Постановление Правительства РФ от 29.06.2021 N 1045

"О федеральном государственном контроле (надзоре) в области связи"
Редакция от 24.10.2024 — Документ не действует
Показать изменения

Данный документ не поддерживается в сервисе Норматив


ПРАВИТЕЛЬСТВО РОССИЙСКОЙ ФЕДЕРАЦИИ

ПОСТАНОВЛЕНИЕ
от 29 июня 2021 г. N 1045

О ФЕДЕРАЛЬНОМ ГОСУДАРСТВЕННОМ КОНТРОЛЕ (НАДЗОРЕ) В ОБЛАСТИ СВЯЗИ

(в ред. Постановлений Правительства РФ от 13.01.2022 N 2, от 24.10.2024 N 1433)

В соответствии со статьей 27 Федерального закона "О связи" и Федеральным законом "О государственном контроле (надзоре) и муниципальном контроле в Российской Федерации" Правительство Российской Федерации постановляет:

1. Утвердить прилагаемое Положение о федеральном государственном контроле (надзоре) в области связи.

2. Признать утратившими силу:

Положение о федеральном государственном надзоре в области связи, утвержденное постановлением Правительства Российской Федерации от 5 июня 2013 г. N 476 "О вопросах государственного контроля (надзора) и признании утратившими силу некоторых актов Правительства Российской Федерации" (Собрание законодательства Российской Федерации, 2013, N 24, ст. 2999);

пункт 5 изменений, которые вносятся в отдельные акты Правительства Российской Федерации, утвержденных постановлением Правительства Российской Федерации от 30 мая 2016 г. N 483 "О внесении изменений в некоторые акты Правительства Российской Федерации" (Собрание законодательства Российской Федерации, 2016, N 23, ст. 3330);

подпункт "а" пункта 3 изменений, которые вносятся в отдельные акты Правительства Российской Федерации, утвержденных постановлением Правительства Российской Федерации от 17 августа 2016 г. N 806 "О применении риск-ориентированного подхода при организации отдельных видов государственного контроля (надзора) и внесении изменений в некоторые акты Правительства Российской Федерации" (Собрание законодательства Российской Федерации, 2016, N 35, ст. 5326);

постановление Правительства Российской Федерации от 4 июля 2017 г. N 787 "О внесении изменения в Положение о федеральном государственном надзоре в области связи в части установления обязанности использования проверочных листов (списков контрольных вопросов) при проведении плановых проверок" (Собрание законодательства Российской Федерации, 2017, N 28, ст. 4161);

пункт 2 изменений, которые вносятся в акты Правительства Российской Федерации, утвержденных постановлением Правительства Российской Федерации от 2 октября 2017 г. N 1201 "О внесении изменений в некоторые акты Правительства Российской Федерации" (Собрание законодательства Российской Федерации, 2017, N 41, ст. 5980);

постановление Правительства Российской Федерации от 3 ноября 2018 г. N 1317 "О внесении изменений в Положение о федеральном государственном надзоре в области связи" (Собрание законодательства Российской Федерации, 2018, N 46, ст. 7059);

пункт 2 постановления Правительства Российской Федерации от 28 февраля 2019 г. N 203 "О внесении изменений в некоторые акты Правительства Российской Федерации" (Собрание законодательства Российской Федерации, 2019, N 10, ст. 970);

постановление Правительства Российской Федерации от 26 октября 2019 г. N 1375 "О порядке контроля за выполнением лицами, участвующими в централизованном управлении сетью связи общего пользования, обязанностей по размещению на территории Российской Федерации средств связи, с использованием которых выполняются указания в рамках централизованного управления сетью связи общего пользования" (Собрание законодательства Российской Федерации, 2019, N 44, ст. 6209).

3. Установить, что в соответствии с пунктом 8 статьи 65.1 Федерального закона "О связи" контроль за выполнением лицами, участвующими в централизованном управлении сетью связи общего пользования, обязанностей по размещению на территории Российской Федерации средств связи, с использованием которых выполняются указания в рамках централизованного управления сетью связи общего пользования, осуществляется в порядке, установленном Положением, утвержденным настоящим постановлением.

4. Установить, что реализация полномочий, предусмотренных настоящим постановлением, осуществляется в пределах установленной Правительством Российской Федерации предельной численности работников центрального аппарата и территориальных органов Федеральной службы по надзору в сфере связи, информационных технологий и массовых коммуникаций, а также бюджетных ассигнований, предусмотренных Службе в федеральном бюджете на руководство и управление в сфере установленных функций.

5. Включенные в ежегодный план плановые проверки в рамках федерального государственного надзора в области связи, дата начала которых наступает позже 30 июня 2021 г., подлежат проведению в рамках федерального государственного контроля (надзора) в области связи в порядке, установленном Положением, утвержденным настоящим постановлением.

6. Настоящее постановление вступает в силу с 1 июля 2021 г.

Председатель Правительства
Российской Федерации
М. МИШУСТИН

УТВЕРЖДЕНО
постановлением Правительства
Российской Федерации
от 29 июня 2021 г. N 1045

ПОЛОЖЕНИЕ О ФЕДЕРАЛЬНОМ ГОСУДАРСТВЕННОМ КОНТРОЛЕ (НАДЗОРЕ) В ОБЛАСТИ СВЯЗИ

(в ред. Постановлений Правительства РФ от 13.01.2022 N 2, от 24.10.2024 N 1433)

I. Общие положения

1. Настоящее Положение устанавливает порядок организации и осуществления федерального государственного контроля (надзора) в области связи (далее - государственный контроль (надзор).

2. В целях настоящего Положения под контролируемыми лицами понимаются юридические лица, индивидуальные предприниматели и физические лица.

3. Предметом государственного контроля (надзора) является соблюдение контролируемыми лицами обязательных требований в области связи, установленных Федеральным законом "О связи", другими федеральными законами и принимаемыми в соответствии с ними иными нормативными правовыми актами (за исключением обязательных требований, отнесенных к предмету федерального государственного надзора в области защиты прав потребителей), обязательных требований к обеспечению доступности для инвалидов объектов социальной, инженерной и транспортной инфраструктур и предоставляемых услуг, а также лицензионных требований в области связи (далее - обязательные требования).

4. Государственный контроль (надзор) осуществляется Федеральной службой по надзору в сфере связи, информационных технологий и массовых коммуникаций (далее - контрольный (надзорный) орган) и ее территориальными органами.

5. Должностными лицами, уполномоченными на осуществление государственного контроля (надзора), являются:

а) руководитель контрольного (надзорного) органа, являющийся по должности главным государственным инспектором Российской Федерации по надзору в сфере связи, информационных технологий и массовых коммуникаций, и его заместители, должностными регламентами которых предусмотрены полномочия по осуществлению государственного контроля (надзора), являющиеся по должности заместителями главного государственного инспектора Российской Федерации по надзору в сфере связи, информационных технологий и массовых коммуникаций; (в ред. Постановления Правительства РФ от 13.01.2022 N 2)

б) руководители структурных подразделений, их заместители, советники, консультанты и главные специалисты-эксперты центрального аппарата контрольного (надзорного) органа, должностными регламентами которых предусмотрены полномочия по осуществлению государственного контроля (надзора), являющиеся по должности старшими государственными инспекторами Российской Федерации по надзору в сфере связи, информационных технологий и массовых коммуникаций;

в) ведущие специалисты-эксперты и специалисты-эксперты центрального аппарата контрольного (надзорного) органа, должностными регламентами которых предусмотрены полномочия по осуществлению государственного контроля (надзора);

г) руководители территориальных органов контрольного (надзорного) органа и их заместители, должностными регламентами которых предусмотрены полномочия по осуществлению государственного контроля (надзора), являющиеся по должности старшими государственными инспекторами Российской Федерации по надзору в сфере связи, информационных технологий и массовых коммуникаций;

д) руководители структурных подразделений территориальных органов контрольного (надзорного) органа, их заместители, консультанты, главные специалисты-эксперты, ведущие специалисты-эксперты и специалисты-эксперты, должностными регламентами которых предусмотрены полномочия по осуществлению государственного контроля (надзора).

6. Должностными лицами, уполномоченными на принятие решений о проведении контрольных (надзорных) мероприятий, являются:

а) руководитель контрольного (надзорного) органа, являющийся по должности главным государственным инспектором Российской Федерации по надзору в сфере связи, информационных технологий и массовых коммуникаций, и его заместители, должностными регламентами которых предусмотрены полномочия по осуществлению государственного контроля (надзора), являющиеся по должности заместителями главного государственного инспектора Российской Федерации по надзору в сфере связи, информационных технологий и массовых коммуникаций;

б) руководители территориальных органов контрольного (надзорного) органа и их заместители, должностными регламентами которых предусмотрены полномочия по осуществлению государственного контроля (надзора), являющиеся по должности старшими государственными инспекторами Российской Федерации по надзору в сфере связи, информационных технологий и массовых коммуникаций.

7. Должностные лица, осуществляющие государственный контроль (надзор) при проведении контрольного (надзорного) мероприятия в пределах своих полномочий и в объеме проводимых контрольных (надзорных) действий, пользуются правами, установленными частью 2 статьи 29 Федерального закона "О государственном контроле (надзоре) и муниципальном контроле в Российской Федерации".

Объекты контроля

8. Объектом государственного контроля (надзора) является деятельность контролируемых лиц в области связи.

9. Учет объектов государственного контроля (надзора) осуществляется с использованием единой информационной системы контрольного (надзорного) органа (далее - информационная система) посредством сбора, обработки, анализа и учета информации об объектах государственного контроля (надзора), представляемой в контрольный (надзорный) орган и его территориальные органы в соответствии с нормативными правовыми актами Российской Федерации, информации, получаемой в рамках межведомственного информационного взаимодействия, а также общедоступной информации.

II. Управление рисками причинения вреда (ущерба) охраняемым законом ценностям при осуществлении государственного контроля (надзора)

10. При осуществлении государственного контроля (надзора) применяется система оценки и управления рисками причинения вреда (ущерба) охраняемым законом ценностям.

11. Контрольный (надзорный) орган или его территориальные органы для целей управления рисками причинения вреда (ущерба) охраняемым законом ценностям при осуществлении государственного контроля (надзора) относят объекты государственного контроля (надзора) к одной из следующих категорий риска причинения вреда (ущерба) (далее - категории риска): (в ред. Постановления Правительства РФ от 24.10.2024 N 1433)

а) высокий риск; (в ред. Постановления Правительства РФ от 24.10.2024 N 1433)

б) значительный риск; (в ред. Постановления Правительства РФ от 24.10.2024 N 1433)

в) средний риск; (в ред. Постановления Правительства РФ от 24.10.2024 N 1433)

г) умеренный риск; (в ред. Постановления Правительства РФ от 24.10.2024 N 1433)

д) низкий риск. (в ред. Постановления Правительства РФ от 24.10.2024 N 1433)

Критерии отнесения объектов государственного контроля (надзора) к категориям риска

12. Отнесение объекта государственного контроля (надзора) к одной из категорий риска осуществляется на основе сопоставления его характеристик с критериями риска согласно приложению. (в ред. Постановления Правительства РФ от 13.01.2022 N 2)

В случае если объект государственного контроля (надзора) не отнесен контрольным (надзорным) органом к определенной категории риска, он считается отнесенным к категории низкого риска. (в ред. Постановления Правительства РФ от 13.01.2022 N 2)

Контрольный (надзорный) орган в течение 5 рабочих дней со дня поступления сведений о соответствии объекта государственного контроля (надзора) критериям риска иной категории риска либо об изменении критериев риска должен принять решение об изменении категории риска указанного объекта контроля. (в ред. Постановления Правительства РФ от 13.01.2022 N 2)

Контролируемое лицо вправе подать в контрольный (надзорный) орган заявление об изменении категории риска осуществляемой им деятельности в случае ее соответствия критериям риска для отнесения к иной категории риска. (в ред. Постановления Правительства РФ от 13.01.2022 N 2)

Учет рисков причинения вреда (ущерба) охраняемым законом ценностям при проведении контрольных (надзорных) мероприятий

13. Плановые контрольные (надзорные) мероприятия в отношении объектов государственного контроля (надзора) в зависимости от присвоенной категории риска проводятся со следующей периодичностью: (в ред. Постановления Правительства РФ от 24.10.2024 N 1433)

а) в отношении объектов государственного контроля (надзора), отнесенных к категории высокого риска, - документарная проверка или выездная проверка с периодичностью один раз в 2 года; (в ред. Постановления Правительства РФ от 24.10.2024 N 1433)

б) в отношении объектов государственного контроля (надзора), отнесенных к категории значительного риска, - документарная проверка или выездная проверка с периодичностью один раз в 3 года; (в ред. Постановления Правительства РФ от 24.10.2024 N 1433)

в) в отношении объектов государственного контроля (надзора), отнесенных к категории среднего риска, - документарная проверка или выездная проверка с периодичностью один раз в 4 года; (в ред. Постановления Правительства РФ от 24.10.2024 N 1433)

г) в отношении объектов государственного контроля (надзора), отнесенных к категории умеренного риска, - документарная проверка или выездная проверка с периодичностью один раз в 5 лет; (в ред. Постановления Правительства РФ от 24.10.2024 N 1433)

д) в отношении объектов государственного контроля (надзора), отнесенных к категории низкого риска, плановые проверки не проводятся. (в ред. Постановления Правительства РФ от 24.10.2024 N 1433)

III. Профилактика рисков причинения вреда (ущерба) охраняемым законом ценностям

14. При осуществлении государственного контроля (надзора) могут проводиться следующие виды профилактических мероприятий:

а) информирование;

б) обобщение правоприменительной практики;

в) объявление предостережения;

г) консультирование;

д) профилактический визит.

Информирование

15. Информирование контролируемых лиц по вопросам соблюдения обязательных требований осуществляется посредством размещения соответствующих сведений на официальном сайте контрольного (надзорного) органа в сети "Интернет", средствах массовой информации, личных кабинетах контролируемых лиц в информационной системе и в иных формах.

16. Контрольный (надзорный) орган размещает и поддерживает в актуальном состоянии на своем официальном сайте в информационно-телекоммуникационной сети "Интернет" (далее - сеть "Интернет"):

а) тексты нормативных правовых актов, регулирующих осуществление государственного контроля (надзора);

б) сведения об изменениях, внесенных в нормативные правовые акты, регулирующие осуществление государственного контроля (надзора), о сроках и порядке их вступления в силу;

в) перечень нормативных правовых актов с указанием структурных единиц этих актов, содержащих обязательные требования, оценка соблюдения которых является предметом контроля, а также информацию о мерах ответственности, применяемых при нарушении обязательных требований, с текстами в действующей редакции;

г) руководства по соблюдению обязательных требований, разработанные и утвержденные в соответствии с Федеральным законом "Об обязательных требованиях в Российской Федерации";

д) перечень индикаторов риска нарушения обязательных требований, порядок отнесения объектов контроля к категориям риска;

е) перечень объектов контроля, учитываемых в рамках формирования ежегодного плана контрольных (надзорных) мероприятий, с указанием категории риска;

ж) программу профилактики рисков причинения вреда и план проведения плановых контрольных (надзорных) мероприятий контрольным (надзорным) органом (при проведении таких мероприятий);

з) исчерпывающий перечень сведений, которые могут запрашиваться контрольным (надзорным) органом у контролируемого лица;

и) сведения о способах получения консультаций по вопросам соблюдения обязательных требований;

к) сведения о порядке досудебного обжалования решений контрольного (надзорного) органа, действий (бездействия) его должностных лиц;

л) доклады, содержащие результаты обобщения правоприменительной практики контрольного (надзорного) органа;

м) доклады о государственном контроле (надзоре);

н) иные сведения, предусмотренные нормативными правовыми актами Российской Федерации, и (или) программами профилактики рисков причинения вреда.

Обобщение правоприменительной практики

17. Обобщение правоприменительной практики организации и проведения государственного контроля (надзора) осуществляется один раз в год. По итогам обобщения правоприменительной практики готовится доклад (далее - доклад о правоприменительной практике).

18. Доклад о правоприменительной практике утверждается приказом (распоряжением) руководителя контрольного (надзорного) органа не позднее 31 марта года, следующего за отчетным.

19. Утвержденный доклад размещается на официальном сайте в сети "Интернет" контрольного (надзорного) органа в течение 3 рабочих дней со дня его утверждения.

Объявление предостережения

20. При наличии у контрольного (надзорного) органа или его территориального органа сведений о готовящихся нарушениях обязательных требований или признаках нарушений обязательных требований и (или) в случае отсутствия подтвержденных данных о том, что нарушение обязательных требований причинило вред (ущерб) охраняемым законом ценностям либо создало угрозу причинения вреда (ущерба) охраняемым законом ценностям, контрольный (надзорный) орган или его территориальный орган в соответствии со статьей 49 Федерального закона "О государственном контроле (надзоре) и муниципальном контроле в Российской Федерации" объявляет контролируемому лицу предостережение о недопустимости нарушения обязательных требований, предлагает ему принять меры по обеспечению соблюдения обязательных требований.

21. Контролируемое лицо вправе в течение 10 рабочих дней со дня получения предостережения подать в контрольный (надзорный) орган или его территориальный орган возражение в отношении указанного предостережения.

В возражении контролируемым лицом указываются:

а) наименование юридического лица или фамилия, имя, отчество (при наличии) индивидуального предпринимателя (физического лица);

б) дата и номер предостережения, направленного в адрес контролируемого лица;

в) обоснование позиции в отношении указанных в предостережении действий (бездействия) контролируемого лица, которые приводят или могут привести к нарушению обязательных требований.

При этом контролируемое лицо вправе приложить к таким возражениям документы, подтверждающие обоснованность таких возражений, или их заверенные копии.

22. Возражения направляются контролируемым лицом в форме электронного документа на адрес электронной почты контрольного (надзорного) органа или его территориального органа, либо на бумажном носителе почтовым отправлением, либо посредством личного кабинета контролируемого лица в информационной системе или иными указанными в предостережении способами.

23. Возражение рассматривается в течение 20 рабочих дней со дня регистрации возражения.

24. По результатам рассмотрения возражения принимается одно из следующих решений:

а) удовлетворить возражение в форме отмены объявленного предостережения;

б) отказать в удовлетворении возражения.

25. Не позднее дня, следующего за днем принятия решения, указанного в пункте 23 настоящего Положения, контролируемому лицу, подавшему возражение, направляется мотивированный ответ о результатах рассмотрения возражения.

Консультирование

26. Консультирование может осуществляться должностным лицом контрольного (надзорного) органа или его территориального органа по телефону, посредством видео-конференц-связи, а также на личном приеме.

27. Должностные лица контрольного (надзорного) органа предоставляют консультирование по следующим вопросам:

а) наличие и (или) содержание обязательных требований в сфере связи;

б) периодичность и порядок проведения контрольных (надзорных) мероприятий;

в) порядок выполнения обязательных требований в сфере связи;

г) выполнение предписания, выданного по итогам контрольного (надзорного) мероприятия.

28. Должностные лица контрольного (надзорного) органа предоставляют письменное консультирование по вопросам, предусмотренным подпунктом "г" пункта 27 настоящего Положения.

29. В случае поступления в контрольный (надзорный) орган и (или) его территориальные органы 5 и более однотипных обращений контролируемых лиц или их представителей консультирование осуществляется посредством размещения на официальных сайтах в сети "Интернет" контрольного (надзорного) органа и (или) его территориальных органов письменных разъяснений по изложенным в обращениях вопросам.

Профилактический визит

30. Профилактический визит и обязательный профилактический визит проводятся контрольным (надзорным) органом или его территориальным органом в форме профилактической беседы по месту осуществления деятельности контролируемого лица либо путем использования видео-конференц-связи.

Обязательные профилактические визиты проводятся в отношении контролируемых лиц, приступающих к осуществлению деятельности в области связи, не позднее чем в течение одного года с момента начала такой деятельности, а также в отношении объектов контроля, отнесенных к категориям высокого и значительного риска. (в ред. Постановления Правительства РФ от 24.10.2024 N 1433)

Контролируемое лицо вправе отказаться от проведения обязательного профилактического визита, уведомив об этом контрольный (надзорный) орган или его территориальный орган не позднее чем за 3 рабочих дня до даты его проведения.

31. Профилактический визит и обязательный профилактический визит (далее - профилактический визит) проводятся контрольным (надзорным) органом или его территориальным органом в следующем порядке:

а) уполномоченным должностным лицом контрольного (надзорного) органа или его территориального органа принимается решение о проведении профилактического визита в отношении контролируемого лица в форме профилактической беседы по месту осуществления деятельности контролируемого лица или путем использования видео-конференц-связи, определяются дата, время и лица контрольного (надзорного) органа или его территориального органа, уполномоченные на его проведение;

б) контролируемое лицо уведомляется о проведении профилактического визита любым доступным способом, позволяющим проконтролировать получение уведомления, не позднее чем за 5 рабочих дней до даты проведения профилактического визита;

в) в день проведения профилактического визита должностные лица контрольного (надзорного) органа или его территориального органа осуществляют выезд к контролируемому лицу либо осуществляют взаимодействие с контролируемым лицом с использованием видео-конференц-связи. Порядок и способ организации видео-конференц-связи указывается в уведомлении о проведении профилактического визита.

32. Срок проведения профилактического визита составляет один рабочий день.

33. В ходе профилактического визита контролируемое лицо информируется об обязательных требованиях, предъявляемых к его деятельности либо к принадлежащим ему объектам контроля, их соответствии критериям риска, основаниях и о рекомендуемых способах снижения категории риска, а также о видах, содержании и о периодичности контрольных (надзорных) мероприятий, проводимых в отношении объекта контроля исходя из его отнесения к соответствующей категории риска.

34. При проведении профилактического визита гражданам, организациям не могут выдаваться предписания об устранении нарушений обязательных требований. Разъяснения, полученные контролируемым лицом в ходе профилактического визита, носят рекомендательный характер.

35. В случае если при проведении профилактического визита установлено, что объекты контроля представляют явную непосредственную угрозу причинения вреда (ущерба) охраняемым законом ценностям или такой вред (ущерб) причинен, должностное лицо (лица) незамедлительно направляет (направляют) информацию об этом уполномоченному должностному лицу контрольного (надзорного) органа или его территориального органа для принятия решения о проведении контрольных (надзорных) мероприятий.

36. По результатам проведенного профилактического визита уполномоченным должностным лицом контрольного (надзорного) органа или территориального органа составляется отчет, который направляется должностному лицу контрольного (надзорного) органа, принявшему решение о его проведении.

IV. Осуществление государственного контроля (надзора)

37. Государственный контроль (надзор) осуществляется посредством проведения следующих контрольных (надзорных) мероприятий:

а) документарная проверка;

б) выездная проверка.

38. Внеплановые контрольные (надзорные) мероприятия проводятся в соответствии с положениями статьи 66 Федерального закона "О государственном контроле (надзоре) и муниципальном контроле в Российской Федерации". (в ред. Постановления Правительства РФ от 13.01.2022 N 2)

39. Плановые контрольные (надзорные) мероприятия проводятся на основании плана проведения плановых контрольных (надзорных) мероприятий на очередной календарный год, согласованного с органами прокуратуры.

40. В решении о проведении контрольного (надзорного) мероприятия указываются сведения, установленные частью 1 статьи 64 Федерального закона "О государственном контроле (надзоре) и муниципальном контроле в Российской Федерации", а также срок проведения контрольного (надзорного) мероприятия.

41. Решение о необходимости использования собственных технических средств, в том числе электронных вычислительных машин и электронных носителей информации, копировальных аппаратов, сканеров, телефонов (в том числе сотовой связи), средств аудиозаписи и видеозаписи, фотоаппаратов, необходимых для проведения контрольных (надзорных) мероприятий, фотосъемки, аудио- и видеозаписи в целях фиксации доказательств нарушений обязательных требований при осуществлении контрольных (надзорных) мероприятий, принимается должностными лицами контрольного (надзорного) органа самостоятельно при проведении выездной проверки.

Информация о проведении фотосъемки, аудио- и видеозаписи и использованных для этих целей технических средствах отражается в акте по результатам контрольного (надзорного) мероприятия.

42. Фиксация нарушений обязательных требований при помощи фотосъемки проводится не менее чем 2 снимками каждого из выявленных нарушений обязательных требований. Аудио- и видеозапись осуществляется в ходе проведения контрольного (надзорного) мероприятия непрерывно с уведомлением в начале и конце записи о дате, месте, времени начала и окончания осуществления записи. В ходе записи подробно фиксируются и указываются место и характер выявленного нарушения обязательных требований. Результаты проведения фотосъемки, аудио- и видеозаписи являются приложением к акту контрольного (надзорного) мероприятия. Использование фотосъемки и видеозаписи для фиксации доказательств нарушений обязательных требований осуществляется с учетом требований законодательства Российской Федерации о защите государственной тайны.

Индивидуальный предприниматель, физическое лицо, являющиеся контролируемыми лицами, вправе представить в контрольный (надзорный) орган информацию о невозможности присутствия при проведении контрольного (надзорного) мероприятия, в связи с чем проведение контрольного (надзорного) мероприятия переносится контрольным (надзорным) органом на срок, необходимый для устранения обстоятельств, послуживших поводом для указанного обращения индивидуального предпринимателя, физического лица в контрольный (надзорный) орган, в случае:

а) временной нетрудоспособности индивидуального предпринимателя;

б) нахождения индивидуального предпринимателя в служебной командировке в ином населенном пункте.

Документарная проверка

43. В ходе документарной проверки могут совершаться следующие контрольные (надзорные) действия:

а) получение письменных объяснений;

б) истребование документов;

в) экспертиза. (в ред. Постановления Правительства РФ от 13.01.2022 N 2)

44. Решение о проведении документарной проверки принимается должностными лицами, указанными в пункте 6 настоящего Положения.

Сведения о принятом решении о проведении документарной проверки размещаются в едином реестре контрольных (надзорных) мероприятий в соответствии с правилами формирования и ведения единого реестра контрольных (надзорных) мероприятий, утверждаемыми Правительством Российской Федерации.

45. Документарная проверка проводится по месту нахождения контрольного (надзорного) органа или его территориального органа.

Предметом документарной проверки являются сведения, содержащиеся в документах контролируемых лиц, устанавливающих их организационно-правовую форму, права и обязанности, а также документы, используемые при осуществлении их деятельности и связанные с исполнением ими обязательных требований и решений контрольного (надзорного) органа.

46. В ходе документарной проверки рассматриваются документы контролируемых лиц, имеющиеся в распоряжении контрольного (надзорного) органа и (или) его территориальных органов, результаты предыдущих контрольных (надзорных) мероприятий, материалы рассмотрения дел об административных правонарушениях, иные документы о результатах осуществленных в отношении этих контролируемых лиц контрольных (надзорных) мероприятий, в том числе данные государственных информационных систем.

47. В случае если достоверность сведений, содержащихся в документах, имеющихся в распоряжении контрольного (надзорного) органа, вызывает обоснованные сомнения либо эти сведения не позволяют оценить исполнение контролируемым лицом обязательных требований, контрольный (надзорный) орган или его территориальный орган направляет в адрес контролируемого лица требование представить иные необходимые для рассмотрения в ходе документарной проверки документы. В течение 10 рабочих дней со дня получения такого требования контролируемое лицо обязано направить указанные в требовании документы.

48. Срок проведения документарной проверки не может превышать 10 рабочих дней. В указанный срок не включается период с момента направления контролируемому лицу требования представить необходимые для рассмотрения в ходе документарной проверки документы до момента представления указанных в требовании документов, а также период с момента направления контролируемому лицу информации о выявлении ошибок и (или) противоречий в представленных контролируемым лицом документах либо о несоответствии сведений, содержащихся в этих документах, сведениям, содержащимся в имеющихся у контрольного (надзорного) органа и (или) его территориального органа документах и (или) полученным при осуществлении государственного контроля (надзора), и требования представить необходимые пояснения в письменной форме до момента представления указанных пояснений в контрольный (надзорный) орган или его территориальный орган.

Выездная проверка

49. В ходе выездной проверки могут совершаться следующие контрольные (надзорные) действия:

а) осмотр;

б) получение письменных объяснений;

в) истребование документов;

г) экспертиза; (в ред. Постановления Правительства РФ от 13.01.2022 N 2)

д) инструментальное обследование. (в ред. Постановления Правительства РФ от 13.01.2022 N 2)

50. Выездная проверка проводится посредством взаимодействия с контролируемым лицом в целях оценки соблюдения таким лицом обязательных требований, а также оценки выполнения решений контрольного (надзорного) органа или его территориального органа.

51. Выездная проверка проводится по месту нахождения (осуществления деятельности) контролируемого лица (его филиалов, представительств, обособленных структурных подразделений) либо объекта контроля.

52. О проведении выездной проверки контролируемое лицо уведомляется путем направления копии решения о проведении выездной проверки не позднее чем за 24 часа до ее начала в порядке, предусмотренном статьей 21 Федерального закона "О государственном контроле (надзоре) и муниципальном контроле в Российской Федерации".

53. Срок проведения выездной проверки 10 рабочих дней. В отношении одного субъекта малого предпринимательства общий срок взаимодействия в ходе проведения выездной проверки 50 часов для малого предприятия и 15 часов для микропредприятия.

54. Срок проведения выездной проверки в отношении организации, осуществляющей свою деятельность на территориях нескольких субъектов Российской Федерации, устанавливается отдельно по каждому филиалу, представительству, обособленному структурному подразделению организации или производственному объекту.

Осуществление контрольных (надзорных) мероприятий, проводимых без взаимодействия с контролируемым лицом

55. К контрольным (надзорным) мероприятиям, проводимым контрольным (надзорным) органом или его территориальными органами без взаимодействия с контролируемым лицом, относится наблюдение за соблюдением обязательных требований (далее - мониторинг безопасности), осуществляемое путем:

измерения параметров функционирования сетей и средств связи, включая измерение параметров излучений радиоэлектронных средств и высокочастотных устройств гражданского назначения в порядке, установленном Правилами осуществления радиоконтроля в Российской Федерации, утвержденными постановлением Правительства Российской Федерации от 1 апреля 2005 г. N 175 "Об утверждении Правил осуществления радиоконтроля в Российской Федерации";

анализа данных об объектах государственного контроля (надзора), имеющихся у контрольного (надзорного) органа, в том числе данных, которые поступают в ходе межведомственного информационного взаимодействия, представляются контролируемыми лицами в рамках исполнения обязательных требований, а также данных, содержащихся в государственных информационных системах.

В ходе мониторинга безопасности могут использоваться средства фото-, аудио- и видеофиксации нарушений, а также технические и программные средства контроля, применение которых не влияет на работоспособность сетей (средств) связи контролируемых лиц.

56. Выявленные в ходе мониторинга безопасности сведения о причинении вреда (ущерба) или об угрозе причинения вреда (ущерба) охраняемым законом ценностям направляются уполномоченному должностному лицу контрольного (надзорного) органа для принятия решения о проведении внепланового контрольного (надзорного) мероприятия в соответствии со статьей 60 Федерального закона "О государственном контроле (надзоре) и муниципальном контроле в Российской Федерации".

57. Мониторинг безопасности проводится уполномоченными должностными лицами контрольного (надзорного) органа или его территориальных органов в пределах своей компетенции на основании задания, утверждаемого руководителем или заместителем руководителя контрольного (надзорного) органа или его территориальных органов.

58. Мониторинг безопасности допускается осуществлять с привлечением контрольным (надзорным) органом или его территориальными органами эксперта экспертной организации при условии недопущения возникновения конфликта интересов.

59. Порядок оформления и содержание заданий, указанных в пункте 57 настоящего Положения, и порядок оформления должностными лицами контрольного (надзорного) органа или его территориальных органов результатов мониторинга безопасности устанавливаются контрольным (надзорным) органом. (в ред. Постановления Правительства РФ от 13.01.2022 N 2)

Задание на проведение мониторинга безопасности оформляется контрольным (надзорным) органом или его территориальным органом в письменной форме в течение 3 рабочих дней со дня получения соответствующей резолюции руководителя (заместителя руководителя) контрольного (надзорного) органа или его территориального органа.

60. По окончании проведения мониторинга безопасности составляется акт мониторинга.

61. В случае если по результатам проведения мониторинга безопасности выявлено нарушение обязательных требований, в акте мониторинга должно быть указано, какое именно обязательное требование нарушено, каким нормативным правовым актом и его структурной единицей оно установлено. Документы, иные материалы, являющиеся доказательствами нарушения обязательных требований, должны быть приобщены к акту мониторинга.

V. Результаты контрольного (надзорного) мероприятия

62. По окончании проведения контрольного (надзорного) мероприятия составляется акт контрольного (надзорного) мероприятия (далее - акт).

63. В случае если по результатам проведения контрольного (надзорного) мероприятия выявлено нарушение обязательных требований, в акте должно быть указано, какое именно обязательное требование нарушено, каким нормативным правовым актом и его структурной единицей оно установлено. В случае устранения выявленного нарушения до окончания проведения контрольного (надзорного) мероприятия, предусматривающего взаимодействие с контролируемым лицом, в акте указывается факт его устранения. Документы, иные материалы, являющиеся доказательствами нарушения обязательных требований, должны быть приобщены к акту.

64. Оформление акта производится на месте проведения контрольного (надзорного) мероприятия в день окончания проведения такого мероприятия.

65. При отказе или невозможности подписания контролируемым лицом или его представителем акта по итогам проведения контрольного (надзорного) мероприятия в акте делается соответствующая отметка. В этом случае акт направляется контролируемому лицу в порядке, установленном статьей 21 Федерального закона "О государственном контроле (надзоре) и муниципальном контроле в Российской Федерации".

66. В случае проведения документарной проверки акт направляется контролируемому лицу в порядке, установленном статьей 21 Федерального закона "О государственном контроле (надзоре) и муниципальном контроле в Российской Федерации", и размещается в едином реестре контрольных (надзорных) мероприятий в соответствии с правилами формирования и ведения единого реестра контрольных (надзорных) мероприятий, утверждаемыми Правительством Российской Федерации.

67. Результаты контрольного (надзорного) мероприятия, содержащие информацию, составляющую государственную, коммерческую, служебную или иную охраняемую законом тайну, оформляются с соблюдением требований, предусмотренных законодательством Российской Федерации.

68. Акт контрольного (надзорного) мероприятия, проведение которого было согласовано органами прокуратуры, направляется в органы прокуратуры посредством единого реестра контрольных (надзорных) мероприятий непосредственно после его оформления.

69. В случае если по результатам проведения контрольного (надзорного) мероприятия выявлены нарушения контролируемым лицом обязательных требований, контрольным (надзорным) органом или его территориальным органом выдается предписание об устранении выявленных нарушений обязательных требований, которое является приложением к акту. (в ред. Постановления Правительства РФ от 13.01.2022 N 2)

70. Контролируемое лицо или его представитель знакомится с содержанием акта на месте проведения контрольного (надзорного) мероприятия, за исключением случаев, установленных частью 2 статьи 88 Федерального закона "О государственном контроле (надзоре) и муниципальном контроле в Российской Федерации".

VI. Обжалование решений контрольного (надзорного) органа и его территориальных органов, действий (бездействия) должностных лиц контрольного (надзорного) органа и его территориальных органов

71. Правом на обжалование решений контрольного (надзорного) органа и его территориальных органов, действий (бездействия) должностных лиц контрольного (надзорного) органа и его территориальных органов обладает контролируемое лицо, в отношении которого приняты решения или совершены действия (бездействие), указанные в части 4 статьи 40 Федерального закона "О государственном контроле (надзоре) и муниципальном контроле в Российской Федерации".

72. Жалоба подается контролируемым лицом в контрольный (надзорный) орган или его территориальный орган в электронном виде с использованием федеральной государственной информационной системы "Единый портал государственных и муниципальных услуг (функций)" (далее - единый портал государственных и муниципальных услуг), за исключением случая, предусмотренного частью 1.1 статьи 40 Федерального закона "О государственном контроле (надзоре) и муниципальном контроле в Российской Федерации".

73. Жалоба на решение территориального органа контрольного (надзорного) органа, действия (бездействие) его должностных лиц рассматривается руководителем (заместителем руководителя) территориального органа либо контрольного (надзорного) органа.

Жалоба на действия (бездействие) руководителя (заместителя руководителя) территориального органа контрольного (надзорного) органа рассматривается контрольным (надзорным) органом.

Жалоба на решение контрольного (надзорного) органа, принятое его центральным аппаратом, действия (бездействие) должностных лиц его центрального аппарата рассматривается руководителем контрольного (надзорного) органа. (в ред. Постановления Правительства РФ от 13.01.2022 N 2)

74. Жалоба на решение контрольного (надзорного) органа и его территориальных органов, действия (бездействие) его должностных лиц может быть подана в течение 30 календарных дней со дня, когда контролируемое лицо узнало или должно было узнать о нарушении своих прав.

75. Жалоба на предписание контрольного (надзорного) органа может быть подана в течение 10 рабочих дней с момента получения контролируемым лицом предписания.

76. В случае пропуска по уважительной причине срока подачи жалобы указанный срок по ходатайству лица, подающего жалобу, может быть восстановлен контрольным (надзорным) органом или его территориальным органом.

77. Лицо, подавшее жалобу, до принятия решения по жалобе может ее отозвать. При этом повторное направление жалобы по тем же основаниям не допускается.

78. Жалоба должна содержать:

а) наименование контрольного (надзорного) органа, фамилию, имя, отчество (при наличии) должностного лица, решение и (или) действие (бездействие) которых обжалуются;

б) фамилию, имя, отчество (при наличии), сведения о месте жительства (месте осуществления деятельности) гражданина, либо наименование организации-заявителя, сведения о месте нахождения этой организации, либо реквизиты доверенности и фамилию, имя, отчество (при наличии) лица, подающего жалобу по доверенности, желаемый способ осуществления взаимодействия на время рассмотрения жалобы и желаемый способ получения решения по ней;

в) сведения об обжалуемых решении контрольного (надзорного) органа и (или) действии (бездействии) его должностного лица, которые привели или могут привести к нарушению прав контролируемого лица, подавшего жалобу;

г) основания и доводы, на основании которых заявитель не согласен с решением контрольного (надзорного) органа и (или) действием (бездействием) должностного лица. Заявителем могут быть представлены документы (при наличии), подтверждающие его доводы, либо их копии;

д) требования лица, подавшего жалобу;

е) учетный номер контрольного (надзорного) мероприятия в едином реестре контрольных (надзорных) мероприятий, в отношении которого подается жалоба.

79. Жалоба может содержать ходатайство о приостановлении исполнения обжалуемого решения контрольного (надзорного) органа или территориального органа контрольного (надзорного) органа.

80. В срок не позднее 2 рабочих дней со дня регистрации жалобы в контрольном (надзорном) органе или его территориальном органе принимается решение:

о приостановлении исполнения обжалуемого решения контрольного (надзорного) органа или территориального органа контрольного (надзорного) органа;

об отказе в приостановлении исполнения обжалуемого решения контрольного (надзорного) органа или территориального органа контрольного (надзорного) органа.

Информация о решении, указанном в настоящем пункте, направляется лицу, подавшему жалобу, в течение одного рабочего дня с момента принятия решения.

81. Контрольный (надзорный) орган или его территориальный орган принимает решение об отказе в рассмотрении жалобы в течение 5 рабочих дней со дня получения жалобы, если:

а) жалоба подана после истечения сроков подачи жалобы, установленных пунктами 74 и 75 настоящего Положения, и не содержит ходатайства о восстановлении пропущенного срока на подачу жалобы; (в ред. Постановления Правительства РФ от 13.01.2022 N 2)

б) в удовлетворении ходатайства о восстановлении пропущенного срока на подачу жалобы отказано;

в) до принятия решения по жалобе от контролируемого лица, ее подавшего, поступило заявление об отзыве жалобы;

г) имеется решение суда по вопросам, поставленным в жалобе;

д) ранее в уполномоченный орган была подана другая жалоба от того же контролируемого лица по тем же основаниям;

е) жалоба содержит нецензурные либо оскорбительные выражения, угрозы жизни, здоровью и имуществу должностных лиц контрольного (надзорного) органа, а также членов их семей;

ж) ранее получен отказ в рассмотрении жалобы по тому же предмету, исключающий возможность повторного обращения контролируемого лица с жалобой, и не приводятся новые доводы или обстоятельства;

з) жалоба подана в ненадлежащий уполномоченный орган;

и) законодательством Российской Федерации предусмотрен только судебный порядок обжалования решений контрольного (надзорного) органа.

82. Жалоба подлежит рассмотрению контрольным (надзорным) органом или его территориальным органом в течение 20 рабочих дней со дня ее регистрации.

83. Контрольный (надзорный) орган или его территориальный орган вправе запросить у контролируемого лица, подавшего жалобу, дополнительную информацию и документы, относящиеся к предмету жалобы. Контролируемое лицо вправе представить указанные информацию и документы в течение 5 рабочих дней с момента направления запроса о представлении дополнительных информации и документов. Течение срока рассмотрения жалобы приостанавливается с момента направления запроса о представлении дополнительных информации и документов, относящихся к предмету жалобы, до момента получения их контрольным (надзорным) органом или его территориальным органом, но не более чем на 5 рабочих дней с момента направления запроса о представлении дополнительных информации и документов.

Неполучение от контролируемого лица дополнительных информации и документов, относящихся к предмету жалобы, не является основанием для отказа в рассмотрении жалобы.

Не допускается запрашивать у контролируемого лица, подавшего жалобу, информацию и документы, которые находятся в распоряжении государственных органов, органов местного самоуправления либо подведомственных им организаций.

Обязанность доказывания законности и обоснованности принятого решения и (или) совершенного действия (бездействия) возлагается на контрольный (надзорный) орган или его территориальный орган, решение и (или) действие (бездействие) должностного лица которого обжалуются.

84. По итогам рассмотрения жалобы контрольный (надзорный) орган или его территориальный орган принимает одно из следующих решений:

а) оставляет жалобу без удовлетворения;

б) отменяет решение контрольного (надзорного) органа или его территориального органа полностью или частично;

в) отменяет решение контрольного (надзорного) органа или его территориального органа полностью и принимает новое решение;

г) признает действия (бездействие) должностных лиц контрольных (надзорных) органов незаконными и выносит решение по существу, в том числе об осуществлении при необходимости определенных действий.

85. Решение контрольного (надзорного) органа или его территориального органа, содержащее обоснование принятого решения, срок и порядок его исполнения, размещается в личном кабинете контролируемого лица на едином портале государственных и муниципальных услуг в срок не позднее одного рабочего дня со дня его принятия.

VII. Ключевой показатель государственного контроля (надзора) и его целевое значение (в ред. Постановления Правительства РФ от 13.01.2022 N 2)

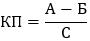
86. Ключевым показателем государственного контроля (надзора) является отношение объектов государственного контроля (надзора), по которым принято решение об их отнесении к более низкой категории риска, к объектам государственного контроля (надзора), по которым принято решение об их отнесении к более высокой категории риска.

Целевым значением ключевого показателя государственного контроля (надзора) (КП), достижение которого обеспечивается контрольным (надзорным) органом, является положительное значение указанного показателя, который определяется по формуле:

,

где:

А - количество объектов государственного контроля (надзора), в отношении которых в отчетном периоде принято решение об их отнесении к более низкой категории риска;

В - количество объектов государственного контроля (надзора), в отношении которых в отчетном периоде принято решение об их отнесении к более высокой категории риска;

С - общее количество объектов государственного контроля (надзора), которым присвоена категория риска, на дату окончания отчетного периода.

Приложение
к Положению о федеральном
государственном контроле
(надзоре) в области связи

КРИТЕРИИ ОТНЕСЕНИЯ ОБЪЕКТОВ ГОСУДАРСТВЕННОГО КОНТРОЛЯ (НАДЗОРА) В ОБЛАСТИ СВЯЗИ К КАТЕГОРИИ РИСКА ПРИЧИНЕНИЯ ВРЕДА (УЩЕРБА) ОХРАНЯЕМЫМ ЗАКОНОМ ЦЕННОСТЯМ ПРИ ОСУЩЕСТВЛЕНИИ ГОСУДАРСТВЕННОГО КОНТРОЛЯ (НАДЗОРА) В ОБЛАСТИ СВЯЗИ

(в ред. Постановления Правительства РФ от 24.10.2024 N 1433)

1. По тяжести и масштабу потенциальных негативных последствий несоблюдения контролируемыми лицами обязательных требований, установленных федеральными законами и нормативными правовыми актами Российской Федерации в области связи, деятельность контролируемых лиц, подлежащая федеральному государственному контролю (надзору) в области связи, разделяется на группы тяжести "А" и "Б" (далее - группы тяжести).

2. К группе тяжести "А" относится:

а) деятельность юридических лиц и индивидуальных предпринимателей, осуществляющих на основании соответствующих лицензий оказание услуг подвижной радиотелефонной связи, фиксированной телефонной связи, услуг подвижной радиосвязи, телематических услуг связи и услуг связи по передаче данных;

б) деятельность юридических лиц и индивидуальных предпринимателей, имеющих уникальный идентификатор совокупности средств связи и иных технических средств в информационно-телекоммуникационной сети "Интернет";

в) деятельность юридических лиц и индивидуальных предпринимателей, использующих радиочастотный спектр, не осуществляющих оказание услуг связи;

г) деятельность юридических лиц и индивидуальных предпринимателей, осуществляющих на основании соответствующих лицензий оказание услуг связи, собственников или иных владельцев технологических сетей связи, собственников или иных владельцев точек обмена трафиком, собственников или иных владельцев линий связи, пересекающих государственную границу Российской Федерации.

3. К группе тяжести "Б" относится:

а) деятельность юридических лиц и индивидуальных предпринимателей, осуществляющих на основании соответствующих лицензий оказание услуг связи, за исключением перечисленных в подпунктах "а" и "г" пункта 2 настоящих критериев;

б) деятельность юридических лиц и индивидуальных предпринимателей, использующих радиочастотный спектр, не имеющих уникального идентификатора совокупности средств связи и иных технических средств в информационно-телекоммуникационной сети "Интернет".

4. С учетом оценки вероятности несоблюдения контролируемыми лицами обязательных требований деятельность, подлежащая федеральному государственному контролю (надзору), разделяется на группы вероятности "1", "2", "3", "4" и "5" (далее - группы вероятности).

5. К группе вероятности "1" относится:

а) деятельность контролируемых лиц при наличии вступившего в законную силу в течение последних 3 лет на дату принятия решения об отнесении деятельности юридического лица или индивидуального предпринимателя к категории риска причинения вреда (ущерба) охраняемым законом ценностям при осуществлении государственного контроля (надзора) постановления о назначении административного наказания юридическому лицу, его должностным лицам или индивидуальному предпринимателю за совершение административного правонарушения, предусмотренного статьями 13.2.1, 13.29, 13.42.1, 13.44 и частью 5 статьи 19.7.10 Кодекса Российской Федерации об административных правонарушениях;

б) нарушение обязательных требований, установленных пунктами 1, 2 и 7 статьи 56.1-1 Федерального закона "О связи", юридическими лицами и индивидуальными предпринимателями, осуществляющими на основании соответствующих лицензий оказание услуг связи, собственниками или иными владельцами технологических сетей связи, собственниками или иными владельцами точек обмена трафиком, собственниками или иными владельцами линий связи, пересекающих государственную границу Российской Федерации, за которое не предусмотрена административная ответственность в соответствии с Кодексом Российской Федерации об административных правонарушениях.

6. К группе вероятности "2" относится деятельность контролируемых лиц при наличии вступившего в законную силу в течение последних 3 лет на дату принятия решения об отнесении деятельности юридического лица или индивидуального предпринимателя к категории риска причинения вреда (ущерба) охраняемым законом ценностям при осуществлении государственного контроля (надзора) постановления о назначении административного наказания юридическому лицу, его должностным лицам или индивидуальному предпринимателю за совершение административного правонарушения, предусмотренного частью 3 статьи 13.4 (в случае создания радиопомех), частью 1 статьи 13.18, статьей 13.42, частью 4 статьи 14.1 Кодекса Российской Федерации об административных правонарушениях.

7. К группе вероятности "3" относится деятельность контролируемых лиц при наличии вступившего в законную силу в течение последних 3 лет на дату принятия решения об отнесении деятельности юридического лица или индивидуального предпринимателя к категории риска причинения вреда (ущерба) охраняемым законом ценностям при осуществлении государственного контроля (надзора) постановления о назначении административного наказания юридическому лицу, его должностным лицам или индивидуальному предпринимателю за совершение административного правонарушения, предусмотренного статьями 13.3 и 13.4 (в случаях, не связанных с созданием радиопомех), статьями 13.5, 13.6, частью 3 статьи 14.1, статьями 19.4, 19.4.1, 19.5, 19.7.10, частью 1 статьи 20.25 Кодекса Российской Федерации об административных правонарушениях.

8. К группе вероятности "4" относится деятельность контролируемых лиц, у которых в течение последних 3 лет при проведении планового и (или) внепланового контрольного (надзорного) мероприятия были выявлены нарушения обязательных требований в области связи с привлечением к административной ответственности по статьям Кодекса Российской Федерации об административных правонарушениях, не указанным в пунктах 5 и 6 настоящих критериев.

9. К группе вероятности "5" относится деятельность контролируемых лиц, у которых в течение последних 3 лет при проведении планового или внепланового контрольного (надзорного) мероприятия были выявлены, а также не были выявлены нарушения обязательных требований в области связи, за которые не предусмотрена административная ответственность в соответствии с Кодексом Российской Федерации об административных правонарушениях.

10. Отнесение деятельности субъекта надзора к определенной категории риска основывается на соотнесении группы тяжести и группы вероятности.

Категория рискаГруппа тяжестиГруппа вероятности
ВысокийА1
ЗначительныйА2
СреднийА3
Б2
УмеренныйА4
Б3
Б4
НизкийА5
Б5