Приказ Минприроды РФ от 31.03.2025 N 158

"Об утверждении критериев отнесения отходов к I - V классам опасности по степени негативного воздействия на окружающую среду"
Редакция от 31.03.2025 — Действует с 01.09.2025

Зарегистрировано в Минюсте России 29 апреля 2025 г. N 82010


МИНИСТЕРСТВО ПРИРОДНЫХ РЕСУРСОВ И ЭКОЛОГИИ РОССИЙСКОЙ ФЕДЕРАЦИИ

ПРИКАЗ
от 31 марта 2025 г. N 158

ОБ УТВЕРЖДЕНИИ КРИТЕРИЕВ ОТНЕСЕНИЯ ОТХОДОВ К I - V КЛАССАМ ОПАСНОСТИ ПО СТЕПЕНИ НЕГАТИВНОГО ВОЗДЕЙСТВИЯ НА ОКРУЖАЮЩУЮ СРЕДУ

В соответствии со статьей 4.1 Федерального закона от 24 июня 1998 г. N 89-ФЗ "Об отходах производства и потребления", подпунктом 5.2.57 пункта 5 Положения о Министерстве природных ресурсов и экологии Российской Федерации, утвержденного постановлением Правительства Российской Федерации от 11 ноября 2015 г. N 1219, приказываю:

1. Утвердить прилагаемые Критерии отнесения отходов к I - V классам опасности по степени негативного воздействия на окружающую среду.

2. Признать утратившим силу приказ Минприроды России от 4 декабря 2014 г. N 536 "Об утверждении критериев отнесения отходов к I-V классам опасности по степени негативного воздействия на окружающую среду", (зарегистрирован Минюстом России 29 декабря 2015 г., регистрационный N 40330).

3. Настоящий приказ вступает в силу с 1 сентября 2025 г. и действует до 1 сентября 2031 г.

Министр
А.А. КОЗЛОВ

УТВЕРЖДЕНЫ
приказом Министерства
природных ресурсов и экологии
Российской Федерации
от 31 марта 2025 г. N 158

КРИТЕРИИ ОТНЕСЕНИЯ ОТХОДОВ К I - V КЛАССАМ ОПАСНОСТИ ПО СТЕПЕНИ НЕГАТИВНОГО ВОЗДЕЙСТВИЯ НА ОКРУЖАЮЩУЮ СРЕДУ

I. Общие положения

1. Критерии отнесения отходов к I - V классам опасности по степени негативного воздействия на окружающую среду (далее - Критерии) предназначены для индивидуальных предпринимателей и юридических лиц, в процессе деятельности которых образуются отходы производства и потребления (далее - отходы), а также Федеральной службы по надзору в сфере природопользования и ее территориальных органов.

2. Действие настоящих Критериев не распространяется на радиоактивные отходы, биологические отходы, а также медицинские отходы до их передачи лицам, осуществляющим обращение с отходами производства и потребления.

3. Критериями отнесения отходов к I - V классам опасности по степени негативного воздействия на окружающую среду являются:

степень опасности отхода для окружающей среды;

кратность разведения водной вытяжки из отхода, при которой вредное воздействие на гидробионты отсутствует.

II. Степень опасности отхода для окружающей среды

4. Степень опасности отхода для окружающей среды (К), значения которой по классам опасности отхода приведены в приложении N 1 к Критериям, определяется по сумме степеней опасности веществ, составляющих отход (далее - компоненты отхода), для окружающей среды ():

,

где:

, ,... - показатели степени опасности отдельных компонентов отхода для окружающей среды;

m - количество компонентов отхода.

Перечень компонентов отхода и их количественное содержание устанавливаются на основании сведений, содержащихся в технологических регламентах, технических условиях, стандартах, проектной документации, либо

2

регламентах, технических условиях, стандартах, проектной документации, либо по результатам количественных химических анализов, выполняемых с соблюдением установленных законодательством Российской Федерации об обеспечении единства измерений требований к измерениям, средствам измерений.

5. Степень опасности компонента отхода для окружающей среды () рассчитывается как отношение концентрации компонента отхода () к коэффициенту его степени опасности для окружающей среды ().

,

где:

- концентрация i-го компонента в отходе (мг/кг);

- коэффициент степени опасности i-го компонента отхода для окружающей среды (мг/кг).

6. Коэффициентом степени опасности компонента отхода для окружающей среды () является показатель, численно равный количеству компонента отхода, ниже значения которого он не оказывает негативного воздействия на окружающую среду. Размерность коэффициента степени опасности для окружающей среды условно принимается как мг/кг.

7. Коэффициент степени опасности компонента отхода для окружающей среды () рассчитывается по одной из следующих формул:

для ,

для ,

для ,

где:

;

- унифицированный относительный параметр опасности компонента отхода для окружающей среды;

- относительный параметр опасности компонента отхода для окружающей среды.

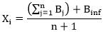
8. Относительный параметр опасности компонента отхода для окружающей среды () рассчитывается по формуле:

,

где:

- значение балла, соответствующее каждому оцененному первичному показателю опасности компонента отхода;

n - количество оцененных первичных показателей опасности компонента отхода;

- значение балла, соответствующее показателю информационного обеспечения системы первичных показателей опасности компонента отхода.

9. Первичные показатели опасности компонента отхода характеризуют степени их опасности для различных компонентов природной среды и представлены в приложении N 2 к Критериям.

10. Значения баллов (), соответствующие показателю информационного обеспечения, определяемого путем деления числа оцененных первичных показателей опасности компонента отхода (n) на 12, присваиваются интервалам его изменения согласно приложению N 3 к Критериям.

11. Компоненты отходов, состоящие из таких химических элементов как кислород, азот, углерод, фосфор, сера, кремний, алюминий, железо, натрий, калий, кальций, магний, титан в концентрациях, не превышающих их содержание в основных типах почв, относятся к практически неопасным компонентам отходов с относительным параметром опасности компонента отхода для окружающей среды (), равным 4, и, следовательно, коэффициентом степени опасности компонента отхода для окружающей среды (), равным .

Компоненты отходов, состоящие из веществ, встречающихся в живой природе, например, таких как углеводы (клетчатка, крахмал и иное), белки, азотсодержащие органические соединения природного происхождения, относятся к практически неопасным компонентам отходов с относительным параметром опасности компонента отхода для окружающей среды (), равным 4, и, следовательно, коэффициентом степени опасности компонента отхода для окружающей среды (), равным .

Для остальных компонентов отходов степень опасности компонента отхода для окружающей среды () определяется в соответствии с пунктами 4 - 10 Критериев и приложением N 1 к Критериям.

Значения коэффициента степени опасности компонента отхода для окружающей среды () для отдельных компонентов отходов приведены в приложении N 4 к Критериям.

III. Кратность разведения водной вытяжки из отхода, при которой вредное воздействие на гидробионты отсутствует

12. Определение кратности (Кр) разведения водной вытяжки из отхода, при которой вредное воздействие на гидробионты отсутствует, основано на биотестировании водной вытяжки отходов - исследовании токсического действия на гидробионты водной вытяжки из отходов, полученной с использованием воды, свойства которой установлены применяемой методикой биотестирования при массовом соотношении отхода и воды 1:10.

13. Определение кратности разведения водной вытяжки из отхода, при которой вредное воздействие на гидробионты отсутствует, осуществляется по аттестованным методикам (методам) измерений, сведения о которых содержатся в Федеральном информационном фонде по обеспечению единства измерений в соответствии с Федеральным законом от 26 июня 2008 г. N 102-ФЗ "Об обеспечении единства измерений".

14. При определении кратности разведения водной вытяжки из отхода, при которой вредное воздействие на гидробионты отсутствует, применяется не менее двух тест-объектов из разных систематических групп (дафнии и инфузории, цериодафнии и бактерии или водоросли). За окончательный результат принимается класс опасности, выявленный на тест-объекте, проявившем более высокую чувствительность к анализируемому отходу.

При исследовании водных вытяжек из отходов с повышенным солесодержанием (содержание сухого остатка в исследуемой водной вытяжке более 6 г/дм3) применяется не менее двух тест-объектов, устойчивых к повышенному солесодержанию из разных систематических групп.

Значения кратности разведения водной вытяжки из отхода приведены в приложении N 5 к Критериям.

IV. Применение критериев отнесения отходов к I - V классам опасности по степени негативного воздействия на окружающую среду для установления класса опасности отходов

15. Для установления класса опасности отхода применяется степень опасности отхода для окружающей среды (К) (далее - Критерий 1) или кратность (Кр) разведения водной вытяжки из отхода, при которой вредное воздействие на гидробионты отсутствует (далее - Критерий 2).

16. Для установления классов опасности отходов, представленных золами, шлаками и золошлаковыми смесями от сжигания углей, отходов добычи и обогащения угля, и отходов, водная вытяжка из которых характеризуется повышенным солесодержанием (содержание сухого остатка в исследуемой водной вытяжке более 6 г/дм3), применяется Критерий 2.

17. В случае, если на основании применения Критерия 1 получен V класс опасности, для его подтверждения проводится проверка с применением Критерия 2.

При несовпадении значения класса опасности отхода, установленного на основании применения Критерия 1 и Критерия 2 устанавливается класс опасности отхода на основании значения кратности разведения водной вытяжки из отхода согласно приложению N 5 к Критериям.

Приложение N 1
к Критериям отнесения отходов
к I - V классам опасности
по степени негативного воздействия
на окружающую среду, утвержденным
приказом Министерства природных
ресурсов и экологии Российской Федерации
от 31 марта 2025 г. N 158

ЗНАЧЕНИЯ СТЕПЕНИ ОПАСНОСТИ ОТХОДА ДЛЯ ОКРУЖАЮЩЕЙ СРЕДЫ (К) ПО КЛАССАМ ОПАСНОСТИ ОТХОДА

Класс опасности отходаСтепень опасности отхода для окружающей среды (К)
I
II
III
IV
VК 10

Приложение N 2
к Критериям отнесения отходов
к I - V классам опасности
по степени негативного воздействия
на окружающую среду, утвержденным
приказом Министерства природных
ресурсов и экологии Российской Федерации
от 31 марта 2025 г. N 158

ПЕРВИЧНЫЕ ПОКАЗАТЕЛИ ОПАСНОСТИ КОМПОНЕНТА ОТХОДА

N п/пПервичные показатели опасности компонента отходаЗначения, интервалы и характеристики первичных показателей опасности компонента отхода для окружающей среды
1
(Предельно допустимая концентрация вещества в почве);
ОДК, мг/кг
(Ориентировочно допустимая концентрация)
< 11 - 1010.1 - 100> 100
2Класс опасности в почве123не установлен
3
(Предельно допустимая концентрация вещества в воде водных объектов, используемых для целей питьевого и хозяйственно-бытового водоснабжения);
ОДУ, мг/л (Ориентировочно допустимый уровень);
ОБУВ, мг/л
(Ориентировочный безопасный уровень воздействия)
< 0.010.01 - 0.10.11 - 1> 1
4Класс опасности в воде водных объектов, используемых для целей питьевого и хозяйственно-бытового водоснабжения1234
5, мг/л
(Предельно допустимая концентрация вещества в воде водных объектов рыбохозяйственного значения);
ОБУВ, мг/л
< 0.0010.001 - 0.010.011 - 0.1> 0.1
6Класс опасности в воде водных объектов рыбохозяйственного значения1234
7, мг/м3
(Предельно допустимая концентрация вещества среднесуточная в атмосферном воздухе населенных мест);
, мг/м3
(Предельно допустимая концентрация вещества максимально разовая в атмосферном воздухе населенных мест);
ОБУВ, мг/м3
< 0.010.01 - 0.10.11 - 1> 1
8Класс опасности в атмосферном воздухе1234
9
(Предельно допустимая концентрация вещества в пищевых продуктах);
МДУ, мг/кг
(Максимально допустимый уровень);
МДС, мг/кг
(Максимально допустимое содержание)
< 0.010.01 - 11.1 - 10> 10
10Lg (S, мг/л/, мг/л),> 55 - 21.9 - 1< 1
где:
S
(Растворимость компонента отхода (вещества) в воде при 20°);

(Предельно допустимая концентрация вещества в воде водных объектов, используемых для целей питьевого и хозяйственно-бытового водоснабжения).
Если , то и балл равен 1, если S = 0, то и балл равен 4
11Lg (, мг/м3 / ),> 55 - 21.9 - 1< 1
где:

(Насыщающая концентрация вещества в воздухе при 20° C и нормальном давлении);

(Предельно допустимая концентрация вещества в атмосферном воздухе рабочей зоны)
12Lg (, мг/м3 / или ),> 77 - 3.93.8 - 1.6< 1.6
где:

(Насыщающая концентрация вещества в воздухе при 20° C и нормальном давлении);

(Предельно допустимая концентрация вещества среднесуточная в атмосферном воздухе населенных мест) или
(Предельно допустимая концентрация вещества максимально разовая в атмосферном воздухе населенных мест)
13 (октанол/вода)
(Коэффициент распределения в системе октанол/вода при 20° C)
> 44 - 21.9 - 0< 0
14, мг/кг
(Средняя смертельная доза компонента в миллиграммах действующего вещества на 1 кг живого веса, вызывающая гибель 50% подопытных животных при однократном пероральном введении в унифицированных условиях)
< 1515 - 150151 - 5000> 5000
15, мг/м3
(Средняя смертельная концентрация вещества, вызывающая гибель 50% подопытных животных при ингаляционном поступлении в унифицированных условиях)
< 500500 - 50005001 - 50000> 50000
16, мг/л/96 ч
(Средняя смертельная концентрация вещества в воде, вызывающая гибель 50% всех взятых в опыт гидробионтов (например, рыб) через 96 часов)
< 11 - 55.1 - 100> 100
17,< 0.10,1 - 1,01,0 - 10> 10
где:
БД
(Биологическая диссимиляция);

(Биологическое потребление кислорода, выраженное в миллилитрах /л за 5 суток);
ХПК
(Химическое потребление кислорода, выраженное в миллилитрах /100 л)
18Персистентность (трансформация в окружающей среде)Образование более токсичных продуктов, в т.ч. обладающих отдаленными эффектами или новыми свойствамиОбразование продуктов с более выраженным влиянием других критериев опасностиОбразование продуктов, токсичность которых близка к токсичности исходного веществаОбразование менее токсичных продуктов
19Биоаккумуляция (поведение в пищевой цепочке)Выраженное накопление во всех звеньяхНакопление в нескольких звеньяхНакопление в одном из звеньевНакопление отсутствует
     
Присваиваемый балл ()1234

Приложение N 3
к Критериям отнесения отходов
к I - V классам опасности
по степени негативного воздействия
на окружающую среду, утвержденным
приказом Министерства природных
ресурсов и экологии Российской Федерации
от 31 марта 2025 г. N 158

ЗНАЧЕНИЯ БАЛЛОВ (Binf) В ЗАВИСИМОСТИ ОТ ИНТЕРВАЛА ИЗМЕНЕНИЯ ПОКАЗАТЕЛЯ ИНФОРМАЦИОННОГО ОБЕСПЕЧЕНИЯ

Диапазоны изменения показателя информационного обеспечения (n / 12)Балл ()
< 0,5 (n < 6)1
0,5 - 0,7 (n = 6 - 8)2
0,71 - 0,9 (n = 9 - 10)3
> 0,9 (n 11)4

Приложение N 4
к Критериям отнесения отходов
к I - V классам опасности
по степени негативного воздействия
на окружающую среду, утвержденным
приказом Министерства природных
ресурсов и экологии Российской Федерации
от 31 марта 2025 г. N 158

КОЭФФИЦИЕНТ СТЕПЕНИ ОПАСНОСТИ КОМПОНЕНТА ОТХОДА ДЛЯ ОКРУЖАЮЩЕЙ СРЕДЫ (Wi) ДЛЯ ОТДЕЛЬНЫХ КОМПОНЕНТОВ ОТХОДОВ

Наименование компонента отхода,
относительный параметр опасности компонента отхода для окружающей среды
,
унифицированный относительный параметр опасности компонента отхода для окружающей среды
,
десятичный логарифм коэффициента степени опасности компонента отхода для окружающей среды
,
коэффициент степени опасности компонента отхода для окружающей среды
Альдрин1,8572,142,14138
Бенз(а)пирен1,61,81,77859,97
Бензол2,142,522,52331,13
Гексахлорбензол2,1662,552,55354
2-4Динитрофенол1,51,661,6639,8
Ди(п)бутилфталат22,332,33215,44
Диоксины1,41,5331,39124,6
Дихлорпропен2,22,662,66398
Диметилфтатат2,1662,5552,555358,59
Дихлорфенол1,51,661,6639,8
Дихлордифенилтрихлорэтан22,332,33213,8
Кадмий2,122,492,49309,03
Линдан2,252,662,66463,4
Марганец3,153,873,877356,42
Медь2,843,453,452840,10
Мышьяк2,272,692,69493,55
Нафталин2,2862,7142,714517,9
Никель2,643,193,191536,97
N-нитрозодифениламин2,83,43,42511,88
Пентахлорбифенилы1,61,81,77859,98
Пентахлорфенол1,661,881,8875,85
Ртуть1,792,052,05113,07
Стронций3,093,793,796118,81
Серебро2,142,522,52331,1
Свинец2,362,812,81650,63
Тетрахлорэтан2,42,8662,866735,6
Толуол2,693,253,251778,28
Трихлорбензол2,332,772,77598,4
Фенол2,282,712,71508,94
Фураны2,1662,552,55359
Хлороформ22,3332,333215,4
Хром трехвалентный2,923,563,563630,78
Хром шестивалентный2,332,772,77593,38
Цинк2,83,43,42511,89
Этилбензол2,863,483,483019,95

Приложение N 5
к Критериям отнесения отходов
к I - V классам опасности
по степени негативного воздействия
на окружающую среду, утвержденным
приказом Министерства природных
ресурсов и экологии Российской Федерации
от 31 марта 2025 г. N 158

ЗНАЧЕНИЯ КРАТНОСТИ РАЗВЕДЕНИЯ ВОДНОЙ ВЫТЯЖКИ ИЗ ОТХОДА

Класс опасности отходаКратность (Кр) разведения водной вытяжки из отхода (Для определения V класса опасности отхода используется сама водная вытяжка, без ее разведения)
IКр > 10000
II1000 < Кр 10000
III100 < Кр 1000
IV1 < Кр 100
VКр = 1