОТРЕБНАДЗОРА И ЛЕЧЕБНО-ПРОФИЛАКТИЧЕСКИХ УЧРЕЖДЕНИЙ К ПРОВЕДЕНИЮ МЕРОПРИЯТИЙ НА СЛУЧАЙ ВЫЯВЛЕНИЯ БОЛЬНОГО (ВИБРИОНОНОСИТЕЛЯ) ХОЛЕРОЙ

Под готовностью подразумевается способность к оперативному проведению комплекса противоэпидемических мероприятий в очагах холеры.

Организационные мероприятия включают составление оперативных планов противоэпидемических мероприятий, обеспечение лечебно-профилактических учреждений со стороны Управлений (отделов) Роспотребнадзора или противочумных учреждений сведениями о заболеваемости холерой в мире, странах СНГ и России, теоретическую и практическую подготовку медицинского персонала.

Готовность лечебно-профилактических учреждений, фельдшерско-акушерских (фельдшерских) пунктов, здравпунктов, СКП, СКО к проведению санитарно-противоэпидемических мероприятий определяется возможностями диагностировать (заподозрить) заболевание с симптомами холеры по месту жительства, работы, на транспортном средстве в пути следования, по прибытии в пункт назначения, в гостинице, поликлинике, стационаре, морге. Большое значение имеет умение оперативно осуществить первичные действия со стороны медицинских работников в местах выявления подозрительного больного.

Показателем готовности госпитальной и лабораторной базы является фактическая способность к оперативному развертыванию специальных стационаров, изоляторов, бактериологических лабораторий, а также обеспеченность их оборудованием, защитной одеждой, диагностическими средствами, дезинфекционными препаратами.

Из всех возможных способов проверки готовности учреждений наиболее действенным и эффективным являются тренировочные занятия, если они проведены в условиях, максимально приближенных к реальным.

Наиболее целесообразно оценивать готовность учреждений, используя балльную шкалу, где каждому критерию соответствует определенное количество баллов (в диапазоне от 0 до максимального значения для данного критерия), которые выводятся экспертным путем. Сумма баллов, превышающая 75 из 100, указывает на удовлетворительную готовность проверяемого учреждения.

8.1. Оценка состояния готовности санитарно-эпидемиологической службы

Таблица 6

N п/п Критерии оценки Баллы
1 Наличие комплексного плана противохолерных мероприятий и кратность его корректировки:  
  а) ежегодно 15
  б) раз в два года 10
2 Наличие схемы взаимодействия:  
  а) в режиме повседневной готовности 5
  б) в чрезвычайном режиме 10
3 Степень подготовленности специалистов ФБУЗ "Центры гигиены и эпидемиологии" Роспотребнадзора¶ в субъектах Российской Федерации по холере:  
(в ред. Изменения N 1, утв. Роспотребнадзором от 05.08.2022)
  а) 75% специалистов центра имеют подготовку 15
  б) 50% специалистов имеют подготовку 5
4 Наличие укладок 15
5 Укомплектованность укладок 15
6 Мониторинг заболеваемости острыми кишечными инфекциями в регионе (наличие информационно-аналитической базы) 30
Итого (максимум) 100

8.2. Оценка состояния готовности санитарно-карантинных отделов (пунктов)

Таблица 7

N п/п Критерии оценки Баллы
1 Укомплектованность кадрами 10
2 Наличие и готовность помещения транспортного предприятия для временной изоляции подозрительного на холеру больного 10
3 Наличие и реальность оперативного плана, наличие схемы оповещения, функциональных обязанностей медработников, расчета сил и средств, обеспеченность памятками по холере 25
4 Число медицинских работников, прошедших теоретическую подготовку по холере, с учетом 75%-го охвата 10
5 Число сотрудников, участвовавших в практических тренировочных занятиях по холере, с учетом 75%-го охвата 10
6 Знание медработниками эпидемиологии, клиники, диагностики холеры (система экзаменов, зачетов) 5
7 Наличие у медработников практических навыков в пользовании укладками для забора материала, дезинфицирующими средствами 15
8 Наличие дезинфицирующих средств, емкостей для их приготовления 5
9 Наличие, количество и укомплектованность укладок для забора материала, средств личной профилактики 10
Итого 100

8.3. Оценка состояния готовности лабораторной службы

Готовность бактериологических лабораторий определяется наличием плана перепрофилирования на случай проведения лабораторной диагностики в очаге холеры, исследований ускоренными и классическими методами материала от больных, подозрительных на заболевание холерой, от контактных с больным, проб из объектов окружающей среды, пищевых продуктов. Каждая лаборатория выполняет определенный объем исследований (с учетом ее мощности), предусмотренный комплексным планом. Непременным условием готовности этих учреждений является достаточная производственная площадь для соблюдения поточности движения заразного материала и режим работы согласно действующим санитарным правилам, укомплектованность квалифицированными кадрами, обеспеченность необходимым оборудованием, средами и диагностическими препаратами.

8.3.1. Оценка готовности бактериологических лабораторий

Таблица 8

N п/п Критерии оценки ФБУЗ "Центр гигиены и эпидемиологии" в краях, областях и городах ФБУЗ "Центр гигиены и эпидемиологии" в районах Лечебно-профилактические учреждения
баллы баллы баллы
(в ред. Изменения N 1, утв. Роспотребнадзором от 05.08.2022)
1 2 3 4 5
1 Наличие и реальность плана перепрофилирования лаборатории, ее расчетной мощности 5 10 10
2 Укомплектованность кадрами:      
  а) врачами-бактериологами 5 10 10
  б) лаборантами 5 10 10
3 Наличие схем оповещения, графика работы 5 5 5
4 Наличие и укомплектованность укладок для забора материала отбольного 5 5 -
5 Подготовка медработников по лабораторной диагностике холеры (специальные курсы, семинары, решение практических задач) 10 10 10
6 Обеспеченность питательными и дифференциальными средами, диагностическими препаратами, реактивами, антибиотиками, дезинфицирующими средствами 10 10 15
7 Обеспеченность термостатами, холодильниками, микроскопами, автоклавами, сушильными шкафами, центрифугами 10 10 10
8 Наличие люминисцентных микроскопов 10 10 10
9 Реальность проведения исследований:      
  а) методом флюоресцирующих антител 5 10 5
  б) ускоренными методами 5 - -
  в) посев на питательные среды и выделение чистой культуры 5 10 10
  г) определение чувствительности к антибиотикам 10 - 5
  д) идентификация выделенной культуры до определения вида и оценки эпидемической значимости комплексным методом 10 - -
  е) ПЦР <*> 10 <*> - -
  Всего баллов 100 100 100
<*> При наличии лабораторий, проводящих исследования методом ПЦР, добавляется 10 баллов.

8.3.2. Оценка общей готовности лабораторной базы

Готовность лабораторной базы оценивается по совокупности критериев на основании экспертной оценки каждой лаборатории.

Таблица 9

N п/п Критерии оценки Баллы
1 План работы лабораторной службы при возникновении очага холеры 25
2 Расчет мощности лабораторной базы 10
3 План и порядок перепрофилирования лабораторных помещений 20
4 Кадровое обеспечение лабораторной базы 10
5 План регулирования нагрузки лабораторий 10
6 План работ по материально-техническому обеспечению лабораторий 25
Итого (максимум) 100

8.4. Оценка состояния готовности лечебных учреждений специального назначения (инфекционный госпиталь, провизорный госпиталь, изолятор)

Готовность госпитальной базы определяется способностью лечебно-профилактических учреждений, определенных комплексным планом, к развертыванию стационаров различного профиля. Существенное значение имеет обеспеченность этих учреждений квалифицированными, теоретически и практически подготовленными кадрами, достаточным запасом необходимых медикаментов, диагностическим и другим лабораторным оборудованием, мягким и твердым инвентарем, средствами для дезинфекции. Готовность каждого учреждения госпитальной базы оценивается в баллах по 100-балльной шкале.

8.4.1. Инфекционный госпиталь

Таблица 10

N п/п Критерии оценки Баллы
1 Наличие и реальность схемы перепрофилирования лечебно-профилактического учреждения для приема и лечения больных 20
2 Укомплектованность кадрами 17
3 Подготовленность основного и дублирующего персонала ЛПУ к работе в условиях госпиталя (уровень теоретической и практической подготовки) 17
4 Коечный фонд (количество и возможность его приспособления) 13
5 Обеспеченность оборудованием, медикаментами и другими материалами, необходимыми для проведения диагностики, патогенетического и этиотропного лечения, защитной одеждой 23
6 Готовность учреждения к проведению дезинфекционных мероприятий (наличие необходимых дезинфицирующих средств и инвентаря) 10
Итого 100

8.4.2. Провизорный госпиталь

Таблица 11

N п/п Критерии оценки Баллы
1 Наличие и реальность схемы перепрофилирования лечебно-профилактического учреждения в провизорный госпиталь 20
2 Укомплектованность кадрами 20
3 Подготовленность основного и дублирующего персонала ЛПУ к работе в условиях госпиталя (уровень теоретической и практической подготовки) 16
4 Достаточность коечного фонда 12
5 Обеспеченность оборудованием, медикаментами и другими материалами, необходимыми для проведения диагностики, патогенетического и этиотропного лечения, защитной одеждой 20
6 Готовность учреждения к проведению дезинфекционных мероприятий (наличие необходимых дезинфицирующих средств и инвентаря) 12
Итого 100

8.4.3. Изолятор

Таблица 12

N п/п Критерии оценки Баллы
1 Наличие и реальность схемы перепрофилирования лечебно-профилактического учреждения в изолятор 30
2 Укомплектованность кадрами 30
3 Подготовленность основного и дублирующего персонала ЛПУ к работе в условиях изолятора (уровень теоретической и практической подготовки) 16
4 Достаточность коечного фонда 12
5 Готовность учреждения к проведению дезинфекционных мероприятий (наличие необходимых дезинфицирующих средств и инвентаря) 12
Итого 100

8.5. Оценка состояния готовности других лечебно-профилактических учреждений (поликлиники, станции и пункты скорой медицинской помощи)

Таблица 13

N п/п Критерии оценки Баллы
1 Наличие и реальность оперативного плана, наличие схемы оповещения, функциональных обязанностей медработников, обеспеченность памятками по холере 40
2 Число медицинских работников, прошедших теоретическую подготовку по холере, с учетом процента охвата 10
3 Число работников, участвовавших в практических тренировочных занятиях по холере, с учетом процента охвата 10
4 Знание медработниками основ клиники, диагностики холеры 5
5 Наличие у медработников практических навыков в пользовании защитной одеждой, укладками для забора материала, дезинфицирующими средствами 10
6 Количество и укомплектованность укладок защитной одежды 10
7 Наличие дезинфицирующих средств, емкостей для их приготовления 5
8 Наличие, количество и укомплектованность укладок для забора материала, средств личной профилактики 10
Итого 100

8.6. Оценка состояния готовности прозектур городских и районных больниц, бюро судебно-медицинских экспертиз

Таблица 14

N п/п Критерии Баллы
1 Наличие и реальность оперативного плана, схемы оповещения, обеспеченность памятками 20
2 Число прозекторов, судмедэкспертов, лаборантов, прошедших теоретическую (на семинарах) подготовку по холере (с указанием процента охвата) 15
3 Число работников, участвовавших в практических тренировочных занятиях по холере, с учетом процента охвата 15
4 Знание патологоанатомической картины холеры 5
5 Практические навыки медработников в пользовании защитной одеждой, укладками для забора материала, дезинфицирующими средствами 5
6 Количество и укомплектованность укладок защитной одежды 10
7 Наличие дезинфицирующих средств, емкостей для их приготовления 10
8 Наличие, количество и укомплектованность укладок для забора материала, стерильного секционного набора, средств личной профилактики 20
Итого 100

8.7. Оценка состояния общей готовности медицинской службы (на территориальном, региональном уровне) к проведению противоэпидемических мероприятий при холере

Готовность учреждений, осуществляющих государственный санитарно-эпидемиологический надзор, и лечебно-профилактических учреждений, т.е. в целом медицинской службы территории, слагается из степени готовности отдельных подразделений, которая определяется методом экспертной оценки по 100-балльной шкале для каждого учреждения.

Наиболее удобно оценивать степень готовности, рассчитывая ее полуколичественным методом, используя формулу G. Astoldi, L. Verga:

,

где:

ПГ - показатель готовности;

a - количество учреждений, набравших от 50 до 74 баллов;

b - количество учреждений, набравших от 75 до 80 баллов;

c - количество учреждений, набравших более 80 баллов;

N - число обследованных учреждений.

Показатель ниже 4,0 свидетельствует о неудовлетворительной готовности медицинской службы, при этом внимание в повышении готовности должно обращаться на учреждения, получившие менее 75 баллов.

Пример. Всего проверено 10 учреждений лечебно-профилактического профиля, а также органов и учреждений, осуществляющих государственный санитарно-эпидемиологический надзор, из них 3 получили более 80 баллов, 5 - от 75 до 80 баллов, а 2 - менее 75 баллов:

Таким образом, показатель готовности территориальной медицинской службы равен 4,1, то есть готовность удовлетворительная.

Приведенная методика расчета позволяет оценить готовность к проведению противоэпидемических мероприятий в очагах холеры как отдельных учреждений, так и территории в целом.

Пример. Проверена готовность органов и учреждений, осуществляющих государственный санитарно-эпидемиологический надзор, к проведению мероприятий в очагах холеры, всего 21 учреждение. В результате проверки установлено, что готовность 10 из них по 100-балльной шкале превышает 80 баллов, пяти - от 75 до 80 баллов, шести - менее - 75 баллов:

.

Показатель готовности равен 4,2 - готовность удовлетворительная.

Методика количественной оценки может быть использована для комиссионной проверки и учреждений, осуществляющих государственный санитарно-эпидемиологический надзор, и лечебно-профилактических служб, по итогам которой руководитель Управления Роспотребнадзора, главный врач ФБУЗ "Центр гигиены и эпидемиологии" Роспотребнадзора и руководитель органа управления здравоохранением субъекта Российской Федерации объективно оценивают состояние готовности медицинской службы, в том числе структурных подразделений, к работе в очагах холеры и принимают обоснованное решение. (в ред. Изменения N 1, утв. Роспотребнадзором от 05.08.2022)

Приложение 1
(обязательное)

СХЕМА
КОМПЛЕКСНОГО ПЛАНА ПРОТИВОХОЛЕРНЫХ МЕРОПРИЯТИЙ

(в ред. Изменения N 1, утв. Роспотребнадзором от 05.08.2022)

N п/п Наименование мероприятий Срок исполнения Ответственные исполнители
1 2 3 4
1. ОРГАНИЗАЦИОННЫЕ МЕРОПРИЯТИЯ
1.1 Утвердить состав межведомственной санитарно-противоэпидемической комиссии январь календарного года Руководители органов исполнительной власти.
  Руководитель органа управления здравоохранением. Руководитель управления (отдела) Роспотребнадзора.
  Главный врач ФБУЗ "Центр гигиены и эпидемиологии" Роспотребнадзора
(в ред. Изменения N 1, утв. Роспотребнадзором от 05.08.2022)
1.2 Определить и утвердить состав медицинского штаба январь календарного года Руководитель управления (отдела) Роспотребнадзора.
  Главный врач ФБУЗ "Центр гигиены и эпидемиологии" Роспотребнадзора
  Руководитель органа управления здравоохранением
(в ред. Изменения N 1, утв. Роспотребнадзором от 05.08.2022)
1.3 Обеспечить передачу информации в вышестоящие органы и учреждения о выявлении подозрительного больного. Составить и утвердить схему оповещения (в рабочее и нерабочее время) специалистов о выявлении больного холерой (вибриононосителя), выделении токсигенных и атоксигенных штаммов холерного вибриона из объектов окружающей среды в соответствии с действующими распорядительными документами немедленно при выявлении больного, подозрительного на заболевание холерой, или выделении холерных вибрионов из объектов окружающей среды Руководители управления (отдела) Роспотребнадзора.
  Главный врач ФБУЗ "Центр гигиены и эпидемиологии" Роспотребнадзора.
  Руководитель органа управления здравоохранением и главные врачи лечебно-профилактических учреждений
(в ред. Изменения N 1, утв. Роспотребнадзором от 05.08.2022)
1.4 Разработать (откорректировать) оперативные планы первичных противоэпидемических мероприятий на случай выявления больного холерой в лечебно-профилактических учреждениях, СКО, СКП, ПСКП ежегодно Главные врачи лечебно-профилактических учреждений.
  Руководитель управления (отдела) Роспотребнадзора
1.5 Определить медицинские учреждения для перепрофилирования на случай выявления больного холерой (вибриононосителя), обеспечить готовность госпитальной базы (инфекционный, провизорный госпитали, изолятор) и лабораторной базы (бактериологические лаборатории), провести их паспортизацию. Определить резерв кадров врачей-инфекционистов и среднего медицинского персонала с учетом мощности учреждений специального назначения ежегодно Руководитель органа управления здравоохранением и главные врачи лечебно-профилактических учреждений.
  Руководитель управления (отдела) Роспотребнадзора.
  Главный врач ФБУЗ "Центр гигиены и эпидемиологии" Роспотребнадзора
1.6 Определить резерв кадров врачей: эпидемиологов, бактериологов, лаборантов, помощников эпидемиологов и лаборантов ежегодно Руководитель управления (отдела) Роспотребнадзора.
  Главные врачи ФБУЗ "Центр гигиены и эпидемиологии" Роспотребнадзора¶.
(в ред. Изменения N 1, утв. Роспотребнадзором от 05.08.2022)
1.7 Обеспечивать и осуществлять контроль противоэпидемической готовности лечебно-профилактических учреждений специального назначения, а также учреждений Роспотребнадзора в соответствии с планом проверки готовности Руководитель органа управления здравоохранением и главные врачи лечебно-профилактических учреждений.
  Руководитель управления (отдела) Роспотребнадзора.
  Главный врач ФБУЗ "Центр гигиены и эпидемиологии" Роспотребнадзора¶.
  Руководитель противочумного учреждения
(в ред. Изменения N 1, утв. Роспотребнадзором от 05.08.2022)
1.8 Провести примерный расчет автотранспорта для работы в очаге холеры (Прилож. 10) 1 раз в год Руководитель органа управления здравоохранением.
  Руководитель управления (отдела) Роспотребнадзора.
  Главный врач ФБУЗ "Центр гигиены и эпидемиологии" Роспотребнадзора¶
(в ред. Изменения N 1, утв. Роспотребнадзором от 05.08.2022)
1.9 Определить группы консультантов по организации и проведению противохолерных мероприятий, клинике, лечению и диагностике, порядок их оповещения и сбора 1 раз в год Руководитель органа управления здравоохранением.
  Руководитель противочумного учреждения
1.10 Отработать порядок взаимодействия служб и ведомств, которые задействованы в выполнении комплекса противохолерных мероприятий 1 раз в год Руководители всех служб и ведомств, включенных в комплексный план
1.11 Заслушивать на заседаниях межведомственной санитарно-противоэпидемической комиссии материалы по выполнению профилактических противохолерных мероприятий ежегодно Руководитель управления (отдела) Роспотребнадзора.
  Главный врач ФБУЗ "Центр гигиены и эпидемиологии" Роспотребнадзора¶
  Руководитель противочумного учреждения
(в ред. Изменения N 1, утв. Роспотребнадзором от 05.08.2022)

2. ПОДГОТОВКА КАДРОВ
2.1 Проводить теоретическую и практическую подготовку медицинских работников СКО, СКП, ПСКП в пунктах пропуска через Государственную границу Российской Федерации и медицинских пунктах железнодорожных, авиа-, авто-, морских и речных вокзалов; заместителей главных врачей лечебно-профилактических учреждений, заведующих врачебными участками и фельдшерско-акушерскими пунктами; врачей-инфекционистов, терапевтов и других специалистов, приписанных к стационарам специального назначения (инфекционный, провизорный госпитали, изолятор); врачей станций (пунктов) скорой медицинской помощи, поликлиник, фельдшерско-акушерских пунктов; патологоанатомов патологоанатомических отделений больниц и бюро судебно-медицинских экспертиз; медицинских работников психоневрологических стационаров, центров социальной реабилитации и других учреждений, заместителей руководителей управлений (отделов) Роспотребнадзора и главных врачей ФБУЗ "Центр гигиены и эпидемиологии" Роспотребнадзора¶, врачей эпидемиологов, бактериологов, дезинфекционистов ежегодно Руководитель органа управления здравоохранением и главные врачи лечебно-профилактических учреждений.
  Руководитель управления (отдела) Роспотребнадзора.
  Главный врач ФБУЗ "Центр гигиены и эпидемиологии" Роспотребнадзора¶.
  Руководитель противочумного учреждения
(в ред. Изменения N 1, утв. Роспотребнадзором от 05.08.2022)
2.2 Проводить теоретическую и практическую подготовку работников гражданской авиации, железнодорожного транспорта, речного и морского флота (бортпроводников, проводников, командиров экипажей, помощников капитанов, сотрудников контрольно-пропускных пунктов, таможни, управлений внутренних дел на транспорте и др.), УВД, туристических фирм, гостиниц, санаторно-курортных учреждений ежегодно Руководитель органа управления здравоохранением и главные врачи лечебно-профилактических учреждений.
  Руководитель управления (отдела) Роспотребнадзора
2.3 Проводить тренировочные учения и практические занятия для всех категорий обучаемых с отработкой функциональных обязанностей и практических навыков на случай выявления больного с подозрением на холеру ежегодно Руководитель органа управления здравоохранением и главные врачи лечебно-профилактических учреждений.
  Руководитель управления (отдела) Роспотребнадзора

3. ПРОФИЛАКТИЧЕСКИЕ МЕРОПРИЯТИЯ
3.1 Регулярно информировать территориальные отделы Роспотребнадзора о заболеваемости холерой за рубежом и на территории России по мере поступления даных Руководитель управления (отдела) Роспотребнадзора
3.2 Осуществлять мониторинг завозов холеры на административную территорию, заболеваемости холерой и выявления вибриононосителей, выделения холерных вибрионов О1/О139 серогрупп из объектов окружающей среды ежегодно Руководитель управления (отдела) Роспотребнадзора.
  Главный врач ФБУЗ "Центр гигиены и эпидемиологии" Роспотребнадзора¶.
  Руководитель противочумного учреждения
(в ред. Изменения N 1, утв. Роспотребнадзором от 05.08.2022)
3.3 Проводить бактериологическое обследование на холеру больных с диареей и рвотой при тяжелом течении болезни и выраженном обезвоживании; граждан России и иностранных граждан (с их согласия), заболевших острыми кишечными инфекциями в течение пяти дней после прибытия из неблагополучных по холере стран, а также других контингентов, подлежащих обязательному обследованию на холеру при эпидемиологическом надзоре за холерой в течение всего года Руководитель органа управления здравоохранением и главные врачи лечебно-профилактических учреждений
3.4 Проводить бактериологические исследования на холеру проб из поверхностных водоемов и других объектов окружающей среды согласно перечню стационарных точек отбора проб на административной территории в соответствии с типом территории Главный врач ФБУЗ "Центр гигиены и эпидемиологии" Роспотребнадзора¶.
  Руководитель противочумного учреждения
(в ред. Изменения N 1, утв. Роспотребнадзором от 05.08.2022)
3.5 Проводить паспортизацию точек отбора проб воды из поверхностных водоемов (Прилож. 4) апрель - май Руководитель управления (отдела) Роспотребнадзора.
  Главный врач ФБУЗ "Центр гигиены и эпидемиологии" Роспотребнадзора¶
(в ред. Изменения N 1, утв. Роспотребнадзором от 05.08.2022)
3.6 Проводить оценку качества воды на соответствие санитарным правилам и условиям безопасного для здоровья населения использования водных объектов, систем централизованного и нецентрализованного питьевого водоснабжения постоянно Руководитель управления (отдела) Роспотребнадзора.
  Главный врач ФБУЗ "Центр гигиены и эпидемиологии"
(в ред. Изменения N 1, утв. Роспотребнадзором от 05.08.2022)
3.7 Осуществлять контроль условий и режима обеззараживания постоянных и аварийных сбросов сточных вод в поверхностные водоемы постоянно Руководитель управления (отдела) Роспотребнадзора
3.8 Осуществлять контроль за санитарным состоянием административной территории, соблюдением санитарных норм и правил в местах торговли, отдыха, на железнодорожном и автовокзалах, морских, речных, аэропортах и других местах массового скопления людей, в пунктах приема беженцев и выезжающих переселенцев, принимать административные меры к устранению выявленных санитарных правонарушений в течение всего периода Руководитель управления (отдела) Роспотребнадзора
3.9 Проводить гигиеническое обучение и воспитание населения ежегодно Руководитель управления (отдела) Роспотребнадзора.
  Главный врач ФБУЗ "Центр гигиены и эпидемиологии" Роспотребнадзора¶.
  Руководитель органа управления здравоохранением
(в ред. Изменения N 1, утв. Роспотребнадзором от 05.08.2022)

4. ПРОТИВОЭПИДЕМИЧЕСКИЕ МЕРОПРИЯТИЯ
4.1 Обеспечить работу межведомственной санитарнопротивоэпидемической комиссии и медицинского штаба по локализации и ликвидации очага холеры при выявлении первого больного (вибриононосителя) холерой Руководители органов исполнительной власти.
  Руководитель управления (отдела) Роспотребнадзора.
  Главный врач ФБУЗ "Центр гигиены и эпидемиологии" Роспотребнадзора
  Руководитель органа управления здравоохранением.
  Руководитель противочумного учреждения
(в ред. Изменения N 1, утв. Роспотребнадзором от 05.08.2022)
4.2 Решением межведомственной санитарно-противоэпидемической комиссии, по представлению медицинского штаба объявить статус очага холеры (завозной, местный) и его границы при выявлении первого больного холерой Начальник медицинского штаба
4.3 Разработать план оперативных противоэпидемических мероприятий по локализации и ликвидации очага холеры при выявлении первого больного холерой Начальник медицинского штаба
4.4 Обеспечить организацию информационного обеспечения о выявлении больных (вибриононосителей) холерой, смертельных исходах от холеры и принятых первоочередных противоэпидемических мерах немедленно Начальник медицинского штаба
4.5 Обеспечить организацию и проведение бактериологических обследований больных холерой, вибриононосителей, контактировавших с ними, других контингентов населения, подлежащих обследованию при эпидемиологическом надзоре за холерой, а также по эпидпоказаниям в период существования очага Начальник медицинского штаба.
  Руководитель органа управления здравоохранением и главные врачи лечебно-профилактических учреждений специального назначения
4.6 Обеспечить организацию медицинского наблюдения за контактировавшими с больными (вибриононосителями) холерой, оставленными на дому, а также организацию подворных обходов для активного выявления больных ОКИ и находившихся в одинаковых условиях по риску инфицирования в период существования очага Руководитель органа управления здравоохранением и главные врачи лечебно-профилактических учреждений специального назначения
4.7 Привлечение консультантов для проведения противохолерных мероприятий, направленных на локализацию и ликвидацию очага по показаниям Главные врачи лечебно-профилактических учреждений.
  Руководитель управления (отдела) Роспотребнадзора.
  Главный врач ФБУЗ "Центр гигиены и эпидемиологии" Роспотребнадзора.
  Руководители противочумных учреждений
(в ред. Изменения N 1, утв. Роспотребнадзором от 05.08.2022)
4.8 Осуществлять комплекс противоэпидемических мероприятий в зависимости от токсигенности (эпидемической значимости) выделенных культур холерных вибрионов О1 и О139 серогрупп и с учетом эпидобстановки в период существования очага Начальник медицинского штаба
4.9 Обеспечить активное выявление и госпитализацию больных холерой, вибриононосителей, а также выявление и изоляцию контактировавших с ними в период существования очага Руководитель органа управления здравоохранением и главные врачи лечебно-профилактических учреждений
4.10 Обеспечить выявление умерших от неизвестных причин, патологоанатомическое вскрытие трупа, взятие материала на лабораторное исследование на холеру с соблюдением правил транспортирования и захоронения по показаниям Руководитель органа управления здравоохранением и главные врачи лечебно-профилактических учреждений
4.11 Обеспечить охрану холерного и провизорного госпиталей, изолятора, бактериологических лабораторий, патологоанатомических отделений в период существования очага Руководитель органа управления здравоохранением и главные врачи лечебно-профилактических учреждений
4.12 Обеспечить эпидемиологическое обследование каждого случая заболевания холерой или вибриононосительства в период существования очага Руководитель управления (отдела) Роспотребнадзора.
  Главный врач ФБУЗ "Центр гигиены и эпидемиологии" Роспотребнадзора
(в ред. Изменения N 1, утв. Роспотребнадзором от 05.08.2022)
4.13 Обеспечить проведение заключительной и профилактической дезинфекции в очаге в период существования очага Главный врач ФБУЗ "Центр гигиены и эпидемиологии" Роспотребнадзора.
  Руководители учреждений дезинфекционного профиля
(в ред. Изменения N 1, утв. Роспотребнадзором от 05.08.2022)
4.14 Осуществлять бактериологическое исследование на холеру проб из объектов окружающей среды с учетом стационарных точек отбора проб, а также определенных по эпидпоказаниям в период существования очага Главный врач ФБУЗ "Центр гигиены и эпидемиологии" Роспотребнадзора
(в ред. Изменения N 1, утв. Роспотребнадзором от 05.08.2022)
4.15 Предусмотреть введение ограничительных мероприятий (карантина) по показаниям Руководитель органов исполнительной власти.
  Руководитель управления (отдела) Роспотребнадзора
4.16 Обеспечить проведение экстренной профилактики антибиотиками отдельных контингентов населения (по эпидпоказаниям) по показаниям Руководитель органа управления здравоохранением и главные врачи лечебно-профилактических учреждений.
  Руководитель управления (отдела) Роспотребнадзора
4.17 Обеспечить санитарно-эпидемиологический надзор и контроль за соблюдением санитарно-эпидемиологических требований: в период существования очага Руководитель управления (отдела) Роспотребнадзора
  - к водным объектам, питьевой воде и питьевому водоснабжению, организации питания, пищевым продуктам, содержанию территории городских и сельских поселений;    
  - к организации рыночной и уличной торговли;    
  - к функционированию железнодорожных вокзалов, пассажирских поездов, стоянок туристических поездов, аэровокзалов, речных, морских и автодорожных вокзалов, а также объектов общественного питания на транспорте    
4.18 Проводить работу по гигиеническому воспитанию и обучению населения мерам профилактики холеры и других острых кишечных инфекций с использованием всех форм и способов в период существования очага Руководитель органа управления здравоохранением.
  Руководитель управления (отдела)
  Роспотребнадзора.
  Главный врач ФБУЗ "Центр гигиены и эпидемиологии" Роспотребнадзора
(в ред. Изменения N 1, утв. Роспотребнадзором от 05.08.2022)

5. МЕРОПРИЯТИЯ ПОСЛЕ ЛИКВИДАЦИИ ОЧАГА ХОЛЕРЫ
5.1 Организовать диспансерное наблюдение за перенесшими холеру или вибриононосительство в соответствии с требованиями санитарных правил в течение 3-х месяцев Руководитель органа управления и главные врачи учреждений здравоохранения
5.2 Разработать комплекс мероприятий, направленных на устранение причин возникновения возможных эпидемиологических осложнений после ликвидации очага Руководитель органа управления здравоохранением.
  Руководитель управления (отдела) Роспотребнадзора.
  Главный врач ФБУЗ "Центр гигиены и эпидемиологии" Роспотребнадзора
(в ред. Изменения N 1, утв. Роспотребнадзором от 05.08.2022)

Приложение 2
(обязательное)

УКЛАДКА ДЛЯ ЗАБОРА МАТЕРИАЛА ОТ БОЛЬНОГО С ПОДОЗРЕНИЕМ НА ХОЛЕРУ (ДЛЯ ЛЕЧЕБНО-ПРОФИЛАКТИЧЕСКИХ УЧРЕЖДЕНИЙ СПЕЦИАЛЬНОГО НАЗНАЧЕНИЯ, СТАНЦИЙ СКОРОЙ И НЕОТЛОЖНОЙ МЕДИЦИНСКОЙ ПОМОЩИ, ПОЛИКЛИНИК, ВРАЧЕБНЫХ АМБУЛАТОРИЙ, УЧАСТКОВЫХ БОЛЬНИЦ, СКП <*>, СКО <*>, ПСКП <*>)

<*> В соответствии с Приказом от 18.09.06 N 320 "О Регламенте оснащения санитарно-карантинных пунктов".

1. Банки стерильные широкогорлые с крышками или притертыми пробками емкостью не менее 100 мл 2 шт.
2. Емкость эмалированная, 10 л 1 шт.
3. Клеенка медицинская подкладная 1 м
4. Полиэтиленовые пакеты 5 шт.
5. Марлевые салфетки 5 шт.
6. Направление на анализ (бланки) 3 шт.
7. Лейкопластырь 1 уп.
8. Карандаш простой 1 шт.
9. Карандаш по стеклу 1 шт.
10. Бикс (металлический контейнер) 1 шт.
11. Инструкция по забору материала 1 шт.
12. Хлорамин в пакете по 300 г, рассчитанный на получение 10 л 3%-го раствора, и сухая хлорная известь в пакете из расчета 200 г на 1 кг выделений 1 уп.
13. Перчатки резиновые 2 пары
14. Контейнеры для испражнений, 30 мл с ложкой, полипропиленовые 2 шт.
15. Пробирки для мазков с деревянными или алюминиевыми зондами, стерильные с добавлением транспортных сред или без них 2 шт.
16. Штатив на шесть гнезд 1 шт.
17. Пептонная вода 1%-я во флаконах по 50 мл, закрытых резиновыми пробками или завальцованных металлическими колпачками 4 шт.

Приложение 3
(обязательное)

УКЛАДКА ДЛЯ ЗАБОРА ПРОБ ИЗ ОБЪЕКТОВ ОКРУЖАЮЩЕЙ СРЕДЫ НА ХОЛЕРУ (ДЛЯ ФБУЗ "ЦЕНТР ГИГИЕНЫ И ЭПИДЕМИОЛОГИИ" РОСПОТРЕБНАДЗОРА)

(в ред. Изменения N 1, утв. Роспотребнадзором от 05.08.2022)

1. Ящик тарный на 20 гнезд 1 шт.
2. Ящик металлический - укладка 1 шт.
3. Бутылки 0,5 л с ватно-марлевыми пробками и с пергаментными бумажными колпачками 20 шт.
4. Спирт 96° 100 мл
5. Вата 100 г
6. Карандаш по стеклу 2 шт.
7. Карандаш простой 1 шт.
8. Бумага писчая 10 листов
9. Направление на анализ (бланк) 10 листов
10. Бумага копировальная 5 листов
11. Пинцет 1 шт.
12. Банка 0,5 л с матерчатыми салфетками (15 шт.) для обработки проб со сточными водами 1 шт.
13. Термометр до 50 °С 1 шт.
14. Бумага индикаторная для определения рН (1 - 12) 1 упак.
15. Банка с притертой крышкой с ватными тампонами 1 шт.
16. Пробирки с тампонами для взятия смывов 20 шт.
17. Штатив на 20 гнезд 1 шт.
18. Батометр 1 шт.
19. Шпагат - мотки по 5, 10 и 30 м 45 м
20. Хлорамин в пакетах по 30,0 г, рассчитанный на получение 1 л 3%-го раствора 2 шт.
21. Емкость на 1 л для приготовления раствора хлорамина 1 шт.
22. Пакеты полиэтиленовые 5 шт.
23. Халат медицинский с шапочкой 2 шт.
24. Перчатки резиновые 2 пары
25. Фартук и нарукавники клеенчатые 1 шт.

Приложение 4
(обязательное)

                            ПАСПОРТ <*>
 
   (в ред. Изменения N 1, утв. Роспотребнадзором от 05.08.2022)
 
        На стационарную точку N __________ отбора проб воды
__________________________________________________________________
        республика, область (край), район, населенный пункт
__________________________________________________________________
   тип (река, озеро, море, водохранилище) и наименование водоема
     Место расположения точки отбора (основные ориентиры) ________
__________________________________________________________________
    Обоснование   выбора   точки:   обязательная,   по санитарно -
эпидемиологическим показаниям (нужное подчеркнуть, заполнить)
    1. Характер водопользования в точке отбора:
    -   источник   централизованного   хозяйственно   -  питьевого
водоснабжения, зона санитарной охраны водозабора: ________________
__________________________________________________________________
    - использование для хозяйственно-бытовых целей (да, нет);
    -   водозабор   для   технического   водопровода   (для какого
предприятия) _____________________________________________________
    -  массовый  организованный и неорганизованный отдых (купание,
рыболовство, водный спорт) _______________________________________
    2. Санитарно-гигиенические условия:
    -   сброс   сточных   вод (хозяйственно-бытовых, промышленных,
смешанных),  подвергшихся  очистке  (биологической, механической),
или без очистки;
    - место сброса сточных вод:
        в точке отбора;
        выше точки отбора (по течению реки) на _______ км;
        ниже точки отбора по течению реки на ________ км;
        на  расстоянии  ______  км  от  точки  отбора (для стоячих
водоемов);
    -  объем  сбрасываемых  сточных  вод (по характеру их очистки)
(куб. м в сутки) _________________________________________________
__________________________________________________________________
    - наличие мусорных свалок:
        расстояние от водоема ______ км;
        от точки отбора ______ км;
    -  аварийные  и  неорганизованные  стоки (где, какие, частота,
объем) ___________________________________________________________
__________________________________________________________________
    3. Гидрологическая характеристика:
    - глубина водоема в точке отбора (м) _________________________
    - скорость течения (м/с) _____________________________________
    - сгонно-нагонные явления (сезонность, частота) ______________
__________________________________________________________________
__________________________________________________________________
    - площадь озера (пруда) __________________________________ га.
    4.  Результаты  бактериологического  исследования  на  холеру.
Санитарно-микробиологические  и  физико-химические показатели воды
водоема  в  точке  отбора  (в  период отбора проб в соответствии с
действующими СанПиН):
 
       Показатели 
   Результаты и даты исследований 
за каждый год (по месяцам)
  май 
 июнь 
 июль 
август
сентябрь
Термотолерантные 
колиформные бактерии
 
 
 
 
 
Общие колиформные 
бактерии
 
 
 
 
 
Колифаги 
 
 
 
 
 
Патогенная микрофлора 
(по видам)
 
 
 
 
 
Шигеллы 
 
 
 
 
 
Сальмонеллы 
 
 
 
 
 
Холерные вибрионы 
О1/О139 серогрупп
 
 
 
 
 
Холерные вибрионы 
не О1/не О139 серогрупп
 
 
 
 
 
Температура воды 
 
 
 
 
 
рН 
 
 
 
 
 
 
Главный врач ФБУЗ "Центр гигиены и эпидемиологии" Роспотребнадзора
в субъекте, городе, районе                       Подпись    Ф.И.О.
(в ред. Изменения N 1, утв. Роспотребнадзором от 05.08.2022)
 
Заведующий отделом эпидемиологии
и паразитарных болезней                          Подпись    Ф.И.О.
 
Зав. санитарно-гигиенической лабораторией        Подпись    Ф.И.О.
 
Дата составления
 
Дата корректировки
 

<*> Заполняется врачом-эпидемиологом совместно с санитарными врачами и другими специалистами ФБУЗ "Центр гигиены и эпидемиологии" Роспотребнадзора¶. (в ред. Изменения N 1, утв. Роспотребнадзором от 05.08.2022)  

Приложение 5
(обязательное)

                    Паспорт микробиологической
           (бактериологической, особо опасных инфекций)
         лаборатории для проведения исследований на холеру
 
                         I. Общие сведения
 
Почтовый адрес лаборатории _______________________________________
Ведомственная принадлежность _____________________________________
Паспорт составлен "__" ______________ 20__ г.
Паспорт корректирован "__" _______________ 20__ г.
Производственная   мощность   лаборатории   (количество анализов в
сутки)____________________________________________________________
в том числе на холеру от людей ___________________________________
в том числе на холеру из объектов окружающей среды _______________
Планируемая  мощность  лаборатории  при  исследовании  на холеру в
сутки ____________________________________________________________
в том числе от людей _____________________________________________
в том числе из объектов окружающей среды _________________________
 
                  II. Характеристика лаборатории
 
Тип здания (типовой проект, приспособленное) _____________________
Этаж _____________________________________________________________
Количество входов ________________________________________________
Общая площадь ____________________________________________________
Полезная площадь _________________________________________________
Вентиляция (тип) _________________________________________________
Водоснабжение (тип) ______________________________________________
Канализация (тип) ________________________________________________
Отопление ________________________________________________________
Освещение ________________________________________________________
Газоснабжение ____________________________________________________
Число помещений (всего) __________________________________________
Набор помещений и их площади (перечислить)
1. _______________________________________________________________
2. _______________________________________________________________
3. _______________________________________________________________
и т.д.
Санитарно-эпидемиологическое  заключение на право работы с ПБА (N,
дата получения) __________________________________________________
План-схема  лаборатории  с  указанием предназначения помещений, их
площадей и потока движения заразного материала (прилагается).
План-схема  перепрофилирования  лаборатории  для  работы на холеру
(прилагается).
 
             III. Штаты лаборатории и приписной состав
 
 N 
п/п
 Ф., 
И.,
О.
Должность
 Квалификационная 
категория
   Наличие 
сертификата
специалиста
  Откуда 
приписан
(название
учреждения)
 1
  2 
    3 
        4 
      5 
     6 
 
        IV. Материально-техническое обеспечение лаборатории
 
Боксы биологической безопасности II класса (количество, марки) ___
__________________________________________________________________
Автоклавы (Приложение 1)
Термостаты (Приложение 2)
Иономеры, pH-метры (количество, марки, аттестация) _______________
__________________________________________________________________
Холодильники (количество, марки) _________________________________
__________________________________________________________________
Весы (количество, марки, аттестация) _____________________________
__________________________________________________________________
Электроплиты (количество, марки) _________________________________
__________________________________________________________________
Дистилляторы (количество, марки) _________________________________
__________________________________________________________________
Сухожаровые шкафы (количество, марки) ____________________________
__________________________________________________________________
Микроскопы (количество, марки) ___________________________________
__________________________________________________________________
Центрифуги (количество, марки) ___________________________________
__________________________________________________________________
Амплификаторы (количество) _______________________________________
Комплекты оборудования для проведения электрофореза (количество) _
__________________________________________________________________
Комплекты оборудования для визуализации (количество) _____________
Бактерицидные лампы (количество, марки) __________________________
__________________________________________________________________
Пипеточные дозаторы (количество) _________________________________
Другое оборудование ______________________________________________
__________________________________________________________________
 
        V. Необходимое материально-техническое обеспечение
       лаборатории, в том числе на случай перепрофилирования
 
 N 
п/п
     Вид и 
наименование
имущества
   Количество 
            Источник получения недостающего 
имущества при перепрофилировании
требуется
имеется
из резерва
 из других 
лабораторий
из торгующих 
организаций
из других 
источников
основание 
1 
Автоклавы 
 
 
 
 
 
 
 
2 
Термостаты 
 
 
 
 
 
 
 
3 
Защитная одежда
 
 
 
 
 
 
 
4 
Лабораторная 
посуда
 
 
 
 
 
 
 
5 
Питательные 
среды
 
 
 
 
 
 
 
6 
Диагностические 
препараты
 
 
 
 
 
 
 
7 
Антибиотики 
 
 
 
 
 
 
 
8 
Дезинфицирующие 
средства
 
 
 
 
 
 
 
9 
Другое 
оборудование
 
 
 
 
 
 
 
 
                          VI. Транспорт
 
 N 
п/п
   Вид 
транспорта
    Откуда выделяется 
(наименование учреждения)
 Назначение 
транспорта
Основание
 1
    2 
            3 
      4 
    5 
 
                                                      Приложение 1
 
                     Характеристика автоклавов
 
  Общее 
количество
  N 
п/п
 Марка 
Год выпуска
 Гидравлические испытания 
(дата, год)
    1 
  2
   3 
     4 
            5 
 
                                                      Приложение 2
 
                    Характеристика термостатов
 
  Общее 
количество
 N 
п/п
 Марка 
 Год выпуска 
  Аттестация (дата, год)  
    1 
 2 
   3 
      4 
            5 
 
Подписи
 
Главный врач (наименование учреждения)        подпись       Ф.И.О.
 
Зав. лабораторией                             подпись       Ф.И.О.
 

Приложение 6
(обязательное)

ФОРМИРОВАНИЕ ЛАБОРАТОРНОЙ БАЗЫ ОЧАГА ХОЛЕРЫ

N п/п Наименование учреждения Виды выполняемых исследований <*> Производственная мощность <**> Наименование стационаров (групп, направивших пробы) Обеспечение кадрами
врачи лаборанты младший медперсонал
расчетное количество наличие требуется дополнительно расчетное количество наличие требуется дополнительно расчетное количество наличие требуется дополнительно
1 2 3 4 5 6 7 8 9 10 11 12 13 14

<*> 1. Анализы на холеру: от больных и вибриононосителей, от контактировавших с больными и вибриононосителями, от населения на вибриононосительство, объекты окружающей среды. 2. Идентификация культур холерных вибрионов. 3. Серологические исследования на холеру больных, переболевших, других контингентов. 4. Контроль питательных сред. 5. Анализы на другие кишечные инфекции.

<**> Расчет производственной мощности и потребности в кадрах производится в соответствии с разделами 6.2 и 6.3 настоящих МУ. Объем исследований на другие кишечные инфекции не входит в расчет производственной мощности и определяется дополнительно.

Приложение 7
(рекомендуемое)

НОРМЫ
РАСХОДА ДИАГНОСТИЧЕСКИХ ПРЕПАРАТОВ И ПИТАТЕЛЬНЫХ СРЕД НА ОДИН АНАЛИЗ ПРИ ИССЛЕДОВАНИИ НА ХОЛЕРУ

Наименование Ед. измерения Нормы расхода при исследовании
с выделением культуры без выделения культуры
1* 2* 1* 2*
1 2 3 4 5 6
Сыворотка диагностическая холерная О1 мл 0,1 0,1 0,05 0,1
Сыворотка диагностическая холерная Огава мл 0,1 0,1 - -
Сыворотка диагностическая холерная Инаба мл 0,1 0,1 - -
Сыворотка диагностическая холерная РО мл 0,1 0,1 0,05 0,01
Сыворотка диагностическая холерная О139 для РА на стекле мл 0,2 0,2 0,1 0,1
Бактериофаги холерные диагностические: мл        
- классические   0,1 0,1 - -
- эльтор   0,1 0,1 - -
Иммуноглобулины холерные диагностические люминесцирующие мл 0,05 0,05 - -
Бактериофаги диагностические холерные ТЭПВ 1 - 7 мл по 0,05 каждого по 0,05 каждого    
Холерные фаги ctx+ и ctx- мл по 0,1 по 0,1    
Питательные среды
Агар питательный щелочной:          
- сухой г 3,0 3,0 2,5 2,5
- готовый мл 150,0 150,0 120,0 120,0
Среда элективная диагностическая для выделения холерного вибриона сухая (СЭДХ) г 0,5 0,5 0,5 0,5
Питательная среда для определения чувствительности к антибиотикам г 25,0 25,0 - -
на одно определение
Пептон:          
- сухой г 1,2 1,2 1,2 1,2
- основной (10%-й раствор) мл 12,0 120,0 12,0 120,0
Бульон питательный pH 7,0 - 7,2 мл 10,0 10,0 - -
Углеводы, аминокислоты
Углеводы:          
сахароза г 0,2 0,2 - -
мапноза г 0,2 0,2 - -
арабиноза г 0,2 0,2 - -
маннит г 0,2 0,2 - -
лактоза г 0,2 0,2 - -
инозит г 0,2 0,2 - -
дульцит г 0,2 0,2 - -
салицин г 0,2 0,2 - -
крахмал г 0,2 0,2 - -
глюкоза г 0,5 0,5 - -
Аминокислоты:          
лизин г 0,02 0,05 - -
орнитин г 0,02 0,05 - -
аргинин г 0,02 0,05 - -
Теллурит калия мл 0,01 0,015 0,01 0,015
Примечание: 1* - от людей; 2* - из объектов окружающей среды.

Приложение 8
(рекомендуемое)

ТАБЕЛЬ ОСНАЩЕНИЯ ЛАБОРАТОРИИ МОЩНОСТЬЮ 200, 500 И 1000 АНАЛИЗОВ НА ХОЛЕРУ В СУТКИ (ПРОДОЛЖИТЕЛЬНОСТЬ РАБОТЫ 30 ДНЕЙ)

N п/п Наименование Ед. измерения Мощность лаборатории (анализов)
200 500 1000
1 2 3 4 5 6
I. Оборудование
1 Автоклав вертикальный электрический шт. 1 2 3
2 Автоклав горизонтальный -"- 1 1 2
3 Аппарат для инактивирования сыворотки -"- 1 1 1
4 Бикс металлический разного размера -"- 7 10 20
5 Баллончик резиновый N 0 или 1 -"- 7 10 15
6 Весы технические (до 1 кг) с разновесами -"- 1 1 1
7 Весы аптечные с разновесами -"- 1 1 1
8 Гидропульт -"- 1 1 1
9 Дистиллятор электрический переносной ДП-3 -"- 1 1 1
10 Иглы к шприцам разные -"- 50 50 50
11 Зажим для резиновых трубок пружинящий -"- 3 5 10
12 Лабораторный pH-метр -"- 1 1 1
13 Корнцанг -"- 3 3 3
14 Лампы запасные для МЛД -"- 1 2 2
15 Лупа ручная 1 х 10,1 х 2,5 -"- 2 3 5
16 Микроскоп МБР-1 -"- 2 3 5
17 Микроскоп (лупа) с устройством для косого освещения -"- 1 1 1
18 Микроскоп люминесцентный МЛД-1 или МЛД-2 -"- 1 1 1
19 Ножницы -"- 3 3 3
20 Осветители к микроскопам ОИ-19 -"- 3 3 3
21 Насос водоструйный -"- 1 1 1
22 Облучатель бактерицидный настенный -"- 1 2 3
23 Термостатирующее устройство -"- 1 1 2
24 Петледержатели -"- 6 8 15
25 Петли бактериологические диаметром 0,3 - 0,5 мм -"- 10 20 30
26 Петли алюминиевые для забора материала шт. 600 1500 3000
27 Пинцет анатомический -"- 5 5 5
28 Пластины асбестовые к фильтрам Зейтца 30 мм -"- 15 20 50
29 Пипетки автоматические -"- 3 5 5
30 Пробки резиновые разного размера кг 1,5 3 5
31 Пробки корковые разного размера -"- 0,3 0,5 0,5
32 Пластины полистироловые для РНГА шт. 10 15 30
33 Сушильный шкаф стерилизационный 2В-151 -"- 1 2 3
34 Стерилизатор электрический разных размеров -"- 2 2 2
35 Стерилизационная коробка 39,5 х 19,5 -"- 2 2 2
36 Стандарт мутности для приготовления микробной взвеси N 10 и 5 -"- по 1 по 2 по 2
37 Скальпель -"- 5 5 5
38 Термометр химический на 200 - 250 °С -"- 2 2 2
39 Термометр химический на 100 °С -"- 2 2 2
40 Термостат электрический -"- 1 2 3
41 Термометр медицинский, максимальный -"- 5 5 5
42 Устройство фазово-контрастное -"- 1 1 2
43 Фильтры Зейтца 30 мм с устройством для фильтрации -"- 2 2 3
44 Холодильник бытовой емк. 220 л -"- 1 2 3
45 Центрифуга лабораторная настольная ЦПН-2 -"- 1 1 1
46 Часы песочные -"- 1 1 2
47 Штатив большой на 40 - 60 гнезд -"- 15 30 50
48 -"- на 10 - 20 гнезд -"- 5 5 5
49 -"- Бунзена -"- 1 1 1
50 Шпатель металлический -"- 5 5 5
51 -"- деревянный пачка 1 2 3

II. Стекло лабораторное
1 Ампула емкостью 1 - 2 мл шт. 500 1000 1000
2 Банка материальная белого стекла с притертой пробкой на 250,0 мл -"- 8 10 12
3 Банка материальная белого стекла с притертой пробкой на 500,0 мл -"- 5 5 7
4 -"- на 100,0 мл -"- 10 10 10
5 Банка материальная емк. 2 - 3 л шт. 5 5 7
6 Бутыль емкостью 1 л -"- 150 350 700
7 Бутыль емкостью 3 л -"- 5 1 5
8 Бутыль емкостью 3 л с нижним тубусом -"- 1 0,1 2
9 Бусы стеклянные кг 0,1 0,1 0,1
10 Бюретки градуированные емкостью 25 - 20 мл шт. 2 2 2
11 Воронки химические разных размеров -"- 2 2 2
12 Колба конич. плоскодонная емкостью 100 мл -"- 10 10 10
13 -"- 250 мл -"- 10 10 10
14 -"- 500 мл -"- 10 10 10
15 -"- 1000 мл -"- 5 5 5
16 Кристаллизатор или эмалированная миска -"- 5 5 10
17 Мензурка градуированная разной емкости -"- 3 3 3
18 Мембранные фильтры N 2, 3, 4, 5 -"- 400 400 400
19 Пипетки градуированные на 1 мл -"- 300 500 700
20 -"- 2 мл -"- 50 70 100
21 -"- 5 мл -"- 50 70 100
22 -"- 10 мл -"- 15 30 50
23 -"- 0,1 мл -"- 3 5 5
24 Пипетка пастеровская -"- 2000 2000 2000
25 Пробирки бактериологические 12 х 120 с ватно-марлевыми пробками -"- 2000 5000 10000
26 Пробирки агглют. с ватно-марлевыми пробками -"- 100 200 400
27 Поплавки кг 0,2 0,3 0,5
28 Пробирки центрифужные шт. 10 20 30
29 Стекло предметное -"- 400 1000 2000
30 Стекло с луночкой -"- 5 5 5
31 Стекло покровное кор. 5 10 20
32 Стаканы фарфоровые или граненые шт. 10 15 20
33 Ступки фарфоровые с пестиком разных размеров -"- 5 7 10
34 Спиртовки -"- 4 6 10
35 Флаконы 100,0 мл с ватно-марлевыми пробками -"- 600 1500 3000
36 Флаконы 200,0 мл -"- 50 100 150
37 Флаконы 500,0 мл -"- 30 50 100
38 Цилиндр мерный -"- 2 2 2
39 Чашки Петри для выращивания бактериальных культур -"- 2000 5000 10000
40 Шприцы 1,0; 2,0; 5,0 -"- 5 7 10
41 Шприцы-дозаторы -"- 5 10 10

III. Питательные среды, краски, реактивы
Среды
1 Агар-агар кг 0,3 0,7 1,5
2 Агар щелочной сухой -"- 20 50 70
3 Питательная среда для определения чувствительности к антибиотикам -"- 1 1,5 2
4 Бульон мясопептонный л 4 10 20
5 Среда элективная диагностическая для выделения холерного вибриона сухая - СЭДХ кг 5 10 20
6 Пептон основной сухой -"- 42 105 210
7 Пептон сухой -"- 0,25 0,5 1
8 Углеводы и спирты: манноза г 5 10 20
  арабиноза -"- 5 10 20
  сахароза -"- 50 125 250
  маннит -"- 5 10 20
  инозит -"- 1 2 5
  глюкоза -"- 50 100 200
  лактоза -"- 20 50 100
  салицин -"- 1 2 5
  дульцит -"- 1 2 5
9 Системы индикаторные бумажные для идентификации микроорганизмов: набор      
  - N 1 - для вибрионов   2 5 10
  - N 2 - межродовой дифференциации энтеробактерий   1 2 2
10 Микротест-система для биохимической идентификации вибрионов (MTC-V) набор 2 5 10
11 Микротест-система для ускоренного определения групп вибрионов по Хейбергу (MTC-X) -"- 1 2 2
12 Эритроциты барана отмытые мл 5 10 10
13 Эритроциты куриные отмытые -"- 5 10 10
14 Физиологический раствор л готовится на месте
Реактивы, краски
15 Бромтимоловый синий г 3 5 5
16 Бумага лакмусовая красная -"- 20 50 100
17 -"- синяя -"- 20 50 100
18 Генцианвиолет -"- 10 25 50
19 Глицерин кг 2 3 5
20 Диметил-парафенилендиамин дигидрохлорид или тетраметил-парафенилендиамин цигидрохлорид, или аминодиметил-анилин гидрохлорид (оксалат) г 2 5 10
21 Йод кристаллический г 5 10 20
22 Калий фосфорно-кислый двузамещенный (K2HPO4) -"- 1 3 5
23 Калий фосфорно-кислый однозамещенный (KH2PO4) -"- 5 10 20
24 Калий азотно-кислый -"- 5 10 20
25 Калий едкий -"- 30 100 150
26 Крахмал растворимый -"- 10 25 50
27 Калий йодистый -"- 3 5 10
28 Кислота щавелевая мл 50 100 100
29 Кислота соляная -"- 50 100 100
30 Кислота серная -"- 50 100 100
31 Лизин г 1 2,5 5
32 Орнитин -"- 1 2,5 5
33 Аргинин -"- 1 2,5 5
34 Масло иммерсионное г 50 100 150
35 Масло иммерсионное нефлуоресцирующее -"- 10 30 50
36 Диметилфталат фл. 1 1 1
37 Натрий хлористый г 600 1500 3000
38 Натрий едкий -"- 50 100 150
39 Натрий углекислый -"- 50 125 250
40 Натрий двууглекислый -"- 300 500 1000
41 Натрий серноватисто-кислый -"- 50 100 200
42 Натрий лимонно-кислый -"- 50 100 200
43 альфа-Нафтол -"- 15 35 70
44 Свинец уксусно-кислый -"- 10 20 50
45 Тимоловый синий -"- 3 5 5
46 Теллурит калия -"- 5 15 30
47 Фуксин основной Циля мл 20 50 100
48 Фуксин кислый -"- 10 30 50
49 Фуксин по Синеву лист 300 750 1500
50 Феноловый красный г 0,05 0,01 0,2
51 Хлороформ фл. 5 5 5
52 Диметилсульфоксид (ДМСО) -"- 2 2 2

IV. Диагностические препараты
1 Диагностикум холерный О1 иммуноглобулиновый суспензионный (эритроцитарный или полимерный) кор. 1 1 2
2 Комплемент сухой амп. 100 250 500
3 Бактериофаги холерные диагностические классический и эльтор мл 10 25 50
4 Бактериофаги диагностические холерные ТЭПВ 1 - 7 (типирующие энтеропатогенные вибрионы) кор. 1 1 1
5 Бактериофаги диагностические холерные эльтор ctx+ и ctx- -"- 1 1 1
6 Сыворотка агглютинирующая холерная "О" мл 25 50 100
7 Сыворотка агглютинирующая холерная "Инаба" -"- 20 40 75
8 Сыворотка агглютинирующая холерная "Огава" -"- 20 40 75
9 Сыворотка агглютинирующая холерная "RO" -"- 5 20 40
10 Сыворотка агглютинирующая холерная О139 -"- 5 10 20
11 Иммуноглобулины диагностические флуоресцирующие холерные О1 -"- 10 50 100
12 Сыворотка кроличья нормальная -"- 40 100 200
13 Ген - Хол тест-система для выявления ДНК V. Cholerae (ctx A+) методом ПЦР набор 1 1 2

V. Медикаменты и дезинфицирующие средства
Антибактериальные препараты для определения антибиотикограммы возбудителей
1 Доксициклин капс. 10 10 10
2 Тетрациклин табл. 20 20 20
3 Левомицетин -"- 10 10 10
4 Налидиксовая кислота капс. 5 5 5
5 Ципрофлоксацин табл. 5 5 5
6 Фуразолидон -"- 10 10 10
7 Ампициллин фл. 20 20 20
8 Цефотаксим -"- 1 1 2
9 Рифампицин капс. 5 5 5
10 Стрептомицин фл. 2 2 2
11 Гентамицин -"- 2 2 2
12 Канамицин -"- 2 2 2
13 Сульфаметоксазол/триметоприм или сульфамонометоксин/триметоприм табл. 10 10 10
14 Полимиксин "М" или "В" табл. 10 10 10
Растворители для антибактериальных препаратов
15 Димексид (диметилсульфоксид, ДМСО) фл. 2 2 2
16 Едкий калий (KOH) табл. 10 10 10
Для экстренной профилактики на случай аварии необходимо предусмотреть: доксициклин, левомицетин, ципрофлоксацин, фуразолидон, канамицин (таблетки), сульфаметоксазол/триметоприм или сульфамонометоксин/триметоприм по количеству работающих в лаборатории
Прочие медикаменты, дезинфицирующие средства
1 Вазелин г 50 50 50
2 Вазелиновое масло -"- 300 750 1500
3 Спирт ректификат л 75 150 300
4 Спирт нашатырный -"- 2 3 5
5 Хлорамин -"- 20 30 50
6 Хлорная известь -"- 10 15 15
7 Хлорофос -"- 3 3 3

VI. Оборудование для ПЦР диагностики
1 Автоматический ридер (флюориметр) шт. 1 1 1
2 Видеосистема результатов электрофореза шт. 1 1 1
3 Источник постоянного тока шт. 2 2 2
4 Компьютер Pentium шт. 1 1 1
5 Комплект для проведения электрофореза шт. 1 1 1
6 Программируемый термоциклер (амплификатор) шт. 2 2 2
7 Пробирки пропиленовые Эпиндорф 0,6 мл шт. 4000 4000 4000
8 Пробирки пропиленовые Эпиндорф 1,5 мл шт. 4000 4000 4000
9 Твердотельный термостат шт. 1 1 1
10 Ультрафиолетовый трансиллюминатор 310 - 320 нм, фильтр 20 х 20 см шт. 1 1 1
11 Фотоаппарат цифровой с комплектом светофильтров шт. 1 1 1
12 Центрифуга лабораторная настольная шт. 1 1 1
13 Микроцентрифуга лабораторная настольная 1200_g шт. 1 1 1

VII. Хозяйственное оборудование
1 Бумага фильтровальная кг 5 7 15
2 Бумага писчая -"- 2 3 5
3 Бумага папиросная или полупергамент -"- 3 5 10
4 Бумага оберточная -"- 20 30 50
5 Бачки металлические для автоклавов шт. 5 7 10
6 Вата гигроскопическая белая кг 30 40 60
7 Ведра оцинкованные шт. 3 3 3
8 Ведра эмалированные с крышками -"- 5 7 10
9 Ерш для мытья посуды -"- 15 20 30
10 Веревка бельевая кг 5 5 5
11 Воронка металлическая шт. 1 1 1
12 Калоши глубокие пар 5 5 5
13 Журналы канцелярские шт. 5 7 10
14 Кипятильник электрический -"- 2 3 5
15 Карандаш по стеклу кор. 3 5 10
16 Карандаши канцелярские шт. 15 20 30
17 Клеенка подкладная м 20 30 50
18 Кюветы эмалированные разного размера шт. 3 3 5
19 Кастрюли эмалированные на 10 л -"- 3 5 10
20 Кастрюли эмалированные на 20 л -"- 2 2 3
21 Кастрюли алюминиевые на 30 л -"- 1 1 2
22 Керосин л 10 10 10
23 Корыто оцинкованное шт. 1 1 1
24 Кружка эмалированная -"- 2 2 2
25 Канистра на 20 л -"- 2 2 2
26 Косынки или шапочки медицинские -"- 50 110 170
27 Лампы электрические -"- 5 10 10
28 Лампы электрические настольные -"- 3 3 3
29 Лампы керосиновые -"- 2 5 5
30 Лампа паяльная -"- 1 1 1
31 Линейка канцелярская -"- 1 1 1
32 Лейкопластырь упак. 5 8 10
33 Марля м 40 60 100
34 Моющие средства: "Прогресс" л 1 3 5
  -"- порошки кг 2 5 10
35 Мешок тарный шт. 5 5 5
36 Миска эмалированная -"- 6 8 10
37 Мыло хозяйственное кус. 20 30 60
38 Мыло туалетное -"- 20 30 45
39 Мешковина м 15 20 25
40 Нитки суровые в бабинах шт. 5 8 10
41 Носки пар 50 110 170
42 Нарукавники -"- 2 4 6
43 Перчатки хирургические -"- 30 50 70
44 Перчатки анатомические -"- 20 30 50
45 Полотенца шт. 30 50 75
46 Простыни -"- 3 3 3
47 Пижамы -"- 50 110 170
48 Плитка электрическая -"- 2 3 5
49 Прищепки бельевые -"- 50 50 50
50 Пластилин пал. 10 10 10
51 Печать металлическая шт. 1 1 1
52 Пеналы для пипеток -"- 5 15 10
53 Пеналы для 10 чашек -"- 60 125 125
54 Свечи стеариновые -"- 10 10 20
55 Стеклограф -"- 7 10 20
56 Таз эмалированный -"- 3 5 8
57 Тальк г 750 1000 1500
58 Тапочки пар 25 55 90
59 Трубка резиновая диаметром 0,5 см кг 0,7 1 1,5
60 Учетные формы в соответствии с инструкцией        
61 Фартук клеенчатый шт. 2 4 6
62 Халат медицинский -"- 50 110 170
63 Шпагат кг 5 5 5

Приложение 9
(обязательное)

               Паспорт госпиталя для больных холерой
                (провизорного госпиталя, изолятора)
 
область (край, республика) ________________ район ________________
Наименование населенного пункта, где развернут госпиталь
__________________________________________________________________
                              Составлен "__" _____________ 200_ г.
                              Корректирован "__" _________ 200_ г.
1. Количество коек в развертываемом стационаре ___________________
2. База развертывания (больница, школа, гостиница и т.п.)
__________________________________________________________________
3.  Основание  (решение  органа  управления  здравоохранением  или
органа местного самоуправления).
4.  Помещения,  выделяемые  для  развертывания холерного госпиталя
(провизорного госпиталя, изолятора):
 
 N 
п/п
 Предназначение помещения
    N 
помещения
Площадь 
(кв. м)
Количество 
коек (для
палат)
   обычное
      при 
развертывании
холерного
госпиталя
(провизорного
госпиталя,
изолятора)
 1
     2 
       3 
    4 
   5 
     6 
 
 
 
 
 
 
 
5.  План-схема  развертывания  холерного  госпиталя  (провизорного
госпиталя, изолятора) - помещения и территория (прилагается).
6.   План   перевода   больных   в   другие медицинские учреждения
(прилагается).
7.  Штаты медицинского персонала холерного госпиталя (провизорного
госпиталя, изолятора)
 
 N 
п/п
Должность
 Фамилия, имя, 
отчество
Специальность
 Откуда выделяется 
 1 
    2 
       3 
      4 
         5 
 
 
 
 
 
 
8. Материально-техническое и коммунально-бытовое обеспечение.
8.1. Материально-техническое обеспечение
 
 N 
п/п
   Вид и 
наименование
имущества
    Количество 
            Источник получения 
недостающего имущества
требуется
имеется 
в
наличии
  из 
резерва
    из 
других
лечебных
учреждений
    из 
торгующих
организаций
    из 
предприятий
и
учреждений
основание
 1 
      2 
    3 
   4 
   5 
    6 
     7 
     8 
    9 
 
 
 
 
 
 
 
 
 
 
Постельное белье _________________________________________________
Мебель ___________________________________________________________
Холодильники _____________________________________________________
Предметы ухода за больным и т.д. _________________________________
8.2. Коммунально-бытовое обеспечение
 
 N 
п/п
   Вид 
обеспечения
      Кто и как обеспечивает, 
в каком объеме
 Основание 
   в обычных 
условиях
 при развертывании 
спец. стационара
 1 
     2 
       3 
         4 
     5 
 
 
 
 
 
 
Водоснабжение ____________________________________________________
Отопление ________________________________________________________
Энергоснабжение __________________________________________________
Канализование ____________________________________________________
Стирка белья _____________________________________________________
Организация питания больных ______________________________________
9. Транспорт
 
 N 
п/п
   Вид 
транспорта
 Откуда выделяется 
(наименование
учреждения)
    Назначение 
транспорта
(перевозка
больных,
для хозяйственных
нужд и т.д.)
Основание
 1 
    2 
        3 
         4 
    5 
 
 
 
 
 
 
9.1.  Место  и условия обработки транспорта (наличие площадки, кто
проводит) ________________________________________________________
__________________________________________________________________
__________________________________________________________________
10. Медицинское имущество и средства лечения
 
 N 
п/п
Перечень 
имущества
и средств
лечения
    Количество 
     Источники получения 
требуется
фактически 
имеется
   текущее 
довольствие
лечеб.
учрежд.
неснижаемый 
запас
учреждения
 1 
    2 
    3 
     4 
      5 
     6 
 
 
 
 
 
 
 
недостающего количества 
из резерва
 из местных аптек 
 из других 
ведомств
  прочие 
источники
основание
    7 
         8 
9 
     10 
    11 
 
 
 
 
 
 
Главный врач медицинского учреждения,
на базе которого планируется развертывание
холерного госпиталя (провизорного, изолятора)
Ф.И.О.                                                     Подпись
 
Главный санитарный врач в городе, районе
Ф.И.О.                                                     Подпись
 
Паспорт составлен:
Должность
Ф.И.О.                                                     Подпись
 
Дата корректировки
Занимаемая должность
Ф.И.О.                                                     Подпись
 

Приложение 10
(рекомендуемое)

РАСЧЕТ АВТОТРАНСПОРТА ДЛЯ РАБОТЫ В ОЧАГЕ ХОЛЕРЫ

N п/п Марка автотранспорта Имеющийся в наличии автотранспорт Необходимое количество автотранспорта на предполагаемое количество больных Наименование организаций, выделяющих дополнительный автотранспорт Количество и марка выделяемого автотранспорта Подпись руководителя учреждения, выделяющего автотранспорт
1 Для перевозки больных        
2 Для перевозки контактных          
3 Для обслуживания групп эпидобследования, очаговой дезинфекции, контроля противоэпидемического режима          
4 Для обслуживания патологоанатомической группы (захоронение)          

Примечание: Для расчета количества транспорта используются примерные данные: одна машина в ___ час может вывезти одного больного.

Приложение 11
к МУ 3.1.1.2232-07

(рекомендуемый образец)

РЕКОМЕНДУЕМАЯ ФОРМА ПЛАНА ПЕРЕПРОФИЛИРОВАНИЯ ИНФЕКЦИОННЫХ И СОМАТИЧЕСКИХ СТАЦИОНАРОВ (ОТДЕЛЕНИЙ) С УЧЕТОМ ИХ ПОЭТАПНОГО ЗАДЕЙСТВОВАНИЯ В ЗАВИСИМОСТИ ОТ ЭПИДЕМИЧЕСКОЙ СИТУАЦИИ

(в ред. Изменения N 1, утв. Роспотребнадзором от 05.08.2022)

Медицинские организации Количество коек
Инфекционный госпиталь  
на единичные случаи  
в случае групповых и массовых заболеваний  
Провизорный госпиталь  
1-я очередь  
2-я очередь  
Изолятор  
1-я очередь  
2-я очередь  
Обсерватор (при необходимости)