Решение Совета Евразийской экономической комиссии от 14.06.2018 N 60

"Об утверждении Правил определения происхождения товаров из развивающихся и наименее развитых стран"
Редакция от 14.05.2024 — Действует с 29.07.2024
Показать изменения

СОВЕТ ЕВРАЗИЙСКОЙ ЭКОНОМИЧЕСКОЙ КОМИССИИ

РЕШЕНИЕ
от 14 июня 2018 г. N 60

ОБ УТВЕРЖДЕНИИ ПРАВИЛ ОПРЕДЕЛЕНИЯ ПРОИСХОЖДЕНИЯ ТОВАРОВ ИЗ РАЗВИВАЮЩИХСЯ И НАИМЕНЕЕ РАЗВИТЫХ СТРАН

(в ред. Решений Совета Евразийской экономической комиссии от 03.04.2020 N 36, от 17.03.2022 N 33, от 14.05.2024 N 49)

В соответствии с пунктом 3 статьи 37 Договора о Евразийском экономическом союзе от 29 мая 2014 года и пунктом 12 приложения N 1 к Регламенту работы Евразийской экономической комиссии, утвержденному Решением Высшего Евразийского экономического совета от 23 декабря 2014 г. N 98, Совет Евразийской экономической комиссии решил:

1. Утвердить прилагаемые Правила определения происхождения товаров из развивающихся и наименее развитых стран.

2. Настоящее Решение вступает в силу по истечении 180 календарных дней с даты его официального опубликования.

В соответствии с пунктом 3 раздела II приложения N 33 к Договору о Евразийском экономическом союзе от 29 мая 2014 года с даты вступления в силу настоящего Решения прекращает действие Соглашение о правилах определения происхождения товаров из развивающихся и наименее развитых стран от 12 декабря 2008 года.

Члены Совета Евразийской экономической комиссии:

От Республики Армения От Республики Беларусь От Республики Казахстан От Кыргызской Республики От Российской Федерации
М. Григорян В. Матюшевский А. Мамин Ж. Разаков А. Силуанов

УТВЕРЖДЕНЫ
Решением Совета
Евразийской экономической комиссии
от 14 июня 2018 г. N 60

ПРАВИЛА ОПРЕДЕЛЕНИЯ ПРОИСХОЖДЕНИЯ ТОВАРОВ ИЗ РАЗВИВАЮЩИХСЯ И НАИМЕНЕЕ РАЗВИТЫХ СТРАН

(в ред. Решения Совета Евразийской экономической комиссии от 14.05.2024 N 49)

I. Общие положения

1. Настоящие Правила применяются для целей, предусмотренных пунктом 3 статьи 37 Договора о Евразийском экономическом союзе от 29 мая 2014 года, в отношении товаров, ввозимых на таможенную территорию Евразийского экономического союза (далее - Союз) из развивающихся и наименее развитых стран - пользователей единой системы тарифных преференций Союза и включенных в перечень товаров, происходящих из развивающихся стран или из наименее развитых стран, в отношении которых при ввозе на таможенную территорию Евразийского экономического союза предоставляются тарифные преференции, утвержденный Решением Совета Евразийской экономической комиссии от 13 января 2017 г. N 8.

Таможенный контроль происхождения ввозимых товаров осуществляется в соответствии с Таможенным кодексом Евразийского экономического союза.

2. Для целей настоящих Правил используются понятия, которые означают следующее:

"верификация" - установление подлинности сертификата о происхождении товара формы "A" и (или) достоверности содержащихся в нем сведений и (или) предоставление дополнительных либо уточняющих сведений (в том числе о выполнении критерия определения происхождения товаров) и (или) копий документов, на основании которых был выдан сертификат о происхождении товара формы "A";

"верифицирующий орган" - орган, уполномоченный в соответствии с законодательством страны - пользователя единой системы тарифных преференций Союза на осуществление верификации;

"Гармонизированная система" - действующая редакция Гармонизированной системы описания и кодирования товаров, определенной Международной конвенцией о гармонизированной системе описания и кодирования товаров от 14 июня 1983 года;

"декларация о происхождении товара" - коммерческий или любой другой документ, имеющий отношение к товару и содержащий сведения о происхождении товара, ввозимого на таможенную территорию Союза, заявленные производителем, продавцом или отправителем страны - пользователя единой системы тарифных преференций Союза, из которой происходит товар, в виде записи, предусмотренной приложением N 1;

"документ о происхождении товара" - декларация о происхождении товара или сертификат о происхождении товара формы "A";

"запрос о верификации" - запрос о подтверждении подлинности сертификата о происхождении товара формы "A" и (или) достоверности содержащихся в нем сведений и (или) о предоставлении дополнительных либо уточняющих сведений (в том числе о выполнении критерия определения происхождения товаров) и (или) копий документов, на основании которых был выдан сертификат о происхождении товара формы "A";

"материал" - любое вещество, ингредиент, сырье, часть товара или товар, потребляемые и (или) используемые при производстве товара или физически включенные в товар;

"непроисходящие материалы" - материалы, которые не признаются происходящими из страны - пользователя единой системы тарифных преференций Союза в соответствии с пунктом 4 настоящих Правил, и (или) материалы неизвестного происхождения;

"непроисходящие товары" - товары, которые не признаются происходящими из страны - пользователя единой системы тарифных преференций Союза в соответствии с пунктом 4 настоящих Правил, и (или) товары неизвестного происхождения;

"партия товара" - товары, одновременно отправляемые по одному или нескольким транспортным (перевозочным) документам от одного отправителя в адрес одного получателя в рамках исполнения обязательств по одному документу, подтверждающему совершение сделки;

"получение или производство" - выращивание, добыча, разведение, ловля, охота, извлечение, а также выполнение любых видов производственных или технологических операций, включая переработку, обработку или сборку;

"происходящие материалы" - материалы, которые признаются происходящими из страны - пользователя единой системы тарифных преференций Союза в соответствии с пунктом 4 настоящих Правил;

"происходящие товары" - товары, которые признаются происходящими из страны - пользователя единой системы тарифных преференций Союза в соответствии с пунктом 4 настоящих Правил;

"происхождение товара" - принадлежность товара к стране - пользователю единой системы тарифных преференций Союза, в которой товар был полностью получен, или произведен, или подвергнут достаточной переработке в соответствии с критериями определения происхождения товаров, установленными настоящими Правилами;

"сертификат" - сертификат о происхождении товара формы "A", являющийся документом, свидетельствующим о происхождении товара, ввозимого на таможенную территорию Союза, выданный уполномоченным органом страны - пользователя единой системы тарифных преференций Союза, из которой происходит товар;

"стоимость товара на условиях "франко-завод" - цена товара, подлежащая уплате производителю, на предприятии которого производилась последняя обработка или переработка товара, определяемая на условиях "франко-завод" согласно Международным правилам толкования торговых терминов "Инкотермс 2020", при этом в стоимость товара на условиях "франко-завод" не включаются суммы внутренних налогов, которые возмещаются или могут быть возмещены при экспорте данного товара;

"страна-пользователь" - развивающаяся или наименее развитая страна - пользователь единой системы тарифных преференций Союза. При этом для целей настоящих Правил под страной-пользователем может пониматься группа стран, либо таможенный союз стран, либо регион или часть страны, если такие группа стран, либо таможенный союз стран, либо регион или часть страны включены в перечень развивающихся стран - пользователей единой системы тарифных преференций Евразийского экономического союза или в перечень наименее развитых стран - пользователей единой системы тарифных преференций Евразийского экономического союза;

"товар" - полученный или произведенный товар, даже если он предназначен для дальнейшего использования в другой производственной операции в качестве материала;

"уполномоченный орган" - государственный орган или организация страны-пользователя, уполномоченные в соответствии с законодательством этой страны-пользователя на выдачу сертификатов.

Иные понятия, используемые в настоящих Правилах, применяются в значениях, определенных Таможенным кодексом Евразийского экономического союза.

3. Для целей настоящих Правил под центральными таможенными органами понимаются:

для Республики Армения - Комитет государственных доходов Республики Армения;

для Республики Беларусь - Государственный таможенный комитет Республики Беларусь;

для Республики Казахстан - Комитет государственных доходов Министерства финансов Республики Казахстан;

для Кыргызской Республики - Государственная таможенная служба при Министерстве финансов Кыргызской Республики;

для Российской Федерации - Федеральная таможенная служба.

II. Критерии определения происхождения товаров

4. Товары признаются происходящими из страны-пользователя в случае, если такие товары:

1) полностью получены или произведены в стране-пользователе в соответствии с пунктом 5 настоящих Правил;

2) подверглись достаточной переработке в стране-пользователе в соответствии с критериями определения происхождения товаров, установленными пунктами 6 - 9 настоящих Правил.

5. Полностью полученными или произведенными в стране-пользователе признаются следующие товары:

1) полезные ископаемые, минеральные продукты и иные природные ресурсы, добытые из недр страны-пользователя, на ее территории, в ее территориальном море (ином водоеме страны) или с его дна либо из атмосферного воздуха на территории такой страны-пользователя;

2) продукция растительного происхождения, выращенная и (или) собранная в стране-пользователе;

3) живые животные, родившиеся и выращенные (выросшие) в стране-пользователе;

4) продукция, полученная в стране-пользователе от живых животных;

5) продукция, полученная в результате охотничьего и рыболовного промысла в стране-пользователе;

6) продукция морского рыболовного промысла и другая продукция морского промысла, добытая (выловленная) за пределами территориального моря (вод) страны-пользователя судном, зарегистрированным и плавающим под флагом страны-пользователя;

7) продукция, полученная или произведенная исключительно из продукции, указанной в подпункте 6 настоящего пункта, на борту перерабатывающего судна, зарегистрированного и плавающего под флагом страны-пользователя;

8) продукция, полученная с морского дна или из морских недр за пределами территориального моря (вод) страны-пользователя, при условии, что страна-пользователь имеет исключительные права на разработку ресурсов этого морского дна или этих морских недр;

9) отходы и лом (вторичное сырье), полученные в результате производственных или иных операций по переработке или потребления в стране-пользователе;

10) собранные в стране-пользователе бывшие в употреблении изделия, которые больше не могут выполнять свою первоначальную функцию и пригодны только для утилизации и (или) переработки в сырье;

11) электрическая, тепловая и иные виды энергии, произведенные в стране-пользователе;

12) товары, произведенные в стране-пользователе исключительно из продукции, указанной в подпунктах 1 - 11 настоящего пункта.

6. В случае если при производстве товара на территории развивающейся страны-пользователя используются непроисходящие материалы, такой товар считается подвергшимся достаточной переработке в такой развивающейся стране-пользователе, если стоимость непроисходящих материалов, использованных при выполнении операций по переработке или производству в такой развивающейся стране-пользователе, не превышает 50 процентов стоимости такого товара на условиях "франко-завод".

7. В случае если при производстве товара на территории наименее развитой страны-пользователя используются непроисходящие материалы, такой товар считается подвергшимся достаточной переработке в такой наименее развитой стране-пользователе, если стоимость непроисходящих материалов, использованных при выполнении операций по переработке или производству в такой наименее развитой стране-пользователе, не превышает 60 процентов стоимости такого товара на условиях "франко-завод".

8. Несмотря на положения, установленные пунктами 6 и 7 настоящих Правил, выполнение следующих операций как отдельно, так и в сочетании друг с другом не позволяет считать товар подвергшимся достаточной переработке в стране-пользователе:

1) операции по обеспечению сохранности товара во время его хранения и (или) транспортировки;

2) операции по подготовке товара к продаже и (или) транспортировке (деление партии, формирование отправок, сортировка, переупаковка);

3) нанесение и (или) печать торговых марок, логотипов, этикеток и других подобных отличительных знаков на товар и (или) его упаковку;

4) мойка, чистка, удаление пыли, покрытие окисью, маслом и (или) другими веществами;

5) операции по покраске и (или) полировке;

6) заморозка и (или) размораживание;

7) шелушение, частичное или полное отбеливание, шлифовка и полировка зерновых и риса;

8) операции по окрашиванию, разведению, смешиванию сахара и (или) формированию кускового сахара;

9) отбеливание и (или) окраска текстильных материалов и изделий;

10) глажка и (или) прессование текстильных материалов и изделий;

11) снятие кожуры, извлечение семян и (или) разделка фруктов, овощей или орехов;

12) затачивание;

13) простые помол или резка товара;

14) просеивание через сито или решето, сортировка, классифицирование, отбор, подбор (в том числе составление наборов товаров);

15) разлив, фасовка в банки, флаконы, мешки, ящики, коробки и другие операции по упаковке;

16) простые сборочные операции или разборка товара по частям;

17) смешивание материалов (компонентов), которое не приводит к существенному отличию полученного товара от исходных материалов (компонентов);

18) разделение товара на компоненты, которое не приводит к существенному отличию полученных компонентов от исходного товара;

19) убой животных;

20) разделка (сортировка) мяса, рыбы;

21) использование (эксплуатация) товара по назначению.

9. Для целей применения подпунктов 13 и 16 пункта 8 настоящих Правил под простой операцией понимается операция, для осуществления которой не требуется применение специальных умений (навыков), машин, приборов или оборудования, специально предназначенных для данной операции.

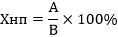
10. Процентная доля стоимости непроисходящих материалов, использованных при выполнении операций по переработке, рассчитывается по следующей формуле:

,

где:

Хнп - процентная доля стоимости непроисходящих материалов, использованных при выполнении операций по переработке;

A - стоимость непроисходящих материалов;

B - стоимость товара на условиях "франко-завод".

11. Стоимость непроисходящих материалов, предусмотренная пунктом 10 настоящих Правил, определяется как их таможенная стоимость при ввозе в страну-пользователь, в которой осуществлялось производство экспортируемого товара, а в случае, если их таможенная стоимость неизвестна или не может быть установлена, - в размере первой документально подтвержденной цены при их продаже на территории страны-пользователя, в которой осуществлялось производство товара.

12. Стоимость товара определяется на условиях "франко-завод".

В случае если стоимость товара не может быть определена на условиях "франко-завод", то стоимость такого товара определяется как сумма стоимости всех материалов, использованных при производстве товара, а также всех расходов, связанных с его производством, при этом в стоимость товара не включаются суммы внутренних налогов, которые возмещаются или могут быть возмещены при экспорте данного товара.

13. Если товары, которые отвечают критериям определения происхождения товаров, указанным в пунктах 6 и 7 настоящих Правил, используются в стране-пользователе в качестве материалов при производстве другого товара, то происхождение материалов, использованных для производства этих товаров, не учитывается при определении происхождения произведенного товара.

14. Товары, происходящие из государства - члена Союза (далее - государство-член) и подвергаемые последующей переработке в одной или нескольких странах-пользователях, рассматриваются как происходящие из той страны-пользователя, где производилась их последняя переработка, кроме переработки, заключающейся в осуществлении исключительно операций, указанных в пункте 8 настоящих Правил.

15. Товары, происходящие из одной наименее развитой страны-пользователя и подвергаемые последующей переработке в другой или других наименее развитых странах-пользователях, рассматриваются как происходящие из той наименее развитой страны-пользователя, где производилась их последняя переработка, кроме переработки, заключающейся в осуществлении исключительно операций, указанных в пункте 8 настоящих Правил.

16. Товары, происходящие из одной развивающейся страны-пользователя и подвергаемые последующей переработке в другой или других развивающихся странах-пользователях, рассматриваются как происходящие из той развивающейся страны-пользователя, где производилась их последняя переработка, кроме переработки, заключающейся в осуществлении исключительно операций, указанных в пункте 8 настоящих Правил.

17. Происхождение товаров, используемых для последующей переработки в случаях, предусмотренных пунктами 14 - 16 настоящих Правил, должно подтверждаться документально, в том числе для целей верификации.

III. Особенности определения происхождения товаров

18. При определении происхождения товаров не учитывается происхождение следующих материалов, которые могут использоваться при производстве и не включаются в состав товара:

1) топливо, электрическая, тепловая и иные виды энергии;

2) инструменты, штампы и пресс-формы;

3) запасные части и материалы, используемые в техническом обслуживании оборудования и зданий;

4) смазочные материалы, присадки и другие материалы, используемые в производстве или при эксплуатации оборудования и зданий;

5) перчатки, очки, обувь, одежда, оборудование для обеспечения безопасности;

6) оборудование, устройства, используемые для тестирования или проверки товаров;

7) катализаторы и растворители;

8) любые другие материалы, которые не включены в состав товара, но использование которых при производстве товаров может быть представлено как часть производственного процесса.

19. Приспособления, принадлежности, запасные части, инструменты и информационные материалы, предназначенные для использования вместе с машинами, оборудованием, аппаратами или транспортными средствами, считаются происходящими из той же страны-пользователя, что и машины, оборудование, аппараты или транспортные средства, если такие приспособления, принадлежности, запасные части, инструменты и информационные материалы ввозятся и используются совместно с указанными машинами, оборудованием, аппаратами или транспортными средствами в комплектации и в количестве, в которых обычно поставляются с этими устройствами в соответствии с технической документацией.

При этом стоимость приспособлений, принадлежностей, запасных частей, инструментов и информационных материалов учитывается при определении достаточной переработки в соответствии с критериями определения происхождения товаров, установленными пунктами 6 и 7 настоящих Правил.

20. Упаковка и тара, поставляемые вместе с находящимися в них товарами, считаются происходящими из той же страны-пользователя, что и сам товар, за исключением случаев, когда такие упаковка и тара в соответствии с Основными правилами интерпретации Гармонизированной системы должны классифицироваться отдельно от товара. В этом случае происхождение упаковки и тары определяется отдельно от происхождения товара.

При этом стоимость упаковки и тары, используемых для розничной торговли, учитывается при определении достаточной переработки в соответствии с критериями определения происхождения товаров, установленными пунктами 6 и 7 настоящих Правил.

21. Товары, классифицируемые как набор в соответствии с Основными правилами интерпретации Гармонизированной системы, рассматриваются в качестве происходящих товаров, если все элементы, из которых состоит набор, являются происходящими материалами. Набор также признается происходящим товаром, если такой набор состоит в том числе из элементов, являющихся непроисходящими материалами, при условии, что совокупная стоимость таких элементов не превышает 15 процентов стоимости набора на условиях "франко-завод".

22. При определении происхождения товар в несобранном или разобранном виде, перемещаемый в виде отдельных компонентов, может рассматриваться как единый товар, если его компоненты ввозятся на таможенную территорию Союза в адрес одного получателя и в соответствии с Основными правилами интерпретации Гармонизированной системы классифицируются как товар в собранном виде.

IV. Подтверждение происхождения товаров

23. Случаи и порядок подтверждения происхождения ввозимых на таможенную территорию Союза товаров, а также порядок проведения таможенного контроля происхождения товаров определяются Таможенным кодексом Евразийского экономического союза с учетом положений настоящего раздела.

24. Происхождение ввозимых на таможенную территорию Союза товаров подтверждается сертификатом либо в случае, предусмотренном пунктом 32 настоящих Правил, декларацией о происхождении товара.

25. Сертификат выдается уполномоченным органом на одну партию товара.

26. Сертификат может быть выдан как до отправки товара, так и после отправки товара (впоследствии).

27. Сертификат выдается уполномоченным органом страны-пользователя, из которой происходит товар.

Копия сертификата, а также любые связанные с ним документы, подтверждающие происхождение товара, хранятся в уполномоченном органе, выдавшем такой сертификат, не менее 3 лет с даты выдачи.

28. Сертификат оформляется по форме согласно приложению N 2 и заполняется в соответствии с требованиями согласно приложению N 3.

29. Срок применения сертификата для целей подтверждения происхождения товаров в соответствии с настоящими Правилами составляет 12 месяцев с даты его выдачи.

30. В случае утраты или повреждения оригинала сертификата на бумажном носителе допускается применять его дубликат, изготовленный уполномоченным органом на новом бланке.

Дубликат сертификата должен содержать сведения, идентичные сведениям, содержащимся в оригинале сертификата, за исключением сведений о регистрационном номере, дате выдачи и подписи должностного лица, которые могут отличаться от указанных в оригинале сертификата.

Срок применения дубликата сертификата для целей подтверждения происхождения товаров в соответствии с настоящими Правилами составляет 12 месяцев с даты выдачи оригинала сертификата.

31. Взамен аннулированного по каким-либо причинам сертификата либо в случае необходимости переоформления ранее выданного сертификата применяется новый сертификат.

32. Происхождение партии товара, общая таможенная стоимость которой не превышает сумму, эквивалентную 5 000 евро, может подтверждаться декларацией о происхождении товара.

33. Декларация о происхождении товара оформляется на одну партию товара.

34. Декларация о происхождении товара оформляется производителем, продавцом или отправителем страны-пользователя и должна содержать предусмотренную приложением N 1 к настоящим Правилам запись, выполненную печатным способом на английском или французском языке.

35. Срок применения декларации о происхождении товара для целей подтверждения происхождения товаров в соответствии с настоящими Правилами составляет 12 месяцев с даты выполнения в ней записи, предусмотренной приложением N 1 к настоящим Правилам.

36. Документ о происхождении товара подтверждает происхождение одной партии товара, в отношении которой таможенные операции, связанные с таможенным декларированием и выпуском товаров, совершаются в одном таможенном органе государства-члена (далее - таможенный орган).

В исключительных случаях, связанных с форс-мажорными обстоятельствами (аварией, действием непреодолимой силы или иными обстоятельствами, возникшими при транспортировке (перевозке) товаров), допускается подтверждать происхождение товаров, входящих в одну партию товара, в отношении которых таможенные операции, связанные с таможенным декларированием и выпуском товаров, совершаются в разных таможенных органах, одним документом о происхождении товара. В указанных случаях декларант информирует таможенные органы о том, что документ о происхождении товара ранее использовался при подаче другой таможенной декларации.

37. Описание товара в документе о происхождении товара должно быть достаточным для его идентификации таможенным органом с товаром, заявленным при таможенном декларировании. При этом несоответствие кода товара в соответствии с Гармонизированной системой, указанного в документе о происхождении товара, коду, указанному при таможенном декларировании такого товара, не должно являться основанием для нерассмотрения такого документа в качестве документа о происхождении товара.

38. Фактический вес товаров не должен превышать вес, указанный в документе о происхождении товара, более чем на 5 процентов.

При превышении фактического веса товаров не более чем на 5 процентов относительно веса, указанного в документе о происхождении товара, происхождение товаров считается подтвержденным в отношении фактического веса товаров в пределах указанной погрешности.

В случае если фактический вес товаров меньше веса, указанного в документе о происхождении товара, происхождение товаров считается подтвержденным в отношении фактического веса товаров.

Фактическое превышение иных количественных характеристик товаров, указанных в документе о происхождении товара, не допускается.

В случае если фактическая количественная характеристика товаров, отличная от веса, меньше такой количественной характеристики товаров, указанной в документе о происхождении товара, происхождение товаров считается подтвержденным в отношении фактической количественной характеристики товаров.

39. Для целей подтверждения происхождения товара могут использоваться оригинал документа о происхождении товара на бумажном носителе, копия документа о происхождении товара (распечатанная на бумажном носителе или сформированная в виде графической электронной копии) или сертификат, выданный уполномоченным органом в электронном виде без оформления оригинала сертификата на бумажном носителе (распечатанный на бумажном носителе или сформированный в виде графической электронной копии).

40. В случае выявления признаков того, что сведения, содержащиеся в представленной для целей подтверждения происхождения товаров копии сертификата (на бумажном носителе или в виде графической электронной копии), не соответствуют сведениям, содержащимся в оригинале сертификата, таможенный орган вправе запросить оригинал сертификата на бумажном носителе, за исключением случаев, когда сертификат выдается уполномоченным органом исключительно в электронном виде без оформления оригинала сертификата на бумажном носителе.

41. Сертификат может не представляться таможенному органу государства-члена по решению декларанта при наличии договоренности между центральным таможенным органом этого государства-члена и уполномоченным органом о применении электронной системы верификации происхождения товаров, предусмотренной пунктом 63 настоящих Правил. При этом сведения о таком сертификате должны быть указаны в таможенной декларации.

В случае если обнаружены признаки того, что заявленные в таможенной декларации сведения о происхождении товара являются недостоверными, или если данные о сертификате отсутствуют в электронной системе верификации происхождения товаров, то по мотивированному запросу таможенного органа декларантом должен быть представлен сертификат.

42. В случае выявления признаков того, что заявленные в декларации о происхождении товара сведения являются недостоверными, таможенный орган вправе запросить сертификат. Такой запрос должен быть обоснованным и должен содержать информацию, указывающую, какие сведения в декларации о происхождении товара могут быть недостоверными.

43. Наличие ошибок (опечаток), допущенных при заполнении документа о происхождении товара, не влияющих на достоверность сведений, содержащихся в таком документе, и не ставящих под сомнение происхождение товаров, не является основанием для нерассмотрения такого документа в качестве документа о происхождении товара.

44. В случае если в документе о происхождении товара указаны сведения о нескольких товарах, выявление таможенными органами признаков недостоверности сведений о происхождении одного из товаров не должно ставить под сомнение происхождение других товаров, указанных в документе о происхождении товара, и не должно являться основанием для нерассмотрения данного документа в качестве документа о происхождении таких других товаров.

45. Таможенный орган может потребовать перевод документа о происхождении товара. Допускается представление перевода документа о происхождении товара, заверенного декларантом.

46. Происхождение товаров считается неподтвержденным в случаях, установленных пунктом 5 статьи 314 Таможенного кодекса Евразийского экономического союза, а также в следующих случаях:

1) по результатам проведенного таможенного контроля происхождения товаров выявлено, что декларация о происхождении товара оформлена с нарушением требований, предусмотренных настоящими Правилами;

2) по результатам проведенного таможенного контроля происхождения товаров невозможно установить подлинность сертификата и (или) достоверность содержащихся в нем сведений на основании полученного ответа на запрос о верификации;

3) по результатам проведенного таможенного контроля происхождения товаров невозможно идентифицировать товар, указанный в документе о происхождении товара, с товаром, указанным в таможенной декларации;

4) не представлен сертификат по требованию таможенного органа в случаях, предусмотренных абзацем вторым пункта 41 и пунктом 42 настоящих Правил;

5) не представлен оригинал сертификата по требованию таможенного органа в случае, предусмотренном пунктом 40 настоящих Правил;

6) фактический вес товаров превышает вес, указанный в документе о происхождении товара, более чем на 5 процентов, и (или) иные фактические количественные характеристики товаров, отличные от веса, превышают такие количественные характеристики товаров, указанные в документе о происхождении товара.

47. В случаях, предусмотренных подпунктами 1 - 3 пункта 5 статьи 314 Таможенного кодекса Евразийского экономического союза и подпунктами 1, 3 - 6 пункта 46 настоящих Правил, направление запроса о верификации не требуется.

V. Административное сотрудничество

48. Страны-пользователи (уполномоченные органы или государственные органы) направляют в Евразийскую экономическую комиссию (далее - Комиссия):

1) наименования и адреса уполномоченных органов и оригиналы образцов их оттисков печатей (в 6 экземплярах) с указанием даты начала их применения. Образцы оттисков печатей должны быть отчетливыми для целей проведения идентификации на предмет их подлинности;

2) наименования и адреса верифицирующих органов (при наличии таких органов в стране-пользователе).

49. Страны-пользователи (уполномоченные органы или государственные органы) информируют Комиссию об изменениях информации, указанной в пункте 48 настоящих Правил, и представляют уточняющие сведения о таких изменениях, в том числе указывают дату начала применения новых печатей, а также представляют пояснения, взамен каких ранее направленных образцов оттисков печатей представлены новые образцы.

50. Информация, указанная в пунктах 48 и 49 настоящих Правил, должна быть представлена в Комиссию на английском или французском языке.

51. Образцы оттисков печатей, предусмотренные подпунктом 1 пункта 48 настоящих Правил, могут не направляться в Комиссию в случае, если страна-пользователь (уполномоченный орган или государственный орган) проинформировала Комиссию о выдаче сертификатов исключительно в электронном виде без оформления оригиналов сертификатов на бумажном носителе.

52. В случае получения Комиссией от страны-пользователя (уполномоченного органа или государственного органа) информации, не соответствующей требованиям, установленным пунктами 48 и 49 настоящих Правил, Комиссия информирует страну-пользователь (уполномоченный орган или государственный орган) о невозможности использования полученной информации для целей применения настоящих Правил с указанием требований, которые не были выполнены.

53. Требования к административному сотрудничеству считаются невыполненными, если страна-пользователь (уполномоченный орган или государственный орган) представила информацию, предусмотренную пунктами 48 и 49 настоящих Правил, в государственные органы государств-членов и не представила эту информацию в Комиссию.

54. В случае, предусмотренном пунктом 53 настоящих Правил, государственные органы государств-членов информируют страну-пользователь (уполномоченный орган или государственный орган) о невозможности использования полученной информации для целей применения настоящих Правил.

55. Комиссия в срок, не превышающий 5 рабочих дней с даты поступления информации, предусмотренной пунктами 48 и 49 настоящих Правил, направляет такую информацию в центральные таможенные органы, а также размещает на официальном сайте Союза информацию о наименованиях уполномоченных и (или) верифицирующих органов и об их адресах, полученную в соответствии с указанными пунктами.

56. Тарифные преференции не предоставляются в отношении товаров, происходящих из стран-пользователей, которые не представили информацию, предусмотренную пунктами 48 и 49 настоящих Правил, с учетом пункта 51 настоящих Правил либо представили информацию, не отвечающую требованиям, предусмотренным указанными пунктами.

57. В целях проверки сертификата допускается применение таможенными органами электронных баз данных, создаваемых уполномоченными органами и размещаемых на соответствующих официальных сайтах в информационно-телекоммуникационной сети "Интернет" (далее - электронные базы данных).

Электронные базы данных должны позволять подтвердить факт выдачи сертификата и дополнительно могут содержать иные сведения, указанные в сертификате.

Возможность проверки сертификата посредством применения электронной базы данных учитывается при принятии таможенным органом решения о необходимости направления запроса о верификации. При этом такая возможность не ограничивает право центрального таможенного органа направлять запрос о верификации в соответствии с пунктом 60 настоящих Правил.

58. В случае получения Комиссией от страны-пользователя (уполномоченного органа или государственного органа) информации об используемой уполномоченным органом такой страны-пользователя электронной базе данных, применение которой допускается в соответствии с пунктом 57 настоящих Правил, Комиссия в срок, не превышающий 5 рабочих дней с даты поступления соответствующей информации, размещает ее на официальном сайте Союза и обеспечивает направление в центральные таможенные органы этой информации, в том числе адреса официального сайта в информационно-телекоммуникационной сети "Интернет", где размещена такая электронная база данных, а также условий доступа таможенных органов к этой электронной базе данных (если такие условия доступа предусмотрены и информация о них поступила в Комиссию).

В случае доведения страной-пользователем (уполномоченным органом или государственным органом) указанной информации до сведения государственного органа одного из государств-членов такой государственный орган направляет полученную информацию в Комиссию для совершения действий, указанных в абзаце первом настоящего пункта.

Направление в Комиссию информации об электронных базах данных, используемых уполномоченными органами стран-пользователей, и ее размещение на официальном сайте Союза не являются обязательным условием для применения таких электронных баз данных таможенными органами.

59. В случае получения Комиссией от страны-пользователя (уполномоченного органа или государственного органа) информации о выдаче сертификатов исключительно в электронном виде без оформления оригинала сертификата на бумажном носителе Комиссия в срок, не превышающий 5 рабочих дней с даты поступления соответствующей информации, обеспечивает ее направление в центральные таможенные органы.

60. При обнаружении таможенным органом признаков того, что сертификат не выдавался или содержит недостоверные сведения, а также в целях проведения выборочной проверки центральный таможенный орган вправе направить в уполномоченный орган, выдавший такой сертификат, или верифицирующий орган (при наличии информации о таком верифицирующем органе) запрос о верификации.

К запросу о верификации прилагается копия проверяемого сертификата.

В запросе о верификации указываются причины его направления и другая дополнительная информация, указывающая, какие сведения в сертификате могут быть недостоверными, за исключением случаев направления запроса о верификации в целях проведения выборочной проверки.

61. Ответ на запрос о верификации должен поступить в центральный таможенный орган в срок, не превышающий 6 месяцев с даты направления такого запроса.

62. Для целей рассмотрения сертификата в качестве документа о происхождении товара полученный ответ на запрос о верификации должен однозначно свидетельствовать о том, что сертификат является подлинным и (или) сведения, указанные в нем, достоверны.

63. Допускается подписание протокола (заключение меморандума) между центральным таможенным органом и уполномоченным органом о применении электронной системы верификации происхождения товаров, позволяющей осуществить проверку факта выдачи сертификата и достоверности содержащихся в нем сведений.

64. Электронная система верификации происхождения товаров должна основываться на следующих основных положениях и принципах:

1) полнота, актуальность и достоверность сведений о выданных уполномоченным органом сертификатах;

2) защита сведений от несанкционированного доступа, уничтожения, модификации или иных неправомерных действий;

3) надлежащее круглосуточное функционирование;

4) хранение сведений о выданных сертификатах в течение не менее 3 лет с даты их выдачи.

VI. Условия предоставления тарифных преференций

65. Тарифные преференции предоставляются в отношении товара, происходящего из страны-пользователя, при выполнении следующих условий:

1) товар включен в перечень товаров, происходящих из развивающихся стран или из наименее развитых стран, в отношении которых при ввозе на таможенную территорию Евразийского экономического союза предоставляются тарифные преференции, утвержденный Решением Совета Евразийской экономической комиссии от 13 января 2017 г. N 8;

2) происхождение товара подтверждено в соответствии с разделом IV настоящих Правил;

3) соблюдение требований к транспортировке (перевозке) товара подтверждено в соответствии с пунктами 69 и 70 настоящих Правил (прямая поставка);

4) страной-пользователем соблюдены требования административного сотрудничества, предусмотренные пунктами 48 - 51 настоящих Правил.

66. Тарифные преференции предоставляются в отношении товара, происходящего из страны-пользователя, приобретенного лицом государства-члена как у лица, зарегистрированного в установленном порядке на территории страны-пользователя, из которой происходит такой товар, так и у лица, зарегистрированного в установленном порядке на территории любой другой страны.

67. Тарифные преференции предоставляются в отношении товара, происходящего из страны-пользователя и ввозимого из такой страны-пользователя на таможенную территорию Союза любым маршрутом транспортировки (перевозки), в том числе проходящим через территории стран, не являющихся государствами-членами (далее - третьи страны), при соблюдении в процессе такой транспортировки (перевозки) следующих условий:

1) товар в третьих странах, через которые осуществлялось транзитное перемещение товара, в том числе при его временном складировании на территориях этих третьих стран, находился под таможенным контролем;

2) товар не являлся объектом потребления или торговли, за исключением случаев, указанных в пункте 68 настоящих Правил;

3) товар не подвергался каким-либо операциям, за исключением операций, направленных на обеспечение их сохранности, и перегрузки.

68. Тарифные преференции также предоставляются в отношении товара, происходящего из страны-пользователя и ввозимого на таможенную территорию Союза с выставок или ярмарок, проводимых в третьих странах, при соблюдении следующих условий:

1) товар ввозился с территории страны-пользователя на территорию третьей страны, в которой проводилась выставка или ярмарка, и оставался под таможенным контролем при ее проведении;

2) товар не использовался с даты их отправки на выставку или ярмарку в каких-либо иных целях, кроме демонстрационных;

3) товар ввозится на таможенную территорию Союза в том же состоянии, в котором он был отправлен на выставку или ярмарку (без учета изменений состояния товара вследствие естественного износа либо убыли при нормальных условиях транспортировки (перевозки) и хранения).

69. В качестве документа, подтверждающего соблюдение требований к транспортировке (перевозке) товара, предусмотренных пунктами 67 и 68 настоящих Правил, может рассматриваться один из следующих документов:

1) транспортный (перевозочный) документ, свидетельствующий о транзитном перемещении товара с территории страны-пользователя, из которой происходит такой товар, через территории третьих стран и содержащий описание товара, достаточное для его идентификации таможенным органом с товаром, заявленным при таможенном декларировании, а также содержащий, где это применимо в зависимости от условий транспортировки (перевозки), названия транспортных средств и (или) номера контейнеров, использованных при транспортировке (перевозке) такого товара;

2) документ, выданный таможенным органом третьей страны, содержащий описание товара, достаточное для его идентификации таможенным органом с товаром, заявленным при таможенном декларировании, подтверждающий нахождение товара под таможенным контролем.

70. Помимо документов, указанных в пункте 69 настоящих Правил, в качестве дополнительных документов, подтверждающих соблюдение требований к транспортировке (перевозке) товара, предусмотренных пунктами 67 и 68 настоящих Правил, могут рассматриваться иные документы, имеющиеся в распоряжении декларанта.

71. Документы, подтверждающие соблюдение требований к транспортировке (перевозке) товара, должны быть у декларанта на момент подачи таможенной декларации, а в случае восстановления тарифных преференций - на момент подачи мотивированного обращения о внесении изменений (дополнений) в сведения, заявленные в таможенной декларации, в связи с намерением восстановить тарифные преференции, и сведения об этих документах подлежат указанию в таможенной декларации.

72. Непроисходящие товары, а также происходящие товары, в отношении которых не соблюдены условия предоставления тарифных преференций, предусмотренные пунктом 65 настоящих Правил, ввозятся на таможенную территорию Союза в соответствии с требованиями таможенно-тарифного регулирования Союза без предоставления тарифных преференций.

В отношении происходящих товаров тарифные преференции могут восстанавливаться в соответствии с Таможенным кодексом Евразийского экономического союза.

VII. Основания для отказа в предоставлении тарифных преференций

73. Таможенные органы отказывают в предоставлении тарифных преференций в отношении товаров, ввозимых из страны-пользователя, в следующих случаях:

1) происхождение товаров считается неподтвержденным в соответствии с пунктом 46 настоящих Правил;

2) не соблюдены условия предоставления тарифных преференций, предусмотренные пунктом 65 настоящих Правил.

74. Таможенные органы отказывают в предоставлении тарифных преференций без направления запроса о верификации в случаях, предусмотренных пунктом 47 настоящих Правил, а также если не соблюдены условия предоставления тарифных преференций, предусмотренные подпунктами 1, 3 и 4 пункта 65 настоящих Правил.

ПРИЛОЖЕНИЕ N 1
к Правилам определения происхождения
товаров из развивающихся и наименее
развитых стран

ЗАПИСЬ
В ДЕКЛАРАЦИИ О ПРОИСХОЖДЕНИИ ТОВАРА

(в ред. Решения Совета Евразийской экономической комиссии от 14.05.2024 N 49)

1. Запись в декларации о происхождении товара на английском языке:
".................. <1> declares that, except where otherwise clearly indicated, the products covered by this document are of ............................. <2> preferential origin in accordance with the Generalised System of Preferences of the Eurasian Economic Union.".
     
  .................................................................. <3>
  (name of the signatory, signature, date)  
 
2. Запись в декларации о происхождении товара на французском языке:
"......... <1> que, sauf indication claire du contraire, les produits couverts par le document ont l'origine ................... <2> selon le de de l'Union eurasiatique.".
 
  ................................................................ <3>
  (nom du signataire, signature, date)  

<1> Указывается наименование экспортера (производителя, продавца или отправителя товара).

<2> Указывается название страны - пользователя единой системы тарифных преференций Евразийского экономического союза, из которой происходит товар.

<3> Указываются фамилия уполномоченного лица экспортера (производителя, продавца или отправителя товара), подпись указанного лица, а также дата оформления декларации о происхождении товара.

ПРИЛОЖЕНИЕ N 2
к Правилам определения происхождения
товаров из развивающихся и наименее
развитых стран

ФОРМА СЕРТИФИКАТА О ПРОИСХОЖДЕНИИ ТОВАРА

(в ред. Решения Совета Евразийской экономической комиссии от 14.05.2024 N 49)

1. Форма сертификата о происхождении товара на английском языке

1. Goods consigned from (Exporter's business name, address, country) Reference N  
GENERALIZED SYSTEM OF PREFERENCES
CERTIFICATE OF ORIGIN
(Combined declaration and certificate)
2. Goods consigned to (Consignee's name, address, country) FORM A
Issued in .............................................................................................................................
  (country)
  See notes overleaf
3. Means of transport and route (as far as known) 4. For official use
   
5. Item number 6. Marks and numbers of packages 7. Number and kind of packages; description of goods 8. Origin criterion (see notes overleaf) 9. Gross weight or other quantity 10. Number and date of invoices
11. Certification 12. Declaration by the exporter
It is hereby certified, on the basis of control carried out, that the declaration by the exporter is correct. The undersigned hereby declares that the above details and statements are correct; that all the goods were
  produced in .............................................................................................................................
  (country)
and that they comply with the origin requirements specified for those goods in the Generalized System of Preferences for goods exported to
.............................................................................................................................
(importing country)
     
Place and date, signature and stamp of certifying authority Place and date, signature of authorized signatory  

2. Форма сертификата о происхождении товара на французском языке

1. (nom, adresse, pays de l'exportateur) N
  DE CERTIFICAT D'ORIGINE
2. Destinataire (nom, adresse, pays) FORMULE A
..................................................................................................
  (pays)
  Voir notes au verso
3. Moyen de transport et (si connus) 4. Pour usage officiel
   
5. N d'ordre 6. Marques et des colis 7. Nombre et type de colis; description des marchandises 8. d'origine
(voir notes
au verso)
9. Poids brut ou 10. N et date de la facture
11. Certificat 12. de l'exportateur
II est , sur la base du , que la de l'exportateur est exacte. Le que les mentions et indications ci-dessus sont exactes, que toutes ces marchandises ont produites en
  .........................................................................................................................................
(nom du pays)
et qu'elles remplissent les conditions d'origine requises par le de pour destination de
.........................................................................................................................................
(nom du pays importateur)
 
........................................................................................................
Lieu et date, signature et timbre de l'autorite le certificat
.................................................................................................................
Lieu et date, signature du signataire

ПРИЛОЖЕНИЕ N 3
к Правилам определения происхождения
товаров из развивающихся и наименее
развитых стран

ТРЕБОВАНИЯ К ЗАПОЛНЕНИЮ СЕРТИФИКАТА О ПРОИСХОЖДЕНИИ ТОВАРА

(в ред. Решения Совета Евразийской экономической комиссии от 14.05.2024 N 49)

1. Сертификат о происхождении товара оформляется по форме согласно приложению N 2 к Правилам определения происхождения товаров из развивающихся и наименее развитых стран, утвержденным Решением Совета Евразийской экономической комиссии от 14 июня 2018 г. N 60 (далее соответственно - сертификат, Правила).

В случае использования оригинала сертификата на бумажном носителе такой сертификат изготавливается на листах бумаги формата A4 (ISO) или Letter (ANSI A) с применением средств, обеспечивающих защиту от фальсификации механическим или химическим способом.

2. Сертификат заполняется на английском или французском языке печатным способом, за исключением отдельных обозначений, указанных в пункте 6 настоящих Требований.

В сертификате допускается:

дублирование указанных на английском или французском языке сведений на других языках;

указание на других языках наименований географических объектов, адресов, организационно-правовой формы организаций, фирменных наименований, имен собственных, а также дополнительных сведений, предусмотренных пунктом 7 настоящих Требований.

3. Примечания по заполнению сертификата могут быть напечатаны типографским способом на оборотной стороне оригинала сертификата на бумажном носителе как на языке, на котором заполняется сертификат, так и на любом другом языке либо могут полностью или частично отсутствовать.

4. В случае использования оригинала сертификата на бумажном носителе исправления и (или) дополнения вносятся в сертификат путем зачеркивания ошибочной информации и надпечатывания или внесения от руки скорректированных сведений, которые заверяются подписью должностного лица и печатью государственного органа или организации страны - пользователя единой системы тарифных преференций Евразийского экономического союза (далее - страна-пользователь), уполномоченных в соответствии с законодательством страны-пользователя на выдачу сертификатов (далее - уполномоченный орган).

Наличие в сертификате подчисток, помарок и незаверенных исправлений и (или) дополнений не допускается.

5. В одном сертификате допускается заявление сведений о нескольких товарах.

В сертификате в обязательном порядке проставляется регистрационный номер, а также заполняются в соответствии с настоящими Требованиями графы 1, 2, 7 - 12.

Оставшееся неиспользованным место в графах 5 - 10 оригинала сертификата на бумажном носителе, а также в дополнительных листах к нему может быть перечеркнуто с целью предотвращения внесения каких-либо дополнительных сведений.

6. В сертификате указываются:

1) в графе, расположенной в правом верхнем углу, - регистрационный номер сертификата и наименование страны-пользователя, в которой сертификат выдан (допускается написание от руки регистрационного номера сертификата);

2) в графе 1 - наименование и адрес экспортера (производителя, продавца или отправителя товара) (далее - экспортер);

3) в графе 2 - наименование и адрес получателя или покупателя;

4) в графе 3 - сведения о маршруте транспортировки товаров и транспортных средствах (насколько это известно).

Допускается, что графа может быть незаполненной;

5) в графе 4 - специальные отметки.

В случае выдачи сертификата после отправки товара в соответствии с пунктом 26 Правил производится запись "issued retrospectively", "issued retroactively" или "".

В случае выдачи дубликата сертификата в соответствии с пунктом 30 Правил такой дубликат должен содержать запись "duplicate" или "duplicata" с указанием регистрационного номера и даты выдачи оригинала сертификата.

В случае аннулирования сертификата или необходимости его переоформления в соответствии с пунктом 31 Правил производится запись "issued instead" или "" с указанием номера и даты выдачи аннулированного (переоформляемого) сертификата.

Допускается, что графа может быть незаполненной;

6) в графе 5 - порядковый номер товара перед каждым товаром (в случае заявления в одном сертификате сведений о нескольких товарах).

Допускается, что графа может быть незаполненной;

7) в графе 6 - данные о количестве грузовых мест и маркировке.

Если в сертификате указываются сведения о нескольких товарах, данные приводятся без интервалов между ними или, в случае использования оригинала сертификата на бумажном носителе, эти интервалы перечеркиваются.

Допускается запись "no marks", "N/М" или "".

Допускается, что графа может быть незаполненной;

8) в графе 7 - коммерческое наименование товара, описание товара, вид обработки товара (например, свежие, сушеные, соленые и др.), модель, марка и другие сведения о товаре, а также количество мест данного товара.

В дополнение к сведениям, указанным в абзаце первом настоящего подпункта, допускается указывать реквизиты счета-фактуры (инвойса), спецификации к контракту или иного товаросопроводительного документа для использования содержащегося в них описания товара в целях его идентификации.

Если в сертификате недостаточно места для описания товаров, используются дополнительные листы, выполненные по форме согласно приложению N 2 к Правилам. Такие дополнительные листы должны быть заверены подписью должностного лица и печатью уполномоченного органа, за исключением случая, указанного в абзаце шестом подпункта 12 настоящего пункта, и иметь тот же регистрационный номер, что и основной лист сертификата.

Если в сертификате указываются сведения о нескольких товарах, описание товаров приводится без интервалов между ними или, в случае использования оригинала сертификата на бумажном носителе, эти интервалы перечеркиваются;

9) в графе 8 - критерий определения происхождения товаров:

"P" - товар полностью получен или произведен;

"Y" - товар подвергнут достаточной переработке (с указанием процентной доли стоимости непроисходящих материалов, использованных при выполнении операций по переработке (например, "Y15%"));

"Pk" - товар произведен в соответствии с пунктами 14 - 16 Правил.

Критерий определения происхождения товаров должен быть обозначен для каждого товара, заявленного в графе 7 сертификата.

Если в сертификате заявлены различные товары, часть из которых или все классифицируются в одной товарной позиции Гармонизированной системы описания и кодирования товаров, определенной Международной конвенцией о гармонизированной системе описания и кодирования товаров от 14 июня 1983 года (на уровне 4 знаков), допускается указание одного буквенного обозначения критерия определения происхождения товаров для всех товаров данной товарной позиции.

Если в сертификате заявлены различные товары, происхождение которых определено на основании одного и того же критерия определения происхождения товаров, допускается указание одного буквенного обозначения критерия определения происхождения товаров для всех товаров;

10) в графе 9 - вес товара (брутто) и (или) иные количественные характеристики товара. Если в сертификате заявлено несколько товаров, данные о весе (брутто) и (или) иные количественные характеристики товара приводятся для каждого товара;

11) в графе 10 - номер и дата счета-фактуры (инвойса) или счета-проформы.

В графе могут быть указаны как один общий счет-фактура (инвойс) или счет-проформа для всех заявленных в сертификате товаров, так и (при необходимости) несколько счетов-фактур (инвойсов) или счетов-проформ для некоторых отдельно поименованных товаров.

В случае если счет-фактура (инвойс) или счет-проформа выставлен (выписан) лицом, зарегистрированным в установленном порядке в стране, не являющейся страной-пользователем, из которой происходят такие товары, в графе производится запись "TCI" или "third country invoicing", а также указываются номер и дата такого счета-фактуры (инвойса) или счета-проформы.

В случае если сведения о номере и дате счета-фактуры (инвойса) или счета-проформы, указанного в абзаце третьем настоящего подпункта, отсутствуют на момент выдачи сертификата, в графе указывается наименование страны и (или) лица, которое выставит (выпишет) такой счет-фактуру (инвойс) или счет-проформу.

В случае если происхождение товаров, заявленных в сертификате, не ставится под сомнение, отсутствие в сертификате записи "TCI" или "third country invoicing", предусмотренной абзацем третьим настоящего пункта, не должно являться основанием для нерассмотрения такого сертификата в качестве документа о происхождении товара;

12) в графе 11 - данные о дате и месте выдачи сертификата, наименование и печать уполномоченного органа, а также подпись должностного лица указанного органа.

В случае содержания в оттиске печати данных о полном наименовании уполномоченного органа или месте выдачи сертификата на английском или французском языке дополнительное указание таких сведений не требуется.

Печать должна иметь четкий оттиск, позволяющий при необходимости осуществить идентификацию на предмет ее подлинности.

Допускается указание даты и места выдачи сертификата способом, отличным от печатного.

Подпись должностного лица рассматривается в качестве дополнительной информации, подтверждающей подлинность сертификата.

В случае использования сертификата, выданного уполномоченным органом в электронном виде без оформления оригинала сертификата на бумажном носителе, допускается отступать от требований о наличии в сертификате и на дополнительных листах к такому сертификату оттиска печати уполномоченного органа и подписи должностного лица этого уполномоченного органа. При этом такой сертификат и дополнительные листы к нему должны содержать графическое изображение печати уполномоченного органа, за исключением случаев использования уполномоченным органом электронной базы данных, применение которой допускается в соответствии с пунктом 57 Правил, позволяющей проверить сведения, указанные в таком сертификате;

13) в графе 12:

в верхней строке - наименование страны-пользователя, из которой происходит товар;

в средней строке - наименование государства - члена Евразийского экономического союза, в которое предполагается поставка товара;

в нижней строке - дата и место внесения сведений экспортером.

Приведенные в сертификате сведения заверяются путем проставления подписи уполномоченного лица экспортера, указанного в графе 1.

Наличие печати экспортера в данной графе не является обязательным требованием.

Допускается указание даты и места внесения сведений экспортером способом, отличным от печатного.

В случае использования сертификата, выданного уполномоченным органом в электронном виде без оформления оригинала сертификата на бумажном носителе, допускается отступать от требования о наличии в сертификате и на дополнительных листах к такому сертификату подписи уполномоченного лица экспортера.

7. Допускается указание в сертификате дополнительных сведений, в том числе сведений, вносимых уполномоченным органом в кодированном виде (QR-код, URL-адрес др.).