Приказ Минпромторга РФ от 26.11.2024 N 5546

"Об утверждении порядка расчета объемов нетарифных квот, указанных в пункте 1 Постановления Правительства Российской Федерации от 19 октября 2024 г. N 1400 "О введении временного количественного ограничения на вывоз отдельных видов удобрений", в целях их распределения между участниками внешнеторговой деятельности, а также порядка изменения указанных объемов и порядка выдачи, приостановления и прекращения действия лицензий, выдаваемых Министерством промышленности и торговли Российской Федерации в соответствии с Правилами выдачи лицензий и разрешений на экспорт и (или) импорт товаров, включенных в Единый перечень товаров, к которым применяются меры нетарифного регулирования в торговле с третьими странами, утвержденными решением Совета Евразийской экономической комиссии от 24 ноября 2023 г. N 125"
Редакция от 26.11.2024 — Документ не действует

Зарегистрировано в Минюсте России 27 ноября 2024 г. N 80329


МИНИСТЕРСТВО ПРОМЫШЛЕННОСТИ И ТОРГОВЛИ РОССИЙСКОЙ ФЕДЕРАЦИИ

ПРИКАЗ
от 26 ноября 2024 г. N 5546

ОБ УТВЕРЖДЕНИИ ПОРЯДКА РАСЧЕТА ОБЪЕМОВ НЕТАРИФНЫХ КВОТ, УКАЗАННЫХ В ПУНКТЕ 1 ПОСТАНОВЛЕНИЯ ПРАВИТЕЛЬСТВА РОССИЙСКОЙ ФЕДЕРАЦИИ ОТ 19 ОКТЯБРЯ 2024 Г. N 1400 "О ВВЕДЕНИИ ВРЕМЕННОГО КОЛИЧЕСТВЕННОГО ОГРАНИЧЕНИЯ НА ВЫВОЗ ОТДЕЛЬНЫХ ВИДОВ УДОБРЕНИЙ", В ЦЕЛЯХ ИХ РАСПРЕДЕЛЕНИЯ МЕЖДУ УЧАСТНИКАМИ ВНЕШНЕТОРГОВОЙ ДЕЯТЕЛЬНОСТИ, А ТАКЖЕ ПОРЯДКА ИЗМЕНЕНИЯ УКАЗАННЫХ ОБЪЕМОВ И ПОРЯДКА ВЫДАЧИ, ПРИОСТАНОВЛЕНИЯ И ПРЕКРАЩЕНИЯ ДЕЙСТВИЯ ЛИЦЕНЗИЙ, ВЫДАВАЕМЫХ МИНИСТЕРСТВОМ ПРОМЫШЛЕННОСТИ И ТОРГОВЛИ РОССИЙСКОЙ ФЕДЕРАЦИИ В СООТВЕТСТВИИ С ПРАВИЛАМИ ВЫДАЧИ ЛИЦЕНЗИЙ И РАЗРЕШЕНИЙ НА ЭКСПОРТ И (ИЛИ) ИМПОРТ ТОВАРОВ, ВКЛЮЧЕННЫХ В ЕДИНЫЙ ПЕРЕЧЕНЬ ТОВАРОВ, К КОТОРЫМ ПРИМЕНЯЮТСЯ МЕРЫ НЕТАРИФНОГО РЕГУЛИРОВАНИЯ В ТОРГОВЛЕ С ТРЕТЬИМИ СТРАНАМИ, УТВЕРЖДЕННЫМИ РЕШЕНИЕМ СОВЕТА ЕВРАЗИЙСКОЙ ЭКОНОМИЧЕСКОЙ КОМИССИИ ОТ 24 НОЯБРЯ 2023 Г. N 125

В соответствии с пунктом 5 постановления Правительства Российской Федерации от 19 октября 2024 г. N 1400 "О введении временного количественного ограничения на вывоз отдельных видов удобрений" приказываю:

1. Утвердить:

порядок расчета объемов нетарифных квот, указанных в пункте 1 постановления Правительства Российской Федерации от 19 октября 2024 г. N 1400 "О введении временного количественного ограничения на вывоз отдельных видов удобрений", в целях их распределения между участниками внешнеторговой деятельности, а также порядок изменения указанных объемов согласно приложению N 1 к настоящему приказу;

порядок выдачи, приостановления и прекращения действия лицензий, выдаваемых Министерством промышленности и торговли Российской Федерации в соответствии с Правилами выдачи лицензий и разрешений на экспорт и (или) импорт товаров, включенных в единый перечень товаров, к которым применяются меры нетарифного регулирования в торговле с третьими странами, утвержденными Решением Совета Евразийской экономической комиссии от 24 ноября 2023 г. N 125, согласно приложению N 2 к настоящему приказу.

2. Контроль за исполнением настоящего приказа возложить на заместителя Министра промышленности и торговли Российской Федерации М.Н. Юрина и статс-секретаря - заместителя Министра промышленности и торговли Российской Федерации Р.А. Чекушова в соответствии с распределением обязанностей.

3. Отменить приказ Министерства промышленности и торговли Российской Федерации от 31 октября 2024 г. N 5072 "Об утверждении порядка расчета объемов нетарифных квот, указанных в пункте 1 постановления Правительства Российской Федерации от 19 октября 2024 г. N 1400 "О введении временного количественного ограничения на вывоз отдельных видов удобрений", в целях их распределения между участниками внешнеторговой деятельности, а также порядка изменения указанных объемов и порядка выдачи, приостановления и прекращения действия лицензий, выдаваемых Министерством промышленности и торговли Российской Федерации в соответствии с Правилами выдачи лицензий и разрешений на экспорт и (или) импорт товаров, включенных в единый перечень товаров, к которым применяются меры нетарифного регулирования в торговле с третьими странами, утвержденными Решением Совета Евразийской экономической комиссии от 24 ноября 2023 г. N 125" (зарегистрирован Министерством юстиции Российской Федерации 22 ноября 2024 г., регистрационный N 80289).

4. Настоящий приказ вступает в силу с 28 ноября 2024 г. и действует по 31 мая 2025 г. включительно.

Врио Министра
Р.А. ЧЕКУШОВ

Приложение N 1
к приказу Минпромторга России
от 26 ноября 2024 г. N 5546

ПОРЯДОК РАСЧЕТА ОБЪЕМОВ НЕТАРИФНЫХ КВОТ, УКАЗАННЫХ В ПУНКТЕ 1 ПОСТАНОВЛЕНИЯ ПРАВИТЕЛЬСТВА РОССИЙСКОЙ ФЕДЕРАЦИИ 19 ОКТЯБРЯ 2024 Г. N 1400 "О ВВЕДЕНИИ ВРЕМЕННОГО КОЛИЧЕСТВЕННОГО ОГРАНИЧЕНИЯ НА ВЫВОЗ ОТДЕЛЬНЫХ ВИДОВ УДОБРЕНИЙ", В ЦЕЛЯХ ИХ РАСПРЕДЕЛЕНИЯ МЕЖДУ УЧАСТНИКАМИ ВНЕШНЕТОРГОВОЙ ДЕЯТЕЛЬНОСТИ, А ТАКЖЕ ПОРЯДОК ИЗМЕНЕНИЯ УКАЗАННЫХ ОБЪЕМОВ

1. Настоящий порядок в отношении удобрений азотных (коды 3102 10 100 0, 3102 10 900 0, 3102 30 100 0, 3102 30 900 0 и 3102 80 000 0 единой Товарной номенклатуры внешнеэкономической деятельности Евразийского экономического союза, утвержденной Решением Совета Евразийской экономической комиссии от 14 сентября 2021 г. N 80 "Об утверждении единой Товарной номенклатуры внешнеэкономической деятельности Евразийского экономического союза и Единого таможенного тарифа Евразийского экономического союза, а также об изменении и признании утратившими силу некоторых решений Совета Евразийской экономической комиссии" (вступило в силу для Российской Федерации 1 января 2022 г.), которое является обязательным для Российской Федерации в соответствии с Договором о Евразийском экономическом союзе от 29 мая 2014 г., ратифицированным Федеральным законом от 3 октября 2014 г. N 279-ФЗ "О ратификации Договора о Евразийском экономическом союзе", вступившим в силу для Российской Федерации 1 января 2015 г. (далее - ТН ВЭД ЕАЭС), и удобрений, содержащих два или три питательных элемента: азот, фосфор и калий (коды 3105 20 100 0, 3105 20 900 0, 3105 40 000 и 3105 59 000 0 ТН ВЭД ЕАЭС) (далее - удобрения (при совместном упоминании), определяет:

правила расчета объемов количественных ограничений на вывоз за пределы территории Российской Федерации в государства, не являющиеся членами Евразийского экономического союза (далее - нетарифные квоты), в целях их распределения между участниками внешнеторговой деятельности, являющимися производителями удобрений (далее - производитель удобрений), имеющими заключение о подтверждении производства промышленной продукции на территории Российской Федерации, выданное Министерством промышленности и торговли Российской Федерации до даты вступления в силу постановления Правительства Российской Федерации от 29 июня 2024 г. N 894 "О внесении изменений в некоторые акты Правительства Российской Федерации", или регистрационный номер реестровой записи в реестре российской промышленной продукции <1>, либо между уполномоченными производителями удобрений юридическими лицами (далее - уполномоченное юридическое лицо, участники внешнеторговой деятельности <2>), имеющими утвержденную торгово-сбытовую политику, согласованную участником внешнеторговой деятельности с Федеральной антимонопольной службой и размещенную на официальном сайте участника внешнеторговой деятельности в информационно-телекоммуникационной сети "Интернет" в соответствии с абзацем вторым подпункта "а" пункта 4 постановления Правительства Российской Федерации от 19 октября 2024 г. N 1400 "О введении временного количественного ограничения на вывоз отдельных видов удобрений" (далее - постановление);

<1> Статья 17.1 Федерального закона от 31 декабря 2014 г. N 488-ФЗ "О промышленной политике в Российской Федерации".

<2> При совместном упоминании производителя удобрений и уполномоченного юридического лица.

правила изменения объемов нетарифных квот.

2. Объемы нетарифных квот рассчитываются в целях их распределения Департаментом химической промышленности Министерства промышленности и торговли Российской Федерации между участниками внешнеторговой деятельности в соответствии с группами удобрений для расчета нетарифных квот в целях их распределения между участниками внешнеторговой деятельности, указанными в приложении к настоящему порядку (далее - группы).

3. Для расчета объемов нетарифных квот в целях их распределения между участниками внешнеторговой деятельности:

3.1. Производитель удобрений (либо его уполномоченный представитель) представляет в Департамент химической промышленности Министерства промышленности и торговли Российской Федерации:

а) копию заключения о подтверждении производства промышленной продукции на территории Российской Федерации, выданного Министерством промышленности и торговли Российской Федерации в отношении удобрений до даты вступления в силу постановления Правительства Российской Федерации от 29 июня 2024 г. N 894 "О внесении изменений в некоторые акты Правительства Российской Федерации", или регистрационный номер реестровой записи в реестре российской промышленной продукции;

б) сведения об уполномоченных юридических лицах с указанием полного наименования, идентификационного номера налогоплательщика, основного государственного регистрационного номера и процентного распределения между ними нетарифных квот в случае, если поставки будут осуществляться лицом, не являющимся производителем удобрений (при наличии);

в) подписанную руководителем производителя удобрений (уполномоченным лицом) и заверенную печатью производителя удобрений (при наличии) справку о плановых объемах производства удобрений за период с 1 декабря 2024 г. по 31 мая 2025 г. и информацию о плановых поставках удобрений для нужд российских промышленных предприятий в период с 1 декабря 2024 г. по 31 мая 2025 г. ежемесячно в физическом весе в тоннах, а также информацию о планируемых нереализованных товарных остатках на складах на 1 декабря 2024 г.;

г) подписанный руководителем производителя удобрений (уполномоченным лицом) и заверенный печатью производителя удобрений (при наличии) план реализации сельскохозяйственным товаропроизводителям удобрений в разбивке по месяцам и видам удобрений в период с 1 декабря 2024 г. по 31 мая 2025 г. (далее - план реализации), но не менее, чем указано в плане приобретения удобрений сельскохозяйственными товаропроизводителями и организациями, осуществляющими производство комбикормов (в физическом весе), утверждаемом Министерством сельского хозяйства Российской Федерации по согласованию с Министерством промышленности и торговли Российской Федерации в соответствии с абзацем третьим подпункта "а" пункта 4 постановления;

д) копию утвержденной торгово-сбытовой политики, согласованной производителем удобрений с Федеральной антимонопольной службой и размещенной на официальном сайте производителя удобрений в информационно-телекоммуникационной сети "Интернет" в соответствии с абзацем вторым подпункта "а" пункта 4 постановления, а также копию письма Федеральной антимонопольной службы, подтверждающего указанное согласование.

3.2. Уполномоченное юридическое лицо (либо его уполномоченный представитель) представляет в Департамент химической промышленности Министерства промышленности и торговли Российской Федерации копию утвержденной торгово-сбытовой политики, согласованную Министерством промышленности и торговли Российской Федерации с Федеральной антимонопольной службой и размещенную на официальном сайте уполномоченного юридического лица в информационно-телекоммуникационной сети "Интернет" в соответствии с абзацем вторым подпункта "а" пункта 4 постановления, а также копию письма Федеральной антимонопольной службы, подтверждающего указанное согласование.

3.3. В случае выделения дополнительных объемов нетарифных квот по отдельным кодам ТН ВЭД ЕАЭС участник внешнеторговой деятельности не позднее двух рабочих дней со дня увеличения нетарифных квот представляет в Департамент химической промышленности Министерства промышленности и торговли Российской Федерации документы в соответствии с подпунктами 3.1 и (или) 3.2 настоящего пункта.

4. Расчет объемов нетарифных квот осуществляется следующим образом с учетом особенностей, установленных пунктом 5 настоящего порядка:

4.1. Для удобрений групп 1 - 3 в качестве объема нетарифных квот принимается значение общего объема нетарифных квот в отношении азотных удобрений (коды 3102 10 100 0, 3102 10 900 0, 3102 30 100 0, 3102 30 900 0 и 3102 80 000 0 ТН ВЭД ЕАЭС).

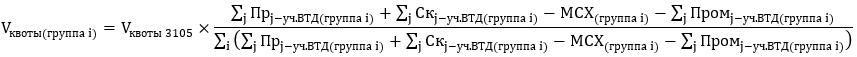
Объем нетарифных квот по каждой из групп удобрений 1 - 3 рассчитывается по следующей формуле (коды 3102 10 100 0, 3102 10 900 0, 3102 30 100 0, 3102 30 900 0 и 3102 80 000 0 ТН ВЭД ЕАЭС):

,

где:

- объем нетарифных квот в отношении удобрений по группе i;

- общий объем нетарифных квот в отношении азотных удобрений, установленных в соответствии с постановлением (коды 3102 10 100 0, 3102 10 900 0, 3102 30 100 0, 3102 30 900 0 и 3102 80 000 0 ТН ВЭД ЕАЭС), в отношении которого проводится распределение по группам;

- плановый объем производства j-м производителем удобрений по группе i за период с 1 декабря 2024 г. по 31 мая 2025 г. по данным, представленным в соответствии с подпунктом "в" подпункта 3.1 пункта 3 настоящего порядка по соответствующему коду Общероссийского классификатора продукции по видам экономической деятельности (далее - ОКПД 2);

- сумма планируемых нереализованных товарных остатков в тоннах физического веса, принадлежащих j-му производителю удобрений по группе i на 1 декабря 2024 г., по данным, представленным в соответствии с подпунктом "в" подпункта 3.1 пункта 3 настоящего порядка по соответствующему коду ОКПД 2;

- планируемый объем приобретения удобрений по группе i в соответствии с планом реализации;

- заявленный j-м производителем удобрений плановый объем поставок удобрений по группе i для нужд российских промышленных предприятий в период с 1 декабря 2024 г. по 31 мая 2025 г. по данным, представленным в соответствии с подпунктом "в" подпункта 3.1 пункта 3 настоящего порядка по соответствующему коду ОКПД 2.

4.2. Для удобрений групп 4 - 6 в качестве объема нетарифных квот принимается значение общего объема нетарифных квот в отношении удобрений, содержащих 2 или 3 питательных элемента, - азот, фосфор и калий (коды 3105 20 100 0, 3105 20 900 0, 3105 40 000 и 3105 59 000 0 ТН ВЭД ЕАЭС).

Объем нетарифных квот по группам удобрений 4 - 6 рассчитывается по следующей формуле (коды 3105 20 100 0, 3105 20 900 0, 3105 40 000 и 3105 59 000 0 ТН ВЭД ЕАЭС):

,

где:

- объем нетарифных квот в отношении удобрений по группе i;

- общий объем нетарифных квот в отношении удобрений, содержащих 2 или 3 питательных элемента, - азот, фосфор и калий, выделенный в соответствии с постановлением (коды 3105 20 100 0, 3105 20 900 0, 3105 40 000 и 3105 59 000 0 ТН ВЭД ЕАЭС), в отношении которого проводится распределение по группам;

- плановый объем производства j-м производителем удобрений по группе i за период с 1 декабря 2024 г. по 31 мая 2025 г. по данным, представленным в соответствии с подпунктом "в" подпункта 3.1 пункта 3 настоящего порядка по соответствующему коду ОКПД 2;

- сумма планируемых нереализованных товарных остатков в тоннах физического веса, принадлежащих j-му производителю удобрений по группе i на 1 декабря 2024 г., по данным, представленным в соответствии с подпунктом "в" подпункта 3.1 пункта 3 настоящего порядка по соответствующему коду ОКПД 2;

- планируемый объем приобретения удобрений по группе i в соответствии с планом реализации;

- заявленный j-м производителем удобрений плановый объем поставок удобрений по группе i для нужд российских промышленных предприятий в период с 1 декабря 2024 г. по 31 мая 2025 г. по данным, представленным в соответствии с подпунктом "в" подпункта 3.1 пункта 3 настоящего порядка по соответствующему коду ОКПД 2.

5. Расчет объемов нетарифных квот для производителей удобрений осуществляется следующим образом:

Для каждого производителя удобрений в отношении каждой группы удобрений рассчитывается дефицит нетарифных квот по следующей формуле:

,

где:

- дефицит нетарифных квот, рассчитанный j-му производителю удобрений в отношении удобрений по группе i;

- плановый объем производства j-м производителем удобрений по группе i за период с 1 декабря 2024 г. по 31 мая 2025 г. по данным, представленным в соответствии с подпунктом "в" подпункта 3.1 пункта 3 настоящего порядка по соответствующему коду ОКПД 2;

- сумма планируемых нереализованных товарных остатков в тоннах физического веса, принадлежащих j-му производителю удобрений по группе i на 1 декабря 2024 г., по данным, представленным в соответствии с подпунктом "в" подпункта 3.1 пункта 3 настоящего порядка по соответствующему коду ОКПД 2;

- плановый объем поставок j-м производителем удобрений в адрес сельскохозяйственных товаропроизводителей в соответствии с планом реализации по группе i за период с 1 декабря 2024 г. по 31 мая 2025 г. по данным, представленным в соответствии с подпунктом "г" подпункта 3.1 пункта 3 настоящего порядка по соответствующему коду ОКПД 2;

- заявленный j-м производителем удобрений плановый объем поставок удобрений по группе i для нужд российских промышленных предприятий в период с 1 декабря 2024 г. по 31 мая 2025 г. по данным, представленным в соответствии с подпунктом "в" подпункта 3.1 пункта 3 настоящего порядка по соответствующему коду ОКПД 2.

Если < 0, то нетарифные квоты j-му производителю удобрений по группе i не предоставляются, для дальнейшего расчета значение принимается равным 0.

6. Распределение объемов нетарифных квот между производителями удобрений производится пропорционально дефициту нетарифных квот по следующей формуле:

,

где:

- объем нетарифных квот, рассчитанный j-му производителю удобрений в отношении удобрений по группе i;

- объем нетарифных квот в отношении удобрений по группе i;

- дефицит нетарифных квот j-го производителя удобрений в отношении удобрений по группе i, рассчитанный по формуле, предусмотренной пунктом 5 настоящего порядка.

7. Распределение объемов нетарифных квот между уполномоченными юридическими лицами осуществляется на основании документов, представленных в соответствии с подпунктом "б" подпункта 3.1 и подпунктом 3.2 пункта 3 настоящего порядка.

8. При наличии заявлений о перерасчете выданных нетарифных квот от производителей удобрений Департамент химической промышленности Министерства промышленности и торговли Российской Федерации осуществляет перерасчет выданных нетарифных квот с учетом фактических данных в отношении экспорта удобрений, но не ранее 10 февраля 2025 г.

Для перерасчета объемов нетарифных квот в целях их распределения участник внешнеторговой деятельности до 10 февраля 2025 г. представляет в Департамент химической промышленности Министерства промышленности и торговли Российской Федерации документы согласно подпунктам 3.1 и (или) 3.2 пункта 3 настоящего порядка.

Данные, предусмотренные подпунктом "в" подпункта 3.1 пункта 3 настоящего порядка, представляются с учетом фактических ежемесячных объемов производства с 1 декабря 2024 г., а также фактических объемов нереализованных товарных остатков на складах на 1 декабря 2024 г.

В случае выделения дополнительных объемов нетарифных квот по отдельным кодам ТН ВЭД ЕАЭС расчет дополнительных объемов нетарифных квот производителям удобрений производится в соответствии с пунктами 4 - 6 настоящего порядка пропорционально сформировавшемуся дефициту нетарифных квот. Распределение объемов нетарифных квот между уполномоченными юридическими лицами осуществляется в соответствии с пунктом 7 настоящего порядка.

9. Для перераспределения объемов нетарифных квот участник внешнеторговой деятельности представляет в Департамент химической промышленности Министерства промышленности и торговли Российской Федерации одно из следующих заявлений:

а) об отказе участника внешнеторговой деятельности от распределенного объема нетарифных квот или его части и распределении высвободившегося объема нетарифных квот на указанного в заявлении участника внешнеторговой деятельности с указанием вывезенного с 1 декабря 2024 г. объема нетарифных квот;

б) об отказе участника внешнеторговой деятельности от распределенного объема нетарифных квот или его части и перераспределении высвободившегося объема нетарифных квот между остальными участниками внешнеторговой деятельности пропорционально распределенным для них объемам нетарифных квот с указанием вывезенного с 1 декабря 2024 г. объема нетарифных квот.

10. При направлении предусмотренных пунктом 9 настоящего порядка заявлений Департамент химической промышленности Министерства промышленности и торговли Российской Федерации в течение 5 рабочих дней со дня поступления указанных заявлений обеспечивает направление на согласование в Департамент международной кооперации и лицензирования в сфере внешней торговли Министерства промышленности и торговли Российской Федерации проекта акта Министерства промышленности и торговли Российской Федерации о перераспределении объемов нетарифных квот в отношении удобрений (далее - акт-перераспределение).

Департамент международной кооперации и лицензирования в сфере внешней торговли Министерства промышленности и торговли Российской Федерации в течение 5 рабочих дней со дня получения акта-перераспределения осуществляет проверку наличия лицензий на экспорт указанных в акте-перераспределении удобрений.

В случае наличия лицензий на экспорт указанных в акте-перераспределении удобрений Департамент международной кооперации и лицензирования в сфере внешней торговли Министерства промышленности и торговли Российской Федерации согласовывает акт-перераспределение.

В случае отсутствия лицензий на экспорт указанных в акте-перераспределении удобрений Департамент международной кооперации и лицензирования в сфере внешней торговли Министерства промышленности и торговли Российской Федерации в течение 5 рабочих дней со дня получения акта-перераспределения направляет информацию, подтверждающую отсутствие лицензий на экспорт указанных в акте-перераспределении удобрений, в Департамент химической промышленности Министерства промышленности и торговли Российской Федерации. Департамент химической промышленности Министерства промышленности и торговли Российской Федерации в течение 5 рабочих дней со дня получения информации, подтверждающей отсутствие лицензий на экспорт указанных в акте-перераспределении удобрений, направляет участнику внешнеторговой деятельности письмо об отказе в перераспределении нетарифных квот.

Участник внешнеторговой деятельности имеет право на повторное обращение в соответствии с пунктом 9 настоящего порядка.

В течение 5 рабочих дней со дня согласования акта-перераспределения Департамент химической промышленности Министерства промышленности и торговли Российской Федерации направляет акт-перераспределение на утверждение Министру промышленности и торговли Российской Федерации.

11. Департамент химической промышленности Министерства промышленности и торговли Российской Федерации в течение 5 рабочих дней со дня поступления от участников внешнеторговой деятельности информации о невыполнении сельскохозяйственными товаропроизводителями плана реализации направляет документы, подтверждающие информацию, указанную в настоящем пункте, в оперативный штаб по осуществлению контроля за поставками азотных удобрений сельскохозяйственными товаропроизводителями и порядком их использования, созданный Министерством сельского хозяйства Российской Федерации (далее - Оперативный штаб).

В течение 5 рабочих дней со дня поступления подтверждающих документов, указанных в абзаце первом настоящего пункта, Оперативным штабом рассматриваются направленные документы и принимается решение о выполнении или невыполнении сельскохозяйственными товаропроизводителями плана реализации и возможности увеличения объемов нетарифных квот.

Приложение
к порядку расчета объемов
нетарифных квот, указанных
в пункте 1 постановления
Правительства Российской Федерации
от 19 октября 2024 г. N 1400
"О введении временного количественного
ограничения на вывоз отдельных
видов удобрений", в целях их
распределения между участниками
внешнеторговой деятельности,
а также порядку изменения указанных
объемов, утвержденному приказом
Минпромторга России
от 26 ноября 2024 г. N 5546

ГРУППЫ УДОБРЕНИЙ ДЛЯ РАСЧЕТА НЕТАРИФНЫХ КВОТ В ЦЕЛЯХ ИХ РАСПРЕДЕЛЕНИЯ МЕЖДУ УЧАСТНИКАМИ ВНЕШНЕТОРГОВОЙ ДЕЯТЕЛЬНОСТИ

Номер группы (i)Код ТН ВЭДКод ОКПД 2
1310210100020.15.31
3102109000
2310230100020.15.33
3102309000
3310280000020.15.39
4310520100020.15.71
3105209000
531054000020.15.73
6310559000020.15.79

Приложение N 2
к приказу Минпромторга России
от 26 ноября 2024 г. N 5546

ПОРЯДОК ВЫДАЧИ, ПРИОСТАНОВЛЕНИЯ И ПРЕКРАЩЕНИЯ ДЕЙСТВИЯ ЛИЦЕНЗИЙ, ВЫДАВАЕМЫХ МИНИСТЕРСТВОМ ПРОМЫШЛЕННОСТИ И ТОРГОВЛИ РОССИЙСКОЙ ФЕДЕРАЦИИ В СООТВЕТСТВИИ С ПРАВИЛАМИ ВЫДАЧИ ЛИЦЕНЗИЙ И РАЗРЕШЕНИЙ НА ЭКСПОРТ И (ИЛИ) ИМПОРТ ТОВАРОВ, ВКЛЮЧЕННЫХ В ЕДИНЫЙ ПЕРЕЧЕНЬ ТОВАРОВ, К КОТОРЫМ ПРИМЕНЯЮТСЯ МЕРЫ НЕТАРИФНОГО РЕГУЛИРОВАНИЯ В ТОРГОВЛЕ С ТРЕТЬИМИ СТРАНАМИ, УТВЕРЖДЕННЫМИ РЕШЕНИЕМ СОВЕТА ЕВРАЗИЙСКОЙ ЭКОНОМИЧЕСКОЙ КОМИССИИ ОТ 24 НОЯБРЯ 2023 Г. N 125

1. Настоящий порядок определяет правила выдачи, приостановления и прекращения Министерством промышленности и торговли Российской Федерации действия лицензий на экспорт минеральных удобрений (коды 3102 10 100 0, 3102 10 900 0, 3102 30 100 0, 3102 30 900 0, 3102 80 000 0, 3105 20 100 0, 3105 20 900 0, 3105 40 000 и 3105 59 000 0 единой Товарной номенклатуры внешнеэкономической деятельности Евразийского экономического союза, утвержденной Решением Совета Евразийской экономической комиссии от 14 сентября 2021 г. N 80 "Об утверждении единой Товарной номенклатуры внешнеэкономической деятельности Евразийского экономического союза и Единого таможенного тарифа Евразийского экономического союза, а также об изменении и признании утратившими силу некоторых решений Совета Евразийской экономической комиссии" (вступило в силу для Российской Федерации 1 января 2022 г.), которое является обязательным для Российской Федерации в соответствии с Договором о Евразийском экономическом союзе от 29 мая 2014 г., ратифицированным Федеральным законом от 3 октября 2014 г. N 279-ФЗ "О ратификации Договора о Евразийском экономическом союзе", вступившим в силу для Российской Федерации 1 января 2015 г. (далее - ТН ВЭД ЕАЭС, лицензия, удобрения).

2. Департамент международной кооперации и лицензирования в сфере внешней торговли Министерства промышленности и торговли Российской Федерации осуществляет выдачу участникам внешнеторговой деятельности, являющимся производителями удобрений (далее - производитель удобрений), имеющим заключение о подтверждении производства промышленной продукции на территории Российской Федерации, выданное Министерством промышленности и торговли Российской Федерации до даты вступления в силу постановления Правительства Российской Федерации от 29 июня 2024 г. N 894 "О внесении изменений в некоторые акты Правительства Российской Федерации", или регистрационный номер реестровой записи в реестре российской промышленной продукции <1>, либо являющимся уполномоченными производителями удобрений юридическими лицами (далее - уполномоченное юридическое лицо, участники внешнеторговой деятельности <2>), имеющими утвержденную торгово-сбытовую политику, согласованную участником внешнеторговой деятельности с Федеральной антимонопольной службой и размещенную на официальном сайте участника внешнеторговой деятельности в информационно-телекоммуникационной сети "Интернет", в соответствии с абзацем вторым подпункта "а" пункта 4 постановления Правительства Российской Федерации от 19 октября 2024 г. N 1400 "О введении временного количественного ограничения на вывоз отдельных видов удобрений" (далее - постановление), разовых лицензий в соответствии с Правилами выдачи лицензий и разрешений на экспорт и (или) импорт товаров, включенных в единый перечень товаров, к которым применяются меры нетарифного регулирования в торговле с третьими странами, утвержденными Решением Совета Евразийской экономической комиссии от 24 ноября 2023 г. N 125, которое является обязательным для Российской Федерации в соответствии с Договором о Евразийском экономическом союзе от 29 мая 2014 г., ратифицированным Федеральным законом от 3 октября 2014 г. N 279-ФЗ "О ратификации Договора о Евразийском экономическом союзе", вступившим в силу для Российской Федерации 1 января 2015 г. (далее - Правила выдачи лицензий).

<1> Статья 17.1 Федерального закона от 31 декабря 2014 г. N 488-ФЗ "О промышленной политике в Российской Федерации".

<2> При совместном упоминании производителя удобрений и уполномоченного юридического лица.

3. Выдача (оформление) лицензии или отказ в выдаче (оформлении) лицензии осуществляется в течение 10 рабочих дней со дня поступления от участника внешнеторговой деятельности (либо его уполномоченного представителя) в Министерство промышленности и торговли Российской Федерации документов, указанных в пункте 10 Правил выдачи лицензий.

4. Действие лицензии приостанавливается Министерством промышленности и торговли Российской Федерации на основании решения оперативного штаба по осуществлению контроля за поставками азотных удобрений сельскохозяйственными товаропроизводителями и порядком их использования, созданного Министерством сельского хозяйства Российской Федерации (далее - Оперативный штаб), со дня принятия такого решения в следующих случаях:

а) если цена поставки удобрений для осуществления сельскохозяйственных работ на условиях "франко-завод" от производителя удобрений не соответствует цене, зафиксированной в торгово-сбытовой политике;

б) не соблюдены объемы поставок удобрений в соответствии с планом приобретения удобрений сельскохозяйственными товаропроизводителями и организациями, осуществляющими производство комбикормов (в физическом весе), утверждаемом Министерством сельского хозяйства Российской Федерации по согласованию с Министерством промышленности и торговли Российской Федерации, в соответствии с абзацем третьим подпункта "а" пункта 4 постановления (далее - план), по вине производителя удобрений. В случае если у производителя удобрений имеются письменные отказы от приобретения удобрений со стороны сельскохозяйственных товаропроизводителей и организаций, осуществляющих производство комбикормов, на недопоставленный объем поставок удобрений, предусмотренный планом, обязательства производителя удобрений в отношении плана считаются исполненными, и такая недопоставка не является основанием для приостановления действия лицензии.

5. Действие приостановленной лицензии возобновляется Министерством промышленности и торговли Российской Федерации на основании решения Оперативного штаба после устранения причин, вызвавших приостановление ее действия, со дня, следующего за последним днем срока приостановления действия лицензии, в порядке, установленном пунктом 20 Правил выдачи лицензий.

В случае неустранения участником внешнеторговой деятельности, получившим лицензию, по истечении месяца со дня ее приостановления причин приостановления действия лицензии, ее действие прекращается.

6. Действие лицензии прекращается по основаниям, предусмотренным пунктом 19 Правил выдачи лицензий.