Постановление Правительства РФ от 26.06.2015 N 640

"О порядке формирования государственного задания на оказание государственных услуг (выполнение работ) в отношении федеральных государственных учреждений и финансового обеспечения выполнения государственного задания"
Редакция от 23.08.2024 — Не действует Перейти в действующую
Показать изменения

ПРАВИТЕЛЬСТВО РОССИЙСКОЙ ФЕДЕРАЦИИ

ПОСТАНОВЛЕНИЕ
от 26 июня 2015 г. N 640

О ПОРЯДКЕ ФОРМИРОВАНИЯ ГОСУДАРСТВЕННОГО ЗАДАНИЯ НА ОКАЗАНИЕ ГОСУДАРСТВЕННЫХ УСЛУГ (ВЫПОЛНЕНИЕ РАБОТ) В ОТНОШЕНИИ ФЕДЕРАЛЬНЫХ ГОСУДАРСТВЕННЫХ УЧРЕЖДЕНИЙ И ФИНАНСОВОГО ОБЕСПЕЧЕНИЯ ВЫПОЛНЕНИЯ ГОСУДАРСТВЕННОГО ЗАДАНИЯ

(в ред. Постановлений Правительства РФ от 25.05.2016 N 464, от 06.10.2016 N 1006, от 04.11.2016 N 1136, от 13.09.2017 N 1101, от 09.12.2017 N 1502, от 19.07.2018 N 849, от 29.11.2018 N 1439, от 09.07.2019 N 873, от 31.12.2019 N 1944, от 17.02.2020 N 161, от 16.07.2020 N 1052, от 19.11.2020 N 1890, от 28.12.2020 N 2313, от 27.05.2021 N 806, от 05.08.2022 N 1388, от 18.01.2023 N 38, от 16.05.2023 N 764, от 23.08.2024 N 1136)

В соответствии с пунктами 3 и 4 статьи 69.2 Бюджетного кодекса Российской Федерации, подпунктом 1 пункта 7 статьи 9.2 Федерального закона "О некоммерческих организациях" и частью 5 статьи 4 Федерального закона "Об автономных учреждениях" Правительство Российской Федерации постановляет:

1. Утвердить прилагаемое Положение о формировании государственного задания на оказание государственных услуг (выполнение работ) в отношении федеральных государственных учреждений и финансовом обеспечении выполнения государственного задания (далее соответственно-государственное задание, Положение).

2. Признать утратившими силу:

постановление Правительства Российской Федерации от 2 сентября 2010 г. N 671 "О порядке формирования государственного задания в отношении федеральных государственных учреждений и финансового обеспечения выполнения государственного задания" (Собрание законодательства Российской Федерации, 2010, N 37, ст. 4686);

постановление Правительства Российской Федерации от 19 августа 2011 г. N 700 "О внесении изменений в Положение о формировании государственного задания в отношении федеральных бюджетных и казенных учреждений и финансовом обеспечении выполнения государственного задания" (Собрание законодательства Российской Федерации, 2011, 35, ст. 5087);

постановление Правительства Российской Федерации от 29 октября 2012 г. N 1110 "О внесении изменений в Положение о формировании государственного задания в отношении федеральных бюджетных и казенных учреждений и финансовом обеспечении выполнения государственного задания" (Собрание законодательства Российской Федерации, 2012, N 45, ст. 6248);

пункт 2 изменений, которые вносятся в акты Правительства Российской Федерации, утвержденных постановлением Правительства Российской Федерации от 3 июня 2013 г. N 467 "О мерах по осуществлению перехода к нормативно-подушевому финансированию имеющих государственную аккредитацию образовательных программ высшего профессионального образования" (Собрание законодательства Российской Федерации, 2013, N 23, ст. 2924);

пункт 3 изменений, которые вносятся в акты Правительства Российской Федерации, утвержденных постановлением Правительства Российской Федерации от 4 июня 2014 г. N 511 "О внесении изменений в некоторые акты Правительства Российской Федерации" (Собрание законодательства Российской Федерации, 2014, N 23, ст. 2997);

пункт 1 изменений, которые вносятся в акты Правительства Российской Федерации, утвержденных постановлением Правительства Российской Федерации от 11 октября 2014 г. N 1042 "О внесении изменений и признании утратившими силу некоторых актов Правительства Российской Федерации" (Собрание законодательства Российской Федерации, 2014, N 42, ст. 5750);

пункт 25 изменений, которые вносятся в акты Правительства Российской Федерации, утвержденных постановлением Правительства Российской Федерации от 15 октября 2014 г. N 1054 "О внесении изменений в некоторые акты Правительства Российской Федерации" (Собрание законодательства Российской Федерации, 2014, N 43, ст. 5892).

3. Настоящее постановление вступает в силу с 1 января 2016 г.

4. Действие пункта 11 (за исключением нормативных затрат, связанных с выполнением работ в рамках государственного задания), пункта 12 (за исключением абзаца второго в части нормативных затрат, связанных с выполнением работ в рамках государственного задания, и абзаца шестого), пунктов 13 - 19, пункта 20 (за исключением подпункта "г"), пунктов 21 - 27, 33 - 38 Положения и приложения N 1 к Положению распространяется на правоотношения, возникшие при формировании государственного задания и расчете объема финансового обеспечения выполнения государственного задания начиная с государственного задания на 2016 год и на плановый период 2017 и 2018 годов. (в ред. Постановления Правительства РФ от 06.10.2016 N 1006)

5. Пункт 11, абзацы второй и шестой пункта 12 Положения в части нормативных затрат, связанных с выполнением работ в рамках государственного задания, и пункты 28 - 32 Положения применяются при расчете объема финансового обеспечения выполнения государственного задания, начиная с государственного задания на 2017 год и на плановый период 2018 и 2019 годов.

6. Пункт утратил силу. (в ред. Постановления Правительства РФ от 09.07.2019 N 873)

7. Подпункт "г" пункта 20 и подпункт "ж" пункта 29 Положения применяются при расчете объема финансового обеспечения выполнения государственного задания на 2017 год и на плановый период 2018 и 2019 годов, если федеральным органом исполнительной власти, осуществляющим функции по выработке государственной политики и нормативно-правовому регулированию в установленной сфере деятельности (федеральным органом исполнительной власти, осуществляющим функции и полномочия учредителя федеральных бюджетных или автономных учреждений), не принято решение о включении затрат на формирование резерва на полное восстановление состава объектов особо ценного движимого имущества в базовый норматив затрат на оказание государственной услуги (нормативные затраты на выполнение работы) при расчете объема финансового обеспечения выполнения государственного задания начиная с государственного задания на 2018 год и на плановый период 2019 и 2020 годов. (в ред. Постановления Правительства РФ от 06.10.2016 N 1006)

8. До принятия нормативных правовых актов, предусмотренных пунктами 18 и 31 Положения, но не позднее срока формирования государственного задания на 2019 год и на плановый период 2020 и 2021 годов, нормы затрат, выраженные в натуральных показателях, определяются с указанием наименования нормы, ее значения и источника указанного значения в порядке, установленном (в части государственных услуг) федеральным органом исполнительной власти, осуществляющим функции по выработке государственной политики и нормативно-правовому регулированию в соответствующей сфере, при определении общих требований, предусмотренных абзацем вторым пункта 4 статьи 69.2 Бюджетного кодекса Российской Федерации. (в ред. Постановления Правительства РФ от 13.09.2017 N 1101)

9. Пункт утратил силу. (в ред. Постановления Правительства РФ от 16.05.2023 N 764)

10. При формировании государственного задания в период до начала срока формирования государственного задания на 2019 год и на плановый период 2020 и 2021 годов по решению федерального органа исполнительной власти, осуществляющего функции по выработке государственной политики и нормативно-правовому регулированию в установленной сфере деятельности, значение базового норматива затрат на оказание государственной услуги и значение отраслевого корректирующего коэффициента к базовому нормативу затрат на оказание государственной услуги определяются федеральным органом исполнительной власти (государственным органом), осуществляющим функции и полномочия учредителя федерального бюджетного или автономного учреждения, а для федеральных бюджетных и автономных учреждений, функции и полномочия учредителя в отношении которых осуществляет Правительство Российской Федерации, значение базового норматива затрат на оказание государственной услуги и значение отраслевого корректирующего коэффициента к базовому нормативу затрат на оказание государственной услуги определяются федеральным органом исполнительной власти, осуществляющим функции по выработке государственной политики и нормативно-правовому регулированию в установленной сфере деятельности, соответствующей основным видам деятельности таких учреждений. (в ред. Постановлений Правительства РФ от 06.10.2016 N 1006, от 13.09.2017 N 1101)

11. Положения абзаца первого пункта 44 Положения в части, касающейся типовой формы соглашения, применяются при предоставлении субсидии на финансовое обеспечение выполнения государственного задания начиная с государственного задания на 2017 год и на плановый период 2018 и 2019 годов. (в ред. Постановления Правительства РФ от 06.10.2016 N 1006)

12. Формирование и финансовое обеспечение выполнения федеральными бюджетными или автономными учреждениями государственного задания, финансовое обеспечение выполнения которого осуществляется за счет средств бюджета Федерального фонда обязательного медицинского страхования в случаях, установленных федеральными законами, осуществляются в порядке, определенном Положением для формирования и финансового обеспечения выполнения государственного задания, финансовое обеспечение выполнения которого осуществляется за счет средств федерального бюджета, за исключением пунктов 44 - 46.1 Положения. (в ред. Постановления Правительства РФ от 06.10.2016 N 1006)

Соглашения о порядке и об условиях предоставления субсидий из бюджета Федерального фонда обязательного медицинского страхования заключаются между указанным Фондом, федеральным органом исполнительной власти, осуществляющим функции и полномочия учредителя в отношении федеральных бюджетных и автономных учреждений, и федеральным бюджетным или автономным учреждением по форме и в порядке, которые утверждаются уполномоченным федеральным органом исполнительной власти, осуществляющим функции по выработке и реализации государственной политики и нормативно-правовому регулированию в сфере здравоохранения. (в ред. Постановления Правительства РФ от 06.10.2016 N 1006)

Председатель Правительства
Российской Федерации
Д.МЕДВЕДЕВ

УТВЕРЖДЕНО
постановлением Правительства
Российской Федерации
от 26 июня 2015 г. N 640

ПОЛОЖЕНИЕ О ФОРМИРОВАНИИ ГОСУДАРСТВЕННОГО ЗАДАНИЯ НА ОКАЗАНИЕ ГОСУДАРСТВЕННЫХ УСЛУГ (ВЫПОЛНЕНИЕ РАБОТ) В ОТНОШЕНИИ ФЕДЕРАЛЬНЫХ ГОСУДАРСТВЕННЫХ УЧРЕЖДЕНИЙ И ФИНАНСОВОМ ОБЕСПЕЧЕНИИ ВЫПОЛНЕНИЯ ГОСУДАРСТВЕННОГО ЗАДАНИЯ

(в ред. Постановлений Правительства РФ от 25.05.2016 N 464, от 06.10.2016 N 1006, от 04.11.2016 N 1136, от 13.09.2017 N 1101, от 09.12.2017 N 1502, от 19.07.2018 N 849, от 29.11.2018 N 1439, от 09.07.2019 N 873, от 31.12.2019 N 1944, от 17.02.2020 N 161, от 16.07.2020 N 1052, от 19.11.2020 N 1890, от 28.12.2020 N 2313, от 27.05.2021 N 806, от 05.08.2022 N 1388, от 18.01.2023 N 38, от 16.05.2023 N 764, от 23.08.2024 N 1136)

1. Настоящее Положение устанавливает порядок формирования и финансового обеспечения выполнения государственного задания на оказание государственных услуг (выполнение работ) (далее - государственное задание) федеральными бюджетными учреждениями, автономными учреждениями, созданными на базе имущества, находящегося в федеральной собственности (далее - федеральные автономные учреждения), а также федеральными казенными учреждениями, определенными правовыми актами главных распорядителей средств федерального бюджета, в ведении которых находятся федеральные казенные учреждения (далее - федеральные казенные учреждения).

I. Формирование (изменение) государственного задания

2. Государственное задание формируется в соответствии с основными видами деятельности, предусмотренными учредительными документами федерального государственного учреждения, с учетом предложений федерального государственного учреждения, касающихся потребности в соответствующих услугах и работах, оцениваемых на основании прогнозируемой динамики количества потребителей услуг и работ, уровня удовлетворенности существующими объемом и качеством услуг и результатов работ и возможностей федерального государственного учреждения по оказанию услуг и выполнению работ, а также показателей выполнения федеральным государственным учреждением государственного задания в отчетном финансовом году.

3. Государственное задание содержит показатели, характеризующие качество и (или) объем государственной услуги (работы), определение категорий физических и (или) юридических лиц, являющихся потребителями соответствующих услуг (работ), предельные цены (тарифы) на оплату соответствующих услуг (работ) физическими или юридическими лицами в случаях, если законодательством Российской Федерации предусмотрено их оказание (выполнение) на платной основе в рамках государственного задания, либо порядок установления указанных цен (тарифов) в случаях, установленных законодательством Российской Федерации, порядок контроля за исполнением государственного задания и требования к отчетности о выполнении государственного задания. (в ред. Постановлений Правительства РФ от 13.09.2017 N 1101, от 16.07.2020 N 1052)

Значение объемов государственных услуг для образовательных организаций высшего и среднего профессионального образования устанавливается на очередной финансовый год и плановый период и корректируется ежегодно в соответствии с методикой формирования государственного задания при оказании услуг в рамках реализации образовательных программ среднего профессионального образования и высшего образования на очередной финансовый год и плановый период, утверждаемой Министерством науки и высшего образования Российской Федерации по согласованию с Министерством просвещения Российской Федерации, с учетом результатов ежегодного конкурса по распределению контрольных цифр приема граждан и численности обучающихся, определенной за год (среднегодовой контингент). (в ред. Постановления Правительства РФ от 18.01.2023 N 38)

Государственное задание формируется согласно приложению N 1.

При установлении федеральному государственному учреждению государственного задания на оказание нескольких государственных услуг (выполнение нескольких работ) государственное задание формируется из нескольких разделов, каждый из которых содержит требования к оказанию одной государственной услуги (выполнению одной работы).

При установлении федеральному государственному учреждению государственного задания на оказание государственной услуги (услуг) и выполнение работы (работ) государственное задание формируется из 2 частей, каждая из которых должна содержать отдельно требования к оказанию государственной услуги (услуг) и выполнению работы (работ). Информация, касающаяся государственного задания в целом, включается в 3-ю часть государственного задания.

В государственном задании могут быть установлены допустимые (возможные) отклонения в процентах (абсолютных величинах) от установленных значений показателей качества и (или) объема, если иное не установлено федеральным законом, в отношении отдельной государственной услуги (работы) либо общее допустимое (возможное) отклонение - в отношении государственного задания или его части. Значения указанных показателей, устанавливаемые на текущий финансовый год, могут быть изменены только при формировании государственного задания на очередной финансовый год. (в ред. Постановлений Правительства РФ от 06.10.2016 N 1006, от 13.09.2017 N 1101, от 09.07.2019 N 873)

Порядок определения и применения значений допустимых (возможных) отклонений устанавливается правовым актом федерального органа исполнительной власти (государственного органа), осуществляющего функции и полномочия учредителя в отношении федеральных бюджетных или автономных учреждений. (в ред. Постановления Правительства РФ от 16.07.2020 N 1052)

Абзац седьмой пункта 3 Положения, утвержденного данным документом (в редакции Постановления Правительства РФ от 16.07.2020 N 1052), применяется при расчете объема финансового обеспечения выполнения государственного задания начиная с государственного задания на 2022 год и на плановый период 2023 и 2024 годов (пункт 2 Постановления Правительства РФ от 16.07.2020 N 1052).

4. Государственное задание, не содержащее сведений, составляющих государственную и иную охраняемую в соответствии с федеральными законами, нормативными правовыми актами Президента Российской Федерации и Правительства Российской Федерации тайну (далее - сведения, составляющие государственную тайну), формируется в форме электронного документа в установленном порядке в государственной интегрированной информационной системе управления общественными финансами "Электронный бюджет" (далее - система "Электронный бюджет") в том числе посредством информационного взаимодействия с иными информационными системами федеральных органов исполнительной власти (государственных органов), осуществляющих функции и полномочия учредителей в отношении федеральных бюджетных или автономных учреждений, если иное не установлено федеральными законами и нормативными правовыми актами Президента Российской Федерации и Правительства Российской Федерации (далее - органы, осуществляющие функции и полномочия учредителя), главных распорядителей средств федерального бюджета, в ведении которых находятся федеральные казенные учреждения (в случае утверждения федеральному казенному учреждению государственного задания), и подписывается усиленной квалифицированной электронной подписью лица, имеющего право действовать от имени главного распорядителя средств федерального бюджета, в ведении которого находится федеральное казенное учреждение (при утверждении федеральному казенному учреждению государственного задания), либо органа исполнительной власти, осуществляющего функции и полномочия учредителя. (в ред. Постановления Правительства РФ от 06.10.2016 N 1006)

Предварительный отчет о выполнении государственного задания и отчет о выполнении государственного задания, указанные в пунктах 46 и 47 настоящего Положения, не содержащие сведений, составляющих государственную тайну, формируются в системе "Электронный бюджет" в том числе посредством информационного взаимодействия с иными информационными системами органов, осуществляющих функции и полномочия учредителей (главных распорядителей средств федерального бюджета, в ведении которых находятся федеральные казенные учреждения в случае утверждения федеральному казенному учреждению государственного задания). (в ред. Постановления Правительства РФ от 13.09.2017 N 1101)

Информационное взаимодействие системы "Электронный бюджет" с информационными системами органов, осуществляющих функции и полномочия учредителя, осуществляется в соответствии с Положением о государственной интегрированной информационной системе управления общественными финансами "Электронный бюджет", утвержденным постановлением Правительства Российской Федерации от 30 июня 2015 г. N 658 "О государственной интегрированной информационной системе управления общественными финансами "Электронный бюджет". (в ред. Постановления Правительства РФ от 06.10.2016 N 1006)

Регламент обмена информацией между системой "Электронный бюджет" и иными информационными системами в целях формирования государственного задания, не содержащего сведений, составляющих государственную тайну, устанавливается Министерством финансов Российской Федерации. (в ред. Постановления Правительства РФ от 06.10.2016 N 1006)

Государственное задание федеральному государственному учреждению, устав которого утвержден нормативным правовым актом Президента Российской Федерации, формируется и утверждается в порядке, установленном настоящим Положением, если иное не предусмотрено уставом указанного учреждения. (в ред. Постановления Правительства РФ от 31.12.2019 N 1944)

Государственное задание федеральным бюджетным и автономным учреждениям, функции и полномочия учредителя в отношении которых осуществляет Правительство Российской Федерации, если иное не предусмотрено уставом федерального бюджетного и автономного учреждения, формируется в системе "Электронный бюджет" федеральным органом исполнительной власти, осуществляющим отдельные функции и полномочия учредителя в отношении таких учреждений, и утверждается Правительством Российской Федерации. (в ред. Постановления Правительства РФ от 06.10.2016 N 1006)

При формировании государственного задания, не содержащего сведений, составляющих государственную тайну, применяются справочники, реестры и классификаторы, используемые в информационных системах в сфере управления государственными и муниципальными финансами. (в ред. Постановления Правительства РФ от 06.10.2016 N 1006)

Государственное задание, содержащее сведения, составляющие государственную тайну, формируется в форме бумажного документа с соблюдением законодательства Российской Федерации о государственной тайне. (в ред. Постановления Правительства РФ от 06.10.2016 N 1006)

5. Государственное задание формируется в процессе формирования федерального бюджета на очередной финансовый год и плановый период и утверждается не позднее 15 рабочих дней со дня отражения на лицевом счете главного распорядителя бюджетных средств, открытом соответствующему главному распорядителю средств федерального бюджета, лимитов бюджетных обязательств на финансовое обеспечение выполнения государственного задания в отношении: (в ред. Постановления Правительства РФ от 17.02.2020 N 161)

а) федеральных казенных учреждений - главными распорядителями средств федерального бюджета, в ведении которых находятся федеральные казенные учреждения;

б) федеральных бюджетных или автономных учреждений - органами, осуществляющими функции и полномочия учредителя.

6. Государственное задание утверждается на срок, соответствующий установленному бюджетным законодательством Российской Федерации сроку формирования федерального бюджета.

В случае внесения изменений в показатели государственного задания формируется новое государственное задание (с учетом внесенных изменений) в соответствии с положениями настоящего раздела.

В случае внесения изменений в показатели государственного задания федеральным бюджетным и автономным учреждениям, функции и полномочия учредителя в отношении которых осуществляет Правительство Российской Федерации, если иное не предусмотрено уставом федерального бюджетного и автономного учреждения, в системе "Электронный бюджет" формируется новое государственное задание (с учетом внесенных изменений) в соответствии с положениями настоящего раздела федеральным органом исполнительной власти, осуществляющим отдельные функции и полномочия учредителя в отношении таких учреждений, и такие изменения утверждаются Правительством Российской Федерации. (в ред. Постановления Правительства РФ от 06.10.2016 N 1006)

При изменении подведомственности федерального государственного учреждения в государственном задании подлежит изменению информация, включенная в 3-ю часть государственного задания, в том числе в части уточнения положений о периодичности и сроках представления отчетов о выполнении государственного задания, сроков представления предварительного отчета о выполнении государственного задания, а также порядка осуществления контроля за выполнением государственного задания. (в ред. Постановления Правительства РФ от 09.07.2019 N 873)

При реорганизации федерального государственного учреждения (слияние, присоединение, выделение, разделение) государственное задание подлежит изменению в части уточнения показателей государственного задания. (в ред. Постановления Правительства РФ от 09.07.2019 N 873)

При реорганизации федерального государственного учреждения в форме слияния, присоединения показатели государственного задания федеральных государственных учреждений - правопреемников формируются с учетом показателей государственных заданий реорганизуемых федеральных государственных учреждений, прекращающих свою деятельность, путем суммирования (построчного объединения) показателей государственных заданий реорганизованных учреждений. (в ред. Постановления Правительства РФ от 09.07.2019 N 873)

При реорганизации федерального государственного учреждения в форме выделения показатели государственного задания федерального государственного учреждения, реорганизованного путем выделения из него других федеральных государственных учреждений, подлежат уменьшению на показатели государственных заданий вновь возникших юридических лиц. (в ред. Постановления Правительства РФ от 09.07.2019 N 873)

При реорганизации федерального государственного учреждения в форме разделения показатели государственных заданий вновь возникших юридических лиц формируются путем разделения соответствующих показателей государственного задания реорганизованного федерального государственного учреждения, прекращающего свою деятельность. (в ред. Постановления Правительства РФ от 09.07.2019 N 873)

Показатели государственных заданий федеральных государственных учреждений, прекращающих свою деятельность в результате реорганизации, принимают нулевые значения. (в ред. Постановления Правительства РФ от 09.07.2019 N 873)

Показатели государственных заданий реорганизованных федеральных государственных учреждений, за исключением федеральных государственных учреждений, прекращающих свою деятельность, после завершения реорганизации при суммировании соответствующих показателей должны соответствовать показателям государственных заданий указанных федеральных государственных учреждений до начала их реорганизации. (в ред. Постановления Правительства РФ от 09.07.2019 N 873)

7. Распределение показателей объема государственных услуг (работ), содержащихся в государственном задании, утвержденном федеральному государственному учреждению, между созданными им в установленном порядке обособленными подразделениями или внесение изменений в указанные показатели осуществляется в соответствии с положениями настоящего раздела по форме, установленной для государственного задания, согласно приложению N 1(1) органом, осуществляющим функции и полномочия учредителя, - в отношении федеральных бюджетных или автономных учреждений или главными распорядителями средств федерального бюджета, в ведении которых находятся федеральные казенные учреждения, - в отношении указанных учреждений.

По решению указанных в абзаце первом настоящего пункта органа, осуществляющего функции и полномочия учредителя, главного распорядителя средств федерального бюджета соответственно распределение показателей объема государственных услуг (работ), содержащихся в государственном задании, утвержденном федеральному государственному учреждению, между созданными им в установленном порядке обособленными подразделениями или внесение изменений в указанные показатели осуществляется самостоятельно федеральным государственным учреждением в соответствии с положениями настоящего раздела по форме, установленной для государственного задания, предусмотренной приложением N 1(1) к настоящему Положению. (в ред. Постановления Правительства РФ от 16.05.2023 N 764)

Пункт 8 Положения (в редакции Постановления Правительства РФ от 27.05.2021 N 806), применяется при формировании государственного задания на 2022 год и на плановый период 2023 и 2024 годов (пункт 2 Постановления Правительства РФ от 27.05.2021 N 806).

8. Государственное задание формируется на оказание государственных услуг (выполнение работ), определенных в качестве основных видов деятельности федеральных государственных учреждений, содержащихся в общероссийских базовых (отраслевых) перечнях (классификаторах) государственных и муниципальных услуг, оказываемых физическим лицам (далее - общероссийские базовые перечни), и федеральных перечнях (классификаторах) государственных услуг, не включенных в общероссийские базовые (отраслевые) перечни (классификаторы) государственных и муниципальных услуг, оказываемых физическим лицам, и работ, оказание и выполнение которых предусмотрено нормативными правовыми актами Российской Федерации (далее - федеральные перечни), утвержденных федеральными органами исполнительной власти, осуществляющими функции по выработке государственной политики и нормативно-правовому регулированию в установленных сферах деятельности. (в ред. Постановления Правительства РФ от 13.09.2017 N 1101)

Государственное задание на выполнение работ по проведению научных исследований формируется федеральными органами исполнительной власти в отношении подведомственных федеральных государственных учреждений только по тем научным темам, целесообразность финансирования за счет средств федерального бюджета которых в установленном порядке определена федеральным государственным бюджетным учреждением "Российская академия наук". (в ред. Постановления Правительства РФ от 27.05.2021 N 806)

Требование, установленное абзацем вторым настоящего пункта, не распространяется на научные исследования, проводимые организациями, подведомственными Министерству обороны Российской Федерации, Министерству внутренних дел Российской Федерации, Министерству иностранных дел Российской Федерации, Федеральной службе безопасности Российской Федерации, Федеральной службе по техническому и экспортному контролю, Федеральной службе войск национальной гвардии Российской Федерации, Федеральной службе исполнения наказаний, Федеральной службе охраны Российской Федерации и Федеральному медико-биологическому агентству. (в ред. Постановлений Правительства РФ от 27.05.2021 N 806, от 23.08.2024 N 1136)

9. Государственное задание, распределение показателей объема государственных услуг (работ), содержащихся в государственном задании, утвержденном федеральному государственному учреждению, между созданными им в установленном порядке обособленными подразделениями и отчет о выполнении государственного задания, формируемый согласно пункту 47 настоящего Положения, не содержащие сведений, составляющих государственную тайну, включаются в реестр государственных заданий, ведение которого осуществляется в порядке, установленном Министерством финансов Российской Федерации. Реестр государственных заданий размещается на едином портале бюджетной системы Российской Федерации. (в ред. Постановления Правительства РФ от 09.12.2017 N 1502)

10. Государственное задание, распределение показателей объема государственных услуг (работ), содержащихся в государственном задании, утвержденном федеральному государственному учреждению, между созданными им в установленном порядке обособленными подразделениями и отчет о выполнении государственного задания, формируемый согласно пункту 47 настоящего Положения, не содержащие сведений, составляющих государственную тайну, размещаются в установленном Министерством финансов Российской Федерации порядке на официальном сайте в информационно-телекоммуникационной сети "Интернет" по размещению информации о государственных и муниципальных учреждениях (www.bus.gov.ru), а также могут быть размещены на официальных сайтах в информационно-телекоммуникационной сети "Интернет" главных распорядителей средств федерального бюджета, в ведении которых находятся федеральные казенные учреждения, и органов, осуществляющих функции и полномочия учредителя, и на официальных сайтах в информационно-телекоммуникационной сети "Интернет" федеральных государственных учреждений. (в ред. Постановления Правительства РФ от 06.10.2016 N 1006)

II. Финансовое обеспечение выполнения государственного задания

11. Объем финансового обеспечения выполнения государственного задания рассчитывается на основании нормативных затрат на оказание государственных услуг, нормативных затрат, связанных с выполнением работ, с учетом затрат на содержание недвижимого имущества и особо ценного движимого имущества, используемого федеральным государственным учреждением при выполнении государственного задания (далее - имущество учреждения), затрат на уплату налогов, в качестве объекта налогообложения по которым признается имущество учреждения. (в ред. Постановления Правительства РФ от 16.05.2023 N 764)

12. Объем финансового обеспечения выполнения государственного задания (R) определяется по формуле: (в ред. Постановления Правительства РФ от 09.07.2019 N 873)

,

где: (в ред. Постановления Правительства РФ от 09.07.2019 N 873)

- нормативные затраты на оказание i-й государственной услуги, установленной государственным заданием; (в ред. Постановления Правительства РФ от 09.07.2019 N 873)

- объем i-й государственной услуги, установленной государственным заданием; (в ред. Постановления Правительства РФ от 09.07.2019 N 873)

- нормативные затраты на выполнение w-й работы, установленной государственным заданием; (в ред. Постановления Правительства РФ от 09.07.2019 N 873)

- объем w-й работы, установленной государственным заданием; (в ред. Постановления Правительства РФ от 09.07.2019 N 873)

Pi - размер платы (тариф и цена) за оказание i-й государственной услуги в соответствии с пунктом 36 настоящего Положения, установленный государственным заданием; (в ред. Постановления Правительства РФ от 28.12.2020 N 2313)

Pw - размер платы (тариф и цена) за выполнение w-й работы в соответствии с пунктом 36 настоящего Положения, установленный государственным заданием; (в ред. Постановления Правительства РФ от 28.12.2020 N 2313)

- затраты на уплату налогов, в качестве объекта налогообложения по которым признается имущество учреждения. (в ред. Постановления Правительства РФ от 09.07.2019 N 873)

13. Нормативные затраты на оказание государственной услуги рассчитываются на единицу показателя объема оказания услуги, установленного в государственном задании, на основе определяемых в соответствии с настоящим Положением базового норматива затрат и корректирующих коэффициентов к базовым нормативам затрат (далее - корректирующие коэффициенты), с соблюдением общих требований к определению нормативных затрат на оказание государственных (муниципальных) услуг, применяемых при расчете объема финансового обеспечения выполнения государственного (муниципального) задания на оказание государственных (муниципальных) услуг (выполнение работ) государственным (муниципальным) учреждением в соответствующих сферах деятельности (далее - общие требования), утверждаемых федеральными органами исполнительной власти, осуществляющими функции по выработке государственной политики и нормативно-правовому регулированию в установленной сфере деятельности.

По решению федерального органа исполнительной власти, осуществляющего функции по выработке государственной политики и нормативно-правовому регулированию в установленной сфере деятельности, общие требования направляются в Министерство финансов Российской Федерации на согласование.

Общими требованиями может устанавливаться, что нормативные затраты на оказание отдельных государственных услуг в соответствующих сферах определяются с учетом иных нормативных правовых актов Российской Федерации. (в ред. Постановления Правительства РФ от 27.05.2021 N 806)

14. Значения нормативных затрат на оказание государственной услуги утверждаются в отношении: (в ред. Постановлений Правительства РФ от 06.10.2016 N 1006, от 09.07.2019 N 873)

а) федеральных казенных учреждений - главным распорядителем средств федерального бюджета, в ведении которого находятся федеральные казенные учреждения, в случае принятия им решения о применении нормативных затрат при расчете объема финансового обеспечения выполнения государственного задания;

б) федеральных бюджетных или автономных учреждений - органом, осуществляющим функции и полномочия учредителя, с учетом положений пункта 15 настоящего Положения.

15. Значения нормативных затрат на оказание государственной услуги федеральными бюджетными и автономными учреждениями, функции и полномочия учредителя в отношении которых осуществляет Правительство Российской Федерации, утверждаются указанными учреждениями. (в ред. Постановления Правительства РФ от 09.07.2019 N 873)

Значения нормативных затрат на оказание государственной услуги федеральным государственным учреждением, устав которого утвержден нормативным правовым актом Президента Российской Федерации, утверждаются указанным учреждением, если иное не предусмотрено уставом такого учреждения. (в ред. Постановления Правительства РФ от 31.12.2019 N 1944)

15.1. Значения нормативных затрат на оказание государственной услуги (с учетом корректирующих коэффициентов), не являющиеся сведениями, составляющими государственную тайну, утверждаются в форме электронного документа в системе "Электронный бюджет" путем подписания усиленной квалифицированной электронной подписью лица, имеющего право действовать от имени соответствующего органа исполнительной власти (учреждения). (в ред. Постановления Правительства РФ от 09.07.2019 N 873)

Значения нормативных затрат на оказание государственной услуги (с учетом корректирующих коэффициентов), являющиеся сведениями, составляющими государственную тайну, утверждаются в форме бумажного документа с соблюдением законодательства Российской Федерации о государственной тайне путем проставления грифа утверждения, содержащего наименование должности, подпись (расшифровку подписи) лица, имеющего право действовать от имени соответствующего органа исполнительной власти (учреждения), и дату утверждения. (в ред. Постановления Правительства РФ от 09.07.2019 N 873)

16. Базовый норматив затрат на оказание государственной услуги состоит из базового норматива:

а) затрат, непосредственно связанных с оказанием государственной услуги;

б) затрат на общехозяйственные нужды на оказание государственной услуги.

17. Базовый норматив затрат рассчитывается исходя из затрат, необходимых для оказания государственной услуги, с соблюдением показателей, отражающих отраслевую специфику государственной услуги (содержание, условия (формы) оказания государственной услуги), установленных в общероссийских базовых перечнях и (или) федеральных перечнях, отраслевой корректирующий коэффициент при которых принимает значение, равное 1, а также показателей, отражающих отраслевую специфику государственной услуги, установленных в общих требованиях, отраслевой корректирующий коэффициент при которых определяется по каждому показателю индивидуально с учетом требований пункта 26 настоящего Положения (далее - показатели отраслевой специфики). (в ред. Постановлений Правительства РФ от 09.07.2019 N 873, от 28.12.2020 N 2313)

18. При определении базового норматива затрат в части затрат, указанных в пункте 19 настоящего Положения, применяются нормы материальных, технических и трудовых ресурсов, используемых для оказания государственной услуги, установленные нормативными правовыми актами Российской Федерации (в том числе правовыми актами федеральных органов исполнительной власти, осуществляющих функции по выработке государственной политики и нормативно-правовому регулированию в установленной сфере деятельности), межгосударственными, национальными (государственными) стандартами Российской Федерации, строительными нормами и правилами, санитарными нормами и правилами, стандартами, порядками, регламентами и паспортами оказания государственных услуг в установленной сфере (далее - стандарты услуги). (в ред. Постановления Правительства РФ от 19.07.2018 N 849)

Затраты, указанные в пункте 20 настоящего Положения, устанавливаются по видам указанных затрат исходя из нормативов их потребления, определяемых на основании стандартов услуги, или на основе усреднения показателей деятельности федерального государственного учреждения, которое имеет минимальный объем указанных затрат на оказание единицы государственной услуги в установленной сфере, или на основе медианного значения по федеральным государственным учреждениям, оказывающим государственную услугу в установленной сфере деятельности, в соответствии с общими требованиями. (в ред. Постановления Правительства РФ от 19.07.2018 N 849)

19. В базовый норматив затрат, непосредственно связанных с оказанием государственной услуги, включаются:

а) затраты на оплату труда работников, непосредственно связанных с оказанием государственной услуги, денежное довольствие военнослужащих, непосредственно связанных с оказанием государственной услуги, и начисления на выплаты по оплате труда работников, непосредственно связанных с оказанием государственной услуги, включая страховые взносы в Пенсионный фонд Российской Федерации, Фонд социального страхования Российской Федерации и Федеральный фонд обязательного медицинского страхования, страховые взносы на обязательное социальное страхование от несчастных случаев на производстве и профессиональных заболеваний в соответствии с трудовым законодательством и иными нормативными правовыми актами, содержащими нормы трудового права (далее - начисления на выплаты по оплате труда); (в ред. Постановления Правительства РФ от 06.10.2016 N 1006)

б) затраты на приобретение материальных запасов и на приобретение движимого имущества (основных средств и нематериальных активов), используемого в процессе оказания государственной услуги, с учетом срока его полезного использования, а также затраты на аренду указанного имущества; (в ред. Постановлений Правительства РФ от 06.10.2016 N 1006, от 19.07.2018 N 849)

б(1)) подпункт утратил силу. (в ред. Постановления Правительства РФ от 16.05.2023 N 764)

в) иные затраты, непосредственно связанные с оказанием государственной услуги, в том числе затраты на оплату коммунальных услуг, содержание объектов недвижимого имущества и (или) особо ценного движимого имущества (аренду указанного имущества) в части имущества, используемого в процессе оказания государственной услуги. (в ред. Постановления Правительства РФ от 16.07.2020 N 1052)

20. В базовый норматив затрат на общехозяйственные нужды на оказание государственной услуги включаются:

а) затраты на коммунальные услуги, за исключением затрат, указанных в подпункте "в" пункта 19 настоящего Положения; (в ред. Постановления Правительства РФ от 16.07.2020 N 1052)

б) затраты на содержание объектов недвижимого имущества, а также затраты на аренду указанного имущества, за исключением затрат, указанных в подпункте "в" пункта 19 настоящего Положения; (в ред. Постановлений Правительства РФ от 06.10.2016 N 1006, от 16.07.2020 N 1052)

в) затраты на содержание объектов особо ценного движимого имущества, а также затраты на аренду указанного имущества, за исключением затрат, указанных в подпункте "в" пункта 19 настоящего Положения; (в ред. Постановлений Правительства РФ от 06.10.2016 N 1006, от 16.07.2020 N 1052)

г) подпункт утратил силу. (в ред. Постановления Правительства РФ от 16.05.2023 N 764)

д) затраты на приобретение услуг связи;

е) затраты на приобретение транспортных услуг;

ж) затраты на оплату труда работников, которые не принимают непосредственного участия в оказании государственной услуги, денежное довольствие военнослужащих, которые не принимают непосредственного участия в оказании государственной услуги, и начисления на выплаты по оплате труда работников, которые не принимают непосредственного участия в оказании государственной услуги; (в ред. Постановления Правительства РФ от 06.10.2016 N 1006)

з) затраты на прочие общехозяйственные нужды.

21. В затраты, указанные в подпунктах "а" - "в" пункта 20 настоящего Положения, включаются затраты на оказание государственной услуги в отношении имущества учреждения, используемого в том числе на основании договора аренды (финансовой аренды) или договора безвозмездного пользования, для выполнения государственного задания и общехозяйственных нужд (далее - имущество, необходимое для выполнения государственного задания). (в ред. Постановления Правительства РФ от 06.10.2016 N 1006)

Абзацы второй - третий. - Утратили силу. (в ред. Постановления Правительства РФ от 16.05.2023 N 764)

Затраты на аренду имущества, включенные в затраты, указанные в подпункте "б" пункта 19 и подпунктах "б" и "в" пункта 20 настоящего Положения, учитываются в составе указанных затрат в случае, если имущество, необходимое для выполнения государственного задания, не закреплено за федеральным бюджетным или автономным учреждением на праве оперативного управления. (в ред. Постановления Правительства РФ от 13.09.2017 N 1101)

22. Значение базового норматива затрат на оказание государственной услуги утверждается федеральным органом исполнительной власти, осуществляющим функции по выработке государственной политики и нормативно-правовому регулированию в установленной сфере деятельности, общей суммой, с выделением сумм затрат, указанных в пунктах 19 и 20 настоящего Положения, используемых при определении значения базового норматива затрат на оказание государственной услуги. (в ред. Постановления Правительства РФ от 16.05.2023 N 764)

В случае включения в общероссийский базовый перечень или федеральный перечень новой государственной услуги значение базового норматива затрат на оказание такой услуги утверждается в течение 30 рабочих дней со дня утверждения соответствующих изменений, внесенных в общероссийский базовый перечень или федеральный перечень. (в ред. Постановления Правительства РФ от 16.05.2023 N 764)

22.1. Значение базового норматива затрат на оказание государственной услуги уточняется на очередной финансовый год и плановый период федеральным органом исполнительной власти, осуществляющим функции по выработке государственной политики и нормативно-правовому регулированию в установленной сфере деятельности, на прогнозный уровень инфляции (индекс роста потребительских цен) в соответствии с прогнозом социально-экономического развития Российской Федерации на соответствующий финансовый год и плановый период не позднее 15 рабочих дней со дня размещения на официальном сайте Министерства финансов Российской Федерации в информационно-телекоммуникационной сети "Интернет" методики расчета базовых бюджетных ассигнований по государственным программам Российской Федерации и непрограммным направлениям деятельности на очередной финансовый год и плановый период. (в ред. Постановления Правительства РФ от 19.11.2020 N 1890)

При необходимости уточнения значений базовых нормативов затрат на оказание государственных услуг в иных случаях, предусмотренных нормативными правовыми актами Российской Федерации, приводящих к изменению объема финансового обеспечения выполнения государственного задания, соответствующее уточнение осуществляется в течение 30 рабочих дней со дня принятия (изменения) такого акта. (в ред. Постановления Правительства РФ от 19.11.2020 N 1890)

В случае если значения базовых нормативов затрат на оказание государственных услуг в соответствии с положением абзаца второго настоящего пункта уточнены в текущем финансовом году после внесения на рассмотрение в Правительство Российской Федерации проекта федерального закона о федеральном бюджете на очередной финансовый год и плановый период, уточненные значения базовых нормативов затрат на оказание государственных услуг применяются начиная с расчета субсидии на финансовое обеспечение выполнения государственного задания на первый год планового периода. (в ред. Постановления Правительства РФ от 19.11.2020 N 1890)

23. Значение базового норматива затрат на оказание государственной услуги утверждается по согласованию с Министерством финансов Российской Федерации в случае, если общие требования не были согласованы федеральным органом исполнительной власти, осуществляющим функции по выработке государственной политики и нормативно-правовому регулированию в установленной сфере деятельности, с Министерством финансов Российской Федерации в соответствии с абзацем вторым пункта 13 настоящего Положения.

24. Корректирующие коэффициенты, применяемые при расчете нормативных затрат на оказание государственной услуги, состоят из территориального корректирующего коэффициента и отраслевого корректирующего коэффициента, либо по решению федерального органа исполнительной власти, осуществляющего функции по выработке государственной политики и нормативно-правовому регулированию в установленной сфере деятельности, из нескольких отраслевых корректирующих коэффициентов, а также коэффициентов приведения. (в ред. Постановления Правительства РФ от 16.05.2023 N 764)

25. В территориальный корректирующий коэффициент включаются территориальный корректирующий коэффициент на оплату труда с начислениями на выплаты по оплате труда и территориальный корректирующий коэффициент на коммунальные услуги и на содержание недвижимого имущества.

Значение территориального корректирующего коэффициента утверждается органом, осуществляющим функции и полномочия учредителя, если иное не предусмотрено федеральным органом исполнительной власти, осуществляющим функции по выработке государственной политики и нормативно-правовому регулированию в установленной сфере деятельности, с учетом условий, обусловленных территориальными особенностями и составом имущественного комплекса, необходимого для выполнения государственного задания, территориальным расположением федеральных бюджетных или автономных учреждений, их обособленных подразделений, и рассчитывается в соответствии с общими требованиями. (в ред. Постановлений Правительства РФ от 06.10.2016 N 1006, от 09.07.2019 N 873)

Значения территориальных корректирующих коэффициентов, применяемых при расчете нормативных затрат на оказание государственных услуг федеральными бюджетными и автономными учреждениями, функции и полномочия учредителя в отношении которых осуществляет Правительство Российской Федерации, утверждаются федеральными органами государственной власти, осуществляющими функции по выработке государственной политики и нормативно-правовому регулированию в установленной сфере деятельности, соответствующей основным видам деятельности таких учреждений, за исключением случая утверждения значений территориальных корректирующих коэффициентов федеральным органом исполнительной власти, осуществляющим функции по выработке государственной политики и нормативно-правовому регулированию в установленной сфере деятельности, указанного в абзаце втором настоящего пункта. (в ред. Постановлений Правительства РФ от 06.10.2016 N 1006, от 09.07.2019 N 873)

Общими требованиями может устанавливаться, что в состав территориального коэффициента включаются по согласованию с Министерством финансов Российской Федерации иные коэффициенты, отражающие территориальные особенности оказания государственной услуги.

26. Отраслевой корректирующий коэффициент учитывает показатели отраслевой специфики и определяется в соответствии с общими требованиями. (в ред. Постановления Правительства РФ от 09.07.2019 N 873)

Значение отраслевого корректирующего коэффициента утверждается федеральным органом исполнительной власти, осуществляющим функции по выработке государственной политики и нормативно-правовому регулированию в установленной сфере деятельности (уточняется при необходимости при формировании обоснований бюджетных ассигнований федерального бюджета на очередной финансовый год и плановый период не позднее 15 рабочих дней со дня размещения на официальном сайте Министерства финансов Российской Федерации в информационно-телекоммуникационной сети "Интернет" методики расчета базовых бюджетных ассигнований по государственным программам Российской Федерации и непрограммным направлениям деятельности на очередной финансовый год и плановый период). (в ред. Постановления Правительства РФ от 19.11.2020 N 1890)

Значение отраслевого корректирующего коэффициента к базовому нормативу затрат на оказание государственных услуг федеральными государственными учреждениями, функции и полномочия учредителя которых осуществляют федеральные органы исполнительной власти (государственные органы), в которых предусмотрена военная и приравненная к ней служба, определяется и утверждается в соответствии с порядком, утвержденным указанными органами по согласованию с Министерством финансов Российской Федерации. (в ред. Постановления Правительства РФ от 06.10.2016 N 1006)

26(1). В случае необходимости при формировании обоснований бюджетных ассигнований федерального бюджета на очередной финансовый год и плановый период уточнения объема финансового обеспечения выполнения государственного задания на оказание государственных услуг в отношении отдельного федерального бюджетного или автономного учреждения органом, осуществляющим функции и полномочия учредителя в отношении указанных учреждений, применяются коэффициенты приведения, определяемые в порядке, установленном правовым актом такого органа. (в ред. Постановления Правительства РФ от 16.05.2023 N 764)

27. Значения базового норматива затрат на оказание государственных услуг, отраслевых и территориальных корректирующих коэффициентов утверждаются в порядке, предусмотренном пунктом 15.1 настоящего Положения. (в ред. Постановления Правительства РФ от 09.07.2019 N 873)

Значения базовых нормативов затрат на оказание государственных услуг и отраслевых корректирующих коэффициентов подлежат размещению в порядке, установленном Министерством финансов Российской Федерации, на едином портале бюджетной системы Российской Федерации в информационно-телекоммуникационной сети "Интернет". (в ред. Постановления Правительства РФ от 09.07.2019 N 873)

28. Нормативные затраты на выполнение работы определяются при расчете объема финансового обеспечения выполнения государственного задания в порядке, установленном органом, осуществляющим функции и полномочия учредителя в отношении федеральных бюджетных или автономных учреждений, а также по решению главного распорядителя средств федерального бюджета, в ведении которого находятся федеральные казенные учреждения.

Нормативные затраты на выполнение работы федеральными бюджетными и автономными учреждениями, функции и полномочия учредителя в отношении которых осуществляются Правительством Российской Федерации либо государственными органами, определенными в уставах таких учреждений, утвержденных нормативными правовыми актами Президента Российской Федерации, определяются при расчете объема финансового обеспечения выполнения государственного задания в порядке, установленном указанными учреждениями по согласованию с Министерством финансов Российской Федерации (если иной порядок определения нормативных затрат на выполнение работ не установлен уставом федерального бюджетного или автономного учреждения). (в ред. Постановлений Правительства РФ от 13.09.2017 N 1101, от 19.07.2018 N 849, от 31.12.2019 N 1944)

Федеральный орган исполнительной власти, осуществляющий функции по выработке государственной политики и нормативно-правовому регулированию в установленной сфере деятельности, вправе установить по согласованию с Министерством финансов Российской Федерации особенности расчета нормативных затрат на выполнение работ, содержащихся в федеральном перечне, сформированном указанным органом. (в ред. Постановления Правительства РФ от 28.12.2020 N 2313)

Особенности расчета нормативных затрат на выполнение работ учитываются при определении нормативных затрат на выполнение работ. (в ред. Постановления Правительства РФ от 28.12.2020 N 2313)

В порядке, указанном в абзаце первом настоящего пункта, может устанавливаться применение территориального корректирующего коэффициента, отраслевого корректирующего коэффициента и (или) иного корректирующего коэффициента, определяемых в соответствии с таким порядком. (в ред. Постановления Правительства РФ от 16.07.2020 N 1052)

29. Нормативные затраты на выполнение работы рассчитываются на работу в целом или в случае установления в государственном задании показателей объема выполнения работы - на единицу объема работы. Нормативные затраты на выполнение работ, по которым федеральным органом исполнительной власти, осуществляющим функции по выработке государственной политики и нормативно-правовому регулированию в установленной сфере деятельности, в соответствии с пунктом 28 настоящего Положения установлены особенности расчета нормативных затрат на выполнение работ, рассчитываются на единицу объема работы. В нормативные затраты на выполнение работы включаются в том числе: (в ред. Постановления Правительства РФ от 28.12.2020 N 2313)

а) затраты на оплату труда работников, непосредственно связанных с выполнением работы, денежное довольствие военнослужащих, непосредственно связанных с выполнением работы, и начисления на выплаты по оплате труда работников, непосредственно связанных с выполнением работы; (в ред. Постановления Правительства РФ от 06.10.2016 N 1006)

б) затраты на приобретение материальных запасов и на приобретение движимого имущества (основных средств и нематериальных активов), используемого в процессе выполнения работы, с учетом срока его полезного использования, а также затраты на аренду указанного имущества; (в ред. Постановлений Правительства РФ от 06.10.2016 N 1006, от 19.07.2018 N 849)

б(1)) подпункт утратил силу. (в ред. Постановления Правительства РФ от 16.05.2023 N 764)

в) затраты на иные расходы, непосредственно связанные с выполнением работы;

г) затраты на оплату коммунальных услуг;

д) затраты на содержание объектов недвижимого имущества, необходимого для выполнения государственного задания, а также затраты на аренду указанного имущества; (в ред. Постановления Правительства РФ от 06.10.2016 N 1006)

е) затраты на содержание объектов особо ценного движимого имущества и имущества, необходимого для выполнения государственного задания, а также затраты на аренду указанного имущества; (в ред. Постановления Правительства РФ от 06.10.2016 N 1006)

ж) подпункт утратил силу. (в ред. Постановления Правительства РФ от 16.05.2023 N 764)

з) затраты на приобретение услуг связи;

и) затраты на приобретение транспортных услуг;

к) затраты на оплату труда работников, которые не принимают непосредственного участия в выполнении работы, денежное довольствие военнослужащих, которые не принимают непосредственного участия в выполнении работы, и начисления на выплаты по оплате труда работников, которые не принимают непосредственного участия в выполнении работы, включая административно-управленческий персонал; (в ред. Постановления Правительства РФ от 06.10.2016 N 1006)

л) затраты на прочие общехозяйственные нужды.

29.1. Пункт утратил силу. (в ред. Постановления Правительства РФ от 16.05.2023 N 764)

30. Абзац первый. - Утратил силу. (в ред. Постановления Правительства РФ от 16.05.2023 N 764)

Затраты на аренду имущества, включенные в затраты, указанные в подпунктах "б", "д" и "е" пункта 29 настоящего Положения, учитываются в составе указанных затрат в случае, если имущество, необходимое для выполнения государственного задания, не закреплено за федеральным бюджетным или автономным учреждением на праве оперативного управления. (в ред. Постановления Правительства РФ от 13.09.2017 N 1101)

31. При определении нормативных затрат на выполнение работы применяются показатели материальных, технических и трудовых ресурсов, используемых для выполнения работы, по видам затрат исходя из нормативов их потребления, установленных нормативными правовыми актами Российской Федерации, межгосударственными, национальными (государственными) стандартами Российской Федерации, строительными нормами и правилами, санитарными нормами и правилами, стандартами, порядками, регламентами и паспортами выполнения работ в установленной сфере, или на основе усреднения показателей деятельности федерального государственного учреждения, которое имеет минимальный объем указанных затрат на выполнение работы в установленной сфере, или на основе медианного значения по федеральным государственным учреждениям, выполняющим работу в установленной сфере деятельности, в порядке, предусмотренном абзацем первым пункта 28 настоящего Положения. (в ред. Постановления Правительства РФ от 19.07.2018 N 849)

32. Значения нормативных затрат на выполнение работы утверждаются органом, осуществляющим функции и полномочия учредителя в отношении федеральных бюджетных или автономных учреждений, а также главным распорядителем средств федерального бюджета, в ведении которого находятся федеральные казенные учреждения (в случае принятия им решения о применении нормативных затрат при расчете объема финансового обеспечения выполнения государственного задания). (в ред. Постановлений Правительства РФ от 06.10.2016 N 1006, от 09.07.2019 N 873)

Значения нормативных затрат на выполнение работ федеральными бюджетными и автономными учреждениями, функции и полномочия учредителя в отношении которых осуществляет Правительство Российской Федерации, утверждаются указанными учреждениями по согласованию с Министерством финансов Российской Федерации (если иной порядок определения нормативных затрат на выполнение работ не установлен уставом федерального бюджетного или автономного учреждения). (в ред. Постановлений Правительства РФ от 06.10.2016 N 1006, от 13.09.2017 N 1101, от 09.07.2019 N 873)

Значения нормативных затрат на выполнение работ федеральным государственным учреждением, устав которого утвержден нормативным правовым актом Президента Российской Федерации, утверждаются указанным учреждением, если иное не предусмотрено уставом такого учреждения. (в ред. Постановления Правительства РФ от 31.12.2019 N 1944)

Значения нормативных затрат на выполнение работ утверждаются в порядке, предусмотренном пунктом 15.1 настоящего Положения. (в ред. Постановления Правительства РФ от 09.07.2019 N 873)

33. В объем финансового обеспечения выполнения государственного задания включаются затраты на уплату налогов, в качестве объекта налогообложения по которым признается имущество учреждения. (в ред. Постановления Правительства РФ от 16.07.2020 N 1052)

В случае если федеральное бюджетное или автономное учреждение оказывает сверх установленного государственного задания государственные услуги (выполняет работы) для физических и юридических лиц за плату, а также осуществляет иную приносящую доход деятельность (далее - платная деятельность), затраты, указанные в абзаце первом настоящего пункта, рассчитываются с применением коэффициента платной деятельности по формуле: (в ред. Постановления Правительства РФ от 16.07.2020 N 1052)

, (в ред. Постановления Правительства РФ от 16.07.2020 N 1052)

где: (в ред. Постановления Правительства РФ от 16.07.2020 N 1052)

- затраты на уплату налогов, в качестве объекта налогообложения по которым признается имущество учреждения; (в ред. Постановления Правительства РФ от 16.07.2020 N 1052)

КПД - коэффициент платной деятельности, значение которого с учетом особенностей, установленных Правительством Российской Федерации, определяется как отношение планируемого объема доходов от платной деятельности к общей сумме планируемых поступлений, включающей поступления от субсидии на финансовое обеспечение выполнения государственного задания (далее - субсидия), и доходов от платной деятельности, определяемых с учетом информации об объемах указанных доходов, полученных в отчетном финансовом году, и рассчитывается по формуле: (в ред. Постановления Правительства РФ от 16.07.2020 N 1052)

, (в ред. Постановления Правительства РФ от 16.07.2020 N 1052)

где: (в ред. Постановления Правительства РФ от 16.07.2020 N 1052)

- объем доходов от платной деятельности, планируемых к получению в очередном финансовом году с учетом информации об объемах оказываемых услуг (выполняемых работ) в отчетном финансовом году, о получении (прекращении действия) лицензий, иных разрешительных документов на осуществление указанной деятельности, об изменении размера платы (тарифов, цены) за оказываемую услугу (выполняемую работу). Объем планируемых доходов от платной деятельности для расчета коэффициента платной деятельности определяется за вычетом из указанного объема доходов налога на добавленную стоимость в случае, если в соответствии с законодательством Российской Федерации о налогах и сборах операции по реализации услуг (работ) признаются объектами налогообложения; (в ред. Постановления Правительства РФ от 16.07.2020 N 1052)

- планируемый объем субсидии на очередной финансовый год и плановый период, рассчитанный без применения коэффициента платной деятельности. (в ред. Постановления Правительства РФ от 16.07.2020 N 1052)

При расчете коэффициента платной деятельности не учитываются поступления в виде целевых субсидий, предоставляемых из федерального бюджета, грантов, пожертвований, прочих безвозмездных поступлений от физических и юридических лиц, а также средства, поступающие в порядке возмещения расходов, понесенных в связи с эксплуатацией федерального имущества, переданного в аренду (безвозмездное пользование) и в виде платы, взимаемой с потребителя в рамках установленного государственного задания. (в ред. Постановления Правительства РФ от 16.07.2020 N 1052)

34.-35. Пункты утратили силу. (в ред. Постановления Правительства РФ от 09.07.2019 N 873)

36. В случае если федеральное бюджетное или автономное учреждение осуществляет платную деятельность в рамках установленного государственного задания, по которому в соответствии с федеральными законами предусмотрено взимание платы, объем финансового обеспечения выполнения государственного задания, рассчитанный на основе нормативных затрат (затрат), подлежит уменьшению на объем доходов от платной деятельности исходя из объема государственной услуги (работы), за оказание (выполнение) которой предусмотрено взимание платы, и размера платы (цены, тарифа), установленного в государственном задании, органом, осуществляющим функции и полномочия учредителя в отношении федеральных бюджетных или автономных учреждений, с учетом положений, установленных федеральными законами. (в ред. Постановления Правительства РФ от 13.09.2017 N 1101)

37. Пункт утратил силу. (в ред. Постановления Правительства РФ от 13.09.2017 N 1101)

38. Нормативные затраты (затраты), определяемые в соответствии с настоящим Положением, учитываются при формировании обоснований бюджетных ассигнований федерального бюджета на очередной финансовый год и плановый период.

39. Финансовое обеспечение выполнения государственного задания осуществляется в пределах бюджетных ассигнований, предусмотренных в федеральном бюджете на указанные цели.

Финансовое обеспечение выполнения государственного задания федеральным бюджетным или автономным учреждением осуществляется путем предоставления субсидии.

Финансовое обеспечение выполнения государственного задания федеральным казенным учреждением осуществляется в соответствии с показателями бюджетной сметы этого учреждения.

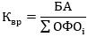
39(1). В случае если при формировании главным распорядителем средств федерального бюджета обоснований бюджетных ассигнований федерального бюджета на очередной финансовый год и плановый период объем финансового обеспечения выполнения государственного задания, рассчитанный в соответствии с настоящим Положением, превышает объем бюджетных ассигнований, предусмотренных главному распорядителю средств федерального бюджета на предоставление субсидий на финансовое обеспечение выполнения государственного задания, применяется коэффициент выравнивания (), значение которого не может превышать единицу и определяется по формуле: (в ред. Постановления Правительства РФ от 16.05.2023 N 764)

, (в ред. Постановления Правительства РФ от 16.05.2023 N 764)

где: (в ред. Постановления Правительства РФ от 16.05.2023 N 764)

БА - объем бюджетных ассигнований, предусмотренных в очередном финансовом году в федеральном бюджете главному распорядителю средств федерального бюджета на предоставление субсидий на финансовое обеспечение выполнения государственного задания; (в ред. Постановления Правительства РФ от 16.05.2023 N 764)

- планируемый объем субсидии на финансовое обеспечение выполнения государственного задания на очередной финансовый год, необходимый i-му федеральному бюджетному или автономному учреждению для выполнения государственного задания. (в ред. Постановления Правительства РФ от 16.05.2023 N 764)

40. Финансовое обеспечение оказания государственных услуг (выполнения работ) обособленными подразделениями федерального государственного учреждения в случае, установленном пунктом 7 настоящего Положения, осуществляется в пределах рассчитанного в соответствии с настоящим Положением объема финансового обеспечения выполнения государственного задания федеральным государственным учреждением в соответствии с правовым актом федерального государственного учреждения, создавшего обособленное подразделение. По решению органа, осуществляющего функции и полномочия учредителя в отношении федеральных бюджетных или автономных учреждений, указанный правовой акт подлежит согласованию с органом, осуществляющим функции и полномочия учредителя в отношении федеральных бюджетных или автономных учреждений.

Правовой акт, предусмотренный абзацем первым настоящего пункта, должен содержать также положения об объеме и периодичности перечисления средств на финансовое обеспечение выполнения государственного задания в течение финансового года и порядок взаимодействия федерального государственного учреждения с обособленным подразделением.

41. Уменьшение объема субсидии в течение срока выполнения государственного задания осуществляется только при соответствующем изменении государственного задания.

Изменение нормативных затрат, определяемых в соответствии с настоящим Положением, в течение срока выполнения государственного задания осуществляется (при необходимости) в случаях, предусмотренных нормативными правовыми актами Российской Федерации (включая внесение изменений в указанные нормативные правовые акты), приводящих к изменению объема финансового обеспечения выполнения государственного задания. (в ред. Постановления Правительства РФ от 13.09.2017 N 1101)

Объем субсидии может быть изменен в течение срока выполнения государственного задания в случае изменения состава и стоимости имущества учреждения, признаваемого в качестве объекта налогообложения налогом на имущество организации и земельным налогом, изменения законодательства Российской Федерации о налогах и сборах, в том числе в случае отмены ранее установленных налоговых льгот, введения налоговых льгот, а также в иных случаях, предусмотренных актами Президента Российской Федерации, Правительства Российской Федерации, реализация которых требует дополнительного выделения (перераспределения) бюджетных ассигнований на финансовое обеспечение выполнения государственного задания. (в ред. Постановлений Правительства РФ от 09.07.2019 N 873, от 05.08.2022 N 1388)

При досрочном прекращении выполнения государственного задания по установленным в нем основаниям неиспользованные остатки субсидии в размере, соответствующем показателям, характеризующим объем неоказанных государственных услуг (невыполненных работ), подлежат перечислению в установленном порядке федеральными бюджетными или автономными учреждениями в федеральный бюджет и учитываются в порядке, установленном для учета сумм возврата дебиторской задолженности. (в ред. Постановления Правительства РФ от 06.10.2016 N 1006)

При досрочном прекращении выполнения государственного задания в связи с реорганизацией федерального бюджетного или автономного учреждения неиспользованные остатки субсидии подлежат перечислению соответствующим федеральным бюджетным и автономным учреждениям, являющимся правопреемниками. (в ред. Постановления Правительства РФ от 13.09.2017 N 1101)

При изменении в течение текущего финансового года типа федерального бюджетного или автономного учреждения на казенное неиспользованные остатки субсидии подлежат возврату органу, осуществляющему функции и полномочия учредителя. (в ред. Постановления Правительства РФ от 09.07.2019 N 873)

41.1. При внесении изменений в показатели государственного задания при реорганизации федерального бюджетного или автономного учреждения (в случаях, предусмотренных абзацами пятым - восьмым пункта 6 настоящего Положения): (в ред. Постановления Правительства РФ от 09.07.2019 N 873)

в форме присоединения или слияния - объем субсидии, предоставляемой федеральному бюджетному или автономному учреждению-правопреемнику, устанавливается с учетом объемов субсидий, предоставленных реорганизованным учреждениям, прекращающим свою деятельность, путем их суммирования; (в ред. Постановления Правительства РФ от 09.07.2019 N 873)

в форме выделения - объем субсидии, предоставляемой федеральному бюджетному или автономному учреждению, реорганизованному путем выделения из него других учреждений, подлежит уменьшению на объем субсидий, предоставляемых вновь возникшим юридическим лицам; (в ред. Постановления Правительства РФ от 09.07.2019 N 873)

в форме разделения - объем субсидии, предоставляемой вновь возникшим юридическим лицам, формируется путем разделения объема субсидии, предоставленной федеральному бюджетному или автономному учреждению, прекращающему свою деятельность в результате реорганизации. (в ред. Постановления Правительства РФ от 09.07.2019 N 873)

Объем субсидий, предоставленных учреждениям, прекращающим свою деятельность в результате реорганизации, принимает нулевое значение. (в ред. Постановления Правительства РФ от 09.07.2019 N 873)

После завершения реорганизации объем субсидий, предоставляемых реорганизованным федеральным бюджетным или автономным учреждениям, за исключением федеральных бюджетных или автономных учреждений, прекращающих свою деятельность в результате реорганизации, должен соответствовать объему субсидии, предоставленной федеральному бюджетному или автономному учреждению до начала реорганизации. (в ред. Постановления Правительства РФ от 09.07.2019 N 873)

42. Федеральные органы исполнительной власти, осуществляющие функции по выработке государственной политики и нормативно-правовому регулированию в установленной сфере деятельности, вправе утвердить по согласованию с Министерством финансов Российской Федерации методические рекомендации по распределению субсидий, предоставляемых федеральным бюджетным или автономным учреждениям, оказывающим (выполняющим) услуги (работы) в сферах деятельности, по которым указанными органами сформированы общероссийские базовые перечни и (или) федеральные перечни. (в ред. Постановления Правительства РФ от 13.09.2017 N 1101)

43. Субсидия перечисляется в установленном порядке на счет территориального органа Федерального казначейства по месту открытия лицевого счета федеральному бюджетному или автономному учреждению или на счет, открытый в кредитной организации федеральному бюджетному или автономному учреждению, осуществляющему деятельность за пределами территории Российской Федерации. (в ред. Постановления Правительства РФ от 18.01.2023 N 38)

44. Предоставление федеральному бюджетному или автономному учреждению субсидии в течение финансового года осуществляется на основании соглашения о порядке и условиях предоставления субсидии, заключаемого органом, осуществляющим функции и полномочия учредителя в отношении федеральных бюджетных или автономных учреждений, с федеральным бюджетным или автономным учреждением в соответствии с типовой формой, утвержденной Министерством финансов Российской Федерации (далее - соглашение). Соглашение определяет права, обязанности и ответственность сторон, в том числе объем и периодичность перечисления субсидии в течение финансового года. Соглашение заключается сторонами не позднее 15 рабочих дней со дня утверждения государственного задания. (в ред. Постановлений Правительства РФ от 06.10.2016 N 1006, от 09.07.2019 N 873)

Предоставление субсидии федеральным бюджетным или автономным учреждениям, выполняющим функции главного распорядителя средств федерального бюджета, осуществляется в соответствии с правовым актом этого учреждения, содержащим положения об объеме и периодичности предоставления субсидии в течение финансового года и порядок взаимодействия структурных подразделений учреждения по предоставлению субсидии.

Соглашение, не содержащее сведений, составляющих государственную тайну, а также дополнение к нему (при наличии), в том числе дополнительное соглашение о расторжении соглашения о порядке и условиях предоставления субсидии (при наличии), формируются и подписываются сторонами в системе "Электронный бюджет". (в ред. Постановлений Правительства РФ от 06.10.2016 N 1006, от 13.09.2017 N 1101)

Соглашение, не содержащее сведений, составляющих государственную тайну, а также дополнение к нему (при наличии), в том числе дополнительное соглашение о расторжении соглашения о порядке и условиях предоставления субсидии (при наличии), с федеральными бюджетными и автономными учреждениями, функции и полномочия учредителя в отношении которых осуществляет Правительство Российской Федерации, если иное не предусмотрено уставами федеральных бюджетных и автономных учреждений, формируются в системе "Электронный бюджет" и подписываются сторонами. (в ред. Постановлений Правительства РФ от 06.10.2016 N 1006, от 13.09.2017 N 1101)

Соглашение, а также дополнительное соглашение к нему (при наличии), в том числе дополнительное соглашение о расторжении соглашения о порядке и условиях предоставления субсидии (при наличии), не содержащее сведений, составляющих государственную тайну, подлежит обязательному размещению в реестре соглашений (договоров) о предоставлении субсидий, бюджетных инвестиций, межбюджетных трансфертов, ведение которого осуществляется в порядке, установленном Министерством финансов Российской Федерации. Указанный реестр размещается на едином портале бюджетной системы Российской Федерации. (в ред. Постановлений Правительства РФ от 06.10.2016 N 1006, от 13.09.2017 N 1101, от 09.07.2019 N 873)

45. Перечисление субсидии осуществляется в соответствии с графиком, содержащимся в соглашении или правовых актах, указанных в пунктах 40 и 44 настоящего Положения, не реже одного раза в квартал в сумме, не превышающей:

а) 25 процентов годового размера субсидии в течение I квартала;

б) 50 процентов годового размера субсидии в течение первого полугодия; (в ред. Постановления Правительства РФ от 13.09.2017 N 1101)

в) 75 процентов годового размера субсидии в течение 9 месяцев.

46. Перечисление платежа, завершающего выплату субсидии, в IV квартале должно осуществляться не позднее 1 декабря текущего финансового года после предоставления в срок, установленный в государственном задании, федеральным бюджетным или автономным учреждением предварительного отчета о выполнении государственного задания в части предварительной оценки достижения плановых показателей годового объема оказания государственных услуг за соответствующий финансовый год, составленного по форме, аналогичной форме отчета о выполнении государственного задания, предусмотренной приложением N 2 к настоящему Положению. В предварительном отчете указываются показатели по объему и качеству, запланированные к исполнению по завершении текущего финансового года (с учетом фактического выполнения указанных показателей на отчетную дату). В случае если показатели предварительной оценки достижения плановых показателей годового объема оказания государственных услуг, указанные в предварительном отчете, меньше показателей, установленных в государственном задании (с учетом допустимых (возможных) отклонений), то государственное задание подлежит уточнению в соответствии с указанными в предварительном отчете показателями. (в ред. Постановлений Правительства РФ от 13.09.2017 N 1101, от 16.07.2020 N 1052)

Если на основании отчета о выполнении государственного задания, предусмотренного пунктом 47 настоящего Положения, показатели объема, указанные в отчете о выполнении государственного задания, меньше показателей, установленных в государственном задании (с учетом допустимых (возможных) отклонений), то соответствующие средства субсидии подлежат перечислению в федеральный бюджет в соответствии с бюджетным законодательством Российской Федерации в объеме, соответствующем показателям, характеризующим объем неоказанной государственной услуги (невыполненной работы), и учитываются в порядке, установленном для учета сумм возврата дебиторской задолженности. (в ред. Постановлений Правительства РФ от 06.10.2016 N 1006, от 09.07.2019 N 873)

Предварительный отчет об исполнении государственного задания в части работ за соответствующий финансовый год, указанный в абзаце первом настоящего пункта, представляется федеральным бюджетным или автономным учреждением при установлении органом, осуществляющим функции и полномочия учредителя, требования о его представлении в государственном задании. В случае если органом, осуществляющим функции и полномочия учредителя в отношении федеральных бюджетных или автономных учреждений, устанавливаются требования о представлении предварительного отчета о выполнении государственного задания в части, касающейся работ, за соответствующий финансовый год, заполнение и оценка предварительного отчета осуществляется в порядке, определенном абзацем первым настоящего пункта. (в ред. Постановлений Правительства РФ от 04.11.2016 N 1136, от 13.09.2017 N 1101)

Расчет объема субсидии, подлежащей возврату в федеральный бюджет, осуществляется с применением нормативных затрат на оказание государственных услуг (выполнение работ), определяемых в соответствии с настоящим Положением, по форме, предусмотренной соглашением. (в ред. Постановления Правительства РФ от 09.07.2019 N 873)

Федеральные бюджетные или автономные учреждения обеспечивают возврат в федеральный бюджет субсидии в объеме, рассчитанном в соответствии с положениями абзаца четвертого настоящего пункта, не позднее 1 мая текущего финансового года. (в ред. Постановления Правительства РФ от 09.07.2019 N 873)

46.1. Требования, установленные пунктами 45 и 46 настоящего Положения, связанные с перечислением субсидии, не распространяются: (в ред. Постановлений Правительства РФ от 06.10.2016 N 1006, от 13.09.2017 N 1101)

а) на федеральное бюджетное или автономное учреждение, оказание услуг (выполнение работ) которого зависит от сезонных условий, если органом, осуществляющим функции и полномочия учредителя, не установлено иное; (в ред. Постановления Правительства РФ от 06.10.2016 N 1006)

б) на учреждение, находящееся в процессе реорганизации или ликвидации; (в ред. Постановления Правительства РФ от 06.10.2016 N 1006)

в) на предоставление субсидии в части выплат в рамках указов Президента Российской Федерации от 7 мая 2012 г. N 597 "О мероприятиях по реализации государственной социальной политики", от 1 июня 2012 г. N 761 "О Национальной стратегии действий в интересах детей на 2012 - 2017 годы" и от 28 декабря 2012 г. N 1688 "О некоторых мерах по реализации государственной политики в сфере защиты детей-сирот и детей, оставшихся без попечения родителей", а также в установленных абзацем третьим пункта 41 настоящего Положения случаях, приводящих к изменению объема субсидии в течение срока выполнения государственного задания; (в ред. Постановлений Правительства РФ от 06.10.2016 N 1006, от 05.08.2022 N 1388)

г) на федеральное бюджетное или автономное учреждение, оказывающее государственные услуги (выполняющее работы), процесс оказания (выполнения) которых требует неравномерного финансового обеспечения в течение финансового года, если органом, осуществляющим функции и полномочия учредителя в отношении федеральных бюджетных и автономных учреждений, не установлено иное. (в ред. Постановления Правительства РФ от 13.09.2017 N 1101)

47. Федеральные бюджетные и автономные учреждения, федеральные казенные учреждения представляют соответственно органам, осуществляющим функции и полномочия учредителей в отношении федеральных бюджетных или автономных учреждений, главным распорядителям средств федерального бюджета, в ведении которых находятся федеральные казенные учреждения, отчет о выполнении государственного задания, предусмотренный приложением N 2 к настоящему Положению, в соответствии с требованиями, установленными в государственном задании.

Указанный отчет представляется в сроки, установленные государственным заданием, но не позднее 1 марта финансового года, следующего за отчетным. (в ред. Постановления Правительства РФ от 06.10.2016 N 1006)

В случае если органом, осуществляющим функции и полномочия учредителя в отношении федеральных бюджетных или автономных учреждений, главным распорядителем средств федерального бюджета, в ведении которого находятся федеральные казенные учреждения, предусмотрено представление отчета о выполнении государственного задания в части, касающейся показателей объема оказания государственных услуг (выполнения работ), на иную дату (ежемесячно, ежеквартально), показатели отчета формируются на отчетную дату нарастающим итогом с начала года. При этом орган, осуществляющий функции и полномочия учредителя в отношении федеральных бюджетных или автономных учреждений, и главный распорядитель средств федерального бюджета, в ведении которого находятся федеральные казенные учреждения, вправе установить плановые показатели достижения результатов на установленную им отчетную дату в процентах от годового объема оказания государственных услуг (выполнения работ) или в натуральных показателях как для государственного задания в целом, так и относительно его части (с учетом неравномерного процесса их оказания (выполнения). (в ред. Постановления Правительства РФ от 13.09.2017 N 1101)

48. Контроль за выполнением государственного задания федеральными бюджетными и автономными учреждениями, федеральными казенными учреждениями осуществляют соответственно органы, осуществляющие функции и полномочия учредителя в отношении федеральных бюджетных или автономных учреждений, и главные распорядители средств федерального бюджета, в ведении которых находятся федеральные казенные учреждения, а также федеральный орган исполнительной власти, осуществляющий функции по контролю и надзору в финансово-бюджетной сфере. (в ред. Постановления Правительства РФ от 25.05.2016 N 464)

Правила осуществления контроля органами, осуществляющими функции и полномочия учредителей, и главными распорядителями средств федерального бюджета, в ведении которых находятся федеральные казенные учреждения, за выполнением государственного задания устанавливаются указанными органами и должны предусматривать в том числе: (в ред. Постановления Правительства РФ от 16.07.2020 N 1052)

документы, применяемые федеральным государственным учреждением в целях подтверждения информации о потребителях оказываемых государственных услуг (выполняемых работ) и выполнения содержащихся в государственном задании показателей объема оказываемых услуг (выполняемых работ), а также (при необходимости) формы указанных документов; (в ред. Постановления Правительства РФ от 28.12.2020 N 2313)

формы аналитической отчетности, подтверждающие оказание услуг (выполнение работ) и периодичность ее формирования. (в ред. Постановления Правительства РФ от 16.07.2020 N 1052)

Приложение N 1
к Положению о формировании
государственного задания на оказание
государственных услуг (выполнение
работ) в отношении федеральных
государственных учреждений
и финансовом обеспечении выполнения
государственного задания

УТВЕРЖДАЮ
Руководитель
(уполномоченное лицо)
       
           
  (наименование органа, осуществляющего функции и полномочия учредителя, главного распорядителя средств федерального бюджета, федерального государственного учреждения)
           
  (должность)   (подпись)   (расшифровка подписи)
           
  "__" ______________ 20__ г.
ГОСУДАРСТВЕННОЕ ЗАДАНИЕ N <1>    
  НА 20__ ГОД И НА ПЛАНОВЫЙ ПЕРИОД 20__ И 20__ ГОДОВ  

(в ред. Постановлений Правительства РФ от 09.07.2019 N 873, от 16.07.2020 N 1052)

    Коды
    Форма по ОКУД 0506001
     
    Дата начала действия  
    Дата окончания действия <2>  
Наименование федерального государственного учреждения (обособленного подразделения)   Код по сводному реестру  
Вид деятельности федерального государственного учреждения (обособленного подразделения)   По ОКВЭД  
    По ОКВЭД  
  По ОКВЭД  
  (указываются виды деятельности федерального государственного учреждения, по которым ему утверждается государственное задание)    

Часть I. Сведения об оказываемых государственных услугах <3>

Раздел ____

1. Наименование государственной услуги   Код по общероссийскому базовому перечню или федеральному перечню  
2. Категории потребителей государственной услуги      
     

3. Показатели, характеризующие объем и (или) качество государственной услуги

3.1. Показатели, характеризующие качество государственной услуги <4>

Уникальный номер реестровой записи <5> Показатель, характеризующий содержание государственной услуги Показатель, характеризующий условия (формы) оказания государственной услуги Показатель качества государственной услуги Значение показателя качества государственной услуги Допустимые (возможные) отклонения от установленных показателей качества государственной услуги <7>
наименование показателя <5> наименование показателя <5> наименование показателя <5> наименование показателя <5> наименование показателя <5> наименование показателя <5> единица измерения 20__ год
(очередной финансовый год)
20__ год
(1-й год планового периода)
20__ год
(2-й год планового периода)
в процентах в абсолютных величинах
наименование <5> код по ОКЕИ <6>
1 2 3 4 5 6 7 8 9 10 11 12 13 14
                           
               
                           

3.2. Показатели, характеризующие объем государственной услуги

Уникальный номер реестровой записи <5> Показатель, характеризующий содержание государственной услуги <5> Показатель, характеризующий условия (формы) оказания государственной услуги <5> Показатель объема государственной услуги Значение показателя объема государственной услуги Размер платы (цена, тариф) <8> Допустимые (возможные) отклонения от установленных показателей объема государственной услуги <7>
наименование показателя <5> наименование показателя <5> наименование показателя <5> наименование показателя <5> наименование показателя <5> наименование показателя <5> единица измерения 20__ год (очередной финансовый год) 20__ год (1-й год планового периода) 20__ год (2-й год планового периода) 20__ год (очередной финансовый год) 20__ год (1-й год планового периода) 20__ год (2-й год планового периода) в процентах в абсолютных величинах
наименование <5> код по ОКЕИ <6>
1 2 3 4 5 6 7 8 9 10 11 12 13 14 15 16 17
                                 
                     
                                 

4. Нормативные правовые акты, устанавливающие размер платы (цену, тариф) либо порядок ее установления

Нормативный правовой акт
вид принявший орган дата номер наименование
1 2 3 4 5
         

5. Порядок оказания государственной услуги

5.1. Нормативные правовые акты, регулирующие порядок оказания государственной услуги  
  (наименование, номер и дата нормативного правового акта)

5.2. Порядок информирования потенциальных потребителей государственной услуги

Способ информирования Состав размещаемой информации Частота обновления информации
1 2 3
     

Часть II. Сведения о выполняемых работах <3>

Раздел ______

1. Наименование работы   Код по федеральному перечню
   
2. Категории потребителей работы    
     

3. Показатели, характеризующие объем и (или) качество работы

3.1. Показатели, характеризующие качество работы <4>

Уникальный номер реестровой записи <5> Показатель, характеризующий содержание работы Показатель, характеризующий условия (формы) выполнения работы Показатель качества работы Значение показателя качества работы Допустимые (возможные) отклонения от установленных показателей качества работы <7>
наименование показателя <5> наименование показателя <5> наименование показателя <5> наименование показателя <5> наименование показателя <5> наименование показателя <5> единица измерения 20__ год
(очередной финансовый год)
20__ год
(1-й год планового периода)
20__ год
(2-й год планового периода)
в процентах в абсолютных величинах
наименование <5> код по ОКЕИ <6>
1 2 3 4 5 6 7 8 9 10 11 12 13 14
                           
               
                           

3.2. Показатели, характеризующие объем работы

Уникальный номер реестровой записи <5> Показатель, характеризующий содержание работы Показатель, характеризующий условия (формы) выполнения работы Показатель объема работы Значение показателя объема работы Размер
платы (цена, тариф) <8>
Допустимые (возможные) отклонения от установленных показателей объема работы <7>
наименование показателя <5> наименование показателя <5> наименование показателя <5> наименование показателя <5> наименование показателя <5> наименование показателя <5> единица измерения описание работы 20__ год
(очередной финансовый год)
20__ год
(1-й год планового периода)
20__ год
(2-й год планового периода)
20__ год
(очередной финансовый год)
20__ год
(1-й год планового периода)
20__ год
(2-й год планового периода)
в процентах в абсолютных величинах
наименование <5> код по ОКЕИ <6>
1 2 3 4 5 6 7 8 9 10 11 12 13 14 15 16 17 18
                                   
                       
                                   

4. Нормативные правовые акты, устанавливающие размер платы (цену, тариф) либо порядок ее установления <7>

Нормативный правовой акт
вид принявший орган дата номер наименование
1 2 3 4 5
         

Часть III. Прочие сведения о государственном задании <9>

1. Основания (условия и порядок) для досрочного прекращения выполнения государственного задания  
2. Иная информация, необходимая для выполнения (контроля за выполнением) государственного задания  
3. Порядок контроля за выполнением государственного задания  
Форма контроля Периодичность Федеральные органы исполнительной власти (государственные органы), осуществляющие контроль за выполнением государственного задания
1 2 3
     
4. Требования к отчетности о выполнении государственного задания  
4.1. Периодичность представления отчетов о выполнении государственного задания  
4.2. Сроки представления отчетов о выполнении государственного задания  
4.2.1. Сроки представления предварительного отчета о выполнении государственного задания  
4.3. Иные требования к отчетности о выполнении государственного задания  
5. Иные показатели, связанные с выполнением государственного задания <10>  

<1> Номер государственного задания присваивается в системе "Электронный бюджет".

<2> Заполняется в случае досрочного прекращения выполнения государственного задания.

<3> Формируется при установлении государственного задания на оказание государственной услуги (услуг) и выполнение работы (работ) и содержит требования к оказанию государственной услуги (услуг) и выполнению работы (работ) раздельно по каждой из государственных услуг (работ) с указанием порядкового номера раздела.

<4> Заполняется в соответствии с показателями, характеризующими качество услуг (работ), установленными в общероссийском базовом перечне или федеральном перечне, и единицами их измерения. (в ред. Постановления Правительства РФ от 16.07.2020 N 1052)

<5> Заполняется в соответствии с общероссийскими базовыми перечнями или федеральными перечнями.

<6> Заполняется в соответствии с кодом, указанным в общероссийском базовом перечне или федеральном перечне (при наличии).

<7> Заполняется в случае если для разных услуг (работ) устанавливаются различные показатели допустимых (возможных) отклонений или если указанные отклонения устанавливаются в абсолютных величинах. В случае если единицей объема работы является работа в целом, показатель не указывается.

<8> Заполняется в случае, если оказание услуг (выполнение работ) осуществляется на платной основе в соответствии с законодательством Российской Федерации в рамках государственного задания. При оказании услуг (выполнении работ) на платной основе сверх установленного государственного задания указанный показатель не формируется.

<9> Заполняется в целом по государственному заданию.

<10> В числе иных показателей может быть указано допустимое (возможное) отклонение от выполнения государственного задания (части государственного задания), в пределах которого оно (его часть) считается выполненным, при принятии органом, осуществляющим функции и полномочия учредителя федеральных бюджетных или автономных учреждений, главным распорядителем средств федерального бюджета, в ведении которого находятся федеральные казенные учреждения, решения об установлении общего допустимого (возможного) отклонения от выполнения государственного задания, в пределах которого оно считается выполненным (в процентах, в абсолютных величинах). В этом случае допустимые (возможные) отклонения, предусмотренные подпунктами 3.1 и 3.2 частей I и II настоящего государственного задания, принимают значения, равные установленному допустимому (возможному) отклонению от выполнения государственного задания (части государственного задания). В случае установления требования о представлении ежемесячных или ежеквартальных отчетов о выполнении государственного задания в числе иных показателей устанавливаются показатели выполнения государственного задания в процентах от годового объема оказания государственных услуг (выполнения работ) или в абсолютных величинах как для государственного задания в целом, так и относительно его части (в том числе с учетом неравномерного оказания государственных услуг (выполнения работ) в течение календарного года).

Приложение N 1.1
к Положению о формировании
государственного задания на оказание
государственных услуг (выполнение
работ) в отношении федеральных
государственных учреждений
и финансовом обеспечении выполнения
государственного задания

УТВЕРЖДАЮ
Руководитель
(уполномоченное лицо)
       
           
  (наименование федерального государственного учреждения)
           
  (должность)   (подпись)   (расшифровка подписи)
           
  "__" ______________ 20__ г.
РАСПРЕДЕЛЕНИЕ ПОКАЗАТЕЛЕЙ ОБЪЕМА ГОСУДАРСТВЕННЫХ УСЛУГ (РАБОТ), СОДЕРЖАЩИХСЯ В ГОСУДАРСТВЕННОМ ЗАДАНИИ N <1>    
  НА 20__ ГОД И НА ПЛАНОВЫЙ ПЕРИОД 20__ И 20__ ГОДОВ  

(в ред. Постановления Правительства РФ от 09.07.2019 N 873)

  Коды
  Форма по ОКУД 0506001
   
Дата начала действия  
Дата окончания действия <3>  
Номер государственного задания <2>      
Наименование федерального государственного учреждения   Код по сводному реестру  

Часть I. Сведения об оказываемых государственных услугах <4>

Раздел ______

1. Наименование государственной услуги   Код по общероссийскому базовому перечню или федеральному перечню
2. Категории потребителей государственной услуги      
     

3. Показатели, характеризующие объем государственной услуги <5>

Наименование обособленного подразделения Уникальный номер реестровой записи Показатель, характеризующий содержание государственной услуги Показатель, характеризующий условия (формы) оказания государственной услуги Показатель объема государственной услуги Значение показателя объема государственной услуги Размер платы (цена, тариф) Допустимые (возможные) отклонения от установленных показателей объема государственной услуги
наименование показателя единица измерения 20__ год (очередной финансовый год) 20__ год (1-й год планового периода) 20__ год (2-й год планового периода) 20__ год (очередной финансовый год) 20__ год (1-й год планового периода) 20__ год (2-й год планового периода) в процентах в абсолютных величинах
наименование код по ОКЕИ
наименование показателя наименование показателя наименование показателя наименование показателя наименование показателя
1 2 3 4 5 6 7 8 9 10 11 12 13 14 15 16 17 18
                                   
                         
                                 
                         
                                   
                         
                                 
                         

Часть II. Сведения о выполняемых работах <4>

Раздел ______

1. Наименование работы   Код по федеральному перечню  
   
2. Категории потребителей работы    
       

3. Показатели, характеризующие объем работы <5>

Наименование обособленного подразделения Уникальный номер реестровой записи Показатель, характеризующий содержание работы Показатель, характеризующий условия (формы) выполнения работы Показатель объема работы Значение показателя объема работы Размер платы (цена, тариф) Допустимые (возможные) отклонения от установленных показателей объема работы
наименование показателя единица измерения 20__ год
(очередной финансовый год)
20__ год
(1-й год планового периода)
20__ год
(2-й год планового периода)
20__ год
(очередной финансовый год)
20__ год
(1-й год планового периода)
20__ год
(2-й год планового периода)
в процентах в абсолютных величинах
наименование код по ОКЕИ
наименование показателя наименование показателя наименование показателя наименование показателя наименование показателя
1 2 3 4 5 6 7 8 9 10 11 12 13 14 15 16 17 18
                                   
                         
                                 
                         
                                   
                         
                                 
                         

<1> Номер распределения показателей объема государственных услуг (работ), содержащихся в государственном задании, присвоенный в системе "Электронный бюджет".

<2> Номер государственного задания, присвоенный в системе "Электронный бюджет".

<3> Заполняется в случае досрочного прекращения выполнения распределения показателей объема государственных услуг (работ), содержащихся в государственном задании, утвержденного обособленному подразделению.

<4> Формируется при установлении распределения показателей объема государственных услуг (работ), содержащихся в государственном задании, и содержит требования к оказанию государственной услуги (услуг) и выполнению работы (работ) обособленным подразделением раздельно по каждой из государственных услуг (работ) с указанием порядкового номера раздела.

<5> Заполняется в соответствии с государственным заданием.

Приложение N 2
к Положению о формировании
государственного задания на оказание
государственных услуг (выполнение
работ) в отношении федеральных
государственных учреждений
и финансовом обеспечении выполнения
государственного задания

ОТЧЕТ О ВЫПОЛНЕНИИ ГОСУДАРСТВЕННОГО ЗАДАНИЯ N <1>    
  НА 20__ ГОД И НА ПЛАНОВЫЙ ПЕРИОД 20__ И 20__ ГОДОВ  

(в ред. Постановления Правительства РФ от 09.07.2019 N 873)

  Коды
    Форма по ОКУД 0506501
на "__" ________ 20__ г. <2> Дата  
Наименование федерального государственного учреждения (обособленного подразделения)   Код по сводному реестру  
   
Вид деятельности федерального государственного учреждения (обособленного подразделения)   По ОКВЭД  
    По ОКВЭД  
    По ОКВЭД  
  (указываются виды деятельности федерального государственного учреждения, по которым ему утверждено государственное задание)    
Периодичность      
  (указывается в соответствии с периодичностью представления отчета о выполнении государственного задания, установленной в государственном задании)    

Часть I. Сведения об оказываемых государственных услугах <3>

Раздел ______

1. Наименование государственной услуги   Код по общероссийскому базовому перечню или федеральному перечню  
2. Категории потребителей государственной услуги      

3. Сведения о фактическом достижении показателей, характеризующих объем и (или) качество государственной услуги

3.1. Сведения о фактическом достижении показателей, характеризующих качество государственной услуги

Уникальный номер реестровой записи <4> Показатель, характеризующий содержание государственной услуги Показатель, характеризующий условия (формы) оказания государственной услуги Показатель качества государственной услуги
наименование показателя <4> единица измерения значение допустимое (возможное) отклонение <7> отклонение, превышающее допустимое (возможное) отклонение <8> причина отклонения
наименование <4> код по ОКЕИ <4> утверждено в государственном задании на год <4> утверждено в государственном задании на отчетную дату <5> исполнено на отчетную дату <6>
наименование показателя <4> наименование показателя <4> наименование показателя <4> наименование показателя <4> наименование показателя <4>
1 2 3 4 5 6 7 8 9 10 11 12 13 14 15
                             
                 
                             

3.2. Сведения о фактическом достижении показателей, характеризующих объем государственной услуги

Уникальный номер реестровой записи <4> Показатель, характеризующий содержание государственной услуги Показатель, характеризующий условия (формы) оказания государственной услуги Показатель объема государственной услуги Размер платы (цена, тариф)
наименование показателя <4> единица измерения значение допустимое (возможное) отклонение <7> отклонение, превышающее допустимое (возможное) отклонение <8> причина отклонения
наименование <4> код по ОКЕИ <4> утверждено в государственном задании на год <4> утверждено в государственном задании на отчетную дату <5> исполнено на отчетную дату <6>
наименование показателя <4> наименование показателя <4> наименование показателя <4> наименование показателя <4> наименование показателя <4>
1 2 3 4 5 6 7 8 9 10 11 12 13 14 15 16
                               
                   
                               

Часть II. Сведения о выполняемых работах <3>

Раздел ______

1. Наименование работы   Код по федеральному перечню
 
2. Категории потребителей работы    
     

3. Сведения о фактическом достижении показателей, характеризующих объем и (или) качество работы

3.1. Сведения о фактическом достижении показателей, характеризующих качество работы

Уникальный номер реестровой записи <4> Показатель, характеризующий содержание работы Показатель, характеризующий условия (формы) выполнения работы Показатель качества работы
наименование показателя <4> единица измерения значение допустимое (возможное) отклонение <7> отклонение, превышающее допустимое (возможное) отклонение <8> причина отклонения
наименование <4> код по ОКЕИ <4> утверждено в государственном задании на год <4> утверждено в государственном задании на отчетную дату <5> исполнено на отчетную дату <6>
наименование показателя <4> наименование показателя <4> наименование показателя <4> наименование показателя <4> наименование показателя <4>
1 2 3 4 5 6 7 8 9 10 11 12 13 14 15
                             
                 
                             

3.2. Сведения о фактическом достижении показателей, характеризующих объем работы

Уникальный номер реестровой записи <4> Показатель, характеризующий содержание работы Показатель, характеризующий условия (формы) выполнения работы Показатель объема работы Размер платы (цена, тариф)
наименование показателя <4> единица измерения значение допустимое (возможное) отклонение <7> отклонение, превышающее допустимое (возможное) отклонение <8> причина отклонения
наименование показателя <4> наименование показателя <4> наименование показателя <4> наименование показателя <4> наименование показателя <4> наименование <4> код по ОКЕИ <4> утверждено в государственном задании на год <4> утверждено в государственном задании на отчетную дату <5> исполнено на отчетную дату <6>
1 2 3 4 5 6 7 8 9 10 11 12 13 14 15 16
                               
                   
                               
Руководитель
(уполномоченное лицо)
         
  (должность)   (подпись)   (расшифровка подписи)

"__" ___________ 20__ г.

<1> Указывается номер государственного задания, по которому формируется отчет.

<2> Указывается дата, на которую составляется отчет.

<3> Формируется при установлении государственного задания на оказание государственной услуги (услуг) и выполнение работы (работ) и содержит требования к оказанию государственной услуги (услуг) и выполнению работы (работ) раздельно по каждой из государственных услуг (работ) с указанием порядкового номера раздела.

<4> Формируется в соответствии с государственным заданием.

<5> Заполняется в случае установления органом, осуществляющим функции и полномочия учредителя, требования о представлении промежуточного отчета о выполнении государственного задания. При установлении показателя достижения результатов выполнения государственного задания на отчетную дату в процентах от годового объема оказания государственной услуги (выполнения работы) рассчитывается путем умножения годового объема государственной услуги (работы) на установленный процент достижения результатов выполнения государственного задания на отчетную дату, в том числе с учетом неравномерного оказания государственных услуг (выполнения работ) в течение календарного года. При установлении показателя достижения результатов выполнения государственного задания на отчетную дату в абсолютных величинах заполняется в соответствии с государственным заданием (в том числе с учетом неравномерного оказания государственных услуг (выполнения работ) в течение календарного года).

<6> В предварительном отчете указываются показатели объема и (или) качества государственной услуги (работы), запланированные к исполнению по завершении текущего финансового года.

<7> Рассчитывается путем умножения значения показателя объема и (или) качества государственной услуги (работы), установленного в государственном задании (графа 10), на установленное в государственном задании значение допустимого (возможного) отклонения от установленных показателей качества (объема) государственной услуги (работы), в пределах которого государственное задание считается выполненным (в процентах), при установлении допустимого (возможного) отклонения от установленных показателей качества (объема) государственной услуги (работы) в абсолютных величинах заполняется в соответствии с государственным заданием. Значение указывается в единицах измерения показателя, установленных в государственном задании (графа 8), в целых единицах. Значение менее 0,5 единицы отбрасывается, а 0,5 единицы и более округляется до целой единицы. В случае если единицей объема работы является работа в целом, показатели граф 13 и 14 пункта 3.2 части II настоящего отчета не рассчитываются.

<8> Рассчитывается при формировании отчета за год как разница показателей граф 10, 12 и 13.