Принято
Протоколом Межгосударственного
совета по стандартизации,
метрологии и сертификации
N 166-П от 19 октября 2023 г.
ИЗМЕНЕНИЕ N 1 ГОСТ 839-2019 "ПРОВОДА НЕИЗОЛИРОВАННЫЕ ДЛЯ ВОЗДУШНЫХ ЛИНИЙ ЭЛЕКТРОПЕРЕДАЧИ. ТЕХНИЧЕСКИЕ УСЛОВИЯ"
Принято Межгосударственным советом по стандартизации, метрологии и сертификации (протокол N 166-П от 19.10.2023)
Зарегистрировано Бюро по стандартам МГС N 17131
За принятие изменения проголосовали национальные органы по стандартизации следующих государств: AM, BY, KG, RU, UZ [коды альфа-2 по МК (ИСО 3166) 004]
Дату введения в действие настоящего изменения устанавливают указанные национальные органы по стандартизации <*>
<*> Дата введения в действие на территории Российской Федерации - 2024-01-01.
Пункт 6.4.1. Таблицу 2 дополнить строкой:
"
| 800 | - | - | - | 61 | 4,10 | 4 | - | - | - |
".
Подпункт 6.5.3.1 изложить в новой редакции: "Медная твердая проволока марки МТ, обозначение М".
Пункт 6.8.5. Наименование таблицы 10. После слова "соединений" дополнить словом: "проволок".
Пункт 6.10.2 изложить в новой редакции:
"6.10.2 Степень деформации
Степень деформации характеризует способность провода противостоять усилию растяжения.
По согласованию с заказчиком (потребителем) может быть представлена зависимость степени деформации от усилия растяжения: кривая "усилие - деформация.".
Пункт 6.11.1. Заменить слова: "Линейные массы проводов (массы единицы длины) указаны в таблицах А.1 - А.8 приложения А. Линейные массы определены" на "Расчетные линейные массы проводов (массы единицы длины) приведены в таблицах А.1 - А.8 (приложение А). Расчетные линейные массы определены".
Пункт 6.11.3 изложить в новой редакции:
"Расчетная масса смазки в проводах марок АКП, АСКС, АСКП и АСК с допуском +/- 30% и плотностью смазки 0,87 г/см3 приведена в таблицах А.2 и А.4 (приложение А).
Массу смазки рассчитывают по методу, приведенному в приложении Г.".
Подраздел 6.12. Таблицу 11 изложить в новой редакции:
"Таблица 11
Строительная длина проводов
| Номинальное сечение токопроводящей части провода, мм2 | Строительная длина, м, не менее, проводов марок |
| М | А, АКП | АН, АЖ, А1, А2 | АС, АСца, АСКС, АСКП, АСК | АТ1С, АТ3С, АТ4С | АТ2С | АСП, АТ1СП, АТ3СП | АСвп, А2Свп |
| 10 | - | - | - | 3000 | - | - | - | - |
| 16 | 4000 | 4500 | 4500 | 3000 | - | - | - | - |
| 25 | 3000 | 4000 | 4000 | 3000 | - | - | - | - |
| 35 | 2500 | 4000 | 4000 | 3000 | - | - | - | - |
| 50 | 2000 | 3500 | 3500 | 3000 | - | - | - | - |
| 70 | 1500 | 2500 | - | 2000 | 2000 | - | 2000 | - |
| 95 | 1200 | 2000 | - | 1500 | 1500 | - | 1500 | - |
| 120 | 1000 | 1500 | 1500 | 2000 | 2000 | 2500 | 2000 | - |
| 150 | 800 | 1250 | 1250 | 2000 | 2000 | 2500 | 2000 | - |
| 185 | 800 | 1000 | 1000 | 2000 | 2000 | 2500 | 2000 | 3000 |
| 205 | - | - | - | 2000 | - | - | 2000 | - |
| 240 | 800 | 1000 | - | 2000 | 2000 | 2500 | 2000 | 3000 |
| 300 | 600 | 1000 | - | 2000 | 2000 | 2500 | 2000 | 3000 |
| 330 | - | - | - | 2000 | - | - | 2000 | 3000 |
| 350 | 600 | 1000 | - | - | - | - | - | - |
| 400 | 600 | 1000 | - | 1500 | 1500 | 2000 | 1500 | 2500 |
| 450 | - | 1000 | - | 1500 | - | - | 1500 | - |
| 500 | - | 1000 | - | 1500 | 1500 | 2000 | 1500 | 2500 |
| 550 | - | 1000 | - | 1200 | - | - | 1200 | - |
| 600 | - | 800 | - | 1200 | - | - | 1200 | - |
| 650 | - | 800 | - | 1000 | - | - | 1000 | - |
| 700 | - | 800 | - | 1000 | - | - | 1000 | - |
| 750 | - | 800 | - | 1000 | - | - | 1000 | - |
| 800 | - | 800 | - | 1000 | - | - | 1000 | - |
| 1000 | - | - | - | 1000 | - | - | 1000 | - |
| Примечание - По согласованию с потребителем строительная длина проводов с повышенной механической прочностью может быть установлена до 4000 м. |
".
Пункт 6.13. Первое перечисление. Заменить слова: "- 45 лет" на "- 50 лет".
Пункт 6.14.2 дополнить абзацем:
"В случае, если на барабан намотано более одного отрезка провода, длина отрезков должна быть указана последовательно, начиная с верхнего.".
Пункт 7.3.2, таблица 12. Исключить строку:
"
| Определение массы провода на барабане | 6.11.1 | 8.7 | 100% |
".
Пункт 7.4.1. Первый абзац изложить в новой редакции:
"7.4.1 Периодические испытания проводят не реже одного раза в год на образцах, отобранных от 10% строительных длин от партии, прошедшей приемо-сдаточные испытания, но не менее, чем на одной строительной длине.".
Пункт 8.7 изложить в новой редакции:
"8.7 Определение массы
8.7.1 Массу 1 км провода (см. 6.11) рассчитывают по методу, изложенному в В.3 (приложение В).
Если провод имеет смазку, номинальную массу смазки рассчитывают по методу, приведенному в приложении Г.
8.7.2 Массу провода на барабане (масса нетто) определяют как разность массы брутто и массы пустого барабана. Определение массы провода проводят на весах статического взвешивания среднего класса точности по ГОСТ OIML R 76-1.".
Приложение А. Таблицу А.2 изложить в новой редакции:
"Таблица А.2
| Номинальное сечение, мм2 | Сечение, мм2 | Диаметр провода, мм | Электрическое сопротивление 1 км провода постоянному току при 20°C, Ом, не более | Разрывное усилие провода, Н, не менее | Масса 1 км провода (без смазки), кг | Масса смазки для 1 км провода марки АКП, кг |
| 16 | 15,9 | 5,10 | 1,8007 | 3021 | 43 | 1 |
| 25 | 24,9 | 6,40 | 1,1498 | 4500 | 68 | 2 |
| 35 | 34,3 | 7,50 | 0,8347 | 5913 | 94 | 3 |
| 50 | 49,5 | 9,00 | 0,5784 | 8198 | 135 | 4 |
| 70 | 69,3 | 10,70 | 0,4131 | 11288 | 189 | 6 |
| 95 | 92,4 | 12,30 | 0,3114 | 14784 | 252 | 8 |
| 120 | 117,0 | 14,00 | 0,2459 | 19890 | 321 | 14 |
| 150 | 148,0 | 15,80 | 0,1944 | 24420 | 406 | 18 |
| 185 | 182,8 | 17,50 | 0,1574 | 29832 | 502 | 23 |
| 240 | 238,7 | 20,00 | 0,1205 | 38192 | 655 | 30 |
| 300 | 288,3 | 22,10 | 0,1000 | 47569 | 794 | 42 |
| 350 | 345,8 | 24,20 | 0,0833 | 57057 | 952 | 50 |
| 400 | 389,2 | 25,60 | 0,0740 | 63420 | 1072 | 56 |
| 450 | 449,1 | 27,30 | 0,0642 | 71856 | 1206 | 64 |
| 500 | 500,4 | 29,10 | 0,0576 | 80000 | 1378 | 73 |
| 550 | 544,0 | 30,30 | 0,0529 | 89760 | 1500 | 83 |
| 600 | 586,8 | 31,50 | 0,0491 | 95632 | 1618 | 89 |
| 650 | 641,7 | 32,90 | 0,0450 | 104575 | 1771 | 97 |
| 700 | 691,7 | 34,20 | 0,0417 | 112725 | 1902 | 105 |
| 750 | 747,4 | 35,60 | 0,0386 | 119584 | 2062 | 113 |
| 800 | 805,4 | 36,9 | 0,0358 | 128856 | 2219 | 123 |
".
Таблица А.3. Подзаголовок "А1" для номинального сечения 50 мм2. Заменить значение: "0,0658" на "0,6580".
Таблицу А.4 изложить в новой редакции:
"Таблица А.4
| Номинальное сечение, мм2 | Сечение алюминий/сталь, мм2 | Диаметр, мм | Электрическое сопротивление 1 км провода постоянному току при 20 °C, Ом, не более | Разрывное усилие, Н, не менее | Масса 1 км провода (без смазки), кг | Масса в 1 км провода, кг |
| алюминиевой части | стального сердечника | смазки в проводах марок | смазки/пленки в проводах марки АСК |
| провода | стального сердечника | АСКС | АСКП |
| 10/1,8 | 10,6/1,77 | 4,5 | 1,5 | 2,7064 | 4089 | 42,7 | 28,9 | 13,8 | 0,5 | 1 | -/0,56 |
| 16/2,7 | 16/2,69 | 5,6 | 1,9 | 1,7818 | 6220 | 64,9 | 44,0 | 20,9 | 1 | 1,5 | -/0,56 |
| 25/4,2 | 24,9/4,15 | 6,9 | 2,3 | 1,1521 | 9296 | 100,3 | 67,9 | 32,4 | 1,5 | 2 | -/0,56 |
| 35/6,2 | 36,9/6,15 | 8,4 | 2,8 | 0,7774 | 13524 | 148,0 | 100 | 48,0 | 2 | 3,5 | -/0,84 |
| 50/8,0 | 48,2/8,04 | 9,6 | 3,2 | 0,5951 | 17112 | 195,0 | 132 | 63,0 | 2,5 | 4,5 | -/0,84 |
| 70/11 | 68/11,3 | 11,4 | 3,8 | 0,4218 | 24130 | 276,0 | 188 | 88,0 | 3 | 6 | 1/1,12 |
| 70/72 | 68,4/72,2 | 15,4 | 11,0 | 0,4194 | 96826 | 755,0 | 188 | 567 | 20 | 20 | 19/3 |
| 95/16 | 95,4/15,9 | 13,5 | 4,5 | 0,3007 | 33369 | 385,0 | 261 | 124 | 4 | 9 | -/1,4 |
| 95/141 | 91,2/141 | 19,8 | 15,4 | 0,3146 | 180775 | 1357,0 | 251 | 1106 | 41 | 35 | 25/4 |
| 120/19 | 118/18,8 | 15,2 | 5,6 | 0,2440 | 41521 | 471,0 | 324 | 147 | 5 | 19 | 5/2 |
| 120/27 | 114/26,6 | 15,4 | 6,6 | 0,2531 | 49465 | 528,0 | 320 | 208 | 7 | 20 | 7/2 |
| 150/19 | 148/18,8 | 16,8 | 5,6 | 0,2046 | 46307 | 554,0 | 407 | 147 | 5 | 24 | 5/2 |
| 150/24 | 149/24,2 | 17,1 | 6,3 | 0,2039 | 52279 | 599 | 409 | 190 | 6 | 25 | 6/2 |
| 150/34 | 147/34,3 | 17,5 | 7,5 | 0,2061 | 62643 | 675 | 406 | 269 | 9 | 26 | 9/2 |
| 185/24 | 187/24,2 | 18,9 | 6,3 | 0,1540 | 58075 | 705 | 515 | 190 | 6 | 30 | 6/2 |
| 185/29 | 181/29 | 18,8 | 6,9 | 0,1591 | 62055 | 728 | 500 | 228 | 7 | 30 | 7/2 |
| 185/43 | 185/43,1 | 19,6 | 8,4 | 0,1559 | 77767 | 846 | 509 | 337 | 11 | 33 | 11/2 |
| 185/128 | 187/128 | 23,1 | 14,7 | 0,1543 | 183816 | 1525 | 517 | 1008 | 37 | 49 | 23/4 |
| 205/27 | 205/26,6 | 19,8 | 6,6 | 0,1407 | 63740 | 774 | 566 | 280 | 7 | 33 | 7/2 |
| 240/32 | 244/31,7 | 21,6 | 7,2 | 0,1182 | 75050 | 921 | 673 | 248 | 8 | 39 | 8/2 |
| 240/39 | 236/38,6 | 21,6 | 8,0 | 0,1222 | 80895 | 952 | 650 | 302 | 10 | 39 | 10/2 |
| 240/56 | 241/56,3 | 22,4 | 9,6 | 0,1197 | 98253 | 1106 | 665 | 441 | 14 | 43 | 14/3 |
| 300/39 | 301/38,6 | 24,0 | 8,0 | 0,0958 | 90574 | 1132 | 830 | 302 | 10 | 48 | 10/2 |
| 300/48 | 295/47,8 | 24,1 | 8,9 | 0,0978 | 100623 | 1186 | 812 | 374 | 13 | 49 | 13/3 |
| 300/66 | 288,5/65,8 | 24,5 | 10,5 | 0,1000 | 117520 | 1313 | 796 | 517 | 18 | 70 | 15/3 |
| 300/67 | 288,5/67,3 | 24,5 | 10,5 | 0,1000 | 126270 | 1323 | 796 | 527 | 18 | 52 | 15/3 |
| 300/204 | 298/204 | 29,2 | 18,6 | 0,0968 | 284579 | 2428 | 823 | 1605 | 60 | 78 | 34/5 |
| 330/30 | 335/29,1 | 24,8 | 6,9 | 0,0861 | 88848 | 1152 | 924 | 228 | 7 | 55 | 7/2 |
| 330/43 | 332/43,1 | 25,2 | 8,4 | 0,0869 | 103784 | 1255 | 918 | 337 | 11 | 57 | 11/3 |
| 400/18 | 381/18,8 | 26,0 | 5,6 | 0,0758 | 85600 | 1199 | 1052 | 147 | 5 | 66 | 5/2 |
| 400/22 | 394/22 | 26,6 | 6,0 | 0,0733 | 95115 | 1261 | 1089 | 172 | 5 | 65 | 5/2 |
| 400/51 | 394/51,1 | 27,5 | 9,2 | 0,0733 | 120481 | 1490 | 1090 | 400 | 14 | 68 | 14/3 |
| 400/64 | 390/63,5 | 27,7 | 10,2 | 0,0741 | 129183 | 1572 | 1074 | 498 | 16 | 64 | 163 |
| 400/93 | 406/93,2 | 29,1 | 12,5 | 0,0711 | 173715 | 1851 | 1119 | 732 | 26 | 80 | 23/4 |
| 450/56 | 434/56,3 | 28,8 | 9,6 | 0,0666 | 131370 | 1640 | 1199 | 441 | 14 | 74 | 13/3 |
| 500/26 | 502/26,6 | 30,0 | 6,6 | 0,0575 | 112548 | 1592,0 | 1384 | 208 | 7 | 87 | 7/2 |
| 500/27 | 481/26,6 | 29,4 | 6,6 | 0,0600 | 112188 | 1537,0 | 1329 | 208 | 7 | 79 | 7/2 |
| 500/64 | 490/63,5 | 30,6 | 10,2 | 0,0588 | 148257 | 1852,0 | 1354 | 498 | 16 | 84 | 14/3 |
| 500/204 | 496/204 | 34,5 | 18,6 | 0,0580 | 319609 | 2979,0 | 1374 | 1605 | 60 | 100 | 20/3 |
| 500/336 | 490/336 | 37,5 | 23,9 | 0,0588 | 466649 | 4005,0 | 1355 | 2650 | 100 | 150 | 43/6 |
| 550/71 | 549/71,2 | 32,4 | 10,8 | 0,0526 | 166164 | 2076,0 | 1518 | 558 | 18 | 94 | 17/3 |
| 600/72 | 580/72,2 | 33,2 | 11,0 | 0,0498 | 183835 | 2170,0 | 1603 | 567 | 20 | 100 | 19/3 |
| 650/79 | 634/78,9 | 34,7 | 11,5 | 0,0456 | 200451 | 2372,0 | 1752 | 620 | 22 | 109 | 20/3 |
| 700/86 | 687/85,9 | 36,2 | 12,0 | 0,0420 | 217775 | 2575,0 | 1900 | 675 | 24 | 118 | 21/3 |
| 750/93 | 748/93,2 | 37,7 | 12,5 | 0,0386 | 234450 | 2800,0 | 2068 | 732 | 26 | 128 | 23/4 |
| 800/105 | 821/105 | 39,7 | 13,3 | 0,0352 | 260073 | 3092,0 | 2269 | 823 | 30 | 141 | 25/4 |
| 1000/56 | 1003,2/56,3 | 42,4 | 9,6 | 0,0288 | 224047 | 3210,0 | 2769 | 441 | 14 | 165 | 13/3 |
".
Приложение Б. Таблицы Б.4 - Б.8, Б.10 изложить в новой редакции:
"Таблица Б.4
Основные параметры, характеризующие медную проволоку марки МТ
| Номинальный диаметр проволоки, мм | Предельное отклонение от номинального диаметра, мм | Временное сопротивление, МПа, не менее | Относительное удлинение, %, не менее | Удельное электрическое сопротивление постоянному току при 20°C, Ом·м· , не более |
| От 1,00 до 3,00 включ. | +/- 0,02 | 422 | 1,0 | 0,01780 |
| Св. 3,00 до 4,00 включ. | +/- 0,03 | 392 | 1,5 | 0,01770 |
| Св. 4,00 до 5,00 включ. | +/- 0,04 | | | |
Таблица Б.5
Основные параметры, характеризующие холоднотянутую алюминиевую проволоку
| Номинальный диаметр алюминиевой проволоки, мм | Предельное отклонение от номинального диаметра, мм | Временное сопротивление, МПа, не менее | Относительное удлинение, %, не менее | Удельное электрическое сопротивление постоянному току при 20°C, Ом·м· , не более |
| До 1,25 включ. | +/- 0,02 | 200 | 1,0 | 0,028264 |
| Св. 1,25 до 1,50 включ. | | 195 | | |
| Св. 1,50 до 1,75 включ. | | 190 | 1,5 | |
| Св. 1,75 до 2,00 включ. | | 185 | | |
| Св. 2,00 до 2,25 включ. | | 180 | | |
| Св. 2,25 до 2,50 включ. | | 175 | | |
| Св. 2,50 до 3,00 включ. | +/- 0,03 | 170 | | |
| Св. 3,00 до 3,50 включ. | | 165 | | |
| Св. 3,50 до 5,00 включ. | +/- 0,04 | 160 | 2,0 | |
Таблица Б.6
Основные параметры, характеризующие проволоку из сплава АВЕ
| Термообработка | Диаметр проволоки, мм | Предельное отклонение от номинального диаметра, мм | Временное сопротивление, МПа, не менее | Относительное удлинение, %, не менее | Удельное электрическое сопротивление постоянному току при 20°C, Ом·м· , не более |
| Без термообработки | От 1,50 до 2,00 включ. | +/- 0,02 | 240 | 1,5 | 0,0300 |
| Св. 2,00 до 3,50 включ. | +/- 0,03 | 220 |
| Св. 3,50 до 4,50 включ. | +/- 0,04 | 200 |
| Термообработанный | От 1,50 до 2,00 включ. | +/- 0,02 | 315 | 3,0 | 0,0325 |
| Св. 2,00 до 3,50 включ. | +/- 0,03 | 300 |
Таблица Б.7
Основные параметры, характеризующие проволоку из сплавов 6101 и 6201
| Марка сплава | Диаметр проволоки, мм | Предельное отклонение от номинального диаметра, мм | Временное сопротивление, МПа, не менее | Относительное удлинение, %, не менее | Удельное электрическое сопротивление постоянному току при 20°C, Ом·м· , не более |
| 6101 | От 1,50 до 3,50 включ. | +/- 0,03 | 295 | 4,0 | 0,03253 |
| Св. 3,50 до 5,00 включ. | +/- 0,04 |
| 6201 | От 1,50 до 3,50 включ. | +/- 0,03 | 325 | 3,0 | 0,03284 |
| Св. 3,50 до 5,00 включ. | +/- 0,04 | 315 |
Таблица Б.8
Основные параметры, характеризующие проволоку из термостойких алюминиевых сплавов АТ1 - АТ4
| Сплав | Номинальный диаметр <*>, мм | Временное сопротивление, МПа, не менее | Относительное удлинение, %, не менее | Удельное электрическое сопротивление постоянному току при 20°C, Ом·м· , не более |
| св. | до, включ. |
| АТ1 | - | 2,60 <**> | 169 | 1,5 | 0,028735 |
| 2,60 | 2,90 | 166 | 1,6 |
| 2,90 | 3,50 | 162 | 1,7 |
| 3,50 | 3,80 | 162 | 1,8 |
| 3,80 | 4,00 | 159 | 1,9 |
| 4,00 | 4,50 <**> | 2,0 |
| АТ2 | - | 2,60 <**> | 248 | 1,5 | 0,031347 |
| 2,60 | 2,90 | 245 | 1,6 |
| 2,90 | 3,50 | 241 | 1,7 |
| 3,50 | 3,80 | 1,8 |
| 3,80 | 4,00 | 238 | 1,9 |
| 4,00 | 4,50 <**> | 225 | 2,0 |
| АТ3 | - | 2,30 <**> | 176 | 1,5 | 0,028735 |
| 2,30 | 2,60 | 169 |
| 2,60 | 2,90 | 166 | 1,6 |
| 2,90 | 3,50 | 162 | 1,7 |
| 3,50 | 3,80 | 1,8 |
| 3,80 | 4,00 | 159 | 1,9 |
| 4,00 | 4,50 <**> | 2,0 |
| АТ4 | - | 2,60 <**> | 169 | 1,5 | 0,029726 |
| 2,60 | 2,90 | 165 | 1,6 |
| 2,90 | 3,50 | 162 | 1,7 |
| 3,50 | 3,80 | 1,8 |
| 3,80 | 4,00 | 159 | 1,9 |
| 4,00 | 4,50 <**> | 2,0 |
<*> Допустимые отклонения от номинального диаметра составляют: +/- 0,03 мм для проволоки номинальным диаметром до 3,00 мм включительно и +/- 1% - для проволоки номинальным диаметром свыше 3,00 мм. <**> Для номинальных диаметров менее 2,60 и более 4,50 мм технические требования должны быть согласованы между изготовителем и потребителем. |
Таблица Б.10
Основные механические характеристики стальной проволоки, плакированной алюминием
| Марка проволоки | Тип | Номинальный диаметр <*>, мм | Временное сопротивление, МПа, не менее | Напряжение при 1-процентном удлинении, МПа, не менее | Относительное удлинение, %, не менее |
| от | до включ. |
| 20SA | А | 1,24 | 3,20 | 1340 | 1200 | 1,5 |
| 3,21 | 3,45 | 1310 | 1180 |
| 3,46 | 3,60 | 1270 | 1140 |
<*> Допустимые отклонения от номинального диаметра составляют: +/- 0,04 мм для проволоки номинальным диаметром до 2,65 мм включительно; +/- 1,5% - для проволоки номинальным диаметром свыше 2,65 мм. |
".
Приложение В. Пункт В.2.2.2, формула (В.6). Пояснение к обозначениям
и
дополнить единицей измерения: "Ом", пояснение к обозначениям
и
дополнить единицей измерения: "шт.".
Приложение Г изложить в новой редакции:
"Приложение Г
(справочное)
НОМИНАЛЬНАЯ МАССА СМАЗКИ МНОГОПРОВОЛОЧНЫХ ПРОВОДОВ
Если применяют смазку неизолированных проводов для уменьшения риска коррозии, масса смазки может быть определена следующим образом.
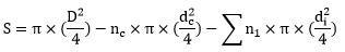
Площадь сечения, занятую смазкой, S, м2, рассчитывают по формуле
(Г.1)
где D - наружный диаметр последнего повива со смазкой, м;
- число стальных проволок, шт.;
- диаметр стальной проволоки, м;
- число алюминиевых проволок в i-м повиве со смазкой, шт.;
- диаметр алюминиевой проволоки в i-м повиве, м.
Массу смазки M, кг, в 1 км провода рассчитывают по формуле
(Г.2)
где
- плотность смазки, кг/м3;
L - длина провода (1000 м);
- коэффициент увеличения длины проволок из-за скрутки; для расчета принимается среднее значение по повивам, равное 1,02.".
Приложение Д. Заменить слово: "обязательное" на "справочное".
Подраздел Д.5. Второй абзац после слов: "усилия (RTS)" дополнить знаком сноски - <1>;
дополнить сноской:
" <1> См. [6].".
Элемент стандарта "Библиография" дополнить позицией [6]:
| "[6] | Международный стандарт МЭК 61089:1991 с изменением N 1:1997 (IEC 61089:1991/Amd. 1:1997) | Провода для воздушных линий электропередачи, скрученные из круглых проволок концентрическими повивами (Round wire concentric lay overhead electrical stranded conductors/Amendment 1)". |