Указание ЦБ РФ от 30.10.2024 N 6911-У

"О порядке расчета размера участия иностранного капитала в совокупном уставном капитале кредитных организаций, имеющих лицензию на осуществление банковских операций, и филиалах иностранных банков"
Редакция от 30.10.2024 — Действует с 24.02.2025

Зарегистрировано в Минюсте России 4 февраля 2025 г. N 81135


ЦЕНТРАЛЬНЫЙ БАНК РОССИЙСКОЙ ФЕДЕРАЦИИ

УКАЗАНИЕ
от 30 октября 2024 г. N 6911-У

О ПОРЯДКЕ РАСЧЕТА РАЗМЕРА УЧАСТИЯ ИНОСТРАННОГО КАПИТАЛА В СОВОКУПНОМ УСТАВНОМ КАПИТАЛЕ КРЕДИТНЫХ ОРГАНИЗАЦИЙ, ИМЕЮЩИХ ЛИЦЕНЗИЮ НА ОСУЩЕСТВЛЕНИЕ БАНКОВСКИХ ОПЕРАЦИЙ, И ФИЛИАЛАХ ИНОСТРАННЫХ БАНКОВ

Настоящее Указание на основании части третьей статьи 18 Федерального закона "О банках и банковской деятельности" (в редакции Федерального закона от 3 февраля 1996 года N 17-ФЗ) устанавливает порядок расчета размера участия иностранного капитала в совокупном уставном капитале кредитных организаций, имеющих лицензию на осуществление банковских операций, и филиалах иностранных банков.

1. Размер участия иностранного капитала в совокупном уставном капитале кредитных организаций, имеющих лицензию на осуществление банковских операций (далее - кредитные организации), и филиалах иностранных банков (далее - размер участия иностранного капитала в банковской системе Российской Федерации) рассчитывается Банком России в соответствии с частью первой статьи 18 Федерального закона "О банках и банковской деятельности" (в редакции Федерального закона от 3 февраля 1996 года N 17-ФЗ) (далее - Федеральный закон "О банках и банковской деятельности") на основе имеющихся в Банке России сведений о:

совокупной величине иностранных инвестиций нерезидентов в уставные капиталы кредитных организаций;

совокупном размере уставного капитала кредитных организаций;

совокупной величине минимальных гарантийных депозитов всех филиалов иностранных банков.

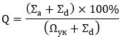
2. Размер участия иностранного капитала в банковской системе Российской Федерации рассчитывается по формуле:

,

где:

Q - размер участия иностранного капитала в банковской системе Российской Федерации;

- совокупная величина иностранных инвестиций нерезидентов в уставные капиталы кредитных организаций, которая определяется на основе имеющихся в Банке России сведений об оплаченных акциях (долях) кредитных организаций и их акционерах (участниках), в том числе данных о номинальной стоимости принадлежащих нерезидентам акций (долей) кредитных организаций, за исключением иностранных инвестиций, указанных в части второй статьи 18 Федерального закона "О банках и банковской деятельности";

- совокупный размер уставного капитала кредитных организаций, при расчете которого учитываются акции кредитной организации в случае, если на дату расчета сведения о величине уставного капитала кредитной организации по итогам размещения акций внесены в единый государственный реестр юридических лиц, осуществлена государственная регистрация отчета об итогах выпуска (дополнительного выпуска) акций кредитной организации либо Банком России получено уведомление об итогах выпуска (дополнительного выпуска) акций кредитной организации в соответствии с Положением Банка России от 19 декабря 2019 года N 706-П "О стандартах эмиссии ценных бумаг" <1>, осуществлена государственная регистрация изменений в решение о выпуске акций, связанных с изменением номинальной стоимости акций, а также доли кредитной организации в случае, если на дату расчета сведения о величине уставного капитала кредитной организации после оплаты долей внесены в единый государственный реестр юридических лиц;

<1> Зарегистрировано Минюстом России 21 апреля 2020 года, регистрационный N 58158, с изменениями, внесенными Указаниями Банка России от 1 октября 2021 года N 5959-У (зарегистрировано Минюстом России 8 ноября 2021 года, регистрационный N 65721), от 4 июля 2022 года N 6195-У (зарегистрировано Минюстом России 10 ноября 2022 года, регистрационный N 70919), от 4 марта 2024 года N 6686-У (зарегистрировано Минюстом России 19 марта 2024 года, регистрационный N 77551).

- совокупная величина минимальных гарантийных депозитов всех филиалов иностранных банков.

3. Настоящее Указание вступает в силу по истечении 10 дней после дня его официального опубликования.

4. Со дня вступления в силу настоящего Указания признать утратившими силу:

Указание Банка России от 28 января 2016 года N 3948-У "О порядке расчета размера участия иностранного капитала в совокупном уставном капитале кредитных организаций, имеющих лицензию на осуществление банковских операций" <2>;

<2> Зарегистрировано Минюстом России 4 февраля 2016 года, регистрационный N 40945.

подпункт 1.12 пункта 1 Указания Банка России от 5 апреля 2017 года N 4344-У "О внесении изменений в отдельные нормативные акты Банка России в связи с изменением структуры Банка России" <3>.

<3> Зарегистрировано Минюстом России 4 мая 2017 года, регистрационный N 46584.

Председатель Центрального банка
Российской Федерации
Э.С. НАБИУЛЛИНА