Свод правил. Конструкции из многослойного стекла. Правила проектирования. СП 521.1325800.2023

(утв. Приказом Минстроя РФ от 14.04.2023 N 278/ПР)
Редакция от 06.02.2025 — Действует с 04.03.2025
Показать изменения

Утвержден и введен в действие
Приказом Министерства строительства
и жилищно-коммунального хозяйства
Российской Федерации
от 14 апреля 2023 г. N 278/пр

СВОД ПРАВИЛ

КОНСТРУКЦИИ ИЗ МНОГОСЛОЙНОГО СТЕКЛА

ПРАВИЛА ПРОЕКТИРОВАНИЯ

Laminated glass structures. Design rules

СП 521.1325800.2023

(в ред. Изменения N 1, утв. Приказом Минстроя РФ от 06.02.2025 N 66/пр)

Дата введения
15 мая 2023 года

Предисловие

Сведения о своде правил

1 ИСПОЛНИТЕЛЬ - Акционерное общество "Научно-исследовательский центр "Строительство" (АО "НИЦ "Строительство") - Центральный научно-исследовательский институт строительных конструкций им. В.А. Кучеренко (ЦНИИСК им. В.А. Кучеренко)

2 ВНЕСЕН Техническим комитетом по стандартизации ТК 465 "Строительство"

3 ПОДГОТОВЛЕН к утверждению Департаментом градостроительной деятельности и архитектуры Министерства строительства и жилищно-коммунального хозяйства Российской Федерации (Минстрой России)

В электронном документе текст соответствует официальному источнику.

4 УТВЕРЖДЕН приказом Министерства строительства и жилищно-коммунального хозяйства Российской Федерации от 14 апреля 2023 г. и введен в действие с 15 мая 2023 г.

5 ЗАРЕГИСТРИРОВАН Федеральным агентством по техническому регулированию и метрологии (Росстандарт).

6 ВВЕДЕН ВПЕРВЫЕ

В случае пересмотра (замены) или отмены настоящего свода правил соответствующее уведомление будет опубликовано в установленном порядке. Соответствующая информация, уведомление и тексты размещаются также в информационной системе общего пользования - на официальном сайте разработчика (Минстрой России) в сети Интернет

Введение

Настоящий свод правил разработан в целях обеспечения требований Федерального закона от 30 декабря 2009 г. N 384-ФЗ "Технический регламент о безопасности зданий и сооружений" с учетом требований федеральных законов от 27 декабря 2002 г. N 184-ФЗ "О техническом регулировании", от 22 июля 2008 г. N 123-ФЗ "Технический регламент о требованиях пожарной безопасности".

Настоящий свод правил разработан авторским коллективом АО "НИЦ "Строительство" - ЦНИИСК им. В.А. Кучеренко (руководитель работы - д-р техн. наук И.И. Ведяков, канд. техн. наук Д.В. Конин, И.В. Ртищева), АО "ЦНИИПромзданий" (канд. техн. наук К.Г. Вахрушев, К.В. Авдеев).

1 Область применения

1.1 Настоящий свод правил устанавливает требования к проектированию несущих конструкций из многослойного стекла, выполненного из цельного гладкого листового стекла: закаленного (в том числе и термовыдержанного), термоупрочненного, неупрочненного, с использованием в качестве промежуточного слоя: этиленвинилацетатной (EVA, ЭВА), поливинилбутиральной (PVB, ПВБ) пленки или прослойки из ионопласта (IP, ИП). Распространяется на проектирование несущих конструкций зданий и сооружений различного назначения, эксплуатируемых при воздействии температур не ниже минус 40 °C и не выше плюс 50 °C, при сухом или нормальном влажностном режиме эксплуатации, внутри помещений.

1.2 Требования настоящего свода правил не распространяются на проектирование конструкций автомобильных и железнодорожных мостов, транспортных тоннелей (в том числе в жидких средах), труб под насыпями, конструкций гидротехнических сооружений, а также на комбинированные с другими материалами (кроме промежуточных слоев, указанных в 1.1) стеклянные конструкции, в том числе стеклопакеты с воздушной прослойкой, а также составные по длине/высоте элементы.

2 Нормативные ссылки

В настоящем своде правил использованы нормативные ссылки на следующие документы:

ГОСТ 9.005-72 Единая система защиты от коррозии и старения. Металлы, сплавы, металлические и неметаллические неорганические покрытия. Допустимые и недопустимые контакты с металлами и неметаллами

ГОСТ 111-2014 Стекло листовое бесцветное. Технические условия

ГОСТ 9438-85 Пленка поливинилбутиральная клеящая. Технические условия

ГОСТ 20403-75 Резина. Метод определения твердости в международных единицах (от 30 до 100 IRHD)

ГОСТ 22233-2018 Профили прессованные из алюминиевых сплавов для ограждающих конструкций. Технические условия

ГОСТ 27751-2014 Надежность строительных конструкций и оснований. Основные положения

ГОСТ 27772-2021 Прокат для строительных стальных конструкций. Общие технические условия

ГОСТ 30247.0-94 (ИСО 384-75) Конструкции строительные. Методы испытаний на огнестойкость. Общие требования

ГОСТ 30247.1-94 Конструкции строительные. Методы испытаний на огнестойкость. Несущие и ограждающие конструкции

ГОСТ 30698-2014 Стекло закаленное. Технические условия

ГОСТ 30826-2014 Стекло многослойное. Технический условия

ГОСТ 32281.1-2013 (EN 1288-1:2000) Стекло и изделия из него. Определение прочности на изгиб. Основные принципы проведения испытаний

ГОСТ 32361-2013 Стекло и изделия из него. Пороки. Термины и определения

ГОСТ 32539-2013 Стекло и изделия из него. Термины и определения

ГОСТ 32557-2013 Стекло и изделия из него. Методы контроля геометрических параметров и показателей внешнего вида

ГОСТ 33000-2014 Стекло и изделия из него. Метод испытания на огнестойкость

ГОСТ 33002-2014 Стекло и изделия из него. Методы определения механических свойств. Испытания на характер разрушения

ГОСТ 33004-2014 Стекло и изделия из него. Характеристики. Термины и определения

ГОСТ 33079-2014 Конструкции фасадные светопрозрачные навесные. Классификация. Термины и определения

ГОСТ 33080-2014 Конструкции деревянные. Классы прочности конструкционных пиломатериалов и методы их определения

ГОСТ 33087-2014 Стекло термоупрочненное. Технические условия

ГОСТ 33559-2015 Стекло и изделия из него. Метод испытания на стойкость к удару мягким телом

ГОСТ 33560-2015 Стекло и изделия из него. Требования безопасности при обращении со стеклом

ГОСТ 33561-2015 Стекло и изделия из него. Указания по эксплуатации

ГОСТ 34279-2017 Стекло и изделия из него. Технология производства. Термины и определения

ГОСТ Р 21.101-2020 Система проектной документации для строительства. Основные требования к проектной и рабочей документации

ГОСТ Р 53308-2009 Конструкции строительные. Светопрозрачные ограждающие конструкции и заполнения проемов. Метод испытаний на огнестойкость

ГОСТ EN 12600-2015 Стекло и изделия из него. Метод испытания на стойкость к удару двойной шиной

ГОСТ EN 14179-1-2015 Стекло закаленное термовыдержанное. Технические требования

СП 2.13130.2020 Системы противопожарной защиты. Обеспечение огнестойкости объектов защиты

СП 14.13330.2018 "СНиП II-7-81* Строительство в сейсмических районах" (с изменениями N 2, N 3)

СП 16.13330.2017 "СНиП II-23-81* Стальные конструкции" (с изменениями N 1, N 2, N 3, N 4)

СП 20.13330.2016 "СНиП 2.01.07-85* Нагрузки и воздействия" (с изменениями N 1, N 2, N 3, N 4)

СП 22.13330.2016 "СНиП 2.02.01-83* Основания зданий и сооружений" (с изменениями N 1, N 2, N 3, N 4)

СП 28.13330.2017 "СНиП 2.03.11-85 Защита строительных конструкций от коррозии" (с изменениями N 1, N 2, N 3)

СП 43.13330.2012 "СНиП 2.09.03-85 Сооружения промышленных предприятий" (с изменениями N 1, N 2, N 3)

СП 44.13330.2011 "СНиП 2.09.04-87* Административные и бытовые здания" (с изменениями N 1, N 2, N 3, N 4)

СП 50.13330.2012 отменен. Взамен него с 16.06.2024 введен в действие СП 50.13330.2024.

СП 50.13330.2012 "СНиП 23-02-2003 Тепловая защита зданий" (с изменениями N 1, N 2)

СП 54.13330.2022 "СНиП 31-01-2003 Здания жилые многоквартирные"

СП 55.13330.2016 "СНиП 31-02-2001 Дома жилые одноквартирные" (с изменением N 1)

СП 63.13330.2018 "СНиП 52-01-2003 Бетонные и железобетонные конструкции. Основные положения" (с изменениями N 1, N 2)

СП 64.13330.2017 "СНиП II-25-80 Деревянные конструкции" (с изменениями N 1, N 2, N 3)

СП 70.13330.2012 "СНиП 3.03.01-87 Несущие и ограждающие конструкции" (с изменениями N 1, N 3, N 4)

СП 118.13330.2022 "СНиП 31-06-2009 Общественные здания и сооружения" (с изменением N 1)

СП 128.13330.2016 "СНиП 2.03.06-85 Алюминиевые конструкции"

СП 131.13330.2020 "СНиП 23-01-99* Строительная климатология" (с изменением N 1)

СП 260.1325800.2016 Конструкции стальные тонкостенные из холодногнутых оцинкованных профилей и гофрированных листов. Правила проектирования (с изменениями N 1, N 2)

СП 267.1325800.2016 Здания и комплексы высотные. Правила проектирования (с изменением N 1)

СП 363.1325800.2017 Покрытия светопрозрачные и фонари зданий и сооружений. Правила проектирования (с изменением N 1)

СП 426.1325800.2020 Конструкции ограждающие светопрозрачные зданий и сооружений. Правила проектирования

Примечание - При пользовании настоящим сводом правил целесообразно проверить действие ссылочных документов в информационной системе общего пользования - на официальном сайте федерального органа исполнительной власти в сфере стандартизации в сети Интернет или по ежегодному информационному указателю "Национальные стандарты", который опубликован по состоянию на 1 января текущего года, и по выпускам ежемесячного информационного указателя "Национальные стандарты" за текущий год. Если заменен ссылочный документ, на который дана недатированная ссылка, то рекомендуется использовать действующую версию этого документа с учетом всех внесенных в данную версию изменений. Если заменен ссылочный документ, на который дана датированная ссылка, то рекомендуется использовать версию этого документа с указанным выше годом утверждения (принятия). Если после утверждения настоящего свода правил в ссылочный документ, на который дана датированная ссылка, внесено изменение, затрагивающее положение, на которое дана ссылка, то это положение рекомендуется применять без учета данного изменения. Если ссылочный документ отменен без замены, то положение, в котором дана ссылка на него, рекомендуется применять в части, не затрагивающей эту ссылку. Сведения о действии сводов правил целесообразно проверить в Федеральном информационном фонде стандартов.

3 Термины и определения

В настоящем своде правил применены термины по ГОСТ 27751, ГОСТ 30826, ГОСТ 32281.1, ГОСТ 32361, ГОСТ 32539, ГОСТ 33004, ГОСТ 33079, ГОСТ 34279, а также следующие термины с соответствующими определениями:

3.1 балка (ригель): Стержневой горизонтальный или наклонный, несущий элемент каркаса, длина которого значительно превышает размеры поперечного сечения, работающий на изгиб.

3.2 гладкое листовое стекло: Изделие из стекла (неупрочненное, закаленное, в том числе и термовыдержанное; термоупрочненное), изготовленное флоат-методом, без дополнительной механической обработки поверхности, в виде плоского прямоугольного листа.

3.3 колонна: Вертикальный или наклонный, стержневой несущий элемент каркаса, высота которого значительно превышает размеры поперечного сечения, работающий на сжатие, сжатие с изгибом.

3.4 комбинированная стеклянная балка/колонна: Стержневая конструкция, состоящая из стеклянных элементов, в том числе из многослойного стекла и элементов из других материалов (дерево, конструкционная сталь, металл, бетон, полимеры и пр.), объединенных для совместной работы с помощью устройств или конструкции.

3.5 конструкционная сталь: Материал стального элемента.

3.6 конструкция из многослойного стекла: Строительная несущая или ограждающая конструкция из многослойного стекла.

3.7 несущая конструкция из многослойного стекла: Строительные конструкции, выполненные из многослойного стекла, воспринимающие эксплуатационные нагрузки и воздействия, обеспечивающие прочность и пространственную устойчивость здания или сооружения (колонны, балки, плиты).

3.8 неупрочненное стекло: Стекло, не подвергнутое процедуре упрочнения (закалке, термоупрочнению или упрочнению другими способами).

3.9 ограждающая конструкция из многослойного стекла: Строительные конструкции (стены, перекрытия, покрытия, заполнения проемов, перегородки и т.д.), выполненные из многослойного стекла и ограничивающие объем здания (сооружения) и разделяющие его на отдельные помещения.

3.10 опорная балка: Балка, поддерживающая горизонтальную несущую конструкцию.

3.11 пластина: Горизонтальный плоский элемент, работающий на изгиб, нагруженный перпендикулярно к плоскости, толщина которого мала по сравнению с его другими размерами.

3.12 плита: Горизонтальный плоский несущий элемент каркаса и ограждения, работающий на изгиб, нагруженный вертикально, перпендикулярно к плоскости.

3.13 промежуточный слой: Материал, склеивающий и отделяющий друг от друга листы базового стекла по всей контактной поверхности в многослойном стекле.

3.14 рабочее сечение: Сечение элемента из многослойного стекла, которым напряжение от внешних воздействий воспринимается площадью гладкого листового стекла, за вычетом площади отверстий, фасок, скосов и др., с учетом ориентации слоев в составе сечения (горизонтально, вертикально).

3.15 совместная работа: Восприятие нагрузки элементом из многослойного стекла, в котором все листовые компоненты (включая промежуточный слой) деформируются как единая конструкция.

3.16 элемент из многослойного стекла: Элемент строительной конструкции, выполненный из многослойного стекла.

4 Общие положения

4.1 Проектирование конструкций из многослойного стекла

4.1.1 Проектирование конструкций осуществляют для обеспечения требований безопасности в соответствии с [1], определения параметров эксплуатационно-технических характеристик, соответствующих требованиям технического задания, разработки конструктивных решений, обеспечивающих достижение требуемых эксплуатационно-технических характеристик.

4.1.2 При проектировании конструкций, находящихся в особых условиях эксплуатации, подвергающихся сейсмическим воздействиям, интенсивным воздействиям температуры, радиации, агрессивных сред, конструкций уникальных зданий и сооружений, зданий атомных электростанций, предварительно напряженных, пространственных, висячих конструкций, следует соблюдать требования, которые учитывают особенности работы и эксплуатации таких конструкций.

4.2 Типы конструктивных элементов из многослойного стекла

4.2.1 Несущие конструкции из многослойного стекла различаются по функциональному назначению и по характеру воздействия временной внешней нагрузки.

4.2.2 Основными типами несущих конструкций из многослойного стекла по функциональному назначению являются:

- стержневые несущие элементы:

колонны каркаса;

фахверковые стойки и ригели;

балки, прогоны, ригели каркаса;

элементы связей;

вертикальные и горизонтальные ребра жесткости светопрозрачных

ограждающих конструкций;

- плоские несущие элементы:

вертикальные ограждающие конструкции, воспринимающие равномерно-

распределенную горизонтальную нагрузку;

плиты настилов;

экраны ограждений.

4.2.3 Для основных типов конструкций из многослойного стекла следует применять сечения:

- колонн, стоек, фахверков, ребер жесткости светопрозрачных конструкций, приведены на рисунке 4.1, расчетные схемы закрепления и виды нагрузки - на рисунке 4.2;

- балок и ригелей, приведены на рисунке 4.1, схемы закрепления - на рисунке 4.3;

- настилов (плит), конструкция настила с шарнирным типом опирания по двум противоположным краям приведена на рисунке 4.4;

- плоское ограждение из многослойного стекла (свободностоящее и линейно защемленное у основания соответствует схеме д рисунка 4.2).

а - многослойное сечение: два листа стекла, один промежуточный слой; б - многослойное сечение: n листов стекла, n - 1 промежуточных слоев; 1 - гладкое листовое стекло; 2 - промежуточный слой

Рисунок 4.1 - Варианты поперечного сечения несущих конструкций из многослойного стекла

q - горизонтальная равномерно-распределенная нагрузка на конструкцию; p - вертикальная равномерно-распределенная нагрузка на конструкцию; N - продольная нагрузка на стержень; - максимальная продольная нагрузка на стержень

Рисунок 4.2 - Варианты расчетных схем закрепления и нагружения колонн, стоек, фахверков, ребер жесткости из многослойного стекла

а - однопролетная балка с шарнирными опорами; б - двухпролетная балка с шарнирными опорами; в - многопролетная балка с шарнирными опорами; г - однопролетная балка с одной консолью и шарнирными опорами; д - однопролетная балка с двумя консолями и шарнирными опорами; е - многопролетная балка с одной или двумя консолями и шарнирными опорами; L - расстояние между опорами балки; - длина консоли

Рисунок 4.3 - Варианты расчетных схем балок из многослойного стекла, воспринимающих равномерно-распределенную нагрузку

1 - многослойное стекло; 2 - фиксирующий опорный профиль;
3 - гладкое листовое стекло; 4 - промежуточный слой;
5 - опора; 6 - упругая прокладка, герметик

Рисунок 4.4 - Конструкция настила (плиты) из многослойного стекла, шарнирно-опертого по двум сторонам

4.2.4 По характеру воздействия временной внешней нагрузки несущие конструкции из многослойного стекла следует разделять на следующие группы:

1 - конструкции, воспринимающие нагрузки от скопления и перемещения людей и оборудования (светопрозрачные конструкции полов; внутренних, наружных пешеходных мостов, переходов зданий и сооружений; прочее);

2 - конструкции, воспринимающие постоянные и временные вертикальные воздействия, в том числе - климатические нагрузки (снег, ветер, полезные нагрузки; наружные и внутренние несущие элементы фонарей, покрытий, наружных и внутренних стеновых ограждений и др.);

3 - конструкции, воспринимающие кратковременные горизонтальные нагрузки (ветровые и от людей; несущие элементы наружных и внутренних стеновых ограждений; ограждения лестниц, атриумов, переходов, пешеходных мостов, в местах перепадов высот и др.).

Для всех несущих конструкций из многослойного стекла группа должна быть указана в проектной документации.

4.3 Основные требования к конструкциям и узлам соединений

4.3.1 При проектировании несущих конструкций следует выполнять требования ГОСТ 27751, СП 16.13330, СП 20.13330, СП 22.13330, СП 63.13330, СП 64.13330 и других.

4.3.2 Конструкции из многослойного стекла всех типов должны удовлетворять требованиям:

- безопасности;

- эксплуатационной пригодности;

- долговечности;

- дополнительным требованиям, указанным в задании на проектирование.

4.3.3 Требования безопасности обеспечивают характеристиками конструкций и мероприятиями, исключающими разрушения любого характера и нарушение пригодности в процессе строительства и эксплуатации, при различных расчетных воздействиях.

4.3.4 Требования эксплуатационной пригодности обеспечивают характеристиками конструкций и мероприятиями, исключающими образование трещин, сколов, возникновение чрезмерных перемещений, колебаний и других отклонений или повреждений, затрудняющих нормальную эксплуатацию. Необходимо учитывать требования: к внешнему виду конструкции; технологические по нормальной работе оборудования, механизмов; конструктивные по совместной работе элементов и другие, устанавливаемые техническим заданием и при проектировании.

В конструкциях из многослойного стекла не допускается образование трещин, посечек, отлипов (отслоения), пузырей в промежуточном слое. В случае образования трещины и (или) отлипа, и (или) посечки в процессе эксплуатации, техническое состояние элемента считают аварийным - не пригодным к дальнейшему использованию - требуется его замена.

4.3.5 Требования долговечности удовлетворяют характеристиками конструкций, обеспечивающими безопасность и эксплуатационную пригодность в течение всего расчетного срока службы. Необходимо учитывать влияние на геометрические параметры элементов и механические свойства материалов расчетных воздействий: длительных нагрузок, неблагоприятных климатических, технологических, температурных и влажностных, попеременного замораживания/оттаивания, агрессивности среды и др.

4.3.6 Долговечность элементов и комплектующих несущих конструкций из многослойного стекла должна соответствовать расчетному сроку службы здания и сооружения по ГОСТ 27751.

Допускается использовать элементы с меньшим расчетным сроком службы при условии возможности их замены. Проектная документация и инструкция по эксплуатации объекта строительства должны содержать: расчетный срок службы; технические решения, позволяющие осуществлять замену; последовательность демонтажа и восстановления конструкции.

4.3.7 Безопасность, эксплуатационная пригодность, долговечность конструкций из многослойного стекла, и другие, устанавливаемые заданием на проектирование условия должны быть обеспечены выполнением требований:

- к стеклу в составе многослойного и к многослойному стеклу;

- к промежуточному слою;

- к соединительным элементам (сталь, дерево, стеклопластик и др.);

- к расчетам конструкций;

- конструктивных;

- технологических;

- по эксплуатации.

Нагрузки и воздействия, предельные показатели деформаций (прогибы, перемещения, амплитуды колебаний), пределы огнестойкости, непроницаемости, морозостойкости, расчетные значения температуры наружного воздуха и относительной влажности окружающей среды, защита строительных конструкций от воздействия агрессивных сред и др. устанавливают по СП 2.13130, СП 14.13330, СП 20.13330, СП 22.13330, СП 28.13330, СП 44.13330, СП 50.13330, СП 54.13330, СП 55.13330, СП 118.13330, СП 131.13330, СП 267.1325800, [2].

4.3.8 При проектировании конструкций из многослойного стекла необходимо:

- принимать конструктивные схемы, обеспечивающие прочность, устойчивость и пространственную неизменяемость зданий и сооружений в целом и их отдельных элементов;

- применять рациональные размеры сечений и отдельных слоев, составы, типы соединений;

- обеспечивать для элементов конструкций минимальные сечения, удовлетворяющие требованиям настоящего свода правил с учетом сортаментов на листовое стекло и промежуточный слой;

- предусматривать технологичность и наименьшую трудоемкость изготовления, транспортирования и монтажа;

- учитывать производственные возможности и мощность технологического и кранового оборудования;

- учитывать допускаемые отклонения от проектных размеров и геометрической формы элементов конструкций при изготовлении и монтаже.

4.3.9 При проектировании конструкций из многослойного стекла необходимо предусматривать размещение устройств и механизмов для обслуживания и ремонта, если без них доступ к элементам невозможен; организацию защитных мероприятий от случайных ударных нагрузок и других эксплуатационных воздействий.

4.3.10 Надежность конструкций из многослойного стекла обеспечивают применением расчетных значений нагрузок и воздействий, расчетных характеристик материалов, определяемых с помощью соответствующих коэффициентов надежности.

Нормативные значения нагрузок и воздействий, значения коэффициентов надежности по нагрузке устанавливают в соответствии с СП 20.13330, СП 267.1325800.

Расчетные значения нагрузок и воздействий принимают в зависимости от вида расчетного предельного состояния и расчетной ситуации.

Коэффициенты надежности назначают с учетом уровня ответственности здания.

4.3.11 В проектной и рабочей документации на строительство, реконструкцию и капитальный ремонт зданий и сооружений не допускается предусматривать использование поврежденных, восстановленных, бывших в употреблении конструкций и элементов из многослойного стекла; применение многослойного стекла, листовых стекол и промежуточных слоев, соединительных элементов с дефектами и повреждениями.

Допустимые пороки внешнего вида для многослойного стекла приведены в ГОСТ 30826-2014 (пункт 5.1.1).

Основные параметры многослойного стекла, размеры и отклонения от них устанавливаются по ГОСТ 30826-2014 (раздел 4).

4.3.12 Требуемые пределы огнестойкости и правила применения огнезащиты для повышения пределов огнестойкости следует принимать согласно СП 2.13130.

Требования по огнестойкости конструкций приведены в [2].

4.3.13 При расчете конструктивной системы или ее части на огнестойкость должны быть учтены соответствующие схемы разрушения, переменные от температуры характеристики материалов и жесткости элементов, в том числе тепловое расширение и силовые деформации (косвенные огневые воздействия).

4.3.14 Расчетные схемы при определении огнестойкости включают отдельные модели:

- развития и распределения температуры внутри конструктивных элементов (теплотехническая модель);

- статической работы конструкции или любой ее части (статическая модель).

4.3.15 Проектная документация на несущие конструкции из многослойного стекла должна соответствовать требованиям ГОСТ Р 21.101 и учитывать требования СП 70.13330, ГОСТ 111, ГОСТ 30826, ГОСТ 32557, ГОСТ 33087, ГОСТ 30698, ГОСТ EN 14179-1, а также других нормативных документов.

В рабочих чертежах конструкций и в документации на заказ материалов следует указывать:

- формулу многослойного стекла по ГОСТ 30826 (с указанием видов (марок) стекол, их толщины, а также видов и толщины промежуточных слоев), форму, номинальные размеры многослойного стекла, номинальные размеры и расположение отверстий и вырезов (при их наличии), вид обработки кромок стекла и отверстий;

- вид термообработки (упрочнения) стекла и требования к нему, предусмотренные настоящим сводом правил;

- расположение и размеры соединений с указанием их конструкции;

- способы и объем контроля качества при изготовлении и монтаже;

- требования к защите конструкций от коррозии;

- требования по огнезащите.

4.3.16 Для изготовления несущих конструкций из многослойного стекла следует применять гладкое листовое стекло толщиной не менее 4 мм и не более 20 мм; работу изделия, выполненного из стекол, толщина которых не попадает в указанный диапазон, следует изучать экспериментальным путем - на основе непосредственных испытаний.

Виды применяемого стекла и его технические требования указаны в 5.1.

4.3.17 Для изготовления одной конструкции из многослойного стекла следует применять стекла одной толщины и одного вида термообработки (упрочнения); промежуточные слои одного вида и одной толщины.

Для достижения требуемой безопасности при эксплуатации допускается применение термоупрочненного стекла в комбинации со стеклами других видов термообработки: неупрочненное стекло и термоупрочненное, закаленное стекло (в том числе и термовыдержанное) и термоупрочненное. В таком случае расчет следует проводить в предположении, что использован один вид стекла с наихудшими прочностными и деформационными характеристиками.

4.3.18 Количество слоев стекла в многослойной конструкции ограничивают только технологические возможности. Все слои стекла многослойной конструкции должны быть соединены по всей поверхности контакта с помощью промежуточного слоя. Качество соединения стекла с промежуточным слоем в конструкции из многослойного стекла должно соответствовать ГОСТ 30826.

4.3.19 Для несущих конструкций из многослойного стекла, эксплуатируемых на открытом воздухе, при влажном и мокром режимах, выполняют дополнительные мероприятия, например: защиту торцов по всему периметру конструкции, конструктивные мероприятия, исключающие попадание атмосферных осадков между слоями листового стекла.

4.3.20 При проектировании несущих конструкций из многослойного стекла следует исключать возможность использования отверстий и вырезов для декоративных целей. Допускается наличие отверстий и вырезов для установки крепежа, количество элементов крепежа и отверстий под них определяют расчетом.

4.3.21 Отверстия и краевые вырезы в элементе/конструкции из многослойного стекла должны быть сглажены радиусом скругления не менее толщины гладкого листового стекла, входящего в состав многослойного = t, а минимальный диаметр цилиндрического отверстия - не менее удвоенной толщины гладкого листового стекла, входящего в состав многослойного = 2t.

4.3.22 Отверстия и вырезы в элементах и конструкциях из многослойного стекла следует предусматривать сквозными.

4.3.23 Минимальная толщина гладкого листового стекла, входящего в состав многослойного, для выполнения цилиндрических отверстий составляет 4 мм, для отверстий и вырезов другой формы - 8 мм.

При соответствующем экспериментальном подтверждении выполняют отверстия и вырезы в гладком листовом стекле, входящем в состав многослойного, меньших толщин.

4.3.24 Обработка кромок вырезов и отверстий должна быть такой же, что и у кромок листового стекла, входящего в состав многослойного стекла, в соответствии с 5.1.3.

4.3.25 Расстояние между осями цилиндрических отверстий в элементе/конструкции из многослойного стекла и до его кромки должно быть не менее 2,5d, ширина стекла между кромками отверстий или до кромки элемента при этом - не менее 80 мм (см. рисунок 4.5).

а - схема расположения отверстий вдоль края элемента из многослойного стекла;
б - схема расположения отверстия около угла элемента из многослойного стекла;
t - толщина гладкого листового стекла, входящего в состав многослойного стекла;
d - диаметр отверстия

Рисунок 4.5 - Схемы расположения отверстий в элементах из многослойного стекла

4.3.26 Ограничения по смещению слоев в элементах/конструкциях из многослойного стекла, включая смещение слоев в отверстиях и вырезах, приведены в ГОСТ 30826.

4.3.27 Элементы узлов крепления должны быть выполнены из коррозионно-стойких материалов или обеспечены защитой от коррозии в соответствии с СП 28.13330.

При проектировании узловых соединений конструкций из многослойного стекла с использованием элементов из конструкционной, нержавеющей стали, алюминия следует исключать возможность прямого контакта между стеклом и сталью применением полимерных прокладок.

Для компенсации разницы диаметров стержня стального болта (нагеля, заклепки, втулки) и отверстия в элементах из многослойного стекла, нивелирования смещения слоев, в соединениях следует использовать полимерные втулки.

4.3.28 Конструкцией креплений должна быть обеспечена установка элементов каркаса в проектное положение без возникновения дополнительных напряжений.

4.3.29 Узлы и соединения каркаса должны обеспечивать компенсацию температурных деформаций. Система креплений должна компенсировать температурные деформации крепежных элементов и в процессе эксплуатации.

4.3.30 Уплотнители и прокладки должны быть расположены так, чтобы надежно изолировать элемент из многослойного стекла от соприкасания с металлическими элементами крепления, каменным горизонтальным, наклонным, вертикальным основанием.

4.3.31 При проектировании должны быть учтены допускаемые отклонения размеров элементов из многослойного стекла и крепежных элементов, указанные в документах на изделия.

4.3.32 При установлении требований к монтажу несущих конструкций из многослойного стекла следует учитывать ГОСТ 111, ГОСТ 30698, ГОСТ 30826, ГОСТ 32557, ГОСТ 33087, ГОСТ 33561, СП 70.13330.

4.3.33 Проектирование несущих конструкций из многослойного стекла для районов с повышенной сейсмичностью (7, 8 и 9 баллов) следует выполнять в соответствии с требованиями СП 14.13330.

4.3.34 Проектирование несущих конструкций из многослойного стекла для высотных зданий и комплексов следует выполнять в соответствии с требованиями СП 267.1325800.

4.3.35 При необходимости устанавливают дополнительные нормируемые показатели качества несущих конструкций из многослойного стекла, связанные с теплопроводностью, температуростойкостью, огнестойкостью, выносливостью, тепловыделением, коррозионной стойкостью, биологической защитой и с другими требованиями, предъявляемыми к материалам конструкций (СП 50.13330, СП 28.13330).

4.3.36 При проектировании светопрозрачных фасадных конструкций, зенитных фонарей и светопрозрачных покрытий следует руководствоваться требованиями СП 363.1325800 и СП 426.1325800.

4.4 Основные положения по расчетам

4.4.1 Расчет конструкций из многослойного стекла по предельным состояниям первой и второй групп выполняют с учетом упругих или упруго-пластических свойств материалов. Для более точной оценки напряженно-деформированного состояния конструкции допускается выполнять расчет по деформируемой схеме. Расчеты следует выполнять в соответствии с требованиями ГОСТ 27751, в том числе при особом сочетании нагрузок.

При расчете конструкций по прочности, деформациям на основе метода конечных элементов должны быть проверены условия прочности, деформативности, а также условия возникновения чрезмерных перемещений конструкции.

4.4.2 Расчеты должны обеспечивать надежность зданий или сооружений в течение расчетного срока их службы, а также при производстве работ в соответствии с требованиями, предъявляемыми к ним.

Расчеты по предельным состояниям первой группы включают проверку по:

- прочности;

- устойчивости;

- устойчивости положения (опрокидывание, скольжение).

Расчеты по предельным состояниям второй группы включают проверку по деформациям и прогибам.

4.4.3 Расчеты конструкций из многослойного стекла следует выполнять на все виды нагрузок, соответствующих функциональному назначению зданий и сооружений, с учетом влияния окружающей среды, технологических, температурных и влажностных воздействий, нагрузок от транспортных средств.

Расчет конструкций из многослойного стекла следует выполнять с учетом назначения конструкций, условий их изготовления, транспортирования, монтажа и эксплуатации, а также свойств материалов.

В расчетных схемах должны быть учтены деформационные характеристики опорных закреплений, оснований и фундаментов.

4.4.4 При расчете конструкций значения нагрузок и воздействий, предельные значения прогибов и перемещений элементов конструкций, а также пиковые значения ветровых нагрузок следует учитывать в соответствии с требованиями СП 20.13330, СП 43.13330, СП 267.1325800, 4.4, 4.5 и раздела 6.

4.4.5 За расчетную температуру в районе строительства следует принимать температуру наружного воздуха наиболее холодных суток обеспеченностью 0,98, определенную согласно СП 131.13330, с учетом 1.1 и 4.1.2.

Расчетную технологическую температуру устанавливают в задании на разработку строительной части проекта.

4.4.6 Расчетные схемы и основные предпосылки расчета должны отражать действительные условия работы конструкций из многослойного стекла.

Рассматривают следующие расчетные модели несущих конструкций:

- отдельные конструктивные стержневые элементы (растянутые, сжатые, внецентренно сжатые, сжато-изгибаемые и изгибаемые);

- плоские или пространственные системы, раскрепленные (несвободные - рисунок 4.6); расчет таких конструкций выполняют путем анализа отдельных элементов с учетом их взаимодействия между собой и с основанием по СП 22.13330.

1 - вертикальные элементы (колонны, фахверки, стойки) из многослойного стекла/металла/дерева/пр.; 2 - горизонтальные элементы (балки, ригели, др.) из многослойного стекла/металла/дерева/пр.; 3 - устойчивая (жесткая) пространственная конструкция (каменное/каркасное здание/ядро жесткости и др.); 4 - связевой элемент из многослойного стекла/металла/дерева/пр.

Рисунок 4.6 - Схемы раскрепленных систем (схемы опор показаны условно)

4.4.7 Проверку прочности и подбор сечений конструкций из многослойного стекла выполняют на действие изгибающих моментов, продольных сил, поперечных сил и местное действие нагрузки.

4.4.8 Геометрические характеристики сечений, при расчетах по предельным состояниям первой и второй групп, следует применять с учетом ослабления отверстиями, фасок, притупления краев кромок, скосов, шлифованных сколов и пр. Определение геометрических характеристик сечения брутто приведено в 6.2.

4.4.9 При расчете конструкций и соединений следует учитывать:

- коэффициенты надежности по ответственности , принимаемые согласно ГОСТ 27751;

- коэффициенты надежности по нагрузке согласно СП 20.13330. Для конструкций из многослойного стекла коэффициент надежности по нагрузке следует принимать =1,1; (в ред. Изменения N 1, утв. Приказом Минстроя РФ от 06.02.2025 N 66/пр)

- коэффициенты условий работы элементов конструкций и соединений, принимаемые согласно таблице 4.1.

Таблица 4.1

Коэффициенты условий работы конструкций и соединений

Элементы конструкций Коэффициенты условий работы
1 Балки и настилы сплошного сечения перекрытий жилых и общественных зданий, не предназначенные для перемещения по ним людей и размещения полезной нагрузки ("над головой") 0,85
2 Балки, настилы, косоуры сплошного сечения жилых и общественных зданий, предназначенные для перемещения по ним людей и размещения полезной нагрузки ("под ногами") 0,8
3 Колонны общественных и жилых зданий при постоянной нагрузке, равной не менее 0,6 от полной расчетной 0,8
4 Колонны и фахверки общественных и жилых зданий, воспринимающие горизонтальные нагрузки 0,85
5 Сплошные вертикальные ограждения и их элементы, свободностоящие и линейно защемленные у основания 0,9
6 Сплошные вертикальные ограждающие конструкции, с линейным закреплением по периметру или по двум противоположным сторонам (элементы фасада, внутренние перегородки и пр.) 0,95
7 Сплошные вертикальные ограждающие конструкции, с точечным закреплением в четырех углах и более (элементы фасада, внутренние перегородки и пр.) 0,9
Примечания
1 Коэффициенты для элементов, приведенных в настоящей таблице, следует учитывать также при расчете их соединений.
2 При расчете на прочность по сечению, ослабленному отверстиями для болтов (цилиндрических элементов крепления), коэффициенты условий работы следует умножать на значение ,
(в ред. Изменения N 1, утв. Приказом Минстроя РФ от 06.02.2025 N 66/пр)
где s - расстояние между центрами отверстий в одном направлении;
d - диаметр отверстия.
3 При расчете на прочность по сечению, ослабленному отверстиями для болтов (цилиндрических элементов крепления), при соединении одним болтом (цилиндрическим элементом крепления), коэффициенты условий работы следует умножать на значение .
4 В случаях, не оговоренных в настоящей таблице, в формулах следует принимать =1,0.

4.4.10 Отношение критической нагрузки к расчетной для стержневых конструкций, рассчитываемых как идеализированные упругие пространственные системы с применением вычислительных комплексов, должно быть не менее коэффициента надежности по устойчивости системы в целом, равного:

=2,0 - при расчете по недеформированной схеме;

=1,3 - при расчете по деформированной схеме.

4.4.11 Напряжения в пластинах определяются по ее пространственному расчету и сравниваются с соответствующим расчетным сопротивлением, с учетом коэффициента условий работы .

4.5 Требования к расчетам

4.5.1 Расчет по прочности

4.5.1.1 Расчеты по прочности конструкций из многослойного стекла должны удовлетворять требованиям настоящего пункта.

Расчет по прочности элементов из многослойного стекла при действии продольной сжимающей силы и изгибающего момента следует выполнять для сечений, нормальных к их продольной оси.

4.5.1.2 Элементы из многослойного стекла по прочности рассчитывают из условия, по которому внутренние напряжения конструкций от действия внешней нагрузки должны быть не больше предельных значений расчетных сопротивлений, соответствующих виду напряженно-деформированного состояния, с учетом всех коэффициентов надежности

(4.1)

4.5.1.3 В случае сложного напряженно-деформированного состояния элемента, суммарное значение отношений напряжения к соответствующему расчетному сопротивлению не должно превышать единицу

(4.2)

4.5.1.4 Действующие напряжения для конструкций из многослойного стекла определяют по общим правилам строительной механики в зависимости от вида напряженно-деформированного состояния и геометрических характеристик элемента в различных сечениях по его длине, с учетом расчетных значений нагрузок.

4.5.1.5 Расчет по прочности стеклянных элементов на действие изгибающих моментов и продольных сил (внецентренное сжатие или растяжение) следует выполнять для сечений, нормальных к их продольной оси.

4.5.1.6 Предельные усилия в сечении, нормальном к продольной оси элемента, следует определять, исходя из следующих предпосылок:

- сопротивление полимерного соединительного слоя (пленки) растяжению, сжатию, изгибу не учитывают в расчете;

- усилия воспринимаются всем сечением стеклянного элемента, за вычетом притупленной части кромок и высоты фасок.

4.5.1.7 При расчете прочности сжатых элементов необходимо учитывать случайный эксцентриситет продольного усилия в двух направлениях, обусловленный неучтенными в расчете факторами (неравномерностью включения слоев стекла в работу, неоднородностью спайки вдоль промежуточного слоя, несовершенств в опорных частях конструкций и др.). Значение эксцентриситета следует принимать не менее:

1/20 радиуса инерции сечения - i/20;

10 мм вдоль слоев сечения и не менее половины толщины одного листа стекла сечения элемента из многослойного стекла - 0,5.

4.5.1.8 Для элементов статически неопределимых конструкций значение эксцентриситета продольной силы относительно центра тяжести принимают равным значению эксцентриситета, полученного из статического расчета, но не менее ea.

Для элементов статически определимых конструкций эксцентриситет принимают равным сумме эксцентриситетов из статического расчета конструкций и случайного.

При симметричном сечении эксцентриситет определяют относительно центра тяжести сечения.

4.5.1.9 Расчет сжатых элементов выполняют как в плоскости расчетного эксцентриситета продольного усилия, так и в нормальной к ней плоскости, в которой принимают равным значению случайного эксцентриситета. При этом в обоих случаях учитывают влияние прогиба.

Расчет на косое внецентренное сжатие выполняют при расчетных эксцентриситетах продольной силы в двух направлениях.

4.5.2 Расчет по деформациям

4.5.2.1 Элементы из многослойного стекла по деформациям рассчитывают из условия, по которому прогибы или перемещения конструкций f от действия внешней нагрузки не должны превышать предельно допустимых значений прогибов или перемещений fult

. (4.3)

4.5.2.2 Прогибы или перемещения конструкций из многослойного стекла определяют по общим правилам строительной механики в зависимости от изгибных, сдвиговых и осевых жесткостных характеристик элемента в различных сечениях по его длине.

4.5.2.3 Жесткость рассматриваемого сечения элемента из многослойного стекла определяют по общим правилам сопротивления материалов с учетом упругих свойств материалов. Геометрические характеристики вычисляют для слоев из гладкого листового стекла, с учетом толщины промежуточных слоев. При вычислении жесткости следует учитывать ориентацию листов стекла и промежуточных слоев, выбирая соответствующий модуль деформации: при изгибе в плоскости слоев или перпендикулярно к слоям сечения.

В связи с относительно малыми толщинами клеевых прослоек, деформационные характеристики промежуточного слоя, при работе сечения на изгиб вдоль слоев, не учитывают; при работе поперек слоев принимают эквивалентные значения, с учетом геометрии сечения, согласно таблицам Б.1 и Б.2.

4.5.2.4 Деформации элементов из многослойного стекла следует рассчитывать с учетом длительности действия нагрузок, согласно СП 20.13330.

При вычислении прогибов жесткость участков элемента следует определять с учетом ориентации слоев листового гладкого стекла и промежуточного слоя, ослабления сечения отверстиями и вырезами.

4.5.2.5 Значения предельно допустимых деформаций и прогибов принимают в соответствии с СП 20.13330. При действии постоянных, временных длительных и кратковременных нагрузок прогиб элементов из многослойного стекла в плоскости действия нагрузки во всех случаях должен быть не больше 1/250 пролета (меньшей стороны, при опирании по контуру или на четыре точки) и 1/125 вылета консоли.

4.6 Общие требования к испытаниям

4.6.1 Модельные испытания не требуются в случае, если исходные данные для исследуемой несущей конструкции/элемента из многослойного стекла соответствуют рассматриваемым настоящим сводом правил, расчет возможно выполнить согласно разделу 6 с учетом всех условий настоящего свода правил, а результат расчета удовлетворяет требованиям прочности, деформативности, безопасности.

Модельные испытания и последующие теоретические исследования требуются в случае, если несущая конструкция/элемент из многослойного стекла (составное сечение из разных видов/толщин стекол; слои расположены со смещением; сложное сечение из моллированного стекла; стекла с механической обработкой поверхности, в том числе узорчатого; есть начальные деформации изделия, превышающие допустимые или случайный эксцентриситет, указанный в 4.5.1.7; кромки стекла необработанные, притупленные, грубошлифованные; прочее), граничные условия, характер нагружения примыкания и опирания, условия раскрепления и обеспечения устойчивости, используют промежуточный слой, отличный от указанных в 1.1, есть необходимость учета работы на прочность и деформативность промежуточного слоя в составе элемента, температурный диапазон, прочие исходные данные отличаются от рассматриваемых настоящим сводом правил, результаты расчета согласно разделу 6 не удовлетворяют условиям прочности, деформативности, безопасности и в прочих случаях, при которых невозможно определить расчетными методами напряжения и деформации проектируемых конструкций от расчетных нагрузок.

4.6.2 Условия проведения испытаний, в соответствии с режимом эксплуатации исследуемой конструкции/элемента, должны быть определены техническим заданием на проведение испытаний.

4.6.3 Конструкция и модель образцов для испытаний должны соответствовать конструкции и составу исследуемого несущего элемента или их партии. При необходимости принимают эквивалентное сечение, нагрузку и высоту пропорционально элементу, в соответствии с жесткостными характеристиками сечения, согласно закону подобия. Материал, обработка кромок, граничные условия, схемы опирания и загружения экспериментальной модели принимают в точном соответствии с исследуемым несущим элементом.

4.6.4 В случае отсутствия технического задания на проведение испытаний, испытания моделей конструкций/элементов из многослойного стекла должны проводиться при следующих условиях:

- температуре воздуха (23 +/- 5) °C;

- относительной влажности воздуха между 40% и 70%.

4.6.5 Во всех случаях, кроме оговоренных техническим заданием:

- при испытаниях температура образца должна быть постоянной в пределах 1 °C, для предотвращения появления случайных напряжений;

- образцы должны быть выдержаны в условиях проведения испытания не менее 12 ч.

4.6.6 Все механические воздействия на образец и его составляющие (шлифовка кромок, дефектов, удаление защитных покрытий, демпфирующих подушек, прокладок и пр.) должны быть закончены не позднее, чем за 24 ч до начала испытаний.

4.6.7 Образцы из многослойного стекла для проведения испытаний должны соответствовать требованиям настоящего свода правил, предъявляемым к конструкциям из многослойного стекла. Минимальное количество образцов в одной серии испытаний - 3 шт. Для получения статистических данных в одной серии испытаний должно быть не менее 10 образцов.

4.6.8 По нормируемым показателям внешнего вида образцов из многослойного стекла: локальным и линейным порокам, цвету - неупрочненное, закаленное (в том числе и термовыдержанное), термоупрочненное стекло должно соответствовать требованиям, предъявляемым к исходному стеклу и указанным в техническом задании, и (или) условиям договора на поставку.

На поверхности стекла допускаются радужные пятна, наиболее заметные под острым углом к поверхности стекла или в поляризованном свете.

4.6.9 Трещины, посечки, грубые царапины, незашлифованные сколы, щербление кромки и повреждения углов стекла, отлипы при эксплуатации и испытаниях элементов из многослойного стекла не допускаются.

4.6.10 Кромки стекла для образцов должны быть обработанными. Обработку кромки стекла производят до его термообработки, типичным способом для исследуемой партии несущих элементов.

4.6.11 Материалы, применяемые для изготовления стекла, должны соответствовать требованиям действующих нормативных документов.

4.6.12 Настоящим сводом правил предусмотрены испытания образцов стержневых несущих конструкций на чистый изгиб, центральное сжатие без потери устойчивости, на устойчивость при центральном и внецентренном сжатии.

4.6.13 Размеры образцов зависят от возможностей стекольного производства. В случае исследований для получения статистических данных, габаритные размеры образцов следует проектировать исследуемой толщины и составом слоев, минимально возможной ширины вдоль слоя стекла:

- на чистый изгиб поперек слоев стекла длина образца должна быть определена с учетом свесов, равных не менее 50 мм:

, где расстояние между опорами l должно быть не менее 40 высот сечения в его рабочем положении;

l 40h или l 40b, где h - высота всего сечения; b - ширина всего сечения;

- на центральное сжатие без потери устойчивости - испытывают устойчивые короткие призмы, длина l которых не превышает 10 размеров минимальной стороны bmin, другая сторона сечения h - не менее половины длины элемента:

l 10b;

h 0,5l;

- на сжатие по кромке образца одиночного листового стекла:

l 10b;

h l;

- на устойчивость при центральном и внецентренном сжатии:

l 40b.

4.6.14 Испытания моделей выполняют на тарированных прессах, моделирующих осевую нагрузку. Предельные нагрузки вычисляют в процессе теоретической подготовки к эксперименту с учетом максимальных значений расчетных сопротивлений, указанных в ГОСТ 111, ГОСТ 30698, ГОСТ 33087, соответственно изучаемому стеклу.

4.6.15 Модели испытывают на осевую сжимающую нагрузку согласно схеме на рисунке 4.7. Чистый изгиб в балке моделируют приложением нагрузки в 1/3 и 2/3 пролета, схема приведена на рисунке 4.8.

1 - образец из многослойного стекла, испытуемый на сжатие; 2 - компенсирующая прокладка (жесткий полимерный материал, фанера = 10 мм); 3 - верхний нож пресса; 4 - верхний стол пресса; 5 - нижний нож пресса; 6 - нижний стол пресса

Рисунок 4.7 - Схема приложения сжимающей нагрузки на испытательном стенде

1 - образец из многослойного стекла, испытуемый на изгиб; 2 - ролик шарнирной опоры; 3 - компенсирующая прокладка (жесткий полимерный материал, фанера = 10 мм); 4 - распределительная траверса пресса; 5 - индикатор перемещений с точностью не менее 0,01 мм

Рисунок 4.8 - Схема приложения нагрузки к модели, испытуемой на чистый изгиб

4.6.16 Перед нагружением модели выверяют нагрузочные приспособления относительно заранее нанесенных разметочных рисок на поверхности образца. Таким образом, все возникающие в результате испытаний неравномерности напряжений в поперечных сечениях обусловлены только случайными эксцентриситетами.

4.6.17 Нагружение выполняют поэтапно, ступенями не более 0,1 разрушающей нагрузки, со скоростью (2 +/- 0,4) Н/мм2·с. На каждой ступени осуществляют выдержку модели не менее 60 с. Показания приборов считывают в начале и в конце каждой ступени нагружения.

4.6.18 В процессе испытаний моделей из многослойного стекла при ступенчатом приложении сжимающей нагрузки фиксируют на каждом шаге:

- нагрузку, перемещения, углы поворота, относительные деформации в исследуемых точках модели;

- значение вертикальной нагрузки , при которой: появилась первая трещина, произошло отслоение/разрушение клеевой прослойки, наступила потеря устойчивости модели, ее разрушение либо деформации продолжают нарастать без увеличения нагрузки - I ступень разрушения.

В процессе всех испытаний следует выполнять фото-, видеосъемку.

4.6.19 За результат принимают среднеарифметическое значение величин, полученных при испытании каждого образца.

4.6.20 Результат полученной величины для каждого образца не должен отличаться от среднеарифметического значения на величину среднеквадратического отклонения.

4.6.21 Полученные значения позволяют оценить максимально допустимую нагрузку на исследуемую конструкцию и (или) максимально допустимые деформации и скорректировать размеры, состав сечения, расчетную схему, величину и схему нагружения для исследуемого элемента, при необходимости.

4.6.22 Прочностные и деформационные характеристики, а также коэффициент устойчивости для испытанных образцов рассчитывают, при необходимости, по общим формулам теоретической механики и сопротивления материалов с учетом собственного веса образца.

5 Материалы

5.1 Стекло. Общие технические требования

5.1.1 Справочные значения деформационных характеристик и расчетных сопротивлений многослойного стекла, изготовленного из гладкого листового стекла толщиной не менее 4 мм и не более 20 мм, приведены в таблицах Б.1 и Б.2.

Расчетные и деформационные характеристики многослойного стекла, изготовленного из листового стекла других толщин, определяют экспериментальным путем в соответствии с 4.6.

5.1.2 Многослойное стекло для изготовления несущих конструкций должно соответствовать ГОСТ 30826. Гладкое листовое стекло для изготовления многослойного, а именно: неупрочненное, закаленное (в том числе и термовыдержанное), термоупрочненное, должно быть цельным (на конструкцию, элемент) и соответствовать требованиям ГОСТ 111, ГОСТ 30698 (ГОСТ EN 14179-1), ГОСТ 33087.

5.1.3 Не допускается использование в составе многослойных несущих конструкций стекла, с незашлифованными сколами, щерблением кромки, отбитыми углами, трещинами, швами.

5.1.4 Кромки гладкого листового стекла для изготовления несущих конструкций из многослойного стекла следует предусматривать шлифованные или полированные, использование необработанных кромок не допускается.

Обработку кромки стекла производят до его термообработки.

Виды обработки кромки стекла указывают в договоре на его изготовление (поставку) в соответствии с ГОСТ 30826-2014 (приложение А).

5.1.5 Нормируемые показатели внешнего вида устанавливают в соответствии с ГОСТ 30826, ГОСТ 32557, а также с нормативными документами на соответствующее стекло и промежуточный слой в составе многослойного стекла.

5.1.6 Классификация безопасных стекол приведена в ГОСТ 30826 и ГОСТ 30698, методы испытаний для подтверждения класса безопасности приведены в ГОСТ 33002, ГОСТ 33559, ГОСТ EN 12600. Класс защиты безопасного стекла устанавливают в задании на проектирование.

5.1.7 Элемент конструкции из многослойного стекла должен сохранять свойство безопасности в течение всего периода эксплуатации и в том числе при проведении мероприятий по техническому обслуживанию и ремонту с учетом требований ГОСТ 33560, ГОСТ 33561.

5.1.8 Для повышения уровня безопасности при эксплуатации и снижения риска самопроизвольного разрушения закаленных стекол, входящих в состав несущих конструкций из многослойного стекла, применяют термовыдержанное закаленное стекло по ГОСТ EN 14179-1.

5.2 Промежуточный слой. Общие технические требования

5.2.1 Настоящим сводом правил для соединения слоев гладкого листового стекла предусмотрено применение промежуточных слоев из клеевых полимерных пленок следующих видов:

- поливинилбутиральной (PVB, ПВБ) по ГОСТ 9438;

- термореактивной на основе этиленвинилацетата (EVA, ЭВА) с высокой степенью трехмерных межмолекулярных связей;

- из ионопласта на основе иономера (IP, ИП), жесткость которого значительно превышает жесткость пленок ПВБ и ЭВА.

5.2.2 Многослойные стекла, изготовленные с применением пленок, должны соответствовать требованиям ГОСТ 30826.

5.2.3 Полимерные материалы должны быть разрешены к применению соответствующими санитарно-эпидемиологическими заключениями органов государственного санитарного надзора.

5.3 Материалы узловых соединений. Общие технические требования

5.3.1 В качестве несущих элементов соединений конструкций из многослойного стекла предусмотрено использование деталей и метизов:

- металлических, из стали не ниже С245;

- из нержавеющей стали;

- алюминиевых;

- пластиковых;

- деревянных и прочих.

5.3.2 Соединения конструкций из многослойного стекла следует разрабатывать с учетом характеристик материалов элементов узлов, условий их работы:

- стальные элементы - в соответствии с ГОСТ 27772, СП 16.13330, СП 260.1325800;

- алюминиевые элементы - в соответствии с ГОСТ 22233, СП 128.13330;

- деревянные элементы - в соответствии с ГОСТ 33080, СП 64.13330;

- прочие элементы - в соответствии с соответствующими нормативными документами.

5.3.3 Проектирование и расчет элементов крепления следует выполнять согласно характеристикам и свойствам выбранного материала с учетом особенностей изготовления, монтажа и эксплуатации несущих конструкций из многослойного стекла.

5.3.4 Все узлы крепления, крепежные элементы должны быть выполнены из коррозионно-стойких материалов или защищены от коррозии в соответствии с СП 28.13330.

5.3.5 При разработке узлов соединения из разнородных металлов и разработке мероприятий по предотвращению контактной коррозии следует руководствоваться ГОСТ 9.005 с учетом влажности и агрессивности среды эксплуатации.

5.3.6 Твердость уплотнителей должна соответствовать ГОСТ 20403 во всем эксплуатационном диапазоне температур.

5.3.7 Уплотнители должны быть химически инертными и стойкими к длительному воздействию атмосферной влаги, загрязнений (включая воздействие слабых кислых, щелочных и солевых сред), моющих средств, ультрафиолетового излучения и воздействию знакопеременных температур.

6 Расчет элементов из многослойного стекла

6.1 Определение геометрических характеристик

6.1.1 Геометрические характеристики рабочего сечения несущего элемента из многослойного стекла определяют по общим законам строительной механики и сопротивления материалов с учетом особенностей конструкций и многослойности сечения.

Общий вид рабочего сечения несущего элемента из многослойного стекла приведен на рисунке 6.1.

- высота i-го слоя гладкого листового стекла в составе сечения; - толщина i-го слоя гладкого листового стекла в составе сечения; - толщина промежуточного слоя; n - количество слоев гладкого листового стекла в составе сечения; i - номер слоя гладкого листового стекла по порядку в составе сечения

Рисунок 6.1 - Общий вид сечения несущего элемента из многослойного стекла

6.1.2 Площадь поперечного сечения несущего элемента из многослойного стекла следует определять как сумму площадей слоев гладкого листового стекла, без учета толщины промежуточного слоя

(6.1)

где - площадь рабочего сечения элемента (без промежуточного слоя) из многослойного стекла;

- площадь сечения i-го слоя гладкого листового стекла в составе сечения несущего элемента из многослойного стекла;

n - количество слоев гладкого листового стекла в составе рабочего сечения элемента из многослойного стекла;

i - номер слоя гладкого листового стекла по порядку в составе сечения несущего элемента из многослойного стекла.

6.1.3 Момент инерции I относительно главных осей сечения несущего элемента из многослойного стекла следует определять как сумму соответствующих значений каждого слоя гладкого листового стекла относительно рассматриваемой оси, с учетом удаленности от нее, но без учета площади промежуточного слоя по формулам:

(6.2)

(6.3)

где - момент инерции рабочего сечения стержневого несущего элемента из многослойного стекла относительно оси y рабочего сечения;

- момент инерции i-го слоя гладкого листового стекла в составе сечения несущего элемента из многослойного стекла относительно оси y рабочего сечения элемента;

- момент инерции рабочего сечения несущего элемента из многослойного стекла относительно оси z рабочего сечения элемента;

- момент инерции i-го слоя гладкого листового стекла в составе сечения несущего элемента из многослойного стекла относительно оси z рабочего сечения элемента, то есть с учетом расстояния от собственной главной оси i-го слоя до оси z рабочего сечения элемента.

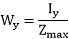
6.1.4 Момент сопротивления W относительно главных осей сечения стержневого несущего элемента из многослойного стекла следует определять как отношение момента инерции относительно рассматриваемой оси к расстоянию до наиболее удаленного волокна поперечного сечения по формулам:

(6.4)

(6.5)

где - момент сопротивления рабочего сечения стержневого несущего элемента из многослойного стекла относительно оси y рабочего сечения;

- момент сопротивления рабочего сечения стержневого несущего элемента из многослойного стекла относительно оси z рабочего сечения;

- расстояние вдоль оси z до наиболее удаленного волокна поперечного сечения от оси y;

- расстояние вдоль оси y до наиболее удаленного волокна поперечного сечения от оси z.

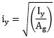
6.1.5 Радиусы инерции, соответствующие главным осям - главные радиусы инерции определяются по формулам:

(6.6)

(6.7)

где - радиус инерции рабочего сечения стержневого элемента из многослойного стекла относительно оси y рабочего сечения;

- радиус инерции рабочего сечения стержневого элемента из многослойного стекла относительно оси z рабочего сечения.

6.1.6 При расчетах геометрических характеристик сечения элемента из многослойного стекла следует учитывать ослабления отверстиями, фасками, притупление краев кромок, скосы, шлифованные сколы и пр.

6.1.7 Расчетные геометрические характеристики для стержневых несущих элементов из многослойного стекла следует рассчитывать, используя известные законы строительной механики и сопротивления материалов и с помощью расчетных программ.

6.2 Расчет элементов из многослойного стекла при центральном сжатии

6.2.1 Расчет на прочность элементов из многослойного стекла при центральном сжатии силой N следует выполнять по формуле

(6.8)

где N - значение продольной силы;

- площадь сечения элемента, с учетом ослабления сечения, согласно 6.1;

- расчетное сопротивление многослойного стекла сжатию, принимают согласно 5.1.

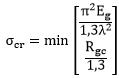
6.2.2 Расчет на устойчивость элементов из многослойного стекла при центральном сжатии силой N следует выполнять по формуле

(6.9)

где - коэффициент устойчивости при центральном сжатии для соответствующих осей, значение которого следует определять по формуле

(6.10)

здесь - напряжения, соответствующие критической силе для элемента из многослойного стекла, следует определять по формуле для соответствующих осей:

(6.11)

где - модуль упругости многослойного стекла вдоль его слоев или в плоскости, перпендикулярной к слоям стекла (значения указаны в приложении Б);

- гибкость элемента, определяемая согласно 6.6.

6.3 Расчет элементов из многослойного стекла при изгибе

6.3.1 Расчет на прочность стержневых изгибаемых элементов из многослойного стекла следует выполнять по формулам:

при действии момента в одной из главных плоскостей

(6.12)

при действии моментов в двух главных плоскостях

(6.13)

где M, My, Mz - изгибающие моменты в рассматриваемом сечении, в соответствующих плоскостях (численные значения с одним знаком "+");

Wmin - минимальный момент сопротивления рассматриваемого сечения, с учетом ослабления сечения, в соответствии с рассматриваемой плоскостью;

Rgt - расчетное сопротивление многослойного стекла изгибу, принимать согласно 5.1;

Iy, Iz - минимальные значения моментов инерции рассматриваемого сечения из многослойного стекла, с учетом ослабления, в соответствующих плоскостях;

y, z - расстояния от главных осей до рассматриваемой точки сечения.

6.4 Расчет элементов из многослойного стекла при действии продольной силы с изгибом

6.4.1 Расчет на прочность внецентренно сжатых (сжато-изгибаемых) несущих элементов из многослойного стекла следует выполнять по формуле

(6.14)

где N, , - абсолютные значения соответственно продольной силы, изгибающих моментов при наиболее неблагоприятном их сочетании (численные значения с одним знаком "+").

6.4.2 Сжато-изгибаемые несущие элементы из многослойного стекла следует проверять на общую устойчивость согласно 6.2.2 и 6.5.

6.5 Расчет на общую устойчивость изгибаемых элементов сплошного сечения

6.5.1 Расчет на устойчивость плоских балок из многослойного стекла с вертикальной ориентацией слоев в сечении следует выполнять по формулам:

при изгибе в плоскости стенки, совпадающей с плоскостью симметрии сечения

; (6.15) (в ред. Изменения N 1, утв. Приказом Минстроя РФ от 06.02.2025 N 66/пр)

при изгибе в двух главных плоскостях

, (6.16) (в ред. Изменения N 1, утв. Приказом Минстроя РФ от 06.02.2025 N 66/пр)

где - коэффициент устойчивости при изгибе, принимаемый для балок с опорными сечениями, закрепленными от боковых смещений и поворота:

- при раскреплении верхнего пояса балки сплошным настилом или системой прогонов и связей с шагом не более высоты сечения балки =1;

- при отсутствии раскрепления верхнего пояса балки, шаге раскрепления большем высоты сечения балки определяют экспериментальным путем;

, - изгибающие моменты, действующие в плоскости наименьшей жесткости при вертикальной ориентации сечения и в плоскости с наибольшей жесткостью, соответственно (численные значения с одним знаком "+");

- момент сопротивления сечения относительно оси z, вычисленный для наиболее сжатого волокна сжатой части сечения в плоскости наименьшей жесткости при вертикальной ориентации сечения;

- момент сопротивления сечения относительно оси y, совпадающей с плоскостью изгиба, вычисленный для наиболее сжатого волокна сжатой части сечения, в плоскости наибольшей жесткости при вертикальной ориентации сечения.

Расчет на устойчивость балок из многослойного стекла с горизонтальной ориентацией слоев в сечении (рисунок 6.1) выполнять не требуется.

6.5.2 При определении значения за расчетную длину балки принимают расстояние между точками закреплений сжатого пояса от поперечных смещений (узлами продольных или поперечных связей, точками крепления жесткого настила). При отсутствии связей = l (где l - пролет балки). За расчетную длину консоли следует принимать = l - при отсутствии закрепления сжатого пояса на конце консоли в горизонтальной плоскости (здесь l - длина консоли) или - это расстояние между точками закрепления сжатого пояса в горизонтальной плоскости - при раскреплении пояса на конце и по длине консоли.

6.6 Расчетные длины и предельные гибкости элементов из многослойного стекла

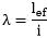
6.6.1 Гибкость элементов из многослойного стекла следует определять по формуле

(6.17)

где - расчетная длина элемента в соответствующей плоскости сечения;

i - радиус инерции сечения элементов соответствующей плоскости.

6.6.2 Гибкости не должны превышать предельных значений:

- для сжатых стеклянных элементов =150,

- для изгибаемых =180,

- для растянутых =300.

6.6.3 Расчетные длины для элементов из многослойного стекла постоянного сечения или отдельных их участков следует определять по формуле

(6.18)

где l - длина стержневого элемента между опорами, элементами раскрепления;

- коэффициент расчетной длины, принимаемый согласно 6.6.4 - 6.6.6.

6.6.4 Коэффициент расчетной длины элементов из многослойного стекла постоянного сечения следует определять в зависимости от условий закрепления их концов (условий примыкания смежных конструкций) и вида нагрузки для каждой из главных осей сечения.

Для некоторых схем закрепления концов и вида нагрузки значения приведены в таблице 6.1.

Таблица 6.1

Коэффициенты расчетной длины

Схема закрепления колонны (стойки) и вид нагрузки
1,0 0,7 0,5 2,0 1,0 2,0 0,75 1,15

6.6.5 Расчетную длину колонн рам в направлении вдоль здания (из плоскости рамы) следует принимать равной расстоянию между точками, закрепленными от смещения из плоскости рамы (опорами колонн, узлами крепления связей и ригелей и т.п.).

Расчетную длину следует определять на основе расчетной схемы, учитывающей фактические условия закрепления концов колонн.

6.6.6 При определении коэффициентов расчетной длины элементов из многослойного стекла значения продольных сил в элементах системы следует принимать для того сочетания нагрузок, для которого выполняется проверка устойчивости рассматриваемых элементов.

7 Противопожарные требования

7.1 В случаях, предусмотренных противопожарными требованиями и требованиями пожарной безопасности ([2], СП 2.13130, СП 426.1325800, СП 267.1325800) конструкции из многослойного стекла должны быть запроектированы и выполнены с пределом огнестойкости и показателем пожарной опасности, регламентируемыми этими требованиями.

Требования по огнестойкости рассматриваемых конструкций указаны в [2].

Противопожарные требования к светопрозрачным конструкциям указаны в СП 426.1325800.

Метод испытаний на огнестойкость указан в ГОСТ 33000, ГОСТ 30247.0, ГОСТ 30247.1, ГОСТ Р 53308.

7.2 Предел огнестойкости следует определять по методам, установленным ГОСТ 30247.0, ГОСТ 30247.1 и ГОСТ Р 53308.

7.3 Предел огнестойкости узлов соединения элементов и опорных узлов конструкций из многослойного стекла, в том числе с применением металлических и неметаллических деталей и элементов, должен быть не ниже требуемого предела огнестойкости конструкции в целом и в соответствии с СП 2.13130.

7.4 Классификация огнестойкого многослойного стекла приведена в ГОСТ 30826-2014 (пункт 5.1.12).

Приложение А

ОСНОВНЫЕ БУКВЕННЫЕ ОБОЗНАЧЕНИЯ ВЕЛИЧИН

Усилия, коэффициенты работы от внешних нагрузок и воздействий, напряжения в поперечном сечении элемента

_ коэффициент надежности по нагрузке;

- коэффициент надежности по ответственности;

- коэффициента надежности по устойчивости системы;

- коэффициент условий работы;

- напряжения в сечении элемента из многослойного стекла;

- напряжения, соответствующие критической силе ;

- расчетное значение сопротивления сдвигу;

M - изгибающий момент;

, - изгибающие моменты относительно главных осей y и z соответственно;

- предельный изгибающий момент;

N - продольная сила;

- условная критическая сила;

- предельное значение продольной силы, которую воспринимает элемент;

P - сосредоточенная сила;

Q - поперечная сила;

q - равномерно-распределенная нагрузка.

Характеристики материалов

- плотность материала при температуре 18 °C;

- коэффициент надежности по стеклу;

- модуль упругости многослойного стекла при сжатии, растяжении, изгибе, при работе элемента вдоль плоскости пластин;

- модуль упругости многослойного стекла при работе элемента из плоскости пластин стекла;

G - модуль сдвига;

- нормативное сопротивление многослойного стекла осевому сжатию;

- расчетное сопротивление многослойного стекла осевому сжатию;

- нормативное сопротивление многослойного стекла при изгибе;

- расчетное сопротивление многослойного стекла при изгибе;

- Коэффициент Пуассона.

Геометрические характеристики

- площадь поперечного сечения стекла, суммарная площадь сечения гладкого листового стекла в многослойном сечении;

- площадь сечения i-го слоя гладкого листового стекла в составе сечения несущего элемента из многослойного стекла;

h - высота рабочего сечения несущего стеклянного элемента;

- высота i-го слоя гладкого листового стекла в составе сечения несущего элемента из многослойного стекла;

t - толщина гладкого листового стекла;

- толщина i-го слоя гладкого листового стекла в составе сечения несущего элемента из многослойного стекла;

- толщина промежуточного слоя между стеклами в составе сечения несущего элемента из многослойного стекла;

b - ширина рабочего сечения стержневого элемента из многослойного стекла; ширина плиты;

n - количество слоев гладкого листового стекла в составе рабочего сечения элемента из многослойного стекла;

i - номер слоя гладкого листового стекла по порядку в составе сечения несущего элемента из многослойного стекла;

, - моменты инерции рабочего сечения несущего элемента из многослойного стекла относительно главных осей: y и z соответственно;

, - моменты сопротивления рабочего сечения несущего элемента из многослойного стекла относительно главных осей: y и z соответственно;

, - радиусы инерции рабочего сечения несущего элемента из многослойного стекла относительно главных осей: y и z соответственно;

- расстояние вдоль оси z до наиболее удаленного волокна поперечного сечения от оси y;

- расстояние вдоль оси y до наиболее удаленного волокна поперечного сечения от оси z;

- расчетная длина стержневого элемента;

l, L - длина стержневого элемента между опорами, элементами раскрепления; длина плиты;

- длина консоли стержневого элемента, плиты;

- общая длина элемента;

d - диаметр отверстия под болт (шпильку, втулку и пр.);

- наружный диаметр болта (шпильки, втулки и пр.);

s - расстояние между осями отверстий под болт (шпильку, втулку и пр.);

- случайный эксцентриситет продольного усилия;

- эксцентриситет продольной силы относительно центра тяжести сечения;

- минимальный радиус скругления для отверстий, вырезов, углов;

Официальный источник электронного документа содержит неточность: имеется в виду таблица 4.1.

, - понижающие коэффициенты при расчете с учетом ослабления сечения отверстиями, см. таблицу 4.7;

f - прогибы и перемещения конструкций;

- прогиб плиты;

- предельно допустимые прогибы и перемещения;

- гибкость элемента;

- коэффициент расчетной длины;

- коэффициент устойчивости элемента из многослойного стекла при центральном сжатии.

Приложение Б

РАСЧЕТНЫЕ СОПРОТИВЛЕНИЯ И ДЕФОРМАЦИОННЫЕ ХАРАКТЕРИСТИКИ МНОГОСЛОЙНОГО СТЕКЛА

Б.1 Расчетные сопротивления многослойного стекла, изготовленного из гладкого листового стекла толщиной от 4 до 20 мм, принимают согласно таблице Б.1.

Таблица Б.1

Справочные значения расчетных сопротивлений многослойного стекла, изготовленного из гладкого листового стекла толщиной от 4 до 20 мм

Наименование показателя Обозначение Расчетные значения
1 Прочность на сжатие многослойного стекла, МПа:    
- неупрочненное стекло 22
- закаленное стекло, в том числе и термовыдержанное   29
- термоупрочненное стекло   29
2 Прочность на изгиб многослойного стекла, МПа:    
- неупрочненное стекло 15
- закаленное стекло, в том числе и термовыдержанное   25
- термоупрочненное стекло   21
(в ред. Изменения N 1, утв. Приказом Минстроя РФ от 06.02.2025 N 66/пр)

Плотность гладкого листового стекла, из которого изготовлено многослойное стекло, независимо от вида термообработки принимают =2500 кг/м3.

Б.2 Расчетные значения деформационных характеристик многослойного стекла, изготовленного из гладкого листового стекла толщиной от 4 до 20 мм, принимают по таблице Б.2.

Таблица Б.2

Справочные значения деформационных характеристик многослойного стекла, изготовленного из гладкого листового стекла толщиной от 4 до 20 мм

Наименование показателя Обозначение Расчетные значения
1 Модуль упругости многослойного стекла поперек слоев сечения, МПа:    
- неупрочненное стекло 27000
- закаленное стекло, в том числе и термовыдержанное   30000
- термоупрочненное стекло   30000
2 Модуль упругости многослойного стекла вдоль слоев сечения, МПа:    
- неупрочненное стекло 60000
- закаленное стекло, в том числе и термовыдержанное   65000
- термоупрочненное стекло   65000
3 Коэффициент Пуассона 0,2

БИБЛИОГРАФИЯ

[1] Федеральный закон от 30 декабря 2009 г. N 384-ФЗ "Технический регламент о безопасности зданий и сооружений"

[2] Федеральный закон от 22 июля 2008 г. N 123-ФЗ "Технический регламент о требованиях пожарной безопасности"