Полуфабрикаты мясные и мясосодержащие. Общие технические условия. ГОСТ 32951-2014

(утв. Приказом Росстандарта от 03.10.2014 N 1265-СТ)
Редакция от 03.10.2014 — Действует с 01.01.2016

МЕЖГОСУДАРСТВЕННЫЙ СТАНДАРТ

ПОЛУФАБРИКАТЫ МЯСНЫЕ И МЯСОСОДЕРЖАЩИЕ

ОБЩИЕ ТЕХНИЧЕСКИЕ УСЛОВИЯ

SEMI-PREPARED MEAT AND MEAT-CONTAINED PRODUCT. GENERAL SPECIFICATIONS

ГОСТ 32951-2014

Дата введения
1 января 2016 года

Предисловие

ГОСТ 1.0-92 отменен. Взамен него с 01.07.2016 введен в действие ГОСТ 1.0-2015.

Цели, основные принципы и основной порядок проведения работ по межгосударственной стандартизации установлены ГОСТ 1.0-92 "Межгосударственная система стандартизации. Основные положения" и ГОСТ 1.2-2009 "Межгосударственная система стандартизации. Стандарты межгосударственные, правила и рекомендации по межгосударственной стандартизации. Правила разработки, принятия, применения, обновления и отмены"

Сведения о стандарте

1 РАЗРАБОТАН Государственным научным учреждением Всероссийский научно-исследовательский институт мясной промышленности имени В.М. Горбатова Российской академии сельскохозяйственных наук (ГНУ ВНИИМП им. В.М. Горбатова Россельхозакадемии)

2 ВНЕСЕН Федеральным агентством по техническому регулированию и метрологии

3 ПРИНЯТ Межгосударственным советом по стандартизации, метрологии и сертификации (протокол от 30 сентября 2014 г. N 70-П)

За принятие проголосовали:

Краткое наименование страны по МК (ИСО 3166) 004-97 Код страны по МК (ИСО 3166) 004-97 Сокращенное наименование национального органа по стандартизации
Армения AM Минэкономики Республики Армения
Беларусь BY Госстандарт Республики Беларусь
Киргизия KG Кыргызстандарт
Россия RU Росстандарт
Таджикистан TJ Таджикстандарт

4 Приказом Федерального агентства по техническому регулированию и метрологии от 3 октября 2014 г. N 1265-ст межгосударственный стандарт ГОСТ 32951-2014 введен в действие в качестве национального стандарта Российской Федерации с 1 января 2016 г.

5 ВВЕДЕН ВПЕРВЫЕ

Информация об изменениях к настоящему стандарту публикуется в ежегодном информационном указателе "Национальные стандарты", а текст изменений и поправок - в ежемесячном информационном указателе "Национальные стандарты". В случае пересмотра (замены) или отмены настоящего стандарта соответствующее уведомление будет опубликовано в ежемесячном информационном указателе "Национальные стандарты". Соответствующая информация, уведомление и тексты размещаются также в информационной системе общего пользования - на официальном сайте Федерального агентства по техническому регулированию и метрологии в сети Интернет

1. Область применения

Настоящий стандарт распространяется на мясные и мясосодержащие полуфабрикаты (далее - полуфабрикаты), предназначенные для реализации в торговле и сети общественного питания.

Требования к безопасности полуфабрикатов указаны в 5.2.4, 5.2.5, качеству - в 5.2.1, 5.2.2, маркировке - в 5.4.

2. Нормативные ссылки

В настоящем стандарте использованы нормативные ссылки на следующие межгосударственные стандарты:

ГОСТ 8.579-2002 отменен. Взамен него с 01.07.2020 введен в действие ГОСТ 8.579-2019.

ГОСТ 8.579-2002 Государственная система обеспечения единства измерений. Требования к количеству фасованных товаров в упаковках любого вида при их производстве, расфасовке, продаже и импорте

ГОСТ 4288-76 Изделия кулинарные и полуфабрикаты из рубленого мяса. Правила приемки и методы испытаний

ГОСТ 7269-79 отменен. Взамен него с 01.01.2017 введен в действие ГОСТ 7269-2015.

ГОСТ 7269-79 Мясо. Методы отбора образцов и органолептические методы определения свежести

ГОСТ 9794-74 Продукты мясные. Методы определения содержания общего фосфора

ГОСТ 9957-73 Колбасные изделия и продукты из свинины, баранины и говядины. Методы определения хлористого натрия

ГОСТ 9959-91 Продукты мясные. Общие условия проведения органолептической оценки

ГОСТ 10444.12-2013 Микробиология пищевых продуктов и кормов для животных. Методы выявления и подсчета количества дрожжей и плесневых грибов

ГОСТ 10444.15-94 Продукты пищевые. Методы определения количества мезофильных аэробных и факультативно-анаэробных микроорганизмов

ГОСТ 10574-91 Продукты мясные. Методы определения крахмала

ГОСТ ISO 13493-2014 Мясо и мясные продукты. Метод определения содержания хлорамфеникола (левомицетина) с помощью жидкостной хроматографии

ГОСТ 14192-96 Маркировка грузов

ГОСТ 18321-73 Статистический контроль качества. Методы случайного отбора выборок штучной продукции

ГОСТ 19496-2013 Мясо и мясные продукты. Метод гистологического исследования

ГОСТ 21237-75 Мясо. Методы бактериологического анализа

ГОСТ 23042-86 Мясо и мясные продукты. Методы определения жира

ГОСТ 23392-78 Мясо. Методы химического и микроскопического анализа свежести

ГОСТ 25011-81 Мясо и мясные продукты. Методы определения белка

ГОСТ 26669-85 Продукты пищевые и вкусовые. Подготовка проб для микробиологических анализов

ГОСТ 26670-91 Продукты пищевые. Методы культивирования микроорганизмов

ГОСТ 26927-86 Сырье и продукты пищевые. Методы определения ртути

ГОСТ 26929-94 Сырье и продукты пищевые. Подготовка проб. Минерализация для определения содержания токсичных элементов

ГОСТ 26930-86 Сырье и продукты пищевые. Метод определения мышьяка

ГОСТ 26932-86 Сырье и продукты пищевые. Методы определения свинца

ГОСТ 26933-86 Сырье и продукты пищевые. Методы определения кадмия

ГОСТ 29301-92 (ИСО 5554-78) Продукты мясные. Метод определения крахмала

ГОСТ 30178-96 Сырье и продукты пищевые. Атомно-абсорбционный метод определения токсичных элементов

ГОСТ 30538-97 Продукты пищевые. Методика определения токсичных элементов атомно-эмиссионным методом

ГОСТ 30726-2001 Продукты пищевые. Методы выявления и определения количества бактерий вида Escherichia coli

ГОСТ 31466-2012 Продукты переработки мяса птицы. Методы определения массовой доли кальция, размеров и массовой доли костных включений

ГОСТ 31477-2012 Мясо и мясные продукты. Иммунопреципитационный метод определения массовой доли животного (свиного, говяжьего, бараньего) белка

ГОСТ 31479-2012 Мясо и мясные продукты. Метод гистологической идентификации состава

ГОСТ 31628-2012 Продукты пищевые и продовольственное сырье. Инверсионно-вольтамперометрический метод определения массовой концентрации мышьяка

ГОСТ 31659-2012 Продукты пищевые. Метод выявления бактерий рода Salmonella

ГОСТ 31671-2012 Продукты пищевые. Определение следовых элементов. Подготовка проб методом минерализации при повышенном давлении

ГОСТ 31694-2012 Продукты пищевые, продовольственное сырье. Метод определения остаточного содержания антибиотиков тетрациклиновой группы с помощью высокоэффективной жидкостной хроматографии с масс-спектрометрическим детектором

ГОСТ 31747-2012 Продукты пищевые. Методы выявления и определения количества бактерий группы кишечных палочек (колиформных бактерий)

ГОСТ 31796-2012 Мясо и мясные продукты. Ускоренный гистологический метод определения структурных компонентов состава

ГОСТ 31903-2012 Продукты пищевые. Экспресс-метод определения антибиотиков

ГОСТ 31904-2012 Продукты пищевые. Методы отбора проб для микробиологических испытаний

ГОСТ 32031-2012 Продукты пищевые. Методы выявления и определения бактерий Listeria monocytogenes

ГОСТ 32161-2013 Продукты пищевые. Метод определения цезия Cs-137

ГОСТ 32164-2013 Продукты пищевые. Метод отбора проб для определения стронция Sr-90 и цезия Cs-137

ГОСТ 32308-2013 Мясо и мясные продукты. Определение содержания хлорорганических пестицидов методом газожидкостной хроматографии

Примечание - При пользовании настоящим стандартом целесообразно проверить действие ссылочных стандартов в информационной системе общего пользования - на официальном сайте Федерального агентства по техническому регулированию и метрологии в сети Интернет или по ежегодному информационному указателю "Национальные стандарты", который опубликован по состоянию на 1 января текущего года, и по выпускам ежемесячного информационного указателя "Национальные стандарты" за текущий год. Если ссылочный стандарт заменен (изменен), то при пользовании настоящим стандартом следует руководствоваться заменяющим (измененным) стандартом. Если ссылочный стандарт отменен без замены, то положение, в котором дана ссылка на него, применяется в части, не затрагивающей эту ссылку.

3. Термины и определения

В настоящем стандарте применены термины по [1], а также следующие термины с соответствующими определениями:

3.1 мясной [мясосодержащий] полуфабрикат: Мясной [мясосодержащий] продукт, изготовленный из мяса на кости или бескостного мяса в виде кусков или фарша [из фарша], с добавлением или без добавления [с добавлением] немясных ингредиентов, требующий перед употреблением тепловой обработки до кулинарной готовности с массовой долей мясных ингредиентов более 60,0% [более 5,0% до 60,0% включительно].

Примечание - Мясной [мясосодержащий] полуфабрикат может быть изготовлен с использованием соуса, маринада, декоративной обсыпки, покрытый панировочным ингредиентом или смесью панировочных ингредиентов, или декоративной смесью пряностей, тестом и др.

3.2 мясной полуфабрикат категории А: Мясной рубленый или кусковой полуфабрикат [полуфабрикат в тесте] с массовой долей мышечной ткани в рецептуре [в рецептуре начинки] более 80,0%.

3.3 мясной полуфабрикат категории Б: Мясной рубленый или кусковой полуфабрикат [полуфабрикат в тесте] с массовой долей мышечной ткани в рецептуре [в рецептуре начинки] более 60,0% до 80,0% включительно.

3.4 мясной [мясосодержащий] полуфабрикат категории В: Мясной [мясосодержащий] рубленый или кусковой полуфабрикат [полуфабрикат в тесте] с массовой долей мышечной ткани в рецептуре [в рецептуре начинки] более 40,0% до 60,0% включительно.

3.5 мясной [мясосодержащий] полуфабрикат категории Г: Мясной [мясосодержащий] рубленый или кусковой полуфабрикат [полуфабрикат в тесте] с массовой долей мышечной ткани в рецептуре [в рецептуре начинки] более 20,0% до 40,0% включительно.

3.6 мясной [мясосодержащий] полуфабрикат категории Д: Мясной [мясосодержащий] рубленый или кусковой полуфабрикат [полуфабрикат в тесте] с массовой долей мышечной ткани в рецептуре [в рецептуре начинки] 20,0% и менее.

3.7 группа: Полуфабрикаты, объединенные по массовой доле мясных ингредиентов в рецептуре.

3.8 вид [подвид]: Полуфабрикаты, объединенные по технологии изготовления.

3.9 категория: Полуфабрикаты, объединенные по массовой доле мышечной ткани в рецептуре.

4. Классификация

Полуфабрикаты подразделяют:

а) на группы (примеры определения группы - приложение А): мясные, мясосодержащие;

б) виды: кусковые, рубленые, в тесте;

в) подвиды:

- бескостные, мясокостные (кусковые полуфабрикаты);

- крупнокусковые, порционные, мелкокусковые (кусковые полуфабрикаты);

- фаршированные, нефаршированные;

- формованные, неформованные;

- панированные, непанированные;

- весовые, фасованные;

г) категории (примеры определения категории - приложение А):

А, Б, В, Г, Д - мясные полуфабрикаты;

В, Г, Д - мясосодержащие полуфабрикаты;

д) по термическому состоянию: охлажденные, замороженные.

5. Общие технические требования

5.1 Полуфабрикаты должны соответствовать требованиям настоящего стандарта, [1], [2], а также требованиям нормативной или технической документации на конкретные наименования полуфабрикатов, в соответствии с которым они изготовлены. Полуфабрикаты вырабатывают по технологической инструкции, регламентирующей технологический процесс производства, с соблюдением рецептур, а также требований, установленных нормативными правовыми актами, действующими на территории государства, принявшего стандарт.

5.2 Характеристики

5.2.1 По органолептическим показателям полуфабрикаты должны соответствовать требованиям, указанным в таблицах 1 и 2.

Таблица 1

Наименование показателя Характеристика для кусковых полуфабрикатов
крупнокусковые порционные мелкокусковые
Внешний вид Куски мясной мякоти или мясокостные куски с естественным или установленным соотношением бескостного мяса и кости, различной формы и размера, с использованием соуса/маринада или без.
Поверхность полуфабрикатов в соусе/маринаде покрыта однородной нерасслоившейся массой, с включением рецептурных ингредиентов.
Бескостные/мясокостные крупные куски мяса от определенной части полутуши массой свыше 500 г, зачищенные от сухожилий и грубых поверхностных пленок, с оставлением межмышечной, соединительной и жировой ткани; поверхность ровная, незаветренная, края заравнены, мышечная ткань упругая, без глубоких надрезов (не более 10 мм); в панировке (покрыты панировочным ингредиентом, смесью панировочных ингредиентов или декоративной смесью пряностей) или без Бескостные/мясокостные куски мяса, неправильной округлой или овально-продолговатой формы, массой от 70 г до 1000 г включительно, нарезанные в поперечном направлении к расположению мышечных волокон; с оставлением поверхностной пленки, межмышечной жировой и соединительной ткани; в панировке (покрыты панировочным ингредиентом, смесью панировочных ингредиентов или декоративной смесью пряностей) или без Бескостные/мясокостные куски мяса с массой от 10 до 500 г включительно. Поверхность незаветренная, мышечная ткань упругая, без сухожилий, грубой соединительной ткани и раздробленных косточек
Вид на срезе На срезе фаршированного изделия видно оболочку или покрытие, представляющее собой пласт мясной мякоти, и начинку из смеси рецептурных ингредиентов -
Цвет Свойственный цвету используемого в данном наименовании полуфабриката мясного сырья, с учетом используемых рецептурных компонентов, в том числе пряностей, соусов, маринадов и панировки, предусмотренных рецептурой
Запах, вкус <*> Характерные для доброкачественного мяса или свойственные данному наименованию полуфабриката, с учетом используемых рецептурных компонентов, в том числе пряностей, соусов, маринадов и панировки, предусмотренных рецептурой; без посторонних привкуса и запаха
<*> Вкус полуфабриката оценивают после термической обработки.

Примечания
1 Допускается изготавливать мясокостные полуфабрикаты из свинины с оставлением или частичным оставлением шкурки.
2 Допускается кусковые порционные полуфабрикаты изготавливать, нарезая крупнокусковой полуфабрикат не полностью, оставляя куски частично скрепленными за счет сохранения с одной стороны целостности части куска мяса.

Таблица 2

Наименование показателя Характеристика для полуфабрикатов
рубленые в тесте
формованные панированные фаршированные
Внешний вид Измельченная однородная масса без костей, хрящей, сухожилий, грубой соединительной ткани, кровяных сгустков и пленок, равномерно перемешана, Изделия разнообразной формы и массы в зависимости от наименования полуфабриката, неслипшиеся, недеформированные, края хорошо заделаны, фарш не выступает, поверхность сухая
различной формы и массы в зависимости от наименования полуфабриката без разорванных и ломаных краев равномерно покрыта панировочным ингредиентом, смесью панировочных ингредиентов или декоративной смесью пряностей наполненная или завернутая в немясной ингредиент, либо покрывающая ингредиент или смесь ингредиентов рецептуры
Вид на срезе Фарш хорошо перемешан; масса однородная с включением ингредиентов рецептуры На срезе изделия видно начинку, состоящую из одного ингредиента или смеси ингредиентов, окруженную оболочкой или покрытием, из одного ингредиента (стручок перца, кусок кабачка, капустный лист и т.п.) или смеси ингредиентов (фарш и др.) На срезе изделия видно тестовую оболочку окружающую начинку в виде фарша, или куска (кусочков) мяса, или смеси мясных и немясных ингредиентов различного измельчения
Цвет, запах, вкус <*> Свойственные данному наименованию полуфабриката с учетом используемых рецептурных компонентов, без посторонних привкуса и запаха
<*> Вкус полуфабриката оценивают после тепловой обработки.

5.2.2 По физико-химическим показателям полуфабрикаты должны соответствовать требованиям, указанным в таблице 3.

Таблица 3

Наименование показателя Значение показателя для полуфабрикатов
мясные мясосодержащие
категория
А Б В Г Д В Г Д
Массовая доля белка, %, не менее 16,0 12,0 10,0 8,0 6,0 9,0 7,0 5,0
Массовая доля жира, %, не более 18,0 35,0 50,0 Регламентируется в документе, в соответствии с которым полуфабрикаты изготовлены 35,0 Регламентируется в документе, в соответствии с которым полуфабрикаты изготовлены
Массовая доля крахмала, %, не более 2,0 4,0 5,0 6,0
Массовая доля хлористого натрия, %, не более:
- при использовании хлористого натрия 1,8
- без применения хлористого натрия 0,2
Массовая доля общего фосфора (в пересчете на P2O5), %, не более:
- при использовании пищевых фосфатов 0,8
- без применения пищевых фосфатов 0,5
Массовая доля хлеба, % При использовании хлеба регламентируется в документе, в соответствии с которым полуфабрикаты изготовлены
Массовая доля начинки или покрытия, % Регламентируется в документе, в соответствии с которым они изготовлены
Температура полуфабриката, °C: В соответствии с температурой хранения, установленной изготовителем, в следующих пределах
- для охлажденных полуфабрикатов от минус 1,5 до 6 включ.
- для замороженных не выше минус 8
- для замороженных (фаршированные, в тесте) не выше минус 18
Примечания
1 Для фаршированных полуфабрикатов требования относятся к составной части (начинке или покрытию), содержащей мясные ингредиенты.
2 Для полуфабрикатов в тесте все установленные требования относятся к начинке.
3 Масса порции для порционных полуфабрикатов или потребительской упаковочной единицы для фасованных полуфабрикатов регламентируется в документе, в соответствии с которым они изготовлены.
4 Изготовитель может установить иную температуру хранения полуфабриката, но соответствующую приведенным в таблице значениям температур для охлажденных и замороженных полуфабрикатов.

5.2.3 Пищевую ценность полуфабрикатов конкретных наименований устанавливают в документе, в соответствии с которым они изготовлены.

Массовую долю мышечной ткани устанавливают по рецептуре полуфабриката в документе, в соответствии с которым он изготовлен.

5.2.4 По микробиологическим показателям полуфабрикаты должны соответствовать санитарным правилам, нормам и гигиеническим нормативам, установленным [1], [2] или нормативными правовыми актами, действующими на территории государства, принявшего стандарт.

5.2.5 Содержание токсичных элементов (кадмия, ртути, мышьяка, свинца), антибиотиков, пестицидов, радионуклидов и диоксинов в полуфабрикатах не должно превышать норм, установленных [1], [2] или нормативными правовыми актами, действующими на территории государства, принявшего стандарт.

5.2.6 При использовании хлорида натрия (поваренной соли), пищевых фосфатов и фосфатосодержащих добавок их массовые доли в полуфабрикатах конкретного наименования устанавливают в документе, в соответствии с которым они изготовлены, с учетом требований, указанных в таблице 3.

5.3 Требования к сырью

5.3.1 Сырье животного, растительного и минерального происхождения, используемое для производства полуфабрикатов:

- по показателям безопасности должно соответствовать требованиям, установленным [1], [2] или нормативными правовыми актами, действующими на территории государства, принявшего стандарт.

5.3.2 Питьевая вода по показателям безопасности должна соответствовать требованиям, установленным нормативными правовыми актами, действующими на территории государства, принявшего стандарт.

5.3.3 Пищевые добавки и их смеси должны быть разрешены для применения в производстве мясной продукции и по показателям безопасности должны соответствовать требованиям [3] или установленным нормативными правовыми актами, действующими на территории государства, принявшего стандарт.

Нормы использования пищевых добавок и их смесей в полуфабрикатах устанавливают в документе на полуфабрикаты конкретного наименования, в соответствии с которым они изготовлены.

Не допускается для производства полуфабрикатов использование пищевых добавок (консерванты и фиксаторы (стабилизаторы) окраски) - E249, E250, E251, E252.

5.3.4 Для изготовления полуфабрикатов не допускается применение:

- мясного сырья, замороженного более одного раза;

- мяса быков, хряков, баранов, козлов и тощее;

- свинины (в т.ч. шпика, грудинки) с признаками окислительной порчи жировой ткани (пожелтение, осаливание, прогоркание);

- мяса, заметно изменившего цвет на поверхности.

5.3.5 Для изготовления замороженных кусковых полуфабрикатов не допускается применение размороженного сырья.

5.4 Маркировка

5.4.1 Маркировка должна быть четкой, средства для маркировки не должны влиять на показатели качества полуфабрикатов и должны обеспечивать стойкость маркировки при хранении, транспортировании и реализации, а также должны быть изготовлены из материалов, допущенных для контакта с пищевыми продуктами, и отвечать требованиям [1], [4] или нормативным документам, действующим на территории государства, принявшего стандарт.

5.4.2 Каждая единица упакованной продукции должна иметь маркировку, характеризующую продукцию, и отвечающую требованиям [1], [4] или нормативных документов, действующих на территории государства, принявшего стандарт и содержать следующую информацию:

- наименование полуфабриката с указанием группы, вида, подвида, категории;

- термическое состояние (охлажденный, замороженный);

- состав продукта;

- масса нетто;

- дата изготовления и дата упаковывания;

- срок годности;

- условия хранения;

- надпись: "упаковано под вакуумом" или "упаковано в условиях модифицированной атмосферы" (при их использовании);

- наименование и местонахождение изготовителя [юридический адрес, включая страну, и, при несовпадении с юридическим адресом, адрес(а) производств(а)] и организации в государстве, принявшем стандарт, уполномоченной изготовителем на принятие претензий от потребителей на ее территории (при наличии), государства, принявшего стандарт;

- показатели пищевой ценности;

- сведения о наличии компонентов, полученных с применением ГМО;

- рекомендации по приготовлению;

- единый знак обращения продукции на рынке государств - членов Таможенного союза для государств - членов Таможенного союза.

Способ и место нанесения даты изготовления на каждую единицу продукции выбирает изготовитель.

Пример маркировки продукта: "Фарш мясной "Говяжий" охлажденный, категория А".

Допускается при маркировании дополнительно указывать содержание массовой доли мышечной ткани продукта.

5.4.3 Транспортная маркировка - по [1], [4], ГОСТ 14192 или нормативным правовым документам, действующим на территории государства, принявшего стандарт, с нанесением манипуляционного знака "Скоропортящийся груз" и "Ограничение температуры".

Маркировка продукции, помещенной в транспортную упаковку, должна содержать:

- наименование полуфабриката с указанием: группы, вида, подвида, категории и термического состояния;

- наименование и место нахождения изготовителя [юридический адрес, включая страну, и, при несовпадении с юридическим адресом, адрес(а) производств(а)] и организации в государстве, принявшем стандарт, уполномоченной изготовителем на принятие претензий от потребителей на ее территории (при наличии);

- массу или количество упаковочных единиц в транспортной упаковке;

- дату изготовления и дату упаковывания;

- условия хранения;

- срок годности;

- сведения, позволяющие идентифицировать партию пищевой продукции (например, номер партии).

Допускается в каждую единицу транспортной упаковки дополнительно вкладывать лист-вкладыш с аналогичной маркировкой.

5.4.4 В случае размещения в транспортной упаковке пищевой продукции без потребительской упаковки, предназначенной изготовителем для дальнейшей фасовки, ее маркировка должна соответствовать требованиям, предусмотренным в 5.4.2.

5.4.5 В маркировке упакованной пищевой продукции и продукции, помещенной в транспортную упаковку могут быть указаны дополнительные сведения, предусмотренные нормативными документами, действующими на территории государства, принявшего стандарт.

5.5 Упаковка

5.5.1 Полуфабрикаты, предназначенные для реализации, выпускают в потребительской упаковке.

Допускается групповая упаковка, состоящая из неупакованных полуфабрикатов, предназначенных для дальнейшей фасовки в торговой сети или реализации в сети общественного питания.

5.5.2 Упаковочные и скрепляющие материалы, контактирующие с полуфабрикатами, должны быть разрешены для контакта с пищевой продукцией, соответствовать требованиям [5] и установленным нормативными правовыми актами государства, на территории которого они находятся в обращении, а также должны обеспечивать сохранность и товарный вид полуфабрикатов при транспортировании и хранении в течение всего срока годности.

5.5.3 Транспортная упаковка должна быть чистой, сухой, без плесени и постороннего запаха.

5.5.4 Многооборотная упаковка, бывшая в употреблении, должна быть обработана дезинфицирующими средствами в соответствии с ветеринарно-санитарными правилами, утвержденными в установленном порядке.

5.5.5 В каждую единицу транспортной упаковки (ящик, контейнер или тару-оборудование) укладывают полуфабрикаты одного наименования, одной даты выработки, одного термического состояния, одного вида упаковки и одного срока годности.

Упаковку полуфабрикатов разных наименований в единицу транспортной упаковки проводят по согласованию с заказчиком (потребителем).

5.5.6 Масса нетто полуфабрикатов в одной потребительской упаковочной единице должна соответствовать номинальной, указанной в маркировке полуфабрикатов в потребительской упаковке, с учетом допустимых отклонений.

5.5.7 Масса брутто продукции в многооборотных ящиках не более 30 кг; масса нетто в ящиках из гофрированного картона не более 20 кг; в контейнерах и таре-оборудовании - не более 250 кг.

5.5.8 Отрицательные отклонения массы нетто одной упаковочной единицы от номинальной массы должны соответствовать требованиям ГОСТ 8.579.

6. Правила приемки

6.1 Полуфабрикаты принимают партиями. Партией считают определенное количество полуфабриката одного наименования, одинаково упакованное, произведенное одним изготовителем в течение одной смены по настоящему стандарту и (или) иным документам изготовителя, сопровождаемое товаросопроводительной документацией, обеспечивающей прослеживаемость продукции.

6.2 Для контроля качества и приемки полуфабрикатов устанавливают следующие категории испытаний:

- приемо-сдаточные;

- периодические.

6.3 Приемо-сдаточные испытания проводят для каждой партии полуфабрикатов по органолептическим показателям (внешнему виду, запаху, цвету и вкусу), по определению массы нетто одной упаковочной единицы, по определению температуры, массовой доли мясной начинки (покрытия), правильности упаковывания.

Отбор упаковочных единиц в выборку осуществляют в соответствии с ГОСТ 18321.

Периодически в соответствии с программой производственного контроля или по требованию потребителя, или контролирующей организации изготовитель подтверждает соответствие массовой доли мышечной ткани (категории), заявленному в маркировке на основании рецептурных журналов и результатов контроля качества используемого жилованного мяса. Порядок и периодичность контроля качества используемого жилованного мяса устанавливает изготовитель в соответствии с программой производственного контроля.

6.4 При отрицательных результатах приемо-сдаточных испытаний хотя бы по одному показателю качества партию полуфабрикатов бракуют, если число упаковочных единиц с несоответствиями больше или равно браковочному числу (см. таблицу 4).

Таблица 4

В штуках

Объем партии <*> Объем выборки <*> Приемочное число <**> Браковочное число <**>
Не более 10 контроль каждой единицы упаковки 0 1
От 11 до 25 5 0 1
" 26 " 50 8 2 3
" 51 " 150 19 3 4
" 151 " 500 40 5 6
" 501 " 1500 50 7 8
" 1501 " 10000 90 11 12
Свыше 10000 110 16 17
<*> Число потребительских упаковочных единиц.
<**> Число потребительских упаковочных единиц, не соответствующих требованиям настоящего стандарта по маркировке и упаковке, а также по органолептическим показателям - требованиям документу, в соответствии с которым полуфабрикаты изготовлены.

6.5 Качество продукции в нечетко маркированной или дефектной упаковке проверяют отдельно, и результаты распространяют только на продукцию в этой упаковке.

6.6 Результаты приемо-сдаточных испытаний оформляют протоколом испытаний по форме, принятой у изготовителя, или записывают в журнал.

6.7 Для проведения периодических испытаний от упаковочных единиц, отобранных в выборку по таблице 4, берут:

- при массе упаковочной единицы до 150 г включительно - не менее 10 упаковочных единиц;

- при массе упаковочной единицы от 151 г до 500 г включительно - не менее трех упаковочных единиц;

- при массе упаковочной единицы более 500 г - не менее двух упаковочных единиц.

6.8 Основанием для принятия партии полуфабрикатов являются положительные результаты приемо-сдаточных испытаний (число упаковочных единиц с несоответствиями меньше или равно приемочному числу по таблице 4) и предшествующих им периодических испытаний, проведенных в соответствии с программой производственного контроля.

6.9 Органолептические показатели (см. 5.2.1) определяют в каждой партии до и после их термической обработки.

6.10 Порядок и периодичность контроля физико-химических показателей (см. 5.2.2) устанавливает изготовитель.

Температуру полуфабрикатов определяют в каждой партии.

6.11 Порядок и периодичность контроля микробиологических показателей, содержания токсичных элементов (ртути, свинца, мышьяка, кадмия), антибиотиков, пестицидов и радионуклидов устанавливает изготовитель продукции в программе производственного контроля.

Контроль за содержанием диоксинов в пищевых продуктах проводят в случаях ухудшения экологической ситуации, связанной с авариями, техногенными и природными катастрофами, приводящими к образованию и попаданию диоксинов в окружающую среду; в случае обоснованного предположения о возможности их наличия в продовольственном сырье.

6.12 Контроль продукта на наличие генетически модифицированных организмов (ГМО) осуществляется по требованию контролирующей организации или потребителя.

6.13 В случаях разногласий по составу используемого сырья проводят гистологическую идентификацию полуфабриката.

7. Методы контроля

7.1 Отбор и подготовка проб к испытаниям - по ГОСТ 4288, ГОСТ 26669, ГОСТ 26670, ГОСТ 26929, ГОСТ 31671, ГОСТ 31904, ГОСТ 32164.

7.2 Определение органолептических показателей - по ГОСТ 4288, ГОСТ 9959.

7.3 В случае сомнения в свежести мясного сырья и готового полуфабриката проводят проверку их качества по ГОСТ 7269, ГОСТ 19496, ГОСТ 21237, ГОСТ 23392.

7.4 Определение физико-химических показателей (см. 5.2.2):

- массовой доли белка - по ГОСТ 25011, ГОСТ 31477;

- массовой доли жира - ГОСТ 23042;

- массовой доли крахмала - по ГОСТ 10574, ГОСТ 29301;

- массовой доли хлористого натрия (поваренной соли) - по 9957;

- массовой доли общего фосфора (P2O5) - по ГОСТ 9794;

- массовой доли хлеба - по ГОСТ 4288.

7.5 Определение микробиологических показателей - по ГОСТ 10444.12, ГОСТ 10444.15, ГОСТ 21237, ГОСТ 30726, ГОСТ 31659, ГОСТ 31747, ГОСТ 32031.

7.6 Определение содержания токсичных элементов:

- ртути - по ГОСТ 26927;

- мышьяка - по ГОСТ 26930, ГОСТ 30538, ГОСТ 31628;

- свинца - по ГОСТ 26932, ГОСТ 30178, ГОСТ 30538;

- кадмия - по ГОСТ 26933, ГОСТ 30178, ГОСТ 30538.

7.7 Определение пестицидов - по ГОСТ 32308 и нормативному документу, действующему на территории государства, принявшего стандарт.

7.8 Определение антибиотиков - по ГОСТ ISO 13493, ГОСТ 31694, ГОСТ 31903 и по нормативному документу, действующему на территории государства, принявшего стандарт.

7.9 Определение радионуклидов - по ГОСТ 32161 и нормативному документу, действующему на территории государства, принявшего стандарт.

7.10 Определение диоксинов - по нормативному документу, действующему на территории государства, принявшего стандарт.

7.11 Идентификация сырьевого состава - по ГОСТ 19496, ГОСТ 31479, ГОСТ 31796.

7.12 Определение температуры полуфабриката

7.12.1 Средства измерений и вспомогательное оборудование

Термометр цифровой с диапазоном измерения от минус 30°C до 120°C, с ценой деления 0,1°C или другие приборы, обеспечивающие измерение температуры в заданном диапазоне.

7.12.2 Выполнение измерений

Для измерения температуры от каждой партии полуфабрикатов осуществляют выборку потребительских упаковочных единиц в соответствии с таблицей 4. В случае, если потребительская упаковочная единица содержит один продукт (например, крупнокусковой полуфабрикат), то измерение температуры проводят в любой точке полуфабриката из каждой выбранной упаковки. Если в потребительской упаковочной единице содержится несколько единиц продукции (мелкокусковые, рубленые полуфабрикаты и т.д.), то измерение проводят в одном изделии из каждой выбранной упаковки.

7.12.3 Обработка результатов измерений

За окончательный результат принимают среднеарифметическое значение температуры, полученное в результате измерения всех отобранных полуфабрикатов.

7.13 Определение массовой доли составной части (начинки или покрытия) фаршированного полуфабриката

7.13.1 Средства измерений и вспомогательное оборудование

Весы лабораторные с пределом допускаемой абсолютной погрешности однократного взвешивания не более +/- 0,01 г.

Нож хозяйственный или специальный по нормативному документу <*>, действующему на территории государства, принявшего стандарт.

<*> На территории Российской Федерации действует ГОСТ Р 51015-97 "Ножи хозяйственные и специальные. Общие технические условия".

7.13.2 Отбор проб

От каждой партии полуфабрикатов отбирают 10 полуфабрикатов.

7.13.3 Выполнение измерений

Для определения массовой доли начинки или покрытия каждый отобранный полуфабрикат взвешивают.

При помощи ножа или вручную отделяют начинку или покрытие каждого полуфабриката и взвешивают на лабораторных весах.

Результат взвешивания записывают до десятичного знака в граммах.

7.13.4 Обработка результатов измерений

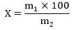
Массовую долю начинки или покрытия X, в процентах к массе полуфабриката, вычисляют по формуле

, (1)

где - масса начинки или покрытия, г;

- масса полуфабриката, г.

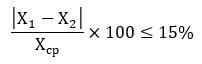
За окончательный результат измерений, выполненных в одной лаборатории в условиях повторяемости, принимают среднеарифметическое значение 10 измерений массовой доли начинки или покрытия полуфабриката, если при P = 0,95 выполняется условие:

, (2)

где - максимальный результат из 10 измерений, %;

- минимальный результат из 10 измерений, %;

- среднеарифметическое значение 10 измерений, %.

Абсолютное значение разности между результатами измерений, полученными в двух лабораториях в условиях воспроизводимости при P = 0,95, не должно превышать:

, (3)

где - результат измерения в одной лаборатории, %;

- результат измерения в другой лаборатории, %

- среднеарифметическое значение результатов измерений в двух разных лабораториях, %.

Относительная погрешность определения массовой доли начинки или покрытия фаршированного полуфабриката +/- 10%.

7.14 Определение ГМО - по нормативному документу, действующему на территории государства, принявшего стандарт.

7.15 Определение группы полуфабриката - по нормативным документам, действующим на территории государства, принявшего стандарт.

7.16 Определение массовой доли мышечной ткани в рецептуре полуфабриката (начинке полуфабриката)

Сначала массовую долю мышечной ткани определяют в каждом мясном ингредиенте, используемом в рецептуре полуфабриката. Для этого применяют метод разжиловки или препарирования.

Из неизмельченного жилованного мяса непосредственно после жиловки отбирают пробу массой не менее 5 кг. С помощью жиловочного ножа отделяют соединительную и жировую ткани от мышечной и взвешивают. Массовую долю мышечной ткани в жилованном мясе (в долях единицы) определяют по формуле

, (4)

где - содержание мышечной ткани, доли ед.;

- масса мышечной ткани в пробе, кг;

- масса отобранной пробы, кг.

За результат определения массовой доли мышечной ткани в мясном ингредиенте (жилованном мясе) принимают среднеарифметическое значение от не менее, чем трех повторностей определения от разных смен работы предприятия.

При использовании для изготовления полуфабрикатов замороженных блоков из жилованного мяса и необходимости дополнительного контроля информации, указанной поставщиком, методом случайной выборки от партии отбирают один блок. Блок размораживают. Размороженное мясо взвешивают. Затем с помощью жиловочного ножа отделяют соединительную и жировую ткань от мышечной ткани. Полученную мышечную ткань взвешивают.

Массовую долю мышечной ткани определяют по формуле (4).

В случае получения результата, не соответствующего информации, указанной поставщиком, дополнительно анализируют еще два блока и за окончательный результат принимают среднеарифметическое значение определений массовой доли мышечной ткани в каждом из отобранных блоков <*>.

<*> Исследуемых блоков должно быть не менее трех.

При использовании в качестве рецептурного ингредиента мяса механической обвалки (дообвалки) за массовую долю мышечной ткани в нем принимают результат вычисления по формуле

, (5)

где - массовая доля жира в мясе механической обвалки, %;

- массовая доля влаги в мясе механической обвалки, %;

- массовая доля костных включений в мясе механической обвалки, %;

- массовая доля оксипролина в мясе механической обвалки, %.

Массовую долю костных включений определяют по ГОСТ 31466.

Массовую долю оксипролина определяют по нормативному документу <**>, действующему на территории государства, принявшего стандарт.

<**> На территории Российской Федерации действует ГОСТ Р 50207-92 "Мясо и мясные продукты. Метод определения L(-)-оксипролина".

Массовую долю мышечной ткани в рецептуре полуфабриката () в процентах вычисляют по формуле

, (6)

где - содержание (масса) i-го мясного ингредиента в рецептуре, кг;

- содержание мышечной ткани в i-ом мясном ингредиенте, доли ед.;

- масса рецептурной смеси, кг.

8. Транспортирование и хранение

8.1 Полуфабрикаты на предприятии-изготовителе хранят в камерах при температуре воздуха:

- охлажденные - от минус 1,5°C до 6°C включительно;

- замороженные - не выше минус 8°C;

- замороженные (фаршированные, в тесте) - не выше минус 18°C.

8.2 Полуфабрикаты выпускают в реализацию, транспортируют и хранят с температурой в любой точке измерения, соответствующей температуре хранения, установленной изготовителем, но не превышающей:

- для охлажденных - плюс 6°C;

- для замороженных - минус 8°C;

- для замороженных (фаршированные, в тесте) - минус 18°C.

8.3 Полуфабрикаты транспортируют в условиях, обеспечивающих их безопасность и сохранность качества, в крытых транспортных средствах в соответствии с правилами перевозок скоропортящихся грузов, действующими на транспорте соответствующего вида.

8.4 Реализацию полуфабрикатов осуществляют в условиях, установленных изготовителем и обеспечивающих безопасность и сохранность качества продукции. При реализации температура полуфабрикатов в любой точке измерения не должна превышать температуру хранения, установленную изготовителем.

8.5 Сроки годности и условия хранения полуфабрикатов, гарантирующие сохранность, качество и безопасность продукции, устанавливает изготовитель.

Приложение А
(справочное)

ПРИМЕРЫ ОПРЕДЕЛЕНИЯ ГРУППЫ И КАТЕГОРИИ ПОЛУФАБРИКАТОВ

А.1 Примеры определения группы и массовой доли мышечной ткани в рецептуре мясного полуфабриката

А.1.1 Бескостный порционный полуфабрикат из говядины "Антрекот экстра" вырабатывают по рецептуре, указанной в таблице А.1.1.

Таблица А.1.1

Наименование ингредиента Масса по рецептуре, кг на 100 кг Сырьевая принадлежность ингредиента Содержание мышечной ткани в ингредиенте, доли ед., не менее
Длиннейшая мышца спины с содержанием соединительной и жировой ткани не более 3% 100,0 Мясной 0,97

а) Определение группы полуфабриката

Масса мясных ингредиентов = 100 кг.

Масса немясных ингредиентов = 0 кг.

Так как содержание мясных ингредиентов в рецептуре полуфабриката составляет более 60%, то его относят к группе "Мясные полуфабрикаты".

б) Определение массовой доли мышечной ткани

Масса мышечной ткани = 100·0,97 = 97,0 кг.

Массовая доля мышечной ткани в рецептуре = 100·97/100 = 97,0%.

Так как массовая доля мышечной ткани в рецептуре полуфабриката превышает 80%, то его относят к категории А.

А.1.2 Определение группы и категории рубленого полуфабриката "Фарш домашний", вырабатываемого по рецептуре, указанной в таблице А.1.2.

Таблица А.1.2

Наименование ингредиента Масса по рецептуре, кг на 100 кг Сырьевая принадлежность ингредиента Содержание мышечной ткани в ингредиенте, доли ед., не менее
Мясо котлетное говяжье с содержанием соединительной и жировой ткани не более 20% 50,0 Мясной 0,80
Свинина жилованная полужирная с содержанием жировой ткани не более 50% 50,0 Мясной 0,50

а) Определение группы полуфабриката

Масса мясных ингредиентов = 50 + 50 = 100 кг.

Масса немясных ингредиентов = 0 кг.

Так как содержание мясных ингредиентов в рецептуре полуфабриката составляет более 60%, то его относят к группе "Мясные полуфабрикаты".

б) Определение массовой доли мышечной ткани

Масса мышечной ткани = 50·0,8 + 50·0,5 = 65 кг в массе рецептуры 100 кг.

Массовая доля мышечной ткани в рецептуре = 100·65/(100 + 0) = 65,0%.

Так как массовая доля мышечной ткани в рецептуре полуфабриката находится в пределах от 60% до 80%, то его относят к категории Б.

А.1.3 Определение группы и массовой доли мышечной ткани бескостного крупнокускового полуфабриката из свинины "Бекон для запекания", вырабатываемого по рецептуре, указанной в таблице А.1.3.

Таблица А.1.3

Наименование ингредиента Масса по рецептуре, кг на 100 кг Сырьевая принадлежность ингредиента Содержание мышечной ткани в ингредиенте, доли ед., не менее
Мясо от грудобрюшной части свинины с содержанием жировой ткани не более 60% 97,0 Мясной 0,40
Соль поваренная 1,4 Немясной 0,00
Перец черный молотый 0,1 Немясной 0,00
Вкусоароматическая добавка 1,5 Немясной 0,00

а) Определение группы полуфабриката

Масса мясных ингредиентов = 97 кг.

Масса немясных ингредиентов = 1,4 + 0,1 + 1,5 = 3,0 кг.

Так как содержание мясных ингредиентов в рецептуре полуфабриката составляет 100·97/(97 + 3) = 97%, т.е. более 60%, то его относят к группе "Мясные полуфабрикаты".

б) Определение массовой доли мышечной ткани

Масса мышечной ткани = 97·0,40 = 38,8 кг в массе рецептуры 100 кг.

Массовая доля мышечной ткани в рецептуре = 100·38,8/(97 + 3) = 38,8% (39%).

Так как массовая доля мышечной ткани в рецептуре полуфабриката находится в пределах от 20% до 40%, то его относят к категории Г.

А.1.4 Определение группы и массовой доли мышечной ткани полуфабриката в тесте "Пельмени иркутские", вырабатываемого по рецептуре, указанной в таблице А.1.4.

Таблица А.1.4

Наименование ингредиента Масса по рецептуре, кг на 100 кг Сырьевая принадлежность ингредиента Содержание мышечной ткани в ингредиенте, доли ед., не менее
Говядина первого сорта 41,3 Мясной 0,94
Свинина полужирная 41,3 Мясной 0,50
Жир-сырец говяжий 6,3 Мясной 0
Лук репчатый свежий измельченный 11,1 Немясной 0
Соль поваренная пищевая 1,6 Немясной 0
Чеснок свежий 0,2 Немясной 0
Пряности 0,3 Немясной 0
Вода питьевая 18,0 Немясной 0
Итого 120,1

а) Определение группы полуфабриката

Масса мясных ингредиентов = 41,4 + 41,3 + 6,3 = 88,9 кг.

Массовая доля мясных ингредиентов в начинке составляет:

100·88,9/120,1 = 74,0%.

Начинку полуфабриката относят к группе "мясная".

б) Определение массовой доли мышечной ткани

Массовая доля мышечной ткани в начинке составляет:

100(41,3·0,94 + 41,3·0,50)/120,1 = 49,5%.

Так как массовая доля мышечной ткани в начинке полуфабриката находится в пределах от 40% до 60%, то ее относят к категории В.

А.2 Примеры определения массовой доли мышечной ткани мясосодержащего полуфабриката

А.2.1 Определение группы и массовой доли мышечной ткани рубленого полуфабриката "Котлеты деревенские", вырабатываемого по рецептуре, указанной в таблице А.2.1

Таблица А.2.1

Наименование ингредиента Масса по рецептуре, кг на 100 кг Сырьевая принадлежность ингредиента Содержание мышечной ткани в ингредиенте, доли ед., не менее
Мясо котлетное говяжье с содержанием соединительной и жировой ткани не более 20% 54,0 Мясной 0,80
Жир-сырец говяжий 5,0 Мясной 0,00
Хлеб пшеничный 13,0 Немясной 0,00
Сухари панировочные 2,0 Немясной 0,00
Лук репчатый свежий 3,0 Немясной 0,00
Перец черный молотый 0,1 Немясной 0,00
Соль поваренная 1,2 Немясной 0,00
Вода питьевая 21,7 Немясной 0,00

а) Определение группы полуфабриката

Масса мясных ингредиентов = 54,0 + 5,0 = 59,0 кг.

Масса немясных ингредиентов = 13,0 + 2,0 + 3,0 + 0,1 + 1,2 + 21,7 = 41,0 кг.

Так как содержание мясных ингредиентов в рецептуре полуфабриката составляет 100·59/(59 + 41) = 59%, т.е. менее 60%, то его относят к группе "Мясосодержащие полуфабрикаты".

б) Определение массовой доли мышечной ткани

Масса мышечной ткани = 54,0·0,80 = 43,2 кг.

Массовая доля мышечной ткани в рецептуре = 100·43,2/(59,0 + 41,0) = 43,2%.

Так как массовая доля мышечной ткани в рецептуре полуфабриката находится в пределах от 40% до 60%, то его относят к категории В.

А.2.2 Определение группы и массовой доли рубленого полуфабриката "Голубцы сельские", вырабатываемого по рецептуре, указанной в таблице А.2.2.

Таблица А.2.2

Наименование ингредиента Масса по рецептуре, кг на 100 кг Сырьевая принадлежность ингредиента Содержание мышечной ткани в ингредиенте, доли ед., не менее
Пашина свиная с содержанием жировой ткани не более 20% 30,0 Мясной 0,60
Шпик боковой свиной 8,0 Мясной 0,00
Капуста белокочанная 35,0 Немясной 0,00
Рис бланшированный 9,0 Немясной 0,00
Лук репчатый свежий 6,0 Немясной 0,00
Перец черный молотый 0,1 Немясной 0,00
Соль поваренная 1,2 Немясной 0,00
Вода питьевая 10,7 Немясной 0,00

а) Определение группы полуфабриката

Масса мясных ингредиентов = 30,0 + 8,0 = 38,0 кг.

Масса немясных ингредиентов = 35,0 + 9,0 + 6,0 + 0,1 + 1,2 + 10,7 = 62,0 кг.

Так как содержание мясных ингредиентов в рецептуре полуфабриката составляет 100·38,0/(38,0 + 62,0) = 38%, т.е. менее 60%, то его относят к группе "Мясосодержащие полуфабрикаты".

б) Определение массовой доли мышечной ткани

Масса мышечной ткани = 30,0·0,60 = 18,0 кг.

Массовая доля мышечной ткани в рецептуре = 100·18,0/(38,0 + 62,0) = 18,0%.

Так как массовая доля мышечной ткани в рецептуре полуфабриката менее 20%, то его относят к категории Д.

БИБЛИОГРАФИЯ

[1] ТР ТС 034/2013 "О безопасности мяса и мясной продукции"
[2] ТР ТС 021/2011 "О безопасности пищевой продукции"
[3] ТР ТС 029/2012 "Требования безопасности пищевых добавок, ароматизаторов и технологических вспомогательных средств"
[4] ТР ТС 022/2011 "Пищевая продукция в части ее маркировки"
[5] ТР ТС 005/2011 "О безопасности упаковки"