Приказ Минэнерго РФ от 12.07.2024 N 864

"Об утверждении Методических указаний по разработке прогноза потребления электрической энергии и мощности на долгосрочный период и внесении изменений в Методические указания по проектированию развития энергосистем, утвержденные приказом Минэнерго России от 6 декабря 2022 г. N 1286"
Редакция от 12.07.2024 — Действует с 22.09.2024

Данный документ не поддерживается в сервисе Норматив.

Зарегистрировано в Минюсте России 11 сентября 2024 г. N 79427


МИНИСТЕРСТВО ЭНЕРГЕТИКИ РОССИЙСКОЙ ФЕДЕРАЦИИ

ПРИКАЗ
от 12 июля 2024 г. N 864

ОБ УТВЕРЖДЕНИИ МЕТОДИЧЕСКИХ УКАЗАНИЙ ПО РАЗРАБОТКЕ ПРОГНОЗА ПОТРЕБЛЕНИЯ ЭЛЕКТРИЧЕСКОЙ ЭНЕРГИИ И МОЩНОСТИ НА ДОЛГОСРОЧНЫЙ ПЕРИОД И ВНЕСЕНИИ ИЗМЕНЕНИЙ В МЕТОДИЧЕСКИЕ УКАЗАНИЯ ПО ПРОЕКТИРОВАНИЮ РАЗВИТИЯ ЭНЕРГОСИСТЕМ, УТВЕРЖДЕННЫЕ ПРИКАЗОМ МИНЭНЕРГО РОССИИ ОТ 6 ДЕКАБРЯ 2022 Г. N 1286

В соответствии с абзацем четвертым пункта 2 статьи 21, абзацем пятым пункта 2 статьи 28 Федерального закона от 26 марта 2003 г. N 35-ФЗ "Об электроэнергетике", подпунктом 4.2.14(21) пункта 4 Положения о Министерстве энергетики Российской Федерации, утвержденного постановлением Правительства Российской Федерации от 28 мая 2008 г. N 400, подпунктом "в" пункта 1 постановления Правительства Российской Федерации от 2 марта 2017 г. N 244 "О совершенствовании требований к обеспечению надежности и безопасности электроэнергетических систем и объектов электроэнергетики и внесении изменений в некоторые акты Правительства Российской Федерации", а также абзацем пятым подпункта "б" пункта 3 постановления Правительства Российской Федерации от 30 декабря 2022 г. N 2556 "Об утверждении Правил разработки и утверждения документов перспективного развития электроэнергетики, изменении и признании утратившими силу некоторых актов и отдельных положений некоторых актов Правительства Российской Федерации" приказываю:

Утвердить прилагаемые:

Методические указания по разработке прогноза потребления электрической энергии и мощности на долгосрочный период согласно приложению N 1 к настоящему приказу;

изменения, которые вносятся в Методические указания по проектированию развития энергосистем, утвержденные приказом Минэнерго России от 6 декабря 2022 г. N 1286 <1>, согласно приложению N 2 к настоящему приказу.

<1> Зарегистрирован Минюстом России 30 декабря 2022 г., регистрационный N 71920.

Министр
С.Е. ЦИВИЛЕВ

Приложение N 1
к приказу Минэнерго России
от 12 июля 2024 г. N 864

МЕТОДИЧЕСКИЕ УКАЗАНИЯ ПО РАЗРАБОТКЕ ПРОГНОЗА ПОТРЕБЛЕНИЯ ЭЛЕКТРИЧЕСКОЙ ЭНЕРГИИ И МОЩНОСТИ НА ДОЛГОСРОЧНЫЙ ПЕРИОД

I. Основные положения

1. Настоящие Методические указания по разработке прогноза потребления электрической энергии и мощности на долгосрочный период (далее - Методические указания) определяют порядок разработки системным оператором электроэнергетических систем России (далее - системный оператор) прогноза потребления электрической энергии и мощности на период продолжительностью 18 календарных лет, начиная с года, следующего за планируемым годом утверждения генеральной схемы размещения объектов электроэнергетики (далее соответственно - долгосрочный период, генеральная схема).

2. Прогноз потребления электрической энергии и мощности на долгосрочный период (далее - долгосрочный прогноз потребления) разрабатывается системным оператором при формировании генеральной схемы и включает прогноз годовых значений потребления электрической энергии и максимального потребления мощности с детализацией по Единой энергетической системе России (далее - ЕЭС России), синхронным зонам в составе ЕЭС России (далее - синхронная зона) и технологически изолированным территориальным электроэнергетическим системам на долгосрочный период с разбивкой по каждому году указанного периода.

3. Для обоснования вариантов развития генерирующих мощностей и электрических сетей при разработке генеральной схемы системным оператором должна выполняться дополнительная детализация долгосрочного прогноза потребления до уровня отдельных территориальных энергосистем и (или) энергорайонов. Получаемые при этом значения потребления электрической энергии и максимального потребления мощности для отдельных территориальных энергосистем и (или) энергорайонов должны быть согласованы со значениями указанных величин для синхронной зоны или технологически изолированной территориальной электроэнергетической системы, в состав которой входят эти энергосистемы или энергорайоны.

4. При разработке долгосрочного прогноза потребления должна соблюдаться следующая последовательность основных действий:

а) разработка прогноза потребления электрической энергии по Российской Федерации в целом;

б) детализация прогноза потребления электрической энергии по синхронным зонам и технологически изолированным территориальным электроэнергетическим системам;

в) разработка прогноза максимального потребления мощности.

5. Разработка долгосрочного прогноза потребления должна осуществляться с соблюдением требований настоящих Методических указаний и главы II Методических указаний по проектированию развития энергосистем, утвержденных приказом Минэнерго России от 6 декабря 2022 г. N 1286 (далее - Методические указания по проектированию развития энергосистем).

6. Долгосрочный прогноз потребления должен разрабатываться на основе:

а) официальной статистической информации, предоставляемой системному оператору в соответствии с пунктом 19 Правил разработки и утверждения документов перспективного развития электроэнергетики, утвержденных постановлением Правительства Российской Федерации от 30 декабря 2022 г. N 2556 (далее - Правила разработки и утверждения документов перспективного развития электроэнергетики), и официальной статистической информации, опубликованной в открытом доступе, включая информацию об объемах и отраслевой структуре потребления электрической энергии в Российской Федерации, структуре и динамике внутреннего валового продукта, валовых выпусков и объемов накопленных инвестиций в основной капитал по видам экономической деятельности;

б) информации о показателях фактических балансов электрической энергии и мощности по ЕЭС России, территориальным энергосистемам в составе ЕЭС России и технологически изолированным территориальным электроэнергетическим системам, формируемых системным оператором;

в) базового сценария долгосрочного прогноза социально-экономического развития Российской Федерации, разработанного Министерством экономического развития Российской Федерации в соответствии с Правилами разработки, корректировки, осуществления мониторинга и контроля реализации прогноза социально-экономического развития Российской Федерации на долгосрочный период, утвержденными постановлением Правительства Российской Федерации от 11 ноября 2015 г. N 1218;

г) сведений о реализуемых и планируемых к реализации на территории субъектов Российской Федерации в течение долгосрочного периода инвестиционных проектах, в том числе о создании новых производств (за исключением строительства объектов электроэнергетики), расширении, реконструкции, модернизации, консервации или выводе из эксплуатации производственных мощностей на действующих предприятиях потребителей электрической энергии, предполагающих технологическое присоединение к электрическим сетям энергопринимающих устройств, для которых в соответствии с критериями, установленными Правилами технологического присоединения энергопринимающих устройств потребителей электрической энергии, объектов по производству электрической энергии, а также объектов электросетевого хозяйства, принадлежащих сетевым организациям и иным лицам, к электрическим сетям, утвержденными постановлением Правительства Российской Федерации от 27 декабря 2004 г. N 861, требуется разработка схемы внешнего электроснабжения энергопринимающих устройств (далее соответственно - инвестиционные проекты, энергопринимающие устройства, планируемые к присоединению при реализации инвестиционных проектов), предоставляемых исполнительными органами субъектов Российской Федерации в соответствии с подпунктом "а" пункта 20 Правил разработки и утверждения документов перспективного развития электроэнергетики;

д) утвержденных отраслевых документов стратегического планирования, включая отраслевые и межотраслевые стратегии, генеральные схемы топливных и транспортных отраслей или их проектов, разрабатываемых в соответствии с Федеральным законом от 28 июня 2014 г. N 172-ФЗ "О стратегическом планировании в Российской Федерации";

е) проекта схемы и программы развития электроэнергетических систем России (далее - схема и программа развития), в том числе прогноза потребления электрической энергии и мощности на период продолжительностью 6 календарных лет, начиная с года, следующего за годом разработки долгосрочного прогноза потребления (далее соответственно - среднесрочный прогноз потребления, среднесрочный период);

ж) информации субъектов электроэнергетики о планируемом изменении установленной генерирующей мощности объектов по производству электрической энергии, предоставляемой системному оператору в соответствии с Правилами предоставления информации, необходимой для осуществления оперативно-диспетчерского управления в электроэнергетике, утвержденными приказом Минэнерго России от 20 декабря 2022 г. N 1340 <2>;

<2> Зарегистрирован Минюстом России 16 марта 2023 г., регистрационный N 72599.

з) комплексных программ энергосбережения и повышения энергетической эффективности при их наличии на момент начала разработки долгосрочного прогноза потребления.

II. Разработка прогноза потребления электрической энергии по Российской Федерации

7. Для формирования детализированного по синхронным зонам и технологически изолированным территориальным электроэнергетическим системам прогноза потребления электрической энергии системный оператор должен разработать прогноз потребления электрической энергии по Российской Федерации.

Прогноз потребления электрической энергии по Российской Федерации включает значения годового потребления электрической энергии в Российской Федерации (включая потребление электрической энергии потребителями, энергопринимающие устройства которых не присоединены к энергосистеме и электроснабжение которых осуществляется децентрализованно) в отношении каждого года периода времени продолжительностью 20 календарных лет, начиная с года разработки долгосрочного прогноза потребления (далее - прогнозный период).

8. В составе прогноза потребления электрической энергии по Российской Федерации выделяются следующие составляющие:

а) потребление электрической энергии субъектами хозяйственной деятельности (за исключением потребления электрической энергии объектами электроэнергетики и потребления электрической энергии домашними хозяйствами) с выделением объемов потребления электрической энергии по следующим основным видам экономической деятельности (далее - основные ВЭД):

сельское, лесное хозяйство, охота, рыболовство и рыбоводство;

добыча полезных ископаемых;

обрабатывающие производства;

транспортировка и хранение;

производство и распределение электрической энергии, газа и воды;

строительство;

прочие виды экономической деятельности, не указанные в абзацах втором - седьмом настоящего подпункта;

б) потребление электрической энергии домашними хозяйствами;

в) потребление электрической энергии объектами электроэнергетики, включая:

потребление электрической энергии на собственные, производственные и хозяйственные нужды (далее - СН) электростанций;

заряд гидроаккумулирующих электростанций (далее - ГАЭС);

потери электрической энергии при ее передаче по электрическим сетям.

9. При разработке прогноза потребления электрической энергии по Российской Федерации системным оператором должны быть обеспечены:

а) согласованность между собой прогнозных значений потребления электрической энергии в части составляющих, указанных в пункте 8 Методических указаний, и их суммарного значения по Российской Федерации;

б) определение статистически сложившихся зависимостей электроемкостей основных ВЭД от объемов накопленных инвестиций в основной капитал, объемов душевого потребления электрической энергии от доходов населения в соответствии с пунктом 14 Методических указаний;

в) анализ прогнозной динамики валовых выпусков по основным ВЭД.

10. При разработке прогноза потребления электрической энергии по Российской Федерации в соответствии с базовым сценарием долгосрочного прогноза социально-экономического развития Российской Федерации для каждого года прогнозного периода должны быть определены значения следующих экономических переменных в ценах года, предшествующего году разработки долгосрочного прогноза потребления (далее - базовый год):

валовых выпусков для каждого основного ВЭД;

инвестиций в основной капитал;

доходов совокупности домашних хозяйств.

В случае если долгосрочный прогноз социально-экономического развития Российской Федерации, утвержденный на 1 июля года, предшествующего году утверждения генеральной схемы в соответствии с Правилами разработки и утверждения документов перспективного развития электроэнергетики, охватывает не весь период времени, начиная с года, следующего за годом окончания среднесрочного периода, до последнего года прогнозного периода включительно (далее - расчетный период), в целях определения значений указанных экономических переменных должна применяться пролонгация динамики таких экономических переменных до конца расчетного периода.

11. Прогноз потребления электрической энергии по Российской Федерации должен определяться как сумма прогнозного потребления электрической энергии по составляющим, указанным в пункте 8 Методических указаний, по следующей формуле:

, (1)

где:

- прогнозное потребление электрической энергии в Российской Федерации в году t расчетного периода (млн кВт·ч);

- прогнозное потребление электрической энергии субъектами хозяйственной деятельности, относимыми к основному ВЭДр, в году t расчетного периода (млн кВт·ч);

- прогнозное потребление электрической энергии домашними хозяйствами в году t расчетного периода (млн кВт·ч);

- прогнозное потребление электрической энергии на СН электростанций в году t расчетного периода (млн кВт·ч);

- суммарное прогнозное потребление электрической энергии на заряд ГАЭС в году t расчетного периода, определяемое в соответствии с проектными параметрами действующих и планируемых к сооружению в прогнозном периоде ГАЭС (млн кВт·ч);

- прогнозные потери электрической энергии при ее передаче и распределении в году t расчетного периода (млн кВт·ч).

12. Прогнозное потребление электрической энергии субъектами хозяйственной деятельности, относимыми к основным ВЭД, должно определяться как произведение валовых выпусков соответствующих ВЭД и их электроемкостей, представляющих собой удельные показатели потребления электрической энергии на единицу валового выпуска, по следующей формуле:

, (2)

где:

- электроемкость основного ВЭДр в году t расчетного периода;

- валовый выпуск основного ВЭДр в году t расчетного периода.

13. Прогнозное потребление электрической энергии домашними хозяйствами должно определяться как произведение прогнозных значений объемов душевого потребления электрической энергии и численности населения по следующей формуле:

, (3)

где:

- душевое потребление электрической энергии в году t расчетного периода (млн кВт·ч);

- численность населения в году t расчетного периода, по данным демографического прогноза, разрабатываемого Федеральной службой государственной статистики.

14. Прогноз электроемкостей основных ВЭД, а также душевого потребления электрической энергии должен выполняться в следующем порядке:

а) на основе информации, указанной в подпункте "а" пункта 6 Методических указаний, выполняется сопоставление фактических значений электроемкостей основных ВЭД и накопленных инвестиций в основной капитал соответствующих основных ВЭД, а также душевого потребления электрической энергии и накопленных доходов домашних хозяйств и определяются зависимости указанных величин;

б) на основе прогнозной динамики инвестиций в основной капитал и доходов домашних хозяйств на расчетный период, определенной в соответствии с пунктом 10 Методических указаний, с использованием полученных в соответствии с подпунктом "а" настоящего пункта зависимостей и имеющейся у системного оператора информации о планируемых мероприятиях по энергосбережению, повышению энергетической эффективности и (или) электрификации производственных процессов определяются величины электроемкостей основных ВЭД и душевого потребления электрической энергии для каждого года расчетного периода.

15. Прогноз потребления электрической энергии объектами электроэнергетики должен формироваться на основе совокупного потребления электрической энергии основными ВЭД, домашними хозяйствами и на заряд ГАЭС (далее - полезно потребляемая электрическая энергия) в следующем порядке:

а) потери электрической энергии при ее передаче и распределении рассчитываются как произведение суммарной полезно потребляемой электрической энергии и величины удельных потерь по следующей формуле:

, (4)

где:

- средняя величина удельных потерь электрической энергии при ее передаче и распределении на единицу полезно потребляемой электрической энергии в период времени с 2010 года до базового года включительно (далее - ретроспективный период), определяемая по следующей формуле:

, (5)

где:

- базовый год;

- фактическое потребление электрической энергии субъектами хозяйственной деятельности, относимыми к основному ВЭД p, в году t ретроспективного периода (млн кВт·ч), определяемое на основе информации, указанной в подпункте "а" пункта 6 Методических указаний;

- фактическое потребление электрической энергии домашними хозяйствами в году t ретроспективного периода (млн кВт·ч), определяемое на основе информации, указанной в подпункте "а" пункта 6 Методических указаний;

- фактическое потребление электрической энергии на заряд ГАЭС в году t ретроспективного периода (млн кВт·ч), определяемое на основе информации, указанной в подпункте "б" пункта 6 Методических указаний;

- фактические потери электрической энергии при ее передаче и распределении в году t ретроспективного периода (млн кВт·ч), определяемые на основе информации, указанной в подпункте "а" пункта 6 Методических указаний;

- множество лет ретроспективного периода;

- год ретроспективного периода;

б) потребление электрической энергии на СН электростанций рассчитывается как произведение суммарного отпуска электрической энергии от электростанций и величины среднего удельного расхода электрической энергии на СН электростанций по следующей формуле:

, (6)

где - средний удельный расход электрической энергии на СН электростанций в ретроспективный период, определяемый по следующей формуле:

, (7)

где:

- фактическое потребление электрической энергии на СН электростанций в году t ретроспективного периода (млн кВт·ч), определяемое на основе информации, указанной в подпункте "а" пункта 6 Методических указаний;

- фактическое потребление электрической энергии в Российской Федерации в году t ретроспективного периода (млн кВт·ч), определяемое на основе информации, указанной в подпункте "б" пункта 6 Методических указаний.

III. Детализация прогноза потребления электрической энергии по синхронным зонам и технологически изолированным территориальным электроэнергетическим системам

16. Детализация прогноза потребления электрической энергии по Российской Федерации по синхронным зонам и технологически изолированным территориальным электроэнергетическим системам (далее - детализация прогноза потребления электрической энергии) осуществляется на основе:

а) сведений об инвестиционных проектах, указанных в подпункте "г" пункта 6 Методических указаний;

б) статистически обоснованной доли централизованного потребления электрической энергии в потреблении электрической энергии по Российской Федерации, определенной на основе информации, указанной в подпунктах "а" и "б" пункта 6 Методических указаний;

в) статистически обоснованной динамики изменения территориальной структуры централизованного потребления электрической энергии, определенной на основе информации, указанной в пункте 6 Методических указаний.

17. Детализация прогноза потребления электрической энергии должна выполняться на основании:

а) статистически сложившихся тенденций изменения территориальной структуры потребления электрической энергии и дискретного изменения указанной структуры вследствие реализации инвестиционных проектов;

б) приоритетного использования информации о территориальной декомпозиции прогноза социально-экономического развития Российской Федерации.

18. Состав инвестиционных проектов, учитываемых при детализации прогноза потребления электрической энергии, должен удовлетворять условию непревышения динамики валового выпуска по каждому основному ВЭД в расчетном периоде, определяемого исходя из реализации всех планируемых инвестиционных проектов в заявленные сроки, над динамикой валового выпуска по основному ВЭД в расчетном периоде, определенной в соответствии с пунктом 10 Методических указаний.

19. При невыполнении условия, определенного пунктом 18 Методических указаний, состав инвестиционных проектов, учитываемых при детализации прогноза потребления электрической энергии, подлежит корректировке, при которой из состава указанных инвестиционных проектов исключаются (в порядке убывания приоритета):

а) инвестиционные проекты, по которым при предоставлении системному оператору информации в соответствии с подпунктом "а" пункта 20 Правил разработки и утверждения документов перспективного развития электроэнергетики заполнено наименьшее количество полей в форме предоставления исходных данных, содержащейся в приложении N 1 к приказу Минэнерго России от 26 декабря 2022 г. N 1364 "Об утверждении форм и форматов предоставления исходных данных, учитываемых при разработке документов перспективного развития электроэнергетики" <3>;

<3> Зарегистрирован Минюстом России 10 февраля 2023 г., регистрационный N 72315.

б) инвестиционные проекты с наиболее поздними сроками реализации.

20. Детализация прогноза потребления электрической энергии в соответствии с пунктами 17 - 19 Методических указаний должна выполняться в отношении прогноза потребления электрической энергии по Российской Федерации за вычетом суммарного прогнозного потребления электрической энергии энергопринимающими устройствами, которые планируются к присоединению при реализации инвестиционных проектов, учитываемых при детализации прогноза потребления в соответствии с пунктами 18 и 19 Методических указаний, определяемого по следующей формуле:

, (9)

где:

- прогноз потребления электрической энергии по Российской Федерации в году t расчетного периода за вычетом суммарного прогнозного потребления электрической энергии энергопринимающими устройствами, планируемыми к присоединению при реализации инвестиционных проектов (далее - потребление электрической энергии за вычетом инвестиционных проектов) (млн кВт·ч);

- прогнозное потребление электрической энергии энергопринимающими устройствами, планируемыми к присоединению при реализации i-го инвестиционного проекта, в году t расчетного периода (млн кВт·ч), определяемое на основе информации, указанной в подпункте "г" пункта 6 Методических указаний.

21. Прогноз централизованного потребления электрической энергии за вычетом инвестиционных проектов должен определяться как произведение прогнозных значений потребления электрической энергии по Российской Федерации за вычетом инвестиционных проектов и средней за ретроспективный период доли централизованного потребления электрической энергии по следующей формуле:

, (10)

где:

- централизованное потребление электрической энергии за вычетом инвестиционных проектов в году t расчетного периода (млн кВт·ч);

- средняя за ретроспективный период доля централизованного потребления электрической энергии в потреблении электрической энергии по Российской Федерации, определяемая по следующей формуле:

, (11)

где:

_ фактическое централизованное потребление электрической энергии в году t ретроспективного периода (млн кВт·ч), определяемое на основе информации, указанной в подпункте "б" пункта 6 Методических указаний;

- фактическое потребление электрической энергии по Российской Федерации в году t ретроспективного периода (млн кВт·ч).

22. Для определения прогноза потребления электрической энергии по синхронным зонам и технологически изолированным территориальным электроэнергетическим системам должны рассчитываться их доли в структуре централизованного потребления электрической энергии на последний год среднесрочного периода и средний темп изменения указанных долей в среднесрочном периоде по следующим формулам:

, (12)

, (13)

где:

- доля j-той синхронной зоны (технологически изолированной территориальной электроэнергетической системы) в структуре централизованного потребления электрической энергии в году t среднесрочного периода;

- потребление электрической энергии в j-той синхронной зоне (технологически изолированной территориальной электроэнергетической системе) в году t среднесрочного периода (млн кВт·ч), определяемое на основе информации, указанной в подпункте "б" пункта 6 Методических указаний;

- централизованное потребление электрической энергии в году t среднесрочного периода (млн кВт·ч), определяемое на основе информации, указанной в подпункте "е" пункта 6 Методических указаний;

- потребление электрической энергии энергопринимающими устройствами с максимальной мощностью 50 МВт и более, технологическое присоединение которых к электрическим сетям планируется в среднесрочном периоде, а также потребление электрической энергии ранее присоединенными энергопринимающими устройствами с максимальной мощностью 100 МВт и более, в отношении которых в среднесрочном периоде планируется изменение объемов потребления электрической энергии в пределах максимальной мощности, в j-той синхронной зоне (технологически изолированной территориальной электроэнергетической системе) в году t среднесрочного периода (млн кВт·ч);

- средний темп изменения доли j-той синхронной зоны (технологически изолированной территориальной электроэнергетической системы) в структуре централизованного потребления электрической энергии;

- последний год среднесрочного периода;

- первый год среднесрочного периода;

- доля j-той синхронной зоны (технологически изолированной территориальной электроэнергетической системы) в структуре централизованного потребления электрической энергии в последнем году среднесрочного периода;

- доля j-той синхронной зоны (технологически изолированной территориальной электроэнергетической системы) в структуре централизованного потребления электрической энергии в первом году среднесрочного периода.

В случае если в среднесрочном периоде планируется изменение состава синхронных зон и (или) технологически изолированных территориальных электроэнергетических систем, в том числе отсоединение или присоединение к ним отдельных энергорайонов, при выполнении вычислений по формуле (12) значения потребления электрической энергии по соответствующим синхронным зонам и (или) технологически изолированным территориальным электроэнергетическим системам должны быть приведены к их территориальным границам на последний год среднесрочного периода.

23. Прогноз потребления электрической энергии по синхронной зоне или технологически изолированной территориальной электроэнергетической системе должен определяться по следующим формулам:

, (14)

, (15)

где:

- прогноз потребления электрической энергии в j-той синхронной зоне (технологически изолированной территориальной электроэнергетической системе) в году t расчетного периода за вычетом инвестиционных проектов (млн кВт·ч);

- потребление электрической энергии в j-той синхронной зоне (технологически изолированной территориальной электроэнергетической системе) в году t расчетного периода (млн кВт·ч);

под символом суммы означает суммирование по инвестиционным проектам i, планируемым к реализации в j-той синхронной зоне (технологически изолированной территориальной электроэнергетической системе).

Прогноз потребления электрической энергии по ЕЭС России определяется путем сложения прогнозов потребления электрической энергии по входящим в состав ЕЭС России синхронным зонам.

24. Дополнительная детализация прогноза потребления электрической энергии до уровня отдельных территориальных энергосистем или энергорайонов, предусмотренная пунктом 3 Методических указаний, должна выполняться в соответствии с пунктами 22 и 23 Методических указаний, с использованием значений долей отдельных территориальных энергосистем или энергорайонов в структуре потребления электрической энергии соответствующей синхронной зоны или технологически изолированной территориальной электроэнергетической системы.

IV. Разработка прогноза максимального потребления мощности

25. Разработка прогноза максимального потребления мощности должна осуществляться на основе детализированного в соответствии с главой III Методических указаний прогноза потребления электрической энергии и следующей информации:

а) прогнозируемого на конец среднесрочного периода среднего числа часов использования максимума потребления мощности в соответствии со среднесрочным прогнозом потребления;

б) сведений об инвестиционных проектах, указанных в подпункте "г" пункта 6 Методических указаний;

в) статистически обоснованных коэффициентов совмещения максимумов потребления мощности;

г) отраслевой структуры прогноза потребления электрической энергии по Российской Федерации, полученной в соответствии с главой III Методических указаний.

26. Прогноз максимального потребления мощности для синхронных зон и ЕЭС России в целом должен разрабатываться в следующем порядке:

а) на основе детализированного в соответствии с пунктом 24 Методических указаний прогноза потребления электрической энергии формируется прогноз максимального потребления мощности для отдельных территориальных энергосистем и энергорайонов в составе ЕЭС России;

б) на основе прогноза максимального потребления мощности для отдельных территориальных энергосистем и энергорайонов с учетом статистически обоснованных коэффициентов совмещения максимумов потребления мощности формируется прогноз максимального потребления мощности для синхронных зон и ЕЭС России в целом;

в) полученный прогноз максимального потребления мощности для ЕЭС России верифицируется с учетом отраслевой структуры прогноза потребления электрической энергии по Российской Федерации по основным ВЭД.

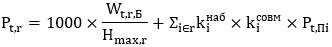
27. Прогноз максимального потребления мощности для отдельных территориальных энергосистем (энергорайонов) должен определяться по следующей формуле:

, (16)

где:

- максимальное потребление мощности территориальной энергосистемы (энергорайона) r в году t расчетного периода (МВт);

- потребление электрической энергии в территориальной энергосистеме (энергорайоне) r за вычетом инвестиционных проектов в году t расчетного периода (млн кВт·ч);

- число часов использования максимума потребления мощности территориальной энергосистемы (энергорайона) r (ч), определяемое в соответствии с пунктом 28 Методических указаний;

- коэффициент учитывающий набор мощности потребителями электрической энергии, энергопринимающие устройства которых планируются к присоединению при реализации i-го инвестиционного проекта (о.е.), определяемый в соответствии с приложением N 2 к Методическим указаниям по проектированию развития энергосистем;

- коэффициент учитывающий совмещение максимума потребления электрической энергии (мощности) потребителями электрической энергии, энергопринимающие устройства которых планируются к присоединению при реализации i-го инвестиционного проекта (о.е.), определяемый в соответствии с приложением N 3 к Методическим указаниям по определению степени загрузки вводимых после строительства объектов электросетевого хозяйства, а также по определению и применению коэффициентов совмещения максимума потребления электрической энергии (мощности) при определении степени загрузки таких объектов, утвержденных приказом Минэнерго России от 6 мая 2014 г. N 250 <4>;

<4> Зарегистрирован Минюстом России 30 мая 2014 г., регистрационный N 32513.

- максимальная мощность энергопринимающих устройств, планируемых к присоединению при реализации i-го инвестиционного проекта в году t расчетного периода (МВт);

под символом суммы означает суммирование по инвестиционным проектам i, планируемым к реализации в территориальной энергосистеме (энергорайоне) r.

28. Число часов использования максимума потребления мощности территориальной энергосистемы (энергорайона) должно определяться как отношение потребления электрической энергии к максимальному потреблению мощности в данной территориальной энергосистеме (энергорайоне) для последнего года среднесрочного периода по следующей формуле:

, (17)

где:

_ потребление электрической энергии территориальной энергосистемы (энергорайона) r в последнем году среднесрочного периода (млн кВт·ч);

- максимальное потребление мощности территориальной энергосистемы (энергорайона) r в последнем году среднесрочного периода (МВт).

В случае если в течение последнего года среднесрочного периода планируется вывод из эксплуатации энергопринимающих устройств максимальной мощностью 25 МВт и более, при определении числа часов использования максимума потребления мощности потребление электрической энергии и мощности таких энергопринимающих устройств в составляющих формулы (17) не учитывается.

В случае если в течение последнего года среднесрочного периода планируется ввод в эксплуатацию энергопринимающих устройств максимальной мощностью 25 МВт и более, при определении числа часов использования максимума потребления мощности потребление электрической энергии таких энергопринимающих устройств в числителе формулы (17) учитывается в соответствии со статистической продолжительностью использования максимума потребления мощности по видам экономической деятельности, указанной в таблице 2 приложения N 1 к Методическим указаниям по проектированию развития энергосистем.

29. Прогноз максимального потребления мощности синхронной зоны должен определяться путем сложения прогнозов максимального потребления мощности по входящим в данную синхронную зону территориальным энергосистемам и энергорайонам с применением коэффициентов совмещения по следующей формуле:

, (18)

где:

- максимальное потребление мощности j-той синхронной зоны в году t расчетного периода (МВт);

- максимальное потребление мощности территориальной энергосистемы (энергорайона) r в году t расчетного периода (МВт);

- коэффициент совмещения максимума потребления мощности территориальной энергосистемы (энергорайона) r в максимуме потребления мощности j-той синхронной зоны, определяемый в соответствии с пунктом 30 Методических указаний;

под символом суммы означает суммирование по территориальным энергосистемам (энергорайонам) r, входящим в состав j-той синхронной зоны.

30. Коэффициент совмещения максимума потребления мощности территориальной энергосистемы (энергорайона) r в максимуме потребления мощности синхронной зоны должен определяться как среднее значение за ретроспективный период, рассчитываемое по следующей формуле:

, (19)

где:

- потребление мощности территориальной энергосистемы (энергорайона) r в час максимума потребления мощности j-той синхронной зоны, в состав которой входит данная территориальная энергосистема (энергорайон), в году t ретроспективного периода (МВт);

- максимальное потребление мощности территориальной энергосистемы (энергорайона) r в году t ретроспективного периода (МВт);

под символом суммы означает суммирование по всем годам ретроспективного периода за исключением лет, в которые были зафиксированы максимальное и минимальное за весь ретроспективный период значения .

31. Прогноз максимального потребления мощности ЕЭС России должен определяться в соответствии с пунктами 29 и 30 Методических указаний, путем сложения прогнозов максимального потребления мощности по входящим в состав ЕЭС России синхронным зонам с применением коэффициентов совмещения максимумов потребления мощности синхронных зон в максимуме потребления мощности ЕЭС России.

В случае если в ретроспективном периоде произошли или в среднесрочном периоде планируются изменения состава синхронных зон, в том числе отсоединение или присоединение к ним отдельных энергорайонов, при выполнении вычислений по формулам (18) и (19), предусмотренных пунктами 29 и 30 Методических указаний, значения максимального потребления мощности по таким синхронным зонам должны быть приведены к их территориальным границам на последний год среднесрочного периода.

32. Прогноз максимального потребления мощности ЕЭС России, определенный в соответствии с пунктом 31 Методических указаний, должен быть верифицирован на основе отраслевой структуры прогноза потребления электрической энергии по Российской Федерации, полученной в соответствии с главой II Методических указаний. Указанная верификация должна выполняться в следующем порядке:

а) для каждой из составляющих прогноза потребления электрической энергии по Российской Федерации, указанных в пункте 8 Методических указаний, определяется характерное число часов использования потребления мощности по следующей формуле:

, (20)

где:

_ максимальное потребление мощности по централизованной зоне электроснабжения России в году t ретроспективного периода (МВт), определяемое суммой максимального потребления мощности ЕЭС России и потребления мощности по каждой ТИТЭС на час максимума потребления мощности ЕЭС России;

- потребление электрической энергии по составляющей m прогноза потребления электрической энергии по Российской Федерации в году t ретроспективного периода (млн кВт·ч);

- характерное число часов использования потребления мощности составляющей m прогноза потребления электрической энергии по Российской Федерации (ч);

под символом суммы означает суммирование по всем годам ретроспективного периода за исключением лет, в которые были зафиксированы максимальное и минимальное за весь ретроспективный период значения ;

б) для каждого года расчетного периода определяется прогнозное число часов использования максимума потребления мощности ЕЭС России как отношение прогнозных значений потребления электрической энергии, полученных в соответствии с пунктом 23 Методических указаний, и максимального потребления мощности, полученных в соответствии с пунктом 31 Методических указаний, по следующей формуле:

, (21)

где:

- прогнозное число часов использования максимума потребления мощности ЕЭС России в году t расчетного периода (ч);

- прогнозное максимальное потребление мощности ЕЭС России в году t расчетного периода (МВт);

- прогнозное потребление электрической энергии по ЕЭС России в году t расчетного периода (млн кВт·ч);

в) для каждого года расчетного периода определяется расчетное число часов использования максимума потребления мощности ЕЭС России на основании полученных в соответствии с подпунктом "а" настоящего пункта значений характерного числа часов использования потребления мощности по составляющим прогноза потребления электрической энергии по Российской Федерации по следующей формуле:

, (22)

где:

_ расчетное число часов использования максимума потребления мощности ЕЭС России в году t расчетного периода (ч);

г) для каждого года расчетного периода определяется отклонение прогнозного числа часов использования максимума потребления мощности ЕЭС России от расчетного по следующей формуле:

, (23)

где:

- величина относительного отклонения прогнозного числа часов использования максимума потребления мощности ЕЭС России от расчетного (%);

д) если относительное отклонение прогнозного числа часов использования максимума потребления мощности ЕЭС России от расчетного, полученное в соответствии с подпунктом "г" настоящего пункта, по модулю составляет 5% или менее, полученное в соответствии с пунктом 31 Методических указаний прогнозное значение максимального потребления мощности ЕЭС России для данного года расчетного периода корректировке не подлежит;

е) если относительное отклонение прогнозного числа часов использования максимума потребления мощности ЕЭС России от расчетного, полученное в соответствии с подпунктом "г" настоящего пункта, по модулю составляет более 5%, для данного года расчетного периода выполняется корректировка значений числа часов использования максимума потребления мощности, полученных в соответствии с пунктом 28 Методических указаний, на величину указанного относительного отклонения и повторный расчет прогнозного значения максимального потребления мощности ЕЭС России в соответствии с пунктами 27, 29 - 31 Методических указаний.

33. Прогноз максимального потребления мощности технологически изолированной территориальной электроэнергетической системы должен определяться в соответствии с пунктами 27 и 28 Методических указаний, с использованием показателей, предусмотренных формулами (16) и (17), для соответствующей технологически изолированной территориальной электроэнергетической системы.

Приложение N 2
к приказу Минэнерго России
от 12 июля 2024 г. N 864

ИЗМЕНЕНИЯ, КОТОРЫЕ ВНОСЯТСЯ В МЕТОДИЧЕСКИЕ УКАЗАНИЯ ПО ПРОЕКТИРОВАНИЮ РАЗВИТИЯ ЭНЕРГОСИСТЕМ, УТВЕРЖДЕННЫЕ ПРИКАЗОМ МИНЭНЕРГО РОССИИ ОТ 6 ДЕКАБРЯ 2022 Г. N 1286

1. Абзац второй пункта 15 изложить в следующей редакции:

"Долгосрочный прогноз потребления должен разрабатываться для ЕЭС России, синхронных зон и технологически изолированных территориальных электроэнергетических систем.".

2. В пункте 16:

а) абзац первый изложить в следующей редакции:

"16. Среднесрочный прогноз потребления должен разрабатываться на основе:";

б) подпункты "а" - "в" признать утратившими силу;

в) сноску 4 к подпункту "а" исключить.

3. В пункте 25:

а) подпункт "з" признать утратившим силу;

б) в абзаце первом подпункта "и" слова "до шести лет включительно от года разработки прогноза потребления" заменить словами " (млн кВт·ч)".

4. В пункте 27:

а) абзац четвертый подпункта "в" изложить в следующей редакции:

"учет инвестиционного проекта в прогнозе социально-экономического развития соответствующего субъекта Российской Федерации, утверждаемом в соответствии со статьей 33 или статьей 35 Федерального закона "О стратегическом планировании в Российской Федерации" (далее - прогноз социально-экономического развития субъекта Российской Федерации);";

б) сноску 7 к абзацу четвертому подпункта "в" исключить;

в) подпункт "г" признать утратившим силу.

5. Пункт 41 изложить в следующей редакции:

"41. Разработка долгосрочного прогноза потребления должна осуществляться в соответствии с требованиями Методических указаний по разработке прогноза потребления электрической энергии и мощности на долгосрочный период, утверждаемых Минэнерго России в соответствии с подпунктом "б" пункта 3 постановления Правительства Российской Федерации от 30 декабря 2022 г. N 2556 "Об утверждении Правил разработки и утверждения документов перспективного развития электроэнергетики, изменении и признании утратившими силу некоторых актов и отдельных положений некоторых актов Правительства Российской Федерации".

При разработке долгосрочного прогноза потребления формирование прогноза потребления на период продолжительностью 6 календарных лет, начиная с года, следующего за годом разработки долгосрочного прогноза потребления, должно осуществляться с соблюдением требований, предусмотренных пунктами 18 - 31 Методических указаний.".

6. Пункты 42 - 46 признать утратившими силу.

7. Сноску 9 к подпункту "а" пункта 42 исключить.