Постановление Госстроя РФ от 01.08.2002 N 92

"Об утверждении "Временных методических указаний по определению стоимости работ по строительству и ремонту автомобильных дорог"
Редакция от 01.08.2002 — Действует

ГОСУДАРСТВЕННЫЙ КОМИТЕТ РОССИЙСКОЙ ФЕДЕРАЦИИ ПО СТРОИТЕЛЬСТВУ И ЖИЛИЩНО-КОММУНАЛЬНОМУ КОМПЛЕКСУ

ПОСТАНОВЛЕНИЕ
от 1 августа 2002 г. N 92

ОБ УТВЕРЖДЕНИИ "ВРЕМЕННЫХ МЕТОДИЧЕСКИХ УКАЗАНИЙ ПО ОПРЕДЕЛЕНИЮ СТОИМОСТИ РАБОТ ПО СТРОИТЕЛЬСТВУ И РЕМОНТУ АВТОМОБИЛЬНЫХ ДОРОГ"

Во исполнение поручения заместителя председателя Правительства Российской Федерации В.Б.Христенко от 17 мая 2002 г. N ХВ-П10-07030 и реализации программы действий по совершенствованию системы ценообразования в дорожном строительстве. Государственный комитет Российской Федерации по строительству и жилищно-коммунальному комплексу постановляет:

Утвердить и ввести в действие с 1 августа 2002 г. разработанные Межрегиональным центром по ценообразованию в строительстве и промышленности строительных материалов Госстроя России по представлению Управления ценообразования и сметного нормирования в строительстве и жилищно-коммунальном комплексе Госстроя России "Временные методические указания по определению стоимости работ по строительству и ремонту автомобильных дорог"

Председатель
Л.Ш.ШАМУЗАФАРОВ

Государственная служба дорожного хозяйства
Министерства транспорта Российской Федерации
(Росавтодор)

СОГЛАСОВАНО
Заместитель Председателя Госстроя России,
Н. ЗАЦАРИНСКИЙ
2002 г.

СОГЛАСОВАНО
Заместитель Министра транспорта России
О.СКВОРЦОВ
2002 г.

ВРЕМЕННЫЕ МЕТОДИЧЕСКИЕ УКАЗАНИЯ
ПО ОПРЕДЕЛЕНИЮ СТОИМОСТИ РАБОТ ПО СТРОИТЕЛЬСТВУ И РЕМОНТУ АВТОМОБИЛЬНЫХ ДОРОГ

Временные методические указания по определению стоимости работ по строительству и ремонту автомобильных дорог (далее -Методические указания) подготовлены Межрегиональным центром по ценообразованию в строительстве и промышленности строительных материалов Госстроя России.

Методические указания разработаны в соответствии с действующим законодательством Российской Федерации, нормативно-методическими документами Минэкономразвития России, Минфина России, Госстроя России. Государственной службы дорожного хозяйства Минтранса России и иных федеральных органов государственного управления.

Методические указания являются отраслевым документом, отражающим специфику дорожного хозяйства. В них изложен порядок определения стоимости работ по строительству, реконструкции и ремонту автомобильных дорог и сооружений на них (далее -дорожные работы).

Методические указания следует применять в комплексе с другими нормативно-методическими документами Госстроя России, Минэкономразвития России, Минфина России, Минтранса России и других федеральных органов государственного управления.

В Методических указаниях использованы законодательные акты Российской Федерации и нормативно-методические документы по ценообразованию в строительстве, действовавшие по состоянию на 1 июня 2002 года.

Методические указания предназначены для определения стоимости финансируемых за счет (при участии) средств федерального бюджета дорожных работ в текущем и прогнозном уровне цен при составлении инвесторских смет, определении стартовых цен при подготовке и проведении подрядных торгов, а также оплате работ, контракты на выполнение которых в соответствии с действующим законодательством заключались без проведения конкурса.

1. Общие положения

1.1. Цены на дорожные работы являются свободными (договорными). Основным направлением ценовой политики в дорожном хозяйстве является определение объективной стоимости (цены) выполняемых дорожных работ и обеспечение эффективного использования дорожных средств.

1.2. Работы, проводимые на сети автомобильных дорог общего пользования и финансируемые за счет средств федерального бюджета и территориальных дорожных фондов, являются работами, выполняемыми для государственных нужд. Их проведение должно осуществляться в соответствии с действующим законодательством, регламентирующим поставку товаров для государственных нужд.

1.3. Окончательная стоимость работ устанавливается по результатам торгов на их выполнение.

2. Нормативно-методическая база определения стоимости дорожных работ.

2.1. Нормативно-методическая база для определения стоимости дорожных работ состоит из нормативных и методических документов федеральных органов государственного управления, принятых в пределах их компетенции.

2.2. Порядок формирования системы ценообразования и сметного нормирования приведен в Своде правил по определению стоимости строительства в составе предпроектной и проектно-сметной документации СП 81-01-94 (письмо Минстроя России от 29.12.94 N ВБ-12-276) и в Методических указаниях по определению стоимости строительной продукции на территории Российской Федерации МДС 81-1.99 (утверждены постановлением Госстроя России от 26.04.99 N 31).

2.3. В связи с особенностями формирования федерального бюджета учет новых методических и нормативных документов федеральных органов исполнительной власти в области сметного ценообразования производится при формировании программы работ на финансовый год, следующий за годом введения документа.

2.4. Определение стоимости дорожных работ следует производить с использованием автоматизированных (компьютерных) систем. К использованию допускаются только программные комплексы, отвечающие соответствующим стандартам и прошедшие сертификацию Госстроя России. Целесообразно использование одинакового программного обеспечения всеми участниками инвестиционного процесса (инвестором, заказчиком, подрядчиком и проектной организацией).

3. Порядок определения стоимости дорожных работ

3.1. Стоимость дорожных работ определяется на основании сметных расчетов (смет). Для определения сметной стоимости дорожных работ должна разрабатываться следующая документация:

локальные и объектные сметные расчеты (сметы); сметные расчеты (сметы) на отдельные виды работ или затрат; сводный сметный расчет и, при необходимости, сводка затрат.

3.2. Результаты расчетов по определению стоимости дорожных работ оформляются в соответствии с формами Приложения 3 Методических указаний по определению стоимости строительной продукции на территории Российской Федерации МДС 81-1.99 и Приложений 1, 5. 7 - 15 Методических указаний по разработке сборников (каталогов) сметных цен на материалы, изделия, конструкции и сборников сметных цен на перевозку грузов для строительства и капитального ремонта зданий и сооружений МДС 81-2.99.

3.3. Стоимость дорожных работ должна определяться в текущем (в ценах, действующих на момент расчета) уровне цен. При формировании программы дорожных работ на очередной финансовый год стоимость работ определяется в прогнозном (с учетом ожидаемого изменения цен на ресурсы) уровне цен. Конкретная дата расчета определяется заказчиком по согласованию с Росавтодором и указывается в задании на проектирование.

При составлении смет в текущем или прогнозном уровнях цен должны применяться ресурсный или ресурсно-индексный методы определения стоимости. Ресурсный метод является приоритетным.

3.4. При определении текущей (прогнозной) стоимости работ и исчислении потребности в ресурсах в натуральных измерителях, как правило, должны применяться утвержденные в установленном порядке Госстроем России Государственные элементные сметные нормы на строительные, монтажные, специальные строительные и пусконаладочные работы (ГЭСН). При отсутствии утвержденных ГЭСН допускается использование иных нормативных документов Госстроя России, утвержденных в установленном порядке.

3.5. Для целей контроля за стоимостью выполненных работ, а также для анализа ценовых процессов до введения в действие в полном объеме новой сметно-нормативной базы, разрабатываемой Госстроем России, стоимость дорожных работ может также определяться в базисном (в ценах 1984, 1991 или 2000 года) уровне цен.

При составлении сметной документации в базисном уровне цен действуют все применяемые в соответствующем периоде (кроме отмененных специальными документами Госстроя России) положения. Для дорожных работ действуют нормативы, установленные для предприятий и подразделений бывшего Министерства автомобильных дорог РСФСР при подрядном способе производства работ.

4. Определение затрат на оплату труда

4.1. В состав компенсируемых затрат на оплату труда включаются только те ее элементы, которые в соответствии с действующими нормативными документами включаются в себестоимость работ по статье "Расходы на оплату труда рабочих".

4.2. Общая нормативно-расчетная база для определения размера средств на оплату труда в договорных ценах и сметах на выполнение дорожных работ, методы определения размеров средств на оплату труда, характеристика систем и форм оплаты труда, принципы разработки и применения единой тарифной сетки приведены в Методических рекомендациях по определению размера средств на оплату труда в договорных ценах и сметах на строительство и оплате труда работников строительно-монтажных и ремонтно-строительных организаций МДС 83-1.99.

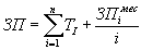
4.3. Размер средств на оплату труда рабочих и механизаторов в текущем уровне цен определяется по следующей формуле:

(1)

где:

ЗП - величина средств на оплату труда в текущем уровне цен в составе прямых затрат, руб.;

i - нормативный тарифный разряд, необходимый для выполнения работ;

Ti - нормативная трудоемкость работ i'-го разряда, чел-час;

ЗПiмес- среднемесячная оплата труда одного рабочего i-го разряда на момент расчета, руб.;

t - среднемесячное количество рабочих часов при 40 - часовой рабочей неделе, час.;

n - количество нормативных тарифных разрядов.

Расчет размера среднемесячной оплаты труда одного рабочего (механизатора) i-го разряда производится по формуле:

(2)

где:

Тз - размер минимальной месячной тарифной ставки в соответствии с действующим "Отраслевым тарифным соглашением по дорожному хозяйству", руб.;

Кi тар - тарифный коэффициент к минимальной месячной тарифной ставке, установленный действующим "Отраслевым тарифным соглашением по дорожному хозяйству";

Кдоп - коэффициент дополнительной заработной платы, учитывающий доплаты стимулирующего и компенсационного характера (выплаты за высокую квалификацию, профессиональное мастерство, совмещение профессий, премии, выплата вознаграждения за выслугу лет, оплата дополнительных отпусков. доплата за работу в тяжелых и вредных условиях, в ночное время, оплата работ в выходные и праздничные дни, сверхурочных работ, времени простоя не по вине работника, дней отдыха (отгула) за фактически проработанные часы сверх нормальной продолжительности рабочего времени и др.). кроме надбавок. связанных с государственным региональным регулированием заработной платы (северные, высокогорные, безводные и т.п.), надбавок за разъездной (подвижной) характер работ и при выполнении работ вахтовым методом, которые включаются в расчет сметных затрат на оплату труда дополнительно. Размер данного коэффициента не может превышать величины, установленной действующим "Отраслевым тарифным соглашением по дорожному хозяйству";

ЗНмесiпод- среднемесячный размер надбавок работникам за подвижной и разъездной характер работ. Устанавливается в соответствии с постановлениями Минтруда России от 29.06.94 N 51 и от 15.06.95 N 31, руб.;

ЗНмесiвахт - среднемесячный размер надбавок работникам, выплачиваемых взамен суточных при выполнении работ вахтовым методом, руб.;

ЗНмесiрай - среднемесячный размер надбавок, связанных с районным регулированием оплаты труда (установленные федеральными органами государственного управления доплаты по районным коэффициентам и коэффициентам за работу в пустынных, безводных и высокогорных местностях, надбавки к заработной плате, надбавки за работу в районах Крайнего Севера и приравненных к ним местностях, в районах Европейского Севера и других районах с тяжелыми природно-климатическими условиями), руб.

4.4. Включению в расчеты по определению затрат на оплату труда подлежат только трудозатраты, учитываемые в составе прямых затрат. Трудозатраты, учитываемые в составе накладных расходов (благоустройство строительных площадок, подготовка объекта к сдаче и другие работы), стоимости временных зданий и сооружений и дополнительных затрат при производстве строительно-монтажных работ в зимнее время, трудозатраты рабочих вспомогательных производств, обслуживающих и прочих хозяйств строительной организации, а также рабочих, занятых погрузкой, разгрузкой и доставкой материалов (в том числе перевозка грунта при выполнении земляных работ) до приобъектного склада, включая их разгрузку с транспортных средств на приобъектном складе, в расчет не включаются.

4.5. Для проведения конкретных расчетов Росавтодор может устанавливать размеры средних ставок рабочих основной деятельности (с учетом всех доплат стимулирующего и компенсационного характера, кроме надбавок, связанных с государственным региональным регулированием заработной платы), надбавок за разъездной характер работ и надбавок при выполнении работ вахтовым методом, учитываемых в расчете сметной стоимости дорожных работ.

5. Определение затрат на эксплуатацию строительных машин и механизмов

5.1. Затраты на эксплуатацию строительных машин и механизмов определяются исходя из данных о времени использования (нормативная потребность) необходимых машин (маш-час) и соответствующей цены 1 маш-час эксплуатации:

(3)

где:

Зэмм - стоимость 1 маш-час эксплуатации строительных машин и механизмов, руб/маш-час;

Тмм - время использования строительных машин и механизмов, маш-час.

5.2. При определении стоимости 1 маш-час эксплуатации строительных машин и механизмов следует учитывать положения Порядка определения стоимости 1 маш-час эксплуатации строительных машин (Приложение 5 МДС 81-1.99). .

5.3. В расчет принимаются машины отечественного производства. Учет стоимости эксплуатации машин и механизмов иностранного производства допускается при отсутствии отечественных аналогов и по согласованию с Росавтодором. В этом случае составляются калькуляции для определения планово-расчетной цены одного машино-часа по каждому виду машин в базисном и текущем уровнях цен.

5.4. Затраты на оплату труда машинистов определяются в соответствии с положениями раздела 4 настоящих Методических рекомендаций (аналогично затратам на оплату труда основных рабочих).

5.5. В целях стимулирования эффективного использования машин и механизмов годовые режимы их работы определяются исходя из полутора-двухсменного режима работы.

5.6. Балансовая стоимость машин и механизмов принимается на уровне, не превышающем восстановительную, определяемую в соответствии с положением по бухгалтерскому учету и согласованную с Росавтодором.

5.7. Затраты на энергоносители, смазочные материалы, гидравлическую жидкость и шины определяются исходя из сложившихся на момент расчета рыночных цен.

5.8. Накладные расходы и сметная прибыль в расчет затрат на эксплуатацию машин и механизмов не включаются.

5.9. Сметная стоимость 1 маш-час эксплуатации аналогичных машин и механизмов должна быть одинаковой по всем локальным сметам.

5.10. Сметная стоимость 1 маш-час эксплуатации не должна превышать средних региональных цен.

6. Определение затрат на материальные ресурсы

6.1. Стоимость материальных ресурсов в составе локальных смет (сметных расчетов) определяется исходя из нормативной потребности материалов, изделий и конструкций (в принятых физических единицах измерения: м2, м3, т и т.д.) и соответствующей цены на вид материального ресурса.

6.2. Нормативная потребность в материальных ресурсах определяется на основе:

Государственных элементных сметных норм (ГЭСН);

локальных ресурсных ведомостей по видам работ;

сводных ресурсных ведомостей по объектам;

спецификаций в составе рабочей документации.

6.3. Цена на вид материального ресурса определяется методом калькулирования элементов затрат. При этом сметные цены на материалы, изделия и конструкции (з"') принимаются по виду цены "франко-приобъектный склад" и определяются по формуле:

(4)

где:

Цм - свободная или регулируемая цена на продукцию производственно-технического назначения (цена производителя), которая определяется на основе каталогов, прейскурантов и другой информации предприятий-поставщиков, а также ежемесячных информационных выпусков региональных центров по ценообразованию в строительстве (РЦЦС);

ТР - транспортные расходы с учетом затрат на погрузочно-разгрузочные работы. Оцениваются на основе цен и тарифов, действующих в данном регионе, и схемы поставки материалов, которая предусматривает наиболее экономичный вид транспорта. Стоимость доставки материалов от приобъектного склада до рабочей зоны учитывается в составе элементных сметных норм (ЭСН) и расценок на строительно-монтажные и ремонтные работы, а также в составе ресурсных сметных нормативов;

Cтар - стоимость тары, упаковки и реквизита (учитывается при необходимости);

Ссно - стоимость услуг снабженческих организаций, определяемая на основании договоров и контрактов на поставку материалов;

ЗСР - величина заготовительно-складских расходов. Определяется расчетом.

При определении стоимости материалов, конструкций и изделий в текущем уровне цен методом калькулирования следует учитывать положения Методических указаний по разработке сборников (каталогов) сметных цен на материалы, изделия, конструкции и сборников сметных цен на перевозку грузов для строительства и капитального ремонта зданий и сооружений (МДС 81-2.99, Госстрой России).

6.4. В случае выполнения работ с использованием материалов поставки Заказчика (в том числе централизованные поставки), их стоимость включается в стоимость строительно-монтажных работ по фактической цене поставки.

6.5. Цена материальных ресурсов собственного производства (в том числе электроэнергии от передвижных электростанций, тепла для производственных нужд, сжатого воздуха и т.п.) обосновывается калькуляцией.

6.6. Суммы налога на добавленную стоимость, уплачиваемые подрядчиками поставщикам за материальные ресурсы, работы и услуги, в расчет затрат на материальные ресурсы не включаются.

6.7. Стоимость аналогичных материалов должна быть одинаковой по всем локальным сметам.

6.8. Компенсируемая цена на материалы не должна превышать среднюю региональную цену, за исключением случаев, когда это обосновано конкретными условиями поставки и согласовано с Росавтодором. При отсутствии официальных данных о средних региональных ценах на отдельные виды конкретной продукции могут использоваться данные не менее 3-5 региональных поставщиков данной продукции.

7. Определение накладных расходов и сметной прибыли

7.1. Накладные расходы в текущем уровне цен определяются в процентах от сметных затрат на оплату труда основных рабочих и механизаторов в соответствии с нормативами накладных расходов по видам строительных и монтажных работ, приведенными в приложении 3 Методических указаниях по определению величины накладных расходов в строительстве (МДС 81-4.99), утвержденных постановлением Госстроя России от 17.12.99 N 76.

7.2. Сметная прибыль в текущем уровне цен определяется в процентах от сметных затрат на оплату труда основных рабочих и

механизаторов в соответствии с Нормативами сметной прибыли по видам строительных и монтажных работ, приведенными в приложении 3 Методических указаниях по определению величины сметной прибыли в строительстве (МДС 81-25.2001), утвержденных постановлением Госстроя России от 28.02.2001 N 15.

7.3. При начислении накладных расходов и сметной прибыли в текущем уровне цен нормативы по видам строительных и монтажных работ определяются в соответствии с наименованием сборников сметных норм.

7.4. При определении накладных расходов и сметной прибыли в фонд оплаты труда рабочих в составе прямых затрат включаются фонд оплаты труда рабочих основного производства и фонд оплаты труда механизаторов, рассчитанные в соответствии с положениями разделов 4 и 5 настоящих Методических указаний. Заработная плата рабочих и механизаторов, занятых в подсобном и вспомогательном производствах, строительстве временных зданий и сооружений, учтенная в составе накладных расходов, а также в производстве и транспортировке до приобъектного склада материалов, деталей и конструкций (в том числе на перевозке грунта при выполнении земляных работ), производстве электрической энергии, тепла, сжатого воздуха и т.п., не учитывается.

7.5. При определении величины накладных расходов на основе нормативов по видам строительных и монтажных работ следует иметь в виду, что в них учтены отчисления на социальные нужды от фонда оплаты труда рабочих в составе прямых затрат, а при определении величины сметной прибыли - учтены средства, необходимые для уплаты налога на прибыль по установленным законодательством ставкам.

8. Определение затрат на временные здания и сооружения

8.1. Затраты на временные здания и сооружения определяются в соответствии со Сборником сметных норм затрат на строительство временных зданий и сооружений (ГСН 81-05-01-2001), утвержденным постановлением Госстроя России от 07.05.2001 N 45.

8.2. Затраты на временные здания и сооружения включаются в сметную документацию как лимит средств. Расчеты за временные здания и сооружения между заказчиками и подрядчиками могут производиться за фактически построенные здания и сооружения.

При расчетах за временные здания и сооружения по установленной норме 15% их сметной стоимости подлежат учету в составе возвратных сумм. При расчетах за фактически построенные здания и сооружения возвратные суммы от реализации материалов и деталей, полученных от их разборки, определяются расчетом по ценам возможной реализации за вычетом расходов по приведению их в пригодное состояние и доставке в места складирования.

9. Определение средств на отдельные виды работ и затрат

В сметный расчет включаются следующие прочие затраты

9.1. В главу "Подготовка территории строительства" включаются:

9.1.1. Затраты по отводу земельного участка, выдаче архитектурно-планировочного задания и выделению красных линий застройки.

Определяются на основе расчета.

9.1.2. Затраты по разбивке основных осей зданий и сооружений, переносу их в натуру и закреплению пунктами и знаками.

Определяются на основе договоров на выполнение соответствующих работ.

9.1.3. Плата за землю при изъятии (выкупе) земельного участка для строительства, а также выплата земельного налога (аренды) в период строительства.

Определяется на основании расчетов, выполненных в соответствии с действующим законодательством, с уточнением по заключенным договорам.

9.1.4. Затраты, связанные с получением заказчиком и проектной организацией исходных данных, технических условий на проектирование и проведение необходимых согласований по проектным решениям.

Определяются на основании расчетов и цен на эти услуги, а также согласно письму Минстроя России от 14.11.96 N БЕ-19-30/12.

9.1.5. Затраты, связанные с компенсацией за сносимые строения и садово-огородные насаждения, посев, вспашку и другие сельскохозяйственные работы, произведенные на отчуждаемой территории, возмещением убытков и потерь, по переносу зданий и сооружений (или строительству новых зданий и сооружений взамен сносимых), по возмещению убытков, причиняемых проведением водохозяйственных мероприятий, прекращением или изменением условий водопользования, по возмещению потерь сельскохозяйственного производства при отводе земель.

Определяются расчетом, исходя из их необходимости и действующих тарифов.

9.1.6. Затраты по проведению специальных работ (археологические раскопки, разминирование боеприпасов, перенос захоронений и др.)

Определяются расчетом, исходя из их необходимости и действующих тарифов.

9.2. В главу "Прочие работы и затраты" включаются:

9.2.1. Дополнительные затраты при производстве работ в зимнее время.

Определяются по нормам раздела 1 "Сметные нормы по видам строительства" "Сборник сметных норм дополнительных затрат при производстве строительно-монтажных работ в зимнее время (ГСН 81-05-02-2001)". В случае выполнения всего комплекса работ вне расчетного зимнего периода, данный вид затрат не учитывается, что должно быть закреплено соответствующей записью в тексте договора подряда.

9.2.2. Затраты на мероприятия по снегоборьбе. Учитываются только при выполнении работ по строительству и реконструкции. Определяются в соответствии с нормами "Сборник сметных норм дополнительных затрат при производстве строительно-монтажных работ в зимнее время (ГСН 81-05-02-2001)".

9.2.3. Затраты по содержанию и восстановлению после окончания строительства действующих постоянных автодорог.

Определяются расчетом и включаются в стоимость в случаях, когда использование данных дорог предусмотрено проектом.

9.2.4. Затраты по перевозке автомобильным транспортом работников строительных и монтажных организаций или компенсации расходов по организации специальных маршрутов городского пассажирского транспорта.

Определяются расчетами на основе обосновывающих данных. При производстве работ в местах, обслуживаемых муниципальным транспортом, эти затраты включаются в сметный расчет только в случае двухсменного и трехсменного режима работы, при этом оплачиваются затраты по перевозке второй смены с работы и третьей смены на работу.

9.2.5. Затраты, связанные с вахтовым методом производства работ (кроме затрат на выплату вахтовой надбавки к зарплате)

Определяются расчетом и включаются в сметную стоимость по согласованию с Росавтодором.

9.2.6. Затраты, связанные с командированием рабочих для выполнения строительных, Монтажных и специальных строительных работ.

Определяются расчетом.

9.2.7. Затраты, связанные с перебазированием строительно-монтажных организаций с одной стройки на другую

Определяются расчетом.

9.2.8. Затраты, связанные с премированием за ввод в действие построенных объектов.

Включаются в расчет по согласованию с Росавтодором. Распределение между заказчиком,проектной и подрядной организациями устанавливается договором подряда.

9.2.9. Затраты, связанные с оплатой на договорной основе услуг региональных центров по ценообразованию в строительстве (РЦЦС), уполномоченных Госстроем России.

9.2.10. Средства на возмещение затрат по отчислениям в дорожные фонды, в том числе налог на пользователей автомобильных дорог.

Принимаются в размере 1% от стоимости работ, за исключением затрат компенсационного характера.

9.2.11. Средства на покрытие затрат подрядных организаций по платежам (страховым взносам) на добровольное страхование, в том числе строительных рисков.

Включаются в расчет по согласованию с Росавтодором в размере до 3% от стоимости строительно-монтажных работ.

9.2.12. Средства на организацию и проведение подрядных торгов.

Включаются в расчет по согласованию с Росавтодором. Определяются лимитом средств в размере до 0,1% от стоимости работ.

9.2.13. Затраты на сопровождение государственных инвестиционных программ (оказание инжиниринговых услуг)

Включаются в расчет по согласованию с Росавтодором. Принимаются в размере до 0,15% от стоимости строительных работ.

9.2.14. Затраты на проведение специальных мероприятий по обеспечению нормальных условий труда (борьба с радиоактивностью, силикозом, малярией, гнусом, энцефалитным клещом и др.)

Определяются расчетом в соответствии с утвержденным планом мероприятий.

9.2.15. Затраты по содержанию и эксплуатации фондов природоохранного назначения: очистных сооружений, золоуловителей, очистки сточных вод и др.

Определяются расчетом исходя из их необходимости.

9.2.16. Затраты по содержанию горно-спасательной службы при строительстве и реконструкции тоннелей.

Определяются расчетом на основе нормативов, утвержденных постановлением Минстроя России от 14.11.94 N 17-39.

9.2.17. Затраты по выполнению художественных произведений на объектах строительства силами творческих организаций.

Определяются расчетами на основании договоров, заключаемых с творческими организациями по согласованию с Росавтодором.

9.2.18. Затраты на мероприятия по пропуску паводковых и ливневых вод.

Определяются расчетом в соответствии с утвержденным планом мероприятий.

9.2.19. Затраты на оплату сборов за перевозку тяжеловесных и негабаритных грузов по дорогам и мостам.

Размер определяется расчетом, исходя из номенклатуры и количества грузов, действующих тарифов, предполагаемой схемы доставки.

9.2.20. Затраты на проведение пусконаладочных работ на объектах обеспечения безопасности дорожного движения и природоохранного назначения.

Размер средств определяется на основе расчетов.

9.2.21. Затраты на контроль за работой по раскопке, перекладке и подключению действующих коммуникаций (вызов владельцев).

Определяются расчетом, исходя из их необходимости и действующих тарифов.

9.2.22. Затраты на обследование и испытание законченных строительством мостов.

Определяются расчетом.

9.2.23. Затраты на ультрадефектоскопию сварных соединений при строительстве металлических мостов. Определяются расчетом.

9.2.24. Затраты по сертификации электроустановок зданий (при строительстве жилых и общественных зданий)

Включаются в расчет в виде лимита средств в размере 0,15% от стоимости строительно-монтажных работ этих объектов (письмо Госстроя России от 12.03.98 N ВБ-20-87/12).

9.2.25. Дополнительные затраты подрядчика, вызванные необходимостью работы в "окнах".

Определяются расчетом.

9.3. В главу "Содержание дирекции (технического надзора) строящегося предприятия" включаются средства на содержание заказчика-застройщика и осуществление технического надзора за строительством.

Включаются в расчет по согласованию с Росавтодором. Определяются в соответствии с нормативами, установленными постановлением Госстроя России от 21 марта 2001 г. N 33 "О нормативах затрат на службу заказчика при строительстве объектов для государственных нужд за счет средств федерального бюджета".

В соответствии со ст. 749 Гражданского кодекса Российской Федерации заказчик вправе привлекать специализированные организации для осуществления технического надзора.

9.4. В главу "Проектные и изыскательские работы, авторский надзор" включаются:

9.4.1. Средства на выполнение проектных работ. Размер средств определяется на основе заключенных договоров.

9.4.2. Средства на выполнение изыскательских работ. Размер средств определяется на основе заключенных договоров.

9.4.3. Средства на осуществление авторского надзора. Размер средств определяется на основе заключенных договоров.

9.4.4. Средства на проведение экспертизы проектов. Размер средств определяется от стоимости проектных и изыскательских работ по нормативам, утвержденным постановлением Госстроя России от 18.08.97 N 18-44.

9.4.5. Средства на разработку и экспертизу тендерной документации.

Размер средств определяется на основе заключенных договоров.

Резерв средств на непредвиденные работы и затраты, предназначенный для возмещения стоимости работ и затрат, потребность в которых возникает в процессе разработки рабочей документации или в ходе строительства по результатам уточнения проектных решений или условий строительства, определяется от итога глав сводного сметного расчета в размере не более 2% для объектов социальной сферы и не более 3% для объектов производственного назначения. По уникальным и особо сложным объектам размер средств на непредвиденные работы и затраты может быть увеличен в каждом конкретном случае по решению Росавтодора, согласованному с Госстроем России.

9.5. За итогом сводного сметного расчета указываются:

9.5.1. Возвратные суммы.

Определяются в соответствии с п. 3.5.10 "Методических указаний по определению стоимости строительной продукции на территории Российской Федерации. МДС 81-1.99". Учету подлежит часть стоимости временных зданий и сооружений; материалы и детали, получаемые от разборки конструкций, сноса и переноса зданий и сооружений; материалы, получаемые в порядке попутной добычи и др.

9.5.2. Средства на уплату налога на добавленную стоимость. Включаются в расчет в установленном законодательством размере.

10. Определение стоимости работ на основе укрупненных сметных норм на виды работ (УСН)

10.1. Определение стоимости работ может осуществляться на основе Укрупненных сметных норм на виды работ (УСН).

10.2. При разработке УСН следует руководствоваться положениями данных указаний.

10.3. Укрупненные сметные нормы состоят из Укрупненных ресурсных нормативов (УРН) и Укрупненных сметных норм на виды работ (УСН).

10.4. УРН разрабатываются на основе действующих Государственных элементных сметных норм в соответствии с Техническими спецификациями на виды работ при строительстве, реконструкции и ремонте автомобильных дорог и искусственных сооружений на них (утверждены распоряжением Росавтодора от 23.10.00 N 177-р). При отсутствии утвержденных ГЭСН допускается использование иных нормативных документов Госстроя России.

10.5. Разработанные УРН согласовываются Минтрансом России и утверждаются Госстроем России. Разработанные УРН оформляются и представляются на утверждение в соответствии с требованиями Методических указаний о порядке разработки государственных элементных сметных норм на строительные, монтажные, специальные строительные и пусконаладочные работы (введены в действие постановлением Госстроя России от 24.04.98 N 18-40).

10.6. На основе УРН разрабатываются УСН, которые утверждаются Минтрансом России и регистрируются Госстроем России. Разработанные УСН оформляются и представляются на утверждение и регистрацию в соответствии с требованиями Методических указаний по разработке единичных расценок на строительные, монтажные, специальные строительные и ремонтно-строительные работы (введены в действие постановлением Госстроя России от 26.04.99 N 30).

10.7. Для разработки УРН и УСН рекомендуется привлекать специализированные организации.

10.8. При определении стоимости дорожных работ на основе Укрупненных сметных норм в составе проектно-сметной документации разрабатываются Ведомости объемов работ, в соответствии с

которыми проводятся торги и осуществляется приемка и оплата выполненных работ.

11. Учет инфляционных процессов при определении стоимости дорожных работ

11.1. Цена дорожных работ, выполняемых в течение одного строительного сезона, является твердой (фиксированной).

11.2. Стоимость дорожных работ, выполняемых более, чем за один строительный сезон, может уточняться в зависимости от инфляционных процессов.

11.3. Для оценки динамики цен и учета инфляционных процессов может использоваться индексный метод.

Для расчета стоимостных показателей прогноза социально-экономического развития и бюджета применяются индексы-дефляторы, разрабатываемые Минэкономразвития России для ряда важнейших отраслей и подотраслей материального производства.

Учет влияния инфляции на отраслевом и территориальном уровне осуществляется на основании фактических и прогнозных индексов изменения оптовых цен на ресурсы, наблюдение за которыми осуществляется соответствующими региональными или отраслевыми органами.

Наблюдение за ценами на основные строительные материалы и другие применяемые в строительстве ресурсы, а также за динамикой индексов по строительно-монтажным работам осуществляется региональными центрами по ценообразованию в строительстве (РЦЦС). Данные по фактически складывающимся индексам периодически публикуются в изданиях Управления ценообразования и сметного нормирования в строительстве и жилищно-коммунальном хозяйстве Госстроя России.