Приказ Минсельхоза РФ от 13.03.2025 N 150

"Об утверждении Методики, коэффициентов, форм данных и формы документа, предусмотренных Правилами предоставления и распределения субсидий из федерального бюджета бюджетам субъектов Российской Федерации на поддержку приоритетных направлений агропромышленного комплекса и развитие малых форм хозяйствования, приведенными в приложении N 8 к государственной программе развития сельского хозяйства и регулирования рынков сельскохозяйственной продукции, сырья и продовольствия, утвержденной постановлением Правительства Российской Федерации от 14 июля 2012 г. N 717, и установлении сроков представления указанных данных и документа"
Редакция от 13.03.2025 — Действует с 27.04.2025

Зарегистрировано в Минюсте России 15 апреля 2025 г. N 81854


МИНИСТЕРСТВО СЕЛЬСКОГО ХОЗЯЙСТВА РОССИЙСКОЙ ФЕДЕРАЦИИ

ПРИКАЗ
от 13 марта 2025 г. N 150

ОБ УТВЕРЖДЕНИИ МЕТОДИКИ, КОЭФФИЦИЕНТОВ, ФОРМ ДАННЫХ И ФОРМЫ ДОКУМЕНТА, ПРЕДУСМОТРЕННЫХ ПРАВИЛАМИ ПРЕДОСТАВЛЕНИЯ И РАСПРЕДЕЛЕНИЯ СУБСИДИЙ ИЗ ФЕДЕРАЛЬНОГО БЮДЖЕТА БЮДЖЕТАМ СУБЪЕКТОВ РОССИЙСКОЙ ФЕДЕРАЦИИ НА ПОДДЕРЖКУ ПРИОРИТЕТНЫХ НАПРАВЛЕНИЙ АГРОПРОМЫШЛЕННОГО КОМПЛЕКСА И РАЗВИТИЕ МАЛЫХ ФОРМ ХОЗЯЙСТВОВАНИЯ, ПРИВЕДЕННЫМИ В ПРИЛОЖЕНИИ N 8 К ГОСУДАРСТВЕННОЙ ПРОГРАММЕ РАЗВИТИЯ СЕЛЬСКОГО ХОЗЯЙСТВА И РЕГУЛИРОВАНИЯ РЫНКОВ СЕЛЬСКОХОЗЯЙСТВЕННОЙ ПРОДУКЦИИ, СЫРЬЯ И ПРОДОВОЛЬСТВИЯ, УТВЕРЖДЕННОЙ ПОСТАНОВЛЕНИЕМ ПРАВИТЕЛЬСТВА РОССИЙСКОЙ ФЕДЕРАЦИИ ОТ 14 ИЮЛЯ 2012 Г. N 717, И УСТАНОВЛЕНИИ СРОКОВ ПРЕДСТАВЛЕНИЯ УКАЗАННЫХ ДАННЫХ И ДОКУМЕНТА

В соответствии с абзацами шестнадцатым, двадцать третьим, двадцать седьмым, двадцать восьмым, сорок третьим, шестьдесят вторым, шестьдесят шестым, восемьдесят первым, восемьдесят восьмым, сто третьим пункта 17, абзацами седьмым - девятым пункта 19, подпунктом "б" пункта 27 и абзацем первым пункта 29 Правил предоставления и распределения субсидий из федерального бюджета бюджетам субъектов Российской Федерации на поддержку приоритетных направлений агропромышленного комплекса и развитие малых форм хозяйствования, приведенных в приложении N 8 к Государственной программе развития сельского хозяйства и регулирования рынков сельскохозяйственной продукции, сырья и продовольствия, утвержденной постановлением Правительства Российской Федерации от 14 июля 2012 г. N 717, подпунктом "к" пункта 2 изменений, которые вносятся в Государственную программу развития сельского хозяйства и регулирования рынков сельскохозяйственной продукции, сырья и продовольствия, утвержденных постановлением Правительства Российской Федерации от 19 декабря 2024 г. N 1824, приказываю:

1. Утвердить:

методику оценки эффективности использования субсидии из федерального бюджета бюджетам субъектов Российской Федерации на поддержку приоритетных направлений агропромышленного комплекса и развитие малых форм хозяйствования согласно приложению N 1 к настоящему приказу;

форму данных о размере застрахованной посевной (посадочной) площади (условных единиц) согласно приложению N 2 к настоящему приказу;

форму данных о посевной площади, занятой кормовыми культурами (тыс. гектаров), в районах Крайнего Севера и приравненных к ним местностях, а также площади, засеваемой элитными семенами сельскохозяйственных культур, за исключением площади, засеваемой элитными семенами картофеля и овощных культур (тыс. гектаров), согласно приложению N 3 к настоящему приказу;

форму данных о численности условного маточного племенного поголовья сельскохозяйственных животных (тыс. условных голов), а также данных о численности маточного товарного поголовья крупного рогатого скота специализированных мясных пород, за исключением племенных животных (голов), в сельскохозяйственных организациях, крестьянских (фермерских) хозяйствах, включая индивидуальных предпринимателей, согласно приложению N 4 к настоящему приказу;

коэффициенты для перевода племенного поголовья сельскохозяйственных животных в условные головы согласно приложению N 5 к настоящему приказу;

форму данных о плановых показателях площади закладки многолетних плодово-ягодных насаждений в сельскохозяйственных организациях, крестьянских (фермерских) хозяйствах и у индивидуальных предпринимателей, за исключением питомников (тыс. гектаров), а также данных о плановых показателях площади закладки питомников в сельскохозяйственных организациях, крестьянских (фермерских) хозяйствах и у индивидуальных предпринимателей (тыс. гектаров) согласно приложению N 6 к настоящему приказу;

форму данных о численности маточного товарного поголовья овец и коз (в том числе ярок и козочек от года и старше), за исключением племенных животных, в сельскохозяйственных организациях, крестьянских (фермерских) хозяйствах, включая индивидуальных предпринимателей (тыс. голов), согласно приложению N 7 к настоящему приказу;

форму данных об объеме зерна, использованного на глубокую переработку в сельскохозяйственных организациях, крестьянских (фермерских) хозяйствах и у индивидуальных предпринимателей, а также в организациях, осуществляющих производство, и (или) первичную, и (или) последующую (промышленную) переработку сельскохозяйственной продукции, согласно приложению N 8 к настоящему приказу;

форму данных о суммарном объеме страховой премии (тыс. рублей) в среднем за 3 года, предшествующих году, в котором осуществляется расчет размера субсидий из федерального бюджета бюджетам субъектов Российской Федерации на поддержку приоритетных направлений агропромышленного комплекса и развитие малых форм хозяйствования на очередной финансовый год, начисленной по договорам сельскохозяйственного страхования, по которым предоставлены средства из бюджета субъекта Российской Федерации и (или) местных бюджетов, в областях растениеводства, животноводства, товарной аквакультуры согласно приложению N 9 к настоящему приказу;

форму документа, содержащего информацию об использовании средств бюджетов субъектов Российской Федерации, в целях софинансирования расходных обязательств которых предоставляется субсидия из федерального бюджета бюджетам субъектов Российской Федерации на поддержку приоритетных направлений агропромышленного комплекса и развитие малых форм хозяйствования, согласно приложению N 10 к настоящему приказу.

2. Установить, что исполнительный орган субъекта Российской Федерации, уполномоченный высшим исполнительным органом субъекта Российской Федерации, представляет в Министерство сельского хозяйства Российской Федерации:

данные по формам, приведенным в приложениях N 2 и N 9 к настоящему приказу, ежегодно не позднее 15 апреля года, следующего за отчетным;

данные по формам, приведенным в приложениях N 3 и N 4 к настоящему приказу, ежегодно не позднее 15 мая года, следующего за отчетным;

данные по формам, приведенным в приложении N 6 к настоящему приказу, ежегодно не позднее 5 марта года, следующего за отчетным;

данные по форме, приведенной в приложении N 7 к настоящему приказу, ежегодно не позднее 20 мая года, следующего за отчетным;

данные по форме, приведенной в приложении N 8 к настоящему приказу, ежегодно не позднее 25 января года, следующего за отчетным;

документ по форме, приведенной в приложении N 10 к настоящему приказу, ежеквартально не позднее 10-го числа месяца, следующего за отчетным кварталом, за IV квартал - не позднее 15 января года, следующего за отчетным.

3. Признать утратившим силу приказ Министерства сельского хозяйства Российской Федерации от 11 декабря 2023 г. N 899 "Об утверждении методики, коэффициентов, форм данных и формы документа, предусмотренных Правилами предоставления и распределения субсидий из федерального бюджета бюджетам субъектов Российской Федерации на поддержку приоритетных направлений агропромышленного комплекса и развитие малых форм хозяйствования, приведенными в приложении N 8 к Государственной программе развития сельского хозяйства и регулирования рынков сельскохозяйственной продукции, сырья и продовольствия, утвержденной постановлением Правительства Российской Федерации от 14 июля 2012 г. N 717, и установлении сроков представления указанных данных и документа" (зарегистрирован Министерством юстиции Российской Федерации 13 мая 2024 г., регистрационный N 78122).

4. Контроль за исполнением настоящего приказа возложить на первого заместителя Министра сельского хозяйства Российской Федерации Е.В. Фастову.

Министр
О.Н. ЛУТ

Приложение N 1
к приказу Минсельхоза России
от 13 марта 2025 г. N 150

МЕТОДИКА ОЦЕНКИ ЭФФЕКТИВНОСТИ ИСПОЛЬЗОВАНИЯ СУБСИДИИ ИЗ ФЕДЕРАЛЬНОГО БЮДЖЕТА БЮДЖЕТАМ СУБЪЕКТОВ РОССИЙСКОЙ ФЕДЕРАЦИИ НА ПОДДЕРЖКУ ПРИОРИТЕТНЫХ НАПРАВЛЕНИЙ АГРОПРОМЫШЛЕННОГО КОМПЛЕКСА И РАЗВИТИЕ МАЛЫХ ФОРМ ХОЗЯЙСТВОВАНИЯ

1. Оценка эффективности использования субсидии из федерального бюджета бюджетам субъектов Российской Федерации в целях софинансирования расходных обязательств, направленных на поддержку приоритетных направлений агропромышленного комплекса и развитие малых форм хозяйствования (далее - субсидия), по результатам использования субсидии, указанным в пункте 28 Правил предоставления и распределения субсидий из федерального бюджета бюджетам субъектов Российской Федерации на поддержку приоритетных направлений агропромышленного комплекса и развитие малых форм хозяйствования, приведенных в приложении N 8 к Государственной программе развития сельского хозяйства и регулирования рынков сельскохозяйственной продукции, сырья и продовольствия, утвержденной постановлением Правительства Российской Федерации от 14 июля 2012 г. N 717 (далее - Правила), осуществляется с использованием данных, сформированных по категориям получателей средств, указанных в пункте 7 Правил.

2. Эффективность использования субсидии оценивается Министерством сельского хозяйства Российской Федерации как главным распорядителем средств федерального бюджета ежегодно по итогам отчетного финансового года на основании интегральной оценки достижения значений результатов использования субсидии, предусмотренных соглашением о предоставлении субсидии, заключаемым между Министерством сельского хозяйства Российской Федерации и высшим исполнительным органом субъекта Российской Федерации в соответствии с пунктом 10 Правил формирования, предоставления и распределения субсидий из федерального бюджета бюджетам субъектов Российской Федерации, утвержденных постановлением Правительства Российской Федерации от 30 сентября 2014 г. N 999 "О формировании, предоставлении и распределении субсидий из федерального бюджета бюджетам субъектов Российской Федерации" (далее - соглашение).

3. Оценка эффективности использования субсидии по результатам использования субсидии, предусмотренным подпунктом "л" пункта 28 Правил, осуществляется с использованием данных, содержащихся в отчете об эффективности использования средств грантовой поддержки, указанном в абзаце втором пункта 29 Правил.

4. Оценка эффективности использования субсидии, предоставленной гражданам, ведущим личное подсобное хозяйство и применяющим специальный налоговый режим "Налог на профессиональный доход" <1>, по результатам, предусмотренным подпунктами "ж" - "и" пункта 28 Правил, осуществляется с использованием данных, содержащихся в отчете об эффективности использования средств, предоставленных гражданам, ведущим личное подсобное хозяйство и применяющим специальный налоговый режим "Налог на профессиональный доход", указанном в абзаце третьем пункта 29 Правил.

<1> Федеральный закон от 27 ноября 2018 г. N 422-ФЗ "О проведении эксперимента по установлению специального налогового режима "Налог на профессиональный доход".

5. Оценка эффективности использования субсидии по результатам использования субсидии, предусмотренным подпунктами "а" - "е", "к" и "м" пункта 28 Правил, осуществляется с использованием данных, содержащихся в отчете о достижении значений результатов использования субсидии и об обязательствах, принятых в целях их достижения, указанном в подпункте "г" пункта 27 Правил.

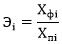
6. Эффективность использования субсидии оценивается исходя из индекса, отражающего уровень достижения i-го результата использования субсидии (), определяемого по формуле:

,

где:

- фактическое значение i-го результата использования субсидии по итогам отчетного финансового года, указанное в отчетах, указанных в пунктах 3 - 5 настоящей Методики;

- плановое значение i-го результата использования субсидии за отчетный финансовый год, установленное соглашением.

7. Интегральная оценка достижения значений результатов использования субсидии осуществляется на основании интегрального результата эффективности использования субсидий (Э), определяемого по формуле:

,

где n - количество результатов использования субсидии, установленных соглашением, значения которых больше 0.

В случае если индекс, отражающий достижение i-го результата использования субсидии (), составляет более 100%, при расчете интегрального результата эффективности использования субсидий (Э) применяется значение, равное 100%.

8. Использование субсидии считается эффективным в случае, если значение интегрального результата эффективности использования субсидий (Э) достигает 100%.

Приложение 2
к приказу Минсельхоза России
от 13 марта 2025 г. N 150

Форма

ДАННЫЕ
О РАЗМЕРЕ ЗАСТРАХОВАННОЙ ПОСЕВНОЙ (ПОСАДОЧНОЙ) ПЛОЩАДИ (УСЛОВНЫХ ЕДИНИЦ)

в    
  (наименование субъекта Российской Федерации, входящего в состав Сибирского и Дальневосточного федеральных округов)  

Вид (группа) сельскохозяйственной культуры Размер застрахованной посевной (посадочной) площади в отчетном финансовом году, условных единиц Стоимость страхования 1 гектара сельскохозяйственных культур в отчетном финансовом году, рублей
1 2 3
Всего:    
  X X
Зерновые культуры    
Зернобобовые культуры    
Масличные культуры    
Технические культуры    
Кормовые культуры    
Бахчевые культуры    
Картофель    
Овощи    
Многолетние насаждения (урожай)    
Посадки многолетних насаждений    

Руководитель исполнительного органа субъекта Российской Федерации,

уполномоченного высшим исполнительным органом субъекта Российской Федерации (иное уполномоченное лицо)

(должность)   (подпись, фамилия, имя, отчество (при наличии)
       
М.П. "___"____________ 20__ г.  
Исполнитель:   (подпись, фамилия, имя, отчество (при наличии), телефон:   , адрес электронной почты (при наличии):  

Приложение N 3
к приказу Минсельхоза России
от 13 марта 2025 г. N 150

Форма

ДАННЫЕ
О ПОСЕВНОЙ ПЛОЩАДИ, ЗАНЯТОЙ КОРМОВЫМИ КУЛЬТУРАМИ (ТЫС. ГЕКТАРОВ), В РАЙОНАХ КРАЙНЕГО СЕВЕРА И ПРИРАВНЕННЫХ К НИМ МЕСТНОСТЯХ, А ТАКЖЕ ПЛОЩАДИ, ЗАСЕВАЕМОЙ ЭЛИТНЫМИ СЕМЕНАМИ СЕЛЬСКОХОЗЯЙСТВЕННЫХ КУЛЬТУР, ЗА ИСКЛЮЧЕНИЕМ ПЛОЩАДИ, ЗАСЕВАЕМОЙ ЭЛИТНЫМИ СЕМЕНАМИ КАРТОФЕЛЯ И ОВОЩНЫХ КУЛЬТУР (ТЫС. ГЕКТАРОВ)

по    
  (наименование субъекта Российской Федерации)  
Наименование показателя Единица измерения Значение показателя в финансовом году, предшествующем году, в котором осуществляется расчет размера субсидий из федерального бюджета бюджетам субъектов Российской Федерации на поддержку приоритетных направлений агропромышленного комплекса и развитие малых форм хозяйствования на очередной финансовый год
всего в том числе
сельскохозяйственные организации крестьянские (фермерские) хозяйства (включая индивидуальных предпринимателей)
1 2 3 4 5
Посевная площадь, занятая кормовыми культурами, в районах Крайнего Севера и местностях, приравненных к районам Крайнего Севера, предусмотренных перечнем районов Крайнего Севера и местностей, приравненных к районам Крайнего Севера, в целях предоставления государственных гарантий и компенсаций для лиц, работающих и проживающих в этих районах и местностях, утвержденным постановлением Правительства Российской Федерации от 16 ноября 2021 г. N 1946 тыс га      
Площадь, засеваемая элитными семенами сельскохозяйственных культур, за исключением площади, засеваемой элитными семенами картофеля и овощных культур тыс га      

Руководитель исполнительного органа субъекта Российской Федерации,

уполномоченного высшим исполнительным органом субъекта Российской Федерации (иное уполномоченное лицо)

(должность)   (подпись, фамилия, имя, отчество (при наличии)
       
М.П. "___"____________ 20__ г.  
Исполнитель:   (подпись, фамилия, имя, отчество (при наличии), телефон:   , адрес электронной почты (при наличии):  

Приложение N 4
к приказу Минсельхоза России
от 13 марта 2025 г. N 150

Форма

ДАННЫЕ О ЧИСЛЕННОСТИ УСЛОВНОГО МАТОЧНОГО ПЛЕМЕННОГО ПОГОЛОВЬЯ СЕЛЬСКОХОЗЯЙСТВЕННЫХ ЖИВОТНЫХ (ТЫС. УСЛОВНЫХ ГОЛОВ), А ТАКЖЕ ДАННЫЕ О ЧИСЛЕННОСТИ МАТОЧНОГО ТОВАРНОГО ПОГОЛОВЬЯ КРУПНОГО РОГАТОГО СКОТА СПЕЦИАЛИЗИРОВАННЫХ МЯСНЫХ ПОРОД, ЗА ИСКЛЮЧЕНИЕМ ПЛЕМЕННЫХ ЖИВОТНЫХ (ГОЛОВ), В СЕЛЬСКОХОЗЯЙСТВЕННЫХ ОРГАНИЗАЦИЯХ, КРЕСТЬЯНСКИХ (ФЕРМЕРСКИХ) ХОЗЯЙСТВАХ, ВКЛЮЧАЯ ИНДИВИДУАЛЬНЫХ ПРЕДПРИНИМАТЕЛЕЙ

по    
  (наименование субъекта Российской Федерации)  
Наименование показателя Единица измерения Значение показателя за отчетный финансовый год
всего в том числе
сельскохозяйственные организации крестьянские (фермерские) хозяйства, включая индивидуальных предпринимателей
1 2 3 4 5
Численность условного маточного племенного поголовья тыс усл      
сельскохозяйственных животных гол      
Численность маточного товарного поголовья крупного рогатого скота специализированных мясных пород, за исключением племенных животных гол      

Руководитель исполнительного органа субъекта Российской Федерации,

уполномоченного высшим исполнительным органом субъекта Российской Федерации (иное уполномоченное лицо)

(должность)   (подпись, фамилия, имя, отчество (при наличии)
       
М.П. "___"____________ 20__ г.  
Исполнитель:   (подпись, фамилия, имя, отчество (при наличии), телефон:   , адрес электронной почты (при наличии):  

Приложение N 5
к приказу Минсельхоза России
от 13 марта 2025 г. N 150

КОЭФФИЦИЕНТЫ ДЛЯ ПЕРЕВОДА ПЛЕМЕННОГО ПОГОЛОВЬЯ СЕЛЬСКОХОЗЯЙСТВЕННЫХ ЖИВОТНЫХ В УСЛОВНЫЕ ГОЛОВЫ

Таблица 1. Коэффициенты для перевода племенного маточного поголовья сельскохозяйственных животных в условные головы

Коровы (кроме коров генофондных пород) 1,0
Коровы генофондных пород (Бестужевская, Горный скот Дагестана, Истобенская, Кавказская бурая, Казахская белоголовая, Костромская, Красная горбатовская, Красная степная, Русская комолая, Суксунская, Сычевская, Тагильская, Холмогорская, Черно-пестрая, Якутский скот, Ярославская) 2,0
Свиноматки основные (кроме свиноматок основных, содержащихся в селекционно-генетическом центре) 0,6
Свиноматки основные, содержащиеся в селекционно-генетическом центре 2,0
Овцематки, козоматки (кроме овцематок, содержащихся в Сибирском и Дальневосточном федеральных округах, овцематок тонкорунного и полутонкорунного направления продуктивности, овцематок, содержащихся в селекционно-генетическом центре, козоматок молочного направления продуктивности) 0,1
Овцематки, содержащиеся в Сибирском и Дальневосточном федеральных округах, овцематки тонкорунного и полутонкорунного направления продуктивности, кроме мериносовых пород 0,13
Овцематки мериносовых пород (Австралийский меринос, Алтайская, Артлухский меринос, Асканийская, Волгоградская, Грозненская, Дагестанская горная, Джалгинский меринос, Забайкальская, Кавказская, Красноярская, Кулундинская, Манычский меринос, Прекос, Российский мясной меринос, Сальская, Сарпинская, Советский меринос, Ставропольская, Черноземельский меринос) 0,2
Овцематки, содержащиеся в селекционно-генетическом центре, козоматки молочного направления продуктивности 0,35
Конематки местных пород (Алтайская, Башкирская, Бурятская, Верхнеенисейская, Вятская, Забайкальская, Казахская, Калмыцкая, Кузнецкая, Кушумская, Мегежекская, Мезенская, Новоалтайская, Печорская, Приленская, Приобская, Татарская, Тувинская, Чумышская, Якутская) 1,5
Конематки заводских пород (Американская миниатюрная, Буденновская, Венгерская, Владимирская, Ганноверская, Донская, Кабардинская, Карачаевская, Литовская тяжеловозная, Першеронская, Русская верховая, Русская тяжеловозная, Советская тяжеловозная, Терская, Торийская, Тракененская, Украинская верховая, Шетлендский пони) 2,5
Конематки заводских пород, испытываемые на ипподромах (Американская рысистая, Арабская чистокровная, Ахалтекинская, Орловская рысистая, Русская рысистая, Французская рысистая, Чистокровная верховая) 3,5
Верблюдоматки 2,0
Яки (маточное поголовье) 1,0
Продуктивное маточное поголовье птицы (куры, индейки, цесарки, перепела) (кроме поголовья птицы основного стада отечественных кроссов мясных кур (самки, самцы), содержащееся в селекционно-генетическом центре, поголовья птицы основного стада (самки, самцы), содержащегося в селекционно-генетическом центре, поголовья птицы отечественных кроссов мясных и яичных кур (самки, самцы) и продуктивного маточного поголовья птицы редких пород) 0,02
Поголовье птицы отечественных кроссов мясных и яичных кур (самки, самцы) и продуктивное маточное поголовье водоплавающих птиц (гуси, утки) (кроме поголовья основного стада (самки, самцы) водоплавающих птиц (гуси, утки), содержащееся в селекционно-генетическом центре) 0,04
Поголовье птицы основного стада (самки, самцы), содержащееся в селекционно-генетическом центре 0,06
Поголовье индеек основного стада (самки, самцы), содержащееся в селекционно-генетическом центре 0,07
Поголовье основного стада (самки, самцы) водоплавающих птиц (гуси, утки), содержащееся в селекционно-генетическом центре 0,08
Поголовье птицы основного стада отечественных кроссов мясных кур (самки, самцы), содержащееся в селекционно-генетическом центре и продуктивное маточное поголовье птицы редких пород (куры, гуси, утки, индейки, цесарки, перепела) редких пород (Австралорп черный, Адлерская, Адлерская серебристая, Амрокс, Андалузская голубая, Аппенцеллер, Арзамасская, Бентамка ситцевая, Брама, Бронзовая северокавказская, Вельзумер, Венгерская, Виандот полосатый, Владимирская глинистая, Волжская белая, Голландская белохохлая, Голошейная, Ереванская красная, Загорская белогрудая, Загорская лососевая, Индийские бегуны, Итальянская, Итальянская куропатчатая, Калифорнийская серая, Киргизская полосатая, Китайская белая, Китайская серая, Корниш белый, Котляревская, Кохинхин голубой, Красная белохвостая, Краснозерская, Кремовая, Крупная серая, Кубанская, Куланги, Курчавая, Кучинская юбилейная, Лангшан черный, Ландская, Лафлеш, Леггорн белый, Леггорн бурый, Леггорн полосатопестрый, Линдовская, Малайская бойцовая, Мегрула, Минорка черная, Московская, Московская белая, Московская бойцовая, Новопавловская, Нью-Гемпшир, Оброшинская, Орловская ситцевая, Падуан, Панциревская белая, Панциревская черная, Первомайская, Переяславская, Плимутрок белый, Плимутрок полосатый, Полтавская глинистая, Псковская лысая, Рейнская, Род-Айланд красный, Ромейская, Русская хохлатая, Севастопольская, Серебристая северокавказская, Серо-крапчатая, Суссекс, Тулузская, Тульская бойцовая, Узбекская бойцовая, Узбекская палевая, Украинская ушанка, Уральская белая, Фавероль, Холмогорская, Черная бородатая, Черная тихорецкая, Чешская золотистая, Шадринская, Эмденская, Эстонская, Юрловская голосистая, Японская) 0,1
Маточное поголовье основного стада пушных зверей и кроликов (кроме соболей, песцов, лисиц и норок) 0,05
Поголовье основного стада (самки, самцы) соболей, песцов и лисиц 0,4
Маточное поголовье норок 0,14
Пчелосемьи 0,2
Самки основного стада рыб (кроме осетровых) 0,2
Самки основного стада осетровых 0,4
Маточное поголовье оленей (кроме маралов) 0,35
Маточное поголовье маралов 0,6
Грена тутового шелкопряда (за один килограмм) 12,0

Таблица 2. Коэффициенты для перевода племенного поголовья молодняка сельскохозяйственных животных в условные головы

Молодняк крупного рогатого скота, яков, буйволов и оленей 0,7
Молодняк свиней 0,5
Молодняк овец и коз 0,2
Молодняк лошадей и верблюдов 0,75
Молодняк кур (кроме мясных и яичных кур отечественных кроссов), цесарок и перепелов 0,01
Молодняк мясных и яичных кур отечественных кроссов, индеек, гусей и уток 0,02
Молодняк пушных зверей и кроликов 0,04
Молодь рыб, кроме осетровых 0,001
Молодь осетровых рыб 0,005

Приложение N 6
к приказу Минсельхоза России
от 13 марта 2025 г. N 150

Форма

ДАННЫЕ О ПЛАНОВЫХ ПОКАЗАТЕЛЯХ ПЛОЩАДИ ЗАКЛАДКИ МНОГОЛЕТНИХ ПЛОДОВО-ЯГОДНЫХ НАСАЖДЕНИЙ В СЕЛЬСКОХОЗЯЙСТВЕННЫХ ОРГАНИЗАЦИЯХ, КРЕСТЬЯНСКИХ (ФЕРМЕРСКИХ) ХОЗЯЙСТВАХ И У ИНДИВИДУАЛЬНЫХ ПРЕДПРИНИМАТЕЛЕЙ, ЗА ИСКЛЮЧЕНИЕМ ПИТОМНИКОВ, (ТЫС. ГЕКТАРОВ), А ТАКЖЕ ДАННЫЕ О ПЛАНОВЫХ ПОКАЗАТЕЛЯХ ПЛОЩАДИ ЗАКЛАДКИ ПИТОМНИКОВ В СЕЛЬСКОХОЗЯЙСТВЕННЫХ ОРГАНИЗАЦИЯХ, КРЕСТЬЯНСКИХ (ФЕРМЕРСКИХ) ХОЗЯЙСТВАХ И У ИНДИВИДУАЛЬНЫХ ПРЕДПРИНИМАТЕЛЕЙ (ТЫС. ГЕКТАРОВ)

по    
  (наименование субъекта Российской Федерации)  

Наименование планового показателя Единица измерения Фактическое значение в отчетном году
всего в том числе
сельскохозяйственные организации крестьянские (фермерские) хозяйства и индивидуальные предприниматели
1 2 3 4 5
Размер площади закладки многолетних плодово-ягодных насаждений, за исключением питомников тыс га      
Размер площади закладки питомников тыс га      

Руководитель исполнительного органа субъекта Российской Федерации,

уполномоченного высшим исполнительным органом субъекта Российской Федерации (иное уполномоченное лицо)

(должность)   (подпись, фамилия, имя, отчество (при наличии)
       
М.П. "___"____________ 20__ г.  
Исполнитель:   (подпись, фамилия, имя, отчество (при наличии), телефон:   , адрес электронной почты (при наличии):  

Приложение N 7
к приказу Минсельхоза России
от 13 марта 2025 г. N 150

Форма

ДАННЫЕ О ЧИСЛЕННОСТИ МАТОЧНОГО ТОВАРНОГО ПОГОЛОВЬЯ ОВЕЦ И КОЗ (В ТОМ ЧИСЛЕ ЯРОК И КОЗОЧЕК ОТ ГОДА И СТАРШЕ), ЗА ИСКЛЮЧЕНИЕМ ПЛЕМЕННЫХ ЖИВОТНЫХ, В СЕЛЬСКОХОЗЯЙСТВЕННЫХ ОРГАНИЗАЦИЯХ, КРЕСТЬЯНСКИХ (ФЕРМЕРСКИХ) ХОЗЯЙСТВАХ, ВКЛЮЧАЯ ИНДИВИДУАЛЬНЫХ ПРЕДПРИНИМАТЕЛЕЙ (ТЫС. ГОЛОВ)

по    
  (наименование субъекта Российской Федерации)  
Наименование показателя Единица измерения Значение показателя за отчетный финансовый год
всего в том числе
сельскохозяйственные организации крестьянские (фермерские) хозяйства, включая индивидуальных предпринимателей
1 2 3 4 5
Численность маточного товарного поголовья овец и коз (в том числе ярок и козочек от года и старше), за исключением племенных животных тыс гол      

Руководитель исполнительного органа субъекта Российской Федерации,

уполномоченного высшим исполнительным органом субъекта Российской Федерации (иное уполномоченное лицо)

(должность)   (подпись, фамилия, имя, отчество (при наличии)
       
М.П. "___"____________ 20__ г.  
Исполнитель:   (подпись, фамилия, имя, отчество (при наличии), телефон:   , адрес электронной почты (при наличии):  

Приложение N 8
к приказу Минсельхоза России
от 13 марта 2025 г. N 150

Форма

ДАННЫЕ ОБ ОБЪЕМЕ ЗЕРНА, ИСПОЛЬЗОВАННОГО НА ГЛУБОКУЮ ПЕРЕРАБОТКУ В СЕЛЬСКОХОЗЯЙСТВЕННЫХ ОРГАНИЗАЦИЯХ, КРЕСТЬЯНСКИХ (ФЕРМЕРСКИХ) ХОЗЯЙСТВАХ И У ИНДИВИДУАЛЬНЫХ ПРЕДПРИНИМАТЕЛЕЙ, А ТАКЖЕ В ОРГАНИЗАЦИЯХ, ОСУЩЕСТВЛЯЮЩИХ ПРОИЗВОДСТВО, И (ИЛИ) ПЕРВИЧНУЮ, И (ИЛИ) ПОСЛЕДУЮЩУЮ (ПРОМЫШЛЕННУЮ) ПЕРЕРАБОТКУ СЕЛЬСКОХОЗЯЙСТВЕННОЙ ПРОДУКЦИИ

по    
  (наименование субъекта Российской Федерации)  
Наименование показателя Единица измерения Фактическое значение за отчетный год
всего в том числе
сельскохозяйственные организации крестьянские (фермерские) хозяйства и индивидуальные предприниматели организации, осуществляющие производство, и (или) первичную, и (или) последующую (промышленную) переработку сельскохозяйственной продукции
1 2 3 4 5 6
Объем зерна, использованного на глубокую переработку тыс т        

Руководитель исполнительного органа субъекта Российской Федерации,

уполномоченного высшим исполнительным органом субъекта Российской Федерации (иное уполномоченное лицо)

(должность)   (подпись, фамилия, имя, отчество (при наличии)
       
М.П. "___"____________ 20__ г.  
Исполнитель:   (подпись, фамилия, имя, отчество (при наличии), телефон:   , адрес электронной почты (при наличии):  

Приложение N 9
к приказу Минсельхоза России
от 13 марта 2025 г. N 150

Форма

ДАННЫЕ О СУММАРНОМ ОБЪЕМЕ СТРАХОВОЙ ПРЕМИИ (ТЫС. РУБЛЕЙ) В СРЕДНЕМ ЗА 3 ГОДА, ПРЕДШЕСТВУЮЩИХ ГОДУ, В КОТОРОМ ОСУЩЕСТВЛЯЕТСЯ РАСЧЕТ РАЗМЕРА СУБСИДИЙ ИЗ ФЕДЕРАЛЬНОГО БЮДЖЕТА БЮДЖЕТАМ СУБЪЕКТОВ РОССИЙСКОЙ ФЕДЕРАЦИИ НА ПОДДЕРЖКУ ПРИОРИТЕТНЫХ НАПРАВЛЕНИЙ АГРОПРОМЫШЛЕННОГО КОМПЛЕКСА И РАЗВИТИЕ МАЛЫХ ФОРМ ХОЗЯЙСТВОВАНИЯ НА ОЧЕРЕДНОЙ ФИНАНСОВЫЙ ГОД, НАЧИСЛЕННОЙ ПО ДОГОВОРАМ СЕЛЬСКОХОЗЯЙСТВЕННОГО СТРАХОВАНИЯ, ПО КОТОРЫМ ПРЕДОСТАВЛЕНЫ СРЕДСТВА ИЗ БЮДЖЕТА СУБЪЕКТА РОССИЙСКОЙ ФЕДЕРАЦИИ И (ИЛИ) МЕСТНЫХ БЮДЖЕТОВ, В ОБЛАСТЯХ РАСТЕНИЕВОДСТВА, ЖИВОТНОВОДСТВА, ТОВАРНОЙ АКВАКУЛЬТУРЫ

в    
  (наименование субъекта Российской Федерации)  
Номер по порядку Область сельскохозяйственного страхования, осуществляемого с государственной поддержкой в соответствии с положениями Федерального закона от 25 июля 2011 г. N 260-ФЗ "О государственной поддержке в сфере сельскохозяйственного страхования и о внесении изменений в Федеральный закон "О развитии сельского хозяйства" Суммарный объем страховой премии в среднем за 3 года, предшествующих году, в котором осуществляется расчет размера субсидий из федерального бюджета бюджетам субъектов Российской Федерации на поддержку приоритетных направлений агропромышленного комплекса и развитие малых форм хозяйствования на очередной финансовый год, начисленной по договорам сельскохозяйственного страхования, по которым предоставлены средства из бюджета субъекта Российской Федерации и (или) местных бюджетов в отчетном финансовом году, тыс руб
1 2 3
  Растениеводство  
  Животноводство  
  Товарная аквакультура  

Руководитель исполнительного органа субъекта Российской Федерации,

уполномоченного высшим исполнительным органом субъекта Российской Федерации (иное уполномоченное лицо)

(должность)   (подпись, фамилия, имя, отчество (при наличии)
       
М.П. "___"____________ 20__ г.  
Исполнитель:   (подпись, фамилия, имя, отчество (при наличии), телефон:   , адрес электронной почты (при наличии):  

Приложение N 10
к приказу Минсельхоза России
от 13 марта 2025 г. N 150

Форма

ДОКУМЕНТ, СОДЕРЖАЩИЙ ИНФОРМАЦИЮ ОБ ИСПОЛЬЗОВАНИИ СРЕДСТВ БЮДЖЕТОВ СУБЪЕКТОВ РОССИЙСКОЙ ФЕДЕРАЦИИ, В ЦЕЛЯХ СОФИНАНСИРОВАНИЯ РАСХОДНЫХ ОБЯЗАТЕЛЬСТВ КОТОРЫХ ПРЕДОСТАВЛЯЕТСЯ СУБСИДИЯ ИЗ ФЕДЕРАЛЬНОГО БЮДЖЕТА БЮДЖЕТАМ СУБЪЕКТОВ РОССИЙСКОЙ ФЕДЕРАЦИИ НА ПОДДЕРЖКУ ПРИОРИТЕТНЫХ НАПРАВЛЕНИЙ АГРОПРОМЫШЛЕННОГО КОМПЛЕКСА И РАЗВИТИЕ МАЛЫХ ФОРМ ХОЗЯЙСТВОВАНИЯ

по    
  (наименование субъекта Российской Федерации)  
по состоянию на 1 ______________ 20__ г.
  месяц  
Наименование расходного обязательства, на осуществление которого предоставляется субсидия Код бюджетной классификации Остаток средств федерального бюджета на 1 января текущего года, потребность в котором подтверждена, рублей Предусмотрено средств на текущий год, рублей Предусмотренный уровень финансирования за счет средств бюджета субъекта Российской Федерации, % (графа 7 = 100 * графа 6 / графа 4) Кассовые выплаты за счет средств федерального бюджета с учетом перечислений на банковский счет получателей средств в текущем году на отчетную дату, рублей Восстановлено по различным основаниям средств федерального бюджета прошлых лет, рублей Перечислено получателям средств на отчетную дату, рублей Фактический уровень финансирования за счет средств бюджета субъекта Российской Федерации, % (графа 14 = 100 * графа 13/графа 10) Возвращено в федеральный бюджет за отчетный период, рублей Остаток средств федерального бюджета на лицевых счетах бюджетов субъектов Российской Федерации, рублей (графа 16 = графа 3 + графа 8 + графа 9 - графа 11 - графа 15)
всего (графа 4 = графа 5 + графа 6) в том числе за счет средств всего (графа 10 = графа 11 + графа 13) в том числе за счет средств
федерального бюджета бюджета субъекта Российской Федерации федерального бюджета за счет остатков средств федерального бюджета бюджета субъекта Российской Федерации
1 2 3 4 5 6 7 8 9 10 11 12 13 14 15 16
                               

Целевое использование субсидии в объеме _______________________________ рублей подтверждаю.

Причины возникновения остатка __________________________________

Приложение: перечень получателей средств (форма приведена в приложении к настоящему документу) на л.

Руководитель исполнительного органа субъекта Российской Федерации,

уполномоченного высшим исполнительным органом субъекта Российской Федерации (иное уполномоченное лицо)

(должность)   (подпись, фамилия, имя, отчество (при наличии)

Главный бухгалтер (иное уполномоченное лицо) исполнительного органа

субъекта Российской Федерации, уполномоченного высшим исполнительным органом субъекта Российской Федерации

(подпись, фамилия, имя, отчество (при наличии)
М.П. "___"____________ 20__ г.
Исполнитель:   (подпись, фамилия, имя, отчество (при наличии), телефон:   , адрес электронной почты (при наличии):  

Приложение
к документу, содержащему информацию
об использовании средств бюджетов
субъектов Российской Федерации, в целях
софинансирования расходных обязательств
которых предоставляется субсидия
из федерального бюджета бюджетам
субъектов Российской Федерации
на поддержку приоритетных направлений
агропромышленного комплекса и развитие
малых форм хозяйствования

Форма

ПЕРЕЧЕНЬ ПОЛУЧАТЕЛЕЙ СРЕДСТВ

по    
  (наименование субъекта Российской Федерации)  
по состоянию на 1 ______________ 20__ г.
  месяц  

Номер по порядку Наименование или фамилия, имя и отчество (при наличии) получателя средств Вид получателя средств (организация, крестьянское (фермерское) хозяйство, индивидуальный предприниматель, гражданин, ведущий личное подсобное хозяйство и применяющий специальный налоговый режим "Налог на профессиональный доход") Идентификационный номер налогоплательщика - получателя средств Адрес в пределах места нахождения или адрес регистрации по месту жительства (месту пребывания) получателя средств Контактный телефон получателя средств Код Общероссийского классификатора территорий муниципальных образований (до муниципального образования) Код (цель субсидии) Перечислено получателям средств на отчетную дату, рублей
всего (графа 9 = графа 10 + графа 11) в том числе за счет средств
федерального бюджета бюджета субъекта Российской Федерации
1 2 3 4 5 6 7 8 9 10 11
X Всего в том числе: X X X X X X      
                  X X

Руководитель исполнительного органа субъекта Российской Федерации,

уполномоченного высшим исполнительным органом субъекта Российской Федерации (иное уполномоченное лицо)

(должность)   (подпись)   (расшифровка подписи)

Главный бухгалтер (иное уполномоченное лицо) исполнительного органа

субъекта Российской Федерации, уполномоченного высшим исполнительным органом субъекта Российской Федерации

(подпись)   (расшифровка подписи)
М.П. "___"____________ 20__ г.  
Исполнитель:   (подпись, фамилия, имя, отчество (при наличии), телефон:   , адрес электронной почты (при наличии):