Указание ЦБ РФ от 12.02.2024 N 6681-У

"О требованиях к осуществлению брокерской деятельности при совершении брокером отдельных сделок за счет клиента"
Редакция от 12.02.2024 — Действует с 01.04.2025

Зарегистрировано в Минюсте России 2 июля 2024 г. N 78736


ЦЕНТРАЛЬНЫЙ БАНК РОССИЙСКОЙ ФЕДЕРАЦИИ

УКАЗАНИЕ
от 12 февраля 2024 г. N 6681-У

О ТРЕБОВАНИЯХ К ОСУЩЕСТВЛЕНИЮ БРОКЕРСКОЙ ДЕЯТЕЛЬНОСТИ ПРИ СОВЕРШЕНИИ БРОКЕРОМ ОТДЕЛЬНЫХ СДЕЛОК ЗА СЧЕТ КЛИЕНТА

Настоящее Указание на основании абзаца восьмого пункта 4 и пункта 4.1 статьи 3, пункта 6 статьи 10.1-1, пункта 3 статьи 42 Федерального закона от 22 апреля 1996 года N 39-ФЗ "О рынке ценных бумаг" и в соответствии с решением Совета директоров Банка России (протокол заседания Совета директоров Банка России от 2 февраля 2024 года N ПСД-2) устанавливает требования к имуществу, за исключением денежных средств в валюте Российской Федерации, которое может быть передано брокеру в качестве обеспечения обязательств клиента перед брокером, в том числе по предоставленным брокером займам, случаи, когда сделки брокера за счет клиента без его поручения, предусмотренные пунктом 4 статьи 3 Федерального закона от 22 апреля 1996 года N 39-ФЗ "О рынке ценных бумаг", могут совершаться не на организованных торгах, требования к внутренним документам брокера, разработанным во исполнение требований, установленных к брокерской деятельности, а также требования к осуществлению брокерской деятельности, в том числе требования к соблюдению брокером нормативов при совершении им следующих сделок:

сделок за счет денежных средств (в том числе в иностранной валюте), и (или) ценных бумаг, и (или) драгоценных металлов, которые в соответствии с договором о брокерском обслуживании находятся в распоряжении брокера или должны поступить в его распоряжение, в случае их недостаточности для исполнения обязательств по указанным сделкам;

фьючерсных и опционных договоров, являющихся производными финансовыми инструментами, от имени брокера и за счет клиента.

1. Брокер должен включать в состав портфеля клиента денежные средства (в том числе в иностранной валюте), и (или) ценные бумаги, и (или) драгоценные металлы, которые в соответствии с договором о брокерском обслуживании находятся в распоряжении брокера или должны поступить в его распоряжение, и (или) права предъявить требование по опционным договорам (далее при совместном упоминании - имущество клиента), обязательства по сделкам, совершенным за счет указанного имущества клиента в соответствии с заключенным с клиентом договором о брокерском обслуживании (далее - сделки за счет клиента), а также задолженность клиента перед брокером.

В случае если договором о брокерском обслуживании предусмотрено наличие у клиента нескольких портфелей, брокер не должен допускать включение одного и того же имущества клиента, и (или) одних и тех же обязательств по сделкам за счет клиента, и (или) одной и той же задолженности клиента перед брокером в состав нескольких портфелей клиента.

2. Брокер должен включать в состав портфеля клиента все плановые позиции, значения которых брокер должен рассчитывать в соответствии с пунктом 4 приложения к настоящему Указанию, по ценным бумагам каждого эмитента (лица, обязанного по ценной бумаге), предоставляющим их владельцам одинаковый объем прав, по денежным средствам по каждому виду валют, по каждому виду драгоценного металла, а также по правам предъявить требование по опционным договорам, не предусматривающим уплату сторонами вариационной маржи, права управомоченной стороны по которым, в том числе в отношении цены исполнения, одинаковы (далее - плановая позиция).

3. Брокер не должен совершать действия, приводящие к возникновению или увеличению в абсолютном выражении отрицательного значения плановой позиции (далее - непокрытая позиция) по ценной бумаге, иностранной валюте или драгоценному металлу, не соответствующим установленным пунктами 4 и 5 настоящего Указания требованиям к имуществу, которое может быть передано брокеру в качестве обеспечения обязательств клиента перед брокером, в том числе по предоставленным брокером займам.

4. В качестве обеспечения обязательств клиента перед брокером, в том числе по предоставленным брокером займам, допускается передача брокеру ценных бумаг, иностранной валюты и драгоценных металлов, если значения ставок, предусмотренных в абзацах втором и третьем пункта 39 приложения к настоящему Указанию, по указанным ценным бумагам, иностранной валюте и драгоценным металлам размещены хотя бы одной клиринговой организацией в свободном доступе на своем официальном сайте в информационно-телекоммуникационной сети "Интернет" (далее - сеть "Интернет"), адрес которого указан в правилах клиринга в соответствии с пунктом 12 части 2 статьи 4 Федерального закона от 7 февраля 2011 года N 7-ФЗ "О клиринге, клиринговой деятельности и центральном контрагенте" (далее - сайт клиринговой организации).

5. Передача брокеру иностранной валюты в качестве обеспечения обязательств клиента перед брокером, в том числе по предоставленным брокером займам, допускается, если она, помимо соответствия требованию пункта 4 настоящего Указания, также допущена к организованным торгам российским организатором торговли.

Передача брокеру драгоценных металлов в качестве обеспечения обязательств клиента перед брокером, в том числе по предоставленным брокером займам, допускается, если они, помимо соответствия требованию пункта 4 настоящего Указания, также учитываются на банковских счетах в драгоценных металлах и допущены к организованным торгам российским организатором торговли.

6. Брокер, совершающий действия, приводящие к возникновению непокрытых позиций клиента, должен определять перечень ценных бумаг, иностранных валют и драгоценных металлов, по которым в соответствии с договором о брокерском обслуживании допускается возникновение непокрытых позиций и (или) по которым положительное значение плановой позиции не принимается равным 0 (далее - перечень ликвидного имущества).

В перечне ликвидного имущества по решению брокера предусматривается кратность количества ценных бумаг, и (или) иностранных валют, и (или) драгоценных металлов соответственно минимальному объему ценных бумаг, иностранных валют, драгоценных металлов, в пределах которого положительное значение плановой позиции не принимается равным 0.

Брокер должен разместить в свободном доступе на своем официальном сайте в сети "Интернет", на котором им осуществляется раскрытие информации в соответствии с Указанием Банка России от 2 августа 2023 года N 6496-У "О раскрытии информации профессиональными участниками рынка ценных бумаг" <1> (далее - сайт брокера), перечень ликвидного имущества, единый для всех клиентов, с которыми договором о брокерском обслуживании не предусмотрено определение отдельного перечня ликвидного имущества.

<1> Зарегистрировано Минюстом России 8 ноября 2023 года, регистрационный N 75881.

Доступ к отдельному перечню ликвидного имущества, определение которого предусмотрено договором о брокерском обслуживании, должен предоставляться брокером клиенту в соответствии с указанным договором.

Брокер должен не допускать совершения действий, приводящих к возникновению или увеличению в абсолютном выражении непокрытой позиции по ценной бумаге, иностранной валюте или драгоценному металлу, ранее дня размещения на своем сайте перечня ликвидного имущества (предоставления в соответствии с договором о брокерском обслуживании доступа к перечню ликвидного имущества), в который они включены, в соответствии с абзацем третьим (четвертым) настоящего пункта.

7. В случае если ценная бумага перестала соответствовать требованиям, установленным пунктом 4 настоящего Указания, иностранная валюта, драгоценный металл перестали соответствовать требованиям, установленным пунктами 4 и (или) 5 настоящего Указания, брокер должен исключить их из перечня ликвидного имущества в срок, не превышающий 30 календарных дней со дня, когда ценная бумага, иностранная валюта или драгоценный металл перестали соответствовать указанным требованиям.

8. Брокер не должен совершать действия, приводящие к возникновению непокрытой позиции по ценной бумаге, иностранной валюте или драгоценному металлу, не соответствующим требованиям, установленным пунктами 4 и (или) 5 настоящего Указания, определяемой брокером до истечения срока исполнения любого обязательства, предметом которого является указанное имущество, при положительном значении плановой позиции по нему (далее - временно непокрытая позиция).

9. В случае совершения брокером сделки за счет клиента на организованных торгах на основе заявок на покупку и заявок на продажу ценных бумаг по наилучшим из указанных в них ценам при условии, что заявки адресованы всем участникам торгов и информация, позволяющая идентифицировать подавших заявки участников торгов, не раскрывается в ходе торгов другим участникам, брокер не должен допускать возникновение или увеличение в абсолютном выражении непокрытой позиции по ценной бумаге, возникновение или увеличение в абсолютном выражении временно непокрытой позиции по ценной бумаге при одновременном наличии следующих обстоятельств:

цена указанной в абзаце первом настоящего пункта сделки на 5 или более процентов ниже цены закрытия ценных бумаг, с которыми совершена указанная сделка, рассчитанной организатором торговли за предыдущий торговый день в соответствии с подпунктом 4.2 пункта 4 приложения 2 к Положению Банка России от 17 октября 2014 года N 437-П "О деятельности по проведению организованных торгов" <2> (далее - Положение Банка России N 437-П);

<2> Зарегистрировано Минюстом России 30 декабря 2014 года, регистрационный N 35494, с изменениями, внесенными Указаниями Банка России от 27 ноября 2017 года N 4622-У (зарегистрировано Минюстом России 16 февраля 2018 года, регистрационный N 50066), от 14 сентября 2020 года N 5550-У (зарегистрировано Минюстом России 16 октября 2020 года, регистрационный N 60426), от 17 мая 2022 года N 6140-У (зарегистрировано Минюстом России 25 августа 2022 года, регистрационный N 69784), от 27 сентября 2023 года N 6544-У (зарегистрировано Минюстом России 3 ноября 2023 года, регистрационный N 75847).

цена указанной в абзаце первом настоящего пункта сделки ниже последней текущей цены ценных бумаг, с которыми совершена указанная сделка, рассчитанной организатором торговли в соответствии с подпунктом 4.1 пункта 4 приложения 2 к Положению Банка России N 437-П, о которой брокер знал или должен был знать на момент подачи им организатору торговли заявки на ее совершение;

цена указанной в абзаце первом настоящего пункта сделки ниже цены последней сделки, вошедшей в расчет последней текущей цены ценных бумаг, с которыми совершена указанная сделка, рассчитанной организатором торговли в соответствии с подпунктом 4.1 пункта 4 приложения 2 к Положению Банка России N 437-П, о которой брокер знал или должен был знать на момент подачи им организатору торговли заявки на ее совершение.

Требования абзацев первого - четвертого настоящего пункта не распространяются на заключаемые брокером сделки за счет клиента, обязательства по которым допущены к клирингу с участием квалифицированного центрального контрагента.

10. Брокер, совершающий действия, приводящие к возникновению непокрытых позиций клиента, должен соблюдать следующие нормативы:

норматив покрытия риска при исполнении поручений клиента (далее - НПР1);

норматив покрытия риска при изменении стоимости портфеля клиента (далее - НПР2).

Расчет НПР1 и НПР2 брокер должен осуществлять согласно приложению к настоящему Указанию.

11. Минимально допустимое числовое значение НПР1 устанавливается в размере 0.

12. Брокер не должен допускать возникновение отрицательного значения НПР1 или его снижение относительно своего предыдущего отрицательного значения, за исключением:

случая, если отрицательное значение НПР1 возникло или его снижение относительно своего предыдущего отрицательного значения произошло не в результате совершения брокером действий в отношении портфеля клиента;

случая, предусмотренного пунктом 20 настоящего Указания;

случая положительного значения НПР1, определенного брокером в соответствии с пунктом 13 настоящего Указания на момент принятия поручения клиента или, если исполнение этого поручения поставлено в зависимость от наступления предусмотренных в нем обстоятельств, на момент наступления указанных обстоятельств исходя из плановых позиций в составе портфеля клиента, скорректированных брокером с учетом принятых, но не исполненных к указанному моменту поручений клиента;

случая начисления брокером и (или) уплаты за счет клиента брокеру и (или) третьим лицам в связи с заключенными брокером сделками за счет клиента сумм процентов, неустоек (штрафов, пеней), убытков, расходов, а также вознаграждений по договору о брокерском обслуживании и (или) по договору брокера с клиентом, предметом которого не является оказание брокерских услуг;

случая, если за счет имущества клиента исполняются решения органов государственной власти, обязанности клиента по уплате обязательных платежей, включая случаи исполнения брокером обязанностей налогового агента;

случая заключения брокером за счет клиента договоров репо;

случая проведения брокером операций за счет клиента, связанных с отчуждением (приобретением) иностранной валюты и ее обратным приобретением (отчуждением) брокером;

случая проведения брокером операций за счет клиента, связанных с отчуждением (приобретением) драгоценного металла и его обратным приобретением (отчуждением) брокером;

случая удовлетворения клиринговой организацией требований, обеспеченных индивидуальным клиринговым обеспечением, в результате неисполнения или ненадлежащего исполнения брокером обязательств по сделкам за счет клиента;

случая исключения брокером ценной бумаги, иностранной валюты или драгоценного металла из перечня ликвидного имущества;

случая изменения используемых брокером для расчета НПР1 значений начальной ставки риска и (или) относительной ставки риска, предусмотренных пунктами 22, 33 - 35 приложения к настоящему Указанию;

случая заключения сделки в силу обязанности ее заключения брокером в соответствии с правилами клиринга и (или) в соответствии с условиями фьючерсного договора или опционного договора;

случая принятия брокером поручения клиента одновременно на совершение двух или более сделок, подлежащих исполнению в один и тот же день, при том что:

в соответствии с поручением клиента его частичное исполнение не допускается;

заключение любой из сделок приведет к увеличению размера начальной маржи, рассчитанного в соответствии с пунктом 18 или пунктом 37 приложения к настоящему Указанию (далее - размер начальной маржи), относительно стоимости портфеля клиента;

заключение всех сделок, указанных в поручении клиента, приведет к снижению размера начальной маржи относительно ее первоначального размера.

13. В случае, указанном в абзаце четвертом пункта 12 настоящего Указания, при расчете брокером НПР1 брокер должен корректировать плановые позиции по такому сценарию исполнения поручений клиента, по которому НПР1 принимает минимальное значение при ценах договоров, которые будут заключены брокером во исполнение поручений клиента (далее - цены исполнения поручений клиента), определенных брокером с соблюдением следующих требований:

13.1. Цену исполнения поручения клиента брокер должен определять исходя из цены (курса) имущества, указанного в поручении, в соответствии с пунктами 16 и 17 приложения к настоящему Указанию, за исключением случаев, указанных в подпунктах 13.2 и 13.3 настоящего пункта.

13.2. В случае исполнения поручения клиента на покупку имущества не на организованных торгах, проводимых на основе заявок на покупку и заявок на продажу имущества по наилучшим из указанных в них ценам при условии, что заявки адресованы всем участникам торгов и информация, позволяющая идентифицировать подавших заявки участников торгов, не раскрывается в ходе торгов другим участникам (далее - торги на основе безадресных заявок), по цене выше цен, определенных брокером в соответствии с пунктами 16 и 17 приложения к настоящему Указанию, брокер должен определить цену исполнения поручений клиента как цену, указанную в таком поручении.

13.3. В случае исполнения поручений клиента на продажу имущества не на торгах на основе безадресных заявок по цене ниже цен, определенных брокером в соответствии с пунктами 16 и 17 приложения к настоящему Указанию, брокер должен определить цену исполнения поручений клиента как цену, указанную в таком поручении.

14. Минимально допустимое числовое значение НПР2 устанавливается в размере 0.

15. В случае если НПР2 принимает значение ниже 0, брокер в сроки, предусмотренные пунктом 18 настоящего Указания, должен предпринять меры по снижению размера минимальной маржи, рассчитанного в соответствии с пунктом 18 приложения к настоящему Указанию (далее - размер минимальной маржи), и (или) увеличению стоимости портфеля клиента (далее - закрытие позиций).

Требования абзаца первого настоящего пункта не применяются, если значение размера минимальной маржи равно 0.

Не допускаются действия брокера по закрытию позиций клиента, если до их совершения НПР2 принял положительное значение, за исключением случаев, когда иное предусмотрено договором о брокерском обслуживании.

16. К закрытию позиций клиента не относятся действия брокера, совершенные на основании поручения клиента, направленного (переданного) брокеру для совершения сделки (заключения договора) за счет клиента, в котором указаны конкретные ценные бумаги, и (или) драгоценные металлы, и (или) иностранная валюта и их количество, или фьючерсный договор, его базисный актив и срок исполнения указанного договора, или опционный договор, его базисный актив, срок и цена исполнения указанного договора.

17. Брокер, совершающий действия, приводящие к возникновению непокрытых позиций клиента, должен утвердить внутренний документ, определяющий порядок закрытия позиций клиентов, с указанием времени (часы, минуты, секунды) каждого торгового дня, до которого снижение значения НПР2 ниже 0 влечет закрытие позиций клиента в течение этого торгового дня (далее - ограничительное время закрытия позиций). При этом ограничительное время закрытия позиций по решению брокера должно быть указано в отношении всех портфелей клиентов либо в отношении каждой группы портфелей клиентов, сгруппированных по единым признакам.

18. Брокер должен осуществлять закрытие позиций клиента при снижении НПР2 ниже 0 в следующие сроки:

18.1. В случае если НПР2 принимает значение ниже 0 в течение торгового дня до ограничительного времени закрытия позиций, брокер должен осуществить закрытие позиций клиента в течение указанного торгового дня.

18.2. В случае если НПР2 принимает значение ниже 0 в течение торгового дня после ограничительного времени закрытия позиций, брокер должен осуществить закрытие позиций клиента не позднее ограничительного времени закрытия позиций ближайшего торгового дня, следующего за торговым днем, в котором НПР2 принял значение ниже 0.

18.3. В случае если до закрытия позиций клиента организованные торги ценными бумагами, и (или) производными финансовыми инструментами, и (или) драгоценными металлами, и (или) иностранной валютой были приостановлены и их возобновление произошло после ограничительного времени закрытия позиций, брокер должен осуществить закрытие позиций клиента не позднее ограничительного времени закрытия позиций ближайшего торгового дня, следующего за торговым днем, в котором НПР2 принял значение ниже 0.

19. Брокер должен осуществить закрытие позиций клиента при снижении НПР2 ниже 0 с соблюдением следующих требований:

19.1. В отношении клиентов, отнесенных брокером в соответствии с пунктами 28 и 34 настоящего Указания к категории клиентов с начальным уровнем риска или категории клиентов со стандартным уровнем риска, брокер должен осуществить закрытие позиций до достижения НПР1 нулевого значения (при положительном значении размера начальной маржи), если достижение большего значения НПР1 не предусмотрено договором о брокерском обслуживании.

19.2. В отношении клиентов, отнесенных брокером в соответствии с пунктами 28 и 34 настоящего Указания к категории клиентов с повышенным уровнем риска, брокер должен осуществить закрытие позиций указанных клиентов до достижения НПР2 нулевого значения (при положительном значении размера минимальной маржи), если достижение большего значения НПР2 не предусмотрено договором о брокерском обслуживании.

20. При осуществлении брокером закрытия позиции клиента до приведения НПР1 или НПР2 в соответствие с требованиями подпунктов 19.1 и 19.2 пункта 19 настоящего Указания допускается снижение значения НПР1 относительно своего предыдущего отрицательного значения.

21. Закрытие позиций клиента при снижении НПР2 ниже 0 брокер должен совершать на торгах на основе безадресных заявок, за исключением случаев, предусмотренных пунктом 22 настоящего Указания.

22. Закрытие позиций клиента при снижении НПР2 ниже 0 не на торгах на основе безадресных заявок (включая совершение брокером сделок за счет клиента без его поручения, предусмотренных пунктом 4 статьи 3 Федерального закона от 22 апреля 1996 года N 39-ФЗ "О рынке ценных бумаг", не на организованных торгах) допускается только в следующих случаях:

22.1. Покупка ценных бумаг (за исключением облигаций) и (или) драгоценных металлов осуществляется по цене, не превышающей максимальной цены сделки с указанными ценными бумагами и (или) драгоценными металлами, совершенной на торгах на основе безадресных заявок, в течение последних 15 минут, предшествующих действиям брокера, направленным на совершение сделки, или, если торги на основе безадресных заявок приостановлены, - в течение последних 15 минут до их приостановления.

22.2. Покупка облигаций и (или) иностранной валюты осуществляется при соблюдении одного из следующих требований:

покупка осуществляется по цене, не превышающей максимальной цены сделки с указанными облигациями и (или) иностранной валютой, совершенной на торгах на основе безадресных заявок в течение последних 15 минут, предшествующих действиям брокера, направленным на совершение сделки, или, если торги на основе безадресных заявок приостановлены, - в течение последних 15 минут до их приостановления;

покупка осуществляется по цене не выше лучшей котировки на продажу указанных облигаций и (или) иностранной валюты, информация о которой опубликована в информационной системе "Блумберг" (Bloomberg) или в информационной системе "Рефинитив" (Refinitiv) либо предоставлена небанковской кредитной организацией акционерным обществом "Национальный расчетный депозитарий" (далее - НКО АО НРД), или акционерным обществом "Интерфакс" (далее - АО "Интерфакс"), или обществом с ограниченной ответственностью "Сбондс.ру" (далее - ООО "Сбондс.ру"), более чем на величину произведения указанной котировки и одной четвертой начальной ставки риска по облигации (иностранной валюте), предусмотренной пунктами 39 - 42 приложения к настоящему Указанию.

22.3. Покупка иностранной валюты в соответствии с абзацами вторым и третьим подпункта 22.2 настоящего пункта осуществляется в отсутствие проведения торгов на основе безадресных заявок указанной иностранной валютой либо в объеме меньшем, чем минимальный размер биржевого лота, предусмотренный правилами организованных торгов указанной иностранной валютой.

22.4. Продажа ценных бумаг (за исключением облигаций) и (или) драгоценных металлов осуществляется по цене не ниже минимальной цены сделки с указанными ценными бумагами и (или) драгоценными металлами, совершенной на торгах на основе безадресных заявок в течение последних 15 минут, предшествующих действиям брокера, направленным на совершение сделки, или, если торги на основе безадресных заявок приостановлены, - в течение последних 15 минут до их приостановления.

22.5. Продажа облигаций и (или) иностранной валюты осуществляется при соблюдении одного из следующих требований:

продажа осуществляется по цене не ниже минимальной цены сделки с указанными облигациями и (или) иностранной валютой, совершенной на торгах на основе безадресных заявок в течение последних 15 минут, предшествующих действиям брокера, направленным на совершение сделки, или, если торги на основе безадресных заявок приостановлены, - в течение последних 15 минут до их приостановления;

продажа осуществляется по цене не ниже лучшей котировки на покупку указанных облигаций и (или) иностранной валюты, информация о которой опубликована в информационной системе "Блумберг" (Bloomberg) или в информационной системе "Рефинитив" (Refmitiv) либо предоставлена НКО АО НРД, или АО "Интерфакс", или ООО "Сбондс.ру", более чем на величину произведения указанной котировки и одной четвертой начальной ставки риска по облигации (иностранной валюте), предусмотренной пунктами 39 - 42 приложения к настоящему Указанию.

22.6. Продажа иностранной валюты в соответствии с абзацами вторым и третьим подпункта 22.5 настоящего пункта осуществляется в отсутствие проведения торгов на основе безадресных заявок указанной иностранной валютой либо в объеме меньшем, чем минимальный размер биржевого лота, предусмотренный правилами организованных торгов указанной иностранной валютой.

22.7. Закрытие позиций клиента в соответствии с подпунктами 22.1 - 22.6 настоящего пункта осуществляется брокером в соответствии с ценами (котировками) ценных бумаг, и (или) драгоценных металлов, и (или) иностранных валют, источник информации о которых брокер должен согласовать с клиентом, и, если источником информации о котировках является информационная система "Блумберг" (Bloomberg), информационная система "Рефинитив" (Refinitiv), НКО АО НРД, АО "Интерфакс" или ООО "Сбондс.ру", брокер также должен согласовать с клиентом условное обозначение котировок, применяемое для их идентификации.

23. Брокер должен в течение 15 минут (если иной срок не установлен договором о брокерском обслуживании) с момента, когда НПР1 принял значение ниже 0, направить клиенту уведомление о снижении значения НПР1 ниже 0 (далее - уведомление).

Уведомление должно содержать информацию о стоимости портфеля клиента, о размере начальной маржи и о размере минимальной маржи на момент возникновения основания для направления уведомления, а также информацию о действиях брокера, если значение НПР2 будет ниже 0.

Требование абзаца первого настоящего пункта не применяется, если брокер в соответствии с договором о брокерском обслуживании каждый час времени проведения организованных торгов не менее одного раза информирует клиента о текущих стоимости портфеля клиента, размере начальной маржи и размере минимальной маржи либо предоставляет ему доступ к указанной информации.

24. Брокер должен вести журнал направленных уведомлений и вносить в него записи о направленных уведомлениях не позднее рабочего дня, следующего за днем их направления клиенту.

Брокер должен вести журнал направленных уведомлений с использованием программно-технических средств, позволяющих предоставлять указанный журнал в виде электронных таблиц, а также в бумажной форме.

25. В журнале направленных уведомлений брокер должен отражать следующую информацию:

порядковый номер уведомления;

уникальный код (уникальные коды) клиента, присвоенный (присвоенные) ему брокером в соответствии с подпунктом 6.2.2 пункта 6.2 Положения Банка России от 31 января 2017 года N 577-П "О правилах ведения внутреннего учета профессиональными участниками рынка ценных бумаг, осуществляющими брокерскую деятельность, дилерскую деятельность и деятельность по управлению ценными бумагами" <3>;

<3> Зарегистрировано Минюстом России 22 мая 2017 года, регистрационный N 46772, с изменениями, внесенными Указаниями Банка России от 24 декабря 2018 года N 5034-У (зарегистрировано Минюстом России 23 января 2019 года, регистрационный N 53514), от 13 августа 2020 года N 5531-У (зарегистрировано Минюстом России 15 сентября 2020 года, регистрационный N 59885).

индивидуальный идентификационный код портфеля клиента, присвоенный брокером (при наличии);

стоимость портфеля клиента, размер начальной маржи и размер минимальной маржи, которые были указаны в уведомлении;

дату и время направления уведомления.

26. Брокер в отношении каждого портфеля клиента должен вести:

записи об отрицательных значениях НПР2 по состоянию на ограничительное время закрытия позиций и на конец торгового дня (далее при совместном упоминании - контрольное время);

записи о положительных значениях НПР2, в случае если НПР2 хотя бы один раз принимал положительное значение в период между контрольным временем и ближайшим к нему контрольным временем, по состоянию на которые НПР2 принимал отрицательные значения;

записи о значении НПР2 на момент, предшествующий началу совершения брокером действий по закрытию позиций клиента не более чем на одну минуту.

В записях о значениях НПР2 брокер должен отражать информацию о значении минимальной маржи и стоимости портфеля клиента по состоянию на время, на которое указанное значение НПР2 было зафиксировано, а также указанное время.

27. Брокер, совершающий действия, приводящие к возникновению непокрытых позиций клиентов, и (или) заключающий фьючерсные и (или) опционные договоры за счет указанных клиентов, должен осуществлять следующие действия:

27.1. Размещать в свободном доступе на своем сайте информацию о рисках клиентов, которые связаны с возникновением непокрытых позиций и заключением фьючерсных и опционных договоров, а также внутренний документ, определяющий порядок закрытия позиций клиентов.

27.2. Использовать программно-технические средства для осуществления расчета стоимости портфеля клиента, размера начальной маржи и размера минимальной маржи, а также значений НПР1 и НПР2.

27.3. Назначить должностное лицо (лиц), ответственное (ответственных) за совершение действий по закрытию позиций клиента.

28. Брокер должен относить клиентов - физических лиц только к категории клиентов с начальным уровнем риска, категории клиентов со стандартным уровнем риска или категории клиентов с повышенным уровнем риска.

29. Брокер относит клиента - физическое лицо к категории клиентов со стандартным уровнем риска или категории клиентов с повышенным уровнем риска в случае, если это предусмотрено договором о брокерском обслуживании, и при соблюдении одного из следующих условий:

29.1. Сумма денежных средств (в том числе в иностранной валюте), стоимость ценных бумаг и драгоценных металлов физического лица, учитываемая на счетах внутреннего учета, открытых брокером указанному физическому лицу, составляет не менее 3 миллионов рублей по состоянию на день, предшествующий дню, с которого физическое лицо в соответствии с договором о брокерском обслуживании считается отнесенным к соответствующей категории.

29.2. Сумма денежных средств (в том числе в иностранной валюте), стоимость ценных бумаг и драгоценных металлов физического лица, учитываемая на счетах внутреннего учета, открытых брокером указанному физическому лицу, составляет не менее 600 000 рублей по состоянию на день, предшествующий дню, с которого физическое лицо в соответствии с договором о брокерском обслуживании считается отнесенным к соответствующей категории, при условии, что указанное физическое лицо является клиентом брокера (брокеров) в течение последних 180 календарных дней, предшествующих указанному дню, из которых не менее 5 календарных дней за счет физического лица брокером (брокерами) заключались договоры купли-продажи ценных бумаг и (или) договоры, являющиеся производными финансовыми инструментами.

29.3. Клиент признан брокером квалифицированным инвестором.

30. Наряду со случаями, предусмотренными пунктом 29 настоящего Указания, брокер относит клиента - физическое лицо к категории клиентов со стандартным уровнем риска также в случае, если это предусмотрено договором о брокерском обслуживании, и при условии, что со дня совершения (заключения) брокером (брокерами) за счет указанного клиента сделки, приводящей к возникновению непокрытой позиции, или договора, являющегося производным финансовым инструментом, прошло не менее одного года, в течение которого хотя бы 5 календарных дней за счет указанного клиента брокером (брокерами) заключались договоры купли-продажи ценных бумаг и (или) договоры, являющиеся производными финансовыми инструментами.

31. Брокер должен относить клиента - физическое лицо к категории клиентов с начальным уровнем риска, если указанный клиент не отнесен к категории клиентов со стандартным или повышенным уровнем риска в соответствии с пунктом 29, пунктом 30 или пунктом 41 настоящего Указания.

32. Стоимость предусмотренного подпунктами 29.1 и 29.2 пункта 29 настоящего Указания имущества физического лица брокер должен определять в соответствии с пунктами 16 и 17 приложения к настоящему Указанию.

В случае если стоимость ценных бумаг и драгоценных металлов не определена брокером в соответствии с пунктами 16 и 17 приложения к настоящему Указанию, брокер должен принимать ее равной 0.

33. Для установления соответствия физического лица условиям, указанным в подпункте 29.2 пункта 29 и пункте 30 настоящего Указания, брокер должен использовать информацию, подтверждающую такое соответствие, включая информацию, полученную от третьих лиц.

34. Брокер должен относить клиента - юридическое лицо к категории клиентов со стандартным уровнем риска, за исключением случаев, когда договором о брокерском обслуживании указанный клиент отнесен к категории клиентов с повышенным или особым уровнем риска.

35. В случае направления требования Банка России в соответствии с пунктом 7 статьи 44 Федерального закона от 22 апреля 1996 года N 39-ФЗ "О рынке ценных бумаг" брокер должен представить в Банк России расчеты значений НПР2 по состоянию на дату и контрольное время, указанные в таком требовании, в отношении каждого портфеля клиента, а также значений НПР2, ведение записей о которых осуществляется брокером в соответствии с абзацами третьим и четвертым пункта 26 настоящего Указания.

36. В случае если исполнение поручения клиента, отнесенного брокером в соответствии с пунктом 28 настоящего Указания к категории клиентов с начальным уровнем риска, может привести к возникновению или увеличению в абсолютном выражении непокрытой позиции, брокер должен проинформировать об этом указанного клиента перед исполнением указанного поручения.

При оценке возможности возникновения или увеличения в абсолютном выражении непокрытой позиции брокер должен:

исходить из плановых позиций в составе портфеля клиента, скорректированных с учетом принятых, но не исполненных поручений клиента, помимо указанного в абзаце первом настоящего пункта поручения, исполнение которых приведет к уменьшению значения плановой позиции;

определять цену исполнения поручения клиента на приобретение имущества, указанного в абзаце первом настоящего пункта, исходя из цены (курса) указанного имущества в соответствии с пунктами 16 и 17 приложения к настоящему Указанию, если указанное поручение должно быть исполнено на торгах на основе безадресных заявок и в нем не указана меньшая цена.

Требования абзаца первого настоящего пункта не применяются, если поручение подано брокеру во исполнение индивидуальной инвестиционной рекомендации.

37. Брокер, совершающий действия, приводящие к возникновению непокрытых позиций клиента, отнесенного брокером в соответствии с пунктом 34 настоящего Указания к категории клиентов с особым уровнем риска, должен рассчитывать стоимость портфеля указанного клиента, размер начальной маржи и размер минимальной маржи по формулам, предусмотренным приложением к настоящему Указанию, на конец каждого торгового дня.

Для расчета стоимости портфеля указанного клиента, размера начальной маржи и размера минимальной маржи брокер должен:

утвердить внутренний документ, предусматривающий порядок определения стоимости портфеля, а также размера начальной маржи, в том числе метод определения размера начальной маржи, источники данных для определения стоимости портфеля, размера начальной маржи, а в случае отсутствия указанных данных - порядок их расчета;

при расчете размера начальной маржи в соответствии с пунктом 18 приложения к настоящему Указанию использовать значения начальных ставок риска не ниже значений начальных ставок риска, рассчитанных в соответствии с пунктами 39 - 42 приложения к настоящему Указанию, а в случае если они не рассчитаны в соответствии с пунктами 39 и 40 приложения к настоящему Указанию - значения начальных ставок риска, рассчитанные в соответствии с внутренним документом, предусматривающим порядок определения стоимости портфеля, а также размера начальной маржи;

при расчете размера начальной маржи в соответствии с пунктами 18, 23 и 27 приложения к настоящему Указанию использовать значения относительных ставок риска не ниже значений относительных ставок риска, рассчитанных в соответствии с пунктами 46 - 48 приложения к настоящему Указанию, а в случае если они не рассчитаны в отношении имущества клиента в соответствии с пунктами 46 и 48 приложения к настоящему Указанию, не применять к указанному имуществу клиента пункт 24 приложения к настоящему Указанию.

38. Брокер должен обеспечить возможность представления в Банк России следующих документов и сведений:

копий направленных уведомлений - в течение 5 лет со дня их направления клиенту;

записей журнала направленных уведомлений - в течение 5 лет со дня их внесения;

записей о значениях НПР2, ведение которых осуществляется брокером в соответствии с пунктом 26 настоящего Указания, - в течение 5 лет со дня их внесения;

значений ставок риска, использованных брокером при расчете значений НПР1 и НПР2, - в течение 5 лет со дня расчета значений НПР1 и НПР2;

сведений, подтверждающих информирование брокером клиента в соответствии с пунктом 36 настоящего Указания, за исключением случаев, когда информирование осуществляется с помощью программно-технических средств автоматически, - в течение 5 лет со дня его информирования.

39. Требования настоящего Указания, за исключением пунктов 1, 2, 4, 5, 9 и 37 настоящего Указания, не применяются, если клиент брокера в соответствии с пунктом 34 настоящего Указания отнесен брокером к категории клиентов с особым уровнем риска.

40. Настоящее Указание подлежит официальному опубликованию и вступает в силу с 1 апреля 2025 года.

41. В случае если клиент - физическое лицо по состоянию на 31 марта 2025 года отнесен брокером к категории клиентов со стандартным уровнем риска или категории клиентов с повышенным уровнем риска в соответствии с пунктом 29 Указания Банка России от 26 ноября 2020 года N 5636-У "О требованиях к осуществлению брокерской деятельности при совершении брокером отдельных сделок за счет клиента" <4>, повторное отнесение указанного клиента к категории клиентов со стандартным уровнем риска или категории клиентов с повышенным уровнем риска в соответствии с положениями пунктов 29 и 30 настоящего Указания не требуется.

<4> Зарегистрировано Минюстом России 29 декабря 2020 года, регистрационный N 61923.

42. Со дня вступления в силу настоящего Указания признать утратившим силу Указание Банка России от 26 ноября 2020 года N 5636-У "О требованиях к осуществлению брокерской деятельности при совершении брокером отдельных сделок за счет клиента" <4>.

<4> Зарегистрировано Минюстом России 29 декабря 2020 года, регистрационный N 61923.

Председатель Центрального банка
Российской Федерации
Э.С. НАБИУЛЛИНА

Приложение
к Указанию Банка России
от 12 февраля 2024 г. N 6681-У
"О требованиях к осуществлению
брокерской деятельности при
совершении брокером отдельных
сделок за счет клиента"

РАСЧЕТ НОРМАТИВА ПОКРЫТИЯ РИСКА ПРИ ИСПОЛНЕНИИ ПОРУЧЕНИЙ КЛИЕНТА (НПР1) И НОРМАТИВА ПОКРЫТИЯ РИСКА ПРИ ИЗМЕНЕНИИ СТОИМОСТИ ПОРТФЕЛЯ КЛИЕНТА (НПР2)

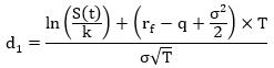
1. НПР1 рассчитывается по формуле:

,

где:

S - стоимость портфеля клиента, рассчитываемая в соответствии с пунктом 3 настоящего приложения;

- размер начальной маржи, рассчитываемый в соответствии с пунктом 18 или пунктом 37 настоящего приложения;

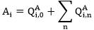
- значение показателя, рассчитываемое по формуле:

,

где:

- сумма денежных средств в единицах j-й валюты в составе портфеля клиента, в отношении которых было установлено ограничение распоряжения (включая денежные средства в единицах j-й валюты, на которые наложен арест, или распоряжение которыми ограничено на основании решения органа государственной власти, или ограничение распоряжения которыми установлено вследствие недружественных действий иностранных государств, международных организаций, иностранных финансовых организаций, в том числе связанных с введением ограничительных мер в отношении Российской Федерации, российских юридических лиц и граждан Российской Федерации (далее - недружественные действия);

- количество i-х ценных бумаг или i-х драгоценных металлов в составе портфеля клиента, в отношении которых было установлено ограничение распоряжения (включая i-е ценные бумаги, i-е драгоценные металлы, на которые наложен арест, или распоряжение которыми ограничено на основании решения органа государственной власти, или ограничение распоряжения которыми установлено вследствие недружественных действий).

При исчислении показателя не учитываются следующие ценные бумаги, ограничение распоряжения которыми установлено исключительно вследствие недружественных действий:

ценные бумаги, предусмотренные подпунктами 2.4 и 2.5 пункта 2 Указания Банка России от 9 января 2023 года N 6347-У "О ценных бумагах и производных финансовых инструментах, предназначенных для квалифицированных инвесторов" <5>;

<5> Зарегистрировано Минюстом России 3 марта 2023 года, регистрационный N 72509.

еврооблигации, обязательства по которым исполняются в соответствии с Указом Президента Российской Федерации от 5 июля 2022 года N 430 "О репатриации резидентами - участниками внешнеэкономической деятельности иностранной валюты и валюты Российской Федерации";

еврооблигации Российской Федерации, обязательства по которым исполняются в соответствии с Указом Президента Российской Федерации от 9 сентября 2023 года N 665 "О временном порядке исполнения перед резидентами и иностранными кредиторами государственных долговых обязательств Российской Федерации, выраженных в государственных ценных бумагах, номинальная стоимость которых указана в иностранной валюте, и иных обязательств по иностранным ценным бумагам";

- цена i-й ценной бумаги или i-го драгоценного металла, выраженная в j-й валюте, определенная в соответствии с пунктом 16 настоящего приложения;

- курс j-й иностранной валюты по отношению к рублю, определяемый в соответствии с пунктом 17 настоящего приложения. В случае если j-й валютой является рубль, значение показателя принимается равным 1.

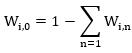
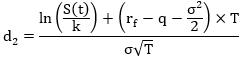
2. НПР2 рассчитывается по формуле:

,

где:

S - стоимость портфеля клиента, рассчитываемая в соответствии с пунктом 3 настоящего приложения;

- размер минимальной маржи, рассчитываемый в соответствии с пунктом 18 настоящего приложения.

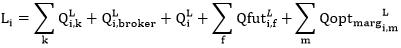
3. Стоимость портфеля клиента S рассчитывается с учетом ограничения, указанного в пункте 19 настоящего приложения, по формуле:

,

где:

- значение плановой позиции по i-й ценной бумаге, денежным средствам в единицах i-й валюты, i-му драгоценному металлу или по правам предъявить требование по опционным договорам, не предусматривающим уплату сторонами вариационной маржи, права управомоченной стороны по которым, в том числе в отношении цены исполнения, одинаковы (далее при совместном упоминании - i-е имущество), рассчитываемое по формуле, предусмотренной в пункте 4 настоящего приложения;

I - количество значений плановых позиций в расчете стоимости указанного портфеля клиента;

- цена (курс) i-го имущества в j-й валюте, определенная (определенный) в соответствии с пунктом 16 настоящего приложения;

- курс j-й иностранной валюты по отношению к рублю, определяемый в соответствии с пунктом 17 настоящего приложения. В случае если j-й валютой является рубль, значение показателя принимается равным 1.

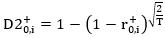
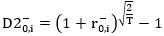
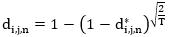
4. Значение плановой позиции по i-му имуществу рассчитывается по формуле:

,

где:

- значение показателя, рассчитываемое в соответствии с пунктами 6 - 8 настоящего приложения;

- значение показателя, рассчитываемое в соответствии с пунктами 9 - 11 настоящего приложения.

5. В случае если i-я ценная бумага, или i-я иностранная валюта, или i-й драгоценный металл не входит в перечень ликвидного имущества, значение плановой позиции по ним принимается равным 0 при положительной разнице между значением показателя и значением показателя , рассчитываемыми по указанному имуществу в соответствии с пунктами 6 и 7, 9 и 10 настоящего приложения соответственно.

В случае если в перечне ликвидного имущества предусмотрена кратность количества i-го имущества его минимальному объему и в пределах указанного количества положительное значение плановой позиции не принимается равным 0, положительное значение плановой позиции по такому имуществу принимается равным количеству этого имущества, кратному его минимальному объему.

Положительное значение плановой позиции по i-й ценной бумаге, i-й иностранной валюте или i-му драгоценному металлу используется при расчете НПР1 и НПР2 не ранее дня размещения брокером на своем сайте перечня ликвидного имущества (предоставления в соответствии с договором о брокерском обслуживании доступа к перечню ликвидного имущества), в который они включены, в соответствии с абзацем третьим (четвертым) пункта 6 настоящего Указания.

6. В случае если i-е имущество является денежными средствами в единицах i-й валюты, значение показателя рассчитывается по формуле:

,

где:

-_ сумма денежных средств в единицах i-й валюты в составе портфеля клиента;

- сумма денежных средств в единицах i-й валюты, являющихся предметом n-го обязательства, исполнение которого принимается брокером в состав портфеля клиента;

- сумма вариационной маржи, условно подлежащая уплате в состав портфеля клиента, определяемая как величина денежной переоценки f-го фьючерсного договора (одного лота фьючерсного договора), выраженная в i-й валюте, рассчитываемая в порядке определения вариационной маржи, предусмотренном в спецификации этого фьючерсного договора и (или) в правилах клиринга, исходя из информации о текущей цене (расчетной цене) такого фьючерсного договора, рассчитанной на момент расчета НПР1 и НПР2, раскрываемой организатором торговли в соответствии с пунктом 7 приложения 4 к Положению Банка России N 437-П (далее - текущая расчетная цена);

- сумма вариационной маржи, условно подлежащая уплате в состав портфеля клиента, определяемая как величина денежной переоценки m-го опционного договора (одного лота опционного договора), выраженная в i-й валюте, рассчитываемая в порядке определения вариационной маржи, предусмотренном в спецификации этого опционного договора и (или) в правилах клиринга, исходя из информации о теоретической цене опционного договора, определенной организатором торговли на момент расчета НПР1 и НПР2 в соответствии с пунктом 8 приложения 2 к Положению Банка России N 437-П (далее - текущая теоретическая цена).

7. В случае если i-е имущество является i-й ценной бумагой или i-м драгоценным металлом, значение показателя рассчитывается по формуле:

,

где:

- остаток i-х ценных бумаг или i-х драгоценных металлов в составе портфеля клиента;

- количество i-х ценных бумаг или i-х драгоценных металлов, являющихся предметом n-го обязательства, исполнение которого принимается брокером в состав портфеля клиента.

8. В случае если i-е имущество является правами предъявить требование по опционным договорам, не предусматривающим уплату сторонами вариационной маржи, права управомоченной стороны по которым, в том числе в отношении цены исполнения, одинаковы, значение показателя рассчитывается по формуле:

,

где:

- количество опционных договоров, не предусматривающих уплату сторонами вариационной маржи, права управомоченной стороны по которым, в том числе в отношении цены исполнения, одинаковы и приобретены в состав портфеля клиента.

9. В случае если i-е имущество является денежными средствами в единицах i-й валюты, значение показателя рассчитывается по формуле:

,

где:

- сумма денежных средств в единицах i-й валюты, являющихся предметом k-го обязательства, исполнение которого должно осуществляться за счет имущества, входящего в состав портфеля клиента;

- значение показателя, рассчитываемое в соответствии с пунктом 12 настоящего приложения, если использование данного показателя предусмотрено договором о брокерском обслуживании;

- значение показателя, рассчитываемое в соответствии с пунктами 13 и 15 настоящего приложения;

- сумма вариационной маржи, условно подлежащая уплате из денежных средств, входящих в состав портфеля клиента, определяемая как величина денежной переоценки f-го фьючерсного договора (одного лота фьючерсного договора), выраженная в i-й валюте, рассчитываемая в порядке определения вариационной маржи, предусмотренном в спецификации этого фьючерсного договора и (или) в правилах клиринга, исходя из информации о текущей расчетной цене такого фьючерсного договора, заключенного на организованных торгах;

- сумма вариационной маржи, условно подлежащая уплате из денежных средств, входящих в состав портфеля клиента, определяемая как величина денежной переоценки m-го опционного договора (одного лота опционного договора), выраженная в i-й валюте, рассчитываемая в порядке определения вариационной маржи, предусмотренном в спецификации этого опционного договора и (или) в правилах клиринга, исходя из информации о текущей теоретической цене такого опционного договора, заключенного на организованных торгах.

10. В случае если i-е имущество является i-й ценной бумагой или i-м драгоценным металлом, значение показателя рассчитывается по формуле:

,

где:

- количество i-х ценных бумаг или i-х драгоценных металлов, являющихся предметом k-го обязательства, исполнение которого должно осуществляться за счет имущества, входящего в состав портфеля клиента;

- значение показателя, рассчитываемое в соответствии с пунктами 14 и 15 настоящего приложения.

11. В случае если i-е имущество является правами предъявить требование по опционным договорам, не предусматривающим уплату сторонами вариационной маржи, права управомоченной стороны по которым, в том числе в отношении цены исполнения, одинаковы, значение показателя рассчитывается по формуле:

,

где:

- количество опционных договоров, не предусматривающих уплату сторонами вариационной маржи, права управомоченной стороны по которым, в том числе в отношении цены исполнения, одинаковы и уплаченные брокеру цены по которым включены в состав портфеля клиента.

12. Показатель включает в себя суммы вознаграждений и (или) возмещения (оплаты) расходов в единицах i-й валюты, на которые брокер вправе рассчитывать по договору о брокерском обслуживании.

13. В случае если i-е имущество является денежными средствами в единицах i-й валюты, значение показателя рассчитывается как сумма денежных средств, выраженных в единицах i-й валюты, поступивших в состав портфеля клиента от третьего лица, за исключением следующих лиц:

профессионального участника рынка ценных бумаг;

клиринговой организации;

управляющей компании инвестиционных фондов, паевых инвестиционных фондов и негосударственных пенсионных фондов;

акционерного инвестиционного фонда;

иностранного юридического лица, осуществляющего в соответствии с его личным законом деятельность, аналогичную деятельности, осуществляемой лицами, предусмотренными абзацами вторым - пятым настоящего пункта, предоставившего письменное заверение о том, что в соответствии с его личным законом оно имеет право на осуществление соответствующего вида деятельности, подписанное уполномоченным лицом этого юридического лица;

эмитента ценных бумаг при выплате дохода по ценным бумагам;

физического лица;

юридического лица, не указанного в абзацах втором - седьмом настоящего пункта, если сумма денежных средств поступила от него по договору, не являющемуся договором займа, кредитным договором либо договором брокера, его клиента и указанного юридического лица, предусматривающим предоставление клиенту юридическим лицом денежных средств на возвратной основе и передачу этому лицу брокером информации о находящемся у него в распоряжении имуществе клиента в полном объеме для расчета всех показателей, предусмотренных настоящим приложением.

14. В случае если i-е имущество является i-й ценной бумагой или i-м драгоценным металлом, значение показателя рассчитывается как количество i-го имущества, поступившего клиенту от третьего лица по договору займа либо по договору брокера, его клиента и указанного юридического лица, предусматривающему предоставление клиенту юридическим лицом имущества на возвратной основе и передачу этому лицу брокером информации о находящемся у него в распоряжении имуществе клиента в полном объеме для расчета всех показателей, предусмотренных настоящим приложением. Ценные бумаги и драгоценные металлы, указанные в настоящем пункте, не принимаются в расчет показателя , если они учтены в показателе .

15. Значения показателей, рассчитываемых согласно пунктам 13 и 14 настоящего приложения, уменьшаются соответственно на сумму денежных средств, количество ценных бумаг или количество драгоценных металлов, возвращенных третьему лицу, от которого клиенту поступили указанные денежные средства, ценные бумаги или драгоценные металлы, при условии наличия у брокера документов, подтверждающих их возврат.

16. Цена i-го имущества определяется исходя из информации о цене последнего заключенного договора с указанным имуществом, предоставляемой организатором торговли, предусмотренным договором о брокерском обслуживании, участникам торгов в соответствии с подпунктом 1.3 пункта 1 приложения 4 к Положению Банка России N 437-П, за исключением случаев, указанных в абзацах втором, третьем, пятом, шестом и седьмом настоящего пункта.

Цена одной i-й ценной бумаги иностранного эмитента определяется исходя из информации о цене последнего договора с i-й ценной бумагой, заключенного на торгах иностранного организатора торговли (иностранной биржи), предоставляемой указанным организатором торговли (иностранной биржей) участникам торгов, при условии, что в договоре о брокерском обслуживании указан иностранный организатор торговли (иностранная биржа), по информации которого (которой) определяется цена ценной бумаги.

Цена одной i-й ценной бумаги определяется по средней цене на основе цены лучшей котировки на покупку и цены лучшей котировки на продажу i-й ценной бумаги, информация о которых опубликована в информационной системе "Блумберг" (Bloomberg) или в информационной системе "Рефинитив" (Refinitiv) либо предоставлена НКО АО НРД, или АО "Интерфакс", или ООО "Сбондс.ру" на момент определения , при условии, что указанная ценная бумага является облигацией и в договоре о брокерском обслуживании указаны информационная система "Блумберг" (Bloomberg), информационная система "Рефинитив" (Refinitiv), НКО АО НРД, АО "Интерфакс", ООО "Сбондс.ру", по информации которых определяется цена облигаций, а также условное обозначение котировок, применяемое для их идентификации.

Цена одной i-й ценной бумаги, являющейся облигацией, определяется с учетом накопленного по ней процентного (купонного) дохода.

Курс i-й валюты по отношению к j-й валюте определяется по правилам определения курса j-й валюты к рублю, предусмотренным в пункте 17 настоящего приложения.

Цена i-го опционного договора условия которого соответствуют пункту 53 настоящего приложения и не предусматривают уплату сторонами вариационной маржи, определяется в соответствии с пунктом 54 настоящего приложения либо определяется исходя из информации о текущей теоретической цене опционного договора.

Цена i-го опционного договора , условия которого не соответствуют пункту 53 настоящего приложения и не предусматривают уплату сторонами вариационной маржи, принимается равной 0, если иное не предусмотрено договором о брокерском обслуживании.

17. Значения показателя определяются исходя из информации о последнем курсе j-й иностранной валюты по отношению к рублю, сложившемся в ходе организованных торгов иностранной валютой, проводимых российским организатором торговли, за исключением случаев, предусмотренных абзацами вторым и третьим настоящего пункта.

В случае если в соответствии с условиями договора, заключенного за счет имущества, входящего в состав портфеля клиента, денежные обязательства, выраженные в j-й иностранной валюте, исполняются в рублях по фиксированному курсу, известному сторонам договора, показатель принимает значение указанного фиксированного курса с момента, в который он был опубликован, либо, если это предусмотрено договором о брокерском обслуживании, с момента, когда он стал известен брокеру.

В случае если j-я иностранная валюта не допущена к организованным торгам российским организатором торговли, значения показателя определяются исходя из курса j-й иностранной валюты по отношению к рублю или к иной допущенной к организованным торгам российским организатором торговли валюте, информация о котором опубликована в информационной системе "Блумберг" (Bloomberg) или в информационной системе "Рефинитив" (Refinitiv) либо предоставлена НКО АО НРД, или АО "Интерфакс", или ООО "Сбондс.ру". В случае если курс j-й иностранной валюты выражен в иной иностранной валюте (далее - кросс-курс), значение показателя определяется в отношении последней в соответствии с абзацем первым настоящего пункта.

В случае отсутствия курса (кросс-курса) j-й иностранной валюты к иной иностранной валюте значение показателя определяется исходя из официального курса иностранной валюты по отношению к рублю, установленного Банком России в соответствии с пунктом 15 статьи 4 Федерального закона от 10 июля 2002 года N 86-ФЗ "О Центральном банке Российской Федерации (Банке России)", на момент расчета стоимости портфеля клиента S, размера начальной маржи и размера минимальной маржи .

18. В случае если иное не предусмотрено пунктом 37 настоящего приложения, размер начальной маржи и размер минимальной маржи рассчитываются в отношении каждого портфеля клиента по формулам:

,

,

где:

- размер рыночного риска портфеля, выраженный в j-й валюте, рассчитанный в соответствии с пунктом 19 настоящего приложения, если иное не предусмотрено пунктами 23 и 27 настоящего приложения;

- курс j-й иностранной валюты по отношению к рублю, определяемый в соответствии с пунктом 17 настоящего приложения. В случае если j-й валютой является рубль, значение показателя принимается равным 1.

19. В случае если иное не предусмотрено пунктами 23 и 27 настоящего приложения, размер рыночного риска рассчитывается по формуле:

,

где:

, и - значения показателей, рассчитываемые в соответствии с пунктами 20 - 22 настоящего приложения;

- значение показателя в отношении опционных договоров, условия которых не соответствуют пункту 53 настоящего приложения и не предусматривают уплату сторонами вариационной маржи, определяемое брокером в соответствии с договором о брокерском обслуживании при соблюдении следующих ограничений:

;
,

где:

- количество опционных договоров, права управомоченной стороны по которым, в том числе в отношении цены исполнения, одинаковы (далее - опционные договоры i-й категории), условия которых не соответствуют пункту 53 настоящего приложения и не предусматривают уплату сторонами вариационной маржи;

- цена опционного договора i-й категории, выраженная в j-й валюте, определенная в соответствии с пунктом 16 настоящего приложения.

20. Значение показателя рассчитывается по формулам:

20.1. - для , являющегося значением плановой позиции по i-й иностранной валюте, выраженной в j-й иностранной валюте, или плановой позиции по i-й ценной бумаге, цена которой выражена в j-й валюте, или плановой позиции по i-му драгоценному металлу, цена которого выражена в j-й валюте,

где:

D - показатель, указанный в пункте 33 настоящего приложения, если иное не предусмотрено пунктом 34 или пунктом 35 настоящего приложения;

- цена (курс) i-го имущества в j-й валюте, определенная (определенный) в соответствии с пунктом 16 настоящего приложения;

- принимается равным 1, если иное не предусмотрено пунктом 24 настоящего приложения.

20.2. - для , являющегося количеством фьючерсных договоров, заключенных на условиях одной и той же спецификации, базисные активы и сроки исполнения которых совпадают (далее - фьючерсные договоры i-го вида). При этом рассчитывается как разница между количеством фьючерсных договоров i-го вида, предусматривающих уплату вариационной маржи в состав портфеля клиента при увеличении цены фьючерсного договора, и количеством фьючерсных договоров i-го вида, предусматривающих уплату вариационной маржи в состав портфеля клиента при уменьшении цены фьючерсного договора,

где:

- текущая расчетная цена фьючерсного договора i-го вида, выраженная в j-й валюте, сложившаяся на организованных торгах;

D - показатель, указанный в пункте 33 настоящего приложения, если иное не предусмотрено пунктом 34 или пунктом 35 настоящего приложения;

- значение, которое принимает функция выплаты вариационной маржи по фьючерсному договору i-го вида при изменении текущей расчетной цены такого фьючерсного договора, выраженной в j-й валюте, на величину произведения этой цены и значения показателя D в j-й валюте, предусмотренного настоящим пунктом. Функция выплаты вариационной маржи рассчитывается исходя из спецификации фьючерсного договора i-го вида;

- принимается равным 1, если иное не предусмотрено пунктом 24 настоящего приложения.

20.3. - для , являющегося значением плановой позиции по i-й иностранной валюте, выраженной в рублях,

где:

- курс i-й иностранной валюты по отношению к рублю, определяемый в соответствии с пунктом 17 настоящего приложения.

D - показатель, указанный в пункте 33 настоящего приложения, если иное не предусмотрено пунктом 34 или пунктом 35 настоящего приложения;

- принимается равным 1, если иное не предусмотрено пунктом 24 настоящего приложения;

- количество i-й иностранной валюты, являющейся источником валютного риска вследствие того, что в единицах i-й иностранной валюты выражена цена (курс) g-го имущества. Значение рассчитывается по формуле:

,

где:

- плановая позиция по g-й ценной бумаге, плановая позиция по g-й иностранной валюте, плановая позиция по g-му драгоценному металлу, количество опционных договоров g-й категории, условия которых соответствуют пункту 53 настоящего приложения и не предусматривают уплату сторонами вариационной маржи, цена (курс) которых выражена (выражен) в i-й иностранной валюте;

- цена (курс) g-го имущества в i-й иностранной валюте, определенная в соответствии с пунктом 16 настоящего приложения;

- размер рыночного риска, выраженный в i-й иностранной валюте, рассчитанный в соответствии с пунктом 19 настоящего приложения, если иное не предусмотрено пунктами 23 и 27 настоящего приложения;

- принимается равным 1, если иное не предусмотрено пунктом 24 настоящего приложения.

21. Значение показателя рассчитывается по формулам:

21.1. - для , являющегося количеством опционных договоров i-й категории, предусматривающих уплату сторонами вариационной маржи. При этом рассчитывается как разница между количеством опционных договоров i-й категории, предусматривающих уплату вариационной маржи в состав портфеля клиента при увеличении цены такого опционного договора, и количеством опционных договоров i-й категории, предусматривающих уплату вариационной маржи в состав портфеля клиента при уменьшении цены такого опционного договора,

где:

- цена базисного актива опционного договора i-й категории, выраженная в j-й валюте, определенная в соответствии с пунктом 16 настоящего приложения, либо, если базисным активом является фьючерсный договор, текущая расчетная цена указанного фьючерсного договора, сложившаяся на организованных торгах;

- выраженное в долях единицы значение теоретической волатильности цены базисного актива опционного договора, рассчитываемое по формулам, предусмотренным в пункте 54 настоящего приложения;

D - показатель, указанный в пункте 33 настоящего приложения, если иное не предусмотрено пунктом 34 или пунктом 35 настоящего приложения;

- коэффициент корректировки значения волатильности, указанный в пункте 36 настоящего приложения;

- значение, которое принимает функция выплаты вариационной маржи по опционному договору i-й категории при изменении текущей цены базисного актива такого опционного договора, выраженной в j-й валюте, на величину произведения этой цены и значения показателя D в j-й валюте, предусмотренного настоящим пунктом, а также при изменении теоретической волатильности , использованной для расчета вариационной маржи, на величину произведения этой волатильности и значения коэффициента , указанного в пункте 36 настоящего приложения. Функция выплаты вариационной маржи рассчитывается исходя из спецификации опционного договора i-й категории;

- принимается равным 1, если иное не предусмотрено пунктом 24 настоящего приложения.

21.2. - для , являющегося количеством опционных договоров i-й категории, условия которых соответствуют пункту 53 настоящего приложения и не предусматривают уплату сторонами вариационной маржи. При этом рассчитывается как разница между количеством опционных договоров i-й категории, по которым цена опционного договора уплачена из портфеля клиента, и количеством опционных договоров i-й категории, по которым цена опционного договора уплачена в состав портфеля клиента,

где:

- цена базисного актива опционного договора i-й категории, выраженная в j-й валюте, определенная в соответствии с пунктом 16 настоящего приложения, либо, если базисным активом является фьючерсный договор, текущая расчетная цена указанного фьючерсного договора, сложившаяся на организованных торгах;

- выраженное в долях единицы значение теоретической волатильности цены базисного актива опционного договора, рассчитываемое по формулам, предусмотренным в пункте 54 настоящего приложения;

D - показатель, указанный в пункте 33 настоящего приложения, если иное не предусмотрено пунктом 34 или пунктом 35 настоящего приложения;

- коэффициент корректировки значения волатильности, указанный в пункте 36 настоящего приложения;

- теоретическая цена опционного договора i-й категории, не предусматривающего уплату сторонами вариационной маржи, определенная в соответствии с пунктом 54 настоящего приложения в сценарии изменения цены базисного актива указанного опционного договора, выраженной в j-й валюте, на величину произведения этой цены базисного актива и значения показателя D в j-й валюте, предусмотренного настоящим пунктом, а также изменения теоретической волатильности , использованной для расчета указанной теоретической цены, на величину произведения этой волатильности и значения коэффициента , указанного в пункте 36 настоящего приложения;

- теоретическая цена опционного договора i-й категории, не предусматривающего уплату сторонами вариационной маржи, определенная в соответствии с пунктом 54 настоящего приложения;

- принимается равным 1, если иное не предусмотрено пунктом 24 настоящего приложения.

22. Значение показателя рассчитывается по формуле:

,

где:

- совокупность категорий опционных договоров, предусматривающих приобретение управомоченной стороной выгод по опционному договору при цене базисного актива выше цены исполнения опционного договора, заключенных за счет портфеля клиента, базисным активом которых является k-я иностранная валюта, k-я ценная бумага, k-й драгоценный металл или фьючерсный договор k-го вида;

- совокупность категорий опционных договоров, предусматривающих приобретение управомоченной стороной выгод по опционному договору при цене базисного актива ниже цены исполнения опционного договора, заключенных за счет портфеля клиента, базисным активом которых является k-я иностранная валюта, k-я ценная бумага, k-й драгоценный металл или фьючерсный договор k-го вида;

- количество опционных договоров i-й категории, базисным активом которых является k-я иностранная валюта, k-я ценная бумага, k-й драгоценный металл или фьючерсный договор k-го вида. Для опционных договоров, не предусматривающих уплату сторонами вариационной маржи, рассчитывается как разница между количеством опционных договоров i-й категории, по которым цена опционного договора подлежит уплате из портфеля клиента, и количеством опционных договоров i-й категории, по которым цена опционного договора подлежит уплате в состав портфеля клиента. Для опционных договоров, предусматривающих уплату сторонами вариационной маржи, рассчитывается как разница между количеством опционных договоров i-й категории, предусматривающих уплату вариационной маржи в состав портфеля клиента при увеличении цены такого опционного договора, и количеством опционных договоров i-й категории, предусматривающих уплату вариационной маржи в состав портфеля клиента при уменьшении цены такого опционного договора;

- значение плановой позиции по k-й иностранной валюте, k-й ценной бумаге, k-му драгоценному металлу или количество фьючерсных договоров k-го вида, рассчитанное в соответствии с подпунктом 20.2 пункта 20 настоящего приложения, являющихся базисным активом k опционного договора i-й категории;

- количество единиц базисного актива k, предусмотренного опционным договором i-й категории;

- принимается равным 1, если иное не предусмотрено пунктом 24 настоящего приложения;

- принимается равным 1, если иное не предусмотрено пунктом 24 настоящего приложения;

, - начальные ставки риска в j-й валюте, значения которых, если иное не предусмотрено настоящим приложением, рассчитываются в соответствии с пунктами 39 - 42 настоящего приложения в отношении k-й иностранной валюты, k-й ценной бумаги, k-го драгоценного металла или фьючерсных договоров k-го вида, являющихся базисным активом k опционного договора i-й категории;

- цена (курс) k-й иностранной валюты, k-й ценной бумаги, k-го драгоценного металла или фьючерсных договоров k-го вида, являющихся базисным активом k опционного договора i-й категории, выраженная (выраженный) в j-й валюте, определенная (определенный) в соответствии с пунктом 16 и подпунктом 20.2 пункта 20 настоящего приложения;

- коэффициент, значение которого принимается равным 0,1, если договором о брокерском обслуживании не определено более высокое значение.

23. В случае если это предусмотрено договором о брокерском обслуживании, брокер рассчитывает размер начальной маржи исходя из наличия зависимости между изменениями цен ценных бумаг, цен драгоценных металлов, курсов иностранных валют, цен фьючерсных договоров, цен базисных активов опционных договоров и изменением цены (курса, пунктов) иного имущества, иного фьючерсного договора или индекса (далее - базовый индикатор).

24. В случае, предусмотренном пунктом 23 настоящего приложения, брокер определяет набор множеств из имущества, включенного в состав портфеля клиента, фьючерсных и (или) опционных договоров, заключенных за счет указанного портфеля (далее - инструменты множества), доли (, ) i-го (g-го, k-го) имущества, объема фьючерсных договоров i-го (k-го) вида или объема опционных договоров i-й (g-й, k-й) категории, в которой они включены в каждое множество (далее - множество с зависимыми ценами ), а также соответствующие каждому множеству с зависимыми ценами базовые индикаторы.

Доля i-х имущества, объема фьючерсных договоров i-го вида и объема опционных договоров i-й категории, не включенная брокером ни в одно из множеств с зависимыми ценами , рассчитывается по формуле:

,

где:

- доля i-х инструментов множества, включенных в множество с зависимыми ценами .

25. В одно множество с зависимыми ценами по решению брокера инструменты множества включаются только при одновременном соблюдении следующих условий:

их цены (курсы) выражены в одной и той же валюте;

в отношении инструментов множества и базового индикатора множества с зависимыми ценами рассчитаны относительные ставки риска в соответствии с пунктом 46 настоящего приложения.

26. Помимо условий, предусмотренных пунктом 25 настоящего приложения, опционные договоры могут быть включены в множество с зависимыми ценами только в случае, если их условия соответствуют пункту 53 настоящего приложения, базисным активом таких опционных договоров является базовый индикатор этого множества с зависимыми ценами и (или) фьючерсный договор, базисным активом которого является указанный базовый индикатор, а также в это множество с зависимыми ценами включены только предусмотренные настоящим пунктом инструменты множества.

27. В случае, предусмотренном пунктом 23 настоящего приложения, размер рыночного риска рассчитывается по формуле:

,

где:

- размер рыночного риска, выраженный в j-й валюте, рассчитанный в соответствии с пунктом 19 настоящего приложения с учетом положений абзаца второго пункта 24 настоящего приложения в отношении i-й иностранной валюты, i-х ценных бумаг, i-х драгоценных металлов, фьючерсных договоров i-го вида и опционных договоров i-й категории, которые не включены брокером ни в одно из множеств с зависимыми ценами;

N - количество множеств с зависимыми ценами;

- размер рыночного риска инструментов множества, включенных в множество с зависимыми ценами , который рассчитывается по формуле:

,

где:

- размер рыночного риска инструментов множества, включенных в множество с зависимыми ценами , рассчитанный в сценариях изменения цены (курса, пунктов) базового индикатора указанного множества в соответствии с пунктом 28 настоящего приложения;

- размер отклонения рыночного риска инструментов множества, включенных в множество с зависимыми ценами , от рыночного риска базового индикатора указанного множества, рассчитанный в соответствии с пунктами 31 и 32 настоящего приложения.

28. Размер рыночного риска рассчитывается по формуле:

,

где:

- размер рыночного риска инструментов множества, включенных в множество с зависимыми ценами , рассчитанный в каждом x-м сценарии изменения цены (курса, пунктов) базового индикатора указанного множества. При этом изменения цены (курса, пунктов) базового индикатора в сценариях (x = 0 и x = M) определяются как значения показателя D, предусмотренные абзацами вторым и третьим пункта 34 настоящего приложения для каждого из указанных сценариев.

29. В случае если в множество с зависимыми ценами не включены опционные договоры, значения показателя определяются только в сценариях изменения цены (курса, пунктов) базового индикатора (x = 0 и x = M) по формуле:

,

где:

- значение показателя, рассчитываемое для каждого i-го инструмента множества в соответствии с пунктом 20 настоящего приложения с учетом положений пункта 24 настоящего приложения;

- показатель, характеризующий зависимость между изменениями цен i-го имущества или фьючерсного договора i-го вида и изменениями значений базового индикатора множества с зависимыми ценами , выраженными в единицах j-й валюты, и принимающий следующие значения:

1 - при прямой зависимости между указанными изменениями цен (значений);

-1 - при обратной зависимости между указанными изменениями цен (значений).

30. В случае если в множество с зависимыми ценами включены опционные договоры, изменения цены (курса, пунктов) базового индикатора в сценариях x {1,..., (M - 1)} определяются как значения показателя D, которые выше значения показателя D в сценарии x = 0 и ниже значения показателя D в сценарии x = M.

Количество сценариев x изменения цены (курса, пунктов) базового индикатора должно составлять не менее количества, определенного по формуле и округленного до 0 знаков после запятой по правилам математического округления:

,

где:

и - начальные ставки риска, предусмотренные абзацами вторым и третьим пункта 34 настоящего приложения.

Значение показателя для множества с зависимыми ценами , в которое включены опционные договоры, рассчитывается по формуле:

,

где:

- значение показателя, рассчитываемое для каждого i-го инструмента множества, за исключением опционных договоров, в соответствии с пунктом 20 настоящего приложения с учетом положений пункта 24 настоящего приложения;

- значение показателя, рассчитываемое для опционных договоров i-й категории, включенных в множество с зависимыми ценами , в соответствии с пунктом 21 настоящего приложения с учетом положений пункта 24 настоящего приложения;

- показатель, предусмотренный пунктом 29 настоящего приложения;

- показатель, характеризующий зависимость между изменениями цен базисного актива опционного договора i-й категории и изменениями значений базового индикатора множества с зависимыми ценами , выраженными в единицах j-й валюты, и принимающий следующие значения:

1 - при прямой зависимости между указанными изменениями цен (значений);

-1 - при обратной зависимости между указанными изменениями цен (значений).

31. В случае если в множестве с зависимыми ценами отсутствуют опционные договоры, значение показателя рассчитывается по формуле:

,

где:

- значение показателя, рассчитываемое для каждого i-го инструмента множества, за исключением опционных договоров, в соответствии с пунктом 20 настоящего приложения с учетом положений пункта 24 настоящего приложения.

32. В случае если в множество с зависимыми ценами включены опционные договоры, значение показателя рассчитывается по формуле:

,

где:

s - совокупность опционных договоров с одинаковыми базисными активами и сроками исполнения, включенных в множество с зависимыми ценами , которые заключены на условиях одной спецификации (на одних примерных условиях, утвержденных в соответствии с пунктом 1 статьи 51.5 Федерального закона от 22 апреля 1996 года N 39-ФЗ "О рынке ценных бумаг");

- доля i-x инструментов множества, одновременно являющихся базисным активом опционных договоров, включенных в совокупность s, определяемая брокером для указанных опционных договоров;

- значение показателя, рассчитываемое для множества с зависимыми ценами в соответствии с пунктом 22 настоящего приложения;

- размер отклонения рыночного риска опционных договоров, включенных в совокупность s, от рыночного риска базового индикатора множества с зависимыми ценами , рассчитываемый по формуле:

,

где:

- значение показателя, рассчитываемое для каждого i-го инструмента множества, за исключением опционных договоров, в соответствии с пунктом 20 настоящего приложения с учетом положений пункта 24 настоящего приложения;

- начальная ставка риска или скорректированная величина ставки риска, определенная в соответствии с пунктом 34 настоящего приложения в отношении базового индикатора множества с зависимыми ценами в сценарии, при котором ;

D - показатель, предусмотренный пунктом 35 настоящего приложения;

- коэффициент корректировки волатильности множества с зависимыми ценами , при котором ;

- значение показателя, рассчитываемое по формулам:

- для , являющегося количеством опционных договоров k-й категории, предусматривающих уплату сторонами вариационной маржи, включенных в совокупность s. При этом рассчитывается как разница между количеством опционных договоров k-й категории, предусматривающих уплату вариационной маржи в состав портфеля клиента при увеличении цены такого опционного договора, и количеством опционных договоров k-й категории, предусматривающих уплату вариационной маржи в состав портфеля клиента при уменьшении цены такого опционного договора;

- значение, которое принимает функция выплаты вариационной маржи по опционному договору k-й категории при изменении текущей цены базисного актива такого опционного договора, выраженной в j-й валюте, на величину произведения этой цены и значения показателя в j-й валюте, а также при изменении теоретической волатильности , использованной для расчета вариационной маржи, на величину произведения этой волатильности и значения коэффициента , предусмотренного настоящим пунктом. Функция выплаты вариационной маржи рассчитывается исходя из спецификации опционного договора k-й категории;

- выраженное в долях единицы значение теоретической волатильности цены i-го инструмента множества, являющегося базисным активом опционного договора, включенного в совокупность s, рассчитываемое по формулам, предусмотренным в пункте 54 настоящего приложения;

- доля опционных договоров k-й категории, включенных в совокупность s;

- для , являющегося количеством опционных договоров k-й категории, не предусматривающих уплату сторонами вариационной маржи. При этом рассчитывается как разница между количеством опционных договоров k-й категории, по которым цена опционного договора уплачена из портфеля клиента, и количеством опционных договоров k-й категории, по которым цена опционного договора уплачена в состав портфеля клиента;

- теоретическая цена опционного договора k-й категории, не предусматривающего уплату сторонами вариационной маржи, определенная в соответствии с пунктом 54 настоящего приложения в сценарии изменения цены базисного актива указанного опционного договора, выраженной в j-й валюте, на величину произведения этой цены базисного актива и значения показателя в j-й валюте, а также изменения теоретической волатильности , использованной для расчета указанной теоретической цены, на величину произведения этой волатильности и значения коэффициента , предусмотренного настоящим пунктом;

- теоретическая цена опционного договора k-й категории, не предусматривающего уплату сторонами вариационной маржи, определенная в соответствии с пунктом 54 настоящего приложения;

при D = 0.

33. В случае если размер рыночного риска рассчитывается в соответствии с пунктом 19 настоящего приложения, показатель D принимает следующие значения:

(-), где - начальная ставка риска в j-й валюте, значение которой, если иное не предусмотрено настоящим приложением, рассчитывается в соответствии с пунктами 39 - 42 настоящего приложения в отношении i-й иностранной валюты (кроме иностранной валюты, выраженной в рублях), i-й ценной бумаги, i-го драгоценного металла или фьючерсного договора i-го вида при , если показатель является соответственно значением плановой позиции по i-й иностранной валюте (кроме иностранной валюты, выраженной в рублях), по i-й ценной бумаге, по i-му драгоценному металлу или если показатель является количеством фьючерсных договоров i-го вида, рассчитанным в соответствии с подпунктом 20.2 пункта 20 настоящего приложения;

(-), где - начальная ставка риска, значение которой, если иное не предусмотрено настоящим приложением, рассчитывается в соответствии с пунктами 39 - 42 настоящего приложения в отношении i-й иностранной валюты, выраженной в рублях, при , если показатель является значением плановой позиции по i-й иностранной валюте, выраженной в рублях;

(-), где - начальная ставка риска в j-й валюте, значение которой, если иное не предусмотрено настоящим приложением, рассчитывается в соответствии с пунктами 39 - 42 настоящего приложения в отношении базисного актива опционного договора i-ой категории при , если показатель является количеством опционных договоров i-й категории, предусматривающих приобретение управомоченной стороной выгод по опционному договору при цене базисного актива выше цены исполнения опционного договора, либо при , если показатель является количеством опционных договоров i-й категории, предусматривающих приобретение управомоченной стороной выгод по опционному договору при цене базисного актива ниже цены исполнения опционного договора;

, где - начальная ставка риска в j-й валюте, значение которой, если иное не предусмотрено настоящим приложением, рассчитывается в соответствии с пунктами 39 - 42 настоящего приложения в отношении i-й иностранной валюты (кроме иностранной валюты, выраженной в рублях), i-й ценной бумаги, i-го драгоценного металла или фьючерсного договора i-го вида при , если показатель является соответственно значением плановой позиции по i-й иностранной валюте (кроме иностранной валюты, выраженной в рублях), по i-й ценной бумаге, по i-му драгоценному металлу или если показатель является количеством фьючерсных договоров i-го вида, рассчитанным в соответствии с подпунктом 20.2 пункта 20 настоящего приложения;

, где - начальная ставка риска, значение которой, если иное не предусмотрено настоящим приложением, рассчитывается в соответствии с пунктами 39 - 42 настоящего приложения в отношении i-й иностранной валюты, выраженной в рублях, при , если показатель является значением плановой позиции по i-й иностранной валюте, выраженной в рублях;

, где - начальная ставка риска в j-й валюте, значение которой, если иное не предусмотрено настоящим приложением, рассчитывается в соответствии с пунктами 39 - 42 настоящего приложения в отношении базисного актива опционного договора i-й категории при , если показатель является количеством опционных договоров i-й категории, предусматривающих приобретение управомоченной стороной выгод по опционному договору при цене базисного актива выше цены исполнения опционного договора, либо при , если показатель является количеством опционных договоров i-й категории, предусматривающих приобретение управомоченной стороной выгод по опционному договору при цене базисного актива ниже цены исполнения опционного договора.

34. В случае если размер рыночного риска рассчитывается в соответствии с пунктом 27 настоящего приложения, показатель D принимает следующие значения:

(-), где - начальная ставка риска в j-й валюте, значение которой, если иное не предусмотрено настоящим приложением, рассчитывается в соответствии с пунктами 39 - 42 настоящего приложения в отношении базового индикатора множества с зависимыми ценами в сценарии x = 0;

, где - начальная ставка риска в j-й валюте, значение которой, если иное не предусмотрено настоящим приложением, рассчитывается в соответствии с пунктами 39 - 42 настоящего приложения в отношении базового индикатора множества с зависимыми ценами в сценарии x = M;

(), где - скорректированная величина ставки риска в j-й валюте, определенная в соответствии с пунктом 30 настоящего приложения в отношении базового индикатора множества с зависимыми ценами в сценарии x {1, ..., M - 1}.

35. В случае расчета показателя , предусмотренного пунктами 31 и 32 настоящего приложения, показатель D принимает значение , где - относительная ставка риска в j-й валюте, значение которой, если иное не предусмотрено настоящим приложением, рассчитывается в соответствии с пунктами 46 - 48 настоящего приложения в отношении i-го инструмента множества, включенного в множество с зависимыми ценами , и (или) в отношении i-го инструмента множества, включенного в множество с зависимыми ценами , являющегося базисным активом опционного договора, включенного в указанное множество.

36. Коэффициент корректировки значения волатильности принимает следующие значения:

(-0,3) при , если в договоре о брокерском обслуживании не определено меньшее значение;

0,3 при , если в договоре о брокерском обслуживании не определено большее значение.

37. В случае если это предусмотрено договором о брокерском обслуживании, брокер рассчитывает размер начальной маржи по формуле:

,

где:

ГО - сумма, рассчитываемая по правилам расчета размера индивидуального клирингового обеспечения, требуемого для обеспечения обязательств, исполнение которых осуществляется за счет портфеля клиента, с учетом риска обесценения имущества, включенного в состав указанного портфеля, и положений подпункта 38.4 пункта 38 настоящего приложения;

k - коэффициент, равный 1 (100%), если большее значение не предусмотрено договором о брокерском обслуживании.

38. Размер начальной маржи рассчитывается в соответствии с пунктом 37 настоящего приложения только при одновременном соблюдении следующих условий:

38.1. В составе портфеля клиента отсутствуют плановые позиции, которые не включены в расчет ГО.

38.2. Значения плановых позиций, в отношении которых осуществляется расчет ГО, равны значениям плановых позиций в составе портфеля клиента, рассчитанным в соответствии с пунктом 4 настоящего приложения.

38.3. Расчет ГО осуществляется на момент принятия брокером каждого поручения от клиента и не реже одного раза в 10 минут торгового дня.

38.4. Параметры расчета рисков для расчета ГО заданы таким образом, чтобы обеспечить размер ГО в сумме не меньшей, чем требуемый размер индивидуального клирингового обеспечения, рассчитываемый клиринговой организацией в отношении портфеля клиента брокера в соответствии с параметрами расчета рисков, раскрытых на сайте клиринговой организации.

38.5. При расчете клиринговой организацией ГО использовались значения ставок риска, соответствующие требованиям настоящего приложения.

39. В случае если размер начальной маржи рассчитывается в отношении портфеля клиента, отнесенного в соответствии с пунктами 28 и 34 настоящего Указания к категории клиентов с повышенным уровнем риска, значения начальных ставок риска , , и , значения начальных ставок риска и , значения начальных ставок риска и рассчитываются соответственно как значения начальных ставок риска и исходя из:

ставок и корректирующих указанные ставки коэффициентов, применяемых клиринговой организацией при осуществлении клиринга с участием центрального контрагента для определения размера обеспечения исполнения обязательств соответственно из сделки с i-м имуществом или фьючерсным договором i-го вида (за исключением коллективного клирингового обеспечения), требуемого в соответствии с правилами клиринга в отсутствие у него иных обязательств, допущенных к клирингу, если указанные ставки и корректирующие коэффициенты применяются клиринговой организацией;

ставок и корректирующих указанные ставки коэффициентов, рассчитанных клиринговой организацией в соответствии с требованиями абзаца второго пункта 40 настоящего приложения, но не применяемых клиринговой организацией при осуществлении клиринга с участием центрального контрагента, если клиринговая организация рассчитывает указанные ставки и корректирующие коэффициенты.

40. Ставки, предусмотренные абзацами вторым и третьим пункта 39 настоящего приложения (далее - ставки клиринговой организации), используются для определения размера начальной маржи для клиентов, отнесенных брокером в соответствии с пунктами 28 и 34 настоящего Указания к категории клиентов с повышенным уровнем риска, если ставки клиринговой организации раскрываются на сайте клиринговой организации.

Ставка клиринговой организации используется для расчета размера начальной маржи для клиентов, отнесенных брокером в соответствии с пунктом 28 и 34 настоящего Указания к категории клиентов с повышенным уровнем риска, если указанная ставка превышает соответственно изменения цены i-го имущества или изменения цены фьючерсного договора i-го вида (по модулю) за определенный период времени в течение одного года с доверительным интервалом не менее 99 процентов.

В случае если период, в течение которого фьючерсный договор i-го вида может быть заключен на организованных торгах, не превышает одного года по условиям спецификации этого фьючерсного договора, для расчета ставки риска может использоваться информация о цене иного фьючерсного договора при условии, что указанные фьючерсные договоры заключены на условиях одной и той же спецификации и базисные активы указанных фьючерсных договоров совпадают.

41. В случае если ставки клиринговой организации в отношении i-го имущества или фьючерсного договора i-го вида рассчитаны клиринговой организацией в валюте, отличной от j-й валюты, значения начальных ставок риска и рассчитываются по формулам:

,
,

где:

- ставка клиринговой организации для случая уменьшения стоимости i-го имущества или цены фьючерсного договора i-го вида (в долях единицы), значение которой рассчитывается в k-й валюте;

- ставка клиринговой организации для случая увеличения стоимости i-го имущества или цены фьючерсного договора i-го вида (в долях единицы), значение которой рассчитывается в k-й валюте;

- ставка клиринговой организации для случая уменьшения курса k-й валюты (в долях единицы) по отношению к j-й валюте;

- ставка клиринговой организации для случая увеличения курса k-й валюты (в долях единицы) по отношению к j-й валюте.

42. В случае если в расчете ставки клиринговой организации указанный в абзаце втором пункта 40 период времени не равен 2 торговым дням, значения начальных ставок риска и рассчитываются по формулам:

,
,

где:

и - ставки клиринговой организации для случая уменьшения стоимости i-го имущества или цены фьючерсного договора i-го вида (в долях единицы) и для случая увеличения стоимости i-го имущества или цены фьючерсного договора i-го вида (в долях единицы);

T - период времени, определенный в расчете ставки клиринговой организации, исчисляемый в количестве торговых дней.

43. Для клиентов, отнесенных брокером в соответствии с пунктами 28 и 34 настоящего Указания к категории клиентов со стандартным уровнем риска, значения начальных ставок риска , , и , предусмотренные пунктом 33 настоящего приложения, значения начальных ставок риска и , предусмотренные пунктом 22 настоящего приложения, значения начальных ставок риска и , предусмотренные пунктом 34 настоящего приложения, рассчитываются соответственно как значения начальных ставок риска и по формулам:

,
,

где:

и - значения начальных ставок риска, которые рассчитываются в соответствии с пунктами 39 - 42 настоящего приложения.

44. Для клиентов, отнесенных брокером в соответствии с пунктом 28 настоящего Указания к категории клиентов с начальным уровнем риска, значения начальных ставок риска , , и , предусмотренные пунктом 33 настоящего приложения, значения начальных ставок риска и , предусмотренные пунктом 22 настоящего приложения, значения начальных ставок риска и , предусмотренные пунктом 34 настоящего приложения, рассчитываются соответственно как значения начальных ставок риска и по формулам:

,
,

где:

и - значения начальных ставок риска, которые рассчитываются в соответствии с пунктом 43 настоящего приложения.

45. В случае если i-й валютой является рубль, значение начальной ставки риска принимается равным 0.

46. Значение относительной ставки риска di,j,n применяется для клиентов, отнесенных брокером в соответствии с пунктами 28 и 34 настоящего Указания к категории клиентов с повышенным уровнем риска, при условии, что она рассчитана клиринговой организацией за установленный ею период времени в течение одного года с доверительным интервалом не менее 99 процентов для значений показателя , где:

- относительное изменение выраженного в j-й валюте значения базового индикатора множества с зависимыми ценами , рассчитанное за период времени, указанный в абзаце первом настоящего пункта;

- относительное изменение выраженной в j-й валюте цены i-го имущества или цены фьючерсного договора i-го вида, рассчитанное за тот же период времени, за который рассчитан показатель ;

- показатель, предусмотренный пунктом 29 настоящего приложения.

47. В случае если период, указанный в абзаце первом пункта 46 настоящего приложения, не равен 2 торговым дням, значения относительных ставок риска рассчитываются по формуле:

,

где:

- относительная ставка риска (в долях единицы), рассчитанная для периода T;

T - период времени, за который рассчитываются значения показателей и , исчисляемый в количестве торговых дней.

48. Относительная ставка риска используется для определения размера начальной маржи , если на сайте клиринговой организации раскрыта следующая информация:

сведения об имуществе, фьючерсном договоре или индексе, принятых клиринговой организацией в качестве базового индикатора, по отношению к которому определяются изменения цен i-го имущества или цен фьючерсных договоров i-го вида;

сведения о валюте, в которой выражен базовый индикатор (далее - валюта базового индикатора);

ставка клиринговой организации, рассчитанная в отношении базового индикатора в валюте базового индикатора;

относительная ставка риска в отношении i-го имущества или фьючерсного договора i-го вида в валюте базового индикатора и показатель направления зависимости между изменениями цен i-го имущества или фьючерсного договора i-го вида и изменениями значений базового индикатора.

49. Для клиентов, отнесенных брокером в соответствии с пунктами 28 и 34 настоящего Указания к категории клиентов со стандартным уровнем риска, значение относительной ставки риска , предусмотренной пунктом 35 настоящего приложения, рассчитывается как значение относительной ставки риска по формуле:

,

где:

- значение относительной ставки риска, которое рассчитывается в соответствии с пунктами 46 и 47 настоящего приложения.

50. Для клиентов, отнесенных брокером в соответствии с пунктом 28 настоящего Указания к категории клиентов с начальным уровнем риска, значение относительной ставки риска , предусмотренной пунктом 35 настоящего приложения, рассчитывается как значение относительной ставки по формуле:

,

где:

- значение относительной ставки риска, которое рассчитывается в соответствии с пунктом 49 настоящего приложения.

51. В случае если в отношении i-го имущества или фьючерсного договора i-го вида применяется или рассчитана более чем одна ставка клиринговой организации или если в отношении n-го базового индикатора и i-го имущества или фьючерсного договора i-го вида применяется или рассчитана более чем одна относительная ставка риска , в том числе в связи с тем, что такие ставки применяются или рассчитаны несколькими клиринговыми организациями, брокер использует большую из указанных ставок, если иное не предусмотрено договором о брокерском обслуживании. При изменении значения ставки клиринговой организации или относительной ставки риска, которую брокер использовал для расчета размера начальной маржи , новое значение указанной ставки должно быть использовано брокером не позднее одного часа с момента ее раскрытия на сайте клиринговой организации или с момента предоставления брокеру клиринговой организацией сведений об указанной ставке.

52. По решению брокера для каждого отдельного портфеля клиента используются более высокие значения начальных ставок риска и относительных ставок риска по сравнению с начальными ставками риска и относительными ставками риска, предусмотренными настоящим приложением.

53. Цена опционного договора i-й категории, не предусматривающего уплату сторонами вариационной маржи, рассчитывается в соответствии с пунктом 54 настоящего приложения, если указанный договор содержит:

фиксированную цену исполнения опционного договора;

безусловное право предъявить требование по опционному договору;

дату окончания срока опционного договора;

не более одного базисного актива, цена которого определяется в соответствии с пунктом 16 настоящего приложения и в отношении которого определена начальная ставка риска в соответствии с требованиями пункта 39 настоящего приложения.

54. Цена опционного договора i-й категории, не предусматривающего уплату сторонами вариационной маржи, признается равной теоретической цене опционного договора и определяется брокером с использованием одной из следующих моделей определения теоретической цены опционных договоров, предусмотренной договором о брокерском обслуживании:

54.1. В соответствии с моделью 1 теоретическая цена опционного договора, предусматривающего приобретение управомоченной стороной выгод по опционному договору при цене базисного актива выше цены исполнения опционного договора Call(t), и теоретическая цена опционного договора, предусматривающего приобретение управомоченной стороной выгод по опционному договору при цене базисного актива ниже цены исполнения опционного договора Put(t), определяются по формулам:

,
,

где:

- текущая рыночная стоимость базисного актива опционного договора i-й категории на момент времени t, выраженная в j-й валюте;

, - коэффициенты, рассчитываемые по формулам:

,
,

где:

k - цена исполнения опционного договора;

- безрисковая ставка в валюте базисного актива (в долях единицы). В случае если базисным активом опционного договора является фьючерсный договор, значение показателя принимается равным 0;

T - время от момента расчета теоретической цены опционного договора до момента окончания срока действия опционного договора (в годах);

q - дивидендная доходность акций, являющихся базисным активом опционного договора (в долях единицы), определяемая исходя из раскрытой эмитентом информации о начисленных (объявленных) и (или) выплаченных дивидендах либо из цен на акции или производные финансовые инструменты, базисным активом которых являются акции. В случае если базисным активом опционного договора не являются акции, значение показателя q принимается равным 0;

- значение теоретической волатильности цены базисного актива опционного договора i-й категории (в долях единицы);

N(d) - функция стандартного нормального распределения, заданная по формуле:

,

54.2. В соответствии с моделью 2 теоретическая цена опционного договора, предусматривающего приобретение управомоченной стороной выгод по опционному договору при цене базисного актива выше цены исполнения опционного договора Call(t), и теоретическая цена опционного договора, предусматривающего приобретение управомоченной стороной выгод по опционному договору при цене базисного актива ниже цены исполнения опционного договора Put(t), определяются по формулам:

,

,

где:

- текущая рыночная стоимость базисного актива опционного договора i-й категории на момент времени t, выраженная в j-й валюте;

d - коэффициент, рассчитываемый по формуле:

,

где:

k - цена исполнения опционного договора;

- безрисковая ставка в валюте базисного актива (в долях единицы). В случае если базисным активом опционного договора является фьючерсный договор, значение показателя принимается равным 0;

T - время от момента расчета теоретической цены опционного договора до момента окончания срока действия опционного договора (в годах);

q - дивидендная доходность акций, являющихся базисным активом опционного договора (в долях единицы), определяемая исходя из раскрытой эмитентом информации о начисленных (объявленных) и (или) выплаченных дивидендах либо из цен на акции или производные финансовые инструменты, базисным активом которых являются акции. В случае если базисным активом опционного договора не являются акции, значение показателя q принимается равным 0;

- значение теоретической волатильности цены базисного актива опционного договора i-й категории (в долях единицы);

N(d) - функция стандартного нормального распределения, заданная по формуле:

;

n(x) - функция плотности стандартного нормального распределения, заданная по формуле:

,