Молоко и продукты переработки молока. Методы определения плотности. ГОСТ р 54758-2011

(утв. Приказом Росстандарта от 13.12.2011 N 947-СТ)
Редакция от 13.12.2011 — Действует с 01.01.2013

НАЦИОНАЛЬНЫЙ СТАНДАРТ РОССИЙСКОЙ ФЕДЕРАЦИИ

МОЛОКО И ПРОДУКТЫ ПЕРЕРАБОТКИ МОЛОКА

МЕТОДЫ ОПРЕДЕЛЕНИЯ ПЛОТНОСТИ

Milk and milk products. Methods for determination of density

ГОСТ Р 54758-2011

Дата введения
1 января 2013 года

Предисловие

ГОСТ Р 1.0-2004 отменен. Взамен него с 01.09.2020 введен в действие ГОСТ Р 1.2-2020.

Цели и принципы стандартизации в Российской Федерации установлены Федеральным законом от 27 декабря 2002 г. N 184-ФЗ "О техническом регулировании", а правила применения национальных стандартов Российской Федерации - ГОСТ Р 1.0-2004 "Стандартизация в Российской Федерации. Основные положения".

Сведения о стандарте

1. Разработан Государственным научным учреждением Всероссийским научно-исследовательским институтом молочной промышленности Российской академии сельскохозяйственных наук (ГНУ ВНИМИ Россельхозакадемии).

2. Внесен Техническим комитетом по стандартизации ТК 470 "Молоко и продукты переработки молока".

3. Утвержден и введен в действие Приказом Федерального агентства по техническому регулированию и метрологии от 13 декабря 2011 г. N 947-ст.

4. Введен впервые.

Информация об изменениях к настоящему стандарту публикуется в ежегодно издаваемом информационном указателе "Национальные стандарты", а текст изменений и поправок - в ежемесячно издаваемых информационных указателях "Национальные стандарты". В случае пересмотра (замены) или отмены настоящего стандарта соответствующее уведомление будет опубликовано в ежемесячно издаваемом информационном указателе "Национальные стандарты". Соответствующая информация, уведомление и тексты размещаются также в информационной системе общего пользования - на официальном сайте Федерального агентства по техническому регулированию и метрологии в сети Интернет.

1. Область применения

Настоящий стандарт распространяется на молоко и продукты переработки молока (далее - продукт) и устанавливает ареометрический и пикнометрический методы определения плотности.

Диапазон измерений плотности от 1015 до 1040 кг/м3 включительно.

2. Нормативные ссылки

В настоящем стандарте использованы нормативные ссылки на следующие стандарты:

ГОСТ Р 12.1.019-2009 Система стандартов безопасности труда. Электробезопасность. Общие требования и номенклатура видов защиты

ГОСТ Р ИСО 5725-6-2002 Точность (правильность и прецизионность) методов и результатов измерений. Часть 6. Использование значений точности на практике

ГОСТ Р 53228-2008 Весы неавтоматического действия. Часть 1. Метрологические и технические требования. Испытания

ГОСТ 12.1.004-91 Система стандартов безопасности труда. Пожарная безопасность. Общие требования

ГОСТ 12.1.005-88 Система стандартов безопасности труда. Общие санитарно-гигиенические требования к воздуху рабочей зоны

ГОСТ 12.1.007-76 Система стандартов безопасности труда. Вредные вещества. Классификация и общие требования безопасности

ГОСТ 12.4.009-83 Система стандартов безопасности труда. Пожарная техника для защиты объектов. Основные виды. Размещение и обслуживание

ГОСТ 12.4.021-75 Система стандартов безопасности труда. Системы вентиляционные. Общие требования

ГОСТ 6709-72 отменен. Взамен него с 01.07.2019 введен в действие ГОСТ Р 58144-2018.

ГОСТ 6709-72 Вода дистиллированная. Технические условия

ГОСТ 10138-93 Ткани чистольняные, льняные и полульняные бельевые. Общие технические условия

ГОСТ 10232-77 Ткани и штучные изделия чистольняные, льняные и полульняные полотенечные. Общие технические условия

ГОСТ 12026-76 Бумага фильтровальная лабораторная. Технические условия

ГОСТ 13646-68 Термометры стеклянные ртутные для точных измерений. Технические условия

ГОСТ 13928-84 Молоко и сливки заготовляемые. Правила приемки, методы отбора проб и подготовка их к анализу

ГОСТ 14919-83 Электроплиты, электроплитки и жарочные электрошкафы бытовые. Общие технические условия

ГОСТ 18481-81 Ареометры и цилиндры стеклянные. Общие технические условия

ГОСТ 22524-77 Пикнометры стеклянные. Технические условия

ГОСТ 23932-90 Посуда и оборудование лабораторные стеклянные. Общие технические условия

ГОСТ 25336-82 Посуда и оборудование лабораторные стеклянные. Типы, основные параметры и размеры

ГОСТ 26809-86 Молоко и молочные продукты. Правила приемки, методы отбора и подготовка проб к анализу

ГОСТ 27752-88 Часы электронно-механические кварцевые настольные, настенные и часы-будильники. Общие технические условия

ГОСТ 28498-90 Термометры жидкостные стеклянные. Общие технические требования. Методы испытаний

ГОСТ 29169-91 (ИСО 648-77) Посуда лабораторная стеклянная. Пипетки с одной отметкой

Примечание. При пользовании настоящим стандартом целесообразно проверить действие ссылочных стандартов в информационной системе общего пользования - на официальном сайте Федерального агентства по техническому регулированию и метрологии сети Интернет или по ежегодно издаваемому информационному указателю "Национальные стандарты", который опубликован по состоянию на 1 января текущего года, и по соответствующим ежемесячно издаваемым информационным указателям, опубликованным в текущем году. Если ссылочный стандарт заменен (изменен), то при пользовании настоящим стандартом следует руководствоваться заменяющим (измененным) стандартом. Если ссылочный стандарт отменен без замены, то положение, в котором дана ссылка на него, применяется в части, не затрагивающей эту ссылку.

3. Термины и определения

В настоящем стандарте применены термины, установленные нормативным правовым актом Российской Федерации [1], а также следующие термины с соответствующими определениями:

3.1. Ареометрический метод: метод с применением ареометра, основанный на определении объема вытесненной жидкости и массы плавающего в ней ареометра.

3.2. Пикнометрический метод: метод с применением пикнометров, основанный на определении массы заключенного в пикнометре вещества и объема вещества, равного объему пикнометра.

4. Отбор проб

Отбор проб - по ГОСТ 13928 и ГОСТ 26809.

5. Условия проведения измерений

При выполнении измерений в лаборатории должны соблюдаться следующие условия:

температура окружающего воздуха....................................................(20 +/- 5) °C;

относительная влажность воздуха.....................................................(55 +/- 25)%;

атмосферное давление........................................................................(95 +/- 10) кПа.

6. Ареометрический метод определения плотности

6.1. Сущность метода

Метод распространяется на молоко и жидкие продукты переработки молока и основан на определении объема анализируемой пробы и массы плавающего в ней ареометра.

Метод с применением ареометров типа АМ или АМТ может применяться при возникновении разногласий (в качестве арбитражного).

6.2. Средства измерений, вспомогательное оборудование, посуда, реактивы и материалы

Для измерения плотности молока сырого, молока питьевого, сливок, пахты и сыворотки применяют:

ареометр типа АМ с пределом основной допускаемой абсолютной погрешности 0,5 кг/м3 или ареометр типа АМТ с пределом основной допускаемой абсолютной погрешности 1,0 кг/м3 по ГОСТ 18481.

Для измерения плотности напитков с наполнителями (кофе, какао) применяют:

ареометр общего назначения типа АОН-1 или АОН-2 с пределом основной допускаемой абсолютной погрешности 1,0 кг/м3 по ГОСТ 18481.

Цилиндры 1-31/215, 1-39/265, 1-50/415 по ГОСТ 18481.

Термометры ртутные стеклянные лабораторные диапазоном измерений температуры от 0 °C до 55 °C, ценой деления шкалы 0,5 °C и 1,0 °C, группы 4, типов А и Б по ГОСТ 28498.

Термометры лабораторные жидкостные стеклянные диапазоном измерения температуры от 0 °C до 100 °C, ценой деления шкалы 0,5 °C и 1,0 °C по ГОСТ 28498.

Секундомер механический или часы электронно-механические по ГОСТ 27752.

Стаканы В-1-600 по ГОСТ 25336.

Баня водяная термостатируемая.

Мешалка.

Ткань льняная по ГОСТ 10138 или по ГОСТ 10232.

Вода дистиллированная по ГОСТ 6709.

Допускается применение других средств измерения, вспомогательного оборудования, не уступающих вышеуказанным по метрологическим и техническим характеристикам и обеспечивающим необходимую точность измерения, а также реактивов и материалов по качеству не хуже вышеуказанных.

6.3. Подготовка к проведению измерений

6.3.1. Подготовка стеклянной аппаратуры

6.3.1.1. Ареометр и другую стеклянную аппаратуру тщательно моют и ополаскивают дистиллированной водой. Остаток влаги удаляют льняной тканью, затем всю аппаратуру выдерживают при комнатной температуре до полного высыхания.

6.3.1.2. После подготовки ареометра к измерениям не допускается касаться руками его рабочей части. Ареометр берут за верхнюю часть стержня, свободную от шкалы. Ареометры, термометры и мешалки (Приложение А), подготовленные к измерениям, хранят в цилиндрах, накрытых покровным стеклом или полиэтиленовым чехлом.

6.3.2. Подготовка пробы анализируемого продукта

6.3.2.1. Определение плотности молока коровьего сырого, питьевого, обезжиренного проводят при температуре (20 +/- 5) °C.

Определение плотности сырого молока проводят не ранее чем через 2 ч после дойки.

6.3.2.2. Определение плотности питьевого коровьего молока с повышенным содержанием жира, молочных и молокосодержащих продуктов, сливок, пахты, сыворотки, а также молока других животных проводят при температуре (20 +/- 2) °C.

6.3.2.3. Определение плотности нормализованной смеси для производства кисломолочных продуктов проводят в подготовленной смеси до сквашивания при температуре (20 +/- 2) °C.

6.3.2.4. Перед определением плотности продукта с отстоявшимся слоем сливок его нагревают до температуры (35 +/- 5) °C, перемешивают и охлаждают до температуры (20 +/- 2) °C.

6.3.2.5. Продукты без пищевкусовых добавок или содержащие ароматизаторы, пищевкусовые добавки, образующие с продуктом однородную структуру (кофе, какао, фруктово-ягодными наполнителями и т.д.), и неотделяемые пищевкусовые компоненты, освобождают от упаковки, помещают в стакан вместимостью 500 см3 и нагревают на водяной бане до температуры (25 +/- 2) °C, тщательно перемешивая шпателем до получения однородной смеси, не допуская разжижения продукта и освобождаясь от воздушных пузырьков.

Пробу сгущенных молочных продуктов перемешивают шпателем 1 - 2 мин.

Если на дне банки со сгущенными молочными консервами с сахаром обнаружен осадок, банку погружают в воду с температурой (55 +/- 5) °C и снова перемешивают до получения однородной массы, не допуская повышения температуры продукта выше (28 +/- 2) °C, затем охлаждают его до (20 +/- 2) °C.

Продукт, содержащий фруктовые, овощные и другие наполнители, нагревают на водяной бане до температуры (32 +/- 2) °C, после чего полностью переносят из упаковки в стакан гомогенизатора и гомогенизируют в течение 1 - 3 мин при частоте вращения ножей от 2000 до 5000 до получения однородной массы.

Подготовленную пробу переносят в колбу с притертой пробкой вместимостью 500 см3 и охлаждают до температуры (20 +/- 2) °C.

Во избежание расслоения пробу для анализа отбирают сразу же после гомогенизации.

6.3.2.6. Продукты с отделяемыми пищевкусовыми компонентами и декорированные (орехи, фруктовые наполнители в виде кусочков, печенье, вафли в виде декора, глазурь, начинки и другие отделяемые компоненты) по возможности полностью освобождают от наполнителей, глазури и декора и подготавливают по 6.3.2.5.

6.4. Проведение измерений

6.4.1. 250 или 500 см3 пробы для анализа тщательно перемешивают и осторожно, во избежание образования пены, переливают по стенке в сухой цилиндр, который следует держать в слегка наклонном положении. Если на поверхности пробы в цилиндре при этом образовалась пена, ее аккуратно снимают мешалкой.

6.4.2. Цилиндр с анализируемой пробой устанавливают на ровной горизонтальной поверхности и измеряют температуру пробы (). Отсчет показаний температуры проводят не ранее чем через 2 - 4 мин после опускания термометра в пробу.

6.4.3. Сухой и чистый ареометр опускают медленно в анализируемую пробу, погружая его до тех пор, пока до предполагаемой отметки ареометрической шкалы не останется 3 - 4 мм, затем оставляют его в свободно плавающем состоянии. При этом ареометр не должен касаться стенок цилиндра.

6.4.4. Проводят первый отсчет показаний плотности () по шкале ареометра через 3 мин после установления его в неподвижном положении. После этого ареометр осторожно приподнимают на высоту уровня балласта в нем и снова опускают, оставляя его в свободно плавающем состоянии. После установления его в неподвижном состоянии проводят второй отсчет показаний плотности (). При отсчете показаний плотности глаза оператора должны находиться на уровне мениска. Отсчет показаний проводят по верхнему краю мениска.

Отсчет показаний по ареометрам типа АМ или АМТ проводят до половины цены наименьшего деления шкалы, в ареометрах типа АОН-1 или АОН-2 отсчет показаний проводят до цены наименьшего деления.

Затем повторяют измерение температуры пробы ().

6.4.5. При массовых определениях плотности допускается ополаскивание ранее использованного цилиндра продуктом, отобранным для следующего определения.

При проведении массовых определений плотности допускается при измерении плотности следующей пробы продукта прикасаться нижним концом ареометра, извлекаемого из пробы, к внутренней поверхности цилиндра. Немедленно после стекания с ареометра основной части пробы, не допуская ее засыхания на поверхности ареометра, его погружают в другой цилиндр с новой пробой продукта. Затем повторяют определение по 6.4.2 - 6.4.4.

6.4.6. При возникновении разногласий по результатам определения плотности проводят повторное определение. В этом случае пробу нагревают до температуры (40 +/- 2) °C, выдерживают при этой температуре в течение (5 +/- 1) мин, охлаждают до температуры (20 +/- 2) °C и сразу же проводят измерение плотности продукта ареометрами типа АМ или АМТ. Результаты повторного определения являются окончательными.

6.5. Обработка результатов измерений

6.5.1. За результат измерения температуры анализируемой пробы продукта (t) принимают среднеарифметическое значение результатов двух измерений температуры и , округленное до первого десятичного знака.

Пример вычисления температуры анализируемой пробы продукта приведен в Приложении Б.

6.5.2. За результат измерений плотности анализируемой пробы продукта () при температуре t анализируемой пробы принимают среднеарифметическое значение результатов двух показаний ареометра и , округленное до первого десятичного знака.

Пример вычисления плотности анализируемой пробы продукта приведен в Приложении Б.

6.5.3. Если анализируемая проба продукта во время определения плотности имела температуру выше или ниже 20 °C, то полученные результаты определения плотности при данной температуре t должны быть приведены к температуре 20 °C в соответствии с таблицами Приложений В и Г.

По таблицам в левой крайней графе находят строку со значением , а в последующих графах таблиц - температуру t. На пересечении соответствующей строки и графы находят значение плотности молока при температуре 20 °C, которое принимается за окончательный результат.

Примеры 3, 4 и 5 приведения плотности молока к температуре 20 °C по таблицам Приложений В и Г даны в Приложении Б.

6.5.4. Если молоко сырое или обезжиренное молоко имеет температуру от 10 °C до 15 °C, то для определения его плотности при температуре 20 °C к полученному по 6.3.2.1; 6.4.2 - 6.4.4; 6.5.1 и 6.5.2 значению плотности пробы этого молока прибавляют поправку, приведенную в таблицах Приложений Д и Е.

Пример 6 нахождения поправок по таблицам приведен в Приложении Б.

6.5.5. За окончательный результат измерения плотности при температуре 20 °C и плотности принимают среднеарифметическое значение двух параллельных результатов измерений, выполненных в условиях повторяемости, если выполняется условие приемлемости по разделу 8.

6.5.6. Контроль точности результатов измерений

Приписанные характеристики погрешности и ее составляющих метода определения плотности () при P = 0,95 приведены в таблице 1.

Таблица 1

Наименование типа ареометра Предел повторяемости r, кг/м3 Предел воспроизводимости R, кг/м3 Границы абсолютной погрешности , кг/м3
АМ 0,5 0,8 0,5
АМТ 0,5 1,4 1,0
АОН-1, АОН-2 1,0 1,4 1,0

7. Пикнометрический метод определения плотности

7.1. Сущность метода

Метод распространяется на молоко сырое, пастеризованное, молоко обезжиренное и сгущенные молочные продукты и основан на определении массы заключенной в пикнометре пробы и объема пробы, равного объему пикнометра.

7.2. Средства измерений, вспомогательное оборудование, посуда и реактивы

Весы по ГОСТ Р 53228, обеспечивающие точность взвешивания с пределом абсолютной допускаемой погрешности однократного взвешивания +/- 0,2 мг.

Термометр лабораторный жидкостный стеклянный лабораторный диапазоном измерения температуры от 0 °C до 100 °C, ценой деления шкалы 1 °C по ГОСТ 28498.

Термометр точный N 5, N 6 по ГОСТ 13646.

Секундомер механический или часы электронно-механические по ГОСТ 27752.

Термостат, обеспечивающий поддержание температуры в интервале от 10 °C до 50 °C с погрешностью +/- 0,05 °C.

Шкаф сушильный, обеспечивающий поддержание температуры (110 +/- 10) °C.

Электроплитка бытовая по ГОСТ 14919.

Пикнометры типа ПЖ2-50-КШ 7/16 с размером диаметра горловины 6 и 9 мм по ГОСТ 22524.

Пипетки 1-2-2 по ГОСТ 29169.

Стаканы В-1-50, В-1-100, В-1-600 ТС по ГОСТ 25336.

Воронки В-25,36-50 ХС по ГОСТ 25336.

Эксикатор по ГОСТ 23932 и ГОСТ 25336.

Шприцы медицинские вместимостью 20 см3.

Иглы инъекционные для шприцев 12x120-115.

Полотенца льняные по ГОСТ 10232 или ткань по ГОСТ 10138.

Бумага фильтровальная лабораторная по ГОСТ 12026.

Вода дистиллированная по ГОСТ 6709.

Допускается применение других средств измерения, вспомогательного оборудования, не уступающих вышеуказанным по метрологическим и техническим характеристикам и обеспечивающим необходимую точность измерения, а также реактивов и материалов по качеству не хуже вышеуказанных.

7.3. Подготовка к проведению измерений

7.3.1. Подготовка оборудования

7.3.1.1. Пикнометры (не менее двух) тщательно моют и ополаскивают дистиллированной водой. После этого их высушивают в сушильном шкафу при температуре (110 +/- 10) °C в течение 30 - 40 мин, охлаждают в эксикаторе при температуре (20 +/- 5) °C в течение 40 мин и взвешивают с отсчетом показаний до 0,0001 г () .

7.3.1.2. Пикнометры заполняют при помощи шприца свежепрокипяченной и охлажденной до температуры (20 +/- 2) °C дистиллированной водой немного выше отметки на их горловине и закрывают пробками, помещают в стакан с водой так, чтобы вода покрывала заполненную часть пикнометров. Стакан с пикнометром опускают в термостат и выдерживают при температуре (20,00 +/- 0,05) °C в течение 30 мин. Температуру воды в термостате контролируют термометром ценой деления шкалы 0,01 °C.

7.3.1.3. По истечении 30 мин пикнометры вынимают из термостата, уровень воды в пикнометре доводят при помощи шприца и фильтровальной бумаги до отметки на горловине пикнометра (по верхнему краю мениска). Внутреннюю поверхность горловины пикнометров выше отметки тщательно вытирают фильтровальной бумагой, не касаясь уровня воды в пикнометре, вытирают снаружи досуха полотенцем и оставляют в витрине весов не менее 20 мин. После этого пикнометры взвешивают.

Измерения по 7.3.1.2 и 7.3.1.3 повторяют не менее трех раз для каждого пикнометра. За массу пикнометра с водой принимают среднеарифметическое значение результатов всех взвешиваний ().

Массы пустого пикнометра и пикнометра с водой определяют повторно для каждого пикнометра после 20 определений плотности пробы продукта.

Официальный источник электронного документа содержит неточность: имеется в виду пункт 7.3.1.1.

7.3.1.4. Из пикнометров выливают воду и их высушивают по 7.3.1.

7.3.2. Подготовка пробы

Анализируемую пробу продукта готовят по 6.3.2.

7.4. Проведение измерений

Официальный источник электронного документа содержит неточность: имеется в виду пункт 7.3.2.

7.4.1. Пикнометры (не менее двух), подготовленные к измерениям по 7.3, заполняют при помощи шприца предварительно тщательно перемешанной и подготовленной по 7.3.5 анализируемой пробой продукта немного выше отметки на их шейке и закрывают пробками. Заполнение пикнометров анализируемой пробой проводят при помощи воронки, уровень до отметки доводят пипеткой.

Официальный источник электронного документа содержит неточность: имеются в виду пункты 7.3.1.2 и 7.3.1.3.

Пикнометры термостатируют по 7.3.2, уровень анализируемой пробы доводят до отметки на их горловине и взвешивают по 7.3.3.

Официальный источник электронного документа содержит неточность: имеются в виду пункты 7.3.1.2 и 7.3.1.3.

Измерения по 7.3.2 и 7.3.3 повторяют дважды для каждого пикнометра. За массу пикнометра с продуктом принимают среднеарифметическое значение результатов двух параллельных взвешиваний ().

Официальный источник электронного документа содержит неточность: имеется в виду пункт 7.3.1.1.

7.4.2. После проведения измерений пикнометры промывают, высушивают по 7.3.1 и хранят с закрытыми пробками.

7.5. Обработка результатов измерений

7.5.1. Плотность продукта при температуре 20 °C, кг/м3, вычисляют по формуле

,

где:

- масса пикнометра с продуктом, кг;

- масса пустого пикнометра, кг;

- масса пикнометра с водой, кг;

- плотность воды при температуре 20 °C и давлении, равном (кг/м3);

e - плотность воздуха при температуре 20 °C и нормальном давлении (e = 1,2 кг/м3).

Аналогично рассчитывают плотность второй параллельной пробы продукта с помощью второго пикнометра.

За окончательный результат принимают среднеарифметическое значение результатов двух параллельных измерений ( и при температуре 20 °C), , если выполняется условие приемлемости по разделу 8.

Вычисление и округление полученных результатов плотности продукта приведены в справочном Приложении Б (примеры 7 и 8).

7.5.2. Контроль точности результатов измерений

Приписанные характеристики погрешности и ее составляющих метода определения плотности при P = 0,95 приведены в таблице 2.

Таблица 2

Наименование продукта Предел повторяемости r, кг/м3 Предел воспроизводимости R, кг/м3 Границы абсолютной погрешности , кг/м3
Молоко сырое, пастеризованное, молоко обезжиренное 0,3 0,3 0,2
Сгущенные молочные консервы 10,0 14,0 10,0

7.5.3. При разногласиях допускаемые расхождения между результатами определения плотности молока пикнометрическим и ареометрическим методами не должны превышать значения величины 1,0 кг/м3 при температуре 20 °C.

8. Проверка приемлемости результатов измерений

8.1. Проверка приемлемости результатов измерений, полученных в условиях повторяемости

Проверку приемлемости результатов измерений плотности в анализируемых продуктах, полученных в условиях повторяемости (два параллельных определения, n = 2), проводят с учетом требований ГОСТ Р ИСО 5725-6 (пункт 5.2.2).

Результаты измерений считаются приемлемыми при условии:

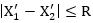
,

где , - значения результатов двух параллельных определений плотности в анализируемых продуктах, полученные в условиях повторяемости;

r - предел повторяемости (сходимости), значение которого приведено в таблицах 1 и 2.

Если данное условие не выполняется, то проводят повторное измерение и проверку приемлемости результатов измерений в условиях повторяемости в соответствии с требованиями ГОСТ Р ИСО 5725-6 (пункт 5.2.2).

При повторном превышении указанного норматива выясняют причины, приводящие к неудовлетворительным результатам анализа.

8.2. Проверка приемлемости результатов измерений, полученных в условиях воспроизводимости

Проверку приемлемости результатов измерений плотности в анализируемых продуктах, полученных в условиях воспроизводимости (в двух лабораториях, m = 2), проводят с учетом требований ГОСТ Р ИСО 5725-6 (пункт 5.3.2.1).

Результаты измерений, выполненные в условиях воспроизводимости, считаются приемлемыми при условии:

,

где , - значения результатов двух параллельных измерений плотности в анализируемых продуктах, полученные в двух лабораториях в условиях воспроизводимости;

R - предел воспроизводимости, значение которого приведено в таблицах 1 и 2.

Если данное условие не выполняется, то выполняют процедуры в соответствии с требованиями ГОСТ Р ИСО 5725-6 (пункт 5.3.3).

9. Оформление результатов определения

9.1. Оформление результатов (ареометрический метод)

Результат определения плотности в анализируемых продуктах при температуре 20 °C представляют в документах, предусматривающих его использование, в виде:

, кг/м3, P = 0,95,

где:

- среднеарифметическое значение результатов двух параллельных определений плотности при температуре 20 °C, выполненных в условиях повторяемости, кг/м3;

- границы абсолютной погрешности измерений, кг/м3 (таблица 1).

9.2. Оформление результатов (пикнометрический метод)

Результат определения плотности в анализируемых продуктах при температуре 20 °C () представляют в документах, предусматривающих его использование, в виде:

, кг/м3, P = 0,95,

где:

- среднеарифметическое значение результатов двух параллельных измерений плотности при температуре 20 °C, выполненных в условиях повторяемости, кг/м3;

- границы абсолютной погрешности измерений, кг/м3 (таблица 2).

10. Требования, обеспечивающие безопасность

При выполнении работ необходимо соблюдать следующие требования:

- помещение лаборатории должно быть оборудовано общей приточно-вытяжной вентиляцией в соответствии с требованиями ГОСТ 12.4.021. Содержание вредных веществ в воздухе рабочей зоны не должно превышать норм, установленных требованиями ГОСТ 12.1.005;

- требования техники безопасности при работе с химическими реактивами в соответствии с требованиями ГОСТ 12.1.007;

- требования техники безопасности при работе с электроустановками в соответствии с требованиями ГОСТ Р 12.1.019.

Помещение лаборатории должно соответствовать требованиям пожарной безопасности в соответствии с требованиями ГОСТ 12.1.004 и быть оснащено средствами пожаротушения в соответствии с требованиями ГОСТ 12.4.009.

Приложение А
(справочное)

СХЕМА МЕШАЛКИ

А.1. Схема мешалки приведена на рисунке А.1.

Рисунок А.1

А.2. Размер диаметра (D) и длину (L) мешалки выбирают в соответствии с размерами внутренних диаметров и высотами цилиндров, применяемых при определении плотности продукта;

d - размер диаметра от 2 мм до 5 мм. Мешалку изготавливают из нержавеющей стали, алюминия или других металлов, покрытых антикоррозийными сплавами, разрешенных к применению в пищевой промышленности.

Приложение Б
(справочное)

ПРИМЕРЫ ВЫЧИСЛЕНИЯ ТЕМПЕРАТУРЫ И ПЛОТНОСТИ ПРОДУКТА

Б.1. Примеры вычисления температуры пробы молока

Пример 1. Отсчет показаний температуры молока составил: и . Среднеарифметическое значение результатов измерений температуры молока вычисляют по формуле

.

Пример 2. Отсчет показаний температуры молока составил: и . Среднеарифметическое значение результатов измерений температуры пробы молока вычисляют по формуле

.

За окончательный результат измерений в примерах 1 и 2 принимают t = 16,0 °C. При этом если дробная часть среднеарифметического значения температуры равна или менее 0,25 °C, то ее не учитывают; если она равна или более 0,75 °C, то ее округляют до единицы; если она более 0,25 °C, но менее 0,75 °C, ее округляют до 0,5 °C.

Б.2. Примеры вычисления плотности пробы продукта

Пример 1. Отсчет показаний плотности продукта составил: кг/м3 и кг/м3. Среднеарифметическое значение плотности продукта вычисляют по формуле

кг/м3.

Пример 2. Отсчет показаний плотности составил: кг/м3 и кг/м3. Среднеарифметическое значение плотности продукта вычисляют по формуле

кг/м3.

За окончательный результат измерений в примерах 1 и 2 принимают кг/м3. При этом округление численного значения проводят по Б.1.

Пример 3. Температура коровьего молока t = 15,5 °C, плотность кг/м3. По таблице В.1 Приложения В значению плотности 1029,0 кг/м3 при температуре 15,5 °C соответствует приведенное к температуре 20 °C значение плотности, равное 1027,6 кг/м3.

Пример 4. Температура обезжиренного молока t = 16,0 °C, плотность кг/м3. По таблице Г.1 Приложения Г значению плотности 1033,5 кг/м3 при температуре 16,0 °C соответствует приведенное к температуре 20 °C значение плотности 1032,5 кг/м3.

Пример 5. Температура обезжиренного молока t = 20,0 °C, плотность кг/м3. В этом случае значение плотности соответствует значению плотности, приведенному к температуре 20 °C.

Пример 6. Температура сырого коровьего молока t = 12,5 °C. Плотность кг/м3 при температуре t = 16,0 °C. По таблице Д.1 Приложения Д в левой крайней графе находят строку со значением температуры 16,0 °C. На пересечении этой строки и графы для температуры сырого коровьего молока, равной 12,5 °C, находят значение величины поправки плотности 1,1 кг/м3. Фактическая плотность молока при температуре 12,5 °C будет равна: 1029,5 + 1,1 = 1030,6 кг/м3.

Аналогичным образом находят значение величины поправки для обезжиренного молока по таблице Е.1 Приложения Е.

Пример 7. Среднеарифметическое значение плотности молока при температуре 20 °C вычисляют по двум полученным значениям плотности и до шести значащих цифр, округляя полученный результат до пяти значащих цифр.

Вариант 1. Значения плотности для одной и той же пробы молока составили: кг/м3 и кг/м3. Среднеарифметическое значение плотности пробы будет равно: кг/м3. За плотность этой пробы молока при температуре 20 °C принимают значение 1028,2 кг/м3.

Вариант 2. Значения плотности для одной и той же пробы молока составили: кг/м3 и кг/м3. Среднеарифметическое значение плотности пробы будет равно: кг/м3. За плотность этой пробы молока при температуре 20 °C принимают значение 1027,1 кг/м3.

При округлении вычисленных значений плотности при температуре 20 °C поступают следующим образом: если шестая отбрасываемая цифра, считая слева направо, равна или больше 5, то последняя сохраняемая цифра увеличивается на единицу; если же шестая отбрасываемая цифра, считая слева направо, меньше 5, то последняя сохраняемая цифра не меняется.

Пример 8. Среднеарифметическое значение плотности сгущенных молочных консервов при температуре 20 °C вычисляют по двум полученным значениям плотности и , округляя полученный результат до целого числа.

Вариант 1. Значения плотности для одной и той же пробы составили: кг/м3 и кг/м3. Среднеарифметическое значение плотности пробы будет равно: кг/м3. За плотность этой пробы продукта при температуре 20 °C принимают значение 1311 кг/м3.

Вариант 2. Значения плотности для одной и той же пробы составили: кг/м3 и кг/м3. Среднеарифметическое значение плотности пробы будет равно: кг/м3. За плотность этой пробы продукта при температуре 20 °C принимают значение 1248 кг/м3.

Приложение В
(справочное)

ПЛОТНОСТЬ КОРОВЬЕГО МОЛОКА, ПРИВЕДЕННАЯ К ТЕМПЕРАТУРЕ 20 °C

В.1. Плотность коровьего молока к температуре 20 °C приведена в таблице В.1.

Таблица В.1

Плотность молока , кг/м3 Плотность, приведенная к 20 °C, кг/м3, при температуре молока t, °C
15,0 15,5 16,0 16,5 17,0 17,5 18,0 18,5 19,0 19,5 20,0
1025,0 1023,4 1023,6 1023,7 1023,9 1024,0 1024,2 1024,4 1024,5 1024,7 1024,8 1025,0
1025,5 1023,9 1024,1 1024,2 1024,4 1024,5 1024,7 1024,9 1025,0 1025,2 1025,3 1025,5
1026,0 1024,4 1024,6 1024,7 1024,9 1025,0 1025,2 1025,4 1025,5 1025,7 1025,8 1026,0
1026,5 1024,9 1025,1 1025,2 1025,4 1025,5 1025,7 1025,9 1026,0 1026,2 1026,3 1026,5
1027,0 1025,4 1025,6 1025,7 1025,9 1026,0 1026,2 1026,4 1026,5 1026,7 1026,8 1027,0
1027,5 1025,9 1026,1 1026,2 1026,4 1026,5 1026,7 1026,9 1027,0 1027,2 1027,3 1027,5
1028,0 1026,4 1026,6 1026,7 1026,9 1027,0 1027,2 1027,4 1027,5 1027,7 1027,8 1028,0
1028,5 1026,9 1027,1 1027,2 1027,4 1027,5 1027,7 1027,9 1028,0 1028,2 1028,3 1028,5
1029,0 1027,4 1027,6 1027,7 1027,9 1028,0 1028,2 1028,4 1028,5 1028,7 1028,8 1029,0
1029,5 1027,9 1028,1 1028,2 1028,4 1028,5 1028,7 1028,9 1029,0 1029,2 1029,3 1029,5
1030,0 1028,4 1028,6 1028,7 1028,4 1029,0 1029,2 1029,4 1029,5 1029,7 1029,8 1030,0
1030,5 1028,9 1029,1 1029,2 1029,4 1029,5 1029,7 1029,9 1030,0 1030,2 1030,3 1030,5
1031,0 1029,4 1029,6 1029,7 1029,9 1030,0 1030,2 1030,4 1030,5 1030,7 1030,8 1031,0
1031,5 1029,9 1030,1 1030,2 1030,4 1030,5 1030,7 1030,9 1031,0 1031,2 1031,3 1031,5
1032,0 1030,4 1030,6 1030,7 1030,9 1031,0 1031,2 1031,4 1031,5 1031,7 1031,8 1032,0
1032,5 1030,9 1031,1 1031,2 1031,4 1031,5 1031,7 1031,9 1032,0 1032,2 1032,3 1032,5
1033,0 1031,4 1031,6 1031,7 1031,9 1032,0 1032,2 1032,4 1032,5 1032,7 1032,8 1033,0
1033,5 1031,9 1032,1 1032,2 1032,4 1032,5 1032,7 1032,9 1033,0 1033,2 1033,3 1033,5
1034,0 1032,4 1032,6 1032,7 1032,9 1033,0 1033,2 1033,4 1033,5 1033,7 1033,8 1034,0
1034,5 1032,9 1033,1 1033,2 1033,4 1033,5 1033,7 1033,9 1034,0 1034,2 1034,3 1034,5
1035,0 1033,4 1033,6 1033,7 1033,9 1034,0 1034,2 1034,4 1034,5 1034,7 1034,8 1035,0
1035,5 1033,9 1034,1 1034,2 1034,4 1034,5 1034,7 1034,9 1035,0 1035,2 1035,3 1035,5
1036,0 1034,4 1034,6 1034,7 1034,9 1035,0 1035,2 1035,4 1035,5 1035,7 1035,8 1036,0

Окончание таблицы В.1

Плотность молока , кг/м3 Плотность, приведенная к 20 °C, кг/м3, при температуре молока t, °C
20,5 21,0 21,5 22,0 22,5 23,0 23,5 24,0 24,5 25,0
1025,0 1025,2 1025,3 1025,5 1025,6 1025,8 1026,0 1026,1 1026,3 1026,4 1026,6
1025,5 1025,7 1025,8 1026,0 1026,1 1026,3 1026,5 1026,6 1026,8 1026,9 1027,1
1026,0 1026,2 1026,3 1026,5 1026,6 1026,8 1027,0 1027,1 1027,3 1027,4 1027,6
1026,5 1026,7 1026,8 1027,0 1027,1 1027,3 1027,5 1027,6 1027,8 1027,9 1028,1
1027,0 1027,2 1027,3 1027,5 1027,6 1027,8 1028,0 1028,1 1028,3 1028,4 1028,6
1027,5 1027,7 1027,8 1028,0 1028,1 1028,3 1028,5 1028,6 1028,8 1028,4 1029,1
1028,0 1028,2 1028,3 1028,5 1028,6 1028,8 1029,0 1029,1 1029,3 1029,4 1029,6
1028,5 1028,7 1028,8 1029,0 1029,1 1029,3 1029,5 1029,6 1029,8 1029,9 1030,1
1029,0 1029,2 1029,3 1029,5 1029,6 1029,8 1030,0 1030,1 1030,3 1030,4 1030,6
1029,5 1029,7 1029,8 1030,0 1030,1 1030,3 1030,5 1030,6 1030,8 1030,9 1031,1
1030,0 1030,2 1030,3 1030,5 1030,6 1030,8 1031,0 1031,1 1031,3 1031,4 1031,6
1030,5 1030,7 1030,8 1031,0 1031,1 1031,3 1031,5 1031,6 1031,8 1031,9 1032,1
1031,0 1031,2 1031,3 1031,5 1031,6 1031,8 1032,0 1032,1 1032,3 1032,4 1032,6
1031,5 1031,7 1031,8 1032,0 1032,1 1032,3 1032,5 1032,6 1032,8 1032,9 1033,1
1032,0 1032,2 1032,3 1032,5 1032,6 1032,8 1033,0 1033,1 1033,3 1033,4 1033,6
1032,5 1032,7 1032,8 1033,0 1033,1 1033,3 1033,5 1033,6 1033,8 1033,9 1034,1
1033,0 1033,2 1033,3 1033,5 1033,6 1033,8 1034,0 1034,1 1034,3 1034,4 1034,6
1033,5 1033,7 1033,8 1034,0 1034,1 1034,3 1034,5 1034,6 1034,8 1034,9 1035,1
1034,0 1034,2 1034,3 1034,5 1034,6 1034,8 1035,0 1035,1 1035,3 1035,4 1035,6
1034,5 1034,7 1034,8 1035,0 1035,1 1035,3 1035,5 1035,6 1035,8 1035,9 1036,1
1035,0 1035,2 1035,3 1035,5 1035,6 1035,8 1036,0 1036,1 1036,3 1036,4 1036,6
1035,5 1035,7 1035,8 1036,0 1036,1 1036,3 1036,5 1036,6 1036,8 1036,9 1037,1
1036,0 1036,2 1036,3 1036,5 1036,6 1036,8 1037,0 1037,1 1037,3 1037,4 1037,6

Приложение Г
(справочное)

ПЛОТНОСТЬ ОБЕЗЖИРЕННОГО МОЛОКА, ПРИВЕДЕННАЯ К ТЕМПЕРАТУРЕ 20 °C

Г.1. Плотность обезжиренного молока к температуре 20 °C приведена в таблице Г.1.

Таблица Г.1

Плотность молока , кг/м3 Плотность, приведенная к 20 °C, кг/м3, при температуре молока t, °C
15,0 15,5 16,0 16,5 17,0 17,5 18,0 18,5 19,0 19,5 20,0
1028,0 1026,7 1026,8 1027,0 1027,1 1027,2 1027,4 1027,5 1027,6 1027,7 1027,9 1028,0
1028,5 1027,2 1027,3 1027,5 1027,6 1027,7 1027,9 1028,0 1028,1 1028,2 1028,4 1028,5
1029,0 1027,7 1027,8 1028,0 1028,1 1028,2 1028,4 1028,5 1028,6 1028,7 1028,9 1029,0
1029,5 1028,2 1028,3 1028,5 1028,6 1028,7 1028,9 1029,0 1029,1 1029,2 1029,4 1029,5
1030,0 1028,7 1028,8 1029,0 1029,1 1029,2 1029,4 1029,5 1029,6 1029,7 1029,9 1030,0
1030,5 1029,2 1029,3 1029,5 1029,6 1029,7 1029,9 1030,0 1030,1 1030,2 1030,4 1030,5
1031,0 1029,7 1029,8 1030,0 1030,1 1030,2 1030,4 1030,5 1030,6 1030,7 1030,9 1031,0
1031,5 1030,2 1030,3 1030,5 1030,6 1030,7 1030,9 1031,0 1031,1 1031,2 1031,4 1031,5
1032,0 1030,7 1030,8 1031,0 1031,1 1031,2 1031,4 1031,5 1031,6 1031,7 1031,9 1032,0
1032,5 1031,2 1031,3 1031,5 1031,6 1031,7 1031,9 1032,0 1032,1 1032,2 1032,4 1032,5
1033,0 1031,7 1031,8 1032,0 1032,1 1032,2 1032,4 1032,5 1032,6 1032,7 1032,9 1033,0
1033,5 1032,2 1032,3 1032,5 1032,6 1032,7 1032,9 1033,0 1033,1 1033,2 1033,4 1033,5
1034,0 1032,7 1032,8 1033,0 1033,1 1033,2 1033,4 1033,5 1033,6 1033,7 1033,9 1034,0
1034,5 1033,2 1033,3 1033,5 1033,6 1033,7 1033,9 1034,0 1034,1 1034,2 1034,4 1034,5
1035,0 1033,7 1033,8 1034,0 1034,1 1034,2 1034,4 1034,5 1034,6 1034,7 1034,9 1035,0
1035,5 1034,2 1034,3 1034,5 1034,6 1034,7 1034,9 1035,0 1035,1 1035,2 1035,4 1035,5
1036,0 1034,7 1034,8 1035,0 1035,1 1035,2 1035,4 1035,5 1035,6 1035,7 1035,9 1036,0
1036,5 1035,2 1035,3 1035,5 1035,6 1035,7 1035,9 1036,0 1036,1 1036,2 1036,4 1036,5
1037,0 1035,7 1035,8 1036,0 1036,1 1036,2 1036,4 1036,5 1036,6 1036,7 1036,9 1037,0
1037,5 1036,2 1036,3 1036,5 1036,6 1036,7 1036,9 1037,0 1037,1 1037,2 1037,4 1037,5
1038,0 1036,7 1036,8 1037,0 1037,1 1037,2 1037,4 1037,5 1037,6 1037,7 1037,9 1038,0

Окончание таблицы Г.1

Плотность молока , кг/м3 Плотность, приведенная к 20 °C, кг/м3, при температуре молока t, °C
20,5 21,0 21,5 22,0 22,5 23,0 23,5 24,0 24,5 25,0
1028,0 1028,1 1028,3 1028,4 1028,5 1028,7 1028,8 1028,9 1029,0 1029,2 1029,3
1028,5 1028,6 1028,8 1028,9 1029,0 1029,2 1029,3 1029,4 1029,5 1029,7 1029,8
1029,0 1029,1 1029,3 1029,4 1029,5 1029,7 1029,8 1029,9 1030,0 1030,2 1030,3
1029,5 1029,6 1029,8 1029,9 1030,0 1030,2 1030,3 1030,4 1030,5 1030,7 1030,8
1030,0 1030,1 1030,3 1030,4 1030,5 1030,7 1030,8 1030,9 1031,0 1031,2 1031,3
1030,5 1030,6 1030,8 1030,9 1031,0 1031,2 1031,3 1031,4 1031,5 1031,7 1031,8
1031,0 1031,1 1031,3 1031,4 1031,5 1031,7 1031,8 1031,9 1032,0 1032,2 1032,3
1031,5 1031,6 1031,8 1031,9 1032,0 1032,2 1032,3 1032,4 1032,5 1032,7 1032,8
1032,0 1032,1 1032,3 1032,4 1032,5 1032,7 1032,8 1032,9 1033,0 1033,2 1033,3
1032,5 1032,6 1032,8 1032,9 1033,0 1033,2 1033,3 1033,4 1033,5 1033,7 1033,8
1033,0 1033,1 1033,3 1033,4 1033,5 1033,7 1033,8 1033,9 1034,0 1034,2 1034,3
1033,5 1033,6 1033,8 1033,9 1034,0 1034,2 1034,3 1034,4 1034,5 1034,7 1034,8
1034,0 1034,1 1034,3 1034,4 1034,5 1034,7 1034,8 1034,9 1035,0 1035,2 1035,3
1034,5 1034,6 1034,8 1034,9 1035,0 1035,2 1035,3 1035,4 1035,5 1035,7 1035,8
1035,0 1035,1 1035,3 1035,4 1035,5 1035,7 1035,8 1035,9 1036,0 1036,2 1036,3
1035,5 1035,6 1035,8 1035,9 1036,0 1036,2 1036,3 1036,4 1036,5 1036,7 1036,8
1036,0 1036,1 1036,3 1036,4 1036,5 1036,7 1036,8 1036,9 1037,0 1037,2 1037,3
1036,5 1036,6 1036,8 1036,9 1037,0 1037,2 1037,3 1037,4 1037,5 1037,7 1037,8
1037,0 1037,1 1037,3 1037,4 1037,5 1037,7 1037,8 1037,9 1038,0 1038,2 1038,3
1037,5 1037,6 1037,8 1037,9 1038,0 1038,2 1038,3 1038,4 1038,5 1038,7 1038,8
1038,0 1038,1 1038,3 1038,4 1038,5 1038,7 1038,8 1038,9 1039,0 1039,2 1039,3

Приложение Д
(обязательное)

ПОПРАВКИ ДЛЯ ОПРЕДЕЛЕНИЯ ФАКТИЧЕСКОЙ ПЛОТНОСТИ СЫРОГО МОЛОКА В ДИАПАЗОНЕ ТЕМПЕРАТУР 10 °C - 15 °C

Д.1. Поправки для определения фактической плотности коровьего молока в диапазоне температур 10 °C - 15 °C приведены в таблице Д.1.

Таблица Д.1

Температура молока t при измерении плотности, °C Значение величины поправки, кг/м3, при температуре заготовляемого молока, °C
10,0 10,5 11,0 11,5 12,0 12,5 13,0 13,5 14,0 14,5
15,0 1,6 1,4 1,3 1,1 1,0 0,8 0,6 0,5 0,3 0,2
15,5 1,8 1,6 1,4 1,3 1,1 1,0 0,8 0,6 0,5 0,3
16,0 1,9 1,8 1,6 1,4 1,3 1,1 1,0 0,8 0,6 0,5
16,5 2,1 1,9 1,8 1,6 1,4 1,3 1,1 1,0 0,8 0,6
17,0 2,2 2,1 1,9 1,8 1,6 1,4 1,3 1,1 1,0 0,8
17,5 2,4 2,2 2,1 1,9 1,8 1,6 1,4 1,3 1,1 1,0
18,0 2,6 2,4 2,2 2,1 1,9 1,8 1,6 1,4 1,3 1,1
18,5 2,7 2,6 2,4 2,2 2,1 1,9 1,8 1,6 1,4 1,3
19,0 2,9 2,7 2,6 2,4 2,2 2,1 1,9 1,8 1,6 1,4
19,5 3,0 2,9 2,7 2,6 2,4 2,2 2,1 1,9 1,8 1,6
20,0 3,2 3,0 2,9 2,7 2,6 2,4 2,2 2,1 1,9 1,8
20,5 3,4 3,2 3,0 2,9 2,7 2,6 2,4 2,2 2,1 1,9
21,0 3,5 3,4 3,2 3,0 2,9 2,7 2,6 2,4 2,2 2,1
21,5 3,7 3,5 3,4 3,2 3,0 2,9 2,7 2,6 2,4 2,2
22,0 3,8 3,7 3,5 3,4 3,2 3,0 2,9 2,7 2,6 2,4
22,5 4,0 3,8 3,7 3,5 3,4 3,2 3,0 2,9 2,7 2,6
23,0 4,2 4,0 3,8 3,7 3,5 3,4 3,2 3,0 2,9 2,7
23,5 4,3 4,2 4,0 3,8 3,7 3,5 3,4 3,2 3,0 2,9
24,0 4,5 4,3 4,2 4,0 3,8 3,7 3,5 3,4 3,2 3,0
24,5 4,6 4,5 4,3 4,2 4,0 3,8 3,7 3,5 3,4 3,2
25,0 4,8 4,6 4,5 4,3 4,2 4,0 3,8 3,7 3,5 3,4

Приложение Е
(обязательное)

ПОПРАВКИ ДЛЯ ОПРЕДЕЛЕНИЯ ФАКТИЧЕСКОЙ ПЛОТНОСТИ ОБЕЗЖИРЕННОГО МОЛОКА В ДИАПАЗОНЕ ТЕМПЕРАТУР 10 °C - 15 °C

Е.1. Поправки для определения фактической плотности обезжиренного молока в диапазоне температур 10 °C - 15 °C приведены в таблице Е.1.

Таблица Е.1

Температура молока t при измерении плотности, °C Значение величины поправки, кг/м3, при температуре заготовляемого молока, °C
10,0 10,5 11,0 11,5 12,0 12,5 13,0 13,5 14,0 14,5
15,0 1,3 1,2 1,1 1,0 0,8 0,7 0,6 0,4 0,3 0,1
15,5 1,4 1,3 1,2 1,1 1,0 0,8 0,7 0,6 0,4 0,3
16,0 1,6 1,4 1,3 1,2 1,1 1,0 0,8 0,7 0,6 0,4
16,5 1,7 1,6 1,4 1,3 1,2 1,1 1,0 0,8 0,7 0,6
17,0 1,8 1,7 1,6 1,4 1,3 1,2 1,1 1,0 0,8 0,7
17,5 2,0 1,8 1,7 1,6 1,4 1,3 1,2 1,1 1,0 0,8
18,0 2,1 2,0 1,8 1,7 1,6 1,4 1,3 1,2 1,1 1,0
18,5 2,2 2,1 2,0 1,8 1,7 1,6 1,4 1,3 1,2 1,1
19,0 2,3 2,2 2,1 2,0 1,8 1,7 1,6 1,4 1,3 1,2
19,5 2,5 2,3 2,2 2,1 2,0 1,8 1,7 1,6 1,4 1,3
20,0 2,6 2,5 2,3 2,2 2,1 2,0 1,8 1,7 1,6 1,4
20,5 2,7 2,6 2,5 2,3 2,2 2,1 2,0 1,8 1,7 1,6
21,0 2,9 2,7 2,6 2,5 2,3 2,2 2,1 2,0 1,8 1,7
21,5 3,0 2,9 2,7 2,6 2,5 2,3 2,2 2,1 2,0 1,8
22,0 3,1 3,0 2,9 2,7 2,6 2,5 2,3 2,2 2,1 2,0
22,5 3,3 3,1 3,0 2,9 2,7 2,6 2,5 2,3 2,2 2,1
23,0 3,4 3,3 3,1 3,0 2,9 2,7 2,6 2,5 2,3 2,2
23,5 3,5 3,4 3,3 3,1 3,0 2,9 2,7 2,6 2,5 2,3
24,0 3,6 3,5 3,4 3,3 3,1 3,0 2,9 2,7 2,6 2,5
24,5 3,8 3,6 3,5 3,4 3,3 3,1 3,0 2,9 2,7 2,6
25,0 3,9 3,8 3,6 3,5 3,4 3,3 3,1 3,0 2,9 2,7

БИБЛИОГРАФИЯ

Федеральный закон от 12.06.2008 N 88-ФЗ утратил силу. Аналогичные нормы содержатся в Решениии Совета Евразийской экономической комиссии от 09.10.2013 N 67.

[1] Федеральный закон N 88-ФЗ от 12 июня 2008 г. "Технический регламент на молоко и молочную продукцию" (с изменением)