Приказ Росстата от 15.12.2021 N 915

"Об утверждении официальной статистической методологии наблюдения за потребительскими ценами на товары и услуги и расчета индексов потребительских цен"
Редакция от 22.07.2022 — Действует с 01.08.2022

ФЕДЕРАЛЬНАЯ СЛУЖБА ГОСУДАРСТВЕННОЙ СТАТИСТИКИ

ПРИКАЗ
от 15 декабря 2021 г. N 915

ОБ УТВЕРЖДЕНИИ ОФИЦИАЛЬНОЙ СТАТИСТИЧЕСКОЙ МЕТОДОЛОГИИ НАБЛЮДЕНИЯ ЗА ПОТРЕБИТЕЛЬСКИМИ ЦЕНАМИ НА ТОВАРЫ И УСЛУГИ И РАСЧЕТА ИНДЕКСОВ ПОТРЕБИТЕЛЬСКИХ ЦЕН

(в ред. Приказа Росстата от 22.07.2022 N 512)

В соответствии с подпунктом 5.2 Положения о Федеральной службе государственной статистики, утвержденного постановлением Правительства Российской Федерации от 2 июня 2008 г. N 420, приказываю:

1. Утвердить Официальную статистическую методологию наблюдения за потребительскими ценами на товары и услуги и расчета индексов потребительских цен (далее - Методология) (приложение N 1).

2. Признать утратившими силу приказы Росстата согласно приложению N 2.

3. Настоящий приказ вступает в силу с 1 января 2022 года.

Положения Методологии в части использования данных Государственной информационной системы маркировки товаров (ГИС МТ), контрольно-кассовой техники (ККТ) и веб-скрейпинга при формировании официальной статистической информации о средних потребительских ценах и индексах потребительских цен вступают в силу с 1 января 2023 года.

Руководитель
П.В. МАЛКОВ

Приложение N 1
приказом Росстата
от 15.12.2021 N 915

Положения Методологии в части использования данных ГИС МТ, ККТ и веб-скрейпинга при формировании официальной статистической информации о средних потребительских ценах и индексах потребительских цен вступают в силу с 01.01.2023 (пункт 3).

ОФИЦИАЛЬНАЯ СТАТИСТИЧЕСКАЯ МЕТОДОЛОГИЯ НАБЛЮДЕНИЯ ЗА ПОТРЕБИТЕЛЬСКИМИ ЦЕНАМИ НА ТОВАРЫ И УСЛУГИ И РАСЧЕТА ИНДЕКСОВ ПОТРЕБИТЕЛЬСКИХ ЦЕН

(в ред. Приказа Росстата от 22.07.2022 N 512)

I. Общие положения

1. Официальная статистическая методология наблюдения за потребительскими ценами на товары и услуги и расчета индексов потребительских цен (далее - Методология) определяет методы наблюдения за потребительскими ценами (тарифами) на товары и услуги путем комбинирования различных источников информации, порядка формирования средних потребительских цен и индексов потребительских цен на территории Российской Федерации.

Под комбинированием различных источников подразумевается обогащение статистической практики наблюдения за ценами в целях расчета индексов потребительских цен данными существующих альтернативных источников информации о ценах, которое позволяет значительно увеличить масштабы наблюдения за ценами, оптимизировать и максимально автоматизировать процесс обработки информации.

2. Разработка Методологии осуществлена в соответствии с принципами официального статистического учета, определенными Федеральным законом от 29 ноября 2007 г. N 282-ФЗ "Об официальном статистическом учете и системе государственной статистики в Российской Федерации".

Методология подготовлена с учетом международных рекомендаций, изложенных в "Резолюции об индексах потребительских цен", принятой 17-ой Международной конференцией статистиков труда, и "Руководстве по индексу потребительских цен: Концепции и Методы" <1>, разработанном Межсекретариатской рабочей группой по статистике цен (МРГСЦ), включая Евростат, Международной организацией труда (МОТ), Международным валютным фондом (МВФ), Организацией экономического сотрудничества и развития (ОЭСР), Европейской экономической комиссией Организации Объединенных Наций (ЕЭК ООН) и Всемирным банком.

<1> Consumer price index manual: Concepts and Methods/2020/International Labour Organization/International Monetary Fund/Organisation for Economic Co-operation and Development/Statistical Office of the European Union (Eurostat)/United Nations Economic Commission for Europe/The World Bank.

https://www.imf.org/en/Data/Statistics/cpi-manual.

В Методологии учтены основные подходы по обогащению официальной статистики альтернативными данными, изложенные в "Разработке концепции использования "больших данных" (Big data) в государственной статистике с учетом международных рекомендаций. Разработке методологических подходов к использованию "больших данных" в отдельных отраслях статистики".

3. Федеральное статистическое наблюдение за потребительскими ценами, расчет на их основе средних потребительских цен, индексов потребительских цен и оценки индекса потребительских цен осуществляется в соответствии с Федеральным планом статистических работ, утвержденным распоряжением Правительства Российской Федерации от 6 мая 2008 г. N 671-р (далее - Федеральный план статистических работ).

Федеральное статистическое наблюдение за уровнем и динамикой потребительских цен является выборочным и осуществляется с применением методологии и инструментария, которые, в соответствии с подпунктом 5.2 Положения о Федеральной службе государственной статистики, утвержденного постановлением Правительства Российской Федерации от 2 июня 2008 г. N 420, разрабатываются и утверждаются Росстатом.

4. Индекс потребительских цен на товары и услуги (далее - ИПЦ) имеет широкую область применения и, в первую очередь, используется в качестве одного из важнейших показателей, характеризующих инфляционные процессы в стране.

ИПЦ используется при пересчете макроэкономических показателей из текущих цен в сопоставимые цены. Он исчисляется также с целью характеристики изменения потребительских расходов населения на товары и платные услуги в текущем периоде по сравнению с предыдущим (базисным) периодом под влиянием изменения цен на эти товары и услуги по отдельным субъектам Российской Федерации и Российской Федерации в целом.

5. Информация о средних потребительских ценах и тарифах на отдельные виды товаров и услуг используется:

в качестве дополнительного инструмента при анализе ценовой ситуации на потребительском рынке;

для формирования стоимости наборов, исчисленных по различным нормам потребления (условного (минимального) набора продуктов питания и фиксированного набора потребительских товаров и услуг).

6. Порядок применения ИПЦ и средних потребительских цен и тарифов на отдельные виды товаров и услуг, в том числе в целях осуществления государственной финансовой и денежно-кредитной политики, анализа и прогноза ценовых процессов в экономике, изучения динамики социально-экономических явлений, пересмотра минимальных социальных гарантий населению, решения отдельных правовых споров и так далее регламентируется законодательством в соответствующей сфере деятельности.

II. Основные показатели, понятия и определения <1>

<1> Значения понятий и определений приведены в целях данной Методологии.

7. Показатели статистики потребительских цен, формируемые на основе данных о потребительских ценах на товары и услуги:

индекс потребительских цен на товары и услуги (ИПЦ), который характеризует изменение во времени общего уровня цен и тарифов на товары и услуги, приобретаемые населением для непроизводственного потребления. Он измеряет отношение стоимости фиксированного перечня товаров и услуг в ценах текущего периода к его стоимости в ценах предыдущего (базисного) периода;

базовый индекс потребительских цен (БИПЦ), который в отличие от ИПЦ исключает краткосрочные неравномерные изменения цен под влиянием отдельных факторов административного или сезонного характера;

изменение средних потребительских цен (тарифов) на отдельный вид товара или услуги рассчитывается как соотношение цен в отчетном и предыдущем периодах и по своему экономическому содержанию отличается от индекса цен на данный товар или услугу, так как учитывает не только ценовой фактор, но и структурные, ассортиментные сдвиги в реализации товаров и услуг;

оценка ИПЦ - оценочное значение индекса потребительских цен (ИПЦ) по Российской Федерации, рассчитанное на основе еженедельных индексов потребительских цен, зарегистрированных по сокращенному перечню товаров и услуг; (в ред. Приказа Росстата от 22.07.2022 N 512)

средняя потребительская цена (тариф) на отдельный товар (услугу)-представитель - средняя величина из уровней цен на товары (услуги) в различных организациях торговли (сферы услуг). Средние цены формируются под влиянием многообразных ассортиментных, а также территориальных сдвигов, сезонных колебаний и других структурных факторов:

появление новых и исчезновение старых товаров, изменение доли отдельных товаров с различным уровнем цен в объеме реализации, открытие (закрытие) организаций торговли или их перепрофилирование, территориальные сдвиги в размещении товаров с региональной дифференциацией цен и т.д.;

стоимость условного (минимального) набора продуктов питания определяется на основе единых весов (количества продуктов питания по видам) и фактических средних потребительских цен на них по России и субъектам Российской Федерации;

стоимость фиксированного набора потребительских товаров и услуг для межрегиональных сопоставлений покупательной способности населения в целом по Российской Федерации и по субъектам Российской Федерации исчисляется на основе единого условно потребляемого количества товаров и услуг, а также фактических средних потребительских цен по России и субъектам;

индекс стоимости жизни (ИСЖ) - показатель, характеризующий отношение стоимости набора товаров и услуг в отдельных городах к среднероссийскому значению и позволяющий определить, насколько один и тот же установленный набор потребительских товаров и услуг с едиными объемами их потребления в различных городах России дороже (или дешевле), чем аналогичный набор в среднем по России. Таким образом ИСЖ позволяет измерить относительную разницу стоимости жизни в отдельных городах с ее среднероссийским значением.

8. Основные понятия и определения, используемые в рамках данной Методологии:

агрегатный индекс цен на отдельные виды товаров (услуг) - рассчитывается как средневзвешенная величина на базе индивидуальных индексов цен на товары (услуги);

асессор - сотрудник Росстата, выполняющий разметку данных;

базисный период индекса - период, для которого значение индекса устанавливается равным 1,0 или 100%;

базовые организации - выборочная совокупность организаций торговли и сферы услуг, в которых осуществляется регистрация потребительских цен и тарифов по сформированному набору товаров (услуг) - представителей;

"Большие данные" ("Big Data") - массивы неагрегированной неструктурированной информации, обрабатываемые машинными методами, для использования при формировании официальной статистической информации;

веса - мера относительной значимости товаров (услуг) в рамках сводного индекса цен, определяемая на основе потребительских расходов домашних хозяйств;

взвешивание - метод индексных расчетов для получения сводных показателей из индивидуальных, каждому из которых придается определенное значение или вес, в общей их совокупности;

данные Государственной информационной системы маркировки товаров (ГИС МТ) - информация о товарах, обладающих маркировкой в рамках Национальной системы цифровой маркировки и прослеживаемости товаров Центра развития перспективных технологий (ЦРПТ) Честный Знак;

данные ККТ - информация обо всех наличных и безналичных платежах, осуществляемых с использованием контрольно-кассовой техники (ККТ);

данные просеивания веб-страниц (данные веб-скрейпинга) - данные о товарах и услугах, в том числе ценах на них, извлеченные путем технологий просеивания со страниц Интернет-ресурсов информационно-телекоммуникационной сети "Интернет" (далее - сеть "Интернет").

два смещенных года - период времени, за который разрабатываются веса, используемые для расчета ИПЦ в отчетном году: 8 кварталов, предшествующих последнему кварталу предыдущего года;

импутация цен - заполнение отсутствующих цен условными значениями с использованием различных методов их определения;

индекс цен - относительный показатель, характеризующий изменение цен во времени (выражается в коэффициентах или процентах);

индекс цен базисный - характеризует изменение цен за длительный период по отношению к какому-либо периоду или моменту времени;

индекс цен цепной - характеризует изменение цен в отчетном периоде по сравнению с предыдущим периодом;

индивидуальный индекс цен (индекс цен элементарных агрегатов) - представляет собой отношение цены товара (услуги) с конкретными потребительскими свойствами в определенный период времени к цене того же товара (услуги) в предыдущем (базисном) периоде;

инфляция - социально-экономическое явление, характеризующееся общим повышением уровня цен в результате обесценивания наличных и безналичных денежных средств и снижения их покупательной способности;

комбинированная регистрация цен - метод сбора информации о ценах, включающий в себя традиционную ручную регистрацию цен и работу с альтернативными источниками информации;

комбинированные данные - данные, полученные из разных источников, используемые в расчетах;

непродовольственные товары - товары, не предназначенные для употребления в пищу и не являющиеся сырьем для приготовления пищи, реализуемые с целью удовлетворения разнообразного потребительского спроса, например: одежда, обувь, мебель, автомобили, строительные материалы, бытовая техника и т.д.;

отсечение - исключение записи (цены, котировки, организации и т.д.) из дальнейшего расчета ИПЦ;

потребительская цена (тариф) - фактическая цена (тариф) на товар или услугу, реализуемые в свободной продаже в организациях торговли, сферы услуг и общественного питания, а также на розничных рынках и ярмарках, реализующих их на регулярной основе в стационарных и нестационарных (палатки, киоски и т.д.) торговых объектах, принадлежащих как юридическим, так и физическим лицам. Потребительская цена является конечной ценой потребления и включает в себя НДС, акциз и другие косвенные налоги, а также затраты и прибыль организаций товаропроводящей сети;

потребительские расходы домашних хозяйств - расходы домашних хозяйств на конечное потребление, включающие расходы, которые несут домашние хозяйства - резиденты данной страны на потребительские товары или услуги. Расходы на конечное потребление не включают расходы на приобретение основных фондов в форме жилых и нежилых зданий и сооружений или на приобретение ценностей, т.е. товаров, которые хранятся в течение некоторого периода времени в качестве запасов стоимости (картины, скульптуры и тому подобное, признанные произведениями искусства, антиквариат, высокохудожественные ювелирные украшения, обладающие существенной и реализуемой стоимостью, коллекции монет, марок, фарфора, книг, имеющие признанную рыночную стоимость). В потребительские расходы населения также не включаются: налог на доходы физических лиц, сбережения, взносы в государственные внебюджетные фонды. Учет производится по полной стоимости товаров и услуг, независимо от того, полностью или частично они были оплачены на момент приобретения и для каких целей они предназначались (для личного потребления или передачи другому домохозяйству);

потребительские товары (услуги) - товары или услуги, которые используются (без дальнейшей переработки в производстве) домашними хозяйствами для прямого удовлетворения индивидуальных потребностей (или желаний);

продовольственные товары - продукты в натуральном или переработанном виде, находящиеся в обороте и употребляемые человеком в пищу (в том числе продукты детского питания, продукты диетического питания), бутилированная питьевая вода, алкогольная продукция, пиво и напитки, изготавливаемые на его основе, безалкогольные напитки;

разметка данных - процесс проверки идентифицированной и классифицированной информации, обработанной машинными методами;

разметчик - внешний пользователь, выполняющий разметку данных;

регистратор цен - специалист территориальных органов Росстата, осуществляющий регистрацию цен в базовых организациях торговли и сферы услуг;

регистрация цен (тарифов) - сбор информации о ценах на товары (услуги), вошедшие в сформированный набор товаров (услуг)-представителей, на основе различных источников информации в организациях, отобранных для наблюдения за потребительскими ценами;

регулирование цен (тарифов) - сохранение за органами исполнительной власти Российской Федерации, субъекта Российской Федерации и местными органами самоуправления права на установление и пересмотр цен;

рыночная цена - цена, которая формируется под влиянием спроса и предложения на товар в условиях конкурентного рынка;

сводный индекс цен - взвешенное среднее значение всех индивидуальных индексов цен;

сезонность - циклически повторяющиеся изменения, вызванные сменой времен года, периодом созревания зерновых, овощей, фруктов и их переработки, выполнением определенных работ, а также с обычаями, традициями, праздниками и прочими событиями;

сопоставимая цена (тариф) - цена на один и тот же товар (услугу) с конкретными потребительскими свойствами (ценовая котировка), зарегистрированная в отчетном и базисном периодах в одной и той же организации торговли (сферы услуг);

средние сопоставимые цены - цены на товар (услугу)-представитель, рассчитанные из постоянного количества сопоставимых цен на товары с конкретными потребительскими свойствами (ценовых котировок) в отчетном и базисном периодах;

тарифы на услуги - система ставок, в том числе утверждаемых нормативным документом, по которым организации сферы услуг реализуют их потребителям;

товар (услуга)-представитель - малая товарная группа, т.е. совокупность однородных по своему потребительскому назначению конкретных товаров (услуг) определенного вида, которые могут отличаться друг от друга незначительными особенностями (деталями), не влияющими на качество и их основные потребительские свойства;

торговая сеть - совокупность двух и более торговых объектов, которые находятся под общим управлением, или используются под единым коммерческим обозначением или иным средством индивидуализации;

традиционная регистрация цен - фиксирование цен предложений непосредственно в организациях торговли и услуг, в том числе на их сайтах, специалистами территориальных органов Росстата;

цена - денежное выражение стоимости товара в единицах определенной валюты (национальной или международной) за количественную его единицу;

цена базисного периода - цена, принятая за базу сравнения при исчислении индекса цен;

ценовая котировка - цена товара (услуги), имеющего конкретные потребительские свойства и характеристики (наименование, производитель, характерные особенности), зарегистрированная в определенной организации торговли (сферы услуг).

III. Единицы, объекты наблюдения и источники информации о ценах

9. Единицами наблюдения в рамках расчета ИПЦ являются товары и услуги с конкретными потребительскими свойствами, описание которых включает наименование, производителя, марку, бренд, качественные и другие характеристики.

10. Объектами наблюдения являются расположенные в городах организации торговли и сферы услуг, в том числе осуществляющие продажи онлайн, т.е. в сети "Интернет".

ИПЦ формируется для городского населения с распространением данных о потребительских расходах домашних хозяйств на общую численность населения России и субъектов Российской Федерации по категории "Все население".

11. Источниками информации о потребительских ценах являются:

а) административные данные ФНС России - данные, получаемые на основе контрольно-кассовой техники (ККТ) <1>;

<1> При наличии технической возможности использования данных.

б) данные Государственной информационной системы маркировки товаров (ГИС МТ) в части маркированных товаров;

в) данные, получаемые просеиванием веб-страниц торговых организаций;

г) данные онлайн-агрегаторов (авиа и железнодорожных билетов, туроператоров и др.);

д) данные, получаемые путем традиционной регистрации цен непосредственно с прилавков организаций.

11.1 Данные ККТ - данные о ценах на проданные товары и услуги, полученные из электронных чеков.

Данные предоставляются ФНС России в рамках соглашения об информационном взаимодействии, утвержденного приказом Росстата и ФНС России от 21 августа 2020 г. N 482/ЕД-7-1/598@ "О внесении дополнения в приложение N 1 к приказу Федеральной службы государственной статистики и Федеральной налоговой службы от 18 января 2008 г. N 5/ММ-3-11/14@ "О совершенствовании информационного взаимодействия Федеральной службы государственной статистики и Федеральной налоговой службы".

11.2 Данные ГИС МТ - данные о ценах на проданные товары, подлежащие маркировке.

Данные предоставляются ООО "Оператор-ЦРПТ" в рамках соглашения об информационном взаимодействии Министерства промышленности и торговли Российской Федерации, Федеральной службы государственной статистики и Общества с ограниченной ответственностью "Оператор-ЦРПТ" от 26 апреля 2021 г. N с17/28.

11.3 Данные, полученные путем просеивания веб-страниц (веб-скрейпингом) - данные о ценах предложений с сайтов организаций.

Данные формируются на основе просеивания (скрейпинга) Интернет-страниц по ценовым котировкам.

11.4 Данные онлайн-агрегаторов - данные, получаемые на официальных сайтах организаций. В основном это данные о тарифах на услуги транспорта, связи, жилищно-коммунального хозяйства, туризма, гостиниц и др.

11.5 Данные традиционной регистрации цен - цены, собранные специалистами территориальных органов Росстата с использованием мобильных устройств сбора данных в ходе непосредственного посещения организаций торговли и сферы услуг, с их сайтов или путем опроса по телефону.

IV. Система классификаторов, используемых для расчета ИПЦ и определения границ статистического наблюдения за ценами

12. Расчет индекса потребительских цен на товары и услуги осуществляется в двух группировках:

а) в соответствии с классификатором индивидуального потребления по целям (далее - КИПЦ);

б) в национальном определении.

12.1 Классификация индивидуального потребления по целям (Classification Of Individual Consumption By Purpose - COICOP) является одной из четырех функциональных классификаций Системы национальных счетов для анализа потребления расходов домашних хозяйств в соответствии с целями, для которых эти расходы осуществлялись.

Объектами классификации являются товары и услуги, приобретенные населением для личного потребления.

Для классификатора КИПЦ использованы иерархический метод классификации и последовательный метод кодирования.

Национальная специфика наблюдения за потребительскими ценами и тарифами на товары и услуги учитывается на уровне шестого и дополнительных разрядов кода. Пример обозначения объекта классификации в КИПЦ, адаптированного к ИПЦ, приведен в Схеме 1.

Схема 1

Пример обозначения объекта классификации в КИПЦ, адаптированного к ИПЦ

01.1.1.3.1.1 Хлеб и булочные изделия из пшеничной муки высшего сорта

12.2 Классификатор ИПЦ в национальном определении предполагает классификацию укрупненных групп товаров и услуг (продовольственных товаров, непродовольственных товаров и услуг), групп более низкого уровня агрегации, товаров (услуг)-представителей. Кодовое обозначение объекта классификации включает 4 цифровых знака и буквенных обозначений (для групп).

Разработка индексов потребительских цен в классификациях КИПЦ и ИПЦ в национальном определении осуществляется на базе одних и тех же данных о ценах на товары и услуги, и, следовательно, результатом расчетов является идентичное значение сводного показателя.

12.3 Общероссийский классификатор видов экономической деятельности ОКВЭД 2 (ОК 034-2014) содержит записи всех группировок видов экономической деятельности, представленных иерархически.

Для идентификации группировок каждая запись классификатора имеет кодовое обозначение, состоящее из цифр (от двух до шести) с последовательным методом кодирования.

В соответствии с классификатором ОКВЭД 2 идентифицируются виды деятельности организации торговли и сферы услуг и осуществляется отбор объектов наблюдения за ценами.

12.4 Общероссийский классификатор объектов административно-территориального деления (ОКАТО) предназначен для обеспечения сопоставимости и автоматизированной обработки информации в разрезах административно-территориального деления, и используется для формирования показателей по городам и субъектам Российской Федерации.

V. Порядок сбора цен и тарифов на товары и услуги

13. Основанием для проведения регистрации потребительских цен и тарифов является утвержденная приказом Росстата форма федерального статистического наблюдения N 1-потребительские цены "Бланк регистрации потребительских цен и тарифов на товары и услуги".

Сбор ценовой информации осуществляется на основе всех вышеперечисленных источников информации о ценах.

Регистрации подлежит фактическая цена (тариф) товара (услуги) с конкретными потребительскими свойствами, имеющегося в свободной реализации на потребительском рынке и оплачиваемого наличными или безналичными средствами. В рамках наблюдения за потребительскими ценами не учитываются оптовые и мелкооптовые цены.

В наблюдение включаются товары отечественного и импортного производства.

Цены на товары и услуги указываются в валюте Российской Федерации.

5.1 Этапы наблюдения за ценами и расчета показателей

14. Наблюдение за ценами и тарифами на товары и услуги на потребительском рынке и расчет индекса потребительских цен включает в себя следующие этапы работы:

а) Ежегодная часть:

Формирование выборок:

набора товаров (услуг)-представителей;

городов;

базовых организаций торговли и сферы услуг;

перечней товаров и услуг с конкретными потребительскими свойствами;

определение источников информации о ценах для каждого товара (услуги)-представителя в каждом субъекте Российской Федерации и порядок их комбинирования;

определение весов для расчета средних цен и индексов потребительских цен.

б) Регулярная часть:

Сбор данных о ценах и тарифах;

Расчет индексов потребительских цен на отдельные виды и группы товаров и услуг, а также сводного ИПЦ и оценки ИПЦ на все товары и услуги;

Расчет средних цен (тарифов) на товары и услуги;

Расчет стоимости различных наборов потребительских товаров и услуг для межрегиональных сопоставлений покупательной способности населения;

Проверка достоверности информации об уровнях потребительских цен.

Процедура регистрации цен (тарифов) за отчетный период в базовой организации включает:

поиск и идентификацию товара (услуги) с конкретными потребительскими свойствами в соответствии с его детализированными характеристиками;

проверку неизменности детализированных характеристик товара (услуги) с заданными параметрами;

сравнение и изучение возможных отклонений фактической характеристики товара (услуги) от заданных параметров;

многоуровневое отсечение некорректных (экстремальных) ценовых котировок или ценовых котировок, не соответствующих методологическим принципам наблюдения за ценами для расчета ИПЦ;

фиксацию цены на товар (услугу)-представитель в случае его идентичности с товаром (услугой), на который была зарегистрирована цена (тариф) в базисном периоде;

замену на цену (тариф) другого товара (услуги) с аналогичными потребительскими свойствами из однородной ассортиментной группы в случае отсутствия наблюдаемого товара (услуги) с конкретными потребительскими свойствами;

анализ представительности нового товара (услуги) и спроса на него;

регистрацию цены (тарифа) на вновь отобранный товар (услугу) за отчетный и сопоставимый месяцы.

5.2 Периодичность и масштаб наблюдения

15. Регистрация цен и тарифов осуществляется:

по полному перечню товаров (услуг)-представителей, утвержденному соответствующим приказом Росстата, для расчета индекса потребительских цен - ежемесячно по состоянию на конец месяца (по установленному графику). На товары и услуги, цены (тарифы) которых не подвержены резким изменениям, регистрация может быть проведена на один - пять дней ранее установленного времени;

по сокращенному перечню товаров (услуг)-представителей, определенному соответствующим приказом Росстата, - еженедельно по состоянию на понедельник. (в ред. Приказа Росстата от 22.07.2022 N 512)

Регистрируемая еженедельная ценовая информация на товары (услуга)-представители должна фиксироваться в аналогичных с ежемесячной регистрацией цен объектах наблюдения и верифицироваться с ней.

Если сроки обеих регистраций совпадают, то информация по отдельным организациям торговли и сферы услуг, полученная в ходе еженедельной регистрации, включается в массив информации, собираемой в ежемесячном режиме.

5.3 Виды регистрируемых цен

16. Регистрируемые цены в зависимости от источника информации являются ценами предложения или продажи.

а) Цена предложения фиксируется:

с прилавка на ценнике (ярлыке) во время регистрации цен, проводимой специалистами территориальных органов Росстата;

на Интернет-сайтах организаций методом веб-скрейпинга или регистрации цен, проводимой специалистами территориальных органов Росстата (например, цены на туристические услуги, данные о стоимости билетов на пассажирские перевозки на железнодорожном и авиационном транспорте, цены конкретных товаров из каталогов организаций розничной торговли и т.п.). При этом для обеспечения сопоставимости цены (тарифы) фиксируются без стоимости доставки;

в отдельных случаях ценовая информация может быть получена путем опроса по телефону (виды услуг, со стандартными условиями предоставления (например, тарифы на услуги правового характера, жилищно-коммунальные услуги). Ценовая информация, полученная по телефону, должна проверяться непосредственно во время посещения организаций, оказывающих услуги, не реже одного раза в шесть месяцев.

б) Цена продажи (цена из чека) фиксируется из данных ККТ (данные ФНС России или ГИС МТ).

5.4 Принципы обеспечения сопоставимости цен

17. При сборе ценовой информации для расчета ИПЦ должна быть обеспечена возможность определения "чистого" изменения цен и исключено влияние на него различных структурных сдвигов, т.е. выполнено условие сопоставимости ценовых данных в отчетном и предыдущем периодах.

Для обеспечения сопоставимости цен должен выполняться ряд требований:

идентификация товара (услуги) с конкретными потребительскими свойствами и качественными характеристиками в соответствии с его описанием. В "Больших данных" товары (услуги) идентифицируются по их наименованиям с использованием нейронных сетей и работы асессоров/разметчиков, или кодам для маркированных товаров;

соблюдение непрерывности наблюдения за ценами на товары (услуги)-представители в отобранных объектах наблюдения и городах в течение, как минимум, года;

приведение цен на товар (услугу) в установленные единицы измерения;

соблюдение равных интервалов времени между регистрациями цен: для ежемесячной регистрации - 28 - 31 день, для еженедельной - 7 дней.

По товарным позициям, по которым наблюдается цена за набор предметов (например, комплект постельного белья), в случае, если в продаже присутствуют только отдельные предметы, предусмотренные в составе набора, цена его определяется как сумма цен отдельных предметов.

В ходе сбора ценовой информации должно быть обеспечено постоянное количество ценовых котировок на товар (услугу)-представитель, учитываемых в ИПЦ, на протяжении всего отчетного года.

Для идентификации товара (услуги) с конкретными потребительскими свойствами, отобранного для наблюдения, необходимо определить максимально подробное описание, содержащее четкую и ясную характеристику.

Описание товара должно включать его название, страну-изготовитель, наименование торговой марки или фирмы-изготовителя, артикул, номер или наименование модели, состав сырья, расфасовку (вес), сорт, размер, вид упаковки, определенное качество (например, процент жирности) и другие характеристики и признаки, позволяющие отличить данный товар от других. Кроме того, могут быть указаны специфические признаки товара, например, хлеб, нарезанный ломтиками, упакованный в герметичную упаковку и т.п.

Детализация описания товара должна обеспечить возможность безошибочной идентификации его в организации торговли при последующей регистрации цен.

5.5 Порядок учета скидок на товары и услуги

18. Для товаров и услуг, на которые устанавливаются специальные цены (скидки), регистрация цен имеет определенные особенности.

Специальные цены на товары (услуги), имеющие временный характер или действующие в отдельных организациях торговли (сферы услуг), используются для учета при регистрации цен в случае выполнения следующих условий:

сниженные цены доступны для всех категорий покупателей;

информация о скидках доступна покупателям при совершении покупки;

товары (услуги) пользуются спросом;

скидки действуют в течение определенного времени (не менее недели).

При этом необходимо учитывать, что после окончания периода действия скидок соответственно будет зафиксировано повышение цен.

Специальные цены со скидкой не подлежат регистрации в том случае, если:

носят избирательный характер (дискретные скидки) и предоставляются только отдельным категориям покупателей (пенсионерам, инвалидам, многодетным семьям и т.п.), а также при наличии карты постоянного покупателя;

установлены в связи с окончанием срока реализации товара или на товары ненадлежащего качества (поврежденные, загрязненные, имеющие производственный дефект), а также на товарные остатки (последняя пара обуви и т.п.);

носят кратковременный характер и действуют менее недели (цены выходного дня, акции при открытии магазина, праздничные акции);

применяются только при покупке определенного количества товаров (при покупке двух одинаковых товаров и т.п.);

установлены в связи с ликвидацией организации;

установлены на товары, реализуемые в магазинах распродаж, где периодически производится переоценка с дальнейшим снижением цен.

Допускается регистрировать цены по карте постоянного покупателя в крупных гипермаркетах (например, О'кей, Лента), если все покупатели имеют возможность получить данную карту бесплатно либо за условную быстро окупаемую стоимость.

5.6 Приведение цен к требуемой упаковке

19. Расчет цены за требуемую упаковку производится по следующей формуле: (в ред. Приказа Росстата от 22.07.2022 N 512)

где:

- цена за требуемую упаковку;

- цена за фактическую упаковку;

- размер требуемой упаковки (в принятых единицах измерения);

- размер фактической упаковки (в фактических единицах измерения).

Собранная ценовая информация должна быть проанализирована и проверена до начала расчета индексов потребительских цен, а также средних цен (тарифов).

VI. Формирование выборок

6.1 Формирование набора товаров (услуг)-представителей

20. Основные принципы формирования набора товаров (услуг)-представителей.

Потребительский набор товаров (услуг)-представителей (далее - Набор), на основании которого осуществляется наблюдение за ценами и рассчитывается ИПЦ, представляет собой единую для всех субъектов Российской Федерации выборку групп товаров и услуг.

Централизованно определяются наборы товаров (услуг)-представителей для ежемесячного наблюдения за ценами и сокращенный набор для еженедельного наблюдения за ценами. Наборы утверждаются нормативным актом Росстата.

Формируются подробные описания потребительских характеристик каждого товара (услуги)-представителя.

В Набор включаются товары и услуги массового потребительского спроса, а также отдельные их виды необязательного пользования (легковые автомобили, ювелирные изделия из золота, деликатесные продукты и т.д.).

При отборе товаров (услуг)-представителей в Набор учитывается относительная важность их в потреблении, представительность с точки зрения отражения динамики цен на однородные товары, устойчивое наличие их в продаже на территории большинства субъектов Российской Федерации.

Сбором ценовой информации в каждом субъекте Российской Федерации должен быть максимально охвачен весь Набор.

При этом наборы товаров (услуг)-представителей в субъектах Российской Федерации по составу могут незначительно отличаться в меньшую сторону в силу территориальных, национальных и инфраструктурных особенностей.

Допускается исключение из наблюдения определенных позиций в отдельных регионах в случае их систематического отсутствия на потребительском рынке обследуемых городов.

Набор остается неизменным в течение определенного времени, не менее года.

При этом для различных категорий товаров (услуг) оптимальная периодичность актуализации может отличаться: для отдельных продуктов питания и цифровой техники - 1 год; для остальных групп товаров - от 1 до 2 лет; для услуг - от 2 до 3 лет.

21. Методы формирования Набора.

Отбор товаров (услуг)-представителей для регистрации цен производится поэтапно методом направленной выборки.

В Набор включаются продовольственные товары, непродовольственные товары и услуги.

Каждая из перечисленных групп представлена подгруппами, включающими в себя один или несколько товаров (услуг)-представителей.

Основным критерием для включения новых товаров и услуг в Набор является доля товарных групп в общих потребительских расходах населения, которая должна составлять в основном 0,1% и более от общих потребительских расходов населения. В отдельных случаях, вес включаемого в Набор товара (услуги)-представителя может составлять менее 0,1%, если данный товар (услуга) является социально-значимым, пользующимся массовым спросом и имеющим незначительный вес из-за низкой цены (например, соль, бинты, спички и т.д.). Данный критерий отбора соответствует международным стандартам и является оптимальным для охвата всех категорий и групп товаров и услуг, представленных на потребительском рынке Российской Федерации.

Для формирования Набора анализируются итоги выборочного обследования бюджетов домашних хозяйств, проводимого на территории всех субъектов Российской Федерации, в группировке Классификатора индивидуального потребления домашних хозяйств по целям (далее - КИПЦ-ДХ).

Для включения (исключения) товаров (услуг)-представителей в Набор используются также научные подходы на основе:

концепции жизненного цикла товаров и услуг;

экспертных методов анализа (например, метода экспертных интервью);

на основе ценностной мотивации.

Подход к отбору товаров (услуг)-представителей на основе концепции жизненного цикла и экспертных методов анализа применяется для актуализации Набора как на следующий отчетный год, так и на более длительную перспективу изменений в его составе.

В соответствии с концепцией жизненного цикла товары и услуги проходят определенные стадии на потребительском рынке. Основными ориентирами для определения стадии жизненного цикла являются объемы продаж товаров (оказания услуг) в стоимостном или натуральном выражении и темпы роста (снижения) объемов продаж.

Стадия зарождения и выведения на рынок нового товара (услуги). Новые товары (услуги) не имеют аналогов в прошлом, являются итогом принципиально новых разработок. Объемы продаж нового товара (услуги) незначительны. Реализуются отдельные образцы и модели поступивших на рынок новинок товара. Данные товары (услуги) предполагаются для включения в Набор в следующем отчетном году.

Стадия быстрого роста распространения товара (услуги) характеризуется возрастанием информированности потребителя о нем, увеличением спроса, расширением географии его реализации. Характерны темпы роста объема продаж более 10% в год, которые наблюдаются на протяжении длительного периода времени. Такие товары и услуги рассматриваются для введения в Набор в ближайшей перспективе.

Стадия зрелости и насыщения рынка, при которой объем продаж товара (услуги) и прибыли от его реализации достигают своего пика и при этом характеризуются замедлением темпов роста (менее 10% в год), но сохранением их положительного значения. Товары и услуги, находящиеся в данной стадии жизненного цикла, должны быть включены в Набор для расчета ИПЦ.

Стадия спада характеризуется сокращением спроса на товар (услугу) в связи с потерей интереса к нему со стороны потребителей, снижением объема его производства с исходными техническими параметрами, сужением круга организаций, реализующих данный товар (услугу). Темпы роста объема продаж приобретают устойчивую тенденцию к отрицательным значениям, которые постоянно нарастают. Такие товары и услуги постепенно исключаются из Набора.

В качестве источников информации для выявления новых товаров (услуг) и определения стадии их жизненного цикла используются данные ККТ или ГИС МТ, а также экспертные оценки работников организаций торговли и услуг, данные статистической отчетности и другие источники. Так, например, могут быть использованы Интернет-сайты крупнейших мировых торговых компаний (например, WalMart, Amazon, Ebay), где размещается информация о принципиально новых товарах, ожидаемых на рынке, а также на сайтах крупнейших торговых компаний (оффлайн и онлайн), таких как "Перекресток", "Пятерочка", "Лента", "О'Кей", "М.Видео", "Obi" и др.). Анализ товаров-новинок проводится раз в год (в сентябре - декабре отчетного года).

Определение тенденций распространения новых товаров (услуг) в городах, где осуществляется наблюдение за потребительскими ценами, и оценка возможности включения их в наблюдение за ценами, а также исключение из набора неактуальных позиций осуществляется специалистами Росстата и его территориальных органов.

Метод отбора товаров (услуг)-представителей на основе ценностной мотивации может быть использован при значительных ассортиментных изменениях на потребительском рынке.

Использование ценностного подхода характерно в основном для некоторых категорий товаров с применением корректировок характеристик на основе ценностной (гедонистической) мотивации.

В процессе наблюдения за потребительскими ценами, часть товаров, которые изначально попадали в выборку, исчезает с прилавков, одновременно появляются другие, что затрудняет сбор данных о ценах из месяца в месяц. Если определенные товары больше недоступны на потребительском рынке, выбирается на замену аналогичный или менее сопоставимый товар, потенциально соответствующий по ценности, но имеющий измененные характеристики.

6.2 Формирование перечня городов

22. Наблюдение за потребительскими ценами проводится на территории всех субъектов Российской Федерации.

Отбор городов (в субъектах Российской Федерации) для наблюдения за ценами осуществляется территориальными органами Росстата в соответствии с критериями приведенными ниже и автоматизировано с помощью программных средств на основе применения "Больших данных".

Критерии отбора следующие:

наблюдение за потребительскими ценами организуется в столицах республик, центрах краев, областей, автономной области, автономных округов, городах федерального значения;

в выборочную совокупность включаются города, поселки городского типа (далее - "города"), отобранные с учетом их представительности в отражении социально-экономического и географического положения регионов и степени насыщенности потребительского рынка товарами и услугами;

число обследуемых населенных пунктов в субъекте Российской Федерации, как правило, должно составлять не менее 2-х городов;

города, отобранные для наблюдения за ценами, должны охватить большую часть региона и отражать его географические и экономические особенности;

отобранные для наблюдения за ценами города должны характеризоваться наличием устойчивого наполнения потребительского рынка товарами и услугами, входящими в Набор, принятый для регистрации цен;

численность населения городов, отобранных для наблюдения за ценами, суммарно должна составлять не менее 35% городского населения субъекта Российской Федерации.

На основании выработанных критериев в октябре - декабре текущего года формируется перечень населенных пунктов, в которых будет осуществляться сбор информации о потребительских ценах и тарифах на товары и услуги в предстоящем году. Такой перечень является неизменным в течение следующего года.

6.3 Формирование перечня объектов наблюдения

23. Наблюдение за ценами и тарифами на товары и услуги осуществляется в организациях торговли, сферы услуг и общественного питания, в том числе осуществляющими онлайн продажи, а также на розничных рынках и ярмарках, реализующих их на регулярной основе в стационарных торговых объектах и в нестационарных (палатки, киоски и т.д.), принадлежащих как юридическим, так и физическим лицам. В выборку не включаются объекты, организованные по событийному принципу (ярмарки выходного дня (кроме ярмарок, работающих регулярно, начиная с пятницы), тематические, фермерские и т.д.).

Формирование перечня базовых организаций торговли и сферы услуг, а также других объектов наблюдения за ценами проводится раз в год до начала отчетного года на основе результатов анализа информации за предшествующий период (13 месяцев с декабря по декабрь включительно) о ценах на товары и услуги по месту их реализации, полученной из всех источников информации.

Процесс формирования объектов наблюдения за потребительскими ценами осуществляется автоматизировано на основе отбора товаров и услуг с конкретными потребительскими свойствами и вручную специалистами территориальных органов Росстата в каждом городе, где организовано наблюдение.

24. Информационный источник формирования перечня базовых организаций.

Основным информационным источником формирования случайной выборки является база данных Автоматизированной системы генеральной совокупности объектов федерального статистического наблюдения (АС ГС ОФСН), включающая сведения об объектах федерального статистического наблюдения, прошедших государственную регистрацию и идентифицированных кодами по общероссийским классификаторам технико-экономической и социальной информации.

Основой выборки объектов наблюдения за ценами являются организации, зарегистрированные в АС ГС ОФСН с видами экономической деятельности (в соответствии с ОКВЭД 2), относящимися к розничной торговле и предоставлению различных услуг населению.

Для уточнения выборки предприятий торговли и сферы услуг в качестве информационных источников могут быть использованы также данные форм федерального статистического наблюдения, административные данные ФНС России, органов исполнительной власти субъектов Российской Федерации.

25. Требования к формированию перечня базовых организаций.

Формирование выборочной совокупности организаций торговли и сферы услуг осуществляется с учетом следующих требований:

регулярность реализации отобранных для наблюдения товаров и видов услуг в базовых организациях (как минимум 4 месяца в анализируемом периоде, за исключением отдельных товаров и услуг с ярко выраженной сезонностью);

включение организаций, в которых осуществляется реализация товаров (услуг) с уровнем цен (тарифов), способным удовлетворить потребности широкого круга потребителей, без ограничений в возможности приобретения товара (услуги), т.е. рассчитанных на массового потребителя;

включение организаций различных типов (малые, средние и крупные), сетевых и не сетевых, всех форм собственности и организационно-правовых форм;

включение городских розничных рынков, ярмарок и мест предоставления услуг, в которых торговля (обслуживание) осуществляется, как правило, физическими лицами, в частности, предпринимателями без образования юридического лица;

включение в наблюдение объектов торговли (сферы услуг), цены на реализуемые товары и услуги в которых несколько выше или ниже среднего уровня, в количестве, пропорциональном объемам их продаж в общем объеме продаж, определенном на основе действующей статистической отчетности, административных данных, а также экспертной оценки сотрудников организаций торговли (сферы услуг). Подобные объекты включаются в наблюдение при условии, что на них приходится значительная доля товарооборота в городе и в них реализуются товары, по потребительским свойствам и уровню цен, рассчитанные на массового потребителя;

отбор организаций торговли и сферы услуг, расположенных как в центральной части города, так и на его окраинах, с различными условиями торговли;

исключение организаций, осуществляющих розничную торговлю бывшими в употреблении товарами (кроме автомобилей);

исключение организаций торговли (сферы услуг), реализующих товары (услуги), уровень цен, на которые в 2 - 3 раза превышает средний сложившийся на аналогичные товары. Например, не включаются в выборку магазины-салоны (бутики), торгующие эксклюзивными моделями одежды или ультрамодной обувью престижных иностранных и отечественных фирм, так как, помимо высокого уровня цен, поступление товаров в этих магазинах производится, как правило, небольшими по объему партиями, с постоянным обновлением ассортимента, что значительно затрудняет процесс отслеживания цен по сопоставимому кругу реализуемых товаров.

Для дальнейшей обработки информации о потребительских ценах составляется каталог (справочник) базовых организаций торговли и сферы услуг. В данный справочник в целях облегчения дальнейшей идентификации организаций заносятся полные их наименования (для ИП - фамилия, имя, отчество предпринимателей) в случае их наличия, места нахождения (адреса), а также другие идентификационные признаки (коды реестра ФИАС, идентификатор торговой точки или ККТ, телефоны и др.).

При осуществлении наблюдения на мелкооптовых и розничных ярмарках (рынках) в каталог объектов наблюдения вносится информация обо всех наблюдаемых торговых точках, с указанием их местонахождения и торговой группы реализуемых товаров.

В случае, если организация, отобранная для обследования, закрывается, перепрофилируется или теряет объемы продаж, подбирается другая, в которой ассортимент товаров, уровень цен, условия реализации товаров (услуг), аналогичны той, где ранее осуществлялась регистрация цен.

26. Метод построения выборки базовых организаций.

а) Для отбора организаций торговли и сферы услуг в каждом городе применяется случайная систематическая выборка по отдельным генеральным совокупностям:

организации торговли продовольственными товарами ();

организации торговли непродовольственными товарами ();

организации сферы услуг ();

индивидуальные предприниматели, осуществляющие торговую деятельность потребительскими товарами и услугами ().

б) Автономно для каждого отобранного города строится основа выборки организаций торговли и сферы услуг:

для генеральной совокупности - список крупных, средних и малых торговых организаций, ранжированный по показателю "Выручка от реализации продовольственных товаров".

для генеральной совокупности - список крупных, средних и малых торговых организаций, ранжированный по показателю "Выручка от реализации непродовольственных товаров".

для генеральной совокупности - список организаций сферы услуг, ранжированный по показателю "Выручка от реализации услуг".

для генеральной совокупности - список индивидуальных предпринимателей, осуществляющих торговую деятельность, разбитый на 6 групп по основному виду деятельности (коду ОКВЭД 2 - третий знак).

В случае если крупных и средних торговых организаций в отобранном городе не более 10, обследуется вся генеральная совокупность.

В отобранных городах с числом крупных и средних торговых организаций более 10, объем выборки в зависимости от количества торговых организаций в городе осуществляется в соответствии с процентом выборки, приведенным в Таблице 1.

Таблица 1

Объем выборки крупных, средних и малых организаций торговли (сферы услуг) в зависимости от их числа в базовом городе

N п/п Группы по количеству организаций торговли (сферы услуг) в городе Заданный объем выборки - n, в% от , ,
  до 10 100
  от 11 до 300 30
  от 301 до 1000 20
  более 1000 10

Расчетный объем определяется по каждой совокупности Ni.

Например, расчетный объем выборки для совокупности определяется по формуле:

, (2)

где:

- расчетный объем выборки в g-ом городе;

- объем генеральной совокупности организаций торговли продовольственными товарами (основа выборки);

n - заданный объем выборки, в процентах.

Объем выборки индивидуальных предпринимателей занимающихся торговлей и оказывающих услуги, также рассчитывается в зависимости от их количества в городе. В случае, если число индивидуальных предпринимателей составляет менее 1000, объем выборки будет равен 5%, а свыше 1000 - 2%.

На следующем этапе осуществляется анализ соответствия отобранных организаций торговли и сферы услуг требованиям, предъявленным к базовым организациям, и осуществляется коррекция выборки. В число базовых организаций добавляются сетевые магазины (включая магазины одной сети расположенные рядом) если они не вошли в базовую совокупность путем случайного отбора.

Для проведения, в случае необходимости, замены базовых организаций формируется резерв из дополнительных организаций торговли и сферы услуг, в которых ассортимент товаров, условия реализации и уровень цен идентичны имеющимся в организациях, включенных в основное наблюдение за ценами.

Выбранные для наблюдения за ценами объекты торговли и сферы услуг, в которых регулярно производится регистрация потребительских цен, считаются базовыми.

6.4 Формирование перечня товаров и услуг с конкретными потребительскими свойствами

27. Товары (услуги) с конкретными потребительскими свойствами в рамках каждого товара (услуги)-представителя отбираются в городах специалистами территориальных органов Росстата

Перечень товаров и услуг с конкретными потребительскими свойствами формируется на основе анализа различных характеристик, представленных в их наименованиях: производитель, бренд, марка, модель, артикул, дополнительные качественные характеристики (например, сорт или жирность) и других.

В качестве критерия отбора используется также объем продаж.

В результате в каждом товаре (услуге)-представителе отбирается определенное количество ценовых котировок, включаемых в дальнейший расчет на протяжении отчетного года.

28. Этапы отбора ценовых котировок на основе данных ККТ <1>, ГИС МТ, веб-скрейпинга.

<1> При наличии технической возможности использования данных.

Выполняются следующие действия:

а) анализ данных, полученных из всех источников за предшествующие отчетному году 13 месяцев (по состоянию на последние 5 дней каждого месяца).

В данных ККТ с помощью системы распознавания на основе нейронных сетей из всего массива чеков выделяются данные по каждому товару и услуге из Набора товаров (услуг)-представителей;

Данные классифицируются в рамках Набора, данные ККТ - с помощью алгоритмов машинного обучения и работы асессоров и разметчиков;

Формируются динамические ряды с ценами по конкретным товарам (услугам), пересчитанными в принятые для наблюдения единицы измерения.

б) запускается алгоритм отсечения ценовых котировок:

нерегулярных цен;

ошибочных (экстремальных) цен;

на основе уровней цен;

индивидуальных (клиентских) скидок в конкретный день.

в) в перечне конкретных товаров и услуг для наблюдения (далее - Перечень котировок) из оставшихся позиций осуществляется импутация недостающих значений цен одним из следующих методов:

по использованию цен из ближайших дней регистрации;

протяжка цен (дублирование);

определение условно-расчетных цен на основе уровней и динамики цен на аналогичные товары (услуги).

г) осуществляется оценка достаточности количества отобранных ценовых котировок сформированного Перечня котировок в рамках наблюдения товара (услуги)-представителя на основе данных ККТ, ГИС МТ, веб-скрейпинга.

д) в полученном перечне часть позиций в рамках каждого товара (услуги)-представителя отсекается в резерв для возможности использования в случае замены наблюдаемого товара (услуги).

На основе перечня котировок формируются перечни товаров (услуг)-представителей и организаций для наблюдения за потребительскими ценами в привязке к городам и субъектам Российской Федерации.

Перечень организаций оценивается на достаточность для применения данных ККТ, ГИС МТ, веб-скрейпинга.

29. Отсечение ценовых котировок.

а) Отсечение нерегулярных цен.

Если данные по конкретному товару (услуге) присутствуют как минимум в 4-х месяцах, то такая ценовая котировка отбирается в Перечень котировок.

Если данные по конкретному товару (услуге) присутствуют менее, чем в 4-х месяцах, то ценовая котировка отсекается в Блок отсечения и не попадает в Перечень котировок. Исключение составляют отдельные позиции с ярко выраженной сезонностью.

Метод отсечения нерегулярных цен используется в годовой части при формировании выборок.

б) Отсечение ошибочных (экстремальных) цен.

Данные о ценах на товары (услуги), получаемые из ККТ, ГИС МТ и методом веб-скрейпинга могут содержать ошибочные значения цен. Причины: ошибки ввода данных пользователями систем, некорректно идентифицированные единицы измерения товара.

Для формирования массивов данных с корректными уровнями цен осуществляется процедура отсечения выбросов.

Для этого выполняется следующий алгоритм действий по каждому товару (услуге)-представителю в каждом городе:

определяется значение 1-ого или 99-ого перцентиля цены в рамках товара (услуги)-представителя;

полученное значение умножается на два для верхнего перцентиля и делится на два для нижнего, формируя нижнее и верхнее пороговые значения;

отсекаются все ценовые котировки, значение цен которых лежит за пределами данных пороговых значений.

99-й перцентиль - значение цены на товар (услугу)-представитель, выше которого только 1% процент ценовых котировок.

1-й перцентиль - значение цены на товар (услугу)-представитель, выше которого только 99% ценовых котировок.

Отсечение осуществляется по формуле:

, (3)

где:

- ценовая котировка на товар (услугу)-представитель j в городе g, которая удовлетворяет критерию,

- 1-й перцентиль - значение цены на товар (услугу)-представитель j в городе g, выше которого только 99% ценовых котировок,

- 99-й перцентиль - значение цены на товар (услугу)-представитель j в городе g, выше которого только 1% процент ценовых котировок.

В результате выполнения данного алгоритма остаются только ценовые котировки, не содержащие ошибочные выбросы цен. Эти ценовые котировки формируют предварительный Перечень котировок для осуществления дальнейших расчетов.

30. Отсечение на основе уровней цен.

Для расчета допустимых уровней цен на товары (услуги) в каждом городе использовались все ценовые котировки, попавшие в перечень на предыдущем этапе. Для этого рассчитывается арифметическое среднее и среднеквадратичное отклонение цены на требуемую упаковку для каждого товара (услуги)-представителя в каждом городе. Расчет производится по формуле:

, (4)

, (5)

, (6)

где:

- верхний экстремум ценового диапазона;

- нижний экстремум ценового диапазона;

- средняя цена на товар (услугу)-представитель j (формула 11);

- среднеквадратическое отклонение цены;

- цены на i-й товар в выборке для товара (услуги)-представителя j;

n - объем выборки.

В результате получается интервал уровней цен - минимум и максимум. В Перечне котировок остаются только ценовые котировки, цены которых находятся в рамках данного интервала.

31. Отсечение дискретных скидок в конкретный день.

В одной и той же организации на одно и то же наименование отобранного в наблюдение конкретного вида товара (услуги) в рамках одних суток могут быть различные цены.

Такая ситуация может быть вызвана дискретными скидками, т.е. персональными скидками, скидками за приобретение определенного количества, скидками для льготных категорий граждан в определенные часы и дни.

Данные виды скидок отсекаются на основе выбора максимальной цены в каждой организации для конкретного товара в рамках одного дня и в расчетах ИПЦ такие скидочные цены не используются. Исключение составляют случаи, при которых большинство покупок совершаются по карте постоянного покупателя, которую можно получить бесплатно либо за условную быстро окупаемую стоимость.

В реквизитах чека, т.е. в данных ККТ, присутствует поле "скидка", однако оно является необязательным для заполнения и указывается лишь в некоторых случаях.

Алгоритм отсечения дискретных скидок следующий:

, (7)

где:

p_max - максимальная цена;

p_1, p_2, ..., p_n - цены на конкретный товар в конкретной организации за день.

Последние три метода отсечения цен используются как в годовой части при формировании выборок видов товаров и услуг, так и в регулярной части при сборе информации на основе больших данных.

32. Формирование резервных ценовых котировок.

Для замены товаров (услуг), полностью исчезнувших из продажи, необходимо иметь резерв ценовых котировок.

Формирование перечня резервных ценовых котировок на основе больших данных осуществляется путем отсечения части конкретных видов товаров (услуг) в рамках товара (услуги)-представителя на основе анализа объема продаж.

В резерв отсекаются 10% ценовых котировок с наименьшим объемом продаж.

После процедур отсечения сформирован Перечень котировок - товаров и услуг с конкретными потребительскими свойствами, которые участвуют в наблюдении в течение отчетного года.

33. Методы импутации цен.

Существуют несколько методов импутации цен - формирования отсутствующих цен, которые применяются последовательно:

использование цен из ближайших дней регистрации;

протяжка (дублирование) цен;

замена товаров (услуг) из резерва;

определение условно-расчетных цен на основе уровней и динамики цен на аналогичные товары (услуги).

а) Использование цен из ближайших дней регистрации.

Данный метод импутации цен применяется при использовании потоковых данных ККТ или веб-скрейпинга.

В случае отсутствия цены на товар (услугу) в установленную дату регистрации анализируется наличие цены на конкретный товар (услугу) в предшествующих 4 днях.

В случае наличия цены в соседних 4 предшествующих днях, цена отсутствующего товара (услуги) импутируется из ближайшей даты продажи.

В обратном случае, используются следующие методы импутации цен.

б) Протяжка (дублирование) цен.

Метод дублирования цены предполагает повторение последней зарегистрированной цены на товар (услугу) при ее отсутствии в организации торговли (сферы услуг) в отчетном периоде. Применение данного метода возможно в течение непродолжительного периода времени (не более 2 месяцев подряд) при условии отсутствия изменений цен на данную группу товаров (услуг).

Применение указанного метода в течение более длительного периода недопустимо, поскольку может привести к занижению индекса цен.

Исключение составляют товары, реализация которых носит сезонный характер. В условиях незначительной инфляции (менее 0,1% в месяц) допускается дублирование цены на весь период отсутствия товара, продолжительность которого может достигать 6 месяцев и более (например, по меховым изделиям или зимним (летним) видам одежды и обуви).

в) Определение условно-расчетных цен на основе уровней и динамики цен на аналогичные товары (услуги).

Метод условно-расчетных цен предполагает, что цена на отсутствующий товар (услугу) изменяется так же, как и на идентичный с ним товар (услугу), на несколько схожих товаров (услуг) или на все товары (услуги) в рамках товара (услуги)-представителя.

В зависимости от источника информации о динамике цен этот метод можно подразделить на несколько направлений:

определение условно-расчетной цены на основе изменения цен на идентичный товар (услугу) - условная цена рассчитывается с использованием среднего изменения не на все зарегистрированные товары (услуги) группы, а только на тот, который может рассматриваться, как наиболее близкий (по значению цены) к заменяемому товару (услуге);

определение условно-расчетной цены на основе среднего изменения цен по нескольким товарам (услугам), идентичным заменяемому. При использовании метода сначала рассчитывается средняя величина изменения цен (элементарный агрегат) на несколько товаров (услуг) с конкретными потребительскими свойствами (ценовых котировок), регистрируемых в городе в рамках товара (услуги)-представителя, близких по качественным характеристикам с заменяемым товаром (услугой). Это значение изменения затем используется для условного исчисления цены заменяемого товара (услуги);

определение условно-расчетной цены на основе среднего изменения цен по малой товарной группе (группе услуг). При использовании метода сначала рассчитывается средняя величина изменения цен (элементарный агрегат) на все зарегистрированные в городе в рамках товара (услуги)-представителя ценовые котировки без учета заменяемого товара (услуги). Затем это значение изменения цен используется для исчисления условного изменения цен на заменяемый товар (услугу), отсутствующий в отчетном месяце.

Метод расчетных цен при замене товара (услуги) применим при определении как цен базисного, так и отчетного периодов.

Вышеперечисленные методы импутации цен используются как при формировании базисной информации раз в год с динамическими рядами цен по Перечню котировок (кроме замены товара и услуги из резерва), так и в регулярном алгоритме сбора цен.

34. Достаточность ценовых котировок.

На каждый товар (услугу)-представитель в городе осуществляется регистрация не менее 5 ценовых котировок.

По товарам (услугам)-представителям, ассортимент которых достаточно разнообразен, а разброс цен на отдельные марки, модели, артикулы велик, регистрируется большее количество ценовых котировок, чем по товарам (услугам)-представителям, которые представлены однородными позициями.

Исключение составляют отдельные виды услуг (электроэнергия, услуги почтовой связи, услуги городской телефонной связи, муниципальный городской транспорт и т.п.), на которые в городе действуют единые тарифы.

Необходимое количество ценовых котировок для конкретного товара (услуги)-представителя должно учитывать специфику структуры его потребления населением в регионе, охват и насыщенность потребительского рынка товарами (услугами), уровень развития предприятий торговли и сферы услуг.

Расчет достаточного количества ценовых котировок в городе состоит из трех этапов.

На первом этапе определяется перечень регулируемых цен (тарифов) на товары (услуги)-представители, т.е. цен (тарифов) которые утверждаются нормативным актом органов исполнительной власти субъектов Российской Федерации и местного самоуправления. Для таких позиций количество ценовых котировок принимается равным единице.

На втором этапе определяется перечень товаров (услуг)-представителей, удельный вес каждого из которых составляет менее 0,5% в общих потребительских расходах населения. Для данных позиций количество ценовых котировок должно составлять не менее 5.

На третьем этапе для всех остальных товаров (услуг)-представителей количество ценовых котировок () рассчитывается по формуле:

, (8)

где:

- количество ценовых котировок j-го товара (услуги);

- условная дисперсия цен j-го товара (услуги);

- вес j-го товара (услуги) в структуре потребительских расходов;

- показатель, оценивающий сложность регистрации ценовой котировки j-го товара (услуги).

Условная дисперсия () позволяет при отсутствии сплошного обследования потребительских цен оценить степень колебания цен на отдельные товары с конкретными потребительскими свойствами (ценовые котировки) в рамках товара (услуги)-представителя в городе.

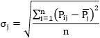
Для определения значения условной дисперсии осуществляется расчет коэффициента вариации по следующей формуле:

, (9)

где:

- коэффициент вариации по j-му товару (услуге)-представителю;

- среднее квадратическое отклонение цен на товары (услуги) от средней величины;

- средняя арифметическая цена.

Среднее квадратическое отклонение цен на товары (услуги) рассчитывается по формуле:

, (10)

где:

- средняя арифметическая цена рассчитывается по формуле:

, (11)

где:

- цены j-го товара (услуги)-представителя;

n - количество зарегистрированных цен на товары i в выборке j-го товара (услуги)-представителя.

Значение условной дисперсии () определяется на основе расчетного коэффициента вариации по степени однородности совокупности.

Таблица 2

Шкала однородности совокупности на основе коэффициента вариации

Коэффициент вариации , % Степень однородности совокупности Принимаемое значение показателя условной дисперсии
До 30 Однородная 1
30 - 60 Слабо разнородная 2
60 - 90 Умеренно разнородная 3
Более 90 Высоко разнородная 4

Показатель соответствует доле товаров (услуг)-представителей в структуре потребительских расходов населения, которая используется для расчета ИПЦ в субъекте Российской Федерации.

Чем больше вес товара (услуги)-представителя в общей структуре потребительских расходов, тем больше будет влияние изменения его цены на итоговое значение ИПЦ, соответственно, для таких товаров (услуг) следует регистрировать большее количество котировок.

Показатель условной сложности регистрации котировки цены j-го товара (услуги) () является комплексным качественным показателем, зависящим как от характеристики самого товара (услуги)-представителя, так и от его наличия в продаже во многих организациях торговли (сферы услуг).

Значения показателя условной сложности регистрации оценивается экспертно по следующему принципу:

= 1 - "невысокая сложность регистрации" цен на товар (услугу)-представитель, имеющий простые характеристики, которые не подвергаются частым изменениям, и присутствующий в продаже во многих организациях торговли (сферы услуг), в том числе сетевых;

= 2 - "средняя сложность регистрации" цен на товар (услугу)-представитель, имеющий простые характеристики и присутствующий в продаже, как правило, в организациях торговли, являющихся субъектами малого предпринимательства;

= 3 - "высокая сложность регистрации" цен на товар (услугу)-представитель, имеющий сложные характеристики, которые часто подвергаются изменениям, и присутствующий в продаже в специализированных организациях торговли (сферы услуг) или в отдельных торговых точках.

Величина условной сложности регистрации цены товара (услуги)-представителя определяется специалистами территориальных органов Росстата.

По аналогичной схеме производится оценка количества ценовых котировок, достаточного для обеспечения репрезентативности индексов цен.

6.5 Замена товаров (услуг) и объектов наблюдения при регистрации потребительских цен

35. Для осуществления расчетов ИПЦ необходимы непрерывные ряды цен по каждому виду товаров (услуг)-представителей.

В ходе наблюдения за потребительскими ценами в отдельных случаях не представляется возможным осуществлять их регистрацию на одни и те же товары (услуги) с конкретными потребительскими свойствами на протяжении длительного времени в базовой организации торговли (услуги).

В этом случае возникает необходимость восполнения недостающей цены в отчетном периоде, в частности путем замены, в том числе из резерва, товара (услуги) или базовой организации торговли (сферы услуг).

а) Замена товара (услуги) осуществляется в случае:

исчезновения его из продажи в базовой организации торговли (сферы услуг) и заключается в замещении товара (услуги) с конкретными потребительскими свойствами, исчезнувшего в текущем периоде в наблюдаемой организации торговли (сферы услуг), на товар аналогичного, максимально близкого по качеству и другим потребительским свойствам товара (услуги) в той же базовой организации.

Отсутствие реализации товара (услуги) в конкретной организации торговли (сферы услуг), в которой производится сбор ценовой информации, может быть связано с рядом причин, в том числе с прекращением его производства или поставок, а также с изменением предлагаемого к реализации ассортимента.

Исчезновение товара (услуги) из продажи может носить как временный, так и постоянный характер.

Информация о ценах на товар (услугу) может считаться постоянно отсутствующей, если длительное время (более двух месяцев) не осуществляется реализация наблюдаемого товара (услуги) в базовой организации без перспективы ее возобновления в будущем.

Таким образом, этот товар (услуга) становится постоянно недоступным для наблюдения за ценами на него.

В целях обеспечения сопоставимости временных рядов цен для заменяемых товаров (услуг) должна быть получена ценовая информация за предыдущий период.

Товар может рассматриваться как временно отсутствующий, если есть вероятность возобновления реализации товара (услуги) в базовой организации торговли (сферы услуг).

Товары с конкретными потребительскими свойствами, участвующие в наблюдении за ценами, могут временно отсутствовать вследствие причин, связанных с прекращением их выпуска из-за перебоев в поставке сырья, отсутствием спроса на продукцию, трудностей с транспортными перевозками и т.п. В этих случаях данные о ценах на указанные товары могут отсутствовать в отчетном периоде, но при этом имеются сведения о том, что их реализация может быть возобновлена в будущем.

Временно могут отсутствовать товары, имеющие сезонный характер производства и реализации. Такие товары ежегодно исчезают примерно в одно и то же время, благодаря чему их отсутствие в большей степени предсказуемо. Примерами этого являются некоторые виды овощей и фруктов, одежды и обуви, спортивного инвентаря и т.д., в этом случае используются методы определения недостающих цен;

замены морально устаревшего товара (услуги), реализация которого существенно сокращается, на новый в базовой организации торговли (сферы услуг).

Наиболее часто подобная замена требуется при наблюдении за ценами на товары наиболее динамично развивающихся секторов потребительского рынка: средства связи, вычислительная техника, телерадиотовары, сложная бытовая техника, а также одежда и обувь, подверженные изменениям в связи с требованием моды.

Для товаров, характеризующихся быстрой обновляемостью моделей и совершенствованием потребительских характеристик, рекомендуется производить целенаправленные замены, не ожидая полного исчезновения товара из продажи.

Так, например, для товаров, входящих в группы: средства связи, бытовая техника, телерадиотовары и т.п., необходимо осуществлять частичную ротацию наблюдаемых товаров с конкретными потребительскими свойствами несколько раз в год, например, ежеквартально.

Как правило, новые товары поступают в продажу по высоким ценам. Затем по мере насыщения рынка цены на них снижаются, а их заключительная распродажа может проходить по особенно низким ценам.

Начинать наблюдение за ценами на новую модель товара целесообразно с момента появления ее на потребительском рынке, а включать в расчеты средних цен и индексов цен данные о зарегистрированных ценах на нее - в период массовой продажи, т.е. когда реализация товара производится повсеместно, а не в отдельной наблюдаемой организации торговли. При этом необходимо проводить своевременную замену устаревших (в том числе и морально) моделей, потерявших свою стоимость вследствие появления на рынке новых товаров такого же функционального назначения.

При отборе отдельных видов одежды и обуви для наблюдения за ценами следует ориентироваться на модели традиционного направления, регистрацию цен на которые можно осуществлять в течение длительного периода, проводя, по мере необходимости, соответствующую замену в целях исключения устаревших моделей.

Принимать решение о замене устаревшей модели товара на новую, аналогичного потребительского назначения, рекомендуется на основании консультации с продавцом этого товара.

В ходе наблюдения за потребительскими ценами в рамках товара (услуги)-представителя следует собирать данные о ценовых котировках на более широкий, чем включается в расчет ИПЦ, круг товаров (услуг) с конкретными потребительскими свойствами. Эта дополнительная совокупность товаров (услуг) может быть использована в качестве информационной базы при подборе замены в случае прекращения реализации наблюдаемого товара (услуги).

замены товаров (услуг), признанных постоянно отсутствующими, или при введении в наблюдение новых товаров (услуг), заменяющих морально устаревшие их виды, необходимо учитывать изменения качественных характеристик этих товаров (услуг), которые находят свое отражение в цене.

При проведении замены товара (услуги) из цены заменяющего товара исключается та ее часть, которая связана с изменением качественных характеристик, с последующей корректировкой цен заменяемого или заменяющего товара.

Игнорирование проблемы учета изменения качества в цене, заменяющего и заменяемого товаров (услуг) может привести к систематической ошибке в собираемой ценовой информации и искажению индекса потребительских цен.

б) Методы замены товаров и услуг.

При регулярном сборе цен в течение отчетного года при полном исчезновении из продажи товара (услуги) в конкретном объекте наблюдения допускается их замена на аналогичный товар (услугу) из резерва.

Для этого может применяться один из следующих методов:

метод сопоставимой замены применяется в случае, когда заменяющий товар обладает качественными характеристиками, аналогичными заменяемому товару, а любые имеющие место изменения цены признаются не относящимися к влиянию изменения качества. Например, при замене телевизора на новую его модификацию, которая отличается от наблюдавшейся ранее несущественными деталями (вид пульта управления, расположением разъемов и т.п.). В этом случае цена заменяемого телевизора в предыдущем периоде непосредственно сопоставляется с ценой нового изделия.

Применение данного метода требует подробного анализа спецификации наблюдаемых товаров.

Указанный метод не может использоваться многократно, так как со временем качественные изменения заменяющего товара по сравнению с первоначальным становятся существенными. Постоянное использование метода может привести к завышению индекса цен;

метод корректировки на количество может быть использован в том случае, когда замещающий товар отличается от замещаемого величиной какой-то физической характеристики, которая поддается количественному определению (например, изменение веса, размера, химического состава продукта).

Метод корректировки на количество применим, в основном, в том случае, когда цена товара изменяется пропорционально качественной характеристике.

Внесение поправок к ценам может осуществляться пропорциональной корректировкой цены замещаемого или замещающего товаров на основе соотношения количеств. В этом случае для проведения корректировки цены обоих товаров пересчитываются за единицу размера, веса или количества, а затем приводятся к установленной в наблюдении единице измерения.

Например, в определенном месяце в реализации отсутствует товар A в упаковке по 0,5 кг. В дальнейшем товар A продается в упаковках по 0,75 кг и 0,25 кг.

Таблица 3

Пример использования метода корректировки на количество

Вес упаковки товара A, кг Вариант 1 Вариант 2
цена, рублей цена, рублей
за упаковку в пересчете за 1 кг за упаковку в пересчете за 1 кг
0,25 75 300 125 500
0,5 150 300 150 300
0,75 225 300 225 300

В варианте 1 при прямом сопоставлении цен товара в упаковке 0,75 кг и 0,5 кг индекс цен составил 150% [(225 / 150 x 100 = 150%], а при сопоставлении цены исчезнувшего товара с ценой упаковки 0,25 кг - 50% (75 / 150 x 100 = 50%).

Вместе с тем цены, с поправкой на количество (то есть цены, скорректированные с учетом размера упаковки) остались постоянными [(225 / 150) x (0,5 / 0,75) x 100 = 100%].

Таким образом, цена на товар изменяется пропорционально размерам упаковки. При пересчете на единицу веса (за 1 кг) цена остается одинаковой для всех видов упаковки. В этом случае может быть проведена замена исчезнувшего товара в упаковке по 0,5 кг на любой из представленных в продаже видов его упаковки.

В варианте 2 цена на товар в упаковке по 0,25 кг поступил по цене 125 рублей. В этом случае пропорциональность установления цен нарушена.

Соотношение размеров упаковки товара в предлагаемой к реализации их видов составило 3 раза (0,75 / 0,25 = 3), а цен - 1,8 раза (225 / 125 = 1,8). При пересчете на 1 кг веса при упаковке 0,75 кг цена товара A составила 300 рублей, при упаковке 0,25 кг - 500 рублей.

Таким образом, товар в очень маленькой упаковке с высокой ценой не может служить адекватной заменой этого же товара в более крупной упаковке. В этом случае следует выбрать для замены исчезнувшего товара упаковку 0,75 кг или применить описанные ранее методы;

метод замены товаров без корректировки цены предполагает, что любое изменение цены заменяющего товара в текущем периоде и ценой заменяемого товара в предшествующем периоде может быть отнесено к изменению качества. В этом случае замещающий товар считается новым и его цена в базисном периоде принимается равной цене отчетного периода, а индекс цен равным 100%.

Метод применяется в случаях, когда сопоставимые по качеству заменяющие товары отсутствуют, а разница цен между заменяемым и заменяющим товарами, имеющими различный базисный период цен, относительно велика. При этом невозможно определить, какая часть различия в ценах заменяющего и заменяемого товаров обусловлена изменениями цен, а какая - изменениями качества. Метод полностью относит его на счет качества, сохраняя цену постоянной;

метод совмещения или перекрытия применяется в тех случаях, когда отсутствует информация, позволяющая количественно оценить влияние изменения качественных характеристик на цену заменяющего товара, однако в момент регистрации цен в базовой организации торговли одновременно присутствуют в продаже как заменяющий, так и заменяемый товары.

Разница в цене между заменяющим и заменяемым товаром в период совмещения используется в качестве показателя различия в качестве, т.е. при применении данного метода предполагается, что вся разница в цене между товарами связана с различием в качестве;

метод экспертной оценки основан на оценке несколькими экспертами (товароведами, менеджерами организаций торговли, специалистами территориальных органов государственной статистики, осуществляющими регистрацию цен) влияния изменения качества заменяющего товара на его цену при сравнении ее с ценой заменяемого товара.

В том случае, когда заменяющий товар стоит дороже, чем товар, который он заменяет, при формировании сопоставимой цены базисного периода может быть применен гибкий поправочный коэффициент к цене, который показывает, какая часть разницы (возможно, вся разница или нулевое ее значение) в ценах по оценке экспертов может быть отнесена к влиянию качественной составляющей, а какая - к непосредственно изменению цены.

В случае незначительных отклонений в оценке экспертов следует ориентироваться на среднее ее значение.

в) Замена объекта наблюдения (базовой организации).

Замена объекта наблюдения (базовой организации) заключается в замещении базовой организации торговли (сферы услуг) при исчезновении из реализации товара (услуги) в ней в текущем периоде. При этом подбирается организация соответствующего класса и аналогичный товар такой же или, максимально близкий по потребительским свойствам, цены на которые наблюдались в базовой организации.

Замена организации может быть постоянной или временной.

Постоянная замена осуществляется:

при длительном отсутствии (более 2 месяцев) наблюдаемого товара (услуги) в базовой организации;

при закрытии на длительный период времени (более 2 месяцев) или ликвидации базовой организации.

В этих случаях производится исключение ее из числа наблюдаемых объектов и постоянное наблюдение за ценами на данный товар (услугу) должно быть организовано на другом объекте с обязательным восстановлением информации о его цене за предыдущий период.

Временная замена базовой организации может быть проведена на короткий период (1 - 2 месяца) при сохранении ее в числе наблюдаемых объектов в случае, если ожидается продолжение реализации в ней отсутствующего в текущем периоде товара (услуги), или в случае, когда данная организация закрывается на короткий срок.

По сезонным товарам возможно сохранение базовой организации при отсутствии в ней наблюдаемого товара в течение более длительного периода времени (до 6 месяцев).

Обязательным условием для включения в наблюдение нового объекта является однотипность его по сравнению с ранее наблюдаемой базовой организацией, идентичность в этих организациях условий реализации товаров (услуг), а также сопоставимость в них уровня цен на данный товар (услугу). При этом необходимым требованием является восстановление для заменяющего товара цены за предыдущий период.

Недопустимо механическое сопоставление цены товара в одной организации с ценой близкого по потребительским свойствам товара в другой организации торговли. Такое сопоставление может быть осуществлено только после анализа условий реализации товара и с учетом влияния их различий на цену товара.

6.6 Особенности наблюдения за ценами на сезонные товары (услуги)

36. Сезонными являются товары и услуги, которым присущи регулярные, совпадающие с определенными сезонами или временами года, колебания в динамике характеризующих их экономических показателей (в частности, потребительских цен и объемов реализации товаров и услуг). В данной группе выделяются:

товары (услуги) с ярко выраженной сезонностью - отсутствующие на рынке в течение определенных периодов года;

товары (услуги) со слабо выраженной сезонностью - имеющиеся на рынке на протяжении всего года, но характеризующиеся регулярными колебаниями цен или объемов реализации.

Выраженные сезонные колебания потребительских цен отмечаются при реализации отдельных видов плодоовощной продукции, одежды, обуви, туристических услуг и т.п.

Регистрация цен на сезонные товары и услуги и учет их динамики при расчете индекса потребительских цен имеет свои особенности.

Продажа некоторых товаров и оказание отдельных видов услуг на потребительском рынке носит массовый характер в течение определенного времени года. В несезонный период года эти товары (услуги) продаются (оказываются) в незначительных объемах в условиях ограниченного потребительского спроса и предложения. Регистрация цен на сезонные товары (услуги) может быть доступна не во всех наблюдаемых организациях торговли города, а лишь в некоторых точках реализации.

При отсутствии в базовой организации торговли (сферы услуг) сезонного товара (услуги) в межсезонный период применяются различные методы импутации ценовой информации.

37. Сезонные товары.

При регистрации цен на продовольственные товары наибольшее проявление сезонных факторов имеет место по товарам, входящим в группу плодоовощной продукции. В целях обеспечения сопоставимости информации о ценах на данный вид продукции в смежных периодах применяется ряд специальных методов.

Например, в первой половине летнего периода регистрация цен на картофель осуществляется раздельно: на ранний картофель урожая текущего года (молодой) и картофель урожая предыдущего года, чтобы иметь возможность осуществить увязку цен на них.

Регистрация цен на ранний картофель отечественного производства проводится, начиная с момента первого его появления на потребительском рынке. Однако, в расчет индекса потребительских цен информация об изменении цен на ранний картофель включается лишь с приобретением массового характера продажи данного товара. В климатических условиях большинства регионов России этот период наступает во второй половине июня - первой половине июля.

Для определения цены на картофель при переходе от реализации продукции урожая предыдущего года к продаже продукции урожая текущего года (учитывая значительную разницу в ценах) применяется метод, основанный на расчете средневзвешенных значений цен с учетом доли объемов продажи раннего картофеля и картофеля урожая предыдущего года. В этом случае при расчете средневзвешенной цены картофеля постепенно учитывается возрастающий удельный вес раннего картофеля в общем объеме продажи этого товара и, соответственно, снижающийся удельный вес картофеля урожая предыдущего года. Учет изменения соотношения в продаже этих товаров осуществляется через количество соответствующих им ценовых котировок.

Аналогичный метод регистрации цен и расчета индексов применяется и по другим товарам-представителям плодоовощной группы.

При регистрации цен на непродовольственные товары наиболее выраженные сезонные изменения отмечаются по группам одежды и обуви. Особенности сезонных колебаний цен на отдельные виды одежды и обуви, как правило, идентичны.

Методы формирования информации о ценах на сезонные товары описаны на примере одежды.

По периодичности продаж условно виды одежды распределяются на три категории: одежда, имеющаяся в организациях торговли круглый год (несезонная одежда), и две категории сезонной одежды (летняя и зимняя одежда).

Цены несезонных изделий, как правило, демонстрируют темп роста, соответствующий среднему темпу роста цен на все товары и услуги.

Массовая реализация сезонной одежды осуществляется в организациях торговли в определенный непродолжительный период времени (сезон) и затем исчезает из продажи до следующего сезона.

Сезонные виды товаров включаются в набор, принятый для наблюдения за потребительскими ценами, поскольку отсутствие указанного типа товаров снизит репрезентативность индекса потребительских цен.

Для сохранения непрерывности ряда ценовой информации в период отсутствия реализации сезонных товаров (вплоть до появления его в новом сезоне в организациях торговли в достаточном количестве и ассортименте) используются различные методы определения расчетных цен.

Импутация недостающей цены осуществляется исходя из последней зарегистрированной в период сезона массовой продажи данного товара цены, т.е. цены, которая предшествовала его сезонному исчезновению, при этом ее расчетное значение может определяться:

с учетом динамики цен на несезонные товары данной группы;

с учетом динамики цен товаров данного наименования, имеющихся в продаже на протяжении всего года в других организациях торговли (например, в специализированных магазинах). Использование данного метода требует проведения предварительного тщательного анализа, поскольку не всегда динамика цен на сезонные товары, зафиксированная в указанных организациях торговли, может быть непосредственно использована для оценки динамики цен на эти товары в других организациях, где реализация отсутствует в межсезонный период;

с учетом динамики цен по группе более высокого уровня агрегации, в которую входит сезонный товар (например, по группе "Мужская одежда", "Женская одежда" и т.д.);

в исключительных случаях в условиях отсутствия движения цен или низких темпов их роста допускается повторение цены без каких-либо изменений до начала следующего сезона.

В случае исчезновения из реализации видов одежды, цены на которые наблюдались в предыдущем сезоне, и появления товаров, имеющих отличные от предыдущих характеристики, отражающие новые тенденции моды, осуществляется замена наблюдаемых видов товаров с учетом изменения их качества.

Методы формирования расчетных цен и замены товаров применимы и для других категорий сезонных непродовольственных товаров, например, обуви, товаров для туризма и т.п.

38. Сезонные услуги.

Фактор сезонности может проявляться также в изменении цен (тарифов) на отдельные виды услуг, в частности, по группе ритуальных или туристических услуг.

Применение методов замены по услугам, предоставление которых носит сезонный характер, имеет свои особенности.

Так, например, по позиции "Рытье могилы" в отдельных регионах применяются цены, дифференцированные по сезонам, так называемые "зимние" и "летние" цены. Время действия этих цен разграничивается на осенне-зимний и весенне-летний периоды (например, с октября по март и с апреля по сентябрь).

При расчете индекса цен по данной позиции при переходе от "зимней цены" к "летней цене" и наоборот, осуществляется смена базисной цены (т.е. "летняя цена" отчетного периода сравнивается с последней зафиксированной "летней ценой"). При этом, если в течение действия, например, "зимней цены" произошло ее изменение, оно должно быть отражено в базисной "летней цене", т.е. эта цена корректируется в соответствии с изменением цен в зимний период.

По туристическим услугам, а также некоторым другим видам услуг возможно проведение следующих методов замены:

в период существенных темпов инфляции, а также при значительном темпе изменения курса иностранной валюты (доллара США, евро) по отношению к российскому рублю (темп прироста, снижения более 1% в месяц), возможно индексирование цены путевки в соответствии со средним темпом роста потребительских цен и тарифов на все товары и услуги, темпом роста потребительских цен и тарифов по группе "услуги" или в соответствии с темпом изменения курса иностранных валют по отношению к российскому рублю;

в период низких темпов инфляции возможно использование метода дублирования цены, т.е. в течение всего периода отсутствия фактической реализации путевок на отобранные для наблюдения туры допустимо повторение последней цены путевки, зарегистрированной в сезонный период.

6.7 Проверка достоверности информации об уровнях потребительских цен

39. Необходимым условием обеспечения достоверности первичной информации о ценах, составляющих основу для исчисления индекса потребительских цен, является проведение систематических контрольных проверок регистрации потребительских цен и тарифов на товары и услуги.

Основной целью проведения систематических проверок регистрации потребительских цен и тарифов на товары и услуги является повышение качества и достоверности собираемой первичной информации об их уровне.

Одним из методов контроля качества первичной информации о потребительских ценах является выборочный контрольный обход организаций торговли и сферы услуг, в которых производится регистрация потребительских цен (тарифов).

Контрольный обход проводится совместно с регистратором цен во время ежемесячной регистрации потребительских цен или на следующий день после посещения регистратором объекта наблюдения.

Все необходимые корректировки первичной информации, выявленные при контрольных обходах организаций торговли и сферы услуг, вносятся в массив первичной ценовой информации до завершения расчетов региональных индексов потребительских цен за отчетный период.

Контрольные мероприятия проводятся по следующей схеме:

контроль информации, собранной в процессе регистрации цен, обеспечивают специалисты по статистике потребительских цен, обладающие достаточно высокой квалификацией и опытом работы в области статистики цен (ведущие, главные специалисты, заместители начальника отдела, в случае необходимости - начальник отдела). По факту возникновения претензий к качеству собираемой информации о потребительских ценах проверки проводятся совместно со специалистами других подразделений, использующих в своей деятельности информацию о потребительских ценах (статистика внутренней и внешней торговли, уровня жизни, услуг, национальных счетов и т.д.).

Проверка осуществляется в соответствии с "Планом контрольных проверок регистрации потребительских цен и тарифов на товары и услуги", который утверждается руководителем территориального органа Федеральной службы государственной статистики.

контрольные мероприятия проводятся выборочным методом по перечню товаров (услуг)-представителей и организаций торговли (сферы услуг), отобранных для наблюдения за потребительскими ценами. При этом необходимо обеспечить в течение года проверку достоверности регистрации потребительских цен и тарифов, осуществляемой всеми регистраторами цен, по возможно широкому перечню наблюдаемых товаров и услуг.

по результатам контрольной проверки заполняется "Отчет о контрольной проверке регистрации потребительских цен и тарифов на товары и услуги".

6.8 Определение источников информации о ценах для каждого товара (услуги)-представителя в каждом субъекте Российской Федерации и порядок их комбинирования

40. В процессе перехода от традиционных методов регистрации потребительских цен к использованию "Больших данных", каждый субъект Российской Федерации будет находиться в определенной конфигурации источников данных. В каждом городе региона цена на конкретный товар (услугу)-представитель может быть зарегистрирована с использованием:

"Больших данных";

традиционных методов регистрации;

комбинирования "Больших данных" и традиционных методов.

В процессе отбора ценовых котировок из различных источников необходимо использовать системы альтернативных данных в порядке их приоритетности:

данные ККТ, предоставляемые ФНС России <1>;

<1> При наличии технической возможности использования данных.

данные ККТ из ГИС МТ.

Данные веб-скрейпинга рассматриваются как дополнительный источник данных о ценах и могут комбинироваться с любым из вышеперечисленных источников и традиционной регистрацией цен.

Из источников альтернативных данных отбираются ценовые котировки по каждому городу для каждого товара (услуги)-представителя в соответствии с определенным минимальным количеством котировок. Если сведений из источников Больших данных недостаточно, то используются данные традиционной регистрации.

а) Определение источников информации о ценах.

В случае наличия в конкретном городе достаточного количества ценовых котировок в рамках определенного товара (услуги)-представителя и организаций, полученных на основе "Больших данных" (данных ККТ или веб-скрейпинга), традиционные методы регистрации по отношению к данному товару (услуге)-представителю не применяются.

В обратном случае данные о ценах для расчета ИПЦ комбинируются путем дополнения традиционным источником наблюдения, т.е. сбором информации регистраторами цен.

"Большие данные" могут быть комбинированы с традиционными данными на разных этапах расчета индексов цен:

расчет индивидуальных индексов цен на товар (услугу)-представитель;

расчет агрегатных индексов цен на товар (услугу)-представитель;

расчет сводного индекса цен.

Существуют несколько вариантов комбинирования данных для разных товаров (услуг), например, комбинирование на уровне расчета индивидуальных индексов цен на товар (услугу)-представитель, когда, изменения цен в ряде организаций (определенных на этапе составления выборки) происходят на основе данных ККТ <1>, а в ряде организаций (например, на розничных рынках) - традиционным методов регистрации.

<1> При наличии технической возможности использования данных.

Для того, чтобы сформировать определенную конфигурацию методов сбора данных, каждый субъект Российской Федерации и города в нем должны руководствоваться принципами, приведенными ниже.

б) Принципы комбинирования нескольких источников информации.

При принятии решении об использовании источников информации о ценах и их комбинировании в расчете ИПЦ, основополагающими являются следующие принципы:

определение типа регистрации цен осуществляется для товара (услуги)-представителя в каждом отдельном городе;

преимущественно используются "Большие данные";

для использования "Больших данных" должно быть обеспечено достаточное покрытие конкретного сегмента организаций в городе (например, сетевые магазины);

данные веб-скрейпинга используются наряду с данными ККТ и данными традиционной регистрации цен;

в случае недостаточности данных ККТ (из-за сложности распознавания наименований) для маркированных товаров используются данные ГИС МТ. При этом данные ККТ и ГИС МТ никогда не комбинируются во избежание дублирования информации;

при комбинировании источников информации необходимо соблюдение сопоставимости их использования в течение отчетного года;

при полной невозможности использования данных ККТ сохраняется традиционный метод сбора информации о ценах;

При комбинировании источников информации о ценах на уровне города по отдельному товару (услуге)-представителю индивидуальный индекс цен рассчитывается как средняя геометрическая простая из изменений цен по сопоставимым ценовым котировкам:

, (12)

где:

- индекс цен (тарифов) на j-й товар (услугу)-представитель в городе g в отчетном месяце по сравнению с предыдущим месяцем;

, ..., - изменения цен на товары (услуги) с конкретными потребительскими свойствами, зарегистрированных в различных организациях торговли (сферы услуг) города (ценовые котировки);

g - город;

j - товар (услуга)-представитель;

c - ценовая котировка в рамках товара (услуги)-представителя;

s - источник информации;

t - отчетный период;

t - 1 - предыдущий период;

n - количество ценовых котировок.

VII. Порядок формирования весов для расчета индексов потребительских цен и средних потребительских цен на товары и услуги

7.1 Система весов

41. Для расчета индексов потребительских цен и средних цен используется следующие показатели:

а) на уровне субъекта Российской Федерации:

для расчета индексов цен на отдельные виды товаров и услуг, а также средних цен на них - доли численности населения городов, в которых осуществляется наблюдение за ценами (с учетом их увеличения на численность населения городов, не включенных в наблюдение);

для расчета групповых и сводного индексов потребительских цен - структура потребительских расходов населения (далее - СПР) по субъекту Российской Федерации;

б) на уровне Российской Федерации (федерального округа):

для расчета индексов цен на товар (услугу)-представитель - доли потребительских расходов населения отдельных субъектов Российской Федерации на товар (услугу)-представитель в общих расходах на него в Российской Федерации (федеральном округе);

для расчета средних цен на отдельные виды товаров (услуг)-представителей - доли объемов потребления товаров и услуг отдельных субъектов Российской Федерации в общем объеме их потребления по Российской Федерации (федеральному округу);

для расчета групповых и сводного индексов потребительских цен - структура потребительских расходов населения по Российской Федерации (федеральному округу);

для расчета групповых и сводных индексов потребительских цен по 10-процентным группам населения с различным уровнем располагаемых ресурсов - структура потребительских расходов населения по каждой группе.

Пересмотр весов, используемых при построении индексов потребительских цен, осуществляется ежегодно. Структура потребительских расходов населения по всем субъектам Российской Федерации утверждается нормативным актом Росстата в начале текущего года обследования до расчета ИПЦ за январь.

При высоких темпах инфляции, вызывающих значительные и резкие изменения в структуре потребления населения в течение короткого промежутка времени (например, дефолт 1998 г.), в систему весов, используемую для расчета ИПЦ, в исключительных случаях в течение отчетного года могут вноситься соответствующие коррективы.

7.2 Информационная основа для формирования структуры потребительских расходов

42. Информационной основой при формировании структуры потребительских расходов населения по субъекту Российской Федерации являются данные о потребительских расходах домашних хозяйств, полученные по итогам Выборочного обследования бюджетов домашних хозяйств на территории всех субъектов Российской Федерации в группировке КИПЦ-ДХ.

В классификаторе основные направления потребления домашних хозяйств (разделы) последовательно детализированы на группы, классы, категории, в состав которых входят соответствующие виды товаров и услуг, приобретенные или произведенные домашними хозяйствами для личного потребления, имеющие сходную сферу использования.

Классы в КИПЦ-ДХ подразделяются на типы и обозначаются как НД (недлительного пользования), ПД (полудлительного пользования), Д (длительного пользования). Классы, содержащие услуги, обозначены У. Если класс включает в себя одновременно товары и услуги, товары недлительного и полудлительного пользования или товары полудлительного и длительного пользования, то такой класс обозначается в соответствии с типом продукта, который будет сочтен доминирующим.

При формировании структуры потребительских расходов населения распределение расходов домашних хозяйств осуществляется, в основном, внутри соответствующих классов, категорий и видов расходов КИПЦ-ДХ.

Данное распределение производится в соответствии с описанием перечня товаров и услуг, относящихся к соответствующему направлению потребления, приведенного в КИПЦ-ДХ.

Формирование весов для расчета ИПЦ осуществляется на базе информации о потребительских расходах домашних хозяйств за два последних смещенных года (8 кварталов, предшествующих последнему кварталу предыдущего года).

43. Разработка структуры потребительских расходов населения для расчета групповых и сводных индексов потребительских цен осуществляется в следующей последовательности:

а) разработка СПР по субъектам Российской Федерации на основе данных о потребительских расходах домашних хозяйств субъекта Российской Федерации с учетом местных особенностей как социально-экономического, так и природно-климатического характера.

По субъектам Российской Федерации, в состав которых входят автономные округа, разрабатывается СПР:

по субъекту Российской Федерации без учета автономных округов;

по каждому автономному округу;

по субъекту Российской Федерации, включая автономные округа;

б) разработка СПР по России в целом и по федеральным округам на основе структур потребительских расходов субъектов Российской Федерации.

7.3 Формирование структуры потребительских расходов населения по субъекту Российской Федерации

44. Основными этапами расчета структуры потребительских расходов населения по субъекту Российской Федерации являются:

а) формирование среднегодовых расходов домашних хозяйств на приобретение продовольственных и непродовольственных товаров, а также оплату услуг за два смещенных года, предшествующих году, в котором осуществляется расчет ИПЦ.

Среднегодовые расходы определяются как средняя арифметическая величина потребительских расходов домашних хозяйств за два смещенных года;

б) корректировка расходов домашних хозяйств на алкоголь, с целью определения доли алкогольных напитков, соответствующей реальным объемам их потребления.

Необходимость корректировки связана с имеющим место как в международной практике, так и в отечественной статистике традиционным недоучетом расходов домашних хозяйств на алкогольные напитки, так как домашние хозяйства часто необъективно отражают свои реальные расходы на их приобретение.

Корректировка расходов домашних хозяйств на алкоголь осуществляется в следующей последовательности:

расчет удельного веса расходов на алкогольные напитки в общих потребительских расходах на товары (отношение потребительских расходов на алкогольные напитки к сумме расходов на товары - A1);

расчет удельного веса алкогольных напитков в розничном товарообороте, по данным статистики рыночных услуг (расчетный показатель, полученный на основе информации по форме федерального статистического наблюдения N П-1 "Сведения о производстве и отгрузке товаров и услуг" - A2);

расчет повышающего коэффициента расходов домашних хозяйств на алкогольные напитки D1. Данный показатель определяется путем соотношения показателей, характеризующих удельный вес алкогольных напитков в розничном товарообороте (A2), и удельный вес алкогольных напитков в расходах домашних хозяйств на товары (A1):

, (13)

расчет потребительских расходов домашних хозяйств на наблюдаемые виды алкогольных напитков с учетом повышающего коэффициента корректировки на алкогольные напитки;

формирование структуры потребительских расходов населения для расчета ИПЦ на основе скорректированных данных о расходах домашних хозяйств на потребление алкогольных напитков;

в) обеспечение увязки отдельных статей расходов домашних хозяйств (представленных в разрезе агрегированных данных по группам товаров и услуг) с набором товаров (услуг)-представителей, разработанным для наблюдения за уровнем и динамикой потребительских цен (тарифов) посредством разработки алгоритмов распределения расходов домашних хозяйств.

Алгоритмы распределения расходов домашних хозяйств по статьям набора товаров (услуг)-представителей для расчета ИПЦ разрабатываются в связи с тем, что многие статьи потребительских расходов домашних хозяйств не совпадают с перечнем товаров (услуг)-представителей для расчета ИПЦ.

Таким образом, чтобы каждый товар (услуга) набора, используемый для расчета ИПЦ, имел свой вес, следует при помощи алгоритмов распределения разукрупнить или сгруппировать отдельные статьи расходов домашних хозяйств.

Методы формирования алгоритмов, в зависимости от способа распределения расходов домашних хозяйств по отдельным видам товаров (услуг)-представителей можно условно представить в виде трех групп:

прямого отнесения расходов домашних хозяйств по статьям, имеющим идентичные позиции в наборе товаров (услуг)-представителей.

Например, расходы домашних хозяйств, учтенные по статье "Хлеб ржаной и прочий", целиком включаются в структуру потребительских расходов населения по позиции "Хлеб из ржаной муки и из смеси муки ржаной и пшеничной".

долевого отнесения статьи расходов домашних хозяйств по двум или нескольким однородным позициям набора товаров (услуг)-представителей с использованием коэффициентов распределения.

Например, расходы домашних хозяйств, учтенные по статье "Автомобили новые", при помощи коэффициентов распределения относятся в определенных долях по позициям набора товаров (услуг)-представителей "Легковой автомобиль отечественный новый", "Легковой автомобиль иностранной марки, новый".

условного отнесения (долевого распределения) расходов домашних хозяйств, учтенных по отдельным статьям, не имеющим идентичных позиций в наборе товаров (услуг)-представителей, с использованием коэффициентов распределения.

Например, расходы домашних хозяйств, учтенные по статье "Предметы домашнего инвентаря", не имеющей в наборе товаров (услуг)-представителей идентичных позиций, могут быть включены в вес одного из следующих товаров домашнего обихода: "Комплект столовых приборов из нержавеющей стали", "Кастрюля из эмалированной или нержавеющей стали", "Чайник стальной эмалированный", "Сковорода с антипригарным покрытием" или распределены на веса нескольких товаров (так как все эти товары входят в один раздел КИПЦ-ДХ).

При разработке алгоритмов распределения расходов с применением методов долевого и условного отнесения (долевого распределения) необходимо использование специальных коэффициентов распределения расходов, определяющих пропорцию распределения отдельных статей расходов домашних хозяйств по видам товаров (услуг)-представителей.

Разработка коэффициентов распределения осуществляется расчетным путем, а также с использованием следующих дополнительных источников информации:

статистических данных о производстве отдельных видов продукции, о структуре розничного товарооборота, о деятельности организаций жилищно-коммунального хозяйства, других отраслей статистики;

внешних источников информации, в частности, данных налоговых органов, органов ГИБДД;

показателей, исчисленных в результате применения метода экспертных расчетов и оценок на основе информации, полученной от специалистов организаций торговли (сферы услуг).

В КИПЦ-ДХ, в соответствии с которым происходит распределение расходов домашних хозяйств, внутри многих категорий имеются статьи расходов домашних хозяйств, под названием "Другие...", которые не имеют идентичных позиций в наборе товаров (услуг)-представителей, принятом для расчета ИПЦ.

Распределение этих расходов домашних хозяйств по соответствующим позициям набора товаров (услуг)-представителей осуществляется в соответствии с описанием состава указанных статей расходов в "Структуре Классификатора индивидуального потребления по целям домашних хозяйств";

г) приведение среднегодовых расходов к условиям базисного периода (декабря предыдущего года).

Поскольку в качестве цен базисного периода при расчете индекса потребительских цен на товары и услуги выступают цены декабря предыдущего года, а в качестве весов - среднегодовая структура потребительских расходов населения за два смещенных года, необходимо обеспечение сопоставимости этих показателей.

Для этой цели используются коэффициенты актуализации среднегодовых расходов по каждой позиции, по которой определен вес в структуре потребительских расходов населения, включая позиции, вновь введенные в наблюдение, начиная с года, для которого производится формирование структуры потребительских расходов населения.

Коэффициенты актуализации среднегодовых расходов определяются путем отнесения цены товара (услуги)-представителя за декабрь предыдущего года к средней цене на него, рассчитанной за два смещенных года.

, (14)

где:

- коэффициент актуализации среднегодовых расходов на j-й товар (услугу)-представитель в субъекте Российской Федерации r;

- средняя цена на j-й товар (услугу)-представитель в субъекте Российской Федерации r в декабре предыдущего года (d,(T-1));

- средняя цена на j-й товар (услугу)-представитель в субъекте Российской Федерации r в среднем за два смещенных года (24 месяца);

r - субъект Российской Федерации;

j - товар (услуга)-представитель.

При этом, расчет средней цены на товар (услугу)-представитель за два смещенных года, производится по формуле средней арифметической простой.

, (15)

где:

- средняя цена на j-й товар (услугу)-представитель в субъекте Российской Федерации r за месяц (t).

Для определения коэффициентов актуализации по вновь введенным в наблюдение позициям используются разработанные коэффициенты актуализации по родственным позициям-компаньонам или групповым позициям за предыдущий год;

д) определение весов потребительских расходов населения для расчета ИПЦ по субъекту Российской Федерации осуществляется на основе потребительских расходов населения, приведенных к условиям базисного периода, путем отнесения потребительских расходов по каждой позиции набора товаров (услуг) к общей сумме потребительских расходов по субъекту Российской Федерации.

7.4 Формирование структуры потребительских расходов населения по Российской Федерации (федеральному округу)

45. Формирование системы весов для расчета индексов потребительских цен и средних цен на товары и услуги по Российской Федерации и федеральным округам осуществляется на базе структур потребительских расходов населения, разработанных территориальными органами государственной статистики субъектов Российской Федерации (приведенных к ценам декабря года, предыдущего года).

Потребительские расходы по Российской Федерации и федеральным округам определяются путем суммирования потребительских расходов за два смещенных года в расчете за год, по каждому товару (услуге)-представителю по всем субъектам Российской Федерации (для федерального округа - входящим в состав данного федерального округа).

Формирование структуры потребительских расходов населения (в долях к итогу), используемой для расчета групповых индексов и ИПЦ по Российской Федерации и по федеральным округам, осуществляется путем отнесения потребительских расходов населения по каждой позиции набора товаров (услуг) к общей сумме потребительских расходов по России в целом и по федеральному округу.

Для расчета индексов потребительских цен на каждый товар (услугу) в целом по Российской Федерации осуществляется расчет долей потребительских расходов населения (далее - ДПР) субъектов Российской Федерации.

Расчет производится по каждому товару (услуге) путем отнесения расходов по каждому субъекту Российской Федерации, к общей сумме потребительских расходов на данный товар (услугу) в целом по Российской Федерации.

Затем осуществляется суммирование рассчитанных долей всех субъектов Российской Федерации. Данная сумма должна быть равна 1,00000.

ДПР субъектов Российской Федерации в общих потребительских расходах Российской Федерации рассчитываются с точностью до 5 знаков после запятой.

Разработка структур потребительских расходов по 10 процентным группам населения с различным уровнем располагаемых ресурсов по Российской Федерации в целом осуществляется в соответствии с описанным выше алгоритмом распределения статей расходов домашних хозяйств по всем позициям набора товаров (услуг)-представителей.

7.5 Формирование объемов потребления и долей объемов потребления товаров и услуг в субъектах Российской Федерации

46. Для расчета средних цен по отдельным видам товаров и услуг используются данные об объемах потребления и долях объемов потребления товаров и услуг отдельных субъектов Российской Федерации в общем объеме потребления товаров и услуг по Российской Федерации и федеральным округам.

Формирование объемов потребления (в количественном выражении) отдельных видов товаров и услуг по субъекту Российской Федерации осуществляется путем деления потребительских расходов, распределенных на все население субъекта Российской Федерации, на товар (услугу) за два смещенных года, в расчете на год, в тысячах рублей на среднюю потребительскую цену за два смещенных года по данному товару (услуге).

По позициям, вновь включаемым в набор товаров (услуг)-представителей в новом отчетном году, для которого формируется структура потребительских расходов населения, расчет объемов потребления товаров (услуг) осуществляется путем деления потребительских расходов за два смещенных года, рассчитанных в среднем на один год, в тысячах рублей, по данной позиции на цену декабря предшествующего года, вводимую в качестве базисной цены для расчета в отчетном году индекса потребительских цен по данной позиции.

Доли объемов потребления отдельных товаров и услуг в субъектах Российской Федерации определяются путем отнесения объема потребления товара (услуги) каждого субъекта Российской Федерации к общему объему его потребления по Российской Федерации.

, (16)

, (17)

где:

- объем потребления (в натуральных единицах) j-го товара (услуги)-представителя субъекта Российской Федерации r;

- потребительские расходы населения в субъекте Российской Федерации r на j-й товар (услугу);

- средняя цена на j-й товар (услугу)-представитель в субъекте Российской Федерации r, рассчитанная за период, принятый для формирования весов для исчисления ИПЦ;

- доля объема потребления j-ого товара (услуги)-представителя субъекта Российской Федерации r в общем объеме ее потребления в России;

j - товар (услуга)-представитель;

r - субъект Российской Федерации;

k - количество субъектов Российской Федерации.

VIII. Расчет показателей статистики потребительских цен

8.1 Расчет средних потребительских цен на товары и услуги

47. Расчет средних потребительских цен на товары и услуги по субъекту Российской Федерации.

Средние потребительские цены (тарифы) на отдельные виды товаров и услуг рассчитываются на базе информации, собранной в результате регистрации цен.

На уровне города средние цены на товары (услуги)-представители определяются по формуле средней геометрической простой величины:

, (18)

где:

- средняя потребительская цена (тариф) на j-й товар (услугу)-представитель в городе g;

- цены на товары (услуги) с конкретными потребительскими свойствами, зарегистрированные в различных организациях торговли (сферы услуг) города g (ценовые котировки);

c - ценовая котировка;

n - количество ценовых котировок c.

В условиях отсутствия информации об объемах потребления товаров (услуг)-представителей по отдельным городам при исчислении средних цен на отдельные виды товаров (услуг)-представителей по субъектам Российской Федерации в качестве весов используется доли численности населения обследуемых городов, которые формируются в соответствии с "Методологическими рекомендациями по формированию структуры весов отдельных городов для расчета индекса потребительских цен регионального уровня", утвержденными приказом Росстата от 24 ноября 2017 г. N 777.

, (19)

где:

- средняя цена (тариф) на j-й товар (услугу)-представитель в субъекте Российской Федерации r;

- средняя цена j-го товара (услуги)-представителя в городе g;

- доля численности населения города g в общей численности населения субъекта Российской Федерации;

g - город;

j - товар (услуга)-представитель;

r - субъект Российской Федерации;

m - количество городов в субъекте Российской Федерации.

48. Расчет средних потребительских цен на товары и услуги по Российской Федерации (федеральному округу).

Расчет средних цен на товар (услугу)-представитель по России (федеральному округу) осуществляется по формуле:

, (20)

где:

- средняя цена на j-й товар (услугу)-представитель по Российской Федерации (федеральному округу);

- средняя цена на j-й товар (услугу)-представитель в субъекте Российской Федерации r;

- доля объема потребления j-ого товара (услуги)-представителя в субъекте Российской Федерации r по отношению к общему объему ее потребления в России;

r - субъект Российской Федерации;

j - товар (услуга)-представитель;

f - Российская Федерация (федеральный округ);

k - количество субъектов Российской Федерации (субъектов Российской Федерации, входящих в состав федерального округа).

8.2 Расчет индивидуальных и сводных индексов потребительских цен

49. Этапы расчета индекса потребительских цен.

Расчет ИПЦ на региональном и федеральном уровнях производится на основе единых методологических принципов и осуществляется в несколько этапов:

формирование весов для расчета ИПЦ на уровне субъекта Российской Федерации, федерального округа, России в целом;

расчет индивидуальных индексов цен на товар (услугу)-представитель на уровне города;

расчет агрегатных индексов на товар (услугу)-представитель на уровне субъекта Российской Федерации, федерального округа, России в целом;

расчет групповых и сводных индексов потребительских цен на уровне субъекта Российской Федерации, федерального округа, России в целом.

50. Расчет индивидуальных и сводных индексов потребительских цен по субъекту Российской Федерации.

Расчет индивидуальных индексов потребительских цен на товар (услугу)-представитель осуществляется на уровне городов, в которых организована регистрация потребительских цен.

Условием расчета этих показателей является полная сопоставимость ценовой информации в отчетном и базисном периодах. В расчет включается информация о ценах, зарегистрированных в двух смежных периодах в одной и той же организации торговли (сферы услуг) на один и тот же товар (услугу) с конкретными потребительскими свойствами, что позволяет исключить влияние структурных и ассортиментных сдвигов.

На первом этапе осуществляется расчет изменений цен (ценовых котировок), который определяется как отношение цены на товар (услугу) с конкретными потребительскими свойствами в отчетном периоде к цене в предыдущем периоде.

, (21)

где:

- изменение цен на товар (услугу) с конкретными потребительскими свойствами (c) в отчетном периоде (t) по сравнению с предыдущим периодом (t-1);

- сопоставимая ценовая котировка;

c - товар с конкретными потребительскими свойствами;

t - отчетный месяц;

t - 1 - предыдущий месяц.

На втором этапе, на уровне города определяется индивидуальный индекс цен на отдельный товар (услугу)-представитель по формуле Джевонса, как невзвешенное среднее геометрическое соотношений ценовых котировок на один и тот же товар (услугу) в двух смежных периодах.

Формула средней геометрической для определения индивидуальных индексов потребительских цен на товар (услугу)-представитель в городе (уровень элементарных агрегатов) имеет следующий вид:

, (22)

где:

- индекс цен (тарифов) на j-й товар (услугу)-представитель в g-м городе в отчетном месяце по сравнению с предыдущим месяцем;

- изменения цен на товары (услуги) с конкретными потребительскими свойствами, зарегистрированных в различных организациях торговли (сферы услуг) города (ценовые котировки);

- сопоставимая ценовая котировка на j товар (услугу)-представитель;

g - город;

j - товар (услуга)-представитель;

c - товар с конкретными потребительскими свойствами;

t - отчетный месяц;

t - 1 - предыдущий месяц;

n - количество ценовых котировок.

При расчете индивидуальных индексов цен должно соблюдаться условие одинакового количества сопоставимых ценовых котировок на товар (услугу)-представитель в городе в течение отчетного года. При несоблюдении этого правила будет нарушен принцип сопоставимости количества ценовых котировок.

На базе индивидуальных индексов цен на товары (услуги)-представители в отдельных городах и территориальных весов (долей численности населения) определяются агрегатные индексы цен на отдельные товары (услуги)-представители в целом по субъекту Российской Федерации.

Расчет осуществляется по формуле:

для января

, (23)

для последующих месяцев

, (24)

где:

- индекс цен (тарифов) на j-й товар (услугу)-представитель по субъекту Российской Федерации r в январе отчетного года по сравнению с декабрем предыдущего года;

- индекс цен (тарифов) на j-й товар (услугу)-представитель в субъекту Российской Федерации r в отчетном месяце по сравнению с предыдущим месяцем;

- индекс цен (тарифов) на j-й товар (услугу)-представитель в городе g в январе отчетного года по сравнению с декабрем предыдущего года;

- индекс цен (тарифов) на j-й товар (услугу)-представитель в городе g в отчетном месяце по сравнению с предыдущим месяцем;

- доля численности населения города g в общей численности населения субъекта Российской Федерации r в базисном периоде;

- средняя цена (тариф) на j-й товар (услугу)-представитель в городе g в декабре предыдущего года;

- средняя цена (тариф) на j-й товар (услугу)-представитель в городе g в предыдущем месяце;

j - товар (услуга)-представитель;

r - субъект Российской Федерации;

g - город;

m - количество городов;

t - отчетный месяц;

t - 1 - предыдущий месяц;

- декабрь предыдущего года.

Исходя из агрегатных индексов цен на отдельные виды товаров и услуг по субъекту Российской Федерации и доли расходов на их приобретение в общих потребительских расходах домашних хозяйств, определяются сводные индексы цен по отдельным подгруппам товаров и услуг, по укрупненным группам (например, продовольственные, непродовольственные товары и услуги), а также ИПЦ в целом по субъекту Российской Федерации.

Расчет ИПЦ к предыдущему месяцу осуществляется в соответствии с модифицированной формулой Ласпейреса: для января

, (25)

для последующих месяцев

, (26)

где:

- сводный индекс потребительских цен и тарифов по группе товаров (услуг) по субъекту Российской Федерации r в январе отчетного года по сравнению с декабрем предыдущего года;

- сводный индекс потребительских цен и тарифов по группе товаров (услуг) по субъекту Российской Федерации r в отчетном месяце по сравнению с предыдущим месяцем;

- потребительские расходы на приобретение j-го товара (услуги)-представителя в базисном периоде;

- потребительские расходы населения на приобретение j-го товара (услуги)-представителя населения по субъекту Российской Федерации r в базисном периоде в ценах предыдущего месяца;

- индекс цен (тарифов) на j-й товар (услугу)-представитель населения по субъекту Российской Федерации r в январе отчетного года по сравнению с декабрем предыдущего года;

- индекс цен (тарифов) на j-й товар (услугу)-представитель населения по субъекту Российской Федерации r в отчетном месяце по сравнению с предыдущим месяцем;

j - товар (услуга)-представитель;

l - количество товаров (услуг)-представителей;

r - субъект Российской Федерации;

t - отчетный месяц;

t - 1 - предыдущий месяц;

- декабрь предыдущего года.

51. Расчет индивидуальных и сводных индексов потребительских цен по Российской Федерации (федеральному округу).

Расчет индексов цен на товар (услугу)-представитель по Российской Федерации (федеральному округу) осуществляется по формуле:

для января

, (27)

для последующих месяцев

, (28)

где:

- индекс цен (тарифов) на j-й товар (услугу)-представитель по Российской Федерации (федеральному округу) в январе по сравнению с декабрем предыдущего года;

- индекс цен (тарифов) на j-й товар (услугу)-представитель по Российской Федерации (федеральному округу) в отчетном месяце по сравнению с предыдущим месяцем;

- потребительские расходы субъекта Российской Федерации r на j-й товар (услугу)-представитель в базисном периоде (базисные потребительские расходы);

- базисные потребительские расходы субъекта Российской Федерации r на j-й товар (услугу)-представитель в ценах предыдущего месяца;

- индекс цен (тарифов) на j-й товар (услугу)-представитель в субъекте Российской Федерации r в январе отчетного года по сравнению с декабрем предыдущего года;

- индекс цен (тарифов) на j-й товар (услугу)-представитель в субъекте Российской Федерации r в отчетном месяце по сравнению с предыдущим месяцем;

j - товар (услуга)-представитель;

f - Российская Федерация (федеральный округ);

r - субъект Российской Федерации;

k - количество субъектов Российской Федерации (субъектов, входящих в состав федерального округа);

t - отчетный месяц;

t - 1 - предыдущий месяц;

- декабрь предыдущего года.

Исходя из агрегатных индексов цен на отдельные виды товаров и услуг по федеральному округу и Российской Федерации и расходов на их приобретение в общих потребительских расходах домашних хозяйств, определяются сводные индексы цен по отдельным подгруппам товаров и услуг, по укрупненным группам (например, продовольственные товары, непродовольственные товары и услуги), ИПЦ в целом по федеральному округу и Российской Федерации.

Расчет ИПЦ к предыдущему месяцу осуществляется в соответствии с модифицированной формулой Ласпейреса:

для января

, (29)

для последующих месяцев

, (30)

где:

- сводный индекс потребительских цен и тарифов по группе товаров (услуг) по Российской Федерации (федеральному округу) в январе отчетного года по сравнению с декабрем предыдущего года;

- сводный индекс потребительских цен и тарифов по группе товаров (услуг) по Российской Федерации (федеральному округу) в отчетном месяце по сравнению с предыдущим месяцем;

- потребительские расходы населения на j-й товар (услугу)-представитель по Российской Федерации (федеральному округу) в базисном периоде (базисные расходы);

- базисные потребительские расходы населения на j-й товар (услугу)-представитель по Российской Федерации (федеральному округу) в ценах предыдущего месяца;

- индекс цен (тарифов) на j-й товар (услугу)-представитель по Российской Федерации (федеральному округу) в январе отчетного года по сравнению с декабрем предыдущего года;

- индекс цен (тарифов) на j-й товар (услугу)-представитель по Российской Федерации (федеральному округу) в отчетном месяце по сравнению с предыдущим месяцем;

f - Российская Федерация (федеральный округ);

r - субъект Российской Федерации;

j - товар (услуга)-представитель;

l - количество товаров (услуг)-представителей;

t - отчетный месяц;

t - 1 - предыдущий месяц;

- декабрь предыдущего года.

52. Расчет индексов потребительских цен к различным базисным периодам.

Ежемесячно помимо индекса цен к предыдущему месяцу исчисляются также индексы цен к декабрю предыдущего года, к соответствующему месяцу предыдущего года, за период с начала года к соответствующему периоду предыдущего года.

Для расчета указанных индексов используются следующие формулы:

к декабрю предыдущего года:

, (31)

где:

- индекс цен и тарифов по виду (группе) товаров (услуг)-представителей отчетного месяца к декабрю предыдущего года;

- индекс цен и тарифов по виду (группе) товаров (услуг)-представителей предыдущего месяца к декабрю предыдущего года;

- индекс цен и тарифов по виду (группе) товаров (услуг)-представителей отчетного месяца к предыдущему месяцу;

t - отчетный месяц;

t - 1 - предыдущий месяц;

- декабрь предыдущего года.

к соответствующему месяцу предыдущего года:

, (32)

где:

- индекс цен декабря предыдущего года к декабрю года, предшествующего предыдущему;

- индекс цен отчетного месяца отчетного года к декабрю предыдущего года;

- индекс цен соответствующего месяца предыдущего года к декабрю года, предшествующего предыдущему;

T - текущий год;

T - 1 - предыдущий год;

T - 2 - год, предшествующий предыдущему.

за период с начала года к соответствующему периоду предыдущего года:

, (33)

где:

- индекс цен месяца (t) текущего года к декабрю года, предшествующего предыдущему;

- индекс цен месяца (t) предыдущего года к декабрю года, предшествующего предыдущему;

n - число месяцев (периодов) с начала года.

Ежеквартально определяются индексы цен на конец квартала к концу предыдущего квартала, квартал к предыдущему кварталу, квартал к IV кварталу предыдущего года, квартал к соответствующему кварталу предыдущего года.

Для расчета указанных индексов используются следующие формулы:

на конец квартала к концу предыдущего квартала:

, (34)

где:

- индекс цен последнего месяца отчетного квартала к предыдущему месяцу;

- индекс цен предыдущего месяца (среднего месяца отчетного квартала) к месяцу, предшествующему предыдущему (первым месяцем отчетного квартала);

- индекс цен первого месяца отчетного квартала к последнему месяцу предыдущего квартала;

t - отчетный месяц (последний месяц отчетного квартала);

t - 1 - предыдущий месяц (средний месяц отчетного квартала);

t - 2 - месяц, предшествующий предыдущему (первый месяц отчетного квартала);

t - 3 - последний месяц квартала, предшествующего отчетному.

квартал к предыдущему кварталу:

, (35)

где:

- индекс цен третьего месяца отчетного квартала к декабрю года, предшествующего предыдущему;

- индекс цен второго месяца отчетного квартала к декабрю года, предшествующего предыдущему;

- индекс цен первого месяца отчетного квартала к декабрю года, предшествующего предыдущему;

- индекс цен третьего месяца предыдущего квартала к декабрю года, предшествующего предыдущему;

- индекс цен второго месяца предыдущего квартала к декабрю года, предшествующего предыдущему;

- индекс цен первого месяца предыдущего квартала к декабрю года, предшествующего предыдущему.

квартал к IV кварталу предыдущего года:

, (36)

где:

- индекс цен отчетного квартала к IV кварталу предыдущего года;

- индекс цен предыдущего квартала отчетного года к IV кварталу предыдущего года;

- индекс цен отчетного квартала к предыдущему кварталу отчетного года.

квартал к соответствующему кварталу предыдущего года:

, (37)

где:

- индекс цен третьего месяца отчетного квартала к декабрю года, предшествующего предыдущему;

- индекс цен второго месяца отчетного квартала к декабрю года, предшествующего предыдущему;

- индекс цен первого месяца отчетного квартала к декабрю года, предшествующего предыдущему;

- индекс цен третьего месяца соответствующего квартала предыдущего года к декабрю года, предшествующего предыдущему;

- индекс цен второго месяца соответствующего квартала предыдущего года к декабрю года, предшествующего предыдущему;

- индекс цен первого месяца соответствующего квартала предыдущего года к декабрю года, предшествующего предыдущему.

Также рассчитывается индекс цен средний за период отчетного года (полугодие, 9 месяцев, год) к IV кварталу предыдущего года:

, (38) (в ред. Приказа Росстата от 22.07.2022 N 512)

где: (в ред. Приказа Росстата от 22.07.2022 N 512)

- индекс цен за период отчетного года (полугодие, 9 месяцев, год) к IV кварталу предыдущего года; (в ред. Приказа Росстата от 22.07.2022 N 512)

- индекс цен за месяц отчетного года к декабрю года, предшествующего предыдущему; (в ред. Приказа Росстата от 22.07.2022 N 512)

- индекс цен октября предыдущего года к декабрю года, предшествующего предыдущему; (в ред. Приказа Росстата от 22.07.2022 N 512)

- индекс цен октября предыдущего года к декабрю года, предшествующего предыдущему; (в ред. Приказа Росстата от 22.07.2022 N 512)

- индекс цен ноября предыдущего года к декабрю года, предшествующего предыдущему; (в ред. Приказа Росстата от 22.07.2022 N 512)

- индекс цен декабря предыдущего года к декабрю года, предшествующего предыдущему; (в ред. Приказа Росстата от 22.07.2022 N 512)

n - количество месяцев в периоде (для полугодия - 6, для 9 месяцев - 9, для года - 12). (в ред. Приказа Росстата от 22.07.2022 N 512)

53. Базовый индекс потребительских цен.

Для целей экономического анализа используется базовый индекс потребительских цен (далее - БИПЦ).

БИПЦ - показатель, исключающий краткосрочные неравномерные изменения цен под влиянием отдельных факторов, которые носят административный или сезонный характер.

Целью расчета базового индекса потребительских цен является выявление наиболее устойчивой динамики цен, не подверженной воздействиям шоков предложения и спроса, сезонного фактора, а также административному воздействию федеральных и региональных органов власти на процессы ценообразования.

Исчисление базового индекса потребительских цен осуществляется в рамках федерального статистического наблюдения за уровнем и динамикой потребительских цен на основании набора товаров и услуг, используемого для расчета сводного ИПЦ.

БИПЦ является одной из составляющих индекса потребительских цен.

Основным подходом к исчислению базового индекса потребительских цен является исключение из расчета индекса потребительских цен изменения цен на отдельные входящие в него виды товаров и услуг, подверженные существенным колебаниям цен, не связанным с общим уровнем инфляции. При этом основным принципиальным условием расчета базового индекса потребительских цен является разработка постоянного перечня товаров и услуг, влияние изменения цен на которые ежемесячно исключается из официального индекса потребительских цен.

Перечень товаров и услуг остается неизменным в течение длительного времени (не менее года). Актуализация набора осуществляется с учетом изменений, вносимых в набор товаров и услуг, принятый для наблюдения за потребительскими ценами.

При определении перечня товаров и услуг, входящих в расчет БИПЦ, используются следующие подходы:

из общего перечня продовольственных товаров исключается в первую очередь плодоовощная продукция, так как колебания цен на нее имеют ярко выраженный сезонный характер и в течение всего года существенно влияют на индекс потребительских цен (ИПЦ) как в сторону его понижения, так и повышения. Кроме того, исключаются отдельные виды алкогольных напитков, формирование цен на которые регулируется на государственном уровне как в форме размера акциза, так и установленной минимальной цены;

из группы непродовольственных товаров в расчет базового индекса потребительских цен не включается топливо (бензин, газовое моторное топливо, дизельное топливо), так как динамика цен на его отдельные виды, помимо сезонного фактора, подвержена административному воздействию федеральных и региональных органов власти;

из группы услуг исключаются те виды, формирование цен на которые осуществляется, как правило, на федеральном или региональном уровнях по решению соответствующих органов власти (отдельные услуги пассажирского транспорта, услуги связи, практически все виды жилищно-коммунальных услуг, отдельные виды услуг правового характера и банков).

Исчисление базового индекса потребительских цен, как и расчет всей системы индексов потребительских цен, осуществляется по России в целом, федеральным округам, а также субъектам Российской Федерации по формулам, используемым для расчета ИПЦ.

54. Расчет еженедельной оценки индекса потребительских цен по Российской Федерации.

Расчет оценки ИПЦ осуществляется только по Российской Федерации по сокращенному перечню товаров (услуг)-представителей аналогично индексу потребительских цен в соответствии с модифицированной формулой Ласпейреса.

Для расчета оценки ИПЦ по Российской Федерации в качестве весов используются объемы потребления по субъектам Российской Федерации и структура потребительских расходов населения для расчета ежемесячных индексов потребительских цен.

Для расчета оценки ИПЦ применяется векторно-кластерная модель, предусматривающая распределение товаров и услуг из ежемесячного набора для наблюдения за ценами по группам (кластерам) со схожей динамикой цен. Каждая группа (кластер) должна включать как минимум один товар (услугу)-представитель из еженедельного наблюдения. Таким образом, среднее значение изменения цен на наблюдаемые еженедельно виды товаров и услуг интерполируется на динамику цен ненаблюдаемых еженедельно товаров, объединенных в одну группу (кластер).

Поскольку в еженедельном наблюдении участвует ограниченное количество видов товаров и услуг для расчета оценки ИПЦ осуществляется дооценка изменения цен на ненаблюдаемые еженедельно товары и услуги.

При этом учитывается воздействие различных факторов, влияющих на формирование потребительской цены. В частности, учитывается влияние административной и событийной составляющих. В этих целях используются информация, содержащаяся в принятых законодательных и нормативных актах органов власти, ведомств и организаций различного уровня, опубликованные данные о мероприятиях, проводимых субъектами естественных монополий, о курсе российского рубля по отношению к иностранным валютам и т.п. Осуществляется анализ затратной и сезонной составляющих. С этой целью используется информация об индексах цен производителей за предыдущий период и исторических данных статистики потребительских цен, а также других направлений статистики.

8.3 Расчет стоимостей наборов товаров (услуг) и индексов стоимости жизни (в ред. Приказа Росстата от 22.07.2022 N 512)

55. Формирование стоимостей наборов товаров и услуг.

Для анализа ценовых процессов как в целом по России, так и в разрезе субъектов Российской Федерации, помимо индекса потребительских цен исчисляются стоимости наборов, товаров (услуг), позволяющие осуществлять межрегиональные сопоставления цен в условиях постоянной структуры потребления населением тех или иных потребительских товаров и услуг.

Общим принципом при исчислении этих показателей, как по субъектам Российской Федерации, так и по России в целом является использование единых весов (количества товаров), сохраняющихся постоянными на все время исчисления показателей, и фактических средних потребительских цен по субъектам Российской Федерации и России в целом.

Используемые в расчетах веса являются условными и не ставят задачи отразить реальные объемы потребления товаров в данный момент времени.

Перечни товаров (услуг)-представителей, входящих в состав наборов, утверждаются нормативным актом Росстата.

а) Стоимость условного (минимального) набора продуктов питания отражает межрегиональную дифференциацию уровней потребительских цен на основные продукты питания, входящие в него.

В состав этого набора включено 33 наименования продовольственных товаров.

Данные о стоимости набора определяются в расчете на одного человека в месяц.

Расчет стоимости условного (минимального) набора продуктов питания по субъектам Российской Федерации, федеральным округам и России осуществляется по формуле:

, (39)

где:

- стоимость условного (минимального) набора продуктов питания за месяц по субъекту Российской Федерации r;

- годовые условные объемы потребления продуктов питания, входящих в набор;

- средняя потребительская цена за месяц j-го товара-представителя, входящего в набор, по субъекту Российской Федерации r;

r - субъект Российской Федерации;

j - товар (услуга)-представитель;

n - число товаров (услуг)-представителей, входящих в набор.

б) Стоимость фиксированного набора потребительских товаров и услуг для межрегиональных сопоставлений покупательной способности населения, исчисленная по субъектам Российской Федерации, является показателем, который может быть использован как вспомогательный инструмент при оценке уровня материального благосостояния населения, отражая сложившийся уровень цен как на продовольственные, так и непродовольственные товары, а также услуги.

Формирование фиксированного набора потребительских товаров и услуг для обеспечения межрегиональных сопоставлений основывается на исследовании потребительского рынка субъектов Российской Федерации, проведенного специалистами территориальных органов Федеральной службы государственной статистики.

В состав набора включены товары и услуги всех основных товарных групп (групп услуг), по которым организовано наблюдение за ценами. В первую очередь в набор включены наиболее часто отмеченные специалистами территориальных органов государственной статистики товары и услуги, которым отдает потребительские предпочтения основная часть населения, проживающего в них. Кроме того, в перечень включены также товары, которые получили не очень высокий рейтинг предпочтений, однако являются социально значимыми в потребительских расходах граждан.

В состав набора включены 83 наименования товаров и услуг, в том числе 30 видов продовольственных товаров, 41 вид непродовольственных товаров и 12 видов услуг.

Данные о стоимости набора определяются в расчете на одного человека в месяц.

Состав наборов утверждается приказом Росстата и размещается на его официальном сайте.

Расчет стоимости фиксированного набора потребительских товаров и услуг для межрегиональных сопоставлений покупательной способности населения по субъектам Российской Федерации, федеральным округам и России осуществляется по формуле:

, (40) (в ред. Приказа Росстата от 22.07.2022 N 512)

где: (в ред. Приказа Росстата от 22.07.2022 N 512)

- стоимость фиксированного набора потребительских товаров и услуг за месяц по субъекту Российской Федерации r; (в ред. Приказа Росстата от 22.07.2022 N 512)

- годовые условные объемы потребления товаров (услуг)-представителей, входящих в набор; (в ред. Приказа Росстата от 22.07.2022 N 512)

- средняя потребительская цена за месяц j-го товара (услуги)-представителя, входящего в набор, по субъекту Российской Федерации r; (в ред. Приказа Росстата от 22.07.2022 N 512)

r - субъект Российской Федерации; (в ред. Приказа Росстата от 22.07.2022 N 512)

j - товар (услуга)-представитель; (в ред. Приказа Росстата от 22.07.2022 N 512)

n - число товаров (услуг)-представителей, входящих в набор. (в ред. Приказа Росстата от 22.07.2022 N 512)

56. Расчет индексов стоимости жизни.

ИСЖ является относительным показателем, характеризующим различия в уровне цен в фиксированный момент времени в пространстве, в отличие от ИПЦ, который измеряет изменение общего уровня цен во времени.

ИСЖ рассчитывается в целом за год с использованием среднегодовых цен на товары (услуги)-представители, включенные в перечень для формирования ИСЖ, и весов для расчета ИСЖ по отобранным в наблюдение за потребительскими ценами городам Российской Федерации.

В набор для расчета ИСЖ включаются товары (услуги)-представители из основных товарных групп и групп услуг, устойчиво присутствующие на потребительском рынке всех городов и пользующиеся наибольшим спросом населения.

В качестве весов для определения ИСЖ используется единая для всех городов структура потребительских расходов населения, формируемая на основе данных обследования бюджетов домашних хозяйств в целом по Российской Федерации для совокупности товаров (услуг)-представителей, входящих в набор для расчета ИСЖ.

Актуализация весов и, при необходимости, набора для расчета ИСЖ осуществляется ежегодно. Перечень товаров (услуг)-представителей, входящих в набор для расчета ИСЖ, утверждается нормативным актом Росстата.

Расчет ИСЖ осуществляется по следующей формуле:

, (41)

где:

- индекс стоимости жизни в городе g;

- вес j-ого товара (услуги)-представителя в общих потребительских расходах населения на набор для расчета ИСЖ;

l - количество товаров (услуг)-представителей в наборе;

- соотношение среднегодовой цены на j-й товар (услугу)-представитель в городе g с его среднегодовой ценой по России в целом, рассчитываемое по формуле:

, (42)

где:

- среднегодовая цена на j-й товар (услугу)-представитель в городе g;

- среднегодовая цена на j-й товар (услугу)-представитель в Российской Федерации.

Среднегодовая цена рассчитывается по формуле средней арифметической простой:

, (43)

где:

- среднегодовая цена на j-й товар (услугу)-представитель в городе g;

- средние цены на j-й товар (услугу)-представитель в городе g в январе, феврале ... декабре отчетного года.

ИСЖ по городам исчисляется в разах с двумя знаками после запятой, по России в целом значение составляет "1,00".

IX. Публикация информации

57. Информация об отобранных для наблюдения за потребительскими ценами товарах (услугах)-представителях, городах Российской Федерации, структуре потребительских расходов населения по Российской Федерации и субъектам Российской Федерации, используемой для формирования индексов потребительских цен, а также информация об индексах потребительских цен и средних потребительских ценах на наблюдаемые товары (услуги)-представители по России, федеральным округам и субъектам Российской Федерации, оценке индекса потребительских цен по Российской Федерации размещается на официальном сайте Росстата в сети "Интернет" в сроки, предусмотренные Федеральным планом статистических работ.

Рассчитанные и опубликованные ежемесячные индексы потребительских цен на товары и услуги и еженедельные данные об оценке индекса потребительских цен являются официальной статистической информацией и не подлежат корректировке.

В целях международных сопоставлений информация об индексах потребительских цен на товары и услуги в соответствии с международными стандартами размещается с одним десятичным знаком после запятой.

На официальном сайте Росстата в сети "Интернет", в том числе в базах данных, информация об индексах потребительских цен на товары и услуги размещается с двумя десятичными знаками после запятой.

Структура потребительских расходов населения, используемая для формирования ИПЦ, размещается на официальном сайте Росстата в сети "Интернет" в процентах с тремя десятичными знаками после запятой.

Приложение N 2
к приказу Росстата
от 15.12.2021 N 915

ПЕРЕЧЕНЬ ПРИКАЗОВ РОССТАТА, ПРИЗНАВАЕМЫХ УТРАТИВШИМИ СИЛУ

1. Приказ Росстата от 8 августа 2012 г. N 440 "Об утверждении Методологических рекомендаций по расчету индексов стоимости жизни в отдельных городах Российской Федерации";

2. Приказ Росстата от 30 декабря 2014 г. N 734 "Об утверждении Официальной статистической методологии организации статистического наблюдения за потребительскими ценами на товары и услуги и расчета индексов потребительских цен";

3. Приказ Росстата от 2 ноября 2015 г. N 519 "Об утверждении Официальной статистической методологии по определению еженедельной оценки индекса потребительских цен";

4. Приказ Росстата от 27 ноября 2017 г. N 780 "О внесении изменений в Официальную статистическую методологию организации статистического наблюдения за потребительскими ценами на товары и услуги и расчета индексов потребительских цен, утвержденную приказом Росстата от 30 декабря 2014 г. N 734 и в Официальной статистической методологии по определению еженедельной оценки индекса потребительских цен, утвержденную приказом Росстата от 2 ноября 2015 г. N 519";

5. Приказ Росстата от 21 января 2019 г. N 12 "О внесении изменений в Официальную статистическую методологию организации статистического наблюдения за потребительскими ценами на товары и услуги и расчета индексов потребительских цен, утвержденную приказом Росстата от 30 декабря 2014 г. N 734";

6. Приказ Росстата от 27 ноября 2019 г. N 710 "О внесении изменений в Официальную статистическую методологию организации статистического наблюдения за потребительскими ценами на товары и услуги и расчета индексов потребительских цен, утвержденную приказом Росстата от 30 декабря 2014 г. N 734";

7. Приказ Росстата от 25 ноября 2020 г. N 732 "О внесении изменений в Официальную статистическую методологию по определению еженедельной оценки индекса потребительских цен, утвержденную приказом Росстата от 2 ноября 2015 г. N 519";

8. Приказ Росстата от 28 апреля 2021 г. N 236 "О внесении изменений в Официальную статистическую методологию организации статистического наблюдения за потребительскими ценами на товары и услуги и расчета индексов потребительских цен, утвержденную приказом Росстата от 30 декабря 2014 г. N 734".