Постановление Правительства РФ от 15.04.2014 N 316

"Об утверждении государственной программы Российской Федерации "Экономическое развитие и инновационная экономика"
Редакция от 30.04.2025 — Не действует Перейти в действующую
Показать изменения

ПРАВИТЕЛЬСТВО РОССИЙСКОЙ ФЕДЕРАЦИИ

ПОСТАНОВЛЕНИЕ
от 15 апреля 2014 г. N 316

ОБ УТВЕРЖДЕНИИ ГОСУДАРСТВЕННОЙ ПРОГРАММЫ РОССИЙСКОЙ ФЕДЕРАЦИИ "ЭКОНОМИЧЕСКОЕ РАЗВИТИЕ И ИННОВАЦИОННАЯ ЭКОНОМИКА"

(в ред. Постановлений Правительства РФ от 30.06.2015 N 659, от 15.08.2015 N 849, от 04.09.2015 N 941, от 11.11.2015 N 1215, от 26.12.2015 N 1452, от 25.05.2016 N 464, от 08.06.2016 N 510, от 29.06.2016 N 600, от 10.08.2016 N 783, от 29.12.2016 N 1538, от 31.03.2017 N 392, от 17.08.2017 N 978, от 22.01.2018 N 41, от 03.02.2018 N 101, от 31.03.2018 N 381, от 19.09.2018 N 1111, от 11.02.2019 N 110, от 13.02.2019 N 148, от 29.03.2019 N 379, от 22.05.2019 N 638, от 07.10.2019 N 1284, от 14.10.2019 N 1322, от 30.11.2019 N 1572, от 23.12.2019 N 1768, от 24.12.2019 N 1799, от 31.03.2020 N 376, от 31.03.2020 N 378, от 16.04.2020 N 519, от 08.05.2020 N 646, от 22.05.2020 N 736, от 07.09.2020 N 1369, от 29.09.2020 N 1563, от 01.10.2020 N 1572, от 23.11.2020 N 1903, от 15.12.2020 N 2105, от 18.12.2020 N 2154, от 09.02.2021 N 140, от 31.03.2021 N 513, от 27.05.2021 N 808, от 17.08.2021 N 1365, от 02.09.2021 N 1469, от 04.10.2021 N 1683, от 20.11.2021 N 1998, от 24.12.2021 N 2433, от 24.12.2021 N 2445, от 24.12.2021 N 2453, от 25.12.2021 N 2489, от 19.03.2022 N 413, от 28.03.2022 N 491, от 28.04.2022 N 775 (ред. от 12.05.2023), от 30.05.2022 N 983, от 12.09.2022 N 1587, от 03.11.2022 N 1982, от 10.11.2022 N 2031, от 02.12.2022 N 2217, от 28.12.2022 N 2464, от 20.04.2023 N 628, от 26.04.2023 N 657, от 13.06.2023 N 972, от 12.08.2023 N 1324, от 12.08.2023 N 1329, от 25.08.2023 N 1385, от 05.10.2023 N 1642, от 30.11.2023 N 2033, от 16.03.2024 N 309, от 16.05.2024 N 607, от 13.06.2024 N 800, от 18.07.2024 N 979, от 29.11.2024 N 1671, от 05.12.2024 N 1724, от 05.12.2024 N 1725, от 17.12.2024 N 1806, от 30.04.2025 N 587)

Правительство Российской Федерации постановляет:

1. Утвердить прилагаемую государственную программу Российской Федерации "Экономическое развитие и инновационная экономика".

2. Министерству экономического развития Российской Федерации:

разместить государственную программу Российской Федерации, утвержденную настоящим постановлением, на своем официальном сайте, а также на портале государственных программ Российской Федерации в информационно-телекоммуникационной сети "Интернет" в 2-недельный срок со дня официального опубликования настоящего постановления;

принять меры по реализации мероприятий указанной государственной программы Российской Федерации.

3. Признать утратившими силу:

распоряжение Правительства Российской Федерации от 29 марта 2013 г. N 467-р (Собрание законодательства Российской Федерации, 2013, N 14, ст. 1714);

распоряжение Правительства Российской Федерации от 13 августа 2013 г. N 1414-р (Собрание законодательства Российской Федерации, 2013, N 33, ст. 4422);

распоряжение Правительства Российской Федерации от 21 декабря 2013 г. N 2492-р (Собрание законодательства Российской Федерации, 2013, N 52, ст. 7294).

Председатель Правительства
Российской Федерации
Д. МЕДВЕДЕВ

УТВЕРЖДЕНА
постановлением Правительства
Российской Федерации
от 15 апреля 2014 г. N 316

ГОСУДАРСТВЕННАЯ ПРОГРАММА РОССИЙСКОЙ ФЕДЕРАЦИИ "ЭКОНОМИЧЕСКОЕ РАЗВИТИЕ И ИННОВАЦИОННАЯ ЭКОНОМИКА"

(в ред. Постановлений Правительства РФ от 30.06.2015 N 659, от 15.08.2015 N 849, от 04.09.2015 N 941, от 11.11.2015 N 1215, от 26.12.2015 N 1452, от 25.05.2016 N 464, от 08.06.2016 N 510, от 29.06.2016 N 600, от 10.08.2016 N 783, от 29.12.2016 N 1538, от 31.03.2017 N 392, от 17.08.2017 N 978, от 22.01.2018 N 41, от 03.02.2018 N 101, от 31.03.2018 N 381, от 19.09.2018 N 1111, от 11.02.2019 N 110, от 13.02.2019 N 148, от 29.03.2019 N 379, от 22.05.2019 N 638, от 07.10.2019 N 1284, от 14.10.2019 N 1322, от 30.11.2019 N 1572, от 23.12.2019 N 1768, от 24.12.2019 N 1799, от 31.03.2020 N 376, от 31.03.2020 N 378, от 16.04.2020 N 519, от 08.05.2020 N 646, от 22.05.2020 N 736, от 07.09.2020 N 1369, от 29.09.2020 N 1563, от 01.10.2020 N 1572, от 23.11.2020 N 1903, от 15.12.2020 N 2105, от 18.12.2020 N 2154, от 09.02.2021 N 140, от 31.03.2021 N 513, от 27.05.2021 N 808, от 17.08.2021 N 1365, от 02.09.2021 N 1469, от 04.10.2021 N 1683, от 20.11.2021 N 1998, от 24.12.2021 N 2433, от 24.12.2021 N 2445, от 24.12.2021 N 2453, от 25.12.2021 N 2489, от 19.03.2022 N 413, от 28.03.2022 N 491, от 28.04.2022 N 775 (ред. от 12.05.2023), от 30.05.2022 N 983, от 12.09.2022 N 1587, от 03.11.2022 N 1982, от 10.11.2022 N 2031, от 02.12.2022 N 2217, от 28.12.2022 N 2464, от 20.04.2023 N 628, от 26.04.2023 N 657, от 13.06.2023 N 972, от 12.08.2023 N 1324, от 12.08.2023 N 1329, от 25.08.2023 N 1385, от 05.10.2023 N 1642, от 30.11.2023 N 2033, от 16.03.2024 N 309, от 16.05.2024 N 607, от 13.06.2024 N 800, от 18.07.2024 N 979, от 29.11.2024 N 1671, от 05.12.2024 N 1724, от 05.12.2024 N 1725, от 17.12.2024 N 1806, от 30.04.2025 N 587)

ПАСПОРТ ГОСУДАРСТВЕННОЙ ПРОГРАММЫ РОССИЙСКОЙ ФЕДЕРАЦИИ "ЭКОНОМИЧЕСКОЕ РАЗВИТИЕ И ИННОВАЦИОННАЯ ЭКОНОМИКА". - Утратил силу. (в ред. Постановления Правительства РФ от 25.12.2021 N 2489)

ПАСПОРТ ПОДПРОГРАММЫ 1 "ИНВЕСТИЦИОННЫЙ КЛИМАТ" ГОСУДАРСТВЕННОЙ ПРОГРАММЫ РОССИЙСКОЙ ФЕДЕРАЦИИ "ЭКОНОМИЧЕСКОЕ РАЗВИТИЕ И ИННОВАЦИОННАЯ ЭКОНОМИКА". - Утратил силу. (в ред. Постановления Правительства РФ от 25.12.2021 N 2489)

ПАСПОРТ ПОДПРОГРАММЫ 2 "РАЗВИТИЕ МАЛОГО И СРЕДНЕГО ПРЕДПРИНИМАТЕЛЬСТВА" ГОСУДАРСТВЕННОЙ ПРОГРАММЫ РОССИЙСКОЙ ФЕДЕРАЦИИ "ЭКОНОМИЧЕСКОЕ РАЗВИТИЕ И ИННОВАЦИОННАЯ ЭКОНОМИКА". - Утратил силу. (в ред. Постановления Правительства РФ от 25.12.2021 N 2489)

ПАСПОРТ ПОДПРОГРАММЫ 3 "ГОСУДАРСТВЕННАЯ РЕГИСТРАЦИЯ ПРАВ, КАДАСТР И КАРТОГРАФИЯ" ГОСУДАРСТВЕННОЙ ПРОГРАММЫ РОССИЙСКОЙ ФЕДЕРАЦИИ "ЭКОНОМИЧЕСКОЕ РАЗВИТИЕ И ИННОВАЦИОННАЯ ЭКОНОМИКА". - Утратил силу. (в ред. Постановления Правительства РФ от 25.12.2021 N 2489)

ПАСПОРТ ПОДПРОГРАММЫ 4 "СОВЕРШЕНСТВОВАНИЕ СИСТЕМЫ ГОСУДАРСТВЕННОГО УПРАВЛЕНИЯ" ГОСУДАРСТВЕННОЙ ПРОГРАММЫ РОССИЙСКОЙ ФЕДЕРАЦИИ "ЭКОНОМИЧЕСКОЕ РАЗВИТИЕ И ИННОВАЦИОННАЯ ЭКОНОМИКА". - Утратил силу. (в ред. Постановления Правительства РФ от 25.12.2021 N 2489)

ПАСПОРТ ПОДПРОГРАММЫ 5 "СТИМУЛИРОВАНИЕ ИННОВАЦИЙ" ГОСУДАРСТВЕННОЙ ПРОГРАММЫ РОССИЙСКОЙ ФЕДЕРАЦИИ "ЭКОНОМИЧЕСКОЕ РАЗВИТИЕ И ИННОВАЦИОННАЯ ЭКОНОМИКА". - Утратил силу. (в ред. Постановления Правительства РФ от 25.12.2021 N 2489)

ПАСПОРТ ПОДПРОГРАММЫ 6 "РАЗВИТИЕ АНТИМОНОПОЛЬНОГО И ТАРИФНОГО РЕГУЛИРОВАНИЯ, КОНКУРЕНЦИИ И ПОВЫШЕНИЕ ЭФФЕКТИВНОСТИ АНТИМОНОПОЛЬНОГО КОНТРОЛЯ" ГОСУДАРСТВЕННОЙ ПРОГРАММЫ РОССИЙСКОЙ ФЕДЕРАЦИИ "ЭКОНОМИЧЕСКОЕ РАЗВИТИЕ И ИННОВАЦИОННАЯ ЭКОНОМИКА". - Утратил силу. (в ред. Постановления Правительства РФ от 25.12.2021 N 2489)

ПАСПОРТ ПОДПРОГРАММЫ 7 "УПРАВЛЕНЧЕСКИЕ КАДРЫ" ГОСУДАРСТВЕННОЙ ПРОГРАММЫ РОССИЙСКОЙ ФЕДЕРАЦИИ "ЭКОНОМИЧЕСКОЕ РАЗВИТИЕ И ИННОВАЦИОННАЯ ЭКОНОМИКА". - Утратил силу. (в ред. Постановления Правительства РФ от 25.12.2021 N 2489

ПАСПОРТ ПОДПРОГРАММЫ 8 "СОВЕРШЕНСТВОВАНИЕ СИСТЕМЫ ГОСУДАРСТВЕННОГО СТРАТЕГИЧЕСКОГО УПРАВЛЕНИЯ" ГОСУДАРСТВЕННОЙ ПРОГРАММЫ РОССИЙСКОЙ ФЕДЕРАЦИИ "ЭКОНОМИЧЕСКОЕ РАЗВИТИЕ И ИННОВАЦИОННАЯ ЭКОНОМИКА". - Утратил силу. (в ред. Постановления Правительства РФ от 25.12.2021 N 2489)

ПАСПОРТ ПОДПРОГРАММЫ 9 "ОФИЦИАЛЬНАЯ СТАТИСТИКА" ГОСУДАРСТВЕННОЙ ПРОГРАММЫ РОССИЙСКОЙ ФЕДЕРАЦИИ "ЭКОНОМИЧЕСКОЕ РАЗВИТИЕ И ИННОВАЦИОННАЯ ЭКОНОМИКА". - Утратил силу. (в ред. Постановления Правительства РФ от 25.12.2021 N 2489)

ПАСПОРТ ПОДПРОГРАММЫ Б "СОЗДАНИЕ И РАЗВИТИЕ ИННОВАЦИОННОГО ЦЕНТРА "СКОЛКОВО" ГОСУДАРСТВЕННОЙ ПРОГРАММЫ РОССИЙСКОЙ ФЕДЕРАЦИИ ГОСУДАРСТВЕННОЙ ПРОГРАММЫ РОССИЙСКОЙ ФЕДЕРАЦИИ "ЭКОНОМИЧЕСКОЕ РАЗВИТИЕ И ИННОВАЦИОННАЯ ЭКОНОМИКА". - Утратил силу. (в ред. Постановления Правительства РФ от 25.12.2021 N 2489)

ПАСПОРТ ФЕДЕРАЛЬНОЙ ЦЕЛЕВОЙ ПРОГРАММЫ Г "РАЗВИТИЕ ЕДИНОЙ ГОСУДАРСТВЕННОЙ СИСТЕМЫ РЕГИСТРАЦИИ ПРАВ И КАДАСТРОВОГО УЧЕТА НЕДВИЖИМОСТИ (2014 - 2020 ГОДЫ)". - Утратил силу. (в ред. Постановления Правительства РФ от 31.03.2021 N 513)

ПАСПОРТ ПОДПРОГРАММЫ Д "ЭНЕРГОСБЕРЕЖЕНИЕ И ПОВЫШЕНИЕ ЭНЕРГЕТИЧЕСКОЙ ЭФФЕКТИВНОСТИ" ГОСУДАРСТВЕННОЙ ПРОГРАММЫ РОССИЙСКОЙ ФЕДЕРАЦИИ "ЭКОНОМИЧЕСКОЕ РАЗВИТИЕ И ИННОВАЦИОННАЯ ЭКОНОМИКА". - Утратил силу. (в ред. Постановления Правительства РФ от 25.12.2021 N 2489)

ПАСПОРТ ПОДПРОГРАММЫ Е "ТУРИЗМ" ГОСУДАРСТВЕННОЙ ПРОГРАММЫ РОССИЙСКОЙ ФЕДЕРАЦИИ "ЭКОНОМИЧЕСКОЕ РАЗВИТИЕ И ИННОВАЦИОННАЯ ЭКОНОМИКА". - Утратил силу. (в ред. Постановления Правительства РФ от 25.12.2021 N 2489)

ПАСПОРТ ПОДПРОГРАММЫ Ж "УПРАВЛЕНИЕ ФЕДЕРАЛЬНЫМ ИМУЩЕСТВОМ" ГОСУДАРСТВЕННОЙ ПРОГРАММЫ РОССИЙСКОЙ ФЕДЕРАЦИИ "ЭКОНОМИЧЕСКОЕ РАЗВИТИЕ И ИННОВАЦИОННАЯ ЭКОНОМИКА". - Утратил силу. (в ред. Постановления Правительства РФ от 31.03.2021 N 513)

I. Приоритеты и цели государственной политики в сфере реализации государственной программы Российской Федерации "Экономическое развитие и инновационная экономика" (в ред. Постановления Правительства РФ от 25.12.2021 N 2489)

1. Оценка текущего состояния социально-экономического развития Российской Федерации

Экономическое развитие оказывает прямое влияние на экономический рост, внедрение инновационных технологий, повышение качества и уровня жизни населения, повышение производительности труда и на достижение других стратегических целей социально-экономического развития страны.

В 2020 - 2021 годах Российская Федерация, как и весь мир, оказалась перед лицом глобального вызова, связанного с распространением новой коронавирусной инфекции.

Высокий уровень неопределенности, связанной с эпидемиологической ситуацией, привел к волатильности мировых сырьевых и финансовых рынков.

Начиная со II квартала 2020 г. экономическое развитие России, как и всей мировой экономики, определялось прежде всего эпидемиологической ситуацией, связанной с распространением новой коронавирусной инфекции. В результате этого экономика России столкнулась с одновременным ограничением предложения и спроса.

Ряд отраслей, в том числе сфера бытовых услуг, туризм, авиаперевозки и ряд других, в наибольшей степени пострадали в условиях распространения новой коронавирусной инфекции.

Субъекты малого и среднего предпринимательства в сферах торговли и предоставления услуг населению в период действия карантинных мер столкнулись с наибольшим снижением выручки. По итогам декабря 2020 г. зафиксировано снижение общего количества субъектов малого и среднего предпринимательства на 17,6 тыс. единиц (с 5702 тыс. единиц до 5684 тыс. единиц), при этом количество индивидуальных предпринимателей сократилось на 26,9 тыс. единиц, количество юридических лиц увеличилось на 9,4 тыс. единиц.

По сравнению с январем 2020 г. число субъектов малого и среднего предпринимательства в январе 2021 г. снизилось на 232,3 тыс. единиц (в том числе количество индивидуальных предпринимателей снизилось на 75,7 тыс. единиц, юридических лиц - на 156,8 тыс. единиц).

Помимо непосредственного закрытия производства экономика понесла и косвенные потери, определяемые эффектом межотраслевых связей, проявляющимся в других отраслях, ограничением возможностей сбыта конечной продукции (снижение выпуска в результате ограничения ресурсов промежуточного потребления, снижение как конечного спроса на товары и услуги, так и на товары и услуги промежуточного потребления в компаниях отраслей, приостановивших деятельность).

Спад инвестиций за весь 2020 год по полному кругу компаний и с учетом неформальной деятельности составил 1,4 процента.

Несмотря на свою направленность на развитие экономики и инновационной сферы в 2020 году, государственная программа Российской Федерации "Экономическое развитие и инновационная экономика" (далее - Программа) сыграла важную роль в финансовом обеспечении реализации мероприятий по минимизации кризисных явлений в экономике. Были предоставлены льготные кредиты субъектам малого и среднего бизнеса и системообразующим предприятиям, самозанятым гражданам, начата реализация специальных программ поддержки туристской отрасли.

Реализация мер по поддержке экономики была направлена на сохранение занятости, позволила бизнесу максимально высвободить ресурсы на выплату заработной платы работникам.

В 2021 году в рамках Программы осуществляются дальнейшее финансирование мероприятий, обеспечивающих восстановление занятости и рост экономики, а также долгосрочные структурные изменения в экономике.

Реализация мероприятий Программы за прошедший период обеспечила достижение следующих результатов:

созданы новые особые экономические зоны и обеспечено их развитие, включая увеличение объема привлеченных инвестиций, количества созданных рабочих мест;

запущена реализация механизма "фабрики" проектного финансирования;

открыты и функционируют во всех субъектах Российской Федерации центры "Мой бизнес";

уровень удовлетворенности граждан Российской Федерации качеством предоставления государственных и муниципальных услуг достиг 98 процентов;

сетью многофункциональных центров обеспечен доступ более 97 процентов населения к предоставлению более 200 государственных и муниципальных услуг по принципу "одного окна";

запущен механизм бесшовной интеграции мер государственной поддержки, который предусматривает обмен информацией о поддержанных инновационных компаниях, а также учет экспертизы институтов развития;

созданы инновационные научно-технологические центры "Инновационный научно-технологический центр МГУ "Воробьевы горы", "Инновационный научно-технологический центр "Сириус", "Долина Менделеева", "Русский", "Инновационный научно-технологический центр "Композитная долина";

реализована программа ускоренного патентования по заявкам в области технологий борьбы с вирусами и сопутствующими заболеваниями;

отрасли экономики обеспечены высококвалифицированными управленческими кадрами;

институтами инновационного развития (федеральное государственное бюджетное учреждение "Фонд содействия развитию малых форм предприятий в научно-технической сфере", некоммерческая организация Фонд развития Центра разработки и коммерциализации новых технологий, унитарная некоммерческая организация Фонд инфраструктурных и образовательных программ) осуществлена поддержка инновационных компаний и предпринимателей, что является необходимым условием для ускорения темпов технологического развития Российской Федерации.

В целом российская экономика вопреки ожиданиям прошла нижнюю точку падения с более высокими результатами, чем другие крупные страны, в которых были введены жесткие карантинные ограничения.

Вместе с тем в сфере экономического развития сохраняется ряд внешнеэкономических и общеэкономических ключевых вызовов и рисков.

К внешнеэкономическим вызовам и рискам, обусловленным высокой зависимостью показателей социально-экономического развития Российской Федерации от мировых цен на энергоносители и другие сырьевые товары, относятся следующие:

рост волатильности мировых сырьевых и финансовых рынков, связанный с высоким уровнем неопределенности на фоне сложной эпидемиологической ситуации;

падение цен на сырьевые товары и разрыв "цепочек поставок", обусловленные замедлением темпов роста мировой экономики;

ужесточение применения санкционного режима в отношении российской экономики и др.

К общеэкономическим вызовам и рискам относятся следующие:

эпидемиологическая ситуация, связанная с распространением новой коронавирусной инфекции;

низкая инвестиционная активность;

невосприимчивость экономики и общества к инновациям, что препятствует практическому применению результатов научных исследований и разработок;

низкий потребительский спрос и др.

2. Описание приоритетов и целей государственной политики в сфере реализации Программы

В целях преодоления актуальных вызовов, с которыми сталкивается национальная экономика, а также достижения стратегических целей и задач социально-экономического развития Российской Федерации определены новые цели, разработаны структура и система показателей Программы.

Система целеполагания Программы включает в себя:

цель 1 "Запуск нового инвестиционного цикла и улучшение делового климата", которая характеризуется в том числе:

достижением значения индекса физического объема инвестиций в основной капитал по отношению к 2020 году в 2030 году не ниже 170 процентов;

Абзац пятый - Утратил силу. (в ред. Постановления Правительства РФ от 12.09.2022 N 1587)

созданием более 118 тыс. новых рабочих мест в рамках реализации мероприятий, направленных на повышение потенциала региональных экономик, к 2024 году;

Абзац седьмой - Утратил силу. (в ред. Постановления Правительства РФ от 12.09.2022 N 1587)

Для достижения указанной цели в структуру Программы включены следующие направления (подпрограммы) реализации:

направление "Стимулирование реализации инвестиционных проектов", в рамках которого будут реализовываться структурные элементы, связанные с комплексной поддержкой инвестиционных проектов и их сопровождением, обеспечением реализации федеральных целевых программ и капитальных вложений; (в ред. Постановления Правительства РФ от 18.07.2024 N 979)

направление "Производительность труда", в рамках которого будут реализовываться мероприятия национального проекта "Производительность труда";

направление "Деловая активность", в рамках которого будут реализовываться структурные элементы, связанные с совершенствованием контрольной (надзорной) и разрешительной деятельности, организационным обеспечением деятельности по повышению инвестиционной привлекательности, тарифным и антимонопольным регулированием и развитием конкуренции, а также с совершенствованием регуляторной политики и единой национальной системы аккредитации;

направление "Повышение потенциала региональных экономик", в рамках которого будут реализовываться структурные элементы, связанные с развитием субъектов Российской Федерации и отдельных территорий, а также особых экономических зон и территорий опережающего социально-экономического развития;

направление "Развитие внешнеэкономической деятельности", в рамках которого будут реализовываться мероприятия по развитию международной кооперации и экспорта, а также по обеспечению международного экономического сотрудничества;

цель 2 "Ускорение технологического развития и повышение производительности труда", которая характеризуется в том числе: (в ред. Постановления Правительства РФ от 12.09.2022 N 1587)

достижением общего объема выручки поддержанных технологических компаний в 2030 году в размере порядка 650 млрд. рублей;

достижением объема размещения устойчивых (в том числе "зеленых") облигаций в секторе устойчивого развития публичного акционерного общества "Московская биржа ММВБ-РТС" (накопительным итогом) в 2024 году в размере 400 млрд. рублей;

достижением ежегодной 50-процентной доли предприятий, достигших ежегодного 5-процентного прироста производительности труда на предприятиях - участниках национального проекта "Производительность труда", внедряющих мероприятия национального проекта под федеральным и региональным управлением в течение 3 лет участия в проекте. (в ред. Постановления Правительства РФ от 12.09.2022 N 1587)

Для достижения указанной цели в структуру Программы включены следующие направления (подпрограммы) реализации:

направление "Поддержка инновационных компаний", в рамках которого предполагается реализация мероприятий по стимулированию инноваций, обеспечению правовой охраны и коммерциализации прав на интеллектуальную собственность;

направление "Климатическая повестка", в рамках которого будут реализовываться мероприятия по созданию и развитию инструмента "зеленого" финансирования, формированию системы ограничения выбросов парниковых газов и реализации климатических проектов;

цель 3 "Увеличение численности занятых в сфере малого и среднего предпринимательства, включая индивидуальных предпринимателей и самозанятых", которая характеризуется обеспечением численности занятых в сфере малого и среднего предпринимательства, включая индивидуальных предпринимателей, к 2030 году не менее 25,65 млн. человек.

Для достижения указанной цели в структуру Программы включено направление "Развитие малого и среднего предпринимательства", в рамках которого будут реализовываться мероприятия национального проекта "Малое и среднее предпринимательство и поддержка индивидуальной предпринимательской инициативы";

цель 4 "Повышение эффективности государственного управления", которая характеризуется в том числе:

сохранением удовлетворенности граждан Российской Федерации качеством предоставления государственных и муниципальных услуг на уровне не менее 90 процентов;

Абзац двадцать четвертый - Утратил силу. (в ред. Постановления Правительства РФ от 12.09.2022 N 1587)

снижением отчетной нагрузки на респондентов по предоставлению статистической отчетности (к базовому уровню) в 2024 году на 50 процентов.

Для достижения указанной цели в структуру Программы включены следующие направления (подпрограммы) реализации:

направление "Развитие государственного управления", которое включает в себя мероприятия по разработке и внедрению в деятельность органов государственной власти принципов и стандартов клиентоцентричности, повышению качества предоставления государственных и муниципальных услуг, подготовке кадров и профессиональному развитию федеральных государственных гражданских служащих;

направление "Стратегическое планирование и официальная статистика", которое включает в себя мероприятия по обеспечению стратегического планирования и прогнозирования экономического развития, развитию системы информационного обеспечения государственной статистики, а также по совершенствованию официальной статистики.

3. Задачи государственного управления и обеспечения национальной безопасности Российской Федерации, способы их эффективного решения в сфере реализации Программы

Мероприятия Программы направлены на достижение целей обеспечения экономической безопасности Российской Федерации посредством повышения конкурентоспособности российской экономики и создания условий для экономического роста Российской Федерации в соответствии с положениями Стратегии национальной безопасности Российской Федерации, утвержденной Указом Президента Российской Федерации от 2 июля 2021 г. N 400 "О Стратегии национальной безопасности Российской Федерации".

В целях обеспечения экономической безопасности государства определены следующие ключевые задачи:

обеспечение ускорения темпов прироста инвестиций в основной капитал, доступности долгосрочного кредитования, защиты и поощрения капиталовложений, стимулирование использования внутренних источников инвестиций;

обеспечение институциональной и структурной перестройки национальной экономики на современной технологической основе, ее диверсификации и развития на основе использования низкоуглеродных технологий;

повышение производительности труда путем модернизации промышленных предприятий и инфраструктуры, цифровизации, использования технологий искусственного интеллекта и создания высокотехнологичных рабочих мест;

совершенствование системы государственного контроля (надзора) в сфере экономической деятельности;

создание на территории Российской Федерации благоприятной деловой среды;

совершенствование механизмов взаимодействия государства и бизнеса, содействие развитию малого и среднего предпринимательства;

развитие международных деловых контактов и расширение рынков сбыта российской продукции.

4. Задачи Программы, определенные в соответствии с национальными целями развития Российской Федерации

Система целеполагания и задачи Программы сформированы с учетом национальных целей развития на период до 2030 года, определенных Указом Президента Российской Федерации от 21 июля 2020 г. N 474 "О национальных целях развития Российской Федерации на период до 2030 года", и Единого плана по достижению национальных целей развития Российской Федерации на период до 2024 года и на плановый период до 2030 года, утвержденного распоряжением Правительства Российской Федерации от 1 октября 2021 г. N 2765-р.

Реализация Программы будет непосредственно направлена на достижение двух национальных целей развития Российской Федерации на период до 2030 года - "Достойный, эффективный труд и успешное предпринимательство" и "Цифровая трансформация".

Кроме того, при формировании целей и показателей Программы учитывались положения документов стратегического планирования, разработанных в рамках целеполагания на федеральном уровне, в том числе по отраслевому принципу.

5. Задачи обеспечения достижения показателей социально-экономического развития субъектов Российской Федерации, входящих в состав приоритетных территорий, уровень которых должен быть выше среднего уровня по Российской Федерации

Приоритеты и цели государственной политики в сфере экономического развития на федеральном и региональном уровнях направлены на создание благоприятного предпринимательского климата и условий для ведения бизнеса, повышение эффективности государственного управления.

В целях обеспечения достижения показателей социально-экономического развития субъектов Российской Федерации, входящих в состав Дальневосточного федерального округа, Северо-Кавказского федерального округа и Арктической зоны Российской Федерации, а также на территориях Калининградской области, Республики Крым и г. Севастополя предусматривается решение следующих задач:

развитие малого и среднего предпринимательства;

привлечение частных инвестиций и создание новых рабочих мест;

повышение компетенций управленческих кадров, необходимых для развития региональных экономик.

II. Предоставление субсидий из федерального бюджета бюджетам субъектов Российской Федерации в рамках Программы (в ред. Постановлений Правительства РФ от 31.03.2021 N 513, от 25.12.2021 N 2489)

Абзацы первый - двадцать девятый. - Утратили силу. (в ред. Постановления Правительства РФ от 25.12.2021 N 2489)

Правила предоставления субсидий из федерального бюджета бюджетам субъектов Российской Федерации на софинансирование расходов, связанных с оплатой оказанных специалистам российскими образовательными организациями услуг по обучению в соответствии с Государственным планом подготовки управленческих кадров для организаций народного хозяйства Российской Федерации, приведены в приложении N 7.

Правила предоставления и распределения субсидий бюджетам субъектов Российской Федерации на государственную поддержку малого и среднего предпринимательства, а также физических лиц, применяющих специальный налоговый режим "Налог на профессиональный доход", в субъектах Российской Федерации приведены в приложении N 10.

Абзацы тридцать второй - пятидесятый. - Утратили силу. (в ред. Постановления Правительства РФ от 25.12.2021 N 2489)

Правила предоставления и распределения в 2020 году субсидий из федерального бюджета бюджетам субъектов Российской Федерации на оказание неотложных мер по поддержке субъектов малого и среднего предпринимательства в условиях ухудшения ситуации в связи с распространением новой коронавирусной инфекции приведены в приложении N 34.

Правила предоставления и распределения субсидий из федерального бюджета бюджетам субъектов Российской Федерации на государственную поддержку малого и среднего предпринимательства, а также физических лиц, применяющих специальный налоговый режим "Налог на профессиональный доход", в субъектах Российской Федерации приведены в приложении N 35.

Абзац пятьдесят третий. - Утратил силу. (в ред. Постановления Правительства РФ от 02.09.2021 N 1469)

Абзац пятьдесят четвертый. - Утратил силу. (в ред. Постановления Правительства РФ от 25.12.2021 N 2489)

Правила предоставления из федерального бюджета субсидии бюджету Кемеровской области - Кузбассу на реализацию мероприятий программы социально-экономического развития Кемеровской области - Кузбасса в целях софинансирования строительства объектов инфраструктуры, необходимых для снятия инфраструктурных ограничений в муниципальных образованиях Кузбасса при реализации новых инвестиционных проектов, приведены в приложении N 38. (в ред. Постановления Правительства РФ от 24.12.2021 N 2433)

Правила предоставления субсидий на реализацию мероприятий по социально-экономическому развитию Республики Мордовия приведены в приложении N 39. (в ред. Постановления Правительства РФ от 24.12.2021 N 2445)

Правила предоставления субсидии из федерального бюджета бюджету Кемеровской области - Кузбасса в целях докапитализации микрофинансовых организаций приведены в приложении N 40. (в ред. Постановления Правительства РФ от 24.12.2021 N 2453)

Правила предоставления субсидий из федерального бюджета бюджетам субъектов Российской Федерации на достижение результатов национального проекта "Производительность труда" приведены в приложении N 41. (в ред. Постановления Правительства РФ от 28.04.2022 N 775 (ред. от 12.05.2023))

Правила предоставления субсидий из федерального бюджета бюджету Республики Адыгея в целях софинансирования расходных обязательств Республики Адыгея, возникающих при реализации индивидуальной программы социально-экономического развития Республики Адыгея на период до 2024 года, приведены в приложении N 42. (в ред. Постановления Правительства РФ от 30.05.2022 N 983)

Правила предоставления и распределения в 2023 году субсидий из федерального бюджета бюджетам субъектов Российской Федерации, на территориях которых введен средний уровень реагирования, на предоставление государственной поддержки субъектам предпринимательской деятельности, субъектам малого и среднего предпринимательства, а также физическим лицам, применяющим специальный налоговый режим "Налог на профессиональный доход", приведены в приложении N 43. (в ред. Постановления Правительства РФ от 20.04.2023 N 628)

Правила предоставления иных межбюджетных трансфертов из федерального бюджета бюджетам Донецкой Народной Республики, Луганской Народной Республики, Запорожской области и Херсонской области в целях софинансирования в полном объеме расходных обязательств Донецкой Народной Республики, Луганской Народной Республики, Запорожской области и Херсонской области, возникающих при реализации мероприятий, направленных на государственную поддержку малого и среднего предпринимательства, физических лиц, применяющих специальный налоговый режим "Налог на профессиональный доход", и физических лиц, заинтересованных в начале осуществления предпринимательской деятельности, в 2023 году приведены в приложении N 44. (в ред. Постановления Правительства РФ от 13.06.2023 N 972)

Правила предоставления субсидий из федерального бюджета бюджетам субъектов Российской Федерации на возмещение затрат на создание, модернизацию и (или) реконструкцию объектов инфраструктуры особых экономических зон приведены в приложении N 45. (в ред. Постановления Правительства РФ от 16.03.2024 N 309)

Правила предоставления и распределения в 2024 году субсидий из федерального бюджета, источником финансового обеспечения которых являются бюджетные ассигнования резервного фонда Правительства Российской Федерации, бюджетам Донецкой Народной Республики, Луганской Народной Республики, Запорожской области и Херсонской области в целях софинансирования расходных обязательств указанных субъектов Российской Федерации, возникающих при реализации мероприятий, направленных на государственную поддержку малого и среднего предпринимательства, физических лиц, применяющих специальный налоговый режим "Налог на профессиональный доход", и физических лиц, заинтересованных в начале осуществления предпринимательской деятельности, приведены в приложении N 46. (в ред. Постановления Правительства РФ от 16.05.2024 N 607)

Правила предоставления и распределения в 2024 году субсидий из федерального бюджета, источником финансового обеспечения которых являются бюджетные ассигнования резервного фонда Правительства Российской Федерации, бюджетам Донецкой Народной Республики, Луганской Народной Республики, Запорожской области и Херсонской области в целях софинансирования расходных обязательств указанных субъектов Российской Федерации, возникающих при реализации мероприятий, направленных на поддержку субъектов малого и среднего предпринимательства, осуществляющих социально значимые виды деятельности, приведены в приложении N 47. (в ред. Постановления Правительства РФ от 13.06.2024 N 800)

Правила предоставления и распределения субсидий из федерального бюджета бюджетам субъектов Российской Федерации на государственную поддержку малого и среднего предпринимательства в субъектах Российской Федерации приведены в приложении N 48. (в ред. Постановления Правительства РФ от 05.12.2024 N 1724)

Правила предоставления и распределения субсидий из федерального бюджета бюджетам субъектов Российской Федерации в целях достижения результатов федерального проекта "Производительность труда" приведены в приложении N 49. (в ред. Постановления Правительства РФ от 05.12.2024 N 1725)

Правила предоставления и распределения субсидий из федерального бюджета бюджетам субъектов Российской Федерации в целях реализации мероприятий индивидуальных программ социально-экономического развития субъектов Российской Федерации в 2025 - 2030 годах приведены в приложении N 50. (в ред. Постановления Правительства РФ от 17.12.2024 N 1806)

ПРИЛОЖЕНИЯ 1 - 5. - Утратили силу. (в ред. Постановления Правительства РФ от 25.12.2021 N 2489)

ПРИЛОЖЕНИЕ 6. - Утратило силу. (в ред. Постановления Правительства РФ от 29.03.2019 N 379)

Приложение N 7
к государственной программе
Российской Федерации "Экономическое
развитие и инновационная экономика"

ПРАВИЛА ПРЕДОСТАВЛЕНИЯ СУБСИДИЙ ИЗ ФЕДЕРАЛЬНОГО БЮДЖЕТА БЮДЖЕТАМ СУБЪЕКТОВ РОССИЙСКОЙ ФЕДЕРАЦИИ НА СОФИНАНСИРОВАНИЕ РАСХОДОВ, СВЯЗАННЫХ С ОПЛАТОЙ ОКАЗАННЫХ СПЕЦИАЛИСТАМ РОССИЙСКИМИ ОБРАЗОВАТЕЛЬНЫМИ ОРГАНИЗАЦИЯМИ УСЛУГ ПО ОБУЧЕНИЮ В СООТВЕТСТВИИ С ГОСУДАРСТВЕННЫМ ПЛАНОМ ПОДГОТОВКИ УПРАВЛЕНЧЕСКИХ КАДРОВ ДЛЯ ОРГАНИЗАЦИЙ НАРОДНОГО ХОЗЯЙСТВА РОССИЙСКОЙ ФЕДЕРАЦИИ В 2018/19 - 2024/25 УЧЕБНЫХ ГОДАХ

(в ред. Постановлений Правительства РФ от 15.08.2015 N 849, от 11.11.2015 N 1215, от 25.05.2016 N 464, от 31.03.2017 N 392, от 03.02.2018 N 101, от 13.02.2019 N 148, от 23.12.2019 N 1768, от 25.12.2021 N 2489, от 12.09.2022 N 1587, от 28.12.2022 N 2464)

1. Настоящие Правила определяют условия, цели и порядок предоставления субсидий из федерального бюджета бюджетам субъектов Российской Федерации на софинансирование расходов, связанных с оплатой оказанных специалистам российскими образовательными организациями услуг по обучению в соответствии с Государственным планом подготовки управленческих кадров для организаций народного хозяйства Российской Федерации в 2018/19 - 2024/25 учебных годах (далее соответственно - образовательные организации, Государственный план, субсидии). (в ред. Постановлений Правительства РФ от 11.11.2015 N 1215, от 13.02.2019 N 148, от 23.12.2019 N 1768, от 25.12.2021 N 2489)

2. Субсидии предоставляются в целях софинансирования расходных обязательств, возникающих при выполнении органами государственной власти субъектов Российской Федерации полномочий по подготовке (обучению по дополнительным профессиональным программам) управленческих кадров для организаций народного хозяйства Российской Федерации из числа специалистов, рекомендованных организациями народного хозяйства Российской Федерации, в соответствии с Государственным планом по дополнительным профессиональным программам в области экономики и управления. (в ред. Постановления Правительства РФ от 25.12.2021 N 2489)

3. Субсидии предоставляются при соблюдении следующих условий: (в ред. Постановления Правительства РФ от 03.02.2018 N 101)

а) наличие в бюджете субъекта Российской Федерации бюджетных ассигнований на исполнение расходного обязательства субъекта Российской Федерации, софинансирование которого осуществляется из федерального бюджета, в объеме, необходимом для его исполнения, включающем размер планируемой к предоставлению из федерального бюджета субсидии, и порядка определения объемов указанных ассигнований, если иное не установлено актами Президента Российской Федерации или Правительства Российской Федерации; (в ред. Постановления Правительства РФ от 03.02.2018 N 101)

б) наличие правовых актов субъектов Российской Федерации, утверждающих перечень мероприятий, в целях софинансирования которых предоставляются субсидии, в соответствии с требованиями нормативных правовых актов Российской Федерации; (в ред. Постановления Правительства РФ от 03.02.2018 N 101)

в) заключение соглашения о предоставлении субсидии в соответствии с пунктом 10 Правил формирования, предоставления и распределения субсидий из федерального бюджета бюджетам субъектов Российской Федерации, утвержденных постановлением Правительства Российской Федерации от 30 сентября 2014 г. N 999 "О формировании, предоставлении и распределении субсидий из федерального бюджета бюджетам субъектов Российской Федерации" (далее - Правила формирования, предоставления и распределения субсидий). (в ред. Постановления Правительства РФ от 03.02.2018 N 101)

4. Критерием отбора субъектов Российской Федерации для предоставления субсидий является наличие договоров о финансовом обеспечении расходов, связанных с оплатой оказанных специалистам услуг по обучению в соответствии с Государственным планом, заключенных исполнительным органом субъекта Российской Федерации и образовательными организациями, включенными в перечень образовательных организаций для участия в реализации Государственного плана, и отчетов, подтверждающих исполнение указанных договоров. (в ред. Постановлений Правительства РФ от 25.12.2021 N 2489, от 12.09.2022 N 1587)

4(1). Предоставление субсидии осуществляется на основании соглашения о предоставлении субсидии, заключаемого Министерством экономического развития Российской Федерации и исполнительным органом субъекта Российской Федерации (далее - соглашение), подготавливаемого (формируемого) и заключаемого с применением государственной интегрированной информационной системы управления общественными финансами "Электронный бюджет". (в ред. Постановлений Правительства РФ от 03.02.2018 N 101, от 12.09.2022 N 1587)

4(2). Пункт утратил силу. (в ред. Постановления Правительства РФ от 25.12.2021 N 2489)

5. Субсидия предоставляется бюджету субъекта Российской Федерации в пределах бюджетных ассигнований, предусмотренных федеральным законом о федеральном бюджете на соответствующий финансовый год и плановый период, и лимитов бюджетных обязательств, доведенных до Министерства экономического развития Российской Федерации как получателя средств федерального бюджета на цели, указанные в пункте 2 настоящих Правил, на основании соглашения. (в ред. Постановления Правительства РФ от 03.02.2018 N 101)

6. Соглашение заключается в соответствии с типовой формой соглашения, утвержденной Министерством финансов Российской Федерации, и должно содержать положения, предусмотренные пунктом 10 Правил формирования, предоставления и распределения субсидий. (в ред. Постановления Правительства РФ от 03.02.2018 N 101)

7. Субсидии распределяются между бюджетами субъектов Российской Федерации исходя из количества специалистов, направленных и распределенных на обучение в образовательные организации в соответствующем учебном году в соответствии с установленной для субъекта Российской Федерации квотой, стоимости обучения специалистов в образовательных организациях и уровня софинансирования, определяемого в соответствии с настоящими Правилами и постановлением Правительства Российской Федерации от 13 февраля 2019 г. N 142 "О подготовке управленческих кадров для организаций народного хозяйства Российской Федерации в 2018/19 - 2024/25 учебных годах и признании утратившими силу некоторых актов Правительства Российской Федерации". (в ред. Постановлений Правительства РФ от 11.11.2015 N 1215, от 13.02.2019 N 148, от 23.12.2019 N 1768)

Абзац второй. - Утратил силу. (в ред. Постановления Правительства РФ от 03.02.2018 N 101)

8. Объем бюджетных ассигнований бюджета субъекта Российской Федерации на финансовое обеспечение расходного обязательства субъекта Российской Федерации, в целях софинансирования которого предоставляется субсидия, предусматривается в законе субъекта Российской Федерации о бюджете субъекта Российской Федерации (сводной бюджетной росписи бюджета субъекта Российской Федерации) исходя из необходимости достижения установленных соглашением значений показателей результативности использования субсидии. (в ред. Постановления Правительства РФ от 31.03.2017 N 392)

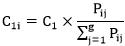
9. Предельный размер субсидии, предоставляемой бюджету j-го субъекта Российской Федерации (Cj), рассчитывается по следующей формуле: (в ред. Постановления Правительства РФ от 28.12.2022 N 2464)

,

где: (в ред. Постановления Правительства РФ от 28.12.2022 N 2464)

C - общий объем бюджетных ассигнований, предусмотренных в федеральном бюджете на предоставление субсидий на соответствующий финансовый год; (в ред. Постановления Правительства РФ от 28.12.2022 N 2464)

m - число образовательных организаций, в которых проводится обучение специалистов, направленных субъектом Российской Федерации для обучения по образовательным программам типа "A"; (в ред. Постановления Правительства РФ от 28.12.2022 N 2464)

- базовая стоимость обучения специалиста по образовательной программе типа "A" в i-й образовательной организации; (в ред. Постановления Правительства РФ от 28.12.2022 N 2464)

- численность специалистов, направленных субъектом Российской Федерации для обучения по образовательной программе типа "A" в i-й образовательной организации; (в ред. Постановления Правительства РФ от 28.12.2022 N 2464)

- коэффициент региональной дифференциации базовой стоимости обучения в i-й образовательной организации согласно приложению N 1; (в ред. Постановления Правительства РФ от 28.12.2022 N 2464)

- коэффициент наполняемости учебной группы (отражает численность группы специалистов, проходящих обучение по программе соответствующего типа в i-й образовательной организации) согласно приложению N 2; (в ред. Постановления Правительства РФ от 28.12.2022 N 2464)

0,66 - уровень софинансирования расходов за счет средств бюджета субъекта Российской Федерации в соответствии с постановлением Правительства Российской Федерации от 13 февраля 2019 г. N 142 "О подготовке управленческих кадров для организаций народного хозяйства Российской Федерации в 2018/19 - 2024/25 учебных годах и признании утратившими силу некоторых актов Правительства Российской Федерации"; (в ред. Постановления Правительства РФ от 28.12.2022 N 2464)

- предельный уровень софинансирования из федерального бюджета расходного обязательства j-го субъекта Российской Федерации, участвующего в реализации Государственного плана, определяемый в соответствии с пунктом 13 Правил формирования, предоставления и распределения субсидий; (в ред. Постановления Правительства РФ от 28.12.2022 N 2464)

n - число образовательных организаций, в которых проводится обучение специалистов, направленных субъектом Российской Федерации для обучения по образовательным программам типа "B"; (в ред. Постановления Правительства РФ от 28.12.2022 N 2464)

- базовая стоимость обучения специалиста по образовательной программе типа "B" в i-й образовательной организации; (в ред. Постановления Правительства РФ от 28.12.2022 N 2464)

- численность специалистов, направленных субъектом Российской Федерации для обучения по образовательной программе типа "B" в i-й образовательной организации; (в ред. Постановления Правительства РФ от 28.12.2022 N 2464)

s - число образовательных организаций, в которых проводится обучение специалистов по дополнительным профессиональным программам; (в ред. Постановления Правительства РФ от 28.12.2022 N 2464)

- базовая стоимость обучения специалиста по программе повышения квалификации типа "Q" в i-й образовательной организации; (в ред. Постановления Правительства РФ от 28.12.2022 N 2464)

- численность специалистов, направленных субъектом Российской Федерации для обучения по программе повышения квалификации типа "Q" в i-й образовательной организации; (в ред. Постановления Правительства РФ от 28.12.2022 N 2464)

v - количество субъектов Российской Федерации, принимающих участие в реализации Государственного плана. (в ред. Постановления Правительства РФ от 28.12.2022 N 2464)

10. Пункт утратил силу. (в ред. Постановления Правительства РФ от 25.12.2021 N 2489)

11. Оценка эффективности использования субсидии, осуществляется Министерством экономического развития Российской Федерации на основании отчетов субъектов Российской Федерации с учетом достижения следующих результатов использования субсидии: (в ред. Постановлений Правительства РФ от 03.02.2018 N 101, от 25.12.2021 N 2489)

а) количество подготовленных управленческих кадров в рамках реализации Государственного плана по всем типам образовательных программ;

б) количество специалистов, завершивших обучение (в процентах к общему количеству специалистов, приступивших к обучению);

в) количество специалистов, сдавших итоговые аттестационные испытания на "хорошо" и "отлично" (в процентах к общему количеству специалистов, завершивших обучение).

12-13. Пункты утратили силу. (в ред. Постановления Правительства РФ от 03.02.2018 N 101)

14. Перечисление субсидий осуществляется в установленном порядке на единые счета бюджетов, открытые финансовым органам субъектов Российской Федерации в территориальных органах Федерального казначейства. (в ред. Постановления Правительства РФ от 25.12.2021 N 2489)

15. Пункт утратил силу. (в ред. Постановления Правительства РФ от 31.03.2017 N 392)

16. Абзац первый. - Утратил силу. (в ред. Постановления Правительства РФ от 31.03.2017 N 392)

Абзацы второй - третий. - Утратил силу. (в ред. Постановления Правительства РФ от 25.12.2021 N 2489)

17. Порядок и условия возврата средств из бюджета субъекта Российской Федерации в федеральный бюджет в случае нарушения субъектом Российской Федерации обязательств, предусмотренных соглашением, а также основания для освобождения субъекта Российской Федерации от применения мер финансовой ответственности установлены пунктами 16 - 18 и 20 Правил формирования, предоставления и распределения субсидий. (в ред. Постановления Правительства РФ от 25.12.2021 N 2489)

18. Пункт утратил силу. (в ред. Постановления Правительства РФ от 31.03.2017 N 392)

19. Исполнительный орган субъекта Российской Федерации несет ответственность за осуществление расходов бюджета соответствующего субъекта Российской Федерации, источником финансового обеспечения которых является субсидия, в соответствии с условиями ее предоставления. (в ред. Постановления Правительства РФ от 12.09.2022 N 1587)

20. Пункт утратил силу. (в ред. Постановления Правительства РФ от 31.03.2017 N 392)

21. Министерство экономического развития Российской Федерации утверждает примерную форму договора о финансовом обеспечении расходов, связанных с оплатой оказанных специалистам услуг по обучению в соответствии с Государственным планом, заключаемого исполнительным органом субъекта Российской Федерации и образовательной организацией. (в ред. Постановлений Правительства РФ от 31.03.2017 N 392, от 12.09.2022 N 1587)

22. Контроль за соблюдением субъектами Российской Федерации условий предоставления субсидий осуществляется Министерством экономического развития Российской Федерации и уполномоченными органами государственного финансового контроля. (в ред. Постановления Правительства РФ от 25.12.2021 N 2489)

23. Пункт утратил силу. (в ред. Постановления Правительства РФ от 03.02.2018 N 101)

24. Пункт утратил силу. (в ред. Постановления Правительства РФ от 25.12.2021 N 2489)

Приложение N 1
к Правилам предоставления субсидий
из федерального бюджета бюджетам
субъектов Российской Федерации
на софинансирование расходов,
связанных с оплатой оказанных
специалистам российскими образовательными
организациями услуг по обучению
в соответствии с Государственным планом
подготовки управленческих кадров
для организаций народного хозяйства
Российской Федерации
в 2018/19 - 2024/25 учебных годах

КОЭФФИЦИЕНТЫ РЕГИОНАЛЬНОЙ ДИФФЕРЕНЦИАЦИИ БАЗОВОЙ СТОИМОСТИ ОБУЧЕНИЯ В РОССИЙСКОЙ ОБРАЗОВАТЕЛЬНОЙ ОРГАНИЗАЦИИ В СООТВЕТСТВИИ С ГОСУДАРСТВЕННЫМ ПЛАНОМ ПОДГОТОВКИ УПРАВЛЕНЧЕСКИХ КАДРОВ ДЛЯ ОРГАНИЗАЦИЙ НАРОДНОГО ХОЗЯЙСТВА РОССИЙСКОЙ ФЕДЕРАЦИИ В 2018/19 - 2024/25 УЧЕБНЫХ ГОДАХ

(в ред. Постановлений Правительства РФ от 15.08.2015 N 849, от 11.11.2015 N 1215, от 13.02.2019 N 148, от 23.12.2019 N 1768)

Коэффициент 0,9

Республика Адыгея, Республика Дагестан, Кабардино-Балкарская Республика, Республика Калмыкия, Карачаево-Черкесская Республика, Республика Мордовия, Республика Северная Осетия - Алания, Алтайский край, Тамбовская область

Коэффициент 0,95

Республика Ингушетия, Республика Марий Эл, Чувашская Республика, Ставропольский край, Брянская область, Воронежская область, Ивановская область, Кировская область, Курганская область, Курская область, Орловская область, Пензенская область, Псковская область, Саратовская область, Ульяновская область

Коэффициент 1

Республика Алтай, Республика Башкортостан, Удмуртская Республика, Чеченская Республика, Краснодарский край, Астраханская область, Белгородская область, Владимирская область, Волгоградская область, Калужская область, Костромская область, Нижегородская область, Оренбургская область, Ростовская область, Рязанская область, Смоленская область, Тульская область, Тверская область

Коэффициент 1,05

Республика Бурятия, Республика Карелия, Республика Татарстан, Республика Тыва, Республика Хакасия, Забайкальский край, Приморский край, Амурская область, Вологодская область, Иркутская область, Калининградская область, Кемеровская область, Ленинградская область, Липецкая область, Новгородская область, Новосибирская область, Омская область, Самарская область, Свердловская область, Томская область, Челябинская область, Ярославская область, Еврейская автономная область

Коэффициент 1,1

Республика Коми, Республика Саха (Якутия), Камчатский край, Красноярский край, Пермский край, Хабаровский край, Архангельская область, Магаданская область, Мурманская область, Сахалинская область, Тюменская область, Ненецкий автономный округ, Ханты-Мансийский автономный округ - Югра, Чукотский автономный округ, Ямало-Ненецкий автономный округ

Коэффициент 1,25

Город Санкт-Петербург

Коэффициент 1,4

Московская область, город Москва

Приложение N 2
к Правилам предоставления субсидий
из федерального бюджета бюджетам
субъектов Российской Федерации
на софинансирование расходов,
связанных с оплатой оказанных
специалистам российскими образовательными
организациями услуг по обучению
в соответствии с Государственным планом
подготовки управленческих кадров
для организаций народного хозяйства
Российской Федерации
в 2018/19 - 2024/25 учебных годах

КОЭФФИЦИЕНТ НАПОЛНЯЕМОСТИ УЧЕБНОЙ ГРУППЫ

(в ред. Постановлений Правительства РФ от 15.08.2015 N 849, от 13.02.2019 N 148, от 23.12.2019 N 1768)

Количество специалистов в группеЗначение коэффициента
15 и менее человек1,05
16 - 24 человека1
25 и более человек0,95

ПРИЛОЖЕНИЕ 3. - Утратило силу. (в ред. Постановления Правительства РФ от 28.12.2022 N 2464)

ПРИЛОЖЕНИЯ 8 - 9. - Утратили силу. (в ред. Постановления Правительства РФ от 11.02.2019 N 110)

Приложение N 10
к государственной программе
Российской Федерации "Экономическое
развитие и инновационная экономика"

ПРАВИЛА ПРЕДОСТАВЛЕНИЯ И РАСПРЕДЕЛЕНИЯ СУБСИДИЙ БЮДЖЕТАМ СУБЪЕКТОВ РОССИЙСКОЙ ФЕДЕРАЦИИ НА ГОСУДАРСТВЕННУЮ ПОДДЕРЖКУ МАЛОГО И СРЕДНЕГО ПРЕДПРИНИМАТЕЛЬСТВА, А ТАКЖЕ ФИЗИЧЕСКИХ ЛИЦ, ПРИМЕНЯЮЩИХ СПЕЦИАЛЬНЫЙ НАЛОГОВЫЙ РЕЖИМ "НАЛОГ НА ПРОФЕССИОНАЛЬНЫЙ ДОХОД", В СУБЪЕКТАХ РОССИЙСКОЙ ФЕДЕРАЦИИ

(в ред. Постановлений Правительства РФ от 11.02.2019 N 110, от 22.05.2019 N 638, от 07.10.2019 N 1284, от 08.05.2020 N 646, от 22.05.2020 N 736, от 29.09.2020 N 1563, от 01.10.2020 N 1572, от 15.12.2020 N 2105, от 25.12.2021 N 2489, от 12.09.2022 N 1587)

I. Общие положения

1. Настоящие Правила устанавливают цели, порядок и условия предоставления и распределения в 2019 - 2020 годах субсидий бюджетам субъектов Российской Федерации на государственную поддержку малого и среднего предпринимательства, а также физических лиц, применяющих специальный налоговый режим "Налог на профессиональный доход", в субъектах Российской Федерации в рамках государственной программы Российской Федерации "Экономическое развитие и инновационная экономика" (далее - субсидии). (в ред. Постановлений Правительства РФ от 29.09.2020 N 1563, от 15.12.2020 N 2105, от 25.12.2021 N 2489)

2. Субсидии предоставляются в целях софинансирования расходных обязательств субъектов Российской Федерации, в том числе субъектов Российской Федерации, включенных в определенный решением Председателя Правительства Российской Федерации перечень субъектов Российской Федерации, имеющих низкий уровень социально-экономического развития, а также Республики Дагестан и Забайкальского края (далее - субъекты Российской Федерации, имеющие низкий уровень социально-экономического развития), возникающих при реализации органами государственной власти субъектов Российской Федерации (органами местного самоуправления) полномочий по поддержке малого и среднего предпринимательства, а также физических лиц, применяющих специальный налоговый режим "Налог на профессиональный доход", в том числе по оказанию в 2020 году неотложных мер в условиях ухудшения ситуации в связи с распространением новой коронавирусной инфекции, при реализации региональных проектов, обеспечивающих достижение целей, показателей и результатов федеральных проектов, входящих в состав национального проекта "Малое и среднее предпринимательство и поддержка индивидуальной предпринимательской инициативы", предусмотренного Указом Президента Российской Федерации от 7 мая 2018 г. N 204 "О национальных целях и стратегических задачах развития Российской Федерации до 2024 года" (далее соответственно - региональный проект, федеральный проект, национальный проект). (в ред. Постановлений Правительства РФ от 07.10.2019 N 1284, от 08.05.2020 N 646, от 29.09.2020 N 1563)

3. Субсидии предоставляются в целях софинансирования расходных обязательств субъектов Российской Федерации при реализации:

а) федерального проекта "Расширение доступа субъектов малого и среднего предпринимательства к финансовым ресурсам, в том числе к льготному финансированию" по следующим направлениям:

создание и (или) развитие фондов содействия кредитованию (гарантийных фондов, фондов поручительств) (далее - региональные гарантийные организации);

создание и (или) развитие государственных микрофинансовых организаций;

б) федерального проекта "Акселерация субъектов малого и среднего предпринимательства" по следующим направлениям:

организация оказания комплекса услуг, сервисов и мер поддержки субъектам малого и среднего предпринимательства, а также физическим лицам, применяющим специальный налоговый режим "Налог на профессиональный доход", в центрах "Мой бизнес"; (в ред. Постановления Правительства РФ от 29.09.2020 N 1563)

реализация программы поддержки субъектов малого и среднего предпринимательства, а также физических лиц, применяющих специальный налоговый режим "Налог на профессиональный доход", в целях их ускоренного развития в моногородах; (в ред. Постановления Правительства РФ от 29.09.2020 N 1563)

обеспечение доступа субъектов малого и среднего предпринимательства к экспортной поддержке;

обеспечение льготного доступа субъектов малого и среднего предпринимательства к производственным площадям и помещениям в целях создания (развития) производственных и инновационных компаний;

предоставление субсидий на софинансирование капитальных вложений в объекты капитального строительства;

в) федерального проекта "Популяризация предпринимательства" по следующему направлению:

реализация комплексных программ по вовлечению в предпринимательскую деятельность и содействию созданию собственного бизнеса для каждой целевой группы, включая поддержку создания сообществ начинающих предпринимателей и развитие института наставничества.

3.1. В целях оказания в 2020 году неотложных мер по поддержке субъектов малого и среднего предпринимательства в условиях ухудшения ситуации в связи с распространением новой коронавирусной инфекции субсидии предоставляются в целях софинансирования расходных обязательств субъектов Российской Федерации по направлениям, указанным в абзацах втором и третьем подпункта "а" пункта 3 настоящих Правил. (в ред. Постановления Правительства РФ от 08.05.2020 N 646)

4. Понятия, используемые в настоящих Правилах, означают следующее:

"бизнес-инкубатор" - инфраструктура поддержки субъектов малого и среднего предпринимательства, созданная в форме организации в целях поддержки предпринимателей на ранней стадии их деятельности, осуществляющая такую поддержку путем предоставления в аренду помещений и оказания услуг, необходимых для ведения предпринимательской деятельности, в том числе консультационных, бухгалтерских и юридических услуг, а также проведения образовательных тренингов и семинаров;

"государственная микрофинансовая организация" - микрофинансовая организация, одним из учредителей (участников, акционеров) которой является субъект Российской Федерации, предоставляющая микрозаймы субъектам малого и среднего предпринимательства и отвечающая критериям, установленным в соответствии с Федеральным законом "О развитии малого и среднего предпринимательства в Российской Федерации";

"муниципальная микрофинансовая организация" - микрофинансовая организация, одним из учредителей (участников, акционеров) которой является муниципальное образование, предоставляющая микрозаймы субъектам малого и среднего предпринимательства и отвечающая критериям, установленным в соответствии с Федеральным законом "О развитии малого и среднего предпринимательства в Российской Федерации";

"промышленный (индустриальный) парк" - совокупность объектов промышленной инфраструктуры, включающая в себя объекты недвижимого имущества, полностью или частично находящиеся в собственности субъекта Российской Федерации и (или) муниципального образования и (или) частной собственности, в том числе земельные участки, административные, производственные, складские и иные помещения и объекты технической, транспортной и коммунальной инфраструктуры, обеспечивающие деятельность парка и предназначенные для предоставления условий для работы субъектов малого и среднего предпринимательства и осуществления промышленного производства и управляемые управляющей компанией - коммерческой или некоммерческой организацией, созданной в соответствии с законодательством Российской Федерации (далее - управляющая компания);

"агропромышленный парк" - промышленный (индустриальный) парк, который предназначен для размещения производства и переработки сельскохозяйственной продукции, сырья и продовольствия, а также оказания услуг по обслуживанию сельскохозяйственного производства, территории которого могут составлять земельные участки с видом разрешенного использования, предполагающим ведение сельскохозяйственного производства (сельскохозяйственной деятельности);

"технопарк" - совокупность объектов технологической инфраструктуры, включающая в себя объекты недвижимого имущества, полностью или частично находящиеся в собственности субъекта Российской Федерации и (или) муниципального образования и (или) частной собственности, в том числе земельные участки, офисные здания, лабораторные и производственные помещения, объекты инженерной, транспортной, жилой и социальной инфраструктуры, созданные для осуществления деятельности субъектов малого и среднего предпринимательства в сфере высоких технологий и управляемые управляющей компанией;

"промышленный технопарк" - технопарк, предназначенный для осуществления субъектами малого и среднего предпринимательства промышленного производства, и (или) научно-технической деятельности, и (или) инновационной деятельности в целях освоения промышленного производства промышленной продукции и коммерциализации научно-технических результатов и управляемый управляющей компанией;

"многофункциональный центр для бизнеса" - инфраструктура поддержки субъектов малого и среднего предпринимательства, созданная в форме организации по решению высшего исполнительного органа субъекта Российской Федерации на территории субъекта Российской Федерации, в том числе в рамках системы предоставления государственных и муниципальных услуг в многофункциональных центрах, в целях предоставления субъектам малого и среднего предпринимательства, а также гражданам, планирующим начать предпринимательскую деятельность, услуг и мер поддержки, необходимых для ведения предпринимательской и иной приносящей доход деятельности, в соответствии с соглашениями (договорами) с федеральными органами исполнительной власти, органами государственных внебюджетных фондов, исполнительными органами субъектов Российской Федерации, органами местного самоуправления, организациями, образующими инфраструктуру поддержки субъектов малого и среднего предпринимательства, акционерным обществом "Федеральная корпорация по развитию малого и среднего предпринимательства", организациями, обеспечивающими подключение к сетям водо-, газо-, тепло- и электроснабжения, некоммерческими организациями, выражающими интересы субъектов малого и среднего предпринимательства; (в ред. Постановления Правительства РФ от 12.09.2022 N 1587)

"требования к реализации мероприятий, направленных на достижение целей, показателей и результатов региональных проектов" - требования, установленные Министерством экономического развития Российской Федерации к реализации мероприятий, осуществляемых субъектами Российской Федерации, бюджетам которых предоставляются субсидии в целях достижения целей, показателей и результатов региональных проектов (далее - мероприятия), включающие основные направления расходования субсидии, ключевые показатели эффективности реализации мероприятий, в том числе требования к организациям, образующим инфраструктуру поддержки субъектов малого и среднего предпринимательства.

5. Государственная поддержка оказывается субъектам малого и среднего предпринимательства, которые соответствуют критериям, установленным Федеральным законом "О развитии малого и среднего предпринимательства в Российской Федерации" (за исключением субъектов малого и среднего предпринимательства, указанных в частях 3 и 4 статьи 14) и Федеральным законом "О крестьянском (фермерском) хозяйстве", а также физическим лицам, применяющим специальный налоговый режим "Налог на профессиональный доход" (за исключением поддержки, предусмотренной статьями 22, 24 и 24.1 Федерального закона "О развитии малого и среднего предпринимательства в Российской Федерации"). (в ред. Постановления Правительства РФ от 29.09.2020 N 1563)

При оказании в 2020 году неотложных мер по поддержке субъектов малого и среднего предпринимательства в условиях ухудшения ситуации в связи с распространением новой коронавирусной инфекции государственная поддержка оказывается субъектам малого и среднего предпринимательства, которые соответствуют критериям, установленным Федеральным законом "О развитии малого и среднего предпринимательства в Российской Федерации", и не относятся к субъектам малого и среднего предпринимательства, указанным в части 3 статьи 14 Федерального закона "О развитии малого и среднего предпринимательства в Российской Федерации", а также в части 4 указанной статьи, за исключением субъектов малого или среднего предпринимательства, основными видами деятельности которых являются: (в ред. Постановления Правительства РФ от 08.05.2020 N 646)

сельское хозяйство, включая производство сельскохозяйственной продукции, а также предоставление услуг в сельском хозяйстве, в том числе в целях обеспечения импортозамещения и развития несырьевого экспорта; (в ред. Постановления Правительства РФ от 08.05.2020 N 646)

обрабатывающее производство, в том числе производство пищевых продуктов, лекарственных средств, средств защиты и дезинфекции; (в ред. Постановления Правительства РФ от 08.05.2020 N 646)

туристская деятельность и деятельность в области туристской индустрии в целях развития внутреннего и въездного туризма; (в ред. Постановления Правительства РФ от 08.05.2020 N 646)

транспортировка и хранение; (в ред. Постановления Правительства РФ от 08.05.2020 N 646)

деятельность в области здравоохранения; (в ред. Постановления Правительства РФ от 08.05.2020 N 646)

деятельность гостиниц и предприятий общественного питания; (в ред. Постановления Правительства РФ от 08.05.2020 N 646)

деятельность профессиональная, научная и техническая; (в ред. Постановления Правительства РФ от 08.05.2020 N 646)

деятельность в сфере розничной и (или) оптовой торговли. (в ред. Постановления Правительства РФ от 08.05.2020 N 646)

6. Предоставление субсидий осуществляется в пределах лимитов бюджетных обязательств, доведенных в установленном порядке до Министерства экономического развития Российской Федерации как получателя средств федерального бюджета на предоставление субсидий на цели, указанные в пункте 2 настоящих Правил.

В приоритетном порядке осуществляется предоставление субсидий бюджетам субъектов Российской Федерации, имеющих низкий уровень социально-экономического развития. (в ред. Постановления Правительства РФ от 07.10.2019 N 1284)

7. В целях предоставления субсидий Министерство экономического развития Российской Федерации:

а) вносит на рассмотрение в проектный комитет по национальному проекту (далее - проектный комитет) предложения о согласовании изменений объемов софинансирования расходных обязательств субъектов Российской Федерации из федерального бюджета на реализацию мероприятий и проектов по созданию и (или) развитию промышленного (индустриального) парка, агропромышленного парка, технопарка или промышленного технопарка (далее - проект), сформированных на основании заявок субъектов Российской Федерации на получение субсидии;

б) определяет:

перечень документов и формы отчетов, подтверждающих целевое осуществление расходов бюджета субъекта Российской Федерации, в целях софинансирования которых предоставляется субсидия;

форму отчета об исполнении графика приобретения, установки и ввода в эксплуатацию оборудования и (или) программного обеспечения;

перечень и формы документов, а также сроки и порядок представления документов субъектом Российской Федерации в Министерство экономического развития Российской Федерации для рассмотрения (согласования) мероприятия;

формы, сроки и порядок представления документов, предусматривающих направления расходов (сметы), ключевые показатели эффективности реализации мероприятий и их фактическое исполнение;

в) осуществляет экспертизу комплектов документов, представляемых субъектами Российской Федерации, при этом может привлекать к работе экспертов из числа представителей федеральных органов исполнительной власти, независимых представителей общественных, деловых объединений и иных организаций (далее - экспертная группа);

г) формирует экспертную группу, утверждает ее состав и определяет порядок ее работы;

д) на основании предложений экспертной группы определяет количественную оценку затрат на реализацию мероприятий по созданию и (или) развитию объектов капитального строительства на год предоставления субсидии.

8. Проектный комитет принимает решение о согласовании изменений объемов софинансирования расходных обязательств субъектов Российской Федерации из федерального бюджета на реализацию мероприятий и проектов.

9. Субсидии предоставляются при соблюдении субъектами Российской Федерации следующих условий:

а) наличие государственной программы (подпрограммы) субъекта Российской Федерации, в которой региональный проект, соответствующий федеральному проекту, обособлен в виде отдельного структурного элемента, а также муниципальной программы (подпрограммы) в случае, если оказание финансовой поддержки ее реализации предусмотрено государственной программой (подпрограммой) субъекта Российской Федерации;

б) наличие в бюджете субъекта Российской Федерации бюджетных ассигнований на исполнение расходного обязательства субъекта Российской Федерации, софинансирование которого осуществляется из федерального бюджета, в объеме, необходимом для его исполнения, включающем размер планируемой субсидии;

в) заключение Министерством экономического развития Российской Федерации, до которого как до получателя средств федерального бюджета доведены лимиты бюджетных обязательств на предоставление субсидии, и высшим исполнительным органом субъекта Российской Федерации соглашения о предоставлении субсидии (далее - соглашение) в соответствии с пунктом 10 Правил формирования, предоставления и распределения субсидий из федерального бюджета бюджетам субъектов Российской Федерации, утвержденных постановлением Правительства Российской Федерации от 30 сентября 2014 г. N 999 "О формировании, предоставлении и распределении субсидий из федерального бюджета бюджетам субъектов Российской Федерации" (далее - Правила формирования, предоставления и распределения субсидий). (в ред. Постановления Правительства РФ от 12.09.2022 N 1587)

10. Критериями отбора субъектов Российской Федерации для предоставления субсидии является соответствие направлений, указанных в заявке субъекта Российской Федерации на получение субсидии, предусмотренной приложением к настоящим Правилам (далее - заявка), направлениям, указанным в пункте 3 настоящих Правил, а также наличие юридического лица, наделенного функциями единого органа управления организациями, образующими инфраструктуру поддержки субъектов малого и среднего предпринимательства (далее - организации инфраструктуры поддержки субъектов малого и среднего предпринимательства), и иными организациями поддержки субъектов малого и среднего предпринимательства. Требования к единому органу управления организациями инфраструктуры поддержки субъектов малого и среднего предпринимательства устанавливаются Министерством экономического развития Российской Федерации.

Абзац второй - Утратил силу. (в ред. Постановления Правительства РФ от 22.05.2020 N 736)

11. Общий размер субсидий, предоставляемых бюджетам субъектов Российской Федерации (С), определяется по формуле: (в ред. Постановления Правительства РФ от 07.10.2019 N 1284)

, (в ред. Постановления Правительства РФ от 07.10.2019 N 1284)

где:

- размер субсидии, распределяемой между субъектами Российской Федерации, имеющими низкий уровень социально-экономического развития (), и остальными субъектами Российской Федерации в очередном финансовом году в целях софинансирования расходных обязательств субъектов Российской Федерации по направлению, указанному в абзаце втором подпункта "а" пункта 3 настоящих Правил; (в ред. Постановления Правительства РФ от 07.10.2019 N 1284)

- размер субсидии, распределяемой между субъектами Российской Федерации, имеющими низкий уровень социально-экономического развития (), и остальными субъектами Российской Федерации в очередном финансовом году в целях софинансирования расходных обязательств субъектов Российской Федерации по направлению, указанному в абзаце третьем подпункта "а" пункта 3 настоящих Правил; (в ред. Постановления Правительства РФ от 07.10.2019 N 1284)

- размер субсидии, распределяемой между субъектами Российской Федерации, имеющими низкий уровень социально-экономического развития (), и остальными субъектами Российской Федерации в очередном финансовом году в целях софинансирования расходных обязательств субъектов Российской Федерации по направлению, указанному в абзаце втором подпункта "б" пункта 3 настоящих Правил; (в ред. Постановления Правительства РФ от 07.10.2019 N 1284)

- размер субсидии, распределяемой между субъектами Российской Федерации, имеющими низкий уровень социально-экономического развития (), и остальными субъектами Российской Федерации в очередном финансовом году в целях софинансирования расходных обязательств субъектов Российской Федерации по направлению, указанному в абзаце третьем подпункта "б" пункта 3 настоящих Правил; (в ред. Постановления Правительства РФ от 07.10.2019 N 1284)

- размер субсидии, распределяемой между субъектами Российской Федерации, имеющими низкий уровень социально-экономического развития (), и остальными субъектами Российской Федерации в очередном финансовом году в целях софинансирования расходных обязательств субъектов Российской Федерации по направлению, указанному в абзаце четвертом подпункта "б" пункта 3 настоящих Правил; (в ред. Постановления Правительства РФ от 07.10.2019 N 1284)

- размер субсидии, распределяемой между субъектами Российской Федерации, имеющими низкий уровень социально-экономического развития (), и остальными субъектами Российской Федерации в очередном финансовом году в целях софинансирования расходных обязательств субъектов Российской Федерации по направлению, указанному в абзаце пятом подпункта "б" пункта 3 настоящих Правил; (в ред. Постановления Правительства РФ от 07.10.2019 N 1284)

- размер субсидии, распределяемой между субъектами Российской Федерации, имеющими низкий уровень социально-экономического развития (), и остальными субъектами Российской Федерации в очередном финансовом году в целях софинансирования расходных обязательств субъектов Российской Федерации по направлению, указанному в абзаце шестом подпункта "б" пункта 3 настоящих Правил; (в ред. Постановления Правительства РФ от 07.10.2019 N 1284)

- размер субсидии, распределяемой между субъектами Российской Федерации, имеющими низкий уровень социально-экономического развития (), и остальными субъектами Российской Федерации в очередном финансовом году в целях софинансирования расходных обязательств субъектов Российской Федерации по направлению, указанному в абзаце втором подпункта "в" пункта 3 настоящих Правил. (в ред. Постановления Правительства РФ от 07.10.2019 N 1284)

12. Расчетный размер субсидии, предоставляемой бюджету i-го субъекта Российской Федерации в очередном финансовом году (), определяется по формуле:

,

где:

- расчетный размер субсидии, предоставляемой бюджету i-го субъекта Российской Федерации в очередном финансовом году в целях софинансирования расходных обязательств субъектов Российской Федерации по направлению, указанному в абзаце втором подпункта "а" пункта 3 настоящих Правил;

- расчетный размер субсидии, предоставляемой бюджету i-го субъекта Российской Федерации в очередном финансовом году в целях софинансирования расходных обязательств субъектов Российской Федерации по направлению, указанному в абзаце третьем подпункта "а" пункта 3 настоящих Правил;

- расчетный размер субсидии, предоставляемой бюджету i-го субъекта Российской Федерации в очередном финансовом году в целях софинансирования расходных обязательств субъектов Российской Федерации по направлению, указанному в абзаце втором подпункта "б" пункта 3 настоящих Правил;

- расчетный размер субсидии, предоставляемой бюджету i-го субъекта Российской Федерации в очередном финансовом году в целях софинансирования расходных обязательств субъектов Российской Федерации по направлению, указанному в абзаце третьем подпункта "б" пункта 3 настоящих Правил;

- расчетный размер субсидии, предоставляемой бюджету i-го субъекта Российской Федерации в очередном финансовом году в целях софинансирования расходных обязательств субъектов Российской Федерации по направлению, указанному в абзаце четвертом подпункта "б" пункта 3 настоящих Правил;

- расчетный размер субсидии, предоставляемой бюджету i-го субъекта Российской Федерации в очередном финансовом году в целях софинансирования расходных обязательств субъектов Российской Федерации по направлению, указанному в абзаце пятом подпункта "б" пункта 3 настоящих Правил;

- расчетный размер субсидии, предоставляемой бюджету i-го субъекта Российской Федерации в очередном финансовом году в целях софинансирования расходных обязательств субъектов Российской Федерации по направлению, указанному в абзаце шестом подпункта "б" пункта 3 настоящих Правил;

- расчетный размер субсидии, предоставляемой бюджету i-го субъекта Российской Федерации в очередном финансовом году в целях софинансирования расходных обязательств субъектов Российской Федерации по направлению, указанному в абзаце втором подпункта "в" пункта 3 настоящих Правил.

12.1. Расчетный размер субсидии, предоставляемой бюджету i-го субъекта Российской Федерации, имеющего низкий уровень социально-экономического развития, в очередном финансовом году () определяется по формуле: (в ред. Постановления Правительства РФ от 07.10.2019 N 1284)

, (в ред. Постановления Правительства РФ от 07.10.2019 N 1284)

где:

- расчетный размер субсидии, предоставляемой бюджету i-го субъекта Российской Федерации, имеющего низкий уровень социально-экономического развития, в очередном финансовом году в целях софинансирования расходных обязательств субъекта Российской Федерации по направлению, указанному в абзаце втором подпункта "а" пункта 3 настоящих Правил; (в ред. Постановления Правительства РФ от 07.10.2019 N 1284)

- расчетный размер субсидии, предоставляемой бюджету i-го субъекта Российской Федерации, имеющего низкий уровень социально-экономического развития, в очередном финансовом году в целях софинансирования расходных обязательств субъекта Российской Федерации по направлению, указанному в абзаце третьем подпункта "а" пункта 3 настоящих Правил; (в ред. Постановления Правительства РФ от 07.10.2019 N 1284)

- расчетный размер субсидии, предоставляемой бюджету i-го субъекта Российской Федерации, имеющего низкий уровень социально-экономического развития, в очередном финансовом году в целях софинансирования расходных обязательств субъекта Российской Федерации по направлению, указанному в абзаце втором подпункта "б" пункта 3 настоящих Правил; (в ред. Постановления Правительства РФ от 07.10.2019 N 1284)

- расчетный размер субсидии, предоставляемой бюджету i-го субъекта Российской Федерации, имеющего низкий уровень социально-экономического развития, в очередном финансовом году в целях софинансирования расходных обязательств субъекта Российской Федерации по направлению, указанному в абзаце третьем подпункта "б" пункта 3 настоящих Правил; (в ред. Постановления Правительства РФ от 07.10.2019 N 1284)

- расчетный размер субсидии, предоставляемой бюджету i-го субъекта Российской Федерации, имеющего низкий уровень социально-экономического развития, в очередном финансовом году в целях софинансирования расходных обязательств субъекта Российской Федерации по направлению, указанному в абзаце четвертом подпункта "б" пункта 3 настоящих Правил; (в ред. Постановления Правительства РФ от 07.10.2019 N 1284)

- расчетный размер субсидии, предоставляемой бюджету i-го субъекта Российской Федерации, имеющего низкий уровень социально-экономического развития, в очередном финансовом году в целях софинансирования расходных обязательств субъекта Российской Федерации по направлению, указанному в абзаце пятом подпункта "б" пункта 3 настоящих Правил; (в ред. Постановления Правительства РФ от 07.10.2019 N 1284)

- расчетный размер субсидии, предоставляемой бюджету i-го субъекта Российской Федерации, имеющего низкий уровень социально-экономического развития, в очередном финансовом году в целях софинансирования расходных обязательств субъекта Российской Федерации по направлению, указанному в абзаце шестом подпункта "б" пункта 3 настоящих Правил; (в ред. Постановления Правительства РФ от 07.10.2019 N 1284)

- расчетный размер субсидии, предоставляемой бюджету i-го субъекта Российской Федерации, имеющего низкий уровень социально-экономического развития, в очередном финансовом году в целях софинансирования расходных обязательств субъекта Российской Федерации по направлению, указанному в абзаце втором подпункта "в" пункта 3 настоящих Правил. (в ред. Постановления Правительства РФ от 07.10.2019 N 1284)

13. Расчетный размер субсидии, предоставляемой бюджету i-го субъекта Российской Федерации в очередном финансовом году в целях софинансирования расходных обязательств субъекта Российской Федерации по направлению, указанному в абзаце втором подпункта "а" пункта 3 настоящих Правил (), определяется по формуле: (в ред. Постановления Правительства РФ от 01.10.2020 N 1572)

, (в ред. Постановления Правительства РФ от 01.10.2020 N 1572)

где: (в ред. Постановления Правительства РФ от 01.10.2020 N 1572)

- расчетный размер субсидии, необходимый для докапитализации региональных гарантийных организаций с гарантийным капиталом по состоянию на 1 января года, предшествующего году предоставления субсидии, менее 300 млн. рублей (расчет размера субсидии в отношении докапитализации региональных гарантийных организаций субъектов Российской Федерации, имеющих низкий уровень социально-экономического развития и участвующих в расчете (), не производится), определяется по формуле: (в ред. Постановления Правительства РФ от 01.10.2020 N 1572)

, (в ред. Постановления Правительства РФ от 01.10.2020 N 1572)

где: (в ред. Постановления Правительства РФ от 01.10.2020 N 1572)

n - совокупность всех действующих региональных гарантийных организаций субъектов Российской Федерации по состоянию на 1 января года, предшествующего году предоставления субсидии; (в ред. Постановления Правительства РФ от 01.10.2020 N 1572)

- расчетный размер субсидии, необходимый для декапитализации региональных гарантийных организаций с гарантийным капиталом по состоянию на 1 января года, предшествующего году предоставления субсидии, менее 300 млн. рублей i-го субъекта Российской Федерации, определяется по формуле: (в ред. Постановления Правительства РФ от 01.10.2020 N 1572)

, (в ред. Постановления Правительства РФ от 01.10.2020 N 1572)

где: (в ред. Постановления Правительства РФ от 01.10.2020 N 1572)

- размер гарантийного капитала региональной гарантийной организации в i-м субъекте Российской Федерации на 1 января года, предшествующего году предоставления субсидии, устанавливаемый на уровне стоимости чистых активов региональной гарантийной организации по данным бухгалтерской (финансовой) отчетности региональной гарантийной организации, и определяемый как разность между величиной принимаемых к расчету активов и величиной принимаемых к расчету обязательств с учетом необходимости обеспечения ведения самостоятельного учета средств целевого финансирования, предоставленных из бюджетов бюджетной системы Российской Федерации по деятельности, связанной с предоставлением поручительств и (или) независимых гарантий, и утверждаемый высшим или иным уполномоченным органом управления региональной гарантийной организации; (в ред. Постановления Правительства РФ от 01.10.2020 N 1572)

- коэффициент, зависящий от ранга эффективности и (или) ранга финансовой устойчивости, присваиваемый акционерным обществом "Федеральная корпорация по развитию малого и среднего предпринимательства" в порядке, установленном в соответствии с частью 9 статьи 15.2 Федерального закона "О развитии малого и среднего предпринимательства в Российской Федерации" федеральным органом исполнительной власти, осуществляющим функции по выработке государственной политики и нормативно-правовому регулированию в сфере развития предпринимательской деятельности, в том числе среднего и малого бизнеса, на 1 января года, предшествующего году предоставления субсидии, равный: (в ред. Постановления Правительства РФ от 01.10.2020 N 1572)

0 - если ранг эффективности региональной гарантийной организации соответствует ранговой категории эффективности, согласно которой гарантийная и операционная деятельность региональной гарантийной организации признается неэффективной, и (или) ранг финансовой устойчивости соответствует ранговой категории финансовой устойчивости низкого уровня; (в ред. Постановления Правительства РФ от 01.10.2020 N 1572)

1 - во всех иных случаях; (в ред. Постановления Правительства РФ от 01.10.2020 N 1572)

- коэффициент мультипликатора, равный: (в ред. Постановления Правительства РФ от 01.10.2020 N 1572)

1 - в случае, если равен или превышает 0,8; (в ред. Постановления Правительства РФ от 01.10.2020 N 1572)

0 - в случае, если менее 0,8; (в ред. Постановления Правительства РФ от 01.10.2020 N 1572)

где - отношение действующего портфеля поручительств к размеру гарантийного капитала региональной гарантийной организации () в i-м субъекте Российской Федерации на 1 января года, предшествующего году предоставления субсидии. (в ред. Постановления Правительства РФ от 01.10.2020 N 1572)

При этом расчет осуществляется только в отношении региональной гарантийной организации менее 300 млн. рублей. (в ред. Постановления Правительства РФ от 01.10.2020 N 1572)

В случае если меньше или равно 0, расчетный размер субсидии, предоставляемой бюджету i-го субъекта Российской Федерации в очередном финансовом году в целях софинансирования расходных обязательств субъекта Российской Федерации, определяется по формуле, предусмотренной в абзаце втором пункта 13 настоящих Правил; (в ред. Постановления Правительства РФ от 01.10.2020 N 1572)

n - общее количество субъектов Российской Федерации, отобранных для предоставления субсидий; (в ред. Постановления Правительства РФ от 01.10.2020 N 1572)

- предельный уровень софинансирования расходных обязательств субъекта Российской Федерации, установленный в соответствии с положениями Правил формирования, предоставления и распределения субсидий; (в ред. Постановления Правительства РФ от 01.10.2020 N 1572)

- коэффициент, зависящий от ранга эффективности и (или) ранга финансовой устойчивости, присваиваемого акционерным обществом "Федеральная корпорация по развитию малого и среднего предпринимательства" в порядке, установленном в соответствии с частью 9 статьи 15.2 Федерального закона "О развитии малого и среднего предпринимательства в Российской Федерации" федеральным органом исполнительной власти, осуществляющим функции по выработке государственной политики и нормативно-правовому регулированию в сфере развития предпринимательской деятельности, в том числе среднего и малого бизнеса, на 1 января года, предшествующего году предоставления субсидии, равный: (в ред. Постановления Правительства РФ от 01.10.2020 N 1572)

0 - если ранг эффективности региональной гарантийной организации соответствует ранговой категории эффективности, согласно которой гарантийная и операционная деятельность региональной гарантийной организации признается неэффективной, и (или) ранг финансовой устойчивости соответствует ранговой категории финансовой устойчивости низкого уровня; (в ред. Постановления Правительства РФ от 01.10.2020 N 1572)

0,5 - если ранг эффективности региональной гарантийной организации соответствует ранговой категории эффективности, согласно которой гарантийная и операционная эффективность региональной гарантийной организации признается на низком уровне, и ранг финансовой устойчивости соответствует ранговой категории финансовой устойчивости относительно низкого уровня, среднего уровня, относительно высокого уровня или максимально высокого уровня; (в ред. Постановления Правительства РФ от 01.10.2020 N 1572)

1 - если ранг эффективности региональной гарантийной организации соответствует ранговой категории эффективности, согласно которой гарантийная и операционная деятельность региональной гарантийной организации признается эффективной, и ранг финансовой устойчивости соответствует ранговой категории финансовой устойчивости относительно низкого уровня, среднего уровня, относительно высокого уровня или максимально высокого уровня; (в ред. Постановления Правительства РФ от 01.10.2020 N 1572)

2 - если ранг эффективности региональной гарантийной организации соответствует ранговой категории эффективности, согласно которой гарантийная и операционная деятельность региональной гарантийной организации признается максимально эффективной, и ранг финансовой устойчивости соответствует ранговой категории финансовой устойчивости низкого уровня, среднего уровня, относительно высокого уровня или максимально высокого уровня; (в ред. Постановления Правительства РФ от 01.10.2020 N 1572)

- коэффициент проникновения, характеризующий степень обеспеченности гарантийной поддержкой региональной гарантийной организации i-го субъекта Российской Федерации кредитного портфеля субъектов малого и среднего предпринимательства, а также физических лиц, применяющих специальный налоговый режим "Налог на профессиональный доход", в i-м субъекте Российской Федерации, равный: (в ред. Постановления Правительства РФ от 01.10.2020 N 1572)

1 - в случае, если отношение портфеля поручительств региональной гарантийной организации по обязательствам субъектов малого и среднего предпринимательства, а также физических лиц, применяющих специальный налоговый режим "Налог на профессиональный доход", в i-м субъекте Российской Федерации к кредитному портфелю субъектов малого и среднего предпринимательства, а также физических лиц, применяющих специальный налоговый режим "Налог на профессиональный доход", в i-м субъекте Российской Федерации (по данным Центрального банка Российской Федерации) больше или равно медианному значению, рассчитанному по всем региональным гарантийным организациям на 1 января года, предшествующего году предоставления субсидии; (в ред. Постановления Правительства РФ от 01.10.2020 N 1572)

1,3 - в случае, если отношение портфеля поручительств региональной гарантийной организации по обязательствам субъектов малого и среднего предпринимательства, а также физических лиц, применяющих специальный налоговый режим "Налог на профессиональный доход", в i-м субъекте Российской Федерации к кредитному портфелю субъектов малого и среднего предпринимательства, а также физических лиц, применяющих специальный налоговый режим "Налог на профессиональный доход", в i-м субъекте Российской Федерации (по данным Центрального банка Российской Федерации) менее медианного значения, рассчитанного по всем региональным гарантийным организациям на 1 января года, предшествующего году предоставления субсидии. (в ред. Постановления Правительства РФ от 01.10.2020 N 1572)

В целях применения настоящих Правил под медианным значением понимается значение показателя, которое делит совокупность региональных гарантийных организаций пополам. Половина региональных гарантийных организаций имеет значение показателя ниже медианы, другая половина - выше медианы. (в ред. Постановления Правительства РФ от 01.10.2020 N 1572)

При этом медианное значение () определяется по формуле: (в ред. Постановления Правительства РФ от 01.10.2020 N 1572)

(в ред. Постановления Правительства РФ от 01.10.2020 N 1572)

где: (в ред. Постановления Правительства РФ от 01.10.2020 N 1572)

- нижняя граница медианного интервала (первого интервала, накопленная частота которого больше или равна половине суммы всех частот); (в ред. Постановления Правительства РФ от 01.10.2020 N 1572)

- величина медианного интервала (первого интервала, накопленная частота которого больше или равна половине суммы всех частот); (в ред. Постановления Правительства РФ от 01.10.2020 N 1572)

k - общее количество интервалов вариационного ряда; (в ред. Постановления Правительства РФ от 01.10.2020 N 1572)

- частота i-го интервала; (в ред. Постановления Правительства РФ от 01.10.2020 N 1572)

- сумма накопленных частот в интервале, предшествующем медианному интервалу; (в ред. Постановления Правительства РФ от 01.10.2020 N 1572)

- частота медианного интервала. (в ред. Постановления Правительства РФ от 01.10.2020 N 1572)

14. Субсидия не может предоставляться бюджету субъекта Российской Федерации в очередном финансовом году в целях софинансирования расходных обязательств субъекта Российской Федерации в случае нарушения установленного в соответствии с законодательством Российской Федерации порядка инвестирования и (или) размещения временно свободных денежных средств региональной гарантийной организации по состоянию на 1 января года, предшествующего году предоставления субсидии. (в ред. Постановления Правительства РФ от 01.10.2020 N 1572)

15. При расчете размера субсидии используется информация, представленная региональными гарантийными организациями в соответствии с постановлением Правительства Российской Федерации от 23 декабря 2015 г. N 1410 "О порядке проведения акционерным обществом "Федеральная корпорация по развитию малого и среднего предпринимательства" мониторинга оказания федеральными органами исполнительной власти, исполнительными органами субъектов Российской Федерации, органами местного самоуправления поддержки субъектам малого и среднего предпринимательства и организациям, образующим инфраструктуру поддержки субъектов малого и среднего предпринимательства, и мониторинга оказания организациями, образующими инфраструктуру поддержки субъектов малого и среднего предпринимательства, поддержки субъектам малого и среднего предпринимательства". (в ред. Постановления Правительства РФ от 12.09.2022 N 1587)

15.1. Расчетный размер субсидии, предоставляемой бюджету i-го субъекта Российской Федерации, имеющего низкий уровень социально-экономического развития, в очередном финансовом году в целях софинансирования расходных обязательств субъекта Российской Федерации по направлению, указанному в абзаце втором подпункта "а" пункта 3 настоящих Правил (), определяется по формуле: (в ред. Постановления Правительства РФ от 07.10.2019 N 1284)

, (в ред. Постановления Правительства РФ от 01.10.2020 N 1572)

- количественная оценка затрат бюджетных средств субъекта Российской Федерации, имеющего низкий уровень социально-экономического развития, в очередном финансовом году по направлению, указанному в абзаце втором подпункта "а" пункта 3 настоящих Правил;

- предельный уровень софинансирования расходных обязательств субъекта Российской Федерации, имеющего низкий уровень социально-экономического развития, установленный в соответствии с положениями Правил формирования, предоставления и распределения субсидий. (в ред. Постановления Правительства РФ от 07.10.2019 N 1284)

16. Субсидия в целях софинансирования расходных обязательств субъекта Российской Федерации по направлению, указанному в абзаце третьем подпункта "а" пункта 3 настоящих Правил (), за исключением субсидии, предоставляемой в целях оказания в 2020 году неотложных мер по поддержке субъектов малого и среднего предпринимательства в условиях ухудшения ситуации в связи с распространением новой коронавирусной инфекции, предоставляется бюджету i-го субъекта Российской Федерации в очередном финансовом году после прохождения трехступенчатого отбора в следующем порядке: (в ред. Постановления Правительства РФ от 08.05.2020 N 646)

а) субъект Российской Федерации проходит отбор, если средний размер предоставленного кредита на 1 субъект малого и среднего предпринимательства в субъекте Российской Федерации, определяемый как отношение объема кредитов, предоставленных субъектам малого и среднего предпринимательства, по данным Центрального банка Российской Федерации, к количеству субъектов малого и среднего предпринимательства, зарегистрированных в субъекте Российской Федерации, по данным Федеральной налоговой службы, меньше или равен расчетному среднероссийскому значению по состоянию на 1 января года, предшествующего году предоставления субсидии (расчет показателя до 2 знаков после запятой);

б) субъект Российской Федерации проходит отбор, если отношение объема кредитов, предоставленных субъектам малого и среднего предпринимательства, по данным Центрального банка Российской Федерации, к обороту субъектов малого и среднего предпринимательства в субъекте Российской Федерации, по данным Федеральной службы государственной статистики, меньше или равно расчетному среднероссийскому значению по состоянию на 1 января года, предшествующего году предоставления субсидии (расчет показателя до 2 знаков после запятой);

в) субъект Российской Федерации проходит отбор, если равен единице;

- коэффициент, характеризующий общую эффективность деятельности государственных и муниципальных микрофинансовых организаций в i-м субъекте Российской Федерации, определяется по формуле:

,

где:

- коэффициент эффективности размещения средств государственной (муниципальной) микрофинансовой организации в i-м субъекте Российской Федерации на 1 января года, предшествующего году предоставления субсидии, равный:

1 - если ЭРс 70 процентов или если государственная (муниципальная) микрофинансовая организация не создана;

0 - если ЭРс < 70 процентов, где ЭРс - эффективность размещения средств государственной (муниципальной) микрофинансовой организации в i-м субъекте Российской Федерации на 1 января года, предшествующего году предоставления субсидии, определяемая как отношение действующего портфеля микрозаймов к сумме средств, полученных на реализацию микрофинансовой программы;

- коэффициент операционной самоокупаемости государственной (муниципальной) микрофинансовой организации в i-м субъекте Российской Федерации на 1 января года, предшествующего году предоставления субсидии, равный:

1 - если Ос 100 процентов или если государственная (муниципальная) микрофинансовая организация не создана;

0 - если Ос < 100 процентов, где Ос - операционная самоокупаемость государственной (муниципальной) микрофинансовой организации в i-м субъекте Российской Федерации на 1 января года, предшествующего году предоставления субсидии, определяемая как отношение финансового дохода к расходам государственной (муниципальной) микрофинансовой организации.

17. При низкой эффективности деятельности государственных и муниципальных микрофинансовых организаций в i-м субъекте Российской Федерации, субъектам Российской Федерации, в которых действуют 2 и более государственных (муниципальных) микрофинансовых организаций, при условии эффективной деятельности государственной микрофинансовой организации и прохождения первых 2 ступеней отбора в соответствии с пунктом 16 настоящих Правил при определении расчетного размера субсидии выделяется 5 процентов размера субсидии, распределяемой между субъектами Российской Федерации в очередном финансовом году в целях софинансирования расходных обязательств субъектов Российской Федерации по направлению, указанному в абзаце третьем подпункта "а" пункта 3 настоящих Правил ().

18. К субъектам Российской Федерации, бюджетам которых ранее не предоставлялась субсидия из федерального бюджета в целях создания государственной микрофинансовой организации, не применяются критерии отбора, установленные в пункте 16 настоящих Правил, при этом размер субсидии для таких субъектов Российской Федерации увеличивается на 50 млн. рублей при условии, что расчетная сумма субсидии для них составляет менее 300 млн. рублей.

19. Расчетный размер субсидии, предоставляемой бюджету i-го субъекта Российской Федерации, прошедшего отбор, в очередном финансовом году в целях софинансирования расходных обязательств субъекта Российской Федерации по направлению, указанному в абзаце третьем подпункта "а" пункта 3 настоящих Правил (), определяется по формуле:

, (в ред. Постановления Правительства РФ от 07.10.2019 N 1284)

где:

- коэффициент количества субъектов малого и среднего предпринимательства в i-м субъекте Российской Федерации, который рассчитывается по формуле:

,

где:

- количество субъектов малого и среднего предпринимательства в i-м субъекте Российской Федерации на 1 января года, предшествующего году предоставления субсидии, по данным Федеральной налоговой службы;

H - количество субъектов малого и среднего предпринимательства в Российской Федерации на 1 января года, предшествующего году предоставления субсидии, по данным Федеральной налоговой службы;

- коэффициент миграционного прироста;

- коэффициент капитализации государственной микрофинансовой организации в i-м субъекте Российской Федерации на 1 января года, предшествующего году предоставления субсидии, равный:

2 - если К 300 млн. рублей или если государственная микрофинансовая организация не создана;

1 - если К > 300 млн. рублей, где К - капитализация государственной микрофинансовой организации в i-м субъекте Российской Федерации на 1 января года, предшествующего году предоставления субсидии.

19.1. Расчетный размер субсидии, предоставляемой бюджету i-го субъекта Российской Федерации, имеющего низкий уровень социально-экономического развития, в очередном финансовом году в целях софинансирования расходных обязательств субъекта Российской Федерации по направлению, указанному в абзаце третьем подпункта "а" пункта 3 настоящих Правил (), определяется по формуле: (в ред. Постановления Правительства РФ от 07.10.2019 N 1284)

, (в ред. Постановления Правительства РФ от 07.10.2019 N 1284)

где

- количественная оценка затрат бюджетных средств субъекта Российской Федерации, имеющего низкий уровень социально-экономического развития, в очередном финансовом году по направлению, указанному в абзаце третьем подпункта "а" пункта 3 настоящих Правил. (в ред. Постановления Правительства РФ от 07.10.2019 N 1284)

19.2. В целях оказания в 2020 году неотложных мер по поддержке субъектов малого и среднего предпринимательства в условиях ухудшения ситуации в связи с распространением новой коронавирусной инфекции расчетный размер субсидии, предоставляемой бюджету i-ro субъекта Российской Федерации в 2020 году в целях софинансирования расходных обязательств субъекта Российской Федерации по направлению, указанному в абзаце третьем подпункта "а" пункта 3 настоящих Правил () определяется по формуле: (в ред. Постановления Правительства РФ от 22.05.2020 N 736)

,

(в ред. Постановления Правительства РФ от 22.05.2020 N 736)

где:

- общий размер субсидии, распределяемой между субъектами Российской Федерации в 2020 году в целях софинансирования расходных обязательств субъекта Российской Федерации по направлению, указанному в абзаце третьем подпункта "а" пункта 3 настоящих Правил; (в ред. Постановления Правительства РФ от 22.05.2020 N 736)

- коэффициент, характеризующий количество субъектов малого и среднего предпринимательства в i-м субъекте Российской Федерации в расчете на 1000 человек населения; (в ред. Постановления Правительства РФ от 22.05.2020 N 736)

- коэффициент капитализации государственной микрофинансовой организации в i-м субъекте Российской Федерации на 1 апреля 2020 г., равный: (в ред. Постановления Правительства РФ от 22.05.2020 N 736)

1.5 - если 300 млн рублей; (в ред. Постановления Правительства РФ от 22.05.2020 N 736)

1 - если > 300 млн рублей, (в ред. Постановления Правительства РФ от 22.05.2020 N 736)

где - капитализация государственной микрофинансовой организации в i-м субъекте Российской Федерации на 1 апреля 2020 г.; (в ред. Постановления Правительства РФ от 22.05.2020 N 736)

- коэффициент, характеризующий наличие свободного капитала государственной микрофинансовой организации в i-м субъекте Российской Федерации на 1 апреля 2020 г., предназначенного для выдачи микрозаймов субъектам малого и среднего предпринимательства, равный: (в ред. Постановления Правительства РФ от 22.05.2020 N 736)

1.5 - если 30%; (в ред. Постановления Правительства РФ от 22.05.2020 N 736)

1 - если 30 % < 50%; (в ред. Постановления Правительства РФ от 22.05.2020 N 736)

0,5 - если > 50%, (в ред. Постановления Правительства РФ от 22.05.2020 N 736)

где - доля свободного капитала государственной микрофинансовой организации в i-м субъекте Российской Федерации на 1 апреля 2020 г., предназначенного для выдачи микрозаймов субъектам малого и среднего предпринимательства, в общей капитализации государственной микрофинансовой организации в i-м субъекте Российской Федерации на 1 апреля 2020 г. (в ред. Постановления Правительства РФ от 22.05.2020 N 736)

Коэффициент, характеризующий количество субъектов малого и среднего предпринимательства в i-м субъекте Российской Федерации в расчете на 1000 человек населения (), определяется по формуле: (в ред. Постановления Правительства РФ от 22.05.2020 N 736)

,

(в ред. Постановления Правительства РФ от 22.05.2020 N 736)

где:

- численность субъектов малого и среднего предпринимательства в i-м субъекте Российской Федерации на 1 января 2020 г., по данным Федеральной налоговой службы; (в ред. Постановления Правительства РФ от 22.05.2020 N 736)

- численность населения в i-м субъекте Российской Федерации на 1 января 2020 г., по данным Федеральной службы государственной статистики. (в ред. Постановления Правительства РФ от 22.05.2020 N 736)

Доля свободного капитала государственной микрофинансовой организации в i-м субъекте Российской Федерации на 1 апреля 2020 г., предназначенного для выдачи микрозаймов субъектам малого и среднего предпринимательства, в общей капитализации государственной микрофинансовой организации в i-м субъекте Российской Федерации на 1 апреля 2020 г. (), определяется по формуле: (в ред. Постановления Правительства РФ от 22.05.2020 N 736)

,

(в ред. Постановления Правительства РФ от 22.05.2020 N 736)

где - размер свободного капитала государственной микрофинансовой организации в i-м субъекте Российской Федерации на 1 апреля 2020 г., предназначенного для выдачи микрозаймов субъектам малого и среднего предпринимательства, определяемый как разность между капитализацией государственной микрофинансовой организации в i-м субъекте Российской Федерации на 1 апреля 2020 г. и действующим портфелем микрозаймов по состоянию на 1 апреля 2020 г. (в ред. Постановления Правительства РФ от 22.05.2020 N 736)

При расчете размера субсидии используется информация, представленная государственными микрофинансовыми организациями в соответствии с постановлением Правительства Российской Федерации от 23 декабря 2015 г. N 1410 "О порядке проведения акционерным обществом "Федеральная корпорация по развитию малого и среднего предпринимательства" мониторинга оказания федеральными органами исполнительной власти, исполнительными органами субъектов Российской Федерации, органами местного самоуправления поддержки субъектам малого и среднего предпринимательства и организациям, образующим инфраструктуру поддержки субъектов малого и среднего предпринимательства, и мониторинга оказания организациями, образующими инфраструктуру поддержки субъектов малого и среднего предпринимательства, поддержки субъектам малого и среднего предпринимательства". (в ред. Постановлений Правительства РФ от 22.05.2020 N 736, от 12.09.2022 N 1587)

В случае если субъект Российской Федерации, которому рассчитан размер субсидии по направлению, указанному в абзаце третьем подпункта "а" пункта 3 настоящих Правил, не представил заявку, или заявка не содержит указанного направления, в целях софинансирования которого бюджету субъекта Российской Федерации рассчитана субсидия, или указанная в заявке предполагаемая сумма субсидии по такому направлению меньше размера субсидии, рассчитанного в соответствии с настоящим пунктом, размер субсидии, предоставляемой бюджету субъекта Российской Федерации по соответствующему направлению, подлежит сокращению. (в ред. Постановления Правительства РФ от 22.05.2020 N 736)

Высвобождающиеся по направлению, указанному в абзаце третьем подпункта "а" пункта 3 настоящих Правил, средства субсидии перераспределяются между другими субъектами Российской Федерации, представившими заявки по такому направлению, в соответствии с формулой, указанной в абзаце втором настоящего пункта. (в ред. Постановления Правительства РФ от 22.05.2020 N 736)

20. Расчетный размер субсидии, предоставляемой бюджету i-го субъекта Российской Федерации в очередном финансовом году в целях софинансирования расходных обязательств субъекта Российской Федерации по направлению, указанному в абзаце втором подпункта "б" пункта 3 настоящих Правил (), определяется по формуле:

, (в ред. Постановления Правительства РФ от 07.10.2019 N 1284)

где - коэффициент, характеризующий количество субъектов малого и среднего предпринимательства в i-м субъекте Российской Федерации, количество человек в i-м субъекте Российской Федерации, не занятых в секторе малого и среднего предпринимательства, миграционные потоки в субъектах Российской Федерации и плотность населения в субъекте Российской Федерации, который определяется по формуле:

,

где:

- коэффициент, характеризующий численность населения старше 14 лет, не занятого в сфере малого и среднего предпринимательства в i-м субъекте Российской Федерации, который определяется по формуле:

,

где:

- численность населения старше 14 лет в i-м субъекте Российской Федерации на 1 января года, предшествующего году предоставления субсидии;

- численность населения, занятого в секторе малого и среднего предпринимательства (включая индивидуальных предпринимателей) в i-м субъекте Российской Федерации на 1 января года, предшествующего году предоставления субсидии;

- коэффициент, характеризующий количество субъектов малого и среднего предпринимательства в i-м субъекте Российской Федерации в расчете на 1000 человек населения, который определяется по формуле:

,

где:

- численность субъектов малого и среднего предпринимательства в i-м субъекте Российской Федерации на 1 января года, предшествующего году предоставления субсидии, по данным Федеральной налоговой службы;

- численность населения в i-м субъекте Российской Федерации на 1 января года, предшествующего году предоставления субсидии, по данным Федеральной службы государственной статистики;

- коэффициент, характеризующий миграционный прирост населения в i-м субъекте Российской Федерации, равный:

0,9 - в случае, если в i-м субъекте Российской Федерации наблюдается миграционная убыль населения;

1 - в случае, если в i-м субъекте Российской Федерации миграционный прирост населения не превышает среднероссийское значение;

1,1 - в случае, если в i-м субъекте Российской Федерации миграционный прирост населения превышает среднероссийское значение;

- коэффициент, характеризующий плотность населения в i-м субъекте Российской Федерации, равный:

1,1 - в случае, если плотность населения в i-м субъекте Российской Федерации не превышает среднероссийское значение (без учета значений гг. Москвы и Санкт-Петербурга);

1 - в случае, если плотность населения в i-м субъекте Российской Федерации больше среднероссийского значения (без учета значений гг. Москвы и Санкт-Петербурга), но не превышает значение средней плотности населения в регионах, в которых плотность населения выше среднероссийского уровня (без учета гг. Москвы и Санкт-Петербурга);

0,9 - в случае, если плотность населения в i-м субъекте Российской Федерации превышает значение средней плотности населения в регионах, в которых плотность населения выше среднероссийского уровня (без учета гг. Москвы и Санкт-Петербурга).

20.1. Расчетный размер субсидии, предоставляемой бюджету i-го субъекта Российской Федерации, имеющего низкий уровень социально-экономического развития, в очередном финансовом году в целях софинансирования расходных обязательств субъекта Российской Федерации по направлению, указанному в абзаце втором подпункта "б" пункта 3 настоящих Правил (), определяется по формуле: (в ред. Постановления Правительства РФ от 07.10.2019 N 1284)

, (в ред. Постановления Правительства РФ от 07.10.2019 N 1284)

где

- количественная оценка затрат бюджетных средств субъекта Российской Федерации, имеющего низкий уровень социально-экономического развития, в очередном финансовом году по направлению, указанному в абзаце втором подпункта "б" пункта 3 настоящих Правил. (в ред. Постановления Правительства РФ от 07.10.2019 N 1284)

21. Расчетный размер субсидии, предоставляемой бюджету i-го субъекта Российской Федерации в очередном финансовом году в целях софинансирования расходных обязательств субъекта Российской Федерации по направлению, указанному в абзаце третьем подпункта "б" пункта 3 настоящих Правил (), определяется по формуле:

, (в ред. Постановления Правительства РФ от 07.10.2019 N 1284)

где:

- коэффициент, характеризующий численность населения моногородов в i-м субъекте Российской Федерации, который определяется по формуле:

,

где:

- численность населения, проживающего в моногородах в i-м субъекте Российской Федерации на 1 января года, предшествующего году предоставления субсидии, по данным Федеральной службы государственной статистики.

21.1. Расчетный размер субсидии, предоставляемой бюджету i-го субъекта Российской Федерации, имеющего низкий уровень социально-экономического развития, в очередном финансовом году в целях софинансирования расходных обязательств субъекта Российской Федерации по направлению, указанному в абзаце третьем подпункта "б" пункта 3 настоящих Правил (C^i), определяется по формуле: (в ред. Постановления Правительства РФ от 07.10.2019 N 1284)

, (в ред. Постановления Правительства РФ от 07.10.2019 N 1284)

где

- количественная оценка затрат бюджетных средств субъекта Российской Федерации, имеющего низкий уровень социально-экономического развития, в очередном финансовом году по направлению, указанному в абзаце третьем подпункта "б" пункта 3 настоящих Правил. (в ред. Постановления Правительства РФ от 07.10.2019 N 1284)

22. Расчетный размер субсидии, предоставляемой бюджету i-го субъекта Российской Федерации в очередном финансовом году в целях софинансирования расходных обязательств субъекта Российской Федерации по направлению, указанному в абзаце четвертом подпункта "б" пункта 3 настоящих Правил (), определяется по формуле:

, (в ред. Постановления Правительства РФ от 07.10.2019 N 1284)

где:

- коэффициент, характеризующий наличие (отсутствие) центра поддержки экспорта в i-м субъекте Российской Федерации, равный: (в ред. Постановления Правительства РФ от 07.10.2019 N 1284)

1,5 - при отсутствии центра поддержки экспорта; (в ред. Постановления Правительства РФ от 07.10.2019 N 1284)

1 - при наличии центра поддержки экспорта; (в ред. Постановления Правительства РФ от 07.10.2019 N 1284)

- групповой коэффициент, характеризующий уровень экспортного развития и экспортного потенциала в i-м субъекте Российской Федерации на 1 января года, предшествующего году предоставления субсидии, равный:

5 - если 4,8;

4 - если 4 < 4,8;

3 - если 3 < 4;

2 - если 2 < 3;

1 - если < 2.

22.1. Расчетный размер субсидии, предоставляемой бюджету i-го субъекта Российской Федерации, имеющего низкий уровень социально-экономического развития, в очередном финансовом году в целях софинансирования расходных обязательств субъекта Российской Федерации по направлению, указанному в абзаце четвертом подпункта "б" пункта 3 настоящих Правил (), определяется по формуле: (в ред. Постановления Правительства РФ от 07.10.2019 N 1284)

, (в ред. Постановления Правительства РФ от 07.10.2019 N 1284)

где

- количественная оценка затрат бюджетных средств субъекта Российской Федерации, имеющего низкий уровень социально-экономического развития, в очередном финансовом году по направлению, указанному в абзаце четвертом подпункта "б" пункта 3 настоящих Правил. (в ред. Постановления Правительства РФ от 07.10.2019 N 1284)

23. Коэффициент, характеризующий количество субъектов малого и среднего предпринимательства, в том числе экспортеров, общий объем несырьевого экспорта, отраслевую и страновую диверсификацию в i-м субъекте Российской Федерации на 1 января года, предшествующего году предоставления субсидии (), определяется по формуле:

,

где:

- коэффициент, характеризующий общее количество зарегистрированных субъектов малого и среднего предпринимательства в i-м субъекте Российской Федерации, по данным Федеральной налоговой службы, равный:

5 - если в i-м субъекте Российской Федерации количество зарегистрированных субъектов малого и среднего предпринимательства 79 тыс. единиц;

4 - если в i-м субъекте Российской Федерации количество зарегистрированных субъектов малого и среднего предпринимательства 40 тыс. единиц;

3 - если в i-м субъекте Российской Федерации количество зарегистрированных субъектов малого и среднего предпринимательства 25 тыс. единиц;

2 - если в i-м субъекте Российской Федерации количество зарегистрированных субъектов малого и среднего предпринимательства 15 тыс. единиц;

1 - если в i-м субъекте Российской Федерации количество зарегистрированных субъектов малого и среднего предпринимательства < 15 тыс. единиц;

- коэффициент, характеризующий количество субъектов малого и среднего предпринимательства - экспортеров, по данным Федеральной таможенной службы, равный:

5 - если в i-м субъекте Российской Федерации количество субъектов малого и среднего предпринимательства - экспортеров 500 единиц;

4 - если в i-м субъекте Российской Федерации количество субъектов малого и среднего предпринимательства - экспортеров 300 единиц;

3 - если в i-м субъекте Российской Федерации количество субъектов малого и среднего предпринимательства - экспортеров 100 единиц;

2 - если в i-м субъекте Российской Федерации количество субъектов малого и среднего предпринимательства - экспортеров 30 единиц;

1 - если в i-м субъекте Российской Федерации количество субъектов малого и среднего предпринимательства - экспортеров < 30 единиц;

- коэффициент, характеризующий общий объем несырьевого экспорта субъекта Российской Федерации, по данным, опубликованным на официальном сайте акционерного общества "Российский экспортный центр" в информационно-телекоммуникационной сети "Интернет", равный:

5 - если в i-м субъекте Российской Федерации объем несырьевого экспорта 3 млрд. долларов США;

4 - если в i-м субъекте Российской Федерации объем несырьевого экспорта 0,8 млрд. долларов США;

3 - если в i-м субъекте Российской Федерации объем несырьевого экспорта 0,2 млрд. долларов США;

2 - если в i-м субъекте Российской Федерации объем несырьевого экспорта 0,03 млрд. долларов США;

1 - если в i-м субъекте Российской Федерации объем несырьевого экспорта < 0,03 млрд. долларов США;

- коэффициент, характеризующий отраслевую диверсификацию (количество товарных позиций до 4-го знака), по данным, опубликованным на официальном сайте акционерного общества "Российский экспортный центр" в информационно-телекоммуникационной сети "Интернет", равный:

5 - если в i-м субъекте Российской Федерации количество товарных позиций до 4-го знака 330 единиц;

4 - если в i-м субъекте Российской Федерации количество товарных позиций до 4-го знака 250 единиц;

3 - если в i-м субъекте Российской Федерации количество товарных позиций до 4-го знака 150 единиц;

2 - если в i-м субъекте Российской Федерации количество товарных позиций до 4-го знака 50 единиц;

1 - если в i-м субъекте Российской Федерации количество товарных позиций до 4-го знака < 50 единиц;

- коэффициент, характеризующий страновую диверсификацию (количество стран, в которые осуществляются экспортные поставки), по данным, опубликованным на официальном сайте акционерного общества "Российский экспортный центр" в информационно-телекоммуникационной сети "Интернет", равный:

5 - если в i-м субъекте Российской Федерации количество стран, в которые осуществляются экспортные поставки, 97 единиц;

4 - если в i-м субъекте Российской Федерации количество стран, в которые осуществляются экспортные поставки, 76 единиц;

3 - если в i-м субъекте Российской Федерации количество стран, в которые осуществляются экспортные поставки, 30 единиц;

2 - если в i-м субъекте Российской Федерации количество стран, в которые осуществляются экспортные поставки, 10 единиц;

1 - если в i-м субъекте Российской Федерации количество стран, в которые осуществляются экспортные поставки, < 10 единиц.

24. В рамках реализации направления, указанного в абзаце пятом подпункта "б" пункта 3 настоящих Правил, каждый субъект Российской Федерации может представить в Министерство экономического развития Российской Федерации в составе заявки несколько проектов, реализация которых рассчитана на 1 год (далее - однолетний проект) или на 2 года (далее - двухлетний проект). Для предоставления субсидии Министерством экономического развития Российской Федерации может быть отобрано не более 3 проектов каждого субъекта Российской Федерации. (в ред. Постановления Правительства РФ от 07.10.2019 N 1284)

При наличии на территории субъекта Российской Федерации более 5 действующих промышленных (индустриальных) парков, агропромышленных парков, технопарков или промышленных технопарков для предоставления субсидии Министерством экономического развития Российской Федерации может быть отобрано не более 5 проектов такого субъекта Российской Федерации за весь период реализации национального проекта. (в ред. Постановления Правительства РФ от 07.10.2019 N 1284)

Предметом отбора проектов является определение наиболее качественных и экономически обоснованных проектов, представленных субъектами Российской Федерации и прошедших предварительную оценку субъектом Российской Федерации на соответствие проекта условиям отбора и критериям оценки, установленным настоящими Правилами. (в ред. Постановления Правительства РФ от 07.10.2019 N 1284)

Критериями оценки проектов являются: (в ред. Постановления Правительства РФ от 07.10.2019 N 1284)

полнота и качество представленной обосновывающей документации, в том числе проектно-сметной документации; (в ред. Постановления Правительства РФ от 07.10.2019 N 1284)

уровень обеспеченности субъекта Российской Федерации действующими промышленными (индустриальными) парками, агропромышленными парками, технопарками или промышленными технопарками; (в ред. Постановления Правительства РФ от 07.10.2019 N 1284)

доля подтвержденного внебюджетного (частного) софинансирования в общей стоимости проекта, но не менее 20 процентов; (в ред. Постановления Правительства РФ от 07.10.2019 N 1284)

уровень заполненности площадей объекта потенциальными или действующими резидентами; (в ред. Постановления Правительства РФ от 07.10.2019 N 1284)

сроки завершения проекта; (в ред. Постановления Правительства РФ от 07.10.2019 N 1284)

степень влияния на показатели национального проекта; (в ред. Постановления Правительства РФ от 07.10.2019 N 1284)

реализация проекта на приоритетных территориях Российской Федерации: в субъектах Российской Федерации, входящих в Дальневосточный федеральный округ, Северо-Кавказский федеральный округ, Байкальский регион, Арктическую зону Российской Федерации, в Калининградской области, Республике Крым и г. Севастополе, а также на территориях монопрофильных муниципальных образований. (в ред. Постановления Правительства РФ от 07.10.2019 N 1284)

Субсидии не предоставляются субъектам Российской Федерации, имеющим незавершенные обязательства и (или) допустившим нарушения обязательств по реализации двухлетних проектов, финансирование которых осуществлялось в рамках соглашений в предшествующих годах. (в ред. Постановления Правительства РФ от 07.10.2019 N 1284)

25. Расчетный размер субсидии, предоставляемой бюджету i-го субъекта Российской Федерации в очередном финансовом году в целях софинансирования расходных обязательств субъекта Российской Федерации по направлению, указанному в абзаце пятом подпункта "б" пункта 3 настоящих Правил (), определяется по формуле:

,

где:

j - проект субъекта Российской Федерации;

g - количество проектов i-го субъекта Российской Федерации, отобранных для предоставления субсидии в очередном финансовом году;

- размер субсидии, предоставляемой бюджету i-го субъекта Российской Федерации в очередном финансовом году на реализацию проекта субъекта Российской Федерации, отобранному в соответствии с критериями отбора, установленными настоящими Правилами, который определяется по формуле:

,

где:

- количественная оценка затрат бюджетных средств на реализацию проекта;

T - срок реализации проекта.

Предельный размер субсидии из федерального бюджета на реализацию одного проекта не может превышать 500 млн. рублей при реализации двухлетнего проекта и 250 млн. рублей при реализации однолетнего проекта, при этом на проект, получивший поддержку, повторно субсидии не предоставляются.

При реализации двухлетнего проекта по состоянию на 1 октября года предоставления субсидии отклонение от графика выполнения мероприятий по проектированию и (или) строительству (реконструкции, в том числе с элементами реставрации, техническому перевооружению) объектов капитального строительства и (или) приобретению объектов недвижимого имущества должно составлять не более 40 процентов, если же такое отклонение составляет более 40 процентов, проектный комитет вправе принять решение о полном или частичном сокращении размера субсидии на второй год.

25.1 Расчетный размер субсидии, предоставляемой бюджету i-го субъекта Российской Федерации, имеющего низкий уровень социально-экономического развития, в очередном финансовом году в целях софинансирования расходных обязательств субъекта Российской Федерации по направлению, указанному в абзаце пятом подпункта "б" пункта 3 настоящих Правил () определяется по формуле, аналогичной указанной в пункте 25 настоящих Правил. (в ред. Постановления Правительства РФ от 07.10.2019 N 1284)

26. Высвободившиеся или не востребованные субъектом Российской Федерации средства субсидии на реализацию проектов перераспределяются проектным комитетом между следующими проектами, отобранными на очередной финансовый год в рамках направления, указанного в абзаце пятом подпункта "б" пункта 3 настоящих Правил.

В случае если при расчете распределения субсидий среди отобранных проектов субъектов Российской Федерации образуется остаток менее размера субсидии, рассчитанного для очередного проекта субъекта Российской Федерации, данный проект считается последним в перечне проектов, которому предоставляется субсидия в очередном финансовом году.

В случае если общая сумма бюджетных ассигнований федерального бюджета на предоставление субсидии в целях софинансирования отобранных проектов субъектов Российской Федерации меньше расчетного размера субсидии, предусмотренной для распределения по результатам отбора проектов, нераспределенный остаток общего объема субсидий распределяется между субъектами Российской Федерации на реализацию направления, указанного в абзаце втором подпункта "б" пункта 3 настоящих Правил.

27. Оценка проектов осуществляется по балльной системе в соответствии с критериями, указанными в настоящем пункте.

Итоговый балл по проекту () определяется по формуле:

,

где:

- итоговая экспертная оценка проекта по критерию "полнота и качество представленной субъектом Российской Федерации обосновывающей документации по проекту" определяется по формуле:

,

где:

- экспертная оценка проекта по полноте и качеству представленной субъектом Российской Федерации обосновывающей документации, в том числе предпроектной документации (пояснительная записка, бизнес-план, мастер-план, финансовый план), а также проектно-сметной документации, которая может принимать значения от 0 до 1 балла с шагом 0,1 балла;

- коэффициент наличия в составе представленной субъектом Российской Федерации обосновывающей документации проектно-сметной документации, равный:

0 - при отсутствии проектно-сметной документации в составе заявки, учитываемый при расчете размера субсидии на очередной год предоставления субсидии;

1 - при наличии проектно-сметной документации в составе заявки, учитываемый при расчете размера субсидии на очередной год предоставления субсидии или на годы планового периода предоставления субсидии;

- показатель, характеризующий оценку по критерию "обеспеченность i-го субъекта Российской Федерации действующими промышленными (индустриальными) парками, агропромышленными парками, технопарками или промышленными технопарками" на 1-е число месяца, предшествующего месяцу проведения отбора заявок (предварительных заявок), по данным государственной информационной системы промышленности, за исключением заявленного промышленного (индустриального) парка, агропромышленного парка, технопарка или промышленного технопарка, равный:

0 - при наличии на территории i-го субъекта Российской Федерации действующих промышленных (индустриальных) парков, агропромышленных парков, технопарков, промышленных технопарков, в зависимости от типа проекта суммарная площадь которых превышает среднероссийское значение площади промышленных (индустриальных) парков, агропромышленных парков, технопарков, промышленных технопарков;

0,5 - при наличии на территории i-го субъекта Российской Федерации действующих промышленных (индустриальных) парков, агропромышленных парков, технопарков, промышленных технопарков, в зависимости от типа проекта суммарная площадь которых не превышает среднероссийское значение площади промышленных (индустриальных) парков, агропромышленных парков, технопарков, промышленных технопарков;

1 - при отсутствии на территории i-го субъекта Российской Федерации действующих промышленных (индустриальных) парков, агропромышленных парков, технопарков, промышленных технопарков;

- показатель, характеризующий оценку по критерию "доля подтвержденного внебюджетного (частного) софинансирования проекта " в случае превышения минимально необходимого уровня софинансирования (более 20 процентов стоимости проекта), равный:

0 - при уровне внебюджетного (частного) софинансирования проекта от 20 до 25 процентов;

0,5 - при уровне внебюджетного (частного) софинансирования проекта от 25,1 до 40 процентов;

1 - при уровне внебюджетного (частного) софинансирования проекта свыше 40 процентов;

при участии в софинансировании проекта юридического лица, одним из учредителей (участников) или акционеров которых является субъект Российской Федерации (орган местного самоуправления), уровень внебюджетного (частного) софинансирования определяется только за счет доходов, полученных от коммерческой деятельности;

- показатель, характеризующий оценку по критерию "уровень заполненности площадей проекта по созданию и (или) развитию промышленного (индустриального) парка, агропромышленного парка, технопарка или промышленного технопарка действующими и (или) потенциальными резидентами", равный:

0 - при наличии соглашений (соглашений о намерениях) с резидентами об использовании такими резидентами не менее 15 процентов площадей территории промышленного (индустриального) парка, или агропромышленного парка, или технопарка, или промышленного технопарка;

0,5 - при наличии соглашений (соглашений о намерениях) с резидентами об использовании такими резидентами 15,1 - 30 процентов площадей территории промышленного (индустриального) парка, или агропромышленного парка, или технопарка, или промышленного технопарка;

1 - при наличии соглашений (соглашений о намерениях) с резидентами об использовании такими резидентами более чем 30,1 процента площадей территории промышленного (индустриального) парка, или агропромышленного парка, или технопарка, или промышленного технопарка;

- показатель, характеризующий оценку по критерию "срок завершения проекта", равный:

2 - при сроке завершения однолетнего проекта в году предоставления субсидии или в I квартале года, следующего за годом предоставления субсидии;

1,5 - при сроке завершения однолетнего проекта во II либо III квартале года, следующего за годом предоставления субсидии;

1 - при сроке завершения двухлетнего проекта в году, следующем за годом предоставления субсидии, или в I квартале года, следующего за вторым годом после года предоставления субсидии;

0,5 - при сроке завершения двухлетнего проекта во II либо III квартале года, следующего за вторым годом после года предоставления субсидии;

- показатель, характеризующий оценку по критерию "степень влияния проекта на показатели национального проекта", который определяется по формуле:

,

где:

- коэффициент, характеризующий оценку стоимости создаваемых при реализации проекта рабочих мест () на 1 рубль расчетного размера средств субсидии, равный:

0 - в случае, если значение коэффициента больше, чем среднероссийский показатель, рассчитанный по всем представленным проектам;

1 - в случае, если значение коэффициента равно либо меньше, чем среднероссийский показатель, рассчитанный по всем представленным проектам;

- коэффициент, характеризующий оценку валовой выручки резидентов (нарастающим итогом по состоянию на 2024 год), генерируемой при реализации проекта () на 1 рубль расчетного размера средств субсидии, равный:

0 - в случае, если значение коэффициента больше, чем среднероссийский показатель, рассчитанный по всем представленным проектам;

1 - в случае, если значение коэффициента равно либо меньше, чем среднероссийский показатель, рассчитанный по всем представленным проектам;

- показатель, характеризующий оценку по критерию "реализация проекта на приоритетных территориях Российской Федерации", равный:

1 - в случае, если проект реализуется на территориях субъектов Российской Федерации, входящих в Дальневосточный федеральный округ, Северо-Кавказский федеральный округ, Байкальский регион, Арктическую зону, в Калининградской области, Республике Крым и г. Севастополе, а также на территориях монопрофильных муниципальных образований;

0 - в случае, если проект реализуется на иных территориях субъектов Российской Федерации.

28. Министерство экономического развития Российской Федерации с учетом предложений экспертной группы ранжирует проекты в порядке убывания суммы баллов. Если в список отобранных проектов попадают одновременно 2 проекта, локализованные в пределах одной производственной площадки субъекта Российской Федерации (индустриального парка, созданного по стандартам Министерства промышленности и торговли Российской Федерации, территорий опережающего социально-экономического развития, территорий инновационных научно-технологических центров), приоритет отдается проекту, набравшему наибольшее количество баллов при оценке качества проекта, при этом второй проект такой производственной площадки исключается из списка. (в ред. Постановления Правительства РФ от 07.10.2019 N 1284)

Субсидии на реализацию проектов, локализованных на территориях субъектов Российской Федерации, имеющих низкий уровень социально-экономического развития, предоставляются в приоритетном порядке независимо от суммы баллов.

В случае равенства баллов среди прочих проектов приоритетными считаются проекты, реализуемые на приоритетных территориях Российской Федерации, указанных в пункте 24 настоящих Правил, а далее - с большим уровнем степени влияния проекта на показатели национального проекта. (в ред. Постановления Правительства РФ от 07.10.2019 N 1284)

29. Расчетный размер субсидии, предоставляемой бюджету i-го субъекта Российской Федерации в очередном финансовом году в целях софинансирования расходных обязательств субъекта Российской Федерации по направлению, указанному в абзаце шестом подпункта "б" пункта 3 настоящих Правил (), определяется в приоритетном порядке по объектам капитального строительства, финансирование которых осуществлялось в рамках соглашений в предшествующих годах и завершение создания и (или) развития которых планируется в году предоставления субсидии или в I квартале года, следующего за годом предоставления субсидии, по формуле:

, (в ред. Постановления Правительства РФ от 07.10.2019 N 1284)

где - количественная оценка затрат на реализацию мероприятия по созданию и (или) развитию объекта капитального строительства на год предоставления субсидии.

В случае наличия остатка средств по направлению, указанному в абзаце шестом подпункта "б" пункта 3 настоящих Правил, расчетный размер субсидии, предоставляемой бюджету i-го субъекта Российской Федерации в очередном финансовом году в целях софинансирования расходных обязательств субъекта Российской Федерации (), определяется по формуле:

,

где - коэффициент, характеризующий этап создания и (или) развития объекта капитального строительства, равный:

1 - при продолжении создания и (или) развития объектов капитального строительства, софинансирование которых осуществлялось в рамках соглашений в предшествующих годах;

0 - при создании и (или) развитии новых объектов капитального строительства.

29.1. Расчетный размер субсидии, предоставляемой бюджету i-го субъекта Российской Федерации, имеющего низкий уровень социально-экономического развития, в очередном финансовом году в целях софинансирования расходных обязательств субъекта Российской Федерации по направлению, указанному в абзаце шестом подпункта "б" пункта 3 настоящих Правил (), определяется по формуле: (в ред. Постановления Правительства РФ от 07.10.2019 N 1284)

, (в ред. Постановления Правительства РФ от 07.10.2019 N 1284)

где

- количественная оценка затрат бюджетных средств субъекта Российской Федерации, имеющего низкий уровень социально-экономического развития, в очередном финансовом году по направлению, указанному в абзаце шестом подпункта "б" пункта 3 настоящих Правил. (в ред. Постановления Правительства РФ от 07.10.2019 N 1284)

30. Расчетный размер субсидии, предоставляемой бюджету i-го субъекта Российской Федерации в очередном финансовом году в целях софинансирования расходных обязательств субъекта Российской Федерации по направлению, указанному в абзаце втором подпункта "в" пункта 3 настоящих Правил (), определяется по формуле:

, (в ред. Постановления Правительства РФ от 07.10.2019 N 1284)

где:

- доля населения старше 14 лет, не занятого в сфере малого и среднего предпринимательства, в i-м субъекте Российской Федерации в общей численности населения, не занятого в сфере малого и среднего предпринимательства в Российской Федерации;

- коэффициент, характеризующий плотность населения в i-м субъекте Российской Федерации, равный:

1 - если плотность населения от 7,5 человека на 1 кв. километр до 46,98 человека на 1 кв. километр (без учета гг. Москвы и Санкт-Петербурга);

0,9 - если плотность населения выше средней плотности населения в регионах, в которых плотность населения выше среднероссийского уровня (без учета гг. Москвы и Санкт-Петербурга);

- коэффициент миграционного прироста (убыли) населения i-го субъекта Российской Федерации, равный:

1 - если прирост (убыль) населения в i-м субъекте Российской Федерации не превышает среднероссийское значение;

1,1 - если прирост (убыль) населения в i-м субъекте Российской Федерации превышает среднероссийское значение.

30.1. Расчетный размер субсидии, предоставляемой бюджету i-го субъекта Российской Федерации, имеющего низкий уровень социально-экономического развития, в очередном финансовом году в целях софинансирования расходных обязательств субъекта Российской Федерации по направлению, указанному в абзаце втором подпункта "в" пункта 3 настоящих Правил (), определяется по формуле: (в ред. Постановления Правительства РФ от 07.10.2019 N 1284)

,

где

- количественная оценка затрат бюджетных средств субъекта Российской Федерации, имеющего низкий уровень социально-экономического развития, в очередном финансовом году по направлению, указанному в абзаце втором подпункта "в" пункта 3 настоящих Правил. (в ред. Постановления Правительства РФ от 07.10.2019 N 1284)

31. Извещение о приеме документов субъектов Российской Федерации, бюджетам которых предоставляются субсидии, размещается на официальном сайте Министерства экономического развития Российской Федерации в информационно-телекоммуникационной сети "Интернет" (далее - извещение о приеме документов) и содержит:

а) наименование и адрес Министерства экономического развития Российской Федерации;

б) адрес, дату, время начала и окончания приема документов субъектов Российской Федерации;

в) контактную информацию Министерства экономического развития Российской Федерации (телефоны, адреса электронной почты).

31.1. В целях предоставления субсидии на оказание в 2020 году неотложных мер по поддержке субъектов малого и среднего предпринимательства в условиях ухудшения ситуации в связи с распространением новой коронавирусной инфекции извещение о приеме документов не размещается. (в ред. Постановления Правительства РФ от 08.05.2020 N 646)

32. Для получения субсидии субъект Российской Федерации представляет в Министерство экономического развития Российской Федерации следующие документы, действительные в течение текущего финансового года:

а) заявка (в целях получения субсидии по направлению, указанному в абзацах пятом и шестом подпункта "б" пункта 3 настоящих Правил, субъект Российской Федерации представляет обязательство о вводе в эксплуатацию объекта капитального строительства в соответствии со сроком, установленным графиком выполнения мероприятий по проектированию и (или) строительству (реконструкции, в том числе с элементами реставрации, техническому перевооружению) объектов капитального строительства и (или) приобретению объектов недвижимого имущества, а также предварительную заявку на получение субсидии по форме, предусмотренной приложением к настоящим Правилам, в сроки, установленные Министерством экономического развития Российской Федерации);

б) документ об определении исполнительного органа субъекта Российской Федерации, уполномоченного высшим исполнительным органом субъекта Российской Федерации на взаимодействие с Министерством экономического развития Российской Федерации по реализации мероприятий государственной поддержки малого и среднего предпринимательства (далее - уполномоченный орган); (в ред. Постановления Правительства РФ от 12.09.2022 N 1587)

в) документ о наделении юридического лица функциями единого органа управления организациями инфраструктуры поддержки субъектов малого и среднего предпринимательства;

г) выписка из государственной программы (подпрограммы) субъекта Российской Федерации, в которой региональный проект, соответствующий федеральному проекту, обособлен в виде отдельного структурного элемента, а также из муниципальной программы (подпрограммы), если оказание финансовой поддержки ее реализации предусмотрено государственной программой (подпрограммой) субъекта Российской Федерации;

д) выписка из закона о бюджете субъекта Российской Федерации на текущий финансовый год и плановый период (сводной бюджетной росписи бюджета субъекта Российской Федерации), подтверждающая наличие в бюджете субъекта Российской Федерации бюджетных ассигнований на исполнение расходных обязательств субъекта Российской Федерации, в целях софинансирования которых предоставляется субсидия;

е) иные документы, предусмотренные пунктами 59 и 64 настоящих Правил.

32.1. Для получения субсидии в целях оказания в 2020 году неотложных мер по поддержке субъектов малого и среднего предпринимательства в условиях ухудшения ситуации в связи с распространением новой коронавирусной инфекции субъект Российской Федерации представляет в Министерство экономического развития Российской Федерации заявку. (в ред. Постановления Правительства РФ от 08.05.2020 N 646)

33. Документы, указанные в подпункте "а" пункта 32 настоящих Правил, заполняются уполномоченным органом в бумажном виде. (в ред. Постановления Правительства РФ от 29.09.2020 N 1563)

34. Документы, указанные в пункте 32 настоящих Правил, представляются субъектами Российской Федерации в сроки, указанные в извещении о приеме документов.

35. Распределение субсидий осуществляется между субъектами Российской Федерации, соответствующими условиям и критериям отбора субъектов Российской Федерации для предоставления субсидии, указанным в пунктах 9 и 10 настоящих Правил, в соответствии с бюджетным законодательством Российской Федерации.

Расчет распределения субсидий между субъектами Российской Федерации на плановый период осуществляется на основании значений показателей и данных, используемых при расчете субсидии на очередной финансовый год в соответствии с пунктами 13 - 30.1 настоящих Правил. (в ред. Постановления Правительства РФ от 07.10.2019 N 1284)

36. При распределении субсидий между субъектами Российской Федерации по инициативе субъекта Российской Федерации объем субсидии на реализацию одного из направлений, указанных в пункте 3 настоящих Правил, по согласованию с проектным комитетом может быть перераспределен на другое направление, за исключением субсидии на реализацию направления, указанного в абзаце пятом подпункта "б" пункта 3 настоящих Правил, а также за исключением субсидии, предоставляемой в целях оказания в 2020 году неотложных мер по поддержке субъектов малого и среднего предпринимательства в условиях ухудшения ситуации в связи с распространением новой коронавирусной инфекции. (в ред. Постановления Правительства РФ от 08.05.2020 N 646)

В течение финансового года после предоставления субсидии по инициативе субъекта Российской Федерации могут быть внесены изменения в заявку, предусматривающие перераспределение объема субсидии на реализацию одного из направлений, указанных в пункте 3 настоящих Правил, на реализацию другого направления, за исключением субсидии на реализацию направления, указанного в абзаце пятом подпункта "б" пункта 3 настоящих Правил, по согласованию с проектным комитетом, а также за исключением субсидии, предоставляемой в целях оказания в 2020 году неотложных мер по поддержке субъектов малого и среднего предпринимательства в условиях ухудшения ситуации в связи с распространением новой коронавирусной инфекции. (в ред. Постановлений Правительства РФ от 07.10.2019 N 1284, от 08.05.2020 N 646)

37. В случае нецелевого использования субсидии к субъекту Российской Федерации применяются бюджетные меры принуждения, предусмотренные бюджетным законодательством Российской Федерации. (в ред. Постановления Правительства РФ от 29.09.2020 N 1563)

38. Возврат средств субсидии субъектом Российской Федерации в случае нарушения обязательств, предусмотренных соглашением, в части недостижения результатов использования субсидии и их значений и (или) несоблюдения графика выполнения мероприятий по проектированию и (или) строительству (реконструкции, в том числе с элементами реставрации, техническому перевооружению) объектов капитального строительства и (или) приобретению объектов недвижимого имущества, включая порядок расчета размера средств, подлежащих возврату, сроки возврата, основания для освобождения субъекта Российской Федерации от применения мер ответственности за нарушение обязательств, предусмотренных соглашением, осуществляется в соответствии с пунктами 16 - 20 и 22(2) Правил формирования, предоставления и распределения субсидий.

39. Основанием для освобождения субъекта Российской Федерации от применения мер ответственности за нарушение обязательств, предусмотренных соглашением, является документальное подтверждение наступления обстоятельств, препятствующих исполнению соответствующих обязательств, предусмотренных пунктом 20 Правил формирования, предоставления и распределения субсидий.

40. Предоставление субсидии осуществляется на основании соглашения, подготавливаемого (формируемого) и заключаемого в государственной интегрированной информационной системе управления общественными финансами "Электронный бюджет" (далее - система "Электронный бюджет") в соответствии с типовой формой соглашения, утвержденной Министерством финансов Российской Федерации.

В соглашении допускается установление различных уровней софинансирования расходного обязательства субъекта Российской Федерации из федерального бюджета по отдельным направлениям (объектам капитального строительства (объектам недвижимого имущества) в случае предоставления субсидии по нескольким направлениям, указанным в пункте 3 настоящих Правил. (в ред. Постановления Правительства РФ от 22.05.2019 N 638)

41. Внесение в соглашение изменений, предусматривающих ухудшение значений результатов использования субсидии, а также увеличение сроков достижения предусмотренных соглашением результатов, не допускается, за исключением случаев, если выполнение условий предоставления субсидии оказалось невозможным вследствие обстоятельств непреодолимой силы, изменения значений результатов федерального проекта, а также в случае существенного (более чем на 20 процентов) сокращения размера субсидии.

42. В случае изменения размера субсидии допускается внесение в соглашение изменений, предусматривающих корректировку промежуточных значений результатов использования субсидии, не влекущих ухудшения конечных значений целевых показателей национального проекта и (или) конечных результатов реализации федеральных проектов.

43. Перечисление субсидий осуществляется в установленном порядке на единые счета бюджетов, открытые финансовым органам субъектов Российской Федерации в территориальных органах Федерального казначейства. (в ред. Постановления Правительства РФ от 25.12.2021 N 2489)

44. Уполномоченный орган представляет в Министерство экономического развития Российской Федерации отчеты, предусмотренные соглашением.

Отчеты по формам, указанным в абзацах втором и третьем подпункта "б" пункта 7 настоящих Правил, заполненные уполномоченным органом и подписанные руководителем уполномоченного органа, представляются в бумажном виде по запросу Министерства экономического развития Российской Федерации. (в ред. Постановления Правительства РФ от 29.09.2020 N 1563)

Отчеты, предусмотренные соглашением, а также отчеты по формам, указанным в абзацах втором и третьем подпункта "б" пункта 7 настоящих Правил, составляются нарастающим итогом по состоянию на 1-е число месяца, следующего за отчетным кварталом, и представляются до 10-го числа месяца, следующего за отчетным кварталом, в случае осуществления кассового расхода бюджета субъекта Российской Федерации, софинансируемого из федерального бюджета, при этом отчеты за IV квартал представляются до 20 января года, следующего за годом предоставления субсидии, независимо от факта осуществления кассового расхода бюджета субъекта Российской Федерации, софинансируемого из федерального бюджета, отчеты о достижении значений результатов использования субсидии представляются в порядке и в сроки, установленные соглашением о предоставлении субсидии. (в ред. Постановления Правительства РФ от 29.09.2020 N 1563)

Субъекты Российской Федерации обеспечивают представление отчетов, предусмотренных соглашением, в Министерство экономического развития Российской Федерации в указанные сроки, в электронном виде в системе "Электронный бюджет".

45. Министерство экономического развития Российской Федерации в порядке, предусмотренном соглашением, осуществляет контроль за выполнением субъектами Российской Федерации обязательств по достижению результатов использования субсидий в отчетном году на основании отчетов, представленных субъектами Российской Федерации.

46. В рамках федерального проекта "Расширение доступа субъектов малого и среднего предпринимательства к финансовым ресурсам, в том числе к льготному финансированию" эффективность использования субсидии оценивается Министерством экономического развития Российской Федерации на основании сравнения фактически достигнутых субъектом Российской Федерации значений следующих результатов использования субсидии и их значений, установленных соглашением:

размер предоставленной субсидии из федерального бюджета органу государственной власти субъекта Российской Федерации на исполнение расходных обязательств, предусматривающих создание и (или) развитие государственных микрофинансовых организаций, а также субсидии государственным микрофинансовым организациям на субсидирование ставки вознаграждения по микрозаймам субъектов малого и среднего предпринимательства - в рамках направления, указанного в абзаце втором подпункта "а" пункта 3 настоящих Правил;

объем финансовой поддержки, оказанной субъектам малого и среднего предпринимательства, при гарантийной поддержке региональными гарантийными организациями - в рамках направления, указанного в абзаце третьем подпункта "а" пункта 3 настоящих Правил.

47. В рамках федерального проекта "Акселерация субъектов малого и среднего предпринимательства" эффективность использования субсидии оценивается Министерством экономического развития Российской Федерации на основании сравнения фактически достигнутых субъектом Российской Федерации значений следующих результатов использования субсидии и их значений, установленных соглашением:

доля субъектов малого и среднего предпринимательства, охваченных услугами центров "Мой бизнес", - в рамках направления, указанного в абзаце втором подпункта "б" пункта 3 настоящих Правил;

количество субъектов малого и среднего предпринимательства в моногородах, получивших поддержку, - в рамках направления, указанного в абзаце третьем подпункта "б" пункта 3 настоящих Правил;

количество субъектов малого и среднего предпринимательства, выведенных на экспорт при поддержке центров поддержки экспорта, - в рамках направления, указанного в абзаце четвертом подпункта "б" пункта 3 настоящих Правил; (в ред. Постановления Правительства РФ от 07.10.2019 N 1284)

объем инвестиций в основной капитал субъектов малого и среднего предпринимательства, получивших доступ к производственным площадям и помещениям в рамках промышленных парков, технопарков, - в рамках направления, указанного в абзацах пятом и шестом подпункта "б" пункта 3 настоящих Правил. (в ред. Постановления Правительства РФ от 22.05.2020 N 736)

48. В рамках федерального проекта "Популяризация предпринимательства" эффективность использования субсидии в рамках направления, указанного в абзаце втором подпункта "в" пункта 3 настоящих Правил, оценивается Министерством экономического развития Российской Федерации на основании сравнения фактически достигнутого субъектом Российской Федерации значения следующего результата использования субсидии и его значения, установленного соглашением, - количество вновь созданных субъектов малого и среднего предпринимательства.

49. Субъекты Российской Федерации несут ответственность за достоверность представляемых сведений.

50. Контроль за соблюдением субъектами Российской Федерации условий предоставления субсидий осуществляется Министерством экономического развития Российской Федерации и уполномоченными органами государственного финансового контроля. (в ред. Постановления Правительства РФ от 08.05.2020 N 646)

51. В случае нецелевого использования субсидии и (или) нарушения субъектом Российской Федерации условий и требований настоящих Правил и (или) условий соглашения Министерство экономического развития Российской Федерации в течение 30 дней со дня выявления одного или нескольких таких нарушений направляет соответствующую информацию в федеральный орган исполнительной власти, осуществляющий функции по контролю и надзору в финансово-бюджетной сфере, Счетную палату Российской Федерации и Министерство финансов Российской Федерации для принятия в установленном порядке соответствующего решения.

II. Основные мероприятия, осуществляемые в рамках направлений

52. В рамках направлений, указанных в пункте 3 настоящих Правил, предусматриваются следующие мероприятия.

Направление, указанное в абзаце втором подпункта "а" пункта 3 настоящих Правил, включает в себя реализацию мероприятия по созданию и (или) развитию региональных гарантийных организаций.

Министерство экономического развития Российской Федерации устанавливает требования к региональным гарантийным организациям.

Субъекты Российской Федерации обеспечивают реализацию мероприятия, указанного в абзаце втором настоящего пункта, в соответствии с требованиями, установленными Министерством экономического развития Российской Федерации.

Региональные гарантийные организации предоставляют поручительства и (или) гарантии субъектам малого и среднего предпринимательства: (в ред. Постановления Правительства РФ от 08.05.2020 N 646)

не имеющим по состоянию на любую дату в течение периода, равного 30 календарным дням, предшествующего дате заключения договора (соглашения) о предоставлении поручительства и (или) гарантии, просроченной задолженности по налогам, сборам и иным обязательным платежам в бюджеты бюджетной системы Российской Федерации, превышающей 50 тыс. рублей; (в ред. Постановления Правительства РФ от 08.05.2020 N 646)

не имеющим задолженности перед работниками (персоналом) по заработной плате более 3 месяцев. (в ред. Постановления Правительства РФ от 08.05.2020 N 646)

Требования, предусмотренные абзацами шестым и седьмым настоящего пункта, не применяются при предоставлении поручительств и (или) гарантий, предназначенных для субъектов малого и среднего предпринимательства, осуществляющих деятельность на территориях субъектов Российской Федерации или муниципальных образований, в отношении которых введен режим повышенной готовности или режим чрезвычайной ситуации в соответствии с Федеральным законом "О защите населения и территорий от чрезвычайных ситуаций природного и техногенного характера" (далее - режим повышенной готовности или режим чрезвычайной ситуации). (в ред. Постановления Правительства РФ от 08.05.2020 N 646)

52.1.При введении режима повышенной готовности или режима чрезвычайной ситуации субъекты Российской Федерации обеспечивают реализацию мероприятия, указанного в абзаце втором пункта 52 настоящих Правил, в соответствии с требованиями, установленными Министерством экономического развития Российской Федерации к деятельности региональных гарантийных организаций, в части, не противоречащей настоящим Правилам. Реализация мероприятия, указанного в абзаце втором пункта 52 настоящих Правил, осуществляется в соответствии со следующими требованиями: (в ред. Постановления Правительства РФ от 08.05.2020 N 646)

срок рассмотрения заявки на получение гарантии (поручительства) составляет не более 1 рабочего дня; (в ред. Постановления Правительства РФ от 08.05.2020 N 646)

максимальная ставка вознаграждения за предоставление гарантии (поручительства) составляет не более 0,5 процента; (в ред. Постановления Правительства РФ от 08.05.2020 N 646)

максимальный срок предоставления гарантии (поручительства) не превышает 3 лет; (в ред. Постановления Правительства РФ от 08.05.2020 N 646)

у субъектов малого и среднего предпринимательства, получателей поддержки за счет средств субсидии не проверяется отсутствие просроченной задолженности по возврату в бюджеты бюджетной системы Российской Федерации субсидий, бюджетных инвестиций, предоставленных в том числе в соответствии с иными правовыми актами Российской Федерации, и иной просроченной задолженности перед бюджетами бюджетной системы Российской Федерации. (в ред. Постановления Правительства РФ от 08.05.2020 N 646)

53. Направление, указанное в абзаце третьем подпункта "а" пункта 3 настоящих Правил, включает в себя реализацию мероприятия по созданию и (или) развитию государственных микрофинансовых организаций.

Министерство экономического развития Российской Федерации устанавливает требования к государственным микрофинансовым организациям.

Субъекты Российской Федерации обеспечивают реализацию мероприятия, указанного в абзаце первом настоящего пункта, в соответствии с требованиями, установленными Министерством экономического развития Российской Федерации.

Государственные микрофинансовые организации предоставляют микрозаймы субъектам малого и среднего предпринимательства: (в ред. Постановления Правительства РФ от 08.05.2020 N 646)

не имеющим по состоянию на любую дату в течение периода, равного 30 календарным дням, предшествующего дате заключения договора (соглашения) о предоставлении микрозайма, просроченной задолженности по налогам, сборам и иным обязательным платежам в бюджеты бюджетной системы Российской Федерации, превышающей 50 тыс. рублей; (в ред. Постановления Правительства РФ от 08.05.2020 N 646)

не имеющим задолженности перед работниками (персоналом) по заработной плате более 3 месяцев. (в ред. Постановления Правительства РФ от 08.05.2020 N 646)

Требования, предусмотренные абзацами пятым и шестым настоящего пункта, не применяются при предоставлении микрозаймов субъектам малого и среднего предпринимательства, осуществляющим деятельность на территориях субъектов Российской Федерации или муниципальных образований, в отношении которых введен режим повышенной готовности или режим чрезвычайной ситуации. (в ред. Постановления Правительства РФ от 08.05.2020 N 646)

53.1. При введении режима повышенной готовности или режима чрезвычайной ситуации субъекты Российской Федерации обеспечивают реализацию мероприятия, указанного в абзаце первом пункта 53 настоящих Правил, в соответствии с требованиями, установленными Министерством экономического развития Российской Федерации к деятельности государственных микрофинансовых организаций, в части, не противоречащей настоящим Правилам. Реализация мероприятия, указанного в абзаце первом пункта 53 настоящих Правил, осуществляется в соответствии со следующими требованиями: (в ред. Постановлений Правительства РФ от 08.05.2020 N 646, от 22.05.2020 N 736)

срок рассмотрения заявки на получение микрозайма составляет не более 1 рабочего дня; (в ред. Постановления Правительства РФ от 08.05.2020 N 646)

процентная ставка за пользование микрозаймом при наличии или отсутствии залогового имущества не превышает ключевую ставку Центрального банка Российской Федерации, установленную на дату заключения договора микрозайма с субъектом малого и среднего предпринимательства; (в ред. Постановления Правительства РФ от 08.05.2020 N 646)

максимальный срок предоставления микрозайма не превышает 2 лет; (в ред. Постановления Правительства РФ от 08.05.2020 N 646)

у субъектов малого и среднего предпринимательства, получателей поддержки за счет средств субсидии не проверяется отсутствие просроченной задолженности по возврату в бюджеты бюджетной системы Российской Федерации субсидий, бюджетных инвестиций, предоставленных в том числе в соответствии с иными правовыми актами Российской Федерации, и иной просроченной задолженности перед бюджетами бюджетной системы Российской Федерации. (в ред. Постановления Правительства РФ от 08.05.2020 N 646)

54. Направление, указанное в абзаце втором подпункта "б" пункта 3 настоящих Правил, включает в себя реализацию мероприятия по оказанию комплекса услуг, сервисов и мер поддержки субъектам малого и среднего предпринимательства, а также физическим лицам, применяющим специальный налоговый режим "Налог на профессиональный доход", в центрах "Мой бизнес". (в ред. Постановления Правительства РФ от 29.09.2020 N 1563)

Министерство экономического развития Российской Федерации в рамках направления, указанного в абзаце втором подпункта "б" пункта 3 настоящих Правил, устанавливает требования к центрам поддержки предпринимательства, центрам народно-художественных промыслов, ремесленной деятельности, сельского и экологического туризма, центрам инноваций социальной сферы, многофункциональным центрам для бизнеса, инжиниринговым центрам, центрам прототипирования, центрам сертификации, стандартизации и испытаний (коллективного пользования), центрам кластерного развития, центрам молодежного инновационного творчества и центрам "Мой бизнес".

Субъекты Российской Федерации обеспечивают реализацию мероприятия, указанного в абзаце первом настоящего пункта, в соответствии с требованиями, установленными Министерством экономического развития Российской Федерации, а также представляют документы по перечню, определенному этим Министерством.

55. При софинансировании расходов бюджетов субъектов Российской Федерации в рамках направления, указанного в абзаце втором подпункта "б" пункта 3 настоящих Правил, связанных с организацией деятельности инжиниринговых центров, центров прототипирования, центров сертификации, стандартизации и испытаний (коллективного пользования), центров кластерного развития, не могут учитываться расходы, совпадающие по форме, срокам и виду с расходами, осуществленными субъектом Российской Федерации в соответствии с постановлением Правительства Российской Федерации от 22 февраля 2014 г. N 134 "Об утверждении Правил предоставления субсидий из федерального бюджета российским организациям на компенсацию части затрат на реализацию пилотных проектов в области инжиниринга и промышленного дизайна в рамках государственной программы Российской Федерации "Развитие промышленности и повышение ее конкурентоспособности". (в ред. Постановления Правительства РФ от 25.12.2021 N 2489)

56. Направление, указанное в абзаце третьем подпункта "б" пункта 3 настоящих Правил, включает в себя реализацию следующих мероприятий:

оказание финансовой поддержки выполнения органами местного самоуправления полномочий по вопросам местного значения в рамках реализации муниципальных программ (подпрограмм) развития малого и среднего предпринимательства в монопрофильных муниципальных образованиях, в том числе поддержки субъектов малого и среднего предпринимательства, занимающихся социально значимыми видами деятельности;

развитие региональных гарантийных организаций в целях ускоренного развития субъектов малого и среднего предпринимательства, а также физических лиц, применяющих специальный налоговый режим "Налог на профессиональный доход", в моногородах; (в ред. Постановления Правительства РФ от 29.09.2020 N 1563)

развитие государственных микрофинансовых организаций в целях ускоренного развития субъектов малого и среднего предпринимательства, а также физических лиц, применяющих специальный налоговый режим "Налог на профессиональный доход", в моногородах. (в ред. Постановления Правительства РФ от 29.09.2020 N 1563)

Субъекты Российской Федерации обеспечивают реализацию мероприятий, указанных в абзацах втором - четвертом настоящего пункта, в соответствии с требованиями, установленными Министерством экономического развития Российской Федерации.

57. Направление, указанное в абзаце четвертом подпункта "б" пункта 3 настоящих Правил, включает в себя реализацию мероприятия по созданию и (или) развитию центров поддержки экспорта. (в ред. Постановления Правительства РФ от 07.10.2019 N 1284)

Министерство экономического развития Российской Федерации устанавливает требования к центрам поддержки экспорта. (в ред. Постановления Правительства РФ от 07.10.2019 N 1284)

Субъекты Российской Федерации обеспечивают реализацию мероприятия, указанного в абзаце первом настоящего пункта, в соответствии с требованиями, установленными Министерством экономического развития Российской Федерации, а также представляют документы по перечню, определенному Министерством экономического развития Российской Федерации.

58. Реализация мероприятия, указанного в пункте 57 настоящих Правил, осуществляется при методическом и информационном взаимодействии уполномоченного органа с акционерным обществом "Российский экспортный центр" на основании соглашения о взаимодействии, которое содержит:

направления расходов субсидии из бюджета субъекта Российской Федерации;

ключевые показатели эффективности деятельности;

план командировок сотрудников.

59. Направление, указанное в абзаце пятом подпункта "б" пункта 3 настоящих Правил, включает в себя реализацию следующих мероприятий (проектов):

создание и (или) развитие промышленного (индустриального) парка, агропромышленного парка;

создание и (или) развитие технопарка, промышленного технопарка.

Субсидия не может предоставляться в целях софинансирования расходов бюджета субъекта Российской Федерации, совпадающих по форме, срокам и виду с расходами, осуществленными субъектом Российской Федерации в соответствии с постановлением Правительства Российской Федерации от 30 октября 2014 г. N 1119 "Об отборе субъектов Российской Федерации, имеющих право на получение государственной поддержки в форме субсидий на возмещение затрат на создание, модернизацию и (или) реконструкцию объектов инфраструктуры индустриальных парков, промышленных технопарков и технопарков в сфере высоких технологий" и (или) постановлением Правительства Российской Федерации от 11 августа 2015 г. N 831 "Об утверждении Правил предоставления субсидий из федерального бюджета российским организациям - управляющим компаниям индустриальных (промышленных) парков и (или) технопарков на возмещение части затрат на уплату процентов по кредитам, полученным в российских кредитных организациях и государственной корпорации "Банк развития и внешнеэкономической деятельности (Внешэкономбанк)" в 2013 - 2016 годах на реализацию инвестиционных проектов создания объектов индустриальных (промышленных) парков и (или) технопарков".

Для получения субсидии, предоставляемой в целях софинансирования расходных обязательств субъекта Российской Федерации по направлению, указанному в абзаце пятом подпункта "б" пункта 3 настоящих Правил, субъект Российской Федерации обеспечивает реализацию мероприятий (проектов), указанных в абзацах втором и третьем настоящего пункта, в соответствии с требованиями, установленными Министерством экономического развития Российской Федерации, а также представляет в Министерство экономического развития Российской Федерации следующие документы:

а) для получения субсидии, предоставляемой в целях софинансирования мероприятий (проектов) по созданию и (или) развитию промышленного (индустриального) парка, агропромышленного парка, технопарка, промышленного технопарка, управляемого управляющей компанией, в уставном капитале которой не участвует Российская Федерация, субъект Российской Федерации и (или) муниципальное образование:

копия положительного заключения государственной экспертизы проектной документации и результатов инженерных изысканий, выполненных для подготовки такой проектной документации;

документы об утверждении проектной документации, разработанной с учетом подпункта "в" пункта 9 настоящих Правил, в соответствии с законодательством Российской Федерации или экономически эффективная проектная документация повторного использования (при наличии такой документации);

копия положительного заключения о достоверности определения сметной стоимости строительства, реконструкции, капитального ремонта объекта капитального строительства в соответствии с постановлением Правительства Российской Федерации от 18 мая 2009 г. N 427 "О порядке проведения проверки достоверности определения сметной стоимости строительства, реконструкции, капитального ремонта объектов капитального строительства, работ по сохранению объектов культурного наследия (памятников истории и культуры) народов Российской Федерации, финансирование которых осуществляется с привлечением средств бюджетов бюджетной системы Российской Федерации, средств юридических лиц, созданных Российской Федерацией, субъектами Российской Федерации, муниципальными образованиями, юридических лиц, доля Российской Федерации, субъектов Российской Федерации, муниципальных образований в уставных (складочных) капиталах которых составляет более 50 процентов";

копии документов, подтверждающих осуществление не ранее 1 января 2011 г. работ и (или) затрат застройщика или управляющей компании на создание и (или) развитие объекта капитального строительства;

копии сводных сметных расчетов стоимости строительства (реконструкции, в том числе с элементами реставрации, технического перевооружения) объектов капитального строительства;

локальная смета на закупку материально-технических ресурсов (в отношении объектов капитального строительства, по которым планируется закупка материально-технических ресурсов);

копия разрешения на ввод объекта в эксплуатацию;

копии правоустанавливающего документа, свидетельствующего о наличии права собственности управляющей компании или застройщика на земельный участок, или зарегистрированного в соответствии с законодательством Российской Федерации договора долгосрочной аренды (со сроком аренды более 5 лет на дату представления документов), заключенного управляющей компанией или застройщиком с органами государственной власти субъекта Российской Федерации или органами местного самоуправления на территории такого субъекта Российской Федерации, а также выписки из Единого государственного реестра недвижимости по такому земельному участку;

соглашение о реализации проекта, заключенное между исполнительным органом субъекта Российской Федерации, ответственным за реализацию направления по предоставлению субсидий бюджетам субъектов Российской Федерации на обеспечение льготного доступа субъектов малого и среднего предпринимательства к производственным площадям и помещениям в целях создания (развития) производственных и инновационных компаний, и управляющей компанией промышленного (индустриального) парка, агропромышленного парка, технопарка, промышленного технопарка, включающее показатели по доле внебюджетного (частного) софинансирования в общей стоимости проекта, проценту заполнения площадей резидентами на 1 января каждого года реализации федерального проекта, иные показатели, календарный график выполнения работ и их финансирования (далее - соглашение о реализации проекта); (в ред. Постановления Правительства РФ от 12.09.2022 N 1587)

б) для получения субсидии, предоставляемой в целях софинансирования мероприятий (проектов) по созданию и (или) развитию промышленного (индустриального) парка, агропромышленного парка, технопарка, промышленного технопарка, полностью или частично находящегося в государственной и (или) муниципальной собственности, - документы, указанные в пункте 64 настоящих Правил, и соглашение о реализации проекта.

60. Направление, указанное в абзаце шестом подпункта "б" пункта 3 настоящих Правил, включает в себя реализацию следующих мероприятий:

а) создание и (или) развитие (за исключением капитального ремонта) инфраструктуры поддержки субъектов малого предпринимательства, оказывающей имущественную поддержку, - бизнес-инкубаторов;

б) создание и (или) развитие (за исключением капитального ремонта) инфраструктуры поддержки субъектов малого и среднего предпринимательства, оказывающей имущественную поддержку, - промышленных (индустриальных) парков, агропромышленных парков;

в) создание и (или) развитие (за исключением капитального ремонта) инфраструктуры поддержки субъектов малого и среднего предпринимательства, оказывающей имущественную поддержку, - технопарков.

61. Министерство экономического развития Российской Федерации в рамках мероприятия, указанного в подпункте "а" пункта 60 настоящих Правил, устанавливает требования к бизнес-инкубаторам.

Для получения субсидии, предоставляемой в целях софинансирования мероприятия, указанного в подпункте "а" пункта 60 настоящих Правил, субъектам Российской Федерации необходимо обеспечить реализацию мероприятия в соответствии с требованиями, установленными Министерством экономического развития Российской Федерации, а также представить документы по перечню, определенному этим Министерством, и в соответствии с пунктом 64 настоящих Правил.

62. Министерство экономического развития Российской Федерации в рамках мероприятия, указанного в подпункте "б" пункта 60 настоящих Правил, устанавливает требования к промышленным (индустриальным) паркам, агропромышленным паркам.

Для получения субсидии, предоставляемой в целях софинансирования мероприятия, указанного в подпункте "б" пункта 60 настоящих Правил, субъектам Российской Федерации необходимо обеспечить реализацию мероприятия в соответствии с требованиями, установленными Министерством экономического развития Российской Федерации, а также представить документы по перечню, определенному этим Министерством, и в соответствии с пунктом 64 настоящих Правил.

Субсидия не может предоставляться в целях софинансирования расходов бюджета субъекта Российской Федерации, совпадающих по форме, срокам и виду с расходами, осуществленными субъектом Российской Федерации в соответствии с постановлением Правительства Российской Федерации от 30 октября 2014 г. N 1119 "Об отборе субъектов Российской Федерации, имеющих право на получение государственной поддержки в форме субсидий на возмещение затрат на создание, модернизацию и (или) реконструкцию объектов инфраструктуры индустриальных парков, промышленных технопарков и технопарков в сфере высоких технологий".

63. Министерство экономического развития Российской Федерации в рамках мероприятия, указанного в подпункте "в" пункта 60 настоящих Правил, устанавливает требования к технопаркам.

Для получения субсидии, предоставляемой в целях софинансирования мероприятия, указанного в подпункте "в" пункта 60 настоящих Правил, субъекту Российской Федерации необходимо обеспечить реализацию мероприятия в соответствии с требованиями, установленными Министерством экономического развития Российской Федерации, а также представить документы по перечню, определенному этим Министерством.

Субсидия не может являться источником финансового обеспечения расходов бюджета субъекта Российской Федерации, совпадающих по форме, срокам и виду с расходами, осуществленными субъектом Российской Федерации в соответствии с постановлением Правительства Российской Федерации от 30 октября 2014 г. N 1119 "Об отборе субъектов Российской Федерации, имеющих право на получение государственной поддержки в форме субсидий на возмещение затрат на создание, модернизацию и (или) реконструкцию объектов инфраструктуры индустриальных парков, промышленных технопарков и технопарков в сфере высоких технологий".

64. Для получения субсидии, предоставляемой в целях софинансирования расходных обязательств субъекта Российской Федерации по направлению, указанному в абзаце шестом подпункта "б" пункта 3 настоящих Правил, субъекту Российской Федерации необходимо представить в Министерство экономического развития Российской Федерации следующие документы:

а) копия положительного заключения государственной экспертизы проектной документации и результатов инженерных изысканий, выполненных для подготовки такой проектной документации;

б) документы об утверждении проектной документации, разработанной с учетом подпункта "в" пункта 9 настоящих Правил, или экономически эффективная проектная документация повторного использования (при наличии такой документации);

в) копия положительного заключения о достоверности определения сметной стоимости строительства, реконструкции, капитального ремонта объекта капитального строительства в соответствии с постановлением Правительства Российской Федерации от 18 мая 2009 г. N 427 "О порядке проведения проверки достоверности определения сметной стоимости строительства, реконструкции, капитального ремонта объектов капитального строительства, работ по сохранению объектов культурного наследия (памятников истории и культуры) народов Российской Федерации, финансирование которых осуществляется с привлечением средств бюджетов бюджетной системы Российской Федерации, средств юридических лиц, созданных Российской Федерацией, субъектами Российской Федерации, муниципальными образованиями, юридических лиц, доля Российской Федерации, субъектов Российской Федерации, муниципальных образований в уставных (складочных) капиталах которых составляет более 50 процентов";

г) копии сводных сметных расчетов стоимости строительства (реконструкции, в том числе с элементами реставрации, технического перевооружения) объектов капитального строительства;

д) локальная смета на закупку материально-технических ресурсов (в отношении объектов капитального строительства, по которым планируется закупка материально-технических ресурсов);

е) копия свидетельства о государственной регистрации застройщика;

ж) паспорт инвестиционного проекта по форме, утвержденной Министерством экономического развития Российской Федерации;

з) копия задания на проектирование объекта капитального строительства и государственного контракта (договора) на выполнение проектных работ по объекту капитального строительства;

и) титульные списки начинаемых объектов капитального строительства в очередном финансовом году и плановом периоде и титульные списки переходящих объектов капитального строительства на очередной финансовый год и плановый период, утвержденные государственным заказчиком (заказчиком);

к) копии документов, подтверждающих направление в отчетном и (или) текущем финансовых годах средств из бюджета субъекта Российской Федерации и (или) муниципального бюджета, собственных, заемных и других средств на финансирование объекта капитального строительства (в отношении объектов капитального строительства, финансовое обеспечение строительства (реконструкции, в том числе с элементами реставрации, технического перевооружения) или приобретение которых осуществляется из федерального бюджета на условиях софинансирования);

л) интегральная оценка эффективности инвестиционного проекта, включая количественные и качественные критерии, установленные Министерством экономического развития Российской Федерации;

м) справка о техническом состоянии объекта капитального строительства (в отношении объекта капитального строительства, по которому планируется реконструкция, в том числе с элементами реставрации, техническое перевооружение);

н) копия эскиза архитектурного решения и фотоматериалы объекта капитального строительства, на базе которого предполагается создать объект инфраструктуры поддержки малого и среднего предпринимательства;

о) копии положительного заключения о проведении публичного технологического аудита крупного инвестиционного проекта с государственным участием в соответствии с постановлением Правительства Российской Федерации от 12 августа 2008 г. N 590 "О порядке проведения проверки инвестиционных проектов на предмет эффективности использования средств федерального бюджета, направляемых на капитальные вложения" и положительного заключения о проведении публичного технологического и ценового аудита крупного инвестиционного проекта с государственным участием в соответствии с постановлением Правительства Российской Федерации от 30 апреля 2013 г. N 382 "О проведении публичного технологического и ценового аудита крупных инвестиционных проектов с государственным участием и о внесении изменений в некоторые акты Правительства Российской Федерации" (для объектов капитального строительства сметной стоимостью 1,5 млрд. рублей и более);

п) копии правоустанавливающего документа и выписки из Единого государственного реестра недвижимости, свидетельствующие о наличии права собственности субъекта Российской Федерации или муниципального образования на земельный участок и (или) объект капитального строительства (в отношении объекта капитального строительства, по которому планируется реконструкция, в том числе с элементами реставрации, техническое перевооружение).

65. Направление, указанное в абзаце втором подпункта "в" пункта 3 настоящих Правил, включает в себя реализацию следующих мероприятий:

а) проведение информационной кампании, направленной на создание положительного образа предпринимателя, разработанной Министерством экономического развития Российской Федерации;

б) подпункт утратил силу. (в ред. Постановления Правительства РФ от 29.09.2020 N 1563)

в) проведение мероприятий, направленных на выявление у участников проекта предрасположенностей к профессиональным навыкам и компетенциям;

г) проведение обучающих мероприятий, направленных на развитие предпринимательских и иных компетенций у участников проекта;

д) реализация программ и проектов, направленных на вовлечение в предпринимательскую деятельность молодежи в возрасте 14 - 17 лет;

е) проведение региональных этапов всероссийских мероприятий (конкурсов, премий и т.д.);

ж) реализация программы по наставничеству для начинающих предпринимателей, а также физических лиц, заинтересованных в начале осуществления предпринимательской деятельности, - участников федерального проекта "Популяризация предпринимательства"; (в ред. Постановления Правительства РФ от 29.09.2020 N 1563)

з) обеспечение участия в межрегиональных, общероссийских и международных мероприятиях, направленных на поддержку и развитие предпринимательства, участников федерального проекта "Популяризация предпринимательства";

и) проведение публичных мероприятий (форумов, конференций, слетов и т.д.) для участников федерального проекта "Популяризация предпринимательства".

66. Пункт утратил силу. (в ред. Постановления Правительства РФ от 08.05.2020 N 646)

Приложение
к Правилам предоставления
и распределения субсидий
бюджетам субъектов Российской
Федерации на государственную
поддержку малого и среднего
предпринимательства, а также
физических лиц, применяющих
специальный налоговый режим
"Налог на профессиональный доход",
в субъектах Российской Федерации

(форма)

Министерство экономического
развития Российской Федерации

ЗАЯВКА СУБЪЕКТА РОССИЙСКОЙ ФЕДЕРАЦИИ НА ПОЛУЧЕНИЕ СУБСИДИИ НА ГОСУДАРСТВЕННУЮ ПОДДЕРЖКУ МАЛОГО И СРЕДНЕГО ПРЕДПРИНИМАТЕЛЬСТВА В СУБЪЕКТЕ РОССИЙСКОЙ ФЕДЕРАЦИИ И УЧАСТИЕ В РАССМОТРЕНИИ МЕРОПРИЯТИЙ СУБЪЕКТОВ РОССИЙСКОЙ ФЕДЕРАЦИИ, БЮДЖЕТАМ КОТОРЫХ ПРЕДОСТАВЛЯЮТСЯ СУБСИДИИ

(в ред. Постановлений Правительства РФ от 11.02.2019 N 110, от 29.09.2020 N 1563, от 25.12.2021 N 2489)

В соответствии с Правилами предоставления и распределения субсидий бюджетам субъектов Российской Федерации на государственную поддержку малого и среднего предпринимательства, а также физических лиц, применяющих специальный налоговый режим "Налог на профессиональный доход", в субъектах Российской Федерации в рамках государственной программы Российской Федерации "Экономическое развитие и инновационная экономика", утвержденной постановлением Правительства Российской Федерации от 15 апреля 2014 г. N 316 "Об утверждении государственной программы Российской Федерации "Экономическое развитие и инновационная экономика" (далее - Правила), выражаю согласие с условиями предоставления и распределения субсидии бюджетам субъектов Российской Федерации на государственную поддержку малого и среднего предпринимательства, а также физических лиц, применяющих специальный налоговый режим "Налог на профессиональный доход", в субъектах Российской Федерации и обязуюсь обеспечить предельный уровень софинансирования расходного обязательства субъекта Российской Федерации, установленный в соответствии с положениями Правил формирования, предоставления и распределения субсидий из федерального бюджета бюджетам субъектов Российской Федерации, утвержденных постановлением Правительства Российской Федерации от 30 сентября 2014 г. N 999 "О формировании, предоставлении и распределении субсидий из федерального бюджета бюджетам субъектов Российской Федерации", по следующим мероприятиям и в следующих объемах: (в ред. Постановлений Правительства РФ от 29.09.2020 N 1563, от 25.12.2021 N 2489)

,
(перечисляются направления, указанные в пункте 3 Правил, и основные мероприятия в рамках указанных направлений (в целях получения субсидии по направлению, указанному в абзаце пятом подпункта "б" пункта 3 Правил, указываются наименования проектов), предполагаемая сумма субсидии из федерального бюджета на реализацию каждого направления и каждого проекта (млн. рублей) 

также обязуюсь обеспечить внесение соответствующих изменений в государственную программу (подпрограмму) субъекта Российской Федерации и (или) муниципальную программу (подпрограмму)

(указываются реквизиты и наименование нормативного акта)

и бюджет субъекта Российской Федерации на ______________ год и плановый период

.
(указываются реквизиты и наименование нормативного акта) 

Обязуюсь обеспечить ввод в эксплуатацию объекта капитального строительства

(указывается наименование объекта капитального строительства)

в соответствии со сроком, установленным графиком выполнения мероприятий по проектированию и (или) строительству (реконструкции, в том числе с элементами реставрации, техническому перевооружению) объектов капитального строительства и (или) приобретению объектов недвижимого имущества (указывается в целях получения субсидии по направлениям, предусмотренным в абзацах пятом и шестом подпункта "б" пункта 3 Правил).

    
(должность высшего должностного лица субъекта Российской Федерации) (подпись) (ф.и.о.)

М.П.

ПРИЛОЖЕНИЯ 10.1. - 11. - Утратили силу. (в ред. Постановления Правительства РФ от 25.12.2021 N 2489)

ПРИЛОЖЕНИЯ 12. - 14. - Утратили силу. (в ред. Постановления Правительства РФ от 31.03.2018 N 381)

ПРИЛОЖЕНИЕ 15. - Утратило силу. (в ред. Постановления Правительства РФ от 25.12.2021 N 2489)

ПРИЛОЖЕНИЕ 16. - Утратило силу. (в ред. Постановления Правительства РФ от 31.03.2020 N 376)

ПРИЛОЖЕНИЯ 17 - 21. - Утратили силу. (в ред. Постановления Правительства РФ от 25.12.2021 N 2489)

ПРИЛОЖЕНИЕ 22. - Утратило силу. (в ред. Постановления Правительства РФ от 31.03.2020 N 376)

ПРИЛОЖЕНИЯ 23 - 27. - Утратили силу. (в ред. Постановления Правительства РФ от 25.12.2021 N 2489)

ПРИЛОЖЕНИЕ 28. - Утратило силу. (в ред. Постановления Правительства РФ от 31.03.2020 N 376)

ПРИЛОЖЕНИЯ 29 - 33. - Утратили силу. (в ред. Постановления Правительства РФ от 25.12.2021 N 2489)

Приложение N 34
к государственной программе
Российской Федерации "Экономическое
развитие и инновационная экономика"

ПРАВИЛА ПРЕДОСТАВЛЕНИЯ И РАСПРЕДЕЛЕНИЯ В 2020 ГОДУ СУБСИДИЙ ИЗ ФЕДЕРАЛЬНОГО БЮДЖЕТА БЮДЖЕТАМ СУБЪЕКТОВ РОССИЙСКОЙ ФЕДЕРАЦИИ НА ОКАЗАНИЕ НЕОТЛОЖНЫХ МЕР ПО ПОДДЕРЖКЕ СУБЪЕКТОВ МАЛОГО И СРЕДНЕГО ПРЕДПРИНИМАТЕЛЬСТВА В УСЛОВИЯХ УХУДШЕНИЯ СИТУАЦИИ В СВЯЗИ С РАСПРОСТРАНЕНИЕМ НОВОЙ КОРОНАВИРУСНОЙ ИНФЕКЦИИ

(в ред. Постановлений Правительства РФ от 31.03.2020 N 378, от 08.05.2020 N 646, от 22.05.2020 N 736, от 25.12.2021 N 2489, от 12.09.2022 N 1587)

1. Настоящие Правила устанавливают цели, порядок и условия предоставления и распределения в 2020 году субсидий из федерального бюджета бюджетам субъектов Российской Федерации на оказание неотложных мер по поддержке субъектов малого и среднего предпринимательства в условиях ухудшения ситуации в связи с распространением новой коронавирусной инфекции в рамках государственной программы Российской Федерации "Экономическое развитие и инновационная экономика" (далее соответственно - субсидия, поддержка субъектов малого и среднего предпринимательства). (в ред. Постановления Правительства РФ от 25.12.2021 N 2489)

2. Субсидии предоставляются в целях софинансирования расходных обязательств субъектов Российской Федерации, возникающих при реализации органами государственной власти субъектов Российской Федерации полномочий по поддержке субъектов малого и среднего предпринимательства в условиях ухудшения ситуации в связи с распространением новой коронавирусной инфекции, направленных на повышение доступности льготных кредитов и микрозаймов для субъектов малого и среднего предпринимательства, по следующим мероприятиям: (в ред. Постановления Правительства РФ от 08.05.2020 N 646)

а) докапитализация фондов содействия кредитованию (гарантийных фондов, фондов поручительств) (далее - региональные гарантийные организации) для оказания в 2020 году неотложных мер поддержки субъектов малого и среднего предпринимательства в условиях ухудшения ситуации в связи с распространением новой коронавирусной инфекции; (в ред. Постановления Правительства РФ от 08.05.2020 N 646)

б) докапитализация государственных микрофинансовых организаций для оказания в 2020 году неотложных мер поддержки субъектов малого и среднего предпринимательства в условиях ухудшения ситуации в связи с распространением новой коронавирусной инфекции. (в ред. Постановления Правительства РФ от 08.05.2020 N 646)

3. Понятия, используемые в настоящих Правилах, означают следующее:

"государственная микрофинансовая организация" - микрофинансовая организация, одним из учредителей (участников, акционеров) которой является субъект Российской Федерации, предоставляющая микрозаймы субъектам малого и среднего предпринимательства и отвечающая критериям, установленным в соответствии с Федеральным законом "О развитии малого и среднего предпринимательства в Российской Федерации";

"региональная гарантийная организация" - юридическое лицо, одним из учредителей (участников) или акционеров (в случае, если региональная гарантийная организация является акционерным обществом) которого является субъект Российской Федерации, которое осуществляет в качестве основного вида деятельности деятельность, направленную на обеспечение доступа субъектов малого и среднего предпринимательства и (или) организаций, образующих инфраструктуру поддержки субъектов малого и среднего предпринимательства, к кредитным и иным финансовым ресурсам, развитие системы поручительств и независимых гарантий по основанным на кредитных договорах, договорах займа, договорах финансовой аренды (лизинга), договорах о предоставлении банковской гарантии и иных договорах обязательствам субъектов малого и среднего предпринимательства и (или) организаций, образующих инфраструктуру поддержки субъектов малого и среднего предпринимательства, и отвечает требованиям, установленным в соответствии с Федеральным законом "О развитии малого и среднего предпринимательства в Российской Федерации".

4. Предоставление субсидии осуществляется в пределах лимитов бюджетных обязательств, доведенных в установленном порядке до Министерства экономического развития Российской Федерации как получателя средств федерального бюджета на предоставление субсидий на цели, указанные в пункте 2 настоящих Правил. (в ред. Постановления Правительства РФ от 08.05.2020 N 646)

5. Субсидии предоставляются при соблюдении субъектами Российской Федерации следующих условий:

а) наличие государственной программы (подпрограммы) субъекта Российской Федерации, содержащей мероприятия, на софинансирование которых предоставляются субсидии;

б) наличие в бюджете субъекта Российской Федерации бюджетных ассигнований на исполнение расходного обязательства субъекта Российской Федерации, софинансирование которого осуществляется из федерального бюджета, в объеме, необходимом для его исполнения, включающем размер планируемой субсидии;

в) заключение Министерством экономического развития Российской Федерации, до которого как до получателя средств федерального бюджета доведены лимиты бюджетных обязательств на предоставление субсидии, и высшим исполнительным органом субъекта Российской Федерации соглашения о предоставлении субсидии (далее - соглашение) в соответствии с пунктом 10 Правил формирования, предоставления и распределения субсидий из федерального бюджета бюджетам субъектов Российской Федерации, утвержденных постановлением Правительства Российской Федерации от 30 сентября 2014 г. N 999 "О формировании, предоставлении и распределении субсидий из федерального бюджета бюджетам субъектов Российской Федерации" (далее - Правила формирования, предоставления и распределения субсидий). (в ред. Постановления Правительства РФ от 12.09.2022 N 1587)

6. Для получения субсидии субъект Российской Федерации представляет в Министерство экономического развития Российской Федерации заявку субъекта Российской Федерации на получение субсидии по форме, предусмотренной приложением к настоящим Правилам (далее - заявка).

7. Критериями отбора субъектов Российской Федерации для предоставления субсидии является наличие в субъекте Российской Федерации государственной микрофинансовой организации и (или) региональной гарантийной организации, созданных в рамках Программы развития малого и среднего предпринимательства, а также соответствие мероприятий, указанных в заявке, мероприятиям, указанным в пункте 2 настоящих Правил.

8. Распределение субсидий осуществляется между субъектами Российской Федерации, которые соответствуют условиям, указанным в пункте 5 настоящих Правил, и критериям для предоставления субсидии, предусмотренным пунктом 7 настоящих Правил, в соответствии с бюджетным законодательством Российской Федерации.

В случае если субъект Российской Федерации, которому рассчитан размер субсидии по мероприятиям, указанным в подпунктах "а" и (или) "б" пункта 2 настоящих Правил, не представил заявку, или заявка не содержит одного из мероприятий, указанных в пункте 2 настоящих Правил, в целях софинансирования которого бюджету субъекта Российской Федерации рассчитана субсидия, или указанная в заявке предполагаемая сумма субсидии по такому мероприятию меньше размера субсидии, рассчитанного в соответствии с пунктом 9 или 11 настоящих Правил, размер субсидии, предоставляемой бюджету субъекта Российской Федерации по соответствующему мероприятию, подлежит сокращению.

Высвобождающиеся по мероприятию, указанному в подпункте "а" пункта 2 настоящих Правил, средства субсидии перераспределяются между бюджетами других субъектов Российской Федерации, представивших заявки по такому мероприятию, в соответствии с формулой, указанной в пункте 9 настоящих Правил.

Высвобождающиеся по мероприятию, указанному в подпункте "б" пункта 2 настоящих Правил, средства субсидии перераспределяются между бюджетами других субъектов Российской Федерации, представивших заявки по такому мероприятию, в соответствии с формулой, указанной в пункте 11 настоящих Правил.

9. Расчетный размер субсидии, предоставляемой бюджету i-го субъекта Российской Федерации в 2020 году в целях софинансирования расходных обязательств субъекта Российской Федерации по мероприятию, указанному в подпункте "а" пункта 2 настоящих Правил (), определяется по формуле:

,

где:

- общий размер субсидии, распределяемой между субъектами Российской Федерации в 2020 году в целях софинансирования расходных обязательств субъектов Российской Федерации по мероприятию, указанному в подпункте "а" пункта 2 настоящих Правил;

- расчетный размер субсидии, необходимый для докапитализации региональных гарантийных организаций с гарантийным капиталом по состоянию на 1 января 2020 г. менее 50 млн рублей, который определяется по формуле:

,

где:

n - совокупность всех действующих региональных гарантийных организаций субъектов Российской Федерации по состоянию на 1 января 2020 г.;

- расчетный размер субсидии, необходимый для докапитализации региональных гарантийных организаций с гарантийным капиталом по состоянию на 1 января 2020 г. менее 50 млн рублей i-го субъекта Российской Федерации, который определяется по формуле:

,

где - гарантийный капитал региональной гарантийной организации i-го субъекта Российской Федерации на 1 января 2020 г.

При этом расчет осуществляется только в части региональной гарантийной организации с гарантийным капиталом менее 50 млн. рублей;

- коэффициент мультипликатора, равный значению разности - 1, при отрицательном значении разности - 1 = 0, где - мультипликатор или отношение действующего портфеля поручительств к капиталу региональной гарантийной организации () в i-м субъекте Российской Федерации на 1 января 2020 г. = 1 в случае, если с момента регистрации региональной гарантийной организации не прошло 2 лет (без учета реорганизации региональных гарантийных организаций);

- коэффициент, рассчитанный исходя из значения мультипликатора по состоянию на 1 января 2020 г., равный:

1 - в случае, если менее 2, или в случае, если с момента регистрации региональной гарантийной организации не прошло 2 лет (без учета реорганизации региональных гарантийных организаций);

2 - в случае, если равен или превышает 2 и менее 3;

3 - в случае, если равен или превышает 3;

- предельный уровень софинансирования расходных обязательств субъекта Российской Федерации, установленный в соответствии с положениями Правил формирования, предоставления и распределения субсидий;

- коэффициент выравнивания расчетного размера субсидии, предоставляемой бюджету i-го субъекта Российской Федерации в очередном финансовом году, рассчитываемый исходя из значения предельного уровня софинансирования на 1 января 2020 г., равный:

1 - если 0,85;

1,1 - если 0,6 < 0,85;

1,3 - если 0,3 < 0,6;

2 - если 0,1 < 0,3;

0 - если < 0,1;

n - общее количество субъектов Российской Федерации, которым предоставляются субсидии.

10. При расчете размера субсидии используется информация, представленная региональными гарантийными организациями в соответствии с постановлением Правительства Российской Федерации от 23 декабря 2015 г. N 1410 "О порядке проведения акционерным обществом "Федеральная корпорация по развитию малого и среднего предпринимательства" мониторинга оказания федеральными органами исполнительной власти, исполнительными органами субъектов Российской Федерации, органами местного самоуправления поддержки субъектам малого и среднего предпринимательства и организациям, образующим инфраструктуру поддержки субъектов малого и среднего предпринимательства, и мониторинга оказания организациями, образующими инфраструктуру поддержки субъектов малого и среднего предпринимательства, поддержки субъектам малого и среднего предпринимательства". (в ред. Постановления Правительства РФ от 12.09.2022 N 1587)

11. Расчетный размер субсидии, предоставляемой бюджету i-го субъекта Российской Федерации в 2020 году в целях софинансирования расходных обязательств субъекта Российской Федерации по направлению, указанному в подпункте "б" пункта 2 настоящих Правил (), определяется по формуле:

,

где:

- общий размер субсидии, распределяемой между субъектами Российской Федерации в 2020 году в целях софинансирования расходных обязательств субъектов Российской Федерации по мероприятию, указанному в подпункте "б" пункта 2 настоящих Правил;

- коэффициент количества субъектов малого и среднего предпринимательства, осуществляющих в качестве основной деятельность, относящуюся к разделам G и I Общероссийского классификатора видов экономической деятельности ОК 029-2014 (КДЕС Ред. 2), который рассчитывается по формуле:

,

где:

- количество субъектов малого и среднего предпринимательства, осуществляющих в качестве основной деятельность, относящуюся к разделу G Общероссийского классификатора видов экономической деятельности ОК 029-2014 (КДЕС Ред. 2), в i-м субъекте Российской Федерации на 1 января 2020 г. по данным Федеральной налоговой службы; (в ред. Постановления Правительства РФ от 22.05.2020 N 736)

- количество субъектов малого и среднего предпринимательства, осуществляющих в качестве основной деятельность, относящуюся к разделу I Общероссийского классификатора видов экономической деятельности ОК 029-2014 (КДЕС Ред. 2), в i-м субъекте Российской Федерации на 1 января 2020 г. по данным Федеральной налоговой службы; (в ред. Постановления Правительства РФ от 22.05.2020 N 736)

- количество субъектов малого и среднего предпринимательства в i-м субъекте Российской Федерации на 1 января 2020 г. по данным Федеральной налоговой службы; (в ред. Постановления Правительства РФ от 22.05.2020 N 736)

- коэффициент капитализации государственной микрофинансовой организации в i-м субъекте Российской Федерации на 1 января 2020 г. равный: (в ред. Постановления Правительства РФ от 22.05.2020 N 736)

2 - если К 300 млн рублей;

1 - если 300 млн. рублей < К 700 млн рублей;

0,5 - если К > 700 млн рублей,

где К - капитализация государственной микрофинансовой организации в i-м субъекте Российской Федерации на 1 января 2020 г.. (в ред. Постановления Правительства РФ от 22.05.2020 N 736)

12. Предоставление субсидии осуществляется на основании соглашения, заключаемого в государственной интегрированной информационной системе управления общественными финансами "Электронный бюджет" в соответствии с типовой формой соглашения, утвержденной Министерством финансов Российской Федерации.

13. Внесение в соглашение изменений, предусматривающих ухудшение значений результатов использования субсидии, а также увеличение сроков реализации предусмотренных соглашением мероприятий, не допускается, за исключением случаев, если выполнение условий предоставления субсидии оказалось невозможным вследствие обстоятельств непреодолимой силы, изменения значений показателей (индикаторов) государственной программы Российской Федерации "Экономическое развитие и инновационная экономика", а также в случае существенного (более чем на 20 процентов) сокращения размера субсидии.

14. Перечисление субсидий осуществляется в установленном порядке на единые счета бюджетов, открытые финансовым органам субъектов Российской Федерации в территориальных органах Федерального казначейства. (в ред. Постановления Правительства РФ от 25.12.2021 N 2489)

15. Отношения, возникающие при нарушении субъектом Российской Федерации обязательств, предусмотренных соглашением, а также основания для освобождения субъекта Российской Федерации от мер финансовой ответственности регулируются пунктами 16, 19.1 и 20 Правил формирования, предоставления и распределения субсидий.

16. Порядок и условия возврата средств из бюджетов субъектов Российской Федерации в федеральный бюджет в случае нарушения обязательств, предусмотренных соглашением, а также основания для освобождения субъектов Российской Федерации от применения мер ответственности установлены пунктами 16 - 20 Правил формирования, предоставления и распределения субсидий.

17. Высший исполнительный орган субъекта Российской Федерации представляет в Министерство экономического развития Российской Федерации отчеты, предусмотренные соглашением. (в ред. Постановления Правительства РФ от 12.09.2022 N 1587)

Отчеты, предусмотренные соглашением, составляются нарастающим итогом по состоянию на 1-е число месяца, следующего за отчетным кварталом, и представляются до 10-го числа месяца, следующего за отчетным кварталом, в случае осуществления кассового расхода бюджета субъекта Российской Федерации, софинансируемого из федерального бюджета, при этом отчеты за IV квартал представляются до 20 января года, следующего за годом предоставления субсидии, независимо от факта осуществления кассового расхода бюджета субъекта Российской Федерации, софинансируемого из федерального бюджета, отчеты о достижении значений результатов использования субсидии представляются в срок до 1 апреля года, следующего за годом предоставления субсидии. Субъекты Российской Федерации обеспечивают представление отчетов, предусмотренных соглашением, в Министерство экономического развития Российской Федерации в указанные сроки в электронном виде в государственной интегрированной информационной системе управления общественными финансами "Электронный бюджет".

18. Министерство экономического развития Российской Федерации в порядке, предусмотренном соглашением, осуществляет контроль за выполнением субъектами Российской Федерации обязательств по достижению результатов использования субсидий в отчетном году на основании отчетов, представленных субъектами Российской Федерации.

18(1). Контроль за соблюдением субъектами Российской Федерации условий предоставления субсидий осуществляется Министерством экономического развития Российской Федерации и уполномоченными органами государственного финансового контроля. (в ред. Постановления Правительства РФ от 25.12.2021 N 2489)

19. Результатом использования субсидии по мероприятию, указанному в подпункте "а" пункта 2 настоящих Правил, является объем финансовой поддержки, оказанной субъектам малого и среднего предпринимательства при гарантийной поддержке региональными гарантийными организациями.

20. Результатом использования субсидии по мероприятию, указанному в подпункте "б" пункта 2 настоящих Правил, является количество субъектов малого и среднего предпринимательства, получивших поддержку при содействии государственной микрофинансовой организации.

21. Оценка эффективности использования субсидии осуществляется Министерством экономического развития Российской Федерации ежегодно путем сравнения фактически достигнутых и плановых значений результатов использования субсидии, установленных соглашением.

22. Поддержка оказывается субъектам малого и среднего предпринимательства, которые соответствуют критериям, установленным Федеральным законом "О развитии малого и среднего предпринимательства в Российской Федерации" и не относятся к субъектам малого и среднего предпринимательства, указанным в части 3 статьи 14 Федерального закона "О развитии малого и среднего предпринимательства в Российской Федерации", а также в части 4 указанной статьи, за исключением субъектов малого или среднего предпринимательства, осуществляющих деятельность в следующих отраслях:

сельское хозяйство, включая производство сельскохозяйственной продукции, а также предоставление услуг в сельском хозяйстве, в том числе в целях обеспечения импортозамещения и развития несырьевого экспорта;

обрабатывающее производство, в том числе производство пищевых продуктов, лекарственных средств, средств защиты и дезинфекции;

туристская деятельность и деятельность в области туристской индустрии в целях развития внутреннего и въездного туризма;

транспортировка и хранение;

деятельность в области здравоохранения;

деятельность гостиниц и предприятий общественного питания;

деятельность профессиональная, научная и техническая;

деятельность в сфере розничной и (или) оптовой торговли.

23. У субъектов малого и среднего предпринимательства, получателей поддержки за счет средств субсидии, не проверяется отсутствие просроченной задолженности по возврату в бюджет бюджетной системы Российской Федерации субсидий, бюджетных инвестиций, предоставленных в том числе в соответствии с иными правовыми актами Российской Федерации, и иной просроченной задолженности перед бюджетами бюджетной системы Российской Федерации.

24. Субъекты Российской Федерации обеспечивают реализацию мероприятий, указанных в пункте 2 настоящих Правил, в соответствии с требованиями, установленными Министерством экономического развития Российской Федерации к деятельности региональных гарантийных организаций и государственных микрофинансовых организаций, в части, не противоречащей настоящим Правилам.

При реализации субъектом Российской Федерации мероприятия, указанного в подпункте "а" пункта 2 настоящих Правил:

срок рассмотрения заявки на получение гарантии (поручительства) составляет не более 1 рабочего дня;

максимальная ставка вознаграждения за предоставление гарантии (поручительства) составляет не более 0,5 процента;

максимальный срок предоставления гарантии (поручительства) не превышает 3 лет.

При реализации субъектом Российской Федерации мероприятия, указанного в подпункте "б" пункта 2 настоящих Правил:

срок рассмотрения заявки на получение микрозайма составляет не более 1 рабочего дня;

процентная ставка за пользование микрозаймом при наличии или отсутствии залогового имущества не превышает ключевую ставку Центрального банка Российской Федерации, установленную на дату заключения договора микрозайма с субъектом малого и среднего предпринимательства;

максимальный срок предоставления микрозайма не превышает 2 лет.

Приложение
к Правилам предоставления и распределения
в 2020 году субсидий из федерального
бюджета бюджетам субъектов Российской
Федерации на оказание неотложных мер
по поддержке субъектов малого и среднего
предпринимательства в условиях ухудшения
ситуации в связи с распространением
новой коронавирусной инфекции

(форма)

Министерство экономического
развития Российской Федерации

ЗАЯВКА СУБЪЕКТА РОССИЙСКОЙ ФЕДЕРАЦИИ НА ПОЛУЧЕНИЕ В 2020 ГОДУ СУБСИДИИ ИЗ ФЕДЕРАЛЬНОГО БЮДЖЕТА БЮДЖЕТАМ СУБЪЕКТОВ РОССИЙСКОЙ ФЕДЕРАЦИИ НА ОКАЗАНИЕ НЕОТЛОЖНЫХ МЕР ПО ПОДДЕРЖКЕ СУБЪЕКТОВ МАЛОГО И СРЕДНЕГО ПРЕДПРИНИМАТЕЛЬСТВА В УСЛОВИЯХ УХУДШЕНИЯ СИТУАЦИИ В СВЯЗИ С РАСПРОСТРАНЕНИЕМ НОВОЙ КОРОНАВИРУСНОЙ ИНФЕКЦИИ

(в ред. Постановлений Правительства РФ от 31.03.2020 N 378, от 25.12.2021 N 2489)

В соответствии с Правилами предоставления и распределения в 2020 году субсидий из федерального бюджета бюджетам субъектов Российской Федерации на оказание неотложных мер по поддержке субъектов малого и среднего предпринимательства в условиях ухудшения ситуации в связи с распространением новой коронавирусной инфекции в рамках государственной программы Российской Федерации "Экономическое развитие и инновационная экономика", утвержденной постановлением Правительства Российской Федерации от 15 апреля 2014 г. N 316 "Об утверждении государственной программы Российской Федерации "Экономическое развитие и инновационная экономика" (далее соответственно - Правила, субсидия), выражаю согласие с условиями предоставления и распределения субсидии и обязуюсь обеспечить предельный уровень софинансирования расходного обязательства субъекта Российской Федерации, установленный в соответствии с положениями Правил формирования, предоставления и распределения субсидий из федерального бюджета бюджетам субъектов Российской Федерации, утвержденных постановлением Правительства Российской Федерации от 30 сентября 2014 г. N 999 "О формировании, предоставлении и распределении субсидий из федерального бюджета бюджетам субъектов Российской Федерации", по следующим мероприятиям и в следующих объемах: (в ред. Постановления Правительства РФ от 25.12.2021 N 2489)

,
(перечисляются мероприятия, указанные в пункте 2 Правил, предполагаемая сумма субсидии на реализацию каждого мероприятия (млн рублей)) 
а также обязуюсь обеспечить внесение соответствующих изменений в государственную программу (подпрограмму субъекта Российской Федерации) 
 
(указываются реквизиты и наименование нормативного акта) 
и бюджет субъекта Российской Федерации на ______ год и плановый период 
.
(указываются реквизиты и наименование нормативного акта) 

    
(должность высшего должностного лица субъекта Российской Федерации) (подпись) (ф.и.о.)
М.П.".    

Приложение N 35
к государственной программе
Российской Федерации "Экономическое
развитие и инновационная экономика"

ПРАВИЛА ПРЕДОСТАВЛЕНИЯ И РАСПРЕДЕЛЕНИЯ СУБСИДИЙ ИЗ ФЕДЕРАЛЬНОГО БЮДЖЕТА БЮДЖЕТАМ СУБЪЕКТОВ РОССИЙСКОЙ ФЕДЕРАЦИИ, ЗА ИСКЛЮЧЕНИЕМ ДОНЕЦКОЙ НАРОДНОЙ РЕСПУБЛИКИ, ЛУГАНСКОЙ НАРОДНОЙ РЕСПУБЛИКИ, ЗАПОРОЖСКОЙ ОБЛАСТИ И ХЕРСОНСКОЙ ОБЛАСТИ, НА ГОСУДАРСТВЕННУЮ ПОДДЕРЖКУ МАЛОГО И СРЕДНЕГО ПРЕДПРИНИМАТЕЛЬСТВА, А ТАКЖЕ ФИЗИЧЕСКИХ ЛИЦ, ПРИМЕНЯЮЩИХ СПЕЦИАЛЬНЫЙ НАЛОГОВЫЙ РЕЖИМ "НАЛОГ НА ПРОФЕССИОНАЛЬНЫЙ ДОХОД", В СУБЪЕКТАХ РОССИЙСКОЙ ФЕДЕРАЦИИ

(в ред. Постановлений Правительства РФ от 15.12.2020 N 2105, от 20.11.2021 N 1998, от 19.03.2022 N 413, от 28.03.2022 N 491, от 12.09.2022 N 1587, от 02.12.2022 N 2217, от 26.04.2023 N 657, от 12.08.2023 N 1324, от 30.11.2023 N 2033, от 16.05.2024 N 607)

1. Настоящие Правила устанавливают цели, порядок и условия предоставления и распределения начиная с 2021 года субсидий бюджетам субъектов Российской Федерации, за исключением Донецкой Народной Республики, Луганской Народной Республики, Запорожской области и Херсонской области, на государственную поддержку малого и среднего предпринимательства, а также физических лиц, применяющих специальный налоговый режим "Налог на профессиональный доход", в субъектах Российской Федерации в рамках государственной программы Российской Федерации "Экономическое развитие и инновационная экономика" (далее - субсидии). (в ред. Постановлений Правительства РФ от 02.12.2022 N 2217, от 30.11.2023 N 2033)

2. Субсидии предоставляются в целях софинансирования расходных обязательств субъектов Российской Федерации, в том числе субъектов Российской Федерации, имеющих низкий уровень социально-экономического развития, включенных в определенный решением Председателя Правительства Российской Федерации перечень субъектов Российской Федерации (далее - субъекты Российской Федерации, имеющие низкий уровень социально-экономического развития), и субъектов Российской Федерации, имеющих потенциал развития производственного сектора малого и среднего предпринимательства, перечень которых определяется в соответствии с настоящими Правилами, возникающих при реализации региональных проектов, обеспечивающих достижение целей, показателей и результатов федеральных проектов, входящих в состав национального проекта "Малое и среднее предпринимательство и поддержка индивидуальной предпринимательской инициативы" (далее соответственно - национальный проект, федеральный проект, региональный проект), предусматривающих оказание поддержки субъектам малого и среднего предпринимательства, а также физическим лицам, применяющим специальный налоговый режим "Налог на профессиональный доход", в том числе пострадавшим в результате обстрелов со стороны вооруженных формирований Украины и террористических актов, а также в условиях введения режимов повышенной готовности или чрезвычайной ситуации в соответствии с Федеральным законом "О защите населения и территорий от чрезвычайных ситуаций природного и техногенного характера" (далее - режим повышенной готовности или режим чрезвычайной ситуации). (в ред. Постановлений Правительства РФ от 28.03.2022 N 491, от 26.04.2023 N 657)

3. Субсидии предоставляются в целях софинансирования расходных обязательств субъектов Российской Федерации, возникающих при реализации региональных проектов в рамках следующих федеральных проектов:

а) федеральный проект "Создание благоприятных условий для осуществления деятельности самозанятыми гражданами", включающий мероприятие, направленное на достижение целей, показателей и результатов соответствующего регионального проекта, по результатам реализации которого самозанятым гражданам обеспечено предоставление комплекса информационно-консультационных и образовательных услуг организациями инфраструктуры поддержки малого и среднего предпринимательства и федеральными институтами развития (центрами компетенций) в офлайн- и онлайн-форматах;

б) федеральный проект "Создание условий для легкого старта и комфортного ведения бизнеса", включающий мероприятия, направленные на достижение целей, показателей и результатов соответствующих региональных проектов, по результатам реализации которых:

субъектам малого и среднего предпринимательства, включенным в реестр социальных предпринимателей, и (или) субъектам малого и среднего предпринимательства, созданным физическими лицами в возрасте до 25 лет включительно, предоставлены комплекс услуг и (или) финансовая поддержка; (в ред. Постановлений Правительства РФ от 19.03.2022 N 413, от 02.12.2022 N 2217, от 16.05.2024 N 607)

гражданам, желающим вести бизнес, начинающим и действующим предпринимателям предоставлен комплекс услуг, направленных на вовлечение в предпринимательскую деятельность, а также информационно-консультационных и образовательных услуг в офлайн- и онлайн-форматах на единой площадке региональной инфраструктуры поддержки бизнеса по единым требованиям к оказанию поддержки, а также в федеральных институтах развития;

в) федеральный проект "Акселерация субъектов малого и среднего предпринимательства", включающий мероприятия, направленные на достижение целей, показателей и результатов соответствующих региональных проектов, по результатам реализации которых:

субъектам малого и среднего предпринимательства обеспечен льготный доступ к заемным средствам государственных микрофинансовых организаций;

субъектам малого и среднего предпринимательства обеспечено привлечение финансирования за счет поручительств (независимых гарантий) фондов содействия кредитованию (гарантийных фондов, фондов поручительств) (далее - региональные гарантийные организации); (в ред. Постановлений Правительства РФ от 02.12.2022 N 2217, от 16.05.2024 N 607)

субъектам малого и среднего предпринимательства обеспечен льготный доступ к производственным площадям и помещениям индустриальных (промышленных) парков, агропромышленных парков, бизнес-парков, технопарков, промышленных технопарков в целях создания (развития) производственных и инновационных компаний; (в ред. Постановления Правительства РФ от 02.12.2022 N 2217)

субъектам малого и среднего предпринимательства обеспечено оказание комплексных услуг на единой площадке региональной инфраструктуры поддержки бизнеса, в том числе федеральными институтами развития; (в ред. Постановления Правительства РФ от 02.12.2022 N 2217)

субъектами малого и среднего предпринимательства осуществлен экспорт товаров (работ, услуг) при поддержке центров поддержки экспорта.

4. Понятия, используемые в настоящих Правилах, означают следующее:

Абзац второй. - Утратил силу. (в ред. Постановлений Правительства РФ от 20.11.2021 N 1998, от 02.12.2022 N 2217)

"бизнес-парк" - совокупность объектов межотраслевой инфраструктуры, включающая в себя объекты недвижимого имущества, полностью или частично находящиеся в собственности субъекта Российской Федерации и (или) муниципального образования и (или) в частной собственности, в том числе земельные участки, административные, производственные, складские и иные помещения и объекты технической, технологической, транспортной и коммунальной инфраструктуры, а также центры коллективного пользования оборудованием, обеспечивающие деятельность бизнес-парка, предназначенные для стимулирования (развития) производственной и инновационной деятельности и предоставления условий для работы его резидентов - субъектов малого и среднего предпринимательства и самозанятых граждан и управляемые управляющей компанией; (в ред. Постановления Правительства РФ от 02.12.2022 N 2217)

"государственная микрофинансовая организация" - микрофинансовая организация, одним из учредителей (участников, акционеров) которой является субъект Российской Федерации, предоставляющая микрозаймы субъектам малого и среднего предпринимательства и отвечающая критериям, установленным в соответствии с Федеральным законом "О развитии малого и среднего предпринимательства в Российской Федерации";

"многофункциональный центр для бизнеса" - инфраструктура поддержки субъектов малого и среднего предпринимательства, созданная в форме организации по решению высшего исполнительного органа субъекта Российской Федерации на территории субъекта Российской Федерации, в том числе в рамках системы предоставления государственных и муниципальных услуг в многофункциональных центрах, в целях предоставления субъектам малого и среднего предпринимательства, а также гражданам, планирующим начать предпринимательскую деятельность, услуг и мер поддержки, необходимых для ведения предпринимательской и иной приносящей доход деятельности, в соответствии с соглашениями (договорами) с федеральными органами исполнительной власти, органами государственных внебюджетных фондов, исполнительными органами субъектов Российской Федерации, органами местного самоуправления, организациями, образующими инфраструктуру поддержки субъектов малого и среднего предпринимательства, акционерным обществом "Федеральная корпорация по развитию малого и среднего предпринимательства", организациями, обеспечивающими подключение к сетям водо-, газо-, тепло- и электроснабжения, и некоммерческими организациями, выражающими интересы субъектов малого и среднего предпринимательства; (в ред. Постановления Правительства РФ от 12.09.2022 N 1587)

"муниципальная микрофинансовая организация" - микрофинансовая организация, одним из учредителей (участников, акционеров) которой является муниципальное образование, предоставляющая микрозаймы субъектам малого и среднего предпринимательства и отвечающая критериям, установленным в соответствии с Федеральным законом "О развитии малого и среднего предпринимательства в Российской Федерации";

Абзацы шестой и седьмой. - Утратили силу. (в ред. Постановления Правительства РФ от 02.12.2022 N 2217)

"реестр социальных предпринимателей" - единый реестр субъектов малого и среднего предпринимательства, который в соответствии с Федеральным законом "О развитии малого и среднего предпринимательства в Российской Федерации" содержит информацию о субъектах малого или среднего предпринимательства, осуществляющих деятельность в сфере социального предпринимательства;

"технопарк" - совокупность объектов технологической инфраструктуры, включающая в себя объекты недвижимого имущества, полностью или частично находящиеся в собственности субъекта Российской Федерации и (или) муниципального образования и (или) частной собственности, в том числе земельные участки, офисные здания, лабораторные и производственные помещения, объекты инженерной, транспортной инфраструктуры, созданные для осуществления деятельности субъектов малого и среднего предпринимательства и самозанятых граждан в сфере высоких технологий, инновационной деятельности, креативных индустрий, научно-технического и производственного предпринимательства и управляемые управляющей компанией - коммерческой или некоммерческой организацией, созданной в соответствии с законодательством Российской Федерации (далее - управляющая компания); (в ред. Постановления Правительства РФ от 02.12.2022 N 2217)

"требования к реализации мероприятий, направленных на достижение целей, показателей и результатов региональных проектов" - требования, установленные Министерством экономического развития Российской Федерации для реализации субъектами Российской Федерации мероприятий региональных проектов, предусматривающие основные направления расходов при реализации мероприятий, ключевые показатели эффективности реализации мероприятий, в том числе требования к организациям, образующим инфраструктуру поддержки субъектов малого и среднего предпринимательства.

В настоящих Правилах понятия "индустриальный (промышленный) парк", "промышленный технопарк" используются в значениях, определенных Федеральным законом "О промышленной политике в Российской Федерации", понятие "агропромышленный парк" используется в значении, определенном в требованиях к индустриальным (промышленным) паркам и управляющим компаниям индустриальных (промышленных) парков в целях применения к ним мер стимулирования деятельности в сфере промышленности, утвержденных постановлением Правительства Российской Федерации от 4 августа 2015 г. N 794 "Об индустриальных (промышленных) парках и управляющих компаниях индустриальных (промышленных) парков". (в ред. Постановления Правительства РФ от 02.12.2022 N 2217)

В рамках настоящих Правил агропромышленный парк, индустриальный (промышленный) парк, промышленный технопарк создаются для обеспечения достижения результата мероприятия, указанного в абзаце четвертом подпункта "в" пункта 3 настоящих Правил. (в ред. Постановления Правительства РФ от 02.12.2022 N 2217)

5. Государственная поддержка оказывается субъектам малого и среднего предпринимательства, которые соответствуют условиям, установленным Федеральным законом "О развитии малого и среднего предпринимательства в Российской Федерации", а также физическим лицам, применяющим специальный налоговый режим "Налог на профессиональный доход". Такая поддержка может им оказываться в соответствии с частью 1 статьи 14.1 Федерального закона "О развитии малого и среднего предпринимательства в Российской Федерации".

6. Предоставление субсидий осуществляется в пределах лимитов бюджетных обязательств, доведенных в установленном порядке до Министерства экономического развития Российской Федерации как получателя средств федерального бюджета на предоставление субсидий на цели, указанные в пунктах 1 и 2 настоящих Правил. (в ред. Постановления Правительства РФ от 20.11.2021 N 1998)

7. Министерство экономического развития Российской Федерации:

а) вносит на рассмотрение в проектный комитет по национальному проекту (далее - проектный комитет) предложения о согласовании изменения размеров субсидий, в том числе в части проектов по созданию и (или) развитию индустриального (промышленного) парка, агропромышленного парка, бизнес-парка, технопарка или промышленного технопарка (далее - проект по созданию и (или) развитию парка), сформированных на основании заявок субъектов Российской Федерации на получение субсидии; (в ред. Постановлений Правительства РФ от 20.11.2021 N 1998, от 02.12.2022 N 2217)

б) определяет:

форму отчета об исполнении графика приобретения, установки и ввода в эксплуатацию оборудования и (или) программного обеспечения;

перечень и формы документов, а также сроки и порядок представления документов субъектом Российской Федерации в Министерство экономического развития Российской Федерации для рассмотрения (согласования) мероприятий;

формы, сроки и порядок представления документов, предусматривающих направления расходов (сметы), ключевые показатели эффективности реализации мероприятий и их фактическое исполнение;

форму графика выполнения мероприятия по созданию и (или) развитию индустриального (промышленного) парка, агропромышленного парка, бизнес-парка, технопарка или промышленного технопарка и отчета об исполнении мероприятия по созданию и (или) развитию индустриального (промышленного) парка, агропромышленного парка, бизнес-парка, технопарка или промышленного технопарка; (в ред. Постановления Правительства РФ от 02.12.2022 N 2217)

в) осуществляет экспертизу комплектов документов, представляемых субъектами Российской Федерации, при этом может привлекать к работе экспертов из числа представителей федеральных органов исполнительной власти, независимых представителей общественных, деловых объединений и иных организаций (далее - экспертная группа);

г) формирует экспертную группу, утверждает ее состав и определяет порядок ее работы;

д) на основании предложений экспертной группы осуществляет количественную оценку затрат субъектов Российской Федерации на реализацию мероприятий по созданию и (или) развитию объектов капитального строительства, в целях софинансирования которых предоставляется субсидия, на соответствующий финансовый год.

8. Проектный комитет принимает решение о согласовании изменения размеров субсидии на реализацию мероприятий (в том числе в части проектов по созданию и (или) развитию парков).

9. Субсидии предоставляются при соблюдении субъектами Российской Федерации следующих условий:

а) наличие государственной программы (подпрограммы) субъекта Российской Федерации, в которой региональный проект, соответствующий федеральному проекту, обособлен в виде отдельного структурного элемента, включающей перечень мероприятий (результатов), при реализации которых возникают расходные обязательства субъекта Российской Федерации, в целях софинансирования которых предоставляются субсидии; (в ред. Постановления Правительства РФ от 12.08.2023 N 1324)

б) наличие в бюджете субъекта Российской Федерации бюджетных ассигнований на исполнение расходного обязательства субъекта Российской Федерации, софинансирование которого осуществляется из федерального бюджета, в объеме, необходимом для его исполнения, включающем размер планируемой к предоставлению из федерального бюджета субсидии; (в ред. Постановления Правительства РФ от 30.11.2023 N 2033)

в) заключение соглашения между Министерством экономического развития Российской Федерации и высшим исполнительным органом субъекта Российской Федерации о предоставлении субсидии в соответствии с пунктом 10 Правил формирования, предоставления и распределения субсидий из федерального бюджета бюджетам субъектов Российской Федерации, утвержденных постановлением Правительства Российской Федерации от 30 сентября 2014 г. N 999 "О формировании, предоставлении и распределении субсидий из федерального бюджета бюджетам субъектов Российской Федерации" (далее соответственно - Правила формирования, предоставления и распределения субсидий, соглашение о предоставлении субсидии). (в ред. Постановления Правительства РФ от 12.09.2022 N 1587)

10. Критериями отбора субъектов Российской Федерации для предоставления субсидии являются соответствие мероприятий, указанных в заявке субъекта Российской Федерации на получение субсидии по форме согласно приложению (далее - заявка), мероприятиям, указанным в пункте 3 настоящих Правил, а также наличие юридического лица, наделенного функциями единого органа управления организациями, образующими инфраструктуру поддержки субъектов малого и среднего предпринимательства, и иными организациями поддержки субъектов малого и среднего предпринимательства, требования к которому установлены в соответствии с пунктом 10 приложения N 10 к государственной программе Российской Федерации "Экономическое развитие и инновационная экономика", утвержденной постановлением Правительства Российской Федерации от 15 апреля 2014 г. N 316 "Об утверждении государственной программы Российской Федерации "Экономическое развитие и инновационная экономика".

11. Расчетный размер субсидии, предоставляемой бюджету i-го субъекта Российской Федерации в очередном финансовом году (i), определяется по формуле:

,

где:

- расчетный размер субсидии, предоставляемой бюджету i-го субъекта Российской Федерации в очередном финансовом году в целях софинансирования расходных обязательств субъекта Российской Федерации, возникающих при реализации мероприятия, указанного в подпункте "а" пункта 3 настоящих Правил;

- расчетный размер субсидии, предоставляемой бюджету i-го субъекта Российской Федерации в очередном финансовом году в целях софинансирования расходных обязательств субъекта Российской Федерации, возникающих при реализации мероприятия, указанного в абзаце втором подпункта "б" пункта 3 настоящих Правил;

- расчетный размер субсидии, предоставляемой бюджету i-го субъекта Российской Федерации в очередном финансовом году в целях софинансирования расходных обязательств субъекта Российской Федерации, возникающих при реализации мероприятия, указанного в абзаце третьем подпункта "б" пункта 3 настоящих Правил;

- расчетный размер субсидии, предоставляемой бюджету i-го субъекта Российской Федерации, прошедшего отбор, в очередном финансовом году в целях софинансирования расходных обязательств субъекта Российской Федерации, возникающих при реализации мероприятия, указанного в абзаце втором подпункта "в" пункта 3 настоящих Правил;

- расчетный размер субсидии, предоставляемой бюджету i-го субъекта Российской Федерации в очередном финансовом году в целях софинансирования расходных обязательств субъекта Российской Федерации, возникающих при реализации мероприятия, указанного в абзаце третьем подпункта "в" пункта 3 настоящих Правил;

- расчетный размер субсидии, предоставляемой бюджету i-го субъекта Российской Федерации в очередном финансовом году в целях софинансирования расходных обязательств субъекта Российской Федерации, возникающих при реализации мероприятия, указанного в абзаце четвертом подпункта "в" пункта 3 настоящих Правил;

- расчетный размер субсидии, предоставляемой бюджету i-го субъекта Российской Федерации в очередном финансовом году в целях софинансирования расходных обязательств субъекта Российской Федерации, возникающих при реализации мероприятия, указанного в абзаце пятом подпункта "в" пункта 3 настоящих Правил;

- расчетный размер субсидии, предоставляемой бюджету i-го субъекта Российской Федерации в очередном финансовом году в целях софинансирования расходных обязательств субъекта Российской Федерации, возникающих при реализации мероприятия, указанного в абзаце шестом подпункта "в" пункта 3 настоящих Правил.

12. Расчетный размер субсидии, предоставляемой бюджету i-го субъекта Российской Федерации в очередном финансовом году в целях софинансирования расходных обязательств субъекта Российской Федерации, возникающих при реализации мероприятия, указанного в подпункте "а" пункта 3 настоящих Правил (), определяется по формуле:

,

где:

- фиксированный размер субсидии, предоставляемой i-му субъекту Российской Федерации, равный 1 млн. рублей (для г. Москвы фиксированный размер субсидии равен 0 рублей);

- общий объем бюджетных ассигнований, предусмотренных в федеральном бюджете на предоставление субсидии на соответствующий финансовый год в целях софинансирования расходных обязательств субъектов Российской Федерации, возникающих при реализации мероприятия, указанного в подпункте "а" пункта 3 настоящих Правил; (в ред. Постановления Правительства РФ от 20.11.2021 N 1998)

n - общее количество субъектов Российской Федерации, которым предоставляются субсидии;

- предельный уровень софинансирования расходных обязательств субъекта Российской Федерации, установленный в соответствии с положениями Правил формирования, предоставления и распределения субсидий;

- доля физических лиц, применяющих специальный налоговый режим "Налог на профессиональный доход", в i-м субъекте Российской Федерации в общем количестве физических лиц, применяющих специальный налоговый режим "Налог на профессиональный доход" в Российской Федерации. В целях предоставления субсидии на 2021 год рассчитывается в соответствии с плановыми значениями показателя федерального проекта "Создание благоприятных условий для осуществления деятельности самозанятыми гражданами" национального проекта, установленными на год, предшествующий году предоставления субсидии, в последующие годы рассчитывается в соответствии с данными Федеральной налоговой службы по состоянию на 1 августа 2022 г.; (в ред. Постановлений Правительства РФ от 20.11.2021 N 1998, от 30.11.2023 N 2033)

- доля безработных граждан в i-м субъекте Российской Федерации в общей численности населения i-го субъекта Российской Федерации на 1 января 2022 г., по данным Федеральной службы государственной статистики. (в ред. Постановления Правительства РФ от 30.11.2023 N 2033)

13. Расчетный размер субсидии, предоставляемой бюджету i-го субъекта Российской Федерации в очередном финансовом году в целях софинансирования расходных обязательств субъекта Российской Федерации, возникающих при реализации мероприятия, указанного в абзаце втором подпункта "б" пункта 3 настоящих Правил (), определяется по формуле:

, (в ред. Постановления Правительства РФ от 02.12.2022 N 2217)

где:

- фиксированный размер субсидии, предоставляемой i-му субъекту Российской Федерации, равный 3 млн. рублей (для г. Москвы фиксированный размер субсидии равен 0 рублей);

- общий объем бюджетных ассигнований, предусмотренных в федеральном бюджете на предоставление субсидии на соответствующий финансовый год в целях софинансирования расходных обязательств субъектов Российской Федерации, возникающих при реализации мероприятия, указанного в абзаце втором подпункта "б" пункта 3 настоящих Правил; (в ред. Постановления Правительства РФ от 20.11.2021 N 1998)

В случае если сумма по всем субъектам Российской Федерации больше, чем , тогда определяется по формуле: (в ред. Постановления Правительства РФ от 30.11.2023 N 2033)

; (в ред. Постановления Правительства РФ от 30.11.2023 N 2033)

- доля социальных предприятий, включенных в реестр социальных предпринимателей, в i-м субъекте Российской Федерации в общем количестве социальных предприятий, включенных в реестр социальных предпринимателей, в Российской Федерации на 10 июля 2022 г., по данным Федеральной налоговой службы. При этом если количество социальных предприятий, включенных в реестр социальных предпринимателей, в i-м субъекте Российской Федерации на 10 июля 2022 г., по данным Федеральной налоговой службы, равно нулю, Di для таких субъектов Российской Федерации принимается равным минимальному значению Di среди всех остальных субъектов Российской Федерации; (в ред. Постановлений Правительства РФ от 02.12.2022 N 2217, от 30.11.2023 N 2033)

- коэффициент, характеризующий наличие (отсутствие) центра инноваций социальной сферы в i-м субъекте Российской Федерации, равный:

1 - при отсутствии центра инноваций социальной сферы; (в ред. Постановления Правительства РФ от 02.12.2022 N 2217)

1,5 - при наличии центра инноваций социальной сферы; (в ред. Постановления Правительства РФ от 02.12.2022 N 2217)

- доля субъектов малого и среднего предпринимательства, созданных физическими лицами в возрасте до 25 лет включительно, в i-м субъекте Российской Федерации в общем количестве субъектов малого и среднего предпринимательства в i-м субъекте Российской Федерации на 10 июля 2022 г., по данным Федеральной налоговой службы. (в ред. Постановлений Правительства РФ от 02.12.2022 N 2217, от 30.11.2023 N 2033)

14. Расчетный размер субсидии, предоставляемой бюджету i-го субъекта Российской Федерации в очередном финансовом году в целях софинансирования расходных обязательств субъекта Российской Федерации, возникающих при реализации мероприятия, указанного в абзаце третьем подпункта "б" пункта 3 настоящих Правил (), определяется по формуле:

,

где:

- фиксированный размер субсидии, предоставляемой i-му субъекту Российской Федерации, равный 2 млн. рублей (для г. Москвы фиксированный размер субсидии равен 0 рублей);

- общий объем бюджетных ассигнований, предусмотренных в федеральном бюджете на предоставление субсидии на соответствующий финансовый год в целях софинансирования расходных обязательств субъектов Российской Федерации, возникающих при реализации мероприятия, указанного в абзаце третьем подпункта "б" пункта 3 настоящих Правил; (в ред. Постановления Правительства РФ от 20.11.2021 N 1998)

2022 г. - доля вновь созданных субъектов малого и среднего предпринимательства в i-м субъекте Российской Федерации в общем количестве вновь созданных субъектов малого и среднего предпринимательства в Российской Федерации на 10 января 2022 г., по данным Федеральной налоговой службы. (в ред. Постановления Правительства РФ от 30.11.2023 N 2033)

15. Субсидия в целях софинансирования расходных обязательств субъекта Российской Федерации, возникающих при реализации мероприятия, указанного в абзаце втором подпункта "в" пункта 3 настоящих Правил, предоставляется бюджету i-го субъекта Российской Федерации в очередном финансовом году после прохождения 4-ступенчатого отбора по следующим критериям: (в ред. Постановления Правительства РФ от 12.08.2023 N 1324)

а) субъект Российской Федерации проходит отбор, если средний размер кредита, предоставленного одному субъекту малого и среднего предпринимательства в субъекте Российской Федерации, определяемый как отношение объема кредитов, предоставленных субъектам малого и среднего предпринимательства, по данным Центрального банка Российской Федерации, к количеству субъектов малого и среднего предпринимательства, зарегистрированных в субъекте Российской Федерации, по данным Федеральной налоговой службы, меньше расчетного среднероссийского значения или равен ему по состоянию на 1 января года, предшествующего году предоставления субсидии (расчет показателя до 2 знаков после запятой);

б) субъект Российской Федерации проходит отбор, если отношение объема кредитов, предоставленных субъектам малого и среднего предпринимательства, по данным Центрального банка Российской Федерации, к обороту субъектов малого и среднего предпринимательства в субъекте Российской Федерации, по данным Федеральной службы государственной статистики, меньше расчетного среднероссийского значения или равно ему на 1 января года, предшествующего году предоставления субсидии (расчет показателя до 2 знаков после запятой);

в) субъект Российской Федерации проходит отбор, если государственным (муниципальным) микрофинансовым организациям в i-м субъекте Российской Федерации акционерным обществом "Федеральная корпорация по развитию малого и среднего предпринимательства" в порядке, установленном в соответствии с частью 8 статьи 15.4 Федерального закона "О развитии малого и среднего предпринимательства в Российской Федерации", присвоен ранг эффективности, соответствующий ранговой категории эффективности, согласно которой степень эффективности деятельности государственных (муниципальных) микрофинансовых организаций не признается неэффективной, и ранг финансовой устойчивости, который не соответствует ранговой категории финансовой устойчивости низкого уровня или характеризующей дефолт; (в ред. Постановления Правительства РФ от 12.08.2023 N 1324)

г) субъект Российской Федерации проходит отбор, если коэффициент, характеризующий общую эффективность деятельности государственных и муниципальных микрофинансовых организаций в i-м субъекте Российской Федерации, равен единице. (в ред. Постановления Правительства РФ от 12.08.2023 N 1324)

16. При низкой эффективности деятельности государственных и муниципальных микрофинансовых организаций в i-м субъекте Российской Федерации субъектам Российской Федерации, в которых действуют 2 и более государственные и муниципальные микрофинансовые организации, при условиях эффективной деятельности государственной микрофинансовой организации и прохождения первых 2 ступеней отбора в соответствии с пунктом 15 настоящих Правил при определении расчетного размера субсидии выделяется 5 процентов размера субсидии, распределяемой между субъектами Российской Федерации в очередном финансовом году в целях софинансирования расходных обязательств субъектов Российской Федерации, возникающих при реализации мероприятия, указанного в абзаце втором подпункта "в" пункта 3 настоящих Правил.

17. К субъектам Российской Федерации, бюджетам которых ранее не предоставлялась субсидия в целях софинансирования расходных обязательств субъектов Российской Федерации, возникающих при создании государственной микрофинансовой организации, не применяются критерии отбора, предусмотренные пунктом 15 настоящих Правил, при этом размер субсидии для таких субъектов Российской Федерации увеличивается на 50 млн. рублей при условии, что расчетный размер субсидии для них составляет менее 300 млн. рублей.

18. Расчетный размер субсидии, предоставляемой бюджету i-го субъекта Российской Федерации, прошедшего отбор, в очередном финансовом году в целях софинансирования расходных обязательств субъекта Российской Федерации, возникающих при реализации мероприятия, указанного в абзаце втором подпункта "в" пункта 3 настоящих Правил (), определяется по формуле:

,,

где:

- общий объем бюджетных ассигнований, предусмотренных в федеральном бюджете на предоставление субсидии на соответствующий финансовый год в целях софинансирования расходных обязательств субъектов Российской Федерации, возникающих при реализации мероприятия, указанного в абзаце втором подпункта "в" пункта 3 настоящих Правил; (в ред. Постановления Правительства РФ от 20.11.2021 N 1998)

- коэффициент количества субъектов малого и среднего предпринимательства в i-м субъекте Российской Федерации;

Абзац шестой. - Утратил силу. (в ред. Постановления Правительства РФ от 30.11.2023 N 2033)

- коэффициент капитализации государственной микрофинансовой организации в i-м субъекте Российской Федерации на 1 января года, предшествующего году предоставления субсидии, равный:

2 - если капитализация государственной микрофинансовой организации в i-м субъекте Российской Федерации на 1 января года, предшествующего году предоставления субсидии, меньше или равна 300 млн. рублей или если государственная микрофинансовая организация не создана;

1 - если капитализация государственной микрофинансовой организации в i-м субъекте Российской Федерации на 1 января года, предшествующего году предоставления субсидии (К), больше 300 млн. рублей.

Коэффициент количества субъектов малого и среднего предпринимательства в i-м субъекте Российской Федерации () определяется по формуле:

,

где:

- количество субъектов малого и среднего предпринимательства в i-м субъекте Российской Федерации на 10 января года, предшествующего году предоставления субсидии, по данным Федеральной налоговой службы;

H - количество субъектов малого и среднего предпринимательства в Российской Федерации на 10 января года, предшествующего году предоставления субсидии, по данным Федеральной налоговой службы.

19. Расчетный размер субсидии, предоставляемой бюджету i-го субъекта Российской Федерации в очередном финансовом году в целях софинансирования расходных обязательств субъекта Российской Федерации, возникающих при реализации мероприятия, указанного в абзаце третьем подпункта "в" пункта 3 настоящих Правил (), определяется по формуле: (в ред. Постановления Правительства РФ от 02.12.2022 N 2217)

, (в ред. Постановления Правительства РФ от 02.12.2022 N 2217)

где: (в ред. Постановления Правительства РФ от 02.12.2022 N 2217)

- расчетный размер субсидии, необходимой для финансового обеспечения затрат региональной гарантийной организации i-го субъекта Российской Федерации с гарантийным капиталом по состоянию на 1 июля 2022 г. не менее 450 млн. рублей на исполнение обязательств по поручительствам и (или) независимым гарантиям, предоставленным в целях обеспечения исполнения обязательств субъектов малого и среднего предпринимательства, основанных на кредитных договорах, договорах займа, договорах финансовой аренды (лизинга), договорах о предоставлении банковской гарантии и иных договорах, заключенных субъектами малого и среднего предпринимательства (далее - обязательства субъектов малого и среднего предпринимательства), определяемый по формуле: (в ред. Постановлений Правительства РФ от 02.12.2022 N 2217, от 30.11.2023 N 2033)

, (в ред. Постановления Правительства РФ от 02.12.2022 N 2217)

где: (в ред. Постановления Правительства РФ от 02.12.2022 N 2217)

- размер гарантийного капитала региональной гарантийной организации в i-м субъекте Российской Федерации по состоянию на 1 июля 2022 г., определяемый на основании информации, представленной региональной гарантийной организацией в порядке, установленном Министерством экономического развития Российской Федерации; (в ред. Постановлений Правительства РФ от 02.12.2022 N 2217, от 30.11.2023 N 2033)

- размер действующего портфеля поручительств и (или) независимых гарантий региональной гарантийной организации по обязательствам субъектов малого и среднего предпринимательства в i-м субъекте Российской Федерации по состоянию на 1 июля 2022 г., определяемый на основании информации, представленной региональной гарантийной организацией в порядке, установленном Министерством экономического развития Российской Федерации; (в ред. Постановлений Правительства РФ от 02.12.2022 N 2217, от 30.11.2023 N 2033)

- коэффициент, характеризующий средневзвешенную величину размера затрат региональных гарантийных организаций на исполнение обязательств по поручительствам и (или) независимым гарантиям, предоставленным в целях обеспечения исполнения обязательств субъектов малого и среднего предпринимательства, рассчитанный как средневзвешенное значение отношения объема исполненных обязательств по всем региональным гарантийным организациям за 2019 - 2021 годы к действующим портфелям поручительств и (или) независимых гарантий всех региональных гарантийных организаций на 1 января за 2019 - 2021 годы; (в ред. Постановлений Правительства РФ от 02.12.2022 N 2217, от 30.11.2023 N 2033)

- коэффициент, зависящий от ранга эффективности и (или) ранга финансовой устойчивости региональной гарантийной организации i-го субъекта Российской Федерации, присвоенного акционерным обществом "Федеральная корпорация по развитию малого и среднего предпринимательства" в порядке, установленном в соответствии с частью 9 статьи 15.2 Федерального закона "О развитии малого и среднего предпринимательства в Российской Федерации" федеральным органом исполнительной власти, осуществляющим функции по выработке государственной политики и нормативно-правовому регулированию в сфере развития предпринимательской деятельности, в том числе среднего и малого бизнеса, в 2022 году, равный: (в ред. Постановлений Правительства РФ от 02.12.2022 N 2217, от 30.11.2023 N 2033)

0 - если ранг эффективности региональной гарантийной организации соответствует ранговой категории эффективности, согласно которой гарантийная и операционная деятельность региональной гарантийной организации признается неэффективной, и (или) если ранг финансовой устойчивости соответствует ранговой категории финансовой устойчивости низкого уровня или не присваивался; (в ред. Постановления Правительства РФ от 02.12.2022 N 2217)

1 - в иных случаях; (в ред. Постановления Правительства РФ от 02.12.2022 N 2217)

- коэффициент мультипликатора, равный: (в ред. Постановления Правительства РФ от 02.12.2022 N 2217)

1 - в случае если равен или превышает 1,5; (в ред. Постановления Правительства РФ от 02.12.2022 N 2217)

0 - в случае если менее 1,5; (в ред. Постановления Правительства РФ от 02.12.2022 N 2217)

- отношение размера действующего портфеля поручительств и (или) независимых гарантий региональной гарантийной организации по обязательствам субъектов малого и среднего предпринимательства в i-м субъекте Российской Федерации по состоянию на 1 июля 2022 г. (), к размеру гарантийного капитала региональной гарантийной организации в i-м субъекте Российской Федерации по состоянию на 1 июля 2022 г. (); (в ред. Постановлений Правительства РФ от 02.12.2022 N 2217, от 30.11.2023 N 2033)

- коэффициент использования ранее полученной субсидии, необходимой для финансового обеспечения затрат региональной гарантийной организации i-го субъекта Российской Федерации с гарантийным капиталом по состоянию на 1 июля 2022 г., не менее 450 млн. рублей на исполнение обязательств по поручительствам и (или) независимым гарантиям, предоставляемым в целях обеспечения исполнения обязательств субъектов малого и среднего предпринимательства, равный: (в ред. Постановлений Правительства РФ от 02.12.2022 N 2217, от 30.11.2023 N 2033)

0,8 - в случае если менее 3 у региональных гарантийных организаций, получивших субсидию для финансового обеспечения затрат указанных региональных гарантийных организаций на исполнение обязательств по поручительствам и (или) независимым гарантиям, предоставляемым в целях обеспечения исполнения обязательств субъектов малого и среднего предпринимательства, в 2021 году или менее 2,5 у региональных гарантийных организаций, получивших субсидию для финансового обеспечения затрат указанных региональных гарантийных организаций на исполнение обязательств по поручительствам и (или) независимым гарантиям, предоставляемым в целях обеспечения исполнения обязательств субъектов малого и среднего предпринимательства, в 2022 году; (в ред. Постановлений Правительства РФ от 02.12.2022 N 2217, от 30.11.2023 N 2033)

1 - в иных случаях; (в ред. Постановления Правительства РФ от 02.12.2022 N 2217)

- предельный уровень софинансирования расходных обязательств i-го субъекта Российской Федерации, установленный в соответствии с положениями Правил формирования, предоставления и распределения субсидий; (в ред. Постановления Правительства РФ от 02.12.2022 N 2217)

- коэффициент гарантийного капитала, используемый при расчете размера субсидии, необходимой для финансового обеспечения затрат региональной гарантийной организации i-го субъекта Российской Федерации с гарантийным капиталом по состоянию на 1 июля 2022 г., не менее 450 млн. рублей на исполнение обязательств по поручительствам и (или) независимым гарантиям, предоставляемым в целях обеспечения исполнения обязательств субъектов малого и среднего предпринимательства, равный: (в ред. Постановлений Правительства РФ от 02.12.2022 N 2217, от 30.11.2023 N 2033)

1 - в случае если равен или превышает 450 млн. рублей; (в ред. Постановления Правительства РФ от 02.12.2022 N 2217)

0 - в случае если менее 450 млн. рублей; (в ред. Постановления Правительства РФ от 02.12.2022 N 2217)

- расчетный размер субсидии, необходимой для докапитализации региональной гарантийной организации i-го субъекта Российской Федерации с гарантийным капиталом по состоянию на 1 июля 2022 г. менее 450 млн. рублей, определяемый по формуле: (в ред. Постановлений Правительства РФ от 02.12.2022 N 2217, от 30.11.2023 N 2033)

,

(в ред. Постановления Правительства РФ от 02.12.2022 N 2217)

где: (в ред. Постановления Правительства РФ от 02.12.2022 N 2217)

- общий объем бюджетных ассигнований, предусмотренных в федеральном бюджете на предоставление субсидии на соответствующий финансовый год в целях софинансирования расходных обязательств субъектов Российской Федерации, возникающих при реализации мероприятия, указанного в абзаце третьем подпункта "в" пункта 3 настоящих Правил; (в ред. Постановления Правительства РФ от 02.12.2022 N 2217)

p - количество всех действующих региональных гарантийных организаций субъектов Российской Федерации с гарантийным капиталом по состоянию на 1 июля 2022 г. не менее 450 млн. рублей; (в ред. Постановлений Правительства РФ от 02.12.2022 N 2217, от 30.11.2023 N 2033)

- коэффициент пропорциональности расчетного размера субсидии, необходимой для докапитализации региональной гарантийной организации i-го субъекта Российской Федерации с гарантийным капиталом по состоянию на 1 июля 2022 г. менее 450 млн. рублей, определяемый по формуле: (в ред. Постановлений Правительства РФ от 02.12.2022 N 2217, от 30.11.2023 N 2033)

,

(в ред. Постановления Правительства РФ от 02.12.2022 N 2217)

где: (в ред. Постановления Правительства РФ от 02.12.2022 N 2217)

- коэффициент, характеризующий среднюю расчетную величину, необходимую для докапитализации до 450 млн. рублей региональных гарантийных организаций с гарантийным капиталом по состоянию на 1 июля 2022 г. менее 450 млн. рублей, рассчитываемый по формуле: (в ред. Постановлений Правительства РФ от 02.12.2022 N 2217, от 30.11.2023 N 2033)

,

(в ред. Постановления Правительства РФ от 02.12.2022 N 2217)

где: (в ред. Постановления Правительства РФ от 02.12.2022 N 2217)

n - количество всех действующих региональных гарантийных организаций субъектов Российской Федерации с гарантийным капиталом по состоянию на 1 июля 2022 г. менее 450 млн. рублей; (в ред. Постановлений Правительства РФ от 02.12.2022 N 2217, от 30.11.2023 N 2033)

- коэффициент мультипликатора, равный: (в ред. Постановления Правительства РФ от 02.12.2022 N 2217)

0 - в случае если менее 1,5; (в ред. Постановления Правительства РФ от 02.12.2022 N 2217)

1 - в случае если равен или превышает 1,5 и менее 2,5; (в ред. Постановления Правительства РФ от 02.12.2022 N 2217)

1,5 - в случае если равен или превышает 2,5 и менее 3; (в ред. Постановления Правительства РФ от 02.12.2022 N 2217)

2 - в случае если равен или превышает 3; (в ред. Постановления Правительства РФ от 02.12.2022 N 2217)

- коэффициент гарантийного капитала, используемый при расчете размера субсидии, необходимой для докапитализации региональной гарантийной организации i-го субъекта Российской Федерации с гарантийным капиталом по состоянию на 1 июля 2022 г. менее 450 млн. рублей, равный: (в ред. Постановлений Правительства РФ от 02.12.2022 N 2217, от 30.11.2023 N 2033)

1 - в случае если менее 450 млн. рублей; (в ред. Постановления Правительства РФ от 02.12.2022 N 2217)

0 - в случае если равен или превышает 450 млн. рублей. (в ред. Постановления Правительства РФ от 02.12.2022 N 2217)

Субсидия, необходимая для финансового обеспечения затрат региональных гарантийных организаций с гарантийным капиталом по состоянию на 1 июля 2022 г. не менее 450 млн. рублей на исполнение обязательств по поручительствам и (или) независимым гарантиям, предоставляемым в целях обеспечения исполнения обязательств субъектов малого и среднего предпринимательства, также может направляться на компенсацию затрат таких региональных гарантийных организаций на исполнение обязательств по поручительствам и (или) независимым гарантиям, предоставляемым в целях обеспечения исполнения обязательств субъектов малого и среднего предпринимательства, понесенных в году предоставления субсидии, в том числе до даты получения указанной субсидии. (в ред. Постановлений Правительства РФ от 02.12.2022 N 2217, от 30.11.2023 N 2033)

В случае неиспользования (неполного использования) региональными гарантийными организациями субсидии, необходимой для финансового обеспечения исполнения обязательств по поручительствам и (или) независимым гарантиям, предоставляемым в целях обеспечения исполнения обязательств субъектов малого и среднего предпринимательства, в году ее предоставления указанная субсидия может быть использована на те же цели в последующие годы. (в ред. Постановления Правительства РФ от 30.11.2023 N 2033)

20. В рамках реализации мероприятия, указанного в абзаце четвертом подпункта "в" пункта 3 настоящих Правил, субсидии предоставляются в целях софинансирования расходных обязательств субъектов Российской Федерации, имеющих низкий уровень социально-экономического развития, и (или) субъектов Российской Федерации, имеющих потенциал развития производственного сектора малого и среднего предпринимательства, возникающих при реализации проектов по созданию и (или) развитию парков. (в ред. Постановлений Правительства РФ от 28.03.2022 N 491, от 02.12.2022 N 2217)

Абзацы второй - двенадцатый. - Утратили силу. (в ред. Постановления Правительства РФ от 02.12.2022 N 2217)

20.1. Перечень субъектов Российской Федерации, имеющих потенциал развития производственного сектора малого и среднего предпринимательства, формируется на основании сводного рейтинга и публикуется на официальном сайте Министерства экономического развития Российской Федерации в информационно-телекоммуникационной сети "Интернет". (в ред. Постановлений Правительства РФ от 28.03.2022 N 491, от 02.12.2022 N 2217)

В перечень субъектов Российской Федерации, имеющих потенциал развития производственного сектора малого и среднего предпринимательства, включаются первые 10 субъектов Российской Федерации, набравших минимальное значение в сводном рейтинге, за исключением субъектов Российской Федерации, имеющих низкий уровень социально-экономического развития, входящих в состав Дальневосточного и Северо-Кавказского федеральных округов, Республики Крым и г. Севастополя. (в ред. Постановления Правительства РФ от 28.03.2022 N 491)

Сводный рейтинг состоит из суммы рангов по значениям показателей. (в ред. Постановления Правительства РФ от 28.03.2022 N 491)

Ранжирование по значениям показателей осуществляется от меньшего значения показателя к большему. (в ред. Постановления Правительства РФ от 28.03.2022 N 491)

Показателями, используемыми для формирования сводного рейтинга, являются: (в ред. Постановления Правительства РФ от 28.03.2022 N 491)

доля субъектов малого и среднего предпринимательства в i-м субъекте Российской Федерации, осуществляющих деятельность в области обрабатывающего производства, в общем количестве субъектов малого и среднего предпринимательства, осуществляющих деятельность в области обрабатывающего производства, в Российской Федерации (), которая определяется по формуле: (в ред. Постановления Правительства РФ от 28.03.2022 N 491)

, (в ред. Постановления Правительства РФ от 28.03.2022 N 491)

где: (в ред. Постановления Правительства РФ от 28.03.2022 N 491)

- количество субъектов малого и среднего предпринимательства, осуществляющих в качестве основной деятельности деятельность, относящуюся к разделу C Общероссийского классификатора видов экономической деятельности ОК 029-2014 (КДЕС Ред. 2), за исключением производства табачных изделий, i-го субъекта Российской Федерации на 10 января 2021 г., по данным Федеральной налоговой службы, единиц; (в ред. Постановления Правительства РФ от 28.03.2022 N 491)

- количество субъектов малого и среднего предпринимательства, осуществляющих в качестве основной деятельности деятельность, относящуюся к разделу C Общероссийского классификатора видов экономической деятельности ОК 029-2014 (КДЕС Ред. 2), за исключением производства табачных изделий, в Российской Федерации на 10 января 2021 г., по данным Федеральной налоговой службы, единиц; (в ред. Постановления Правительства РФ от 28.03.2022 N 491)

доля оборота субъектов малого и среднего предпринимательства, за исключением выручки индивидуальных предпринимателей, i-го субъекта Российской Федерации в общем обороте субъектов малого и среднего предпринимательства, за исключением выручки индивидуальных предпринимателей, в Российской Федерации (), которая определяется по формуле: (в ред. Постановления Правительства РФ от 28.03.2022 N 491)

, (в ред. Постановления Правительства РФ от 28.03.2022 N 491)

где: (в ред. Постановления Правительства РФ от 28.03.2022 N 491)

- оборот субъектов малого и среднего предпринимательства, за исключением выручки индивидуальных предпринимателей, i-го субъекта Российской Федерации за 2019 год, по данным Федеральной службы государственной статистики, тыс. рублей; (в ред. Постановления Правительства РФ от 28.03.2022 N 491)

- оборот субъектов малого и среднего предпринимательства, за исключением выручки индивидуальных предпринимателей, в Российской Федерации за 2019 год, по данным Федеральной службы государственной статистики, тыс. рублей; (в ред. Постановления Правительства РФ от 28.03.2022 N 491)

доля занятых работников субъектов малого и среднего предпринимательства в i-м субъекте Российской Федерации в общей численности занятого населения в возрасте 15 - 72 лет в i-м субъекте Российской Федерации (), которая определяется по формуле: (в ред. Постановления Правительства РФ от 28.03.2022 N 491)

, (в ред. Постановления Правительства РФ от 28.03.2022 N 491)

где: (в ред. Постановления Правительства РФ от 28.03.2022 N 491)

- число работников юридических лиц и индивидуальных предпринимателей i-го субъекта Российской Федерации по состоянию на конец IV квартала 2020 г., по данным Федеральной налоговой службы, человек; (в ред. Постановления Правительства РФ от 28.03.2022 N 491)

- количество индивидуальных предпринимателей - субъектов малого и среднего предпринимательства i-го субъекта Российской Федерации по состоянию на конец IV квартала 2020 г., по данным Федеральной налоговой службы, единиц; (в ред. Постановления Правительства РФ от 28.03.2022 N 491)

- численность занятых в возрасте 15 - 72 лет i-го субъекта Российской Федерации за 2020 год, по данным Федеральной службы государственной статистики, человек; (в ред. Постановления Правительства РФ от 28.03.2022 N 491)

среднее значение за 2018 - 2020 годы среднедушевого денежного дохода населения i-го субъекта Российской Федерации, скорректированного на коэффициент соотношения стоимости фиксированного набора потребительских товаров и услуг i-го субъекта Российской Федерации (), который определяется по каждому году по формуле: (в ред. Постановления Правительства РФ от 28.03.2022 N 491)

, (в ред. Постановления Правительства РФ от 28.03.2022 N 491)

где: (в ред. Постановления Правительства РФ от 28.03.2022 N 491)

- среднедушевые денежные доходы населения i-го субъекта Российской Федерации на IV квартал соответствующего года, по данным Федеральной службы государственной статистики, рублей в месяц; (в ред. Постановления Правительства РФ от 28.03.2022 N 491)

- соотношение средней стоимости фиксированного набора потребительских товаров и услуг i-го субъекта Российской Федерации за соответствующий год к средней стоимости фиксированного набора потребительских товаров и услуг в Российской Федерации за соответствующий год, по данным Федеральной службы государственной статистики. Коэффициент определяется отдельно по каждому году, при этом используется следующее правило: (в ред. Постановления Правительства РФ от 28.03.2022 N 491)

если > 1, применяется , (в ред. Постановления Правительства РФ от 28.03.2022 N 491)

если < 1, применяется = 1; (в ред. Постановления Правительства РФ от 28.03.2022 N 491)

среднее значение за 2018 - 2020 годы доли численности населения с денежными доходами ниже величины прожиточного минимума i-го субъекта Российской Федерации в общей численности населения i-го субъекта Российской Федерации, по данным Федеральной службы государственной статистики, процентов; (в ред. Постановления Правительства РФ от 28.03.2022 N 491)

среднее значение за 2018 - 2020 годы уровня безработицы населения в возрасте 15 лет и старше i-го субъекта Российской Федерации, по данным Федеральной службы государственной статистики, процентов. Значение по указанному показателю округляется до 1 знака после запятой; (в ред. Постановления Правительства РФ от 28.03.2022 N 491)

среднее значение за 2018 - 2020 годы инвестиций в основной капитал на душу населения i-го субъекта Российской Федерации, по данным Федеральной службы государственной статистики, рублей. (в ред. Постановления Правительства РФ от 28.03.2022 N 491)

20.2. Субъект Российской Федерации, имеющий низкий уровень социально-экономического развития, или субъект Российской Федерации, имеющий потенциал развития производственного сектора малого и среднего предпринимательства, может представить в Министерство экономического развития Российской Федерации в составе заявки несколько проектов по созданию и (или) развитию парков, реализация которых рассчитана на 1 год (однолетний проект по созданию и (или) развитию парка) или на 2 года (двухлетний проект по созданию и (или) развитию парка). (в ред. Постановления Правительства РФ от 02.12.2022 N 2217)

Для предоставления субсидии, предусмотренной пунктом 20 настоящих Правил, Министерством экономического развития Российской Федерации может быть отобрано не более 3 проектов по созданию и (или) развитию парков на очередной год предоставления субсидии и не более 5 проектов по созданию и (или) развитию парков за весь период реализации национального проекта каждого субъекта Российской Федерации, имеющего низкий уровень социально-экономического развития, или субъекта Российской Федерации, имеющего потенциал развития производственного сектора малого и среднего предпринимательства. (в ред. Постановления Правительства РФ от 02.12.2022 N 2217)

Предметом отбора проектов по созданию и (или) развитию парков является определение наиболее качественных и экономически обоснованных проектов по созданию и (или) развитию парков, прошедших предварительную оценку субъектом Российской Федерации на соответствие проекта по созданию и (или) развитию парка условиям отбора и критериям оценки, предусмотренным настоящими Правилами. (в ред. Постановления Правительства РФ от 02.12.2022 N 2217)

Критериями оценки проектов по созданию и (или) развитию парков являются: (в ред. Постановления Правительства РФ от 02.12.2022 N 2217)

полнота и качество представленной обосновывающей документации, в том числе проектной документации; (в ред. Постановления Правительства РФ от 02.12.2022 N 2217)

уровень обеспеченности субъекта Российской Федерации, имеющего низкий уровень социально-экономического развития, или субъекта Российской Федерации, имеющего потенциал развития производственного сектора малого и среднего предпринимательства, действующими индустриальными (промышленными) парками, агропромышленными парками, бизнес-парками, технопарками или промышленными технопарками и их заполненность резидентами, количество созданных рабочих мест; (в ред. Постановления Правительства РФ от 02.12.2022 N 2217)

доля подтвержденного внебюджетного (частного) софинансирования проекта по созданию и (или) развитию парка в его общей стоимости, составляющая не менее 20 процентов; (в ред. Постановления Правительства РФ от 02.12.2022 N 2217)

уровень заполненности площади объекта потенциальными и (или) действующими резидентами; (в ред. Постановления Правительства РФ от 02.12.2022 N 2217)

срок завершения проекта по созданию и (или) развитию парка; (в ред. Постановления Правительства РФ от 02.12.2022 N 2217)

степень влияния на показатели национального проекта. (в ред. Постановления Правительства РФ от 02.12.2022 N 2217)

21. Расчетный размер субсидии, предоставляемой бюджету i-го субъекта Российской Федерации, в целях софинансирования расходных обязательств субъекта Российской Федерации, возникающих при реализации мероприятия, указанного в абзаце четвертом подпункта "в" пункта 3 настоящих Правил (), определяется по формуле: (в ред. Постановления Правительства РФ от 28.03.2022 N 491)

, (в ред. Постановления Правительства РФ от 28.03.2022 N 491)

где: (в ред. Постановления Правительства РФ от 28.03.2022 N 491)

g - количество проектов по созданию и (или) развитию парков i-го субъекта Российской Федерации, в отношении которых принято решение о предоставлении субсидии в очередном финансовом году; (в ред. Постановления Правительства РФ от 28.03.2022 N 491)

j - проект по созданию и (или) развитию парка субъекта Российской Федерации; (в ред. Постановления Правительства РФ от 28.03.2022 N 491)

- размер субсидии, предоставляемой бюджету i-го субъекта Российской Федерации, имеющего низкий уровень социально-экономического развития, или i-го субъекта Российской Федерации, имеющего потенциал развития производственного сектора малого и среднего предпринимательства, в очередном финансовом году на реализацию j-го проекта по созданию и (или) развитию парка, отобранного в соответствии с настоящими Правилами, который определяется по формуле: (в ред. Постановления Правительства РФ от 28.03.2022 N 491)

, (в ред. Постановления Правительства РФ от 02.12.2022 N 2217)

где (в ред. Постановления Правительства РФ от 02.12.2022 N 2217)

- количественная оценка затрат средств федерального бюджета и бюджета субъекта Российской Федерации на реализацию j-го проекта по созданию и (или) развитию парка. (в ред. Постановления Правительства РФ от 02.12.2022 N 2217)

Абзацы девятый - тринадцатый. - Утратили силу. (в ред. Постановления Правительства РФ от 02.12.2022 N 2217)

22. Оценка проектов по созданию и (или) развитию парков осуществляется экспертной группой по балльной системе в соответствии с критериями, указанными в пункте 20.2 настоящих Правил. (в ред. Постановления Правительства РФ от 02.12.2022 N 2217)

Итоговый балл по проекту по созданию и (или) развитию парка () определяется по формуле: (в ред. Постановления Правительства РФ от 02.12.2022 N 2217)

, (в ред. Постановления Правительства РФ от 02.12.2022 N 2217)

где: (в ред. Постановления Правительства РФ от 02.12.2022 N 2217)

- показатель, характеризующий оценку по критерию, касающемуся полноты и качества представленной обосновывающей документации, в том числе проектной документации, определяемый по формуле: (в ред. Постановления Правительства РФ от 02.12.2022 N 2217)

, (в ред. Постановления Правительства РФ от 02.12.2022 N 2217)

где: (в ред. Постановления Правительства РФ от 02.12.2022 N 2217)

- экспертная оценка полноты и качества представленной субъектом Российской Федерации, имеющим низкий уровень социально-экономического развития, или субъектом Российской Федерации, имеющим потенциал развития производственного сектора малого и среднего предпринимательства, обосновывающей документации, включая предпроектную документацию (пояснительная записка, бизнес-план, мастер-план, финансовый план) и проектную документацию, которая может принимать значения от 0 до 1 балла с шагом 0,1 балла; (в ред. Постановления Правительства РФ от 02.12.2022 N 2217)

- коэффициент наличия в составе представленной субъектом Российской Федерации, имеющим низкий уровень социально-экономического развития, или субъектом Российской Федерации, имеющим потенциал развития производственного сектора малого и среднего предпринимательства, обосновывающей документации, в том числе проектной документации, равный: (в ред. Постановления Правительства РФ от 02.12.2022 N 2217)

0,5 - при отсутствии проектной документации в составе заявки; (в ред. Постановления Правительства РФ от 02.12.2022 N 2217)

1 - при наличии проектной документации в составе заявки; (в ред. Постановления Правительства РФ от 02.12.2022 N 2217)

- показатель, характеризующий оценку по критерию, касающемуся уровня обеспеченности i-го субъекта Российской Федерации, имеющего низкий уровень социально-экономического развития, или субъекта Российской Федерации, имеющего потенциал развития производственного сектора малого и среднего предпринимательства, действующими индустриальными (промышленными) парками, агропромышленными парками, бизнес-парками, технопарками или промышленными технопарками, и их заполненность резидентами, количество созданных рабочих мест, по состоянию на 1-е число месяца, предшествующего месяцу проведения отбора заявок, по данным государственной информационной системы промышленности, за исключением заявленного индустриального (промышленного) парка, агропромышленного парка, бизнес-парка, технопарка или промышленного технопарка, равный: (в ред. Постановления Правительства РФ от 02.12.2022 N 2217)

0 - при наличии на территории i-го субъекта Российской Федерации, имеющего низкий уровень социально-экономического развития, или субъекта Российской Федерации, имеющего потенциал развития производственного сектора малого и среднего предпринимательства, действующих индустриальных (промышленных) парков, агропромышленных парков, бизнес-парков, технопарков, промышленных технопарков, суммарная полезная площадь которых в зависимости от типа проекта по созданию и (или) развитию парка заполнена резидентами менее чем на 20 процентов; (в ред. Постановления Правительства РФ от 02.12.2022 N 2217)

0,5 - при наличии на территории i-го субъекта Российской Федерации, имеющего низкий уровень социально-экономического развития, или субъекта Российской Федерации, имеющего потенциал развития производственного сектора малого и среднего предпринимательства, действующих индустриальных (промышленных) парков, агропромышленных парков, бизнес-парков, технопарков, промышленных технопарков, суммарная полезная площадь которых в зависимости от типа проекта по созданию и (или) развитию парка заполнена резидентами на 20 - 60 процентов; (в ред. Постановления Правительства РФ от 02.12.2022 N 2217)

1 - при наличии на территории i-го субъекта Российской Федерации, имеющего низкий уровень социально-экономического развития, или субъекта Российской Федерации, имеющего потенциал развития производственного сектора малого и среднего предпринимательства, действующих индустриальных (промышленных) парков, агропромышленных парков, бизнес-парков, технопарков, промышленных технопарков, суммарная полезная площадь которых в зависимости от типа проекта по созданию и (или) развитию парка заполнена резидентами более чем на 60 процентов, либо при отсутствии на территории i-го субъекта Российской Федерации, имеющего низкий уровень социально-экономического развития, или субъекта Российской Федерации, имеющего потенциал развития производственного сектора малого и среднего предпринимательства, действующих индустриальных (промышленных) парков, агропромышленных парков, бизнес-парков, технопарков или промышленных технопарков; (в ред. Постановления Правительства РФ от 02.12.2022 N 2217)

- показатель, характеризующий оценку по критерию, касающемуся доли подтвержденного внебюджетного (частного) софинансирования проекта по созданию и (или) развитию парка в его общей стоимости, в случае превышения минимально необходимого уровня софинансирования (более 20 процентов стоимости проекта по созданию и (или) развитию парка), равный: (в ред. Постановления Правительства РФ от 02.12.2022 N 2217)

0 - при уровне внебюджетного (частного) софинансирования проекта по созданию и (или) развитию парка более 20 процентов до 25 процентов включительно; (в ред. Постановления Правительства РФ от 02.12.2022 N 2217)

0,5 - при уровне внебюджетного (частного) софинансирования проекта по созданию и (или) развитию парка более 25 процентов до 40 процентов включительно; (в ред. Постановления Правительства РФ от 02.12.2022 N 2217)

1 - при уровне внебюджетного (частного) софинансирования проекта по созданию и (или) развитию парка более 40 процентов. (в ред. Постановления Правительства РФ от 02.12.2022 N 2217)

При этом в случае участия в софинансировании проекта по созданию и (или) развитию парка юридического лица, одним из учредителей (участников) или акционеров которого является субъект Российской Федерации (муниципальное образование), уровень внебюджетного (частного) софинансирования определяется только за счет доходов, полученных от коммерческой деятельности; (в ред. Постановления Правительства РФ от 02.12.2022 N 2217)

- показатель, характеризующий оценку по критерию, касающемуся уровня заполненности площади объекта потенциальными и (или) действующими резидентами, равный: (в ред. Постановления Правительства РФ от 02.12.2022 N 2217)

0 - при наличии соглашений (соглашений о намерениях) с резидентами об использовании такими резидентами не менее 15 процентов площади территории индустриального (промышленного) парка, агропромышленного парка, бизнес-парка, технопарка или промышленного технопарка; (в ред. Постановления Правительства РФ от 02.12.2022 N 2217)

0,5 - при наличии соглашений (соглашений о намерениях) с резидентами об использовании такими резидентами от 15,1 процента до 30 процентов площади территории индустриального (промышленного) парка, агропромышленного парка, бизнес-парка, технопарка или промышленного технопарка; (в ред. Постановления Правительства РФ от 02.12.2022 N 2217)

1 - при наличии соглашений (соглашений о намерениях) с резидентами об использовании такими резидентами более чем 30,1 процента площади территории индустриального (промышленного) парка, агропромышленного парка, бизнес-парка, технопарка или промышленного технопарка; (в ред. Постановления Правительства РФ от 02.12.2022 N 2217)

- показатель, характеризующий оценку по критерию, касающемуся срока завершения проекта по созданию и (или) развитию парка, равный: (в ред. Постановления Правительства РФ от 02.12.2022 N 2217)

2 - при сроке завершения однолетнего проекта по созданию и (или) развитию парка в году предоставления субсидии или в I квартале года, следующего за годом предоставления субсидии; (в ред. Постановления Правительства РФ от 02.12.2022 N 2217)

1,5 - при сроке завершения однолетнего проекта по созданию и (или) развитию парка во II либо III квартале года, следующего за годом предоставления субсидии; (в ред. Постановления Правительства РФ от 02.12.2022 N 2217)

1 - при сроке завершения двухлетнего проекта по созданию и (или) развитию парка в году, следующем за годом предоставления субсидии, или в I квартале года, следующего за вторым годом после года предоставления субсидии; (в ред. Постановления Правительства РФ от 02.12.2022 N 2217)

0,5 - при сроке завершения двухлетнего проекта по созданию и (или) развитию парка во II либо III квартале года, следующего за вторым годом после года предоставления субсидии; (в ред. Постановления Правительства РФ от 02.12.2022 N 2217)

- показатель, характеризующий оценку по критерию, касающемуся степени влияния на показатели национального проекта, определяемый по формуле: (в ред. Постановления Правительства РФ от 02.12.2022 N 2217)

, (в ред. Постановления Правительства РФ от 02.12.2022 N 2217)

где: (в ред. Постановления Правительства РФ от 02.12.2022 N 2217)

- коэффициент, характеризующий оценку стоимости создаваемых при реализации проекта по созданию и (или) развитию парка рабочих мест за счет субсидии (план по состоянию на 2026 год), равный: (в ред. Постановления Правительства РФ от 02.12.2022 N 2217)

0 - если значение коэффициента больше среднероссийского показателя, рассчитанного по всем представленным проектам по созданию и (или) развитию парков; (в ред. Постановления Правительства РФ от 02.12.2022 N 2217)

1 - если значение коэффициента меньше среднероссийского показателя, рассчитанного по всем представленным проектам по созданию и (или) развитию парков, либо равно ему; (в ред. Постановления Правительства РФ от 02.12.2022 N 2217)

- коэффициент, характеризующий оценку валовой выручки резидентов (план нарастающим итогом по состоянию на 2026 год), генерируемой при реализации проекта по созданию и (или) развитию парка на 1 рубль расчетного размера субсидии, предусмотренной пунктом 20 настоящих Правил, равный: (в ред. Постановления Правительства РФ от 02.12.2022 N 2217)

1 - если значение коэффициента больше среднероссийского показателя, рассчитанного по всем представленным проектам по созданию и (или) развитию парков; (в ред. Постановления Правительства РФ от 02.12.2022 N 2217)

0 - если значение коэффициента меньше среднероссийского показателя, рассчитанного по всем представленным проектам по созданию и (или) развитию парков, либо равно ему. (в ред. Постановления Правительства РФ от 02.12.2022 N 2217)

23. Министерство экономического развития Российской Федерации с учетом предложений экспертной группы ранжирует проекты по созданию и (или) развитию парков в порядке убывания суммы баллов. (в ред. Постановления Правительства РФ от 02.12.2022 N 2217)

Первостепенно ранжируются проекты по созданию и (или) развитию парков по субъектам Российской Федерации, имеющим низкий уровень социально-экономического развития, затем - по субъектам Российской Федерации, имеющим потенциал развития производственного сектора малого и среднего предпринимательства. (в ред. Постановления Правительства РФ от 02.12.2022 N 2217)

Если в список отобранных проектов по созданию и (или) развитию парков попадают одновременно 2 проекта по созданию и (или) развитию парков, локализованных в пределах одной производственной площадки (индустриального (промышленного) парка, промышленного технопарка, территории опережающего развития, особой экономической зоны, территории инновационного научно-технологического центра), приоритет отдается проекту по созданию и (или) развитию парка, набравшему наибольшее количество баллов при оценке качества проекта по созданию и (или) развитию парка, при этом второй проект по созданию и (или) развитию парка такой производственной площадки исключается из списка. (в ред. Постановления Правительства РФ от 02.12.2022 N 2217)

В случае равенства баллов среди прочих проектов по созданию и (или) развитию парков приоритетными считаются проекты по созданию и (или) развитию парков с более высоким уровнем степени влияния реализации такого проекта на показатели национального проекта. (в ред. Постановления Правительства РФ от 02.12.2022 N 2217)

Субсидия, предусмотренная пунктом 20 настоящих Правил, не предоставляется субъектам Российской Федерации, имеющим низкий уровень социально-экономического развития, или субъектам Российской Федерации, имеющим потенциал развития производственного сектора малого и среднего предпринимательства, имеющим неисполненные обязательства и (или) допустившим нарушения обязательств по реализации проектов по созданию и (или) развитию парков, финансирование которых осуществлялось в рамках соглашений о предоставлении субсидий в предшествующие годы. (в ред. Постановления Правительства РФ от 02.12.2022 N 2217)

Предельный размер субсидии, предоставляемой на реализацию одного проекта по созданию и (или) развитию парка, не может превышать 500 млн. рублей при реализации двухлетнего проекта по созданию и (или) развитию парка и 250 млн. рублей - при реализации однолетнего проекта по созданию и (или) развитию парка, при этом на реализацию проекта по созданию и (или) развитию парка, получившего поддержку, повторно субсидия не предоставляется. (в ред. Постановления Правительства РФ от 02.12.2022 N 2217)

Субсидии, предусмотренные пунктом 20 настоящих Правил, распределяются среди отобранных проектов по созданию и (или) развитию парков субъектов Российской Федерации, имеющих низкий уровень социально-экономического развития, и субъектов Российской Федерации, имеющих потенциал развития производственного сектора малого и среднего предпринимательства, в порядке убывания суммы баллов. В случае если образуется остаток менее размера субсидии, рассчитанного для очередного проекта по созданию и (или) развитию парка такого субъекта Российской Федерации, такой проект по созданию и (или) развитию парка считается последним в перечне проектов, на реализацию которого предоставляется субсидия в очередном финансовом году. (в ред. Постановления Правительства РФ от 02.12.2022 N 2217)

В случае если расчетный размер субсидии, предоставляемой в целях софинансирования расходных обязательств субъектов Российской Федерации, возникших при реализации отобранных проектов по созданию и (или) развитию парков субъектов Российской Федерации, имеющих низкий уровень социально-экономического развития, или субъектов Российской Федерации, имеющих потенциал развития производственного сектора малого и среднего предпринимательства, меньше общего размера субсидии, предусмотренной для распределения по результатам отбора проектов по созданию и (или) развитию парков, соответствующий остаток бюджетных ассигнований на предоставление субсидии на реализацию мероприятия, указанного в абзаце четвертом подпункта "в" пункта 3 настоящих Правил, распределяется между субъектами Российской Федерации на реализацию мероприятия, указанного в абзаце пятом подпункта "в" пункта 3 настоящих Правил. (в ред. Постановления Правительства РФ от 02.12.2022 N 2217)

24. Неотъемлемой частью соглашения о предоставлении субсидии, предусматривающего реализацию мероприятия, указанного в абзаце четвертом подпункта "в" пункта 3 настоящих Правил, является график выполнения мероприятия по созданию и (или) развитию индустриального (промышленного) парка, агропромышленного парка, бизнес-парка, технопарка или промышленного технопарка, составляемый по форме, утвержденной Министерством экономического развития Российской Федерации. (в ред. Постановления Правительства РФ от 02.12.2022 N 2217)

При реализации проекта по созданию и (или) развитию парка субъект Российской Федерации представляет в Министерство экономического развития Российской Федерации в срок до 1 апреля года предоставления субсидии утвержденную в соответствии с законодательством Российской Федерации проектную документацию, подготовленную с учетом подпункта "в" пункта 9 настоящих Правил, или типовую проектную документацию (при наличии такой документации). Не допускается кассовое исполнение федерального бюджета по расходам на предоставление субсидии, предусмотренной пунктом 20 настоящих Правил, до представления указанных документов. (в ред. Постановления Правительства РФ от 02.12.2022 N 2217)

Министерство экономического развития Российской Федерации в соответствии с подпунктом "а" пункта 7 настоящих Правил вносит на рассмотрение в проектный комитет предложение о согласовании полного или частичного сокращения размера субсидии, предусмотренной пунктом 20 настоящих Правил, в случаях непредставления субъектом Российской Федерации в Министерство экономического развития Российской Федерации документов, предусмотренных абзацем вторым настоящего пункта, по состоянию на 1 апреля года предоставления субсидии и (или) отклонения от графика выполнения мероприятия по созданию и (или) развитию индустриального (промышленного) парка, агропромышленного парка, бизнес-парка, технопарка или промышленного технопарка более чем на 40 процентов по состоянию на 1 октября года предоставления субсидии. (в ред. Постановления Правительства РФ от 02.12.2022 N 2217)

Высвободившиеся или не востребованные субъектом Российской Федерации, имеющим низкий уровень социально-экономического развития, или субъектом Российской Федерации, имеющим потенциал развития производственного сектора малого и среднего предпринимательства, бюджетные ассигнования на предоставление субсидии, предусмотренной пунктом 20 настоящих Правил, перераспределяются на основании решения проектного комитета между другими проектами по созданию и (или) развитию парков, имеющими проектную документацию и отобранными в рамках мероприятия, указанного в абзаце четвертом подпункта "в" пункта 3 настоящих Правил. (в ред. Постановления Правительства РФ от 02.12.2022 N 2217)

25. Расчетный размер субсидии, предоставляемой бюджету i-го субъекта Российской Федерации в очередном финансовом году в целях софинансирования расходных обязательств субъекта Российской Федерации, возникающих при реализации мероприятия, указанного в абзаце пятом подпункта "в" пункта 3 настоящих Правил (), определяется по формуле:

,

где:

- общий объем бюджетных ассигнований, предусмотренных в федеральном бюджете на предоставление субсидии на соответствующий финансовый год в целях софинансирования расходных обязательств субъектов Российской Федерации, возникающих при реализации мероприятия, указанного в абзаце пятом подпункта "в" пункта 3 настоящих Правил; (в ред. Постановления Правительства РФ от 20.11.2021 N 1998)

- коэффициент, характеризующий количество субъектов малого и среднего предпринимательства (за исключением вновь созданных субъектов малого и среднего предпринимательства) в i-м субъекте Российской Федерации в расчете на 1000 человек населения, который определяется по формуле:

где:

- количество субъектов малого и среднего предпринимательства в i-м субъекте Российской Федерации на 10 января 2022 г. по данным Федеральной налоговой службы; (в ред. Постановления Правительства РФ от 30.11.2023 N 2033)

- количество вновь созданных субъектов малого и среднего предпринимательства в i-м субъекте Российской Федерации на 10 января 2022 г. по данным Федеральной налоговой службы; (в ред. Постановления Правительства РФ от 30.11.2023 N 2033)

- общая численность населения i-го субъекта Российской Федерации на 1 января 2022 г. (в ред. Постановления Правительства РФ от 30.11.2023 N 2033)

26. Расчетный размер субсидии, предоставляемой бюджету i-го субъекта Российской Федерации в очередном финансовом году в целях софинансирования расходных обязательств субъекта Российской Федерации, возникающих при реализации мероприятия, указанного в абзаце шестом подпункта "в" пункта 3 настоящих Правил (), определяется по формуле:

где:

- общий объем бюджетных ассигнований, предусмотренных в федеральном бюджете на предоставление субсидии на соответствующий финансовый год в целях софинансирования расходных обязательств субъектов Российской Федерации, возникающих при реализации мероприятия, указанного в абзаце шестом подпункта "в" пункта 3 настоящих Правил; (в ред. Постановления Правительства РФ от 20.11.2021 N 1998)

- коэффициент, характеризующий наличие (отсутствие) центра поддержки экспорта в i-м субъекте Российской Федерации, равный:

1,5 - при отсутствии центра поддержки экспорта;

1 - при наличии центра поддержки экспорта;

- групповой коэффициент, характеризующий уровень экспортного развития и экспортного потенциала в i-м субъекте Российской Федерации на 1 января 2022 г., равный: (в ред. Постановления Правительства РФ от 30.11.2023 N 2033)

5 - если коэффициент, характеризующий количество субъектов малого и среднего предпринимательства, в том числе экспортеров, общий объем несырьевого экспорта, отраслевую и страновую диверсификацию в i-м субъекте Российской Федерации на 1 января 2022 г. (), больше или равен 4,8; (в ред. Постановления Правительства РФ от 30.11.2023 N 2033)

4 - если коэффициент, характеризующий количество субъектов малого и среднего предпринимательства, в том числе экспортеров, общий объем несырьевого экспорта, отраслевую и страновую диверсификацию в i-м субъекте Российской Федерации на 1 января 2022 г. (), больше или равен 4 и меньше 4,8; (в ред. Постановления Правительства РФ от 30.11.2023 N 2033)

3 - если коэффициент, характеризующий количество субъектов малого и среднего предпринимательства, в том числе экспортеров, общий объем несырьевого экспорта, отраслевую и страновую диверсификацию в i-м субъекте Российской Федерации на 1 января 2022 г. (), больше или равен 3 и меньше 4; (в ред. Постановления Правительства РФ от 30.11.2023 N 2033)

2 - если коэффициент, характеризующий количество субъектов малого и среднего предпринимательства, в том числе экспортеров, общий объем несырьевого экспорта, отраслевую и страновую диверсификацию в i-м субъекте Российской Федерации на 1 января 2022 г. (), больше или равен 2 и меньше 3; (в ред. Постановления Правительства РФ от 30.11.2023 N 2033)

1 - если коэффициент, характеризующий количество субъектов малого и среднего предпринимательства, в том числе экспортеров, общий объем несырьевого экспорта, отраслевую и страновую диверсификацию в i-м субъекте Российской Федерации на 1 января 2022 г. (), больше или равен 1 и меньше 2; (в ред. Постановления Правительства РФ от 30.11.2023 N 2033)

- коэффициент, характеризующий позицию i-го субъекта Российской Федерации в рейтинге центров поддержки экспорта по итогам года, который формируется акционерным обществом "Российский экспортный центр" по состоянию на 1 января 2022 г. в соответствии с методикой формирования рейтинга центров поддержки экспорта, установленной Министерством экономического развития Российской Федерации, равный: (в ред. Постановления Правительства РФ от 30.11.2023 N 2033)

1,5 - для субъектов Российской Федерации, центры поддержки экспорта которых занимают в рейтинге места с 1 по 27;

1,25 - для субъектов Российской Федерации, центры поддержки экспорта которых занимают в рейтинге места с 28 по 54;

1 - для субъектов Российской Федерации, центры поддержки экспорта которых занимают в рейтинге места с 55 и ниже, а также для субъектов Российской Федерации, у которых годовой объем бюджетных ассигнований в бюджете субъекта Российской Федерации на исполнение расходных обязательств субъекта Российской Федерации, в целях софинансирования которых предоставляется субсидия, предусмотренная настоящим пунктом, включающий размер такой субсидии и средства бюджета субъекта Российской Федерации на исполнение указанных расходных обязательств, направленных на создание и (или) развитие i-го центра поддержки экспорта (далее - объем бюджетных ассигнований, направленных на создание и (или) развитие i-го центра поддержки экспорта), по состоянию на 1 января 2022 г. равен 0; (в ред. Постановлений Правительства РФ от 02.12.2022 N 2217, от 30.11.2023 N 2033)

- коэффициент, характеризующий уровень эффективности использования субсидии, равный: (в ред. Постановления Правительства РФ от 02.12.2022 N 2217)

для субъектов Российской Федерации, в которых центр поддержки экспорта создан до 2020 года: (в ред. Постановления Правительства РФ от 30.11.2023 N 2033)

1,5 - если уровень эффективности i-го центра поддержки экспорта () больше или равен 30;

1,25 - если уровень эффективности i-го центра поддержки экспорта () больше или равен 15 и меньше 30;

1 - если уровень эффективности i-го центра поддержки экспорта () больше или равен 7 и меньше 15;

0,5 - если уровень эффективности i-го центра поддержки экспорта () больше или равен 1 и меньше 7;

0 - если уровень эффективности i-го центра поддержки экспорта (Эi) меньше 1 (может быть увеличен до 0,5 в случае, если отношение объема поддержанного экспорта i-го центра поддержки экспорта за 9 месяцев 2022 г. в рублях по курсу Центрального банка Российской Федерации по состоянию на 1 октября 2022 г. к объему бюджетных ассигнований, направленных на создание и (или) развитие i-го центра поддержки экспорта, i-го субъекта Российской Федерации, предусмотренному в 2022 году, больше или равно 1); (в ред. Постановлений Правительства РФ от 02.12.2022 N 2217, от 30.11.2023 N 2033)

для субъектов Российской Федерации, у которых объем субсидии, направленной на создание и (или) развитие i-го центра поддержки экспорта, в 2022 году равен 0: (в ред. Постановлений Правительства РФ от 02.12.2022 N 2217, от 30.11.2023 N 2033)

0 - если отношение объема поддержанного экспорта i-го центра поддержки экспорта за 9 месяцев 2022 г. в рублях по курсу Центрального банка Российской Федерации по состоянию на 1 октября 2022 г. к объему бюджетных ассигнований, направленных на создание и (или) развитие i-го центра поддержки экспорта, i-го субъекта Российской Федерации в году, в котором в последний раз бюджету i-го субъекта Российской Федерации предоставлялась субсидия на создание и (или) развитие i-го центра поддержки экспорта, меньше 1; (в ред. Постановлений Правительства РФ от 02.12.2022 N 2217, от 30.11.2023 N 2033)

0,5 - если отношение объема поддержанного экспорта i-го центра поддержки экспорта за 9 месяцев 2022 г. в рублях по курсу Центрального банка Российской Федерации по состоянию на 1 октября 2022 г. к объему бюджетных ассигнований, направленных на создание и (или) развитие i-го центра поддержки экспорта, i-го субъекта Российской Федерации в году, в котором в последний раз бюджету i-го субъекта Российской Федерации предоставлялась субсидия на создание и (или) развитие i-го центра поддержки экспорта, больше или равно 1; (в ред. Постановлений Правительства РФ от 02.12.2022 N 2217, от 30.11.2023 N 2033)

для субъектов Российской Федерации, в которых центр поддержки экспорта создан в 2020 - 2022 годах: (в ред. Постановления Правительства РФ от 30.11.2023 N 2033)

1,5 - если уровень эффективности i-го центра поддержки экспорта () больше или равен 30;

1,25 - если уровень эффективности i-го центра поддержки экспорта () больше или равен 15 и меньше 30;

1 - если уровень эффективности i-го центра поддержки экспорта () меньше 15.

Коэффициент, характеризующий количество субъектов малого и среднего предпринимательства, в том числе экспортеров, общий объем несырьевого экспорта, отраслевую и страновую диверсификацию в i-м субъекте Российской Федерации на 1 января 2022 г. (), определяется по формуле: (в ред. Постановления Правительства РФ от 30.11.2023 N 2033)

,

где:

- коэффициент, характеризующий общее количество зарегистрированных субъектов малого и среднего предпринимательства в i-м субъекте Российской Федерации, по данным Федеральной налоговой службы, равный:

5 - если в i-м субъекте Российской Федерации количество зарегистрированных субъектов малого и среднего предпринимательства больше или равно 79 тыс.;

4 - если в i-м субъекте Российской Федерации количество зарегистрированных субъектов малого и среднего предпринимательства больше или равно 40 тыс.;

3 - если в i-м субъекте Российской Федерации количество зарегистрированных субъектов малого и среднего предпринимательства больше или равно 25 тыс.;

2 - если в i-м субъекте Российской Федерации количество зарегистрированных субъектов малого и среднего предпринимательства больше или равно 15 тыс.;

1 - если в i-м субъекте Российской Федерации количество зарегистрированных субъектов малого и среднего предпринимательства меньше 15 тыс.;

- коэффициент, характеризующий количество субъектов малого и среднего предпринимательства - экспортеров, по данным Федеральной таможенной службы, равный:

5 - если в i-м субъекте Российской Федерации количество субъектов малого и среднего предпринимательства - экспортеров больше или равно 500;

4 - если в i-м субъекте Российской Федерации количество субъектов малого и среднего предпринимательства - экспортеров больше или равно 300;

3 - если в i-м субъекте Российской Федерации количество субъектов малого и среднего предпринимательства - экспортеров больше или равно 100;

2 - если в i-м субъекте Российской Федерации количество субъектов малого и среднего предпринимательства - экспортеров больше или равно 30;

1 - если в i-м субъекте Российской Федерации количество субъектов малого и среднего предпринимательства - экспортеров меньше 30;

Кобъемi - коэффициент, характеризующий общий объем несырьевого экспорта субъектов малого и среднего предпринимательства субъекта Российской Федерации, по данным Федеральной таможенной службы, равный: (в ред. Постановления Правительства РФ от 20.11.2021 N 1998)

5 - если в i-м субъекте Российской Федерации объем несырьевого экспорта субъектов малого и среднего предпринимательства больше или равен 500 млн. долларов США; (в ред. Постановления Правительства РФ от 20.11.2021 N 1998)

4 - если в i-м субъекте Российской Федерации объем несырьевого экспорта субъектов малого и среднего предпринимательства больше или равен 200 млн. долларов США; (в ред. Постановления Правительства РФ от 20.11.2021 N 1998)

3 - если в i-м субъекте Российской Федерации объем несырьевого экспорта субъектов малого и среднего предпринимательства больше или равен 100 млн. долларов США; (в ред. Постановления Правительства РФ от 20.11.2021 N 1998)

2 - если в i-м субъекте Российской Федерации объем несырьевого экспорта субъектов малого и среднего предпринимательства больше или равен 30 млн. долларов США; (в ред. Постановления Правительства РФ от 20.11.2021 N 1998)

1 - если в i-м субъекте Российской Федерации объем несырьевого экспорта субъектов малого и среднего предпринимательства меньше 30 млн. долларов США; (в ред. Постановления Правительства РФ от 20.11.2021 N 1998)

- коэффициент, характеризующий отраслевую диверсификацию (количество товарных позиций до 4-го знака), по данным, предоставленным акционерным обществом "Российский экспортный центр" на основании данных Федеральной таможенной службы, равный: (в ред. Постановления Правительства РФ от 02.12.2022 N 2217)

5 - если в i-м субъекте Российской Федерации количество товарных позиций до 4-го знака больше или равно 330;

4 - если в i-м субъекте Российской Федерации количество товарных позиций до 4-го знака больше или равно 250;

3 - если в i-м субъекте Российской Федерации количество товарных позиций до 4-го знака больше или равно 150;

2 - если в i-м субъекте Российской Федерации количество товарных позиций до 4-го знака больше или равно 50;

1 - если в i-м субъекте Российской Федерации количество товарных позиций до 4-го знака меньше 50;

- коэффициент, характеризующий страновую диверсификацию (количество стран, в которые осуществляются экспортные поставки), по данным, предоставленным акционерным обществом "Российский экспортный центр" на основании данных Федеральной таможенной службы, равный: (в ред. Постановления Правительства РФ от 02.12.2022 N 2217)

5 - если в i-м субъекте Российской Федерации количество стран, в которые осуществляются экспортные поставки, больше или равно 97;

4 - если в i-м субъекте Российской Федерации количество стран, в которые осуществляются экспортные поставки, больше или равно 76;

3 - если в i-м субъекте Российской Федерации количество стран, в которые осуществляются экспортные поставки, больше или равно 30;

2 - если в i-м субъекте Российской Федерации количество стран, в которые осуществляются экспортные поставки, больше или равно 10;

1 - если в i-м субъекте Российской Федерации количество стран, в которые осуществляются экспортные поставки, меньше 10.

Уровень эффективности i-го центра поддержки экспорта (рассчитывается следующим образом:

,

где:

- годовой объем поддержанного экспорта i-го центра поддержки экспорта по состоянию на 1 января 2022 г. в рублях по курсу Центрального банка Российской Федерации по состоянию на 1 января 2022 г.; (в ред. Постановления Правительства РФ от 30.11.2023 N 2033)

- объем бюджетных ассигнований, направленных на создание и (или) развитие i-го центра поддержки экспорта, i-го субъекта Российской Федерации по состоянию на 1 января 2022 г. в рублях. (в ред. Постановлений Правительства РФ от 02.12.2022 N 2217, от 30.11.2023 N 2033)

В случае если годовой объем бюджетных ассигнований, направленных на создание и (или) развитие i-го центра поддержки экспорта, i-го субъекта Российской Федерации по состоянию на 1 января 2022 г. равен 0, то в расчете учитывается годовой объем бюджетных ассигнований, направленных на создание и (или) развитие i-го центра поддержки экспорта, i-го субъекта Российской Федерации в году, в котором в последний раз бюджету i-го субъекта Российской Федерации предоставлялась субсидия на создание и (или) развитие i-го центра поддержки экспорта. (в ред. Постановлений Правительства РФ от 02.12.2022 N 2217, от 30.11.2023 N 2033)

В случае если ранее бюджету i-го субъекта Российской Федерации не предоставлялась субсидия на создание и (или) развитие i-го центра поддержки экспорта, то коэффициент, характеризующий позицию i-го субъекта Российской Федерации в рейтинге центров поддержки экспорта по итогам года, который формируется акционерным обществом "Российский экспортный центр" по состоянию на 1 января 2022 г. в соответствии с методикой формирования рейтинга центров поддержки экспорта, установленной Министерством экономического развития Российской Федерации (), и коэффициент, характеризующий уровень эффективности использования субсидии (), равны 1. (в ред. Постановлений Правительства РФ от 02.12.2022 N 2217, от 30.11.2023 N 2033)

Высвободившиеся или не востребованные субъектами Российской Федерации бюджетные ассигнования на предоставление субсидии в целях софинансирования расходных обязательств субъектов Российской Федерации, возникающих при реализации мероприятия, указанного в абзаце шестом подпункта "в" пункта 3 настоящих Правил, перераспределяются между другими субъектами Российской Федерации, представившими заявки на выделение дополнительных бюджетных ассигнований на реализацию указанного мероприятия. (в ред. Постановления Правительства РФ от 20.11.2021 N 1998)

Расчетный размер дополнительных бюджетных ассигнований на предоставление субсидии i-му субъекту Российской Федерации, представившему заявку на выделение дополнительных бюджетных ассигнований, в целях софинансирования расходных обязательств субъекта Российской Федерации, возникающих при реализации мероприятия, указанного в абзаце шестом подпункта "в" пункта 3 настоящих Правил (), определяется по формуле: (в ред. Постановления Правительства РФ от 20.11.2021 N 1998)

, (в ред. Постановления Правительства РФ от 02.12.2022 N 2217)

где:

n - количество субъектов Российской Федерации в зависимости от порядка ранжирования, представивших заявки на выделение дополнительных бюджетных ассигнований на предоставление субсидии в целях софинансирования расходных обязательств субъектов Российской Федерации, возникающих при реализации мероприятия, указанного в абзаце шестом подпункта "в" пункта 3 настоящих Правил; (в ред. Постановления Правительства РФ от 20.11.2021 N 1998)

- коэффициент относительной эффективности использования субсидии; (в ред. Постановления Правительства РФ от 02.12.2022 N 2217)

- размер высвободившихся или не востребованных i-м субъектом Российской Федерации бюджетных ассигнований на предоставление субсидии в целях софинансирования расходных обязательств субъекта Российской Федерации, возникающих при реализации мероприятия, указанного в абзаце шестом подпункта "в" пункта 3 настоящих Правил, который: (в ред. Постановления Правительства РФ от 20.11.2021 N 1998)

не может превышать 5 процентов расчетного размера субсидии, предоставляемой бюджету i-го субъекта Российской Федерации в очередном финансовом году в целях софинансирования расходных обязательств субъекта Российской Федерации, возникающих при реализации мероприятия, указанного в абзаце шестом подпункта "в" пункта 3 настоящих Правил, для субъектов Российской Федерации, отнесенных к 2 - 5 группам; (в ред. Постановления Правительства РФ от 20.11.2021 N 1998)

может составлять до 100 процентов расчетного размера субсидии, предоставляемой бюджету i-го субъекта Российской Федерации в очередном финансовом году в целях софинансирования расходных обязательств субъекта Российской Федерации, возникающих при реализации мероприятия, указанного в абзаце шестом подпункта "в" пункта 3 настоящих Правил, для субъектов Российской Федерации, отнесенных к 1 группе. (в ред. Постановления Правительства РФ от 20.11.2021 N 1998)

Коэффициент относительной эффективности использования субсидии () рассчитывается по формуле: (в ред. Постановления Правительства РФ от 02.12.2022 N 2217)

(в ред. Постановления Правительства РФ от 02.12.2022 N 2217)

Министерство экономического развития Российской Федерации ранжирует субъекты Российской Федерации, представившие заявки на выделение дополнительных бюджетных ассигнований на предоставление субсидии в целях софинансирования расходных обязательств субъектов Российской Федерации, возникающих при реализации мероприятия, указанного в абзаце шестом подпункта "в" пункта 3 настоящих Правил, в порядке возрастания места центра поддержки экспорта субъекта Российской Федерации в последнем годовом рейтинге центров поддержки экспорта, который формируется акционерным обществом "Российский экспортный центр" в соответствии с методикой формирования рейтинга центров поддержки экспорта, установленной Министерством экономического развития Российской Федерации (далее - рейтинг центров поддержки экспорта). (в ред. Постановления Правительства РФ от 20.11.2021 N 1998)

Дополнительные бюджетные ассигнования на предоставление субсидии субъектам Российской Федерации в целях софинансирования расходных обязательств субъектов Российской Федерации, возникающих при реализации мероприятия, указанного в абзаце шестом подпункта "в" пункта 3 настоящих Правил, предоставляются в соответствии с ранжированием субъектов Российской Федерации в следующем приоритетном порядке: (в ред. Постановления Правительства РФ от 20.11.2021 N 1998)

а) субъекты Российской Федерации, отнесенные к 4 группе, центры поддержки экспорта которых заняли с 1-го по 27-е место в рейтинге центров поддержки экспорта включительно; (в ред. Постановления Правительства РФ от 20.11.2021 N 1998)

б) субъекты Российской Федерации, отнесенные к 5 группе, центры поддержки экспорта которых заняли с 1-го по 27-е место в рейтинге центров поддержки экспорта включительно; (в ред. Постановления Правительства РФ от 20.11.2021 N 1998)

в) субъекты Российской Федерации, отнесенные к 1 - 3 группам, центры поддержки экспорта которых заняли с 1-го по 27-е место в рейтинге центров поддержки экспорта включительно; (в ред. Постановления Правительства РФ от 20.11.2021 N 1998)

г) субъекты Российской Федерации, отнесенные к 4 группе, центры поддержки экспорта которых заняли с 28-го по 54-е место в рейтинге центров поддержки экспорта включительно; (в ред. Постановления Правительства РФ от 20.11.2021 N 1998)

д) субъекты Российской Федерации, отнесенные к 5 группе, центры поддержки экспорта которых заняли с 28-го по 54-е место в рейтинге центров поддержки экспорта включительно; (в ред. Постановления Правительства РФ от 20.11.2021 N 1998)

е) субъекты Российской Федерации, отнесенные к 1 - 3 группам, центры поддержки экспорта которых заняли с 28-го по 54-е место в рейтинге центров поддержки экспорта включительно. (в ред. Постановления Правительства РФ от 20.11.2021 N 1998)

27. Для предоставления субсидии субъект Российской Федерации представляет в Министерство экономического развития Российской Федерации следующие документы:

а) заявка (включающая обязательство субъекта Российской Федерации об обеспечении функционирования и целевого назначения организаций, образующих инфраструктуру поддержки субъектов малого и среднего предпринимательства, в целях создания и (или) развития которых предоставляется субсидия, в течение 10 лет с даты их создания за счет субсидии, а также обязательство о вводе в эксплуатацию объекта капитального строительства в соответствии со сроком, установленным графиком выполнения мероприятий по проектированию и (или) строительству (реконструкции, в том числе с элементами реставрации, техническому перевооружению) объектов капитального строительства и (или) приобретению объектов недвижимого имущества в целях получения субсидии на реализацию мероприятия, указанного в абзаце четвертом подпункта "в" пункта 3 настоящих Правил);

б) документ об определении исполнительного органа субъекта Российской Федерации, уполномоченного высшим исполнительным органом субъекта Российской Федерации на взаимодействие с Министерством экономического развития Российской Федерации по реализации мероприятий государственной поддержки малого и среднего предпринимательства (далее - уполномоченный орган); (в ред. Постановления Правительства РФ от 12.09.2022 N 1587)

в) документ о наделении юридического лица функциями единого органа управления организациями, образующими инфраструктуру поддержки субъектов малого и среднего предпринимательства;

г) выписка из государственной программы (подпрограммы) субъекта Российской Федерации, в которой региональный проект, соответствующий федеральному проекту, обособлен в виде отдельного структурного элемента, или обязательство субъекта Российской Федерации по обеспечению внесения соответствующих изменений в государственную программу (подпрограмму) субъекта Российской Федерации, включенное в заявку; (в ред. Постановления Правительства РФ от 02.12.2022 N 2217)

д) выписка из закона о бюджете субъекта Российской Федерации на текущий финансовый год и плановый период (сводной бюджетной росписи бюджета субъекта Российской Федерации), или выписка из закона о бюджете субъекта Российской Федерации на очередной финансовый год и плановый период (сводной бюджетной росписи бюджета субъекта Российской Федерации), подтверждающая наличие в бюджете субъекта Российской Федерации бюджетных ассигнований на исполнение расходных обязательств субъекта Российской Федерации, в целях софинансирования которых предоставляется субсидия, или обязательство субъекта Российской Федерации по обеспечению внесения соответствующих изменений в закон о бюджете субъекта Российской Федерации на текущий финансовый год и плановый период (сводную бюджетную роспись бюджета субъекта Российской Федерации), или обязательство субъекта Российской Федерации по обеспечению внесения соответствующих изменений в закон о бюджете субъекта Российской Федерации на очередной финансовый год и плановый период (сводную бюджетную роспись бюджета субъекта Российской Федерации), включенное в заявку. (в ред. Постановления Правительства РФ от 02.12.2022 N 2217)

В случае если субсидия предоставляется в очередном финансовом году, то субъект Российской Федерации представляет выписку из закона о бюджете субъекта Российской Федерации на очередной финансовый год и плановый период (сводной бюджетной росписи бюджета субъекта Российской Федерации), подтверждающую наличие в бюджете субъекта Российской Федерации бюджетных ассигнований на исполнение расходных обязательств субъекта Российской Федерации, в целях софинансирования которых предоставляется субсидия, или обязательство субъекта Российской Федерации по обеспечению наличия бюджетных ассигнований на исполнение расходных обязательств субъекта Российской Федерации, в целях софинансирования которых предоставляется субсидия, в бюджете субъекта Российской Федерации на очередной финансовый год и плановый период (сводной бюджетной росписи бюджета субъекта Российской Федерации), включенное в заявку; (в ред. Постановления Правительства РФ от 02.12.2022 N 2217)

е) иные документы, предусмотренные пунктом 53 настоящих Правил.

28. Документы, указанные в подпункте "а" пункта 27 настоящих Правил, заполняются уполномоченным органом в бумажном виде.

29. Документы, указанные в пункте 27 настоящих Правил, представляются субъектами Российской Федерации в сроки, указанные Министерством экономического развития Российской Федерации в извещении о приеме документов субъектов Российской Федерации, бюджетам которых предоставляются субсидии.

29.1. В случае представления субъектом Российской Федерации обязательства, предусмотренного подпунктом "г" пункта 27 настоящих Правил, субъект Российской Федерации представляет в Министерство экономического развития Российской Федерации выписку из государственной программы (подпрограммы) субъекта Российской Федерации, в которой региональный проект, соответствующий федеральному проекту, обособлен в виде отдельного структурного элемента, не позднее 15 рабочих дней со дня ее утверждения. (в ред. Постановления Правительства РФ от 02.12.2022 N 2217)

29.2. В случае представления субъектом Российской Федерации обязательства, предусмотренного подпунктом "д" пункта 27 настоящих Правил, субъект Российской Федерации представляет в Министерство экономического развития Российской Федерации выписку из закона о бюджете субъекта Российской Федерации на текущий финансовый год и плановый период (сводной бюджетной росписи бюджета субъекта Российской Федерации) либо выписку из закона о бюджете субъекта Российской Федерации на очередной финансовый год и плановый период (сводной бюджетной росписи бюджета субъекта Российской Федерации), подтверждающую наличие в бюджете субъекта Российской Федерации бюджетных ассигнований на исполнение расходных обязательств субъекта Российской Федерации, в целях софинансирования которых предоставляется субсидия, не позднее 15 рабочих дней со дня принятия закона о бюджете субъекта Российской Федерации на текущий финансовый год и плановый период или закона о внесении соответствующих изменений в него (утверждения сводной бюджетной росписи бюджета субъекта Российской Федерации или внесения соответствующих изменений в нее) либо со дня принятия закона о бюджете субъекта Российской Федерации на очередной финансовый год и плановый период или закона о внесении соответствующих изменений в него (утверждения сводной бюджетной росписи бюджета субъекта Российской Федерации или внесения соответствующих изменений в нее) соответственно. (в ред. Постановления Правительства РФ от 02.12.2022 N 2217)

30. Распределение субсидий между субъектами Российской Федерации на плановый период осуществляется на основании значений показателей и данных, используемых при расчете субсидии на очередной финансовый год. (в ред. Постановления Правительства РФ от 20.11.2021 N 1998)

31. Перераспределение бюджетных ассигнований на предоставление субсидий в целях софинансирования расходных обязательств субъектов Российской Федерации, возникающих при реализации мероприятий, указанных в пункте 3 настоящих Правил, осуществляется в пределах мероприятий одного и того же федерального проекта в соответствии с бюджетным законодательством Российской Федерации, за исключением субсидии на реализацию мероприятия, указанного в абзаце четвертом подпункта "в" пункта 3 настоящих Правил.

32. В случае нарушения целей, установленных при предоставлении субсидии, применяются бюджетные меры принуждения, предусмотренные бюджетным законодательством Российской Федерации. (в ред. Постановлений Правительства РФ от 20.11.2021 N 1998, от 02.12.2022 N 2217, от 26.04.2023 N 657, от 12.08.2023 N 1324, от 30.11.2023 N 2033)

33. Возврат субсидии субъектом Российской Федерации в случае невыполнения условий соглашения о предоставлении субсидии, в том числе нарушения обязательств по достижению результатов использования субсидии и (или) соблюдению графика выполнения мероприятий по проектированию и (или) строительству (реконструкции, в том числе с элементами реставрации, техническому перевооружению) объектов капитального строительства и (или) приобретению объектов недвижимого имущества, включая порядок расчета размера средств, подлежащих возврату, сроки возврата и основания для освобождения субъекта Российской Федерации от применения мер ответственности за нарушение указанных обязательств, осуществляется в соответствии с пунктами 16 - 20 Правил формирования, предоставления и распределения субсидий. (в ред. Постановления Правительства РФ от 26.04.2023 N 657)

34. Предоставление субсидии осуществляется на основании соглашения о предоставлении субсидии, подготавливаемого (формируемого) и заключаемого в государственной интегрированной информационной системе управления общественными финансами "Электронный бюджет" в соответствии с типовой формой соглашения о предоставлении субсидии, утвержденной Министерством финансов Российской Федерации.

35. В соглашении о предоставлении субсидии допускается установление различных уровней софинансирования расходного обязательства субъекта Российской Федерации из федерального бюджета по отдельным мероприятиям (объектам капитального строительства, объектам недвижимого имущества) в случае предоставления субсидии по нескольким мероприятиям, указанным в пункте 3 настоящих Правил.

36. Перечисление субсидии осуществляется в установленном порядке на единые счета бюджетов, открытые финансовым органам субъектов Российской Федерации в территориальных органах Федерального казначейства. (в ред. Постановления Правительства РФ от 20.11.2021 N 1998)

37. Уполномоченный орган представляет в Министерство экономического развития Российской Федерации отчеты, предусмотренные соглашением о предоставлении субсидии.

Отчеты, заполненные уполномоченным органом и подписанные руководителем уполномоченного органа в соответствии с абзацами вторым и пятым подпункта "б" пункта 7 настоящих Правил, представляются в бумажном виде по запросу Министерства экономического развития Российской Федерации. (в ред. Постановления Правительства РФ от 02.12.2022 N 2217)

Отчеты, предусмотренные соглашением о предоставлении субсидии, а также отчеты, предусмотренные абзацами вторым и пятым подпункта "б" пункта 7 настоящих Правил, составляются нарастающим итогом по состоянию на 1-е число месяца, следующего за отчетным кварталом, и представляются до 10-го числа месяца, следующего за отчетным кварталом, в случае осуществления кассового расхода бюджета субъекта Российской Федерации, софинансируемого из федерального бюджета, при этом отчеты за IV квартал представляются до 20 января года, следующего за годом предоставления субсидии, независимо от факта осуществления кассового расхода бюджета субъекта Российской Федерации, софинансируемого из федерального бюджета, отчеты о достижении значений результатов использования субсидии представляются в порядке и сроки, которые установлены соглашением о предоставлении субсидии. (в ред. Постановления Правительства РФ от 02.12.2022 N 2217)

38. Субъекты Российской Федерации обеспечивают представление отчетов, предусмотренных соглашением о предоставлении субсидии, в Министерство экономического развития Российской Федерации в указанные сроки в электронном виде с использованием государственной интегрированной информационной системы управления общественными финансами "Электронный бюджет".

39. Министерство экономического развития Российской Федерации в порядке, предусмотренном соглашением о предоставлении субсидии, осуществляет контроль за выполнением субъектами Российской Федерации обязательств по достижению результатов использования субсидий в отчетном году на основании отчетов, представленных субъектами Российской Федерации.

40. Оценка эффективности использования субсидии, предоставляемой на реализацию мероприятия, указанного в подпункте "а" пункта 3 настоящих Правил, федерального проекта "Создание благоприятных условий для осуществления деятельности самозанятыми гражданами", осуществляется Министерством экономического развития Российской Федерации путем сравнения фактически достигнутого субъектом Российской Федерации значения результата использования субсидии - количества самозанятых граждан, получивших услуги, в том числе прошедших программы обучения, и его значения, установленного соглашением о предоставлении субсидии. (в ред. Постановления Правительства РФ от 16.05.2024 N 607)

41. Оценка эффективности использования субсидии в рамках федерального проекта "Создание условий для легкого старта и комфортного ведения бизнеса" осуществляется Министерством экономического развития Российской Федерации путем сравнения фактически достигнутых субъектом Российской Федерации значений следующих результатов использования субсидии и их значений, установленных соглашением о предоставлении субсидии: (в ред. Постановления Правительства РФ от 16.05.2024 N 607)

а) количество уникальных социальных предприятий, включенных в реестр социальных предпринимателей, и (или) количество субъектов малого и среднего предпринимательства, созданных физическими лицами в возрасте до 25 лет включительно, получивших комплекс услуг и (или) финансовую поддержку, накопленным итогом - в результате реализации мероприятия, указанного в абзаце втором подпункта "б" пункта 3 настоящих Правил; (в ред. Постановлений Правительства РФ от 19.03.2022 N 413, от 02.12.2022 N 2217, от 16.05.2024 N 607)

б) количество уникальных граждан, желающих вести бизнес, начинающих и действующих предпринимателей, получивших услуги, - в результате реализации мероприятия, указанного в абзаце третьем подпункта "б" пункта 3 настоящих Правил.

42. Оценка эффективности использования субсидии в рамках федерального проекта "Акселерация субъектов малого и среднего предпринимательства" осуществляется Министерством экономического развития Российской Федерации путем сравнения фактически достигнутых субъектом Российской Федерации значений следующих результатов использования субсидии и их значений, установленных соглашением о предоставлении субсидии: (в ред. Постановления Правительства РФ от 16.05.2024 N 607)

а) количество действующих микрозаймов, выданных государственной микрофинансовой организацией, - в результате реализации мероприятия, указанного в абзаце втором подпункта "в" пункта 3 настоящих Правил;

б) объем финансовой поддержки, оказанной субъектам малого и среднего предпринимательства, при гарантийной поддержке региональных гарантийных организаций - в результате реализации мероприятия, указанного в абзаце третьем подпункта "в" пункта 3 настоящих Правил;

в) количество субъектов малого и среднего предпринимательства, которые стали резидентами созданных индустриальных (промышленных) парков, агропромышленных парков, бизнес-парков, технопарков, промышленных технопарков по всей территории страны, накопленным итогом - в результате реализации мероприятия, указанного в абзаце четвертом подпункта "в" пункта 3 настоящих Правил; (в ред. Постановления Правительства РФ от 02.12.2022 N 2217)

г) количество субъектов малого и среднего предпринимательства, получивших комплексные услуги, - в результате реализации мероприятия, указанного в абзаце пятом подпункта "в" пункта 3 настоящих Правил;

д) количество субъектов малого и среднего предпринимательства - экспортеров, заключивших экспортные контракты по результатам услуг центров поддержки экспорта, - в результате реализации мероприятия, указанного в абзаце шестом подпункта "в" пункта 3 настоящих Правил.

43. Субъекты Российской Федерации несут ответственность за достоверность представляемых сведений.

44. Контроль за соблюдением субъектами Российской Федерации условий предоставления субсидий осуществляется Министерством экономического развития Российской Федерации и уполномоченными органами государственного финансового контроля.

45. Субъекты Российской Федерации обеспечивают реализацию мероприятий, указанных в пункте 3 настоящих Правил, в соответствии с требованиями к реализации мероприятий, направленных на достижение целей, показателей и результатов реализации региональных проектов, а также представляют документы по перечню, определенному Министерством экономического развития Российской Федерации.

46. В целях реализации мероприятий, указанных в абзаце втором подпункта "а", абзаце третьем подпункта "б" и абзаце пятом подпункта "в" пункта 3 настоящих Правил, субъекты Российской Федерации обеспечивают создание и (или) развитие инфраструктуры поддержки субъектов малого и среднего предпринимательства, к которой относятся центры поддержки предпринимательства, центры народно-художественных промыслов, ремесленной деятельности, сельского и экологического туризма, центры инноваций социальной сферы, многофункциональные центры для бизнеса, инжиниринговые центры, центры прототипирования, центры сертификации, стандартизации и испытаний (коллективного пользования), центры кластерного развития, центры молодежного инновационного творчества и центры "Мой бизнес" согласно требованиям, установленным в соответствии с частью 3 статьи 15 Федерального закона "О развитии малого и среднего предпринимательства в Российской Федерации".

Субсидия не может быть предоставлена на софинансирование расходных обязательств субъектов Российской Федерации, возникающих при организации деятельности инжиниринговых центров, центров прототипирования, центров сертификации, стандартизации и испытаний (коллективного пользования), центров кластерного развития, софинансирование которых осуществляется в соответствии с Правилами предоставления субсидий из федерального бюджета российским организациям на компенсацию части затрат на реализацию пилотных проектов в области инжиниринга и промышленного дизайна в рамках подпрограммы "Развитие инжиниринговой деятельности и промышленного дизайна" государственной программы Российской Федерации "Развитие промышленности и повышение ее конкурентоспособности", утвержденными постановлением Правительства Российской Федерации от 22 февраля 2014 г. N 134 "Об утверждении Правил предоставления субсидий из федерального бюджета российским организациям на компенсацию части затрат на реализацию пилотных проектов в области инжиниринга и промышленного дизайна в рамках подпрограммы "Развитие инжиниринговой деятельности и промышленного дизайна" государственной программы Российской Федерации "Развитие промышленности и повышение ее конкурентоспособности".

47. Мероприятие, указанное в абзаце втором подпункта "б" пункта 3 настоящих Правил, предусматривает предоставление субсидии в целях софинансирования расходных обязательств субъекта Российской Федерации, возникающих при предоставлении финансовой поддержки социальным предприятиям, включенным в реестр социальных предпринимателей, и (или) субъектам малого и среднего предпринимательства, созданным физическими лицами в возрасте до 25 лет включительно. (в ред. Постановлений Правительства РФ от 19.03.2022 N 413, от 02.12.2022 N 2217, от 16.05.2024 N 607)

48. Мероприятие, указанное в абзаце втором подпункта "в" пункта 3 настоящих Правил, включает в себя создание и (или) развитие государственных микрофинансовых организаций.

Субъекты Российской Федерации обеспечивают создание и (или) развитие государственных микрофинансовых организаций в соответствии с требованиями, установленными в соответствии с частью 3 статьи 15 Федерального закона "О развитии малого и среднего предпринимательства в Российской Федерации".

Государственные микрофинансовые организации предоставляют микрозаймы субъектам малого и среднего предпринимательства:

не имеющим по состоянию на любую дату в течение периода, равного 30 календарным дням, предшествующего дате заключения договора (соглашения) о предоставлении микрозайма, просроченной задолженности по налогам, сборам и иным обязательным платежам в бюджеты бюджетной системы Российской Федерации, превышающей 50 тыс. рублей;

не имеющим задолженности перед работниками (персоналом) по заработной плате, срок невыплаты которой составляет более 3 месяцев.

Требования, предусмотренные абзацами четвертым и пятым настоящего пункта, не применяются при предоставлении микрозаймов в период проведения специальной военной операции субъектам малого и среднего предпринимательства, зарегистрированным на территориях субъектов Российской Федерации, в которых в соответствии с Указом Президента Российской Федерации от 19 октября 2022 г. N 757 "О мерах, осуществляемых в субъектах Российской Федерации в связи с Указом Президента Российской Федерации от 19 октября 2022 г. N 756" введен средний уровень реагирования, пострадавшим в результате обстрелов со стороны вооруженных формирований Украины и террористических актов. (в ред. Постановления Правительства РФ от 26.04.2023 N 657)

Предоставление микрозаймов, указанных в абзаце шестом настоящего пункта, осуществляется в соответствии со следующими требованиями: (в ред. Постановления Правительства РФ от 26.04.2023 N 657)

срок рассмотрения заявки на получение микрозайма составляет не более одного рабочего дня; (в ред. Постановления Правительства РФ от 26.04.2023 N 657)

процентная ставка за пользование микрозаймом при наличии или отсутствии залогового имущества не превышает ключевую ставку Центрального банка Российской Федерации, установленную на дату заключения договора микрозайма; (в ред. Постановления Правительства РФ от 26.04.2023 N 657)

у субъектов малого и среднего предпринимательства не проверяется отсутствие просроченной задолженности по возврату в бюджеты бюджетной системы Российской Федерации субсидий, бюджетных инвестиций, предоставленных в том числе в соответствии с иными правовыми актами Российской Федерации, и иной просроченной задолженности перед бюджетами бюджетной системы Российской Федерации. (в ред. Постановления Правительства РФ от 26.04.2023 N 657)

49. При введении режима повышенной готовности или режима чрезвычайной ситуации субъекты Российской Федерации обеспечивают реализацию мероприятия, указанного в пункте 48 настоящих Правил, в пределах устанавливаемых государственными микрофинансовыми организациями лимитов предоставления микрозаймов субъектам малого и среднего предпринимательства в размере не менее 10 процентов размера капитала государственной микрофинансовой организации в соответствии со следующими требованиями: (в ред. Постановления Правительства РФ от 20.11.2021 N 1998)

а) срок рассмотрения заявки на получение микрозайма составляет не более 1 рабочего дня;

б) процентная ставка за пользование микрозаймом при наличии или отсутствии залогового имущества не превышает ключевую ставку Центрального банка Российской Федерации, установленную на дату заключения договора микрозайма с субъектом малого и среднего предпринимательства;

в) максимальный срок предоставления микрозайма не превышает 2 лет;

г) у субъектов малого и среднего предпринимательства, получающих поддержку, источником софинансирования которой является субсидия, не проверяется отсутствие просроченной задолженности по возврату в бюджеты бюджетной системы Российской Федерации субсидий, бюджетных инвестиций, предоставленных в том числе в соответствии с иными правовыми актами Российской Федерации, и иной просроченной задолженности перед бюджетами бюджетной системы Российской Федерации.

50. Мероприятие, указанное в абзаце третьем подпункта "в" пункта 3 настоящих Правил, включает в себя создание и (или) развитие региональных гарантийных организаций. (в ред. Постановления Правительства РФ от 20.11.2021 N 1998)

В рамках реализации мероприятия, указанного в абзаце третьем подпункта "в" пункта 3 настоящих Правил, субсидия предоставляется субъектам Российской Федерации в целях: (в ред. Постановления Правительства РФ от 20.11.2021 N 1998)

докапитализации региональных гарантийных организаций, в случае если их гарантийный капитал по состоянию на 1 июля 2022 г. менее 450 млн. рублей; (в ред. Постановлений Правительства РФ от 20.11.2021 N 1998, от 02.12.2022 N 2217, от 30.11.2023 N 2033)

исполнения обязательств по поручительствам и (или) независимым гарантиям, предоставленным в целях обеспечения исполнения обязательств субъектов малого и среднего предпринимательства, в случае если их гарантийный капитал по состоянию на 1 июля 2022 г. не менее 450 млн. рублей. (в ред. Постановлений Правительства РФ от 20.11.2021 N 1998, от 02.12.2022 N 2217, от 30.11.2023 N 2033)

В рамках исполнения региональной гарантийной организацией обязательств по поручительствам и (или) независимым гарантиям, предоставленным в целях обеспечения исполнения обязательств субъектов малого и среднего предпринимательства, субсидия может предоставляться в целях финансового обеспечения затрат региональной гарантийной организации на исполнение обязательств по поручительствам и (или) независимым гарантиям, предоставленным в целях обеспечения исполнения обязательств субъектов малого и среднего предпринимательства, и (или) компенсации затрат региональной гарантийной организации, осуществленных в текущем году на исполнение обязательств по поручительствам и (или) независимым гарантиям, предоставленным в целях обеспечения исполнения обязательств субъектов малого и среднего предпринимательства. (в ред. Постановлений Правительства РФ от 20.11.2021 N 1998, от 02.12.2022 N 2217)

Субъекты Российской Федерации обеспечивают создание и (или) развитие региональных гарантийных организаций в соответствии с требованиями, установленными в соответствии с частью 3 статьи 15 Федерального закона "О развитии малого и среднего предпринимательства в Российской Федерации". (в ред. Постановления Правительства РФ от 20.11.2021 N 1998)

Региональные гарантийные организации предоставляют поручительства и (или) независимые гарантии субъектам малого и среднего предпринимательства: (в ред. Постановлений Правительства РФ от 20.11.2021 N 1998, от 02.12.2022 N 2217)

не имеющим по состоянию на любую дату в течение периода, равного 30 календарным дням, предшествующего дате заключения договора (соглашения) о предоставлении поручительства и (или) независимой гарантии, просроченной задолженности по налогам, сборам и иным обязательным платежам в бюджеты бюджетной системы Российской Федерации, превышающей 50 тыс. рублей; (в ред. Постановлений Правительства РФ от 20.11.2021 N 1998, от 02.12.2022 N 2217)

не имеющим задолженности перед работниками (персоналом) по заработной плате, срок невыплаты которой составляет более 3 месяцев. (в ред. Постановления Правительства РФ от 20.11.2021 N 1998)

Требования, предусмотренные абзацами восьмым и девятым настоящего пункта, не применяются при предоставлении поручительств и (или) гарантий в период проведения специальной военной операции субъектам малого и среднего предпринимательства, зарегистрированным на территориях субъектов Российской Федерации, в которых в соответствии с Указом Президента Российской Федерации от 19 октября 2022 г. N 757 "О мерах, осуществляемых в субъектах Российской Федерации в связи с Указом Президента Российской Федерации от 19 октября 2022 г. N 756" введен средний уровень реагирования, пострадавшим в результате обстрелов со стороны вооруженных формирований Украины и террористических актов. (в ред. Постановления Правительства РФ от 26.04.2023 N 657)

Предоставление поручительств и (или) гарантий, указанных в абзаце десятом настоящего пункта, осуществляется в соответствии со следующими требованиями: (в ред. Постановления Правительства РФ от 26.04.2023 N 657)

срок рассмотрения заявки на получение поручительства и (или) гарантии составляет не более одного рабочего дня; (в ред. Постановления Правительства РФ от 26.04.2023 N 657)

максимальная ставка вознаграждения за предоставление поручительства и (или) гарантии составляет не более 0,5 процента; (в ред. Постановления Правительства РФ от 26.04.2023 N 657)

у субъектов малого и среднего предпринимательства не проверяется отсутствие просроченной задолженности по возврату в бюджеты бюджетной системы Российской Федерации субсидий, бюджетных инвестиций, предоставленных в том числе в соответствии с иными правовыми актами Российской Федерации, и иной просроченной задолженности перед бюджетами бюджетной системы Российской Федерации. (в ред. Постановления Правительства РФ от 26.04.2023 N 657)

51. При введении режима повышенной готовности или режима чрезвычайной ситуации субъекты Российской Федерации обеспечивают реализацию мероприятия, указанного в пункте 50 настоящих Правил, в пределах устанавливаемых региональными гарантийными организациями лимитов предоставления поручительств и (или) независимых гарантий субъектам малого и среднего предпринимательства в размере не менее 10 процентов размера гарантийного капитала региональной гарантийной организации в соответствии со следующими требованиями: (в ред. Постановлений Правительства РФ от 20.11.2021 N 1998, от 02.12.2022 N 2217)

а) срок рассмотрения заявки на получение независимой гарантии (поручительства) составляет не более 1 рабочего дня; (в ред. Постановления Правительства РФ от 02.12.2022 N 2217)

б) максимальная ставка вознаграждения за предоставление гарантии (поручительства) составляет не более 0,5 процента;

в) максимальный срок предоставления независимой гарантии (поручительства) не превышает 3 лет; (в ред. Постановления Правительства РФ от 02.12.2022 N 2217)

г) у субъектов малого и среднего предпринимательства, получающих поддержку, источником софинансирования которой является субсидия, не проверяется отсутствие просроченной задолженности по возврату в бюджеты бюджетной системы Российской Федерации субсидий, бюджетных инвестиций, предоставленных в том числе в соответствии с иными правовыми актами Российской Федерации, и иной просроченной задолженности перед бюджетами бюджетной системы Российской Федерации.

52. Мероприятие, указанное в абзаце четвертом подпункта "в" пункта 3 настоящих Правил, включает в себя реализацию субъектами Российской Федерации следующих проектов по созданию и (или) развитию парков:

создание и (или) развитие индустриального (промышленного) парка, агропромышленного парка, бизнес-парка; (в ред. Постановлений Правительства РФ от 20.11.2021 N 1998, от 02.12.2022 N 2217)

создание и (или) развитие технопарка, промышленного технопарка.

Субсидия не может предоставляться в целях софинансирования расходов бюджета субъекта Российской Федерации, совпадающих по форме, срокам и виду с расходами, осуществленными субъектом Российской Федерации в соответствии с Правилами отбора субъектов Российской Федерации, имеющих право на получение государственной поддержки в форме иных межбюджетных трансфертов на возмещение затрат на создание, модернизацию и (или) реконструкцию объектов инфраструктуры индустриальных парков или промышленных технопарков, утвержденными постановлением Правительства Российской Федерации от 30 октября 2014 г. N 1119 "Об отборе субъектов Российской Федерации, имеющих право на получение государственной поддержки в форме субсидий на возмещение затрат на создание, модернизацию и (или) реконструкцию объектов инфраструктуры индустриальных парков, промышленных технопарков и технопарков в сфере высоких технологий", и (или) Правилами предоставления субсидий из федерального бюджета российским организациям - управляющим компаниям индустриальных (промышленных) парков и (или) технопарков на возмещение части затрат на уплату процентов по кредитам, полученным в российских кредитных организациях и государственной корпорации "Банк развития и внешнеэкономической деятельности (Внешэкономбанк)" в 2013 - 2016 годах на реализацию инвестиционных проектов создания объектов индустриальных (промышленных) парков и (или) технопарков, утвержденными постановлением Правительства Российской Федерации от 11 августа 2015 г. N 831 "Об утверждении Правил предоставления субсидий из федерального бюджета российским организациям - управляющим компаниям индустриальных (промышленных) парков и (или) технопарков на возмещение части затрат на уплату процентов по кредитам, полученным в российских кредитных организациях и государственной корпорации "Банк развития и внешнеэкономической деятельности (Внешэкономбанк)" в 2013 - 2016 годах на реализацию инвестиционных проектов создания объектов индустриальных (промышленных) парков и (или) технопарков".

53. Для получения субсидии, предоставляемой в целях софинансирования расходных обязательств субъекта Российской Федерации, возникающих при реализации мероприятия, указанного в абзаце четвертом подпункта "в" пункта 3 настоящих Правил, субъект Российской Федерации представляет в Министерство экономического развития Российской Федерации следующие документы:

а) в части мероприятий (проектов по созданию и (или) развитию парков) по созданию и (или) развитию индустриального (промышленного) парка, агропромышленного парка, бизнес-парка, технопарка, промышленного технопарка, управляемого управляющей компанией, в уставном капитале которой не участвует Российская Федерация, субъект Российской Федерации и (или) муниципальное образование: (в ред. Постановлений Правительства РФ от 20.11.2021 N 1998, от 02.12.2022 N 2217)

копия положительного заключения государственной экспертизы проектной документации, проведенной в объеме проверки достоверности определения сметной стоимости строительства, реконструкции, капитального ремонта объектов капитального строительства, и результатов инженерных изысканий, выполненных для подготовки такой проектной документации;

Абзац третий - Утратил силу. (в ред. Постановления Правительства РФ от 20.11.2021 N 1998)

копии документов, подтверждающих осуществление затрат застройщика или управляющей компании на создание и (или) развитие объекта капитального строительства за трехлетний период, предшествующий году представления документов; (в ред. Постановления Правительства РФ от 02.12.2022 N 2217)

копии сводных сметных расчетов стоимости строительства (реконструкции, в том числе с элементами реставрации, технического перевооружения) объектов капитального строительства;

локальная смета на закупку материально-технических ресурсов (в отношении объектов капитального строительства, по которым планируется закупка материально-технических ресурсов);

копия разрешения на ввод объекта в эксплуатацию;

копии правоустанавливающего документа, свидетельствующего о наличии права собственности управляющей компании или застройщика на земельный участок, или зарегистрированного в соответствии с законодательством Российской Федерации договора долгосрочной аренды (со сроком аренды более 5 лет на дату представления документов), заключенного управляющей компанией или застройщиком с органами государственной власти субъекта Российской Федерации или органами местного самоуправления на территории такого субъекта Российской Федерации, а также выписка из Единого государственного реестра недвижимости по такому земельному участку;

соглашение о реализации проекта по созданию и (или) развитию парка, заключенное между исполнительным органом субъекта Российской Федерации, ответственным за реализацию мероприятия, указанного в абзаце четвертом подпункта "в" пункта 3 настоящих Правил, и управляющей компанией индустриального (промышленного) парка, агропромышленного парка, бизнес-парка, технопарка, промышленного технопарка, включающее показатели по доле внебюджетного (частного) софинансирования в общей стоимости проекта по созданию и (или) развитию парка, процент заполнения площади объекта резидентами на 1 января каждого года реализации федерального проекта, и иные показатели, а также календарный график выполнения работ и их финансирования (далее - соглашение о реализации проекта по созданию и (или) развитию парка); (в ред. Постановлений Правительства РФ от 20.11.2021 N 1998, от 12.09.2022 N 1587, от 02.12.2022 N 2217)

обязательство высшего должностного лица субъекта Российской Федерации о представлении до 1 октября года предоставления субсидии положительного заключения Министерства экономического развития Российской Федерации (в связи с реализацией проекта по созданию и (или) развитию парка) на проект изменений, которые вносятся в схему территориального планирования субъекта Российской Федерации;

б) в части мероприятий (проектов по созданию и (или) развитию парков) по созданию и (или) развитию индустриального (промышленного) парка, агропромышленного парка, бизнес-парка, технопарка, промышленного технопарка, полностью или частично находящегося в государственной и (или) муниципальной собственности: (в ред. Постановлений Правительства РФ от 20.11.2021 N 1998, от 02.12.2022 N 2217)

копия положительного заключения государственной экспертизы проектной документации, проведенной в объеме проверки достоверности определения сметной стоимости строительства, реконструкции, капитального ремонта объектов капитального строительства, и результатов инженерных изысканий, выполненных для подготовки такой проектной документации;

Абзац третий - Утратил силу. (в ред. Постановления Правительства РФ от 20.11.2021 N 1998)

копии сводных сметных расчетов стоимости строительства (реконструкции, в том числе с элементами реставрации, технического перевооружения) объектов капитального строительства;

локальная смета на закупку материально-технических ресурсов (в отношении объектов капитального строительства, по которым планируется закупка материально-технических ресурсов);

копия свидетельства о государственной регистрации застройщика;

паспорт инвестиционного проекта по форме, утвержденной Министерством экономического развития Российской Федерации;

копия задания на проектирование объекта капитального строительства и государственного контракта (договора) на выполнение проектных работ по объекту капитального строительства;

титульные списки вновь начинаемых объектов капитального строительства в очередном финансовом году и плановом периоде и титульные списки переходящих объектов капитального строительства на очередной финансовый год и плановый период, утвержденные государственным заказчиком (заказчиком);

копии документов, подтверждающих направление в отчетном и (или) текущем финансовых годах средств из бюджета субъекта Российской Федерации и (или) муниципального бюджета, собственных, заемных и других средств на финансирование объекта капитального строительства (в отношении объектов капитального строительства, финансовое обеспечение строительства (реконструкции, в том числе с элементами реставрации, технического перевооружения) или приобретения которых осуществляется из федерального бюджета на условиях софинансирования);

интегральная оценка эффективности инвестиционного проекта, включая количественные и качественные критерии, установленные Министерством экономического развития Российской Федерации;

справка о техническом состоянии объекта капитального строительства (если в отношении объекта капитального строительства планируется реконструкция, в том числе с элементами реставрации, техническое перевооружение);

копия эскиза архитектурного решения и фотоматериалы объекта капитального строительства, на базе которого предполагается создать объект инфраструктуры поддержки малого и среднего предпринимательства;

копии правоустанавливающего документа и выписки из Единого государственного реестра недвижимости, свидетельствующих о наличии права собственности субъекта Российской Федерации или муниципального образования на земельный участок и (или) объект капитального строительства (если в отношении объекта капитального строительства планируется реконструкция, в том числе с элементами реставрации, техническое перевооружение);

соглашение о реализации проекта по созданию и (или) развитию парка;

обязательство высшего должностного лица субъекта Российской Федерации о представлении до 1 октября года предоставления субсидии положительного заключения Министерства экономического развития Российской Федерации (в связи с реализацией проекта по созданию и (или) развитию парка) на проект изменений в схему территориального планирования субъекта Российской Федерации.

54. Субъекты Российской Федерации обеспечивают создание и (или) развитие индустриальных (промышленных) парков, агропромышленных парков, бизнес-парков, технопарков, промышленных технопарков в соответствии с требованиями, установленными в соответствии с частью 3 статьи 15 Федерального закона "О развитии малого и среднего предпринимательства в Российской Федерации". (в ред. Постановлений Правительства РФ от 20.11.2021 N 1998, от 02.12.2022 N 2217)

55. Мероприятие, указанное в абзаце шестом подпункта "в" пункта 3 настоящих Правил, включает в себя создание и (или) развитие центров поддержки экспорта.

Субъекты Российской Федерации обеспечивают создание и (или) развитие центров поддержки экспорта в соответствии с требованиями, установленными в соответствии с частью 3 статьи 15 Федерального закона "О развитии малого и среднего предпринимательства в Российской Федерации".

Реализация указанного мероприятия осуществляется при методическом и информационном взаимодействии уполномоченного органа с акционерным обществом "Российский экспортный центр" на основании соглашения об их взаимодействии, в котором содержатся:

направления расходов бюджета субъекта Российской Федерации;

ключевые показатели эффективности деятельности центров поддержки экспорта;

план командировок сотрудников центра поддержки экспорта.

Приложение
к Правилам предоставления
и распределения субсидий
из федерального бюджета бюджетам
субъектов Российской Федерации
на государственную поддержку малого
и среднего предпринимательства,
а также физических лиц, применяющих
специальный налоговый режим
"Налог на профессиональный доход",
в субъектах Российской Федерации

(форма)

Министерство экономического
развития Российской Федерации

ЗАЯВКА

,
(наименование субъекта Российской Федерации) 

НА ПОЛУЧЕНИЕ СУБСИДИИ ИЗ ФЕДЕРАЛЬНОГО БЮДЖЕТА БЮДЖЕТАМ СУБЪЕКТОВ РОССИЙСКОЙ ФЕДЕРАЦИИ НА ГОСУДАРСТВЕННУЮ ПОДДЕРЖКУ МАЛОГО И СРЕДНЕГО ПРЕДПРИНИМАТЕЛЬСТВА, А ТАКЖЕ ФИЗИЧЕСКИХ ЛИЦ, ПРИМЕНЯЮЩИХ СПЕЦИАЛЬНЫЙ НАЛОГОВЫЙ РЕЖИМ "НАЛОГ НА ПРОФЕССИОНАЛЬНЫЙ ДОХОД", В СУБЪЕКТАХ РОССИЙСКОЙ ФЕДЕРАЦИИ

(в ред. Постановления Правительства РФ от 15.12.2020 N 2105)

В соответствии с Правилами предоставления и распределения субсидий из федерального бюджета бюджетам субъектов Российской Федерации на государственную поддержку малого и среднего предпринимательства, а также физических лиц, применяющих специальный налоговый режим "Налог на профессиональный доход", в субъектах Российской Федерации, приведенными в приложении N 35 к государственной программе Российской Федерации "Экономическое развитие и инновационная экономика", утвержденной постановлением Правительства Российской Федерации от 15 апреля 2014 г. N 316 "Об утверждении государственной программы Российской Федерации "Экономическое развитие и инновационная экономика" (далее соответственно - субсидия, Правила), выражаю согласие с условиями предоставления и распределения субсидии и обязуюсь обеспечить предельный уровень софинансирования расходного обязательства субъекта Российской Федерации, установленный в соответствии с положениями Правил формирования, предоставления и распределения субсидий из федерального бюджета бюджетам субъектов Российской Федерации, утвержденных постановлением Правительства Российской Федерации от 30 сентября 2014 г. N 999 "О формировании, предоставлении и распределении субсидий из федерального бюджета бюджетам субъектов Российской Федерации", в отношении следующих мероприятий и в следующих объемах:

(перечисляются мероприятия, указанные в пункте 3 Правил, предполагаемая сумма субсидии 
 
на реализацию каждого мероприятия (млн. рублей). 
 
В целях получения субсидии по мероприятию, указанному в абзаце четвертом подпункта "в" пункта 3 
 
Правил, указываются наименования проектов по созданию и (или) развитию парков, предполагаемая 
,
сумма субсидии на реализацию каждого проекта по созданию и (или) развитию парка (млн. рублей) 

также обязуюсь обеспечить внесение соответствующих изменений в государственную программу (подпрограмму) субъекта Российской Федерации

.
(указываются реквизиты и наименование нормативного акта) 

и бюджет субъекта Российской Федерации на ______ год и плановый период

.
(указываются реквизиты и наименование нормативного акта) 

Обязуюсь обеспечить функционирование и целевое назначение организаций, образующих инфраструктуру поддержки субъектов малого и среднего предпринимательства, в целях создания и (или) развития которых предоставляется субсидия, в течение 10 лет с даты их создания за счет субсидии.

Обязуюсь обеспечить ввод в эксплуатацию объекта капитального строительства

(указывается наименование объекта капитального строительства)

в соответствии со сроком, установленным графиком выполнения мероприятий по проектированию и (или) строительству (реконструкции, в том числе с элементами реставрации, техническому перевооружению) объектов капитального строительства и (или) приобретению объектов недвижимого имущества (указывается в целях получения субсидии по мероприятию, предусмотренному в абзаце четвертом подпункта "в" пункта 3 Правил).

(должность высшего должностного лица субъекта Российской Федерации) (подпись) (ф.и.о. (последнее - при наличии)

М.П.

ПРИЛОЖЕНИЕ 36. - Утратило силу. (в ред. Постановления Правительства РФ от 02.09.2021 N 1469)

ПРИЛОЖЕНИЕ 37. - Утратило силу. (в ред. Постановления Правительства РФ от 25.12.2021 N 2489)

Приложение N 38
к государственной программе
Российской Федерации
"Экономическое развитие
и инновационная экономика"

ПРАВИЛА ПРЕДОСТАВЛЕНИЯ ИЗ ФЕДЕРАЛЬНОГО БЮДЖЕТА СУБСИДИИ БЮДЖЕТУ КЕМЕРОВСКОЙ ОБЛАСТИ - КУЗБАССУ НА РЕАЛИЗАЦИЮ МЕРОПРИЯТИЙ ПРОГРАММЫ СОЦИАЛЬНО-ЭКОНОМИЧЕСКОГО РАЗВИТИЯ КЕМЕРОВСКОЙ ОБЛАСТИ - КУЗБАССА В ЦЕЛЯХ СОФИНАНСИРОВАНИЯ СТРОИТЕЛЬСТВА ОБЪЕКТОВ ИНФРАСТРУКТУРЫ, НЕОБХОДИМЫХ ДЛЯ СНЯТИЯ ИНФРАСТРУКТУРНЫХ ОГРАНИЧЕНИЙ В МУНИЦИПАЛЬНЫХ ОБРАЗОВАНИЯХ КУЗБАССА ПРИ РЕАЛИЗАЦИИ НОВЫХ ИНВЕСТИЦИОННЫХ ПРОЕКТОВ

(в ред. Постановлений Правительства РФ от 24.12.2021 N 2433, от 25.08.2023 N 1385)

1. Настоящие Правила устанавливают условия и порядок предоставления и распределения субсидии из федерального бюджета бюджету Кемеровской области - Кузбассу на реализацию мероприятий программы социально-экономического развития Кемеровской области - Кузбасса в целях софинансирования строительства объектов инфраструктуры, необходимых для снятия инфраструктурных ограничений в муниципальных образованиях Кузбасса при реализации новых инвестиционных проектов (далее - субсидия), в рамках государственной программы Российской Федерации "Экономическое развитие и инновационная экономика".

2. Субсидия направляется бюджету Кемеровской области - Кузбассу на софинансирование мероприятий, предусматривающих строительство и (или) реконструкцию объектов инфраструктуры (включая содержание службы заказчика-застройщика (технического надзора), авторского надзора за строительством, заключение контрактов, предметом которых является одновременно выполнение работ по проектированию, строительству и вводу в эксплуатацию объектов инфраструктуры (комплексный контракт), необходимых для снятия инфраструктурных ограничений в муниципальных образованиях Кемеровской области - Кузбасса, при реализации новых инвестиционных проектов. (в ред. Постановления Правительства РФ от 25.08.2023 N 1385)

Под инвестиционным проектом понимается проект, реализуемый либо планируемый к реализации на территории муниципальных образований Кемеровской области - Кузбасса (за исключением проектов в сфере угледобывающей промышленности) инициатором инвестиционного проекта (юридическим лицом либо индивидуальным предпринимателем) в форме капитальных вложений (далее - инвестиционный проект).

К объектам инфраструктуры, необходимым для снятия инфраструктурных ограничений в муниципальных образованиях Кемеровской области - Кузбасса при реализации новых инвестиционных проектов, относятся объекты инженерной инфраструктуры (в том числе мероприятия по инженерной подготовке территории, предусмотренные в проектной документации объекта инфраструктуры), предназначенные для обеспечения ресурсами на технологические нужды новых инвестиционных проектов (объекты водо-, тепло-, электро- и газоснабжения, канализации, включая очистку промышленных, бытовых и ливневых стоков, объекты связи, объекты, предназначенные для освещения территорий муниципальных образований Кемеровской области - Кузбасса), а также объекты транспортной инфраструктуры (автомобильные дороги и железнодорожные пути), строительство и (или) реконструкция которых необходимы для осуществления инициаторами новых инвестиционных проектов (при условии загрузки инвестиционными проектами не менее 50 процентов мощности построенной инженерной инфраструктуры) (далее - объекты инфраструктуры).

Субсидии из федерального бюджета предоставляются на софинансирование капитальных вложений в объекты капитального строительства государственной собственности субъектов Российской Федерации (муниципальной собственности) или на приобретение объектов недвижимого имущества в государственную собственность субъектов Российской Федерации (муниципальную собственность) в соответствии со статьей 179.1 Бюджетного кодекса Российской Федерации, включая выполнение работ по проектированию объектов капитального строительства. (в ред. Постановления Правительства РФ от 25.08.2023 N 1385)

Объем внебюджетных инвестиций включают в себя фактически произведенные в отчетном периоде инициаторами инвестиционных проектов затраты по:

прошедшим отбор инвестиционным проектам, имеющим функциональную зависимость от инвестиционных проектов, прошедших отбор;

инвестиционным проектам, не прошедшим отбор, в случае если при реализации новых инвестиционных проектов инициаторы являются пользователями объектов инфраструктуры, построенных и (или) реконструированных для снятия инфраструктурных ограничений в муниципальных образованиях Кузбасса.

В рамках новых инвестиционных проектов учитываются затраты на подготовку проекта, предпроектные работы, приобретение земельных участков, зданий, сооружений, оборудования, нематериальных активов; проектные работы; строительно-монтажные работы, работы по реконструкции и (или) техническому перевооружению, пусконаладочные работы, подбор и обучение персонала; инвестиции в оборотный капитал, произведенные до ввода в эксплуатацию объектов.

3. Субсидия предоставляется в пределах лимитов бюджетных обязательств, доведенных до Министерства экономического развития Российской Федерации как получателя средств федерального бюджета на цели, указанные в пункте 1 настоящих Правил.

4. Субсидии предоставляются на основании соглашения о предоставлении субсидии, заключаемого между Министерством экономического развития Российской Федерации и Правительством Кемеровской области - Кузбасса по типовой форме, установленной Министерством финансов Российской Федерации (далее - соглашение), и подготавливаемого (формируемого) с использованием государственной интегрированной информационной системы управления общественными финансами "Электронный бюджет".

Средства субсидии распределяются по инвестиционным проектам в соответствии с порядком отбора инвестиционных проектов, не связанных с добычей угля, утвержденным Правительством Кемеровской области - Кузбасса.

5. Субсидия предоставляется бюджету Кемеровской области - Кузбассу при выполнении одновременно следующих условий:

а) наличие правовых актов Правительства Кемеровской области - Кузбасса, утверждающих перечень мероприятий (результатов), в целях софинансирования которых предоставляются субсидии, в соответствии с требованиями нормативных правовых актов Российской Федерации; (в ред. Постановления Правительства РФ от 25.08.2023 N 1385)

б) наличие в бюджете Кемеровской области - Кузбасса бюджетных ассигнований в объеме, необходимом для исполнения расходного обязательства Кемеровской области - Кузбасса, включающем размер планируемой к предоставлению из федерального бюджета субсидии, и порядок определения объемов указанных ассигнований, если иное не установлено актами Президента Российской Федерации или Правительства Российской Федерации;

в) заключение соглашения в соответствии с пунктом 10 Правил формирования, предоставления и распределения субсидий из федерального бюджета бюджетам субъектов Российской Федерации, утвержденных постановлением Правительства Российской Федерации от 30 сентября 2014 г. N 999 "О формировании, предоставлении и распределении субсидий из федерального бюджета бюджетам субъектов Российской Федерации" (далее - Правила формирования, предоставления и распределения субсидий).

6. Правительством Кемеровской области - Кузбасса предоставляются в Министерство экономического развития Российской Федерации следующие документы:

порядок отбора инвестиционных проектов, не связанных с добычей угля, утвержденный Правительством Кемеровской области - Кузбасса;

правовой акт Правительства Кемеровской области - Кузбасса, утверждающий перечень мероприятий (результатов), в целях софинансирования которых предоставляются субсидии, в соответствии с требованиями нормативных правовых актов Российской Федерации; (в ред. Постановления Правительства РФ от 25.08.2023 N 1385)

перечень инвестиционных проектов, на софинансирование которых направляются средства субсидии, сформированный по итогам проведенного Правительством Кемеровской области - Кузбасса отбора инвестиционных проектов в соответствии с порядком отбора инвестиционных проектов, не связанных с добычей угля, утвержденным Правительством Кемеровской области - Кузбасса, по форме согласно приложению;

порядок (график) финансирования строительства и (или) реконструкции объектов инфраструктуры, необходимых для реализации инвестиционных проектов, утвержденный Правительством Кемеровской области - Кузбасса.

7. Министерство экономического развития Российской Федерации в течение 15 рабочих дней со дня поступления документов, представленных в соответствии с пунктами 5 и 6 настоящих Правил, рассматривает их, проверяет полноту сведений, содержащихся в них, и принимает решение о предоставлении бюджету Кемеровской области - Кузбассу субсидии либо отказывает в ее предоставлении в случае непредставления (представления не в полном объеме) указанных документов или установления факта недостоверности информации, содержащейся в документах, представленных Правительством Кемеровской области - Кузбасса.

8. Эффективность использования субсидии оценивается Министерством экономического развития Российской Федерации путем сравнения фактически достигнутых и плановых значений следующих результатов использования субсидии:

количество созданных новых рабочих мест, не связанных с добычей угля, в муниципальных образованиях Кемеровской области - Кузбасса. При этом показатель "Количество созданных новых рабочих мест" означает количество новых постоянных рабочих мест, созданных в результате реализации инвестиционных проектов, прошедших отбор, а также инвестиционных проектов, имеющих функциональную зависимость от проектов, прошедших отбор, путем производства товаров, выполнения работ, оказания услуг для целей реализации проектов, прошедших отбор, и (или) потребления товаров (услуг), выполнения работ в рамках реализации проектов, прошедших отбор, либо путем формирования единого технологического (производственного) цикла с указанным проектом (мультипликативный эффект от реализации проектов, прошедших отбор), а также нового инвестиционного проекта, не прошедшего отбор, но фактически являющегося пользователем объектов инфраструктуры, построенных и (или) реконструированных для снятия инфраструктурных ограничений в муниципальных образованиях Кемеровской области - Кузбасса при реализации новых инвестиционных проектов;

объем дополнительных внебюджетных инвестиций в отрасли, не связанных с добычей угля, в результате реализации инвестиционных проектов, получивших поддержку за счет субсидии в части строительства и (или) реконструкции объектов инфраструктуры;

общее количество реализованных инвестиционных проектов.

9. Ответственность за достоверность представленных в Министерство экономического развития Российской Федерации сведений и соблюдение Кемеровской областью - Кузбассом целей и условий предоставления субсидии бюджету Кемеровской области - Кузбасса несет Правительство Кемеровской области - Кузбасса.

10. Перечисление субсидии осуществляется в установленном порядке на единый счет бюджета, открытый финансовому органу Кемеровской области - Кузбасса в территориальном органе Федерального казначейства.

11. Контроль за соблюдением Кемеровской областью - Кузбассом условий предоставления субсидии осуществляется Министерством экономического развития Российской Федерации и уполномоченными органами государственного финансового контроля.

12. Правительство Кемеровской области - Кузбасса представляет по запросу Министерства экономического развития Российской Федерации информацию, необходимую для осуществления проверки соблюдения целей, условий и порядка предоставления субсидии бюджету Кемеровской области - Кузбасса. Указанный запрос должен содержать форму представления информации, методические рекомендации по заполнению указанной формы (в случае необходимости), а также срок представления запрашиваемой информации.

13. При установлении в ходе проверки нарушения целей и условий предоставления субсидии бюджету Кемеровской области - Кузбасса Министерство экономического развития Российской Федерации или уполномоченный орган государственного финансового контроля направляют в Правительство Кемеровской области - Кузбасса требование об устранении указанного нарушения.

Правительство Кемеровской области - Кузбасса в течение 30 календарных дней после получения требования Министерства экономического развития Российской Федерации обязано устранить нарушение и направить в Министерство экономического развития Российской Федерации отчет об устранении нарушения.

14. В случае нецелевого использования субсидии Правительством Кемеровской области - Кузбасса к нему применяются бюджетные меры принуждения, предусмотренные бюджетным законодательством Российской Федерации.

15. Порядок и условия возврата средств из бюджета субъекта Российской Федерации в федеральный бюджет в случае нарушения Кемеровской областью - Кузбассом обязательств по достижению результатов использования субсидии, а также основания для освобождения субъекта Российской Федерации от применения мер финансовой ответственности установлены пунктами 16 - 18 и 20 Правил формирования, предоставления и распределения субсидий.

Приложение
к Правилам предоставления
из федерального бюджета субсидии
бюджету Кемеровской области - Кузбассу
на реализацию мероприятий
программы социально-экономического
развития Кемеровской области -
Кузбасса в целях софинансирования
строительства объектов инфраструктуры,
необходимых для снятия инфраструктурных
ограничений в муниципальных
образованиях Кузбасса
при реализации новых
инвестиционных проектов

(форма)

ПЕРЕЧЕНЬ ИНВЕСТИЦИОННЫХ ПРОЕКТОВ, НА СОФИНАНСИРОВАНИЕ КОТОРЫХ НАПРАВЛЯЮТСЯ СРЕДСТВА СУБСИДИИ, СФОРМИРОВАННЫЙ ПО ИТОГАМ ПРОВЕДЕННОГО ПРАВИТЕЛЬСТВОМ КЕМЕРОВСКОЙ ОБЛАСТИ - КУЗБАССА ОТБОРА ИНВЕСТИЦИОННЫХ ПРОЕКТОВ

(в ред. Постановления Правительства РФ от 24.12.2021 N 2433)

(млн. рублей)

Наименование инвестиционного проектаРазмер субсидии из федерального бюджета
2022 год2023 год2024 год
1.   
2.   
3.   
...   
Итого   

Приложение N 39
к государственной программе
Российской Федерации "Экономическое
развитие и инновационная экономика"

ПРАВИЛА ПРЕДОСТАВЛЕНИЯ СУБСИДИЙ НА РЕАЛИЗАЦИЮ МЕРОПРИЯТИЙ ПО СОЦИАЛЬНО-ЭКОНОМИЧЕСКОМУ РАЗВИТИЮ РЕСПУБЛИКИ МОРДОВИЯ

(в ред. Постановлений Правительства РФ от 24.12.2021 N 2445, от 12.09.2022 N 1587, от 03.11.2022 N 1982)

1. Настоящие Правила устанавливают условия и порядок предоставления субсидий на реализацию мероприятий по социально-экономическому развитию Республики Мордовия в целях софинансирования расходных обязательств Республики Мордовия по мероприятиям программы социально-экономического развития Республики Мордовия на 2022 - 2026 годы, утвержденной распоряжением Правительства Российской Федерации от 29 декабря 2021 г. N 3955-р (далее - Программа), в рамках государственной программы Российской Федерации "Экономическое развитие и инновационная экономика" (далее - субсидии). (в ред. Постановления Правительства РФ от 03.11.2022 N 1982)

2. Субсидии предоставляются в пределах лимитов бюджетных обязательств, доведенных в установленном порядке до Министерства экономического развития Российской Федерации как получателя средств федерального бюджета на предоставление субсидий на цели, указанные в пункте 1 настоящих Правил.

3. Субсидии предоставляются на основании соглашения, заключаемого между Министерством экономического развития Российской Федерации и Правительством Республики Мордовия в соответствии с типовой формой, утвержденной Министерством финансов Российской Федерации, с использованием государственной интегрированной информационной системы управления общественными финансами "Электронный бюджет" (далее - соглашение).

4. Изменения в Программу, касающиеся мероприятий, при реализации которых возникают расходные обязательства Республики Мордовия, в целях софинансирования которых предоставляются субсидии, рассматриваются президиумом (штабом) Правительственной комиссии по региональному развитию в Российской Федерации на основании предложений Министерства экономического развития Российской Федерации, подготовленных совместно с Правительством Республики Мордовия (исполнительными органами Республики Мордовия). (в ред. Постановления Правительства РФ от 12.09.2022 N 1587)

В случае если принятые президиумом (штабом) Правительственной комиссии по региональному развитию в Российской Федерации решения требуют внесения изменений в состав и (или) объем софинансирования мероприятий Программы, при реализации которых возникают расходные обязательства Республики Мордовия, в целях софинансирования которых предоставляются субсидии, Министерством экономического развития Российской Федерации обеспечивается заключение дополнительного соглашения к соглашению.

5. Условиями предоставления субсидий являются:

а) наличие в бюджете Республики Мордовия бюджетных ассигнований на исполнение соответствующего расходного обязательства Республики Мордовия, софинансирование которого осуществляется из федерального бюджета, в объеме, необходимом для его исполнения, включающем размер планируемых к предоставлению субсидий;

б) наличие нормативного правового акта Республики Мордовия, утверждающего перечень мероприятий, при реализации которых возникают расходные обязательства Республики Мордовия, в целях софинансирования которых предоставляются субсидии;

в) заключение соглашений в соответствии с пунктом 10 Правил формирования, предоставления и распределения субсидий из федерального бюджета бюджетам субъектов Российской Федерации, утвержденных постановлением Правительства Российской Федерации от 30 сентября 2014 г. N 999 "О формировании, предоставлении и распределении субсидий из федерального бюджета бюджетам субъектов Российской Федерации" (далее - Правила формирования субсидий).

6. В соглашениях могут быть установлены различные уровни софинансирования расходного обязательства Республики Мордовия из федерального бюджета по отдельным мероприятиям.

Предельный уровень софинансирования расходных обязательств Республики Мордовия из федерального бюджета определяется в соответствии с пунктом 13 Правил формирования субсидий.

При этом в соглашениях в отношении мероприятий, предусматривающих софинансирование капитальных вложений в объекты капитального строительства и (или) приобретение объектов недвижимого имущества, в случае реализации в Республике Мордовия в соответствии с Программой индивидуально определенных мероприятий, имеющих общегосударственное значение, может быть установлен уровень софинансирования расходных обязательств Республики Мордовия из федерального бюджета с превышением предельного уровня софинансирования расходного обязательства Республики Мордовия из федерального бюджета, рассчитанного в соответствии с пунктом 13 Правил формирования субсидий, в размере не более 99 процентов. (в ред. Постановления Правительства РФ от 03.11.2022 N 1982)

7. Распределение субсидий из федерального бюджета бюджету Республики Мордовия осуществляется в соответствии с мероприятиями Программы.

8. Результатами использования субсидий являются целевые показатели результативности реализации соответствующих мероприятий, приведенных в приложении N 2 к Программе, которые должны соответствовать требованиям подпункта "д(1)" пункта 4 Правил формирования субсидий. (в ред. Постановления Правительства РФ от 03.11.2022 N 1982)

9. Основания и порядок применения мер ответственности к Республике Мордовия в случае невыполнения условий соглашения и обязательств по достижению значений результатов использования субсидий, предусмотренных пунктом 8 настоящих Правил, устанавливаются в соответствии с пунктами 16 - 19(1) Правил формирования субсидий.

10. Основание для освобождения Республики Мордовия от применения мер ответственности устанавливается в соответствии с пунктом 20 Правил формирования субсидий.

11. Оценка эффективности использования субсидий осуществляется Министерством экономического развития Российской Федерации на основании сравнения установленных соглашением плановых значений результатов использования субсидий и фактически достигнутых значений.

12. Исполнительный орган Республики Мордовия, уполномоченный Правительством Республики Мордовия, размещает в соответствии с соглашением в государственной интегрированной информационной системе управления общественными финансами "Электронный бюджет": (в ред. Постановления Правительства РФ от 12.09.2022 N 1587)

а) отчет об осуществлении расходов, в целях софинансирования которых предоставляются субсидии, - ежеквартально, в сроки, установленные соглашением;

б) отчет о достижении значений результатов использования субсидий - по форме и в сроки, установленные соглашением.

13. Перечисление субсидии осуществляется в установленном порядке на единый счет бюджета, открытый финансовому органу Республики Мордовия в территориальном органе Федерального казначейства.

14. Ответственность за достоверность представляемых Министерству экономического развития Российской Федерации сведений и соблюдение условий, установленных настоящими Правилами и соглашением, возлагается на Правительство Республики Мордовия.

15. Контроль за соблюдением Республикой Мордовия условий предоставления субсидий осуществляется Министерством экономического развития Российской Федерации и уполномоченными органами государственного финансового контроля. (в ред. Постановления Правительства РФ от 03.11.2022 N 1982)

Приложение N 40
к государственной программе
Российской Федерации
"Экономическое развитие
и инновационная экономика"

ПРАВИЛА ПРЕДОСТАВЛЕНИЯ СУБСИДИИ ИЗ ФЕДЕРАЛЬНОГО БЮДЖЕТА БЮДЖЕТУ КЕМЕРОВСКОЙ ОБЛАСТИ - КУЗБАССА В ЦЕЛЯХ ДОКАПИТАЛИЗАЦИИ МИКРОФИНАНСОВЫХ ОРГАНИЗАЦИЙ

(в ред. Постановлений Правительства РФ от 24.12.2021 N 2453, от 12.09.2022 N 1587, от 12.08.2023 N 1329, от 29.11.2024 N 1671)

1. Настоящие Правила устанавливают цели, порядок и условия предоставления субсидии из федерального бюджета бюджету Кемеровской области - Кузбасса в целях софинансирования расходных обязательств Кемеровской области - Кузбасса, возникающих при реализации мероприятия "Докапитализация микрофинансовых организаций (Государственный фонд поддержки предпринимательства Кузбасса)" программы социально-экономического развития Кемеровской области - Кузбасса до 2024 года, утвержденной распоряжением Правительства Российской Федерации от 6 марта 2021 г. N 556-р, в рамках государственной программы Российской Федерации "Экономическое развитие и инновационная экономика" (далее соответственно - субсидия, мероприятие).

2. Предоставление субсидии осуществляется в пределах лимитов бюджетных обязательств, доведенных в установленном порядке до Министерства экономического развития Российской Федерации как получателя средств федерального бюджета на предоставление субсидии на цели, указанные в пункте 1 настоящих Правил.

3. Понятия, используемые в настоящих Правилах, означают следующее:

"докапитализация" - увеличение имущества государственной микрофинансовой организации Кемеровской области - Кузбасса посредством осуществления имущественного взноса высшим исполнительным органом Кемеровской области - Кузбасса в целях реализации мероприятия; (в ред. Постановления Правительства РФ от 12.09.2022 N 1587)

"микрофинансовая организация" - государственная микрофинансовая организация Кемеровской области - Кузбасса (Государственный фонд поддержки предпринимательства Кузбасса), предоставляющая микрозаймы субъектам малого и среднего предпринимательства, физическим лицам, применяющим специальный налоговый режим "Налог на профессиональный доход", а также иные займы для субъектов малого и среднего предпринимательства и отвечающая критериям, установленным в соответствии с Федеральным законом "О микрофинансовой деятельности и микрофинансовых организациях" и Федеральным законом "О развитии малого и среднего предпринимательства в Российской Федерации". (в ред. Постановления Правительства РФ от 12.08.2023 N 1329)

4. Условиями предоставления субсидии являются:

а) наличие государственной программы (подпрограммы) Кемеровской области - Кузбасса, утверждающей мероприятие (результат), при реализации которого возникают расходные обязательства высшего исполнительного органа Кемеровской области - Кузбасса, в целях софинансирования которого предоставляется субсидия; (в ред. Постановлений Правительства РФ от 12.09.2022 N 1587, от 29.11.2024 N 1671)

б) наличие в бюджете Кемеровской области - Кузбасса бюджетных ассигнований на исполнение расходного обязательства высшим исполнительным органом Кемеровской области - Кузбасса, софинансирование которого осуществляется из федерального бюджета, в объеме, необходимом для его исполнения; (в ред. Постановления Правительства РФ от 12.09.2022 N 1587)

в) заключение соглашения между Министерством экономического развития Российской Федерации и высшим исполнительным органом Кемеровской области - Кузбасса о предоставлении субсидии в соответствии с пунктом 10 Правил формирования, предоставления и распределения субсидий из федерального бюджета бюджетам субъектов Российской Федерации, утвержденных постановлением Правительства Российской Федерации от 30 сентября 2014 г. N 999 "О формировании, предоставлении и распределении субсидий из федерального бюджета бюджетам субъектов Российской Федерации" (далее соответственно - Правила формирования, предоставления и распределения субсидий, соглашение о предоставлении субсидии). (в ред. Постановления Правительства РФ от 12.09.2022 N 1587)

5. Для предоставления субсидии высший исполнительный орган Кемеровской области - Кузбасса представляет в Министерство экономического развития Российской Федерации следующие документы: (в ред. Постановления Правительства РФ от 12.09.2022 N 1587)

а) обращение высшего должностного лица Кемеровской области - Кузбасса (председателя высшего исполнительного органа Кемеровской области - Кузбасса), содержащее обязательство Кемеровской области - Кузбасса по реализации мероприятия в текущем финансовом году и плановом периоде; (в ред. Постановления Правительства РФ от 12.09.2022 N 1587)

б) документ об определении исполнительного органа Кемеровской области - Кузбасса, уполномоченного высшим исполнительным органом Кемеровской области - Кузбасса на взаимодействие с Министерством экономического развития Российской Федерации по реализации мероприятия (далее - уполномоченный орган); (в ред. Постановления Правительства РФ от 12.09.2022 N 1587)

в) выписка из государственной программы (подпрограммы) Кемеровской области - Кузбасса, включающая мероприятие, в целях софинансирования которого предоставляется субсидия;

г) выписка из закона о бюджете Кемеровской области - Кузбасса на текущий финансовый год и плановый период (сводной бюджетной росписи бюджета Кемеровской области - Кузбасса), подтверждающая наличие бюджетных ассигнований на исполнение расходных обязательств Кемеровской области - Кузбасса, в целях софинансирования которых предоставляется субсидия;

д) правила предоставления микрозаймов субъектам малого и среднего предпринимательства, физическим лицам, применяющим специальный налоговый режим "Налог на профессиональный доход", а также правила предоставления иных займов для субъектов малого и среднего предпринимательства, утвержденные Государственным фондом поддержки предпринимательства Кузбасса на весь период реализации мероприятия. (в ред. Постановления Правительства РФ от 12.08.2023 N 1329)

6. Правила предоставления микрозаймов субъектам малого и среднего предпринимательства, физическим лицам, применяющим специальный налоговый режим "Налог на профессиональный доход", в соответствии с требованиями к организациям, образующим инфраструктуру поддержки субъектов малого и среднего предпринимательства, определенными Министерством экономического развития Российской Федерации, а также правила предоставления иных займов для субъектов малого и среднего предпринимательства, указанные в подпункте "д" пункта 5 настоящих Правил, должны содержать положения о том, что микрофинансовая организация предоставляет микрозаймы субъектам малого и среднего предпринимательства и физическим лицам, применяющим специальный налоговый режим "Налог на профессиональный доход", а также иные займы для субъектов малого и среднего предпринимательства, которые: (в ред. Постановления Правительства РФ от 12.08.2023 N 1329)

не имеют по состоянию на любую дату в течение периода, равного 30 календарным дням, предшествующего дате заключения договора (соглашения) о предоставлении микрозайма или иного займа, просроченной задолженности по налогам, сборам и иным обязательным платежам в бюджеты бюджетной системы Российской Федерации, превышающей 50 тыс. рублей; (в ред. Постановления Правительства РФ от 12.08.2023 N 1329)

не имеют задолженности перед работниками (персоналом) по заработной плате, срок невыплаты которой составляет более 3 месяцев (указанное требование не применяется при предоставлении микрозаймов физическим лицам, применяющим специальный налоговый режим "Налог на профессиональный доход").

При введении режима повышенной готовности или режима чрезвычайной ситуации микрофинансовая организация обеспечивает предоставление микрозаймов или иных займов в соответствии со следующими требованиями: (в ред. Постановления Правительства РФ от 12.08.2023 N 1329)

срок рассмотрения заявки на получение микрозайма или иного займа составляет не более 1 рабочего дня; (в ред. Постановления Правительства РФ от 12.08.2023 N 1329)

процентная ставка за пользование микрозаймом или иным займом при наличии или отсутствии залогового имущества не превышает ключевую ставку Центрального банка Российской Федерации, установленную на дату заключения договора микрозайма или иного займа; (в ред. Постановления Правительства РФ от 12.08.2023 N 1329)

максимальный срок предоставления микрозайма или иного займа не превышает 2 лет; (в ред. Постановления Правительства РФ от 12.08.2023 N 1329)

у субъектов малого и среднего предпринимательства и физических лиц, применяющих специальный налоговый режим "Налог на профессиональный доход", получающих микрозайм, субъектов малого и среднего предпринимательства, получающих иной займ, не проверяется отсутствие просроченной задолженности по возврату в бюджеты бюджетной системы Российской Федерации субсидий, бюджетных инвестиций, предоставленных в том числе в соответствии с иными правовыми актами Российской Федерации, и иной просроченной задолженности перед бюджетами бюджетной системы Российской Федерации. (в ред. Постановления Правительства РФ от 12.08.2023 N 1329)

7. Предоставление субсидии осуществляется на основании соглашения о предоставлении субсидии, подготавливаемого (формируемого) с использованием государственной интегрированной информационной системы управления общественными финансами "Электронный бюджет" и в соответствии с типовой формой соглашения о предоставлении субсидии, утвержденной Министерством финансов Российской Федерации.

8. Предельный уровень софинансирования расходных обязательств Кемеровской области - Кузбасса из федерального бюджета определяется в соответствии с пунктом 13 Правил формирования, предоставления и распределения субсидий.

9. В случае нарушения высшим исполнительным органом Кемеровской области - Кузбасса целей, установленных при предоставлении субсидии, применяются бюджетные меры принуждения в соответствии с бюджетным законодательством Российской Федерации. (в ред. Постановления Правительства РФ от 12.09.2022 N 1587)

10. Основания и порядок применения мер ответственности к Кемеровской области - Кузбассу в случае невыполнения ею условий соглашения о предоставлении субсидии, в том числе нарушения субъектом Российской Федерации обязательств по достижению результата использования субсидии, а также основания для освобождения субъекта Российской Федерации от применения мер ответственности устанавливаются в соответствии с пунктами 16 - 18 и 20 Правил формирования, предоставления и распределения субсидий. (в ред. Постановления Правительства РФ от 29.11.2024 N 1671)

11. Перечисление субсидии осуществляется в установленном порядке на единый счет бюджета Кемеровской области - Кузбасса, открытый финансовому органу Кемеровской области - Кузбасса в территориальном органе Федерального казначейства.

12. Уполномоченный орган обеспечивает представление в Министерство экономического развития Российской Федерации в указанные сроки в электронном виде с использованием государственной интегрированной информационной системы управления общественными финансами "Электронный бюджет" предусмотренной соглашением о предоставлении субсидии: (в ред. Постановления Правительства РФ от 29.11.2024 N 1671)

а) отчетности об осуществлении расходов, в целях софинансирования которых предоставляется субсидия, - ежеквартально, в сроки, установленные соглашением о предоставлении субсидии; (в ред. Постановления Правительства РФ от 29.11.2024 N 1671)

б) отчетности о достижении значений результата использования субсидии - по форме и в сроки, установленные соглашением о предоставлении субсидии. (в ред. Постановления Правительства РФ от 29.11.2024 N 1671)

13. Министерство экономического развития Российской Федерации в порядке, предусмотренном соглашением о предоставлении субсидии, осуществляет контроль за выполнением уполномоченным органом обязательств по достижению результата использования субсидии в отчетном году на основании отчетности, предоставленной уполномоченным органом. (в ред. Постановления Правительства РФ от 29.11.2024 N 1671)

14. Результатом использования субсидии является количество выданных займов в Кемеровской области - Кузбассе: (в ред. Постановления Правительства РФ от 29.11.2024 N 1671)

количество микрозаймов, предоставленных микрофинансовой организацией по льготной ставке уникальным субъектам малого и среднего предпринимательства и (или) физическим лицам, применяющим специальный налоговый режим "Налог на профессиональный доход"; (в ред. Постановления Правительства РФ от 29.11.2024 N 1671)

количество иных займов, предоставленных микрофинансовой организацией уникальным субъектам малого и среднего предпринимательства. (в ред. Постановления Правительства РФ от 29.11.2024 N 1671)

15. Эффективность использования субсидии оценивается Министерством экономического развития Российской Федерации на основании сравнения фактически достигнутых Кемеровской областью - Кузбассом значений результата использования субсидии, указанного в пункте 14 настоящих Правил, и его планового значения, установленного соглашением о предоставлении субсидии, а также дополнительных показателей.

16. Уполномоченный орган несет ответственность за достоверность представляемых сведений.

17. Контроль за соблюдением Кемеровской областью - Кузбассом условий предоставления субсидии осуществляется Министерством экономического развития Российской Федерации и уполномоченными органами государственного финансового контроля.

Приложение N 41
к государственной программе
Российской Федерации "Экономическое
развитие и инновационная экономика"

ПРАВИЛА ПРЕДОСТАВЛЕНИЯ СУБСИДИЙ ИЗ ФЕДЕРАЛЬНОГО БЮДЖЕТА БЮДЖЕТАМ СУБЪЕКТОВ РОССИЙСКОЙ ФЕДЕРАЦИИ НА ДОСТИЖЕНИЕ РЕЗУЛЬТАТОВ НАЦИОНАЛЬНОГО ПРОЕКТА "ПРОИЗВОДИТЕЛЬНОСТЬ ТРУДА"

(в ред. Постановлений Правительства РФ от 28.04.2022 N 775 (ред. от 12.05.2023), от 12.09.2022 N 1587)

1. Настоящие Правила устанавливают цели, порядок и условия предоставления субсидий из федерального бюджета бюджетам субъектов Российской Федерации в целях софинансирования расходных обязательств субъектов Российской Федерации, возникающих при реализации региональных проектов, обеспечивающих достижение целей, показателей и результатов федерального проекта "Адресная поддержка повышения производительности труда на предприятиях", входящего в состав национального проекта "Производительность труда" (далее соответственно - субсидии, региональный проект, федеральный проект, национальный проект), в рамках государственной программы Российской Федерации "Экономическое развитие и инновационная экономика".

2. Субсидии предоставляются в целях софинансирования расходных обязательств субъектов Российской Федерации, возникающих при реализации следующих мероприятий:

а) создание и обеспечение деятельности региональных центров компетенций в сфере производительности труда (далее - региональные центры компетенций), включающей в себя в том числе обучение, подготовку и содержание на время обучения тренеров, а также дополнительно привлеченных сотрудников региональных центров компетенций;

б) создание и обеспечение деятельности "фабрики процессов", представляющей собой площадку, обеспечивающую практическое обучение принципам и инструментам бережливого производства посредством имитации реальных производственных и вспомогательных процессов (не более одной в субъекте Российской Федерации) (далее - "фабрика процессов");

в) привлечение региональных центров компетенций иных субъектов Российской Федерации в целях достижения результата использования субсидии, указанного в пункте 11 настоящих Правил (в случае отсутствия в региональном проекте субъекта Российской Федерации - получателя субсидии показателя по созданию региональных центров компетенций, созданных в целях распространения лучших практик производительности труда).

3. Отбор субъектов Российской Федерации для предоставления субсидии (далее - отбор) осуществляется при наличии следующих документов:

а) соглашение о сотрудничестве в сфере повышения производительности труда и поддержки занятости, заключенное между Министерством экономического развития Российской Федерации и высшим исполнительным органом субъекта Российской Федерации; (в ред. Постановления Правительства РФ от 12.09.2022 N 1587)

б) гарантийное обязательство (в письменной форме), подписанное высшим должностным лицом субъекта Российской Федерации (председателем высшего исполнительного органа субъекта Российской Федерации), о том, что в бюджете субъекта Российской Федерации будут заложены бюджетные ассигнования на исполнение расходных обязательств субъекта Российской Федерации, в целях софинансирования которых предоставляется субсидия; (в ред. Постановления Правительства РФ от 12.09.2022 N 1587)

в) паспорт регионального проекта, утвержденный субъектом Российской Федерации;

г) соглашение о реализации регионального проекта на территории субъекта Российской Федерации, заключенное между руководителем федерального проекта и руководителем регионального проекта в форме электронного документа посредством государственной интегрированной информационной системы управления общественными финансами "Электронный бюджет".

4. Для участия в отборе субъекты Российской Федерации представляют в Министерство экономического развития Российской Федерации заявку на участие в отборе за подписью высшего должностного лица субъекта Российской Федерации (председателя высшего исполнительного органа субъекта Российской Федерации) по форме согласно приложению (далее - заявка на участие в отборе) с приложением заверенных в установленном порядке копий соглашения о сотрудничестве, предусмотренного подпунктом "а" пункта 3 настоящих Правил, и утвержденного паспорта регионального проекта. (в ред. Постановления Правительства РФ от 12.09.2022 N 1587)

Отбор проводится путем рассмотрения заявок на участие в отборе комиссией.

Комиссия состоит из председателя комиссии, членов комиссии и секретаря комиссии. Состав комиссии утверждается Министерством экономического развития Российской Федерации.

Заседание комиссии проводится не позднее 30-го рабочего дня после завершения сроков подачи заявок на участие в отборе.

Решения комиссии принимаются на заседании комиссии простым большинством голосов присутствующих на заседании членов комиссии. Кворум для проведения заседания комиссии составляет не менее двух третей общего числа членов комиссии. При голосовании каждый член комиссии имеет право на один голос. В случае равенства числа голосов голос председательствующего на заседании комиссии является решающим.

Решения комиссии оформляются не позднее 3-го рабочего дня после проведения заседания комиссии в форме протокола, который подписывается председательствующим на заседании комиссии.

Секретарь комиссии не позднее 5-го рабочего дня после оформления решения направляет его копию в субъекты Российской Федерации, участвующие в отборе.

5. Министерство экономического развития Российской Федерации размещает на едином портале бюджетной системы Российской Федерации и (или) на официальном сайте указанного Министерства в информационно-телекоммуникационной сети "Интернет" объявление о проведении отбора.

Подача заявок на участие в отборе осуществляется субъектами Российской Федерации в течение 20 рабочих дней со дня размещения Министерством экономического развития Российской Федерации указанного объявления.

6. Субсидия предоставляется при соблюдении субъектом Российской Федерации следующих условий:

а) наличие правового акта субъекта Российской Федерации, утверждающего перечень мероприятий (результатов), при реализации которых возникают расходные обязательства субъекта Российской Федерации, в целях софинансирования которых предоставляется субсидия;

б) наличие в бюджете субъекта Российской Федерации бюджетных ассигнований на исполнение расходных обязательств субъекта Российской Федерации, в целях софинансирования которых предоставляется субсидия;

в) заключение соглашения о предоставлении субсидии между высшим исполнительным органом субъекта Российской Федерации и Министерством экономического развития Российской Федерации в соответствии с пунктом 10 Правил формирования, предоставления и распределения субсидий из федерального бюджета бюджетам субъектов Российской Федерации, утвержденных постановлением Правительства Российской Федерации от 30 сентября 2014 г. N 999 "О формировании, предоставлении и распределении субсидий из федерального бюджета бюджетам субъектов Российской Федерации" (далее - соглашение о предоставлении субсидии). (в ред. Постановления Правительства РФ от 12.09.2022 N 1587)

7. Субсидии предоставляются в пределах лимитов бюджетных обязательств, доведенных до Министерства экономического развития Российской Федерации как получателя средств федерального бюджета на предоставление субсидий на цели, указанные в пункте 2 настоящих Правил.

8. Размер субсидии, предоставляемой бюджету i-ro субъекта Российской Федерации (), определяется по формуле:

,

где:

- размер субсидии, предоставляемой бюджету i-го субъекта Российской Федерации на создание регионального центра компетенций в субъекте Российской Федерации;

- размер субсидии, предоставляемой бюджету i-го субъекта Российской Федерации на создание "фабрики процессов" в субъекте Российской Федерации;

- размер субсидии, предоставляемой бюджету i-го субъекта Российской Федерации на обеспечение деятельности "фабрики процессов" и регионального центра компетенций в субъекте Российской Федерации;

- размер субсидии, предоставляемой бюджету i-го субъекта Российской Федерации на обучение и подготовку дополнительно привлеченных сотрудников регионального центра компетенций, необходимых для реализации проектов на предприятиях - участниках национального проекта в субъекте Российской Федерации;

- размер субсидии, предоставляемой бюджету i-го субъекта Российской Федерации на обучение и подготовку тренеров регионального центра компетенций, необходимых для реализации проектов на предприятиях - участниках национального проекта в субъекте Российской Федерации;

- размер субсидии, предоставляемой бюджету i-го субъекта Российской Федерации на содержание дополнительно привлеченных сотрудников регионального центра компетенций или тренеров регионального центра компетенций на время обучения.

Размер субсидии, предоставляемой бюджету i-го субъекта Российской Федерации на создание регионального центра компетенций в субъекте Российской Федерации (), определяется по формуле (рассчитывается только в 1-й год участия субъекта Российской Федерации в федеральном проекте):

,

где:

- плановая численность сотрудников создаваемого регионального центра компетенций в i-м субъекте Российской Федерации, которая рассчитывается пропорционально установленному федеральным проектом субъекту Российской Федерации в следующем финансовом году показателю количества предприятий, внедряющих мероприятия национального проекта под региональным управлением (с региональным центром компетенций);

- предельная стоимость содержания одной штатной единицы регионального центра компетенций, создаваемого в субъекте Российской Федерации, но не более 3 млн. рублей (выплата предоставляется единоразово в год создания регионального центра компетенций в субъекте Российской Федерации в размере указанной стоимости);

- предельный уровень софинансирования расходного обязательства i-го субъекта Российской Федерации из федерального бюджета, утвержденный Правительством Российской Федерации на соответствующий финансовый год.

Размер субсидии, предоставляемой бюджету i-го субъекта Российской Федерации на создание "фабрики процессов" в субъекте Российской Федерации (), определяется по формуле (рассчитывается только в 1-й год участия субъекта Российской Федерации в федеральном проекте при наличии установленной субъекту Российской Федерации цели по повышению производительности труда на предприятиях - участниках национального проекта по направлению "Бережливое производство" с помощью созданной региональной инфраструктуры обеспечения повышения производительности труда):

,

где:

- количество "фабрик процессов", создающихся в субъекте Российской Федерации в текущем году;

- предельная стоимость создания "фабрики процессов" в субъекте Российской Федерации, но не более 4,5 млн. рублей (выплата в размере указанной стоимости предоставляется единоразово).

Размер субсидии, предоставляемой бюджету i-го субъекта Российской Федерации на обеспечение деятельности "фабрики процессов" и регионального центра компетенций в субъекте Российской Федерации (), определяется по формуле:

,

где:

- общий объем бюджетных ассигнований, предусмотренный в федеральном бюджете на предоставление субсидий на соответствующий финансовый год на цели, указанные в пункте 2 настоящих Правил;

n - количество субъектов Российской Федерации;

- количество предприятий, участвующих в реализации мероприятий регионального проекта через региональный центр компетенций в i-м субъекте Российской Федерации (кроме г. Москвы), установленное соглашением о реализации регионального проекта.

Размер субсидии, предоставляемой бюджету i-го субъекта Российской Федерации на обучение и подготовку дополнительно привлеченных сотрудников регионального центра компетенций, необходимых для реализации проектов на предприятиях - участниках национального проекта в субъекте Российской Федерации (), определяется по формуле:

,

где:

- плановая численность дополнительно привлеченных сотрудников регионального центра компетенций i-го субъекта Российской Федерации, необходимых для реализации проектов на предприятиях - участниках национального проекта, рассчитываемая пропорционально установленному федеральным проектом субъекту Российской Федерации в следующем финансовом году показателю количества предприятий, внедряющих мероприятия национального проекта под региональным управлением (с региональным центром компетенций);

- предельная стоимость обучения и подготовки одного дополнительно привлеченного сотрудника регионального центра компетенций, необходимого для реализации проектов на предприятиях - участниках национального проекта в субъекте Российской Федерации, но не более 1 млн. рублей.

Размер субсидии, предоставляемой бюджету i-го субъекта Российской Федерации на обучение и подготовку тренеров регионального центра компетенций, необходимых для реализации проектов на предприятиях - участниках национального проекта в субъекте Российской Федерации (), определяется по формуле:

,

где:

- плановая численность тренеров регионального центра компетенций субъекта Российской Федерации, которые необходимы для реализации проектов на предприятиях - участниках национального проекта, рассчитываемая пропорционально установленному федеральным проектом субъекту Российской Федерации в следующем финансовом году показателю количества предприятий, внедряющих мероприятия национального проекта под региональным управлением (с региональным центром компетенций);

- предельная стоимость обучения и подготовки одного тренера регионального центра компетенций, необходимого для реализации проектов на предприятиях - участниках национального проекта в субъекте Российской Федерации, но не более 1,7 млн. рублей.

Размер субсидии, предоставляемой бюджету i-ro субъекта Российской Федерации на содержание дополнительно привлеченных сотрудников регионального центра компетенций или тренеров регионального центра компетенций на время обучения (), определяется по формуле:

,

где:

- плановая численность дополнительно привлеченных сотрудников регионального центра компетенций и тренеров регионального центра компетенций субъекта Российской Федерации;

- предельная стоимость содержания одного дополнительно привлеченного сотрудника регионального центра компетенций или тренера регионального центра компетенций на время обучения, но не более 1,4742 млн. рублей.

9. Предоставление субсидий осуществляется на основании соглашения о предоставлении субсидии, которое подготавливается (формируется) и заключается с использованием государственной интегрированной информационной системы управления общественными финансами "Электронный бюджет" в соответствии с типовой формой, утвержденной Министерством финансов Российской Федерации.

10. Перечисление субсидий осуществляется в установленном порядке на единые счета бюджетов, открытые финансовым органам субъектов Российской Федерации в территориальных органах Федерального казначейства.

11. Оценка эффективности использования субсидий осуществляется Министерством экономического развития Российской Федерации на основании сравнения установленных соглашением о предоставлении субсидии и фактически достигнутых субъектом Российской Федерации за отчетный год и следующие 2 года результатов использования субсидий, соответствующих результатам национального проекта.

Результатом использования субсидий является количество проектов по повышению производительности труда на предприятиях, участвующих в реализации национального проекта по направлению "Бережливое производство" с помощью созданной региональной инфраструктуры обеспечения повышения производительности труда.

12. Исполнительный орган субъекта Российской Федерации, уполномоченный высшим исполнительным органом субъекта Российской Федерации, размещает в государственной интегрированной информационной системе управления общественными финансами "Электронный бюджет": (в ред. Постановления Правительства РФ от 12.09.2022 N 1587)

а) отчет о расходах бюджета субъекта Российской Федерации, в целях финансирования которых предоставляется субсидия, по форме, установленной соглашением о предоставлении субсидии, - ежеквартально, не позднее 10-го числа месяца, следующего за отчетным;

б) отчет о достижении значений результатов использования субсидий и обязательствах, принятых в целях их достижения, по форме, установленной соглашением о предоставлении субсидии, - ежемесячно, в порядке и сроки, которые установлены соглашением о предоставлении субсидии.

13. Порядок и условия возврата средств из бюджета субъекта Российской Федерации в федеральный бюджет в случае нарушения субъектом Российской Федерации обязательств по достижению значения результата использования субсидии, предусмотренного соглашением о предоставлении субсидии, а также основания для освобождения субъекта Российской Федерации от применения мер финансовой ответственности определяются в соответствии с пунктами 16 - 18 и 20 Правил формирования, предоставления и распределения субсидий из федерального бюджета бюджетам субъектов Российской Федерации, утвержденных постановлением Правительства Российской Федерации от 30 сентября 2014 г. N 999 "О формировании, предоставлении и распределении субсидий из федерального бюджета бюджетам субъектов Российской Федерации".

14. Ответственность за достоверность представляемых в Министерство экономического развития Российской Федерации информации и документов возлагается на высшее должностное лицо субъекта Российской Федерации (председателя высшего исполнительного органа субъекта Российской Федерации). (в ред. Постановления Правительства РФ от 12.09.2022 N 1587)

15. Контроль за соблюдением субъектами Российской Федерации условий предоставления субсидий осуществляется Министерством экономического развития Российской Федерации и уполномоченными органами государственного финансового контроля.

16. В случае нарушения субъектом Российской Федерации целей, установленных при предоставлении субсидий, к нему применяются бюджетные меры принуждения, предусмотренные бюджетным законодательством Российской Федерации.

17. Министерство экономического развития Российской Федерации в порядке, предусмотренном соглашением о предоставлении субсидии, осуществляет контроль за выполнением субъектами Российской Федерации обязательств по достижению результатов использования субсидий в отчетном году на основании отчетов, представленных субъектами Российской Федерации.

Приложение
к Правилам предоставления
субсидий из федерального бюджета
бюджетам субъектов Российской Федерации
на достижение результатов национального
проекта "Производительность труда"

(форма)

ЗАЯВКА НА УЧАСТИЕ В ОТБОРЕ ДЛЯ ПРЕДОСТАВЛЕНИЯ СУБСИДИИ ИЗ ФЕДЕРАЛЬНОГО БЮДЖЕТА БЮДЖЕТАМ СУБЪЕКТОВ РОССИЙСКОЙ ФЕДЕРАЦИИ НА ДОСТИЖЕНИЕ РЕЗУЛЬТАТОВ НАЦИОНАЛЬНОГО ПРОЕКТА "ПРОИЗВОДИТЕЛЬНОСТЬ ТРУДА"

(в ред. Постановлений Правительства РФ от 28.04.2022 N 775 (ред. от 12.05.2023), от 12.09.2022 N 1587)

(наименование субъекта Российской Федерации)

на предоставление в ____________________ году субсидии из федерального бюджета бюджету субъекта Российской Федерации

(наименование субъекта Российской Федерации)

для оказания финансовой поддержки субъектам Российской Федерации на достижение результатов национального проекта "Производительность труда".

(высшее должностное лицо субъекта Российской Федерации (председатель высшего исполнительного органа субъекта Российской Федерации)

(в ред. Постановления Правительства РФ от 12.09.2022 N 1587)

информирует о соблюдении следующих условий:

заключено соглашение между Министерством экономического развития Российской Федерации и высшим исполнительным органом государственной власти субъекта Российской Федерации о сотрудничестве в сфере повышения производительности труда;

утвержден паспорт регионального проекта "Адресная поддержка повышения производительности труда на предприятиях"

;
(реквизиты нормативного правового акта) 

заключено соглашение о реализации регионального проекта "Адресная поддержка повышения производительности труда на предприятиях" на территории субъекта Российской Федерации между руководителем федерального проекта "Адресная поддержка повышения производительности труда на предприятиях" и руководителем регионального проекта "Адресная поддержка повышения производительности труда на предприятиях" в форме электронного документа посредством государственной интегрированной информационной системы управления общественными финансами "Электронный бюджет";

представлено гарантийное обязательство (в письменной форме), подписанное высшим должностным лицом субъекта Российской Федерации (председателем высшего исполнительного органа субъекта Российской Федерации), о том, что в бюджете субъекта Российской Федерации в год предоставления субсидии будут предусмотрены бюджетные ассигнования на исполнение расходных обязательств субъекта Российской Федерации, в целях софинансирования которых предоставляется субсидия. (в ред. Постановления Правительства РФ от 12.09.2022 N 1587)

(высшее должностное лицо субъекта Российской Федерации (руководитель высшего исполнительного органа субъекта Российской Федерации)

м. п. 
(подпись) (дата)

Приложение N 42
к государственной программе
Российской Федерации
"Экономическое развитие
и инновационная экономика"

ПРАВИЛА ПРЕДОСТАВЛЕНИЯ СУБСИДИЙ ИЗ ФЕДЕРАЛЬНОГО БЮДЖЕТА БЮДЖЕТУ РЕСПУБЛИКИ АДЫГЕЯ В ЦЕЛЯХ СОФИНАНСИРОВАНИЯ РАСХОДНЫХ ОБЯЗАТЕЛЬСТВ РЕСПУБЛИКИ АДЫГЕЯ, ВОЗНИКАЮЩИХ ПРИ РЕАЛИЗАЦИИ ИНДИВИДУАЛЬНОЙ ПРОГРАММЫ СОЦИАЛЬНО-ЭКОНОМИЧЕСКОГО РАЗВИТИЯ РЕСПУБЛИКИ АДЫГЕЯ НА ПЕРИОД ДО 2024 ГОДА

(в ред. Постановлений Правительства РФ от 30.05.2022 N 983, от 12.09.2022 N 1587, от 10.11.2022 N 2031, от 17.12.2024 N 1806)

1. Настоящие Правила устанавливают порядок предоставления субсидий из федерального бюджета бюджету Республики Адыгея в целях софинансирования расходных обязательств Республики Адыгея по предоставлению субсидий юридическим лицам и индивидуальным предпринимателям, государственным бюджетным и автономным учреждениям, осуществлению капитальных вложений в объекты капитального строительства государственной собственности субъекта Российской Федерации, приобретению объектов недвижимого имущества в государственную собственность субъекта Российской Федерации и (или) предоставлению межбюджетных трансфертов из бюджета Республики Адыгея местным бюджетам, возникающих при реализации мероприятий индивидуальной программы социально-экономического развития Республики Адыгея на период до 2024 года, утвержденной распоряжением Правительства Российской Федерации от 16 апреля 2020 г. N 1043-р (далее соответственно - субсидии, индивидуальная программа), в рамках государственной программы Российской Федерации "Экономическое развитие и инновационная экономика". (в ред. Постановления Правительства РФ от 10.11.2022 N 2031)

2. Субсидии предоставляются в пределах лимитов бюджетных обязательств, доведенных до Министерства сельского хозяйства Российской Федерации как получателя средств федерального бюджета на предоставление субсидий на цели, указанные в пункте 1 настоящих Правил.

3. Субсидии предоставляются на основании соглашения, заключаемого между Министерством сельского хозяйства Российской Федерации и высшим исполнительным органом Республики Адыгея в соответствии с типовой формой, утвержденной Министерством финансов Российской Федерации, с использованием государственной интегрированной информационной системы управления общественными финансами "Электронный бюджет" (далее - соглашение). (в ред. Постановления Правительства РФ от 12.09.2022 N 1587)

4. Условиями предоставления субсидий являются:

а) наличие в бюджете Республики Адыгея бюджетных ассигнований на исполнение соответствующего расходного обязательства Республики Адыгея, софинансирование которого осуществляется из федерального бюджета, в объеме, необходимом для его исполнения;

б) наличие нормативного правового акта Республики Адыгея, утверждающего перечень мероприятий, при реализации которых возникают расходные обязательства Республики Адыгея, в целях софинансирования которых предоставляются субсидии;

в) заключение соглашения в соответствии с пунктом 10 Правил формирования, предоставления и распределения субсидий из федерального бюджета бюджетам субъектов Российской Федерации, утвержденных постановлением Правительства Российской Федерации от 30 сентября 2014 г. N 999 "О формировании, предоставлении и распределении субсидий из федерального бюджета бюджетам субъектов Российской Федерации" (далее - Правила формирования субсидий).

5. Допускается возможность установления в соглашении различных уровней софинансирования расходных обязательств Республики Адыгея из федерального бюджета по отдельным мероприятиям.

6. Распределение субсидий осуществляется в соответствии с мероприятиями индивидуальной программы.

7. Результатами использования субсидий являются:

реализованы мероприятия в целях обеспечения динамичных темпов экономического роста, основанных на эффективной реализации потенциала Республики Адыгея; (в ред. Постановления Правительства РФ от 17.12.2024 N 1806)

количество созданных рабочих мест;

количество приобретенных объектов недвижимого имущества государственной собственности субъекта Российской Федерации (муниципальной собственности).

8. Предельный уровень софинансирования расходных обязательств Республики Адыгея из федерального бюджета определяется в соответствии с пунктом 13 Правил формирования субсидий.

9. Основания и порядок применения мер ответственности к Республике Адыгея в случае невыполнения ею условий соглашения и обязательств по эффективному использованию субсидий (а именно достижение значений результатов использования субсидий, предусмотренных пунктом 7 настоящих Правил) устанавливаются в соответствии с пунктами 16 - 19.1 Правил формирования субсидий.

10. Основание для освобождения Республики Адыгея от применения мер ответственности устанавливается в соответствии с пунктом 20 Правил формирования субсидий.

11. Оценка эффективности использования субсидий осуществляется Министерством сельского хозяйства Российской Федерации на основании сравнения установленных соглашением плановых значений результатов использования субсидий и фактически достигнутых значений.

12. Министерство экономического развития и торговли Республики Адыгея размещает в соответствии с соглашением в государственной интегрированной информационной системе управления общественными финансами "Электронный бюджет":

отчет о расходах, в целях софинансирования которых предоставляются субсидии, - ежеквартально, не позднее 10-го числа месяца, следующего за отчетным кварталом;

отчет о достижении значений результатов использования субсидий - по форме и в сроки, установленные соглашением.

13. Перечисление субсидий осуществляется в установленном порядке на единый счет бюджета, открытый финансовому органу Республики Адыгея в территориальном органе Федерального казначейства.

14. Ответственность за достоверность представляемых Министерству сельского хозяйства Российской Федерации сведений и соблюдение условий, установленных настоящими Правилами и соглашением, возлагается на высший исполнительный орган Республики Адыгея. (в ред. Постановления Правительства РФ от 12.09.2022 N 1587)

15. Контроль за соблюдением Республикой Адыгея условий предоставления субсидий осуществляется Министерством сельского хозяйства Российской Федерации и органами государственного финансового контроля.

16. В случае нарушения целей предоставления субсидий, указанных в пункте 1 настоящих Правил, применяются бюджетные меры принуждения, предусмотренные бюджетным законодательством Российской Федерации. (в ред. Постановления Правительства РФ от 17.12.2024 N 1806)

Приложение N 43
к государственной программе
Российской Федерации
"Экономическое развитие
и инновационная экономика"

ПРАВИЛА ПРЕДОСТАВЛЕНИЯ И РАСПРЕДЕЛЕНИЯ В 2023 ГОДУ СУБСИДИЙ ИЗ ФЕДЕРАЛЬНОГО БЮДЖЕТА БЮДЖЕТАМ СУБЪЕКТОВ РОССИЙСКОЙ ФЕДЕРАЦИИ, НА ТЕРРИТОРИЯХ КОТОРЫХ ВВЕДЕН СРЕДНИЙ УРОВЕНЬ РЕАГИРОВАНИЯ, НА ПРЕДОСТАВЛЕНИЕ ГОСУДАРСТВЕННОЙ ПОДДЕРЖКИ СУБЪЕКТАМ ПРЕДПРИНИМАТЕЛЬСКОЙ ДЕЯТЕЛЬНОСТИ, СУБЪЕКТАМ МАЛОГО И СРЕДНЕГО ПРЕДПРИНИМАТЕЛЬСТВА, А ТАКЖЕ ФИЗИЧЕСКИМ ЛИЦАМ, ПРИМЕНЯЮЩИМ СПЕЦИАЛЬНЫЙ НАЛОГОВЫЙ РЕЖИМ "НАЛОГ НА ПРОФЕССИОНАЛЬНЫЙ ДОХОД"

(в ред. Постановления Правительства РФ от 20.04.2023 N 628)

1. Настоящие Правила устанавливают цели, порядок и условия предоставления и распределения в 2023 году субсидий из федерального бюджета бюджетам субъектов Российской Федерации, на территориях которых введен средний уровень реагирования, на предоставление государственной поддержки субъектам предпринимательской деятельности, субъектам малого и среднего предпринимательства, а также физическим лицам, применяющим специальный налоговый режим "Налог на профессиональный доход", в рамках государственной программы Российской Федерации "Экономическое развитие и инновационная экономика" (далее - субсидии).

2. Субсидии предоставляются в целях софинансирования расходных обязательств субъектов Российской Федерации, на территориях которых введен средний уровень реагирования, в соответствии с Указом Президента Российской Федерации от 19 октября 2022 г. N 757 "О мерах, осуществляемых в субъектах Российской Федерации в связи с Указом Президента Российской Федерации от 19 октября 2022 г. N 756", возникающих при реализации органами государственной власти субъектов Российской Федерации полномочий по поддержке субъектов предпринимательской деятельности, субъектов малого и среднего предпринимательства, а также физических лиц, применяющих специальный налоговый режим "Налог на профессиональный доход", пострадавших в результате обстрелов со стороны вооруженных формирований Украины и террористических актов, на реализацию следующих мероприятий:

а) предоставление в 2023 году грантов в форме субсидий субъектам предпринимательской деятельности, а также физическим лицам, применяющим специальный налоговый режим "Налог на профессиональный доход", на восстановление и (или) поддержание деятельности;

б) докапитализация государственных микрофинансовых организаций для оказания в 2023 году поддержки субъектам малого и среднего предпринимательства, а также физическим лицам, применяющим специальный налоговый режим "Налог на профессиональный доход".

3. Общий размер субсидии на реализацию мероприятия, указанного в подпункте "б" пункта 2 настоящих Правил, не может превышать 10 процентов лимитов бюджетных обязательств, доведенных в 2023 году в установленном порядке до Министерства экономического развития Российской Федерации как получателя средств федерального бюджета на предоставление субсидий в соответствии с пунктом 1 настоящих Правил.

4. Понятия, используемые в настоящих Правилах, означают следующее:

"государственная микрофинансовая организация" - микрофинансовая организация, одним из учредителей (участников, акционеров) которой является субъект Российской Федерации, предоставляющая микрозаймы субъектам малого и среднего предпринимательства, а также физическим лицам, применяющим специальный налоговый режим "Налог на профессиональный доход", и отвечающая критериям, установленным в соответствии с Федеральным законом "О развитии малого и среднего предпринимательства в Российской Федерации";

"субъекты предпринимательской деятельности" - хозяйственные общества, хозяйственные товарищества, хозяйственные партнерства, производственные кооперативы и индивидуальные предприниматели, зарегистрированные в соответствии с законодательством Российской Федерации, в том числе субъекты малого и среднего предпринимательства.

5. Предоставление субсидий осуществляется в пределах лимитов бюджетных обязательств, доведенных в установленном порядке до Министерства экономического развития Российской Федерации как получателя средств федерального бюджета на предоставление субсидий на цели, указанные в пункте 2 настоящих Правил.

6. Субсидии предоставляются при соблюдении субъектами Российской Федерации следующих условий:

а) наличие государственной программы (подпрограммы) субъекта Российской Федерации, утверждающей перечень мероприятий (результатов), при реализации которых возникают расходные обязательства субъекта Российской Федерации, в целях софинансирования которых предоставляется субсидия;

б) наличие в бюджете субъекта Российской Федерации бюджетных ассигнований на исполнение расходного обязательства субъекта Российской Федерации, софинансирование которого осуществляется из федерального бюджета, в объеме, необходимом для его исполнения, включающем размер планируемой субсидии;

в) заключение Министерством экономического развития Российской Федерации и высшим исполнительным органом субъекта Российской Федерации соглашения о предоставлении субсидии (далее - соглашение) в соответствии с пунктом 10 Правил формирования, предоставления и распределения субсидий из федерального бюджета бюджетам субъектов Российской Федерации, утвержденных постановлением Правительства Российской Федерации от 30 сентября 2014 г. N 999 "О формировании, предоставлении и распределении субсидий из федерального бюджета бюджетам субъектов Российской Федерации" (далее - Правила формирования, предоставления и распределения субсидий).

7. Для получения субсидии субъект Российской Федерации представляет в Министерство экономического развития Российской Федерации заявку субъекта Российской Федерации на получение субсидии по форме согласно приложению с приложением информации о количестве субъектов предпринимательской деятельности, в том числе о количестве субъектов малого и среднего предпринимательства, пострадавших в результате обстрелов со стороны вооруженных формирований Украины и террористических актов, и сумме причиненного ущерба по состоянию на 1 марта 2023 г.

Информация, представленная субъектами Российской Федерации, указанными в пункте 2 настоящих Правил, о количестве субъектов предпринимательской деятельности, пострадавших в результате обстрелов со стороны вооруженных формирований Украины и террористических актов, и сумме причиненного ущерба по состоянию на 1 марта 2023 г., используется при расчете размера субсидии в соответствии с пунктами 9 - 11 настоящих Правил.

8. Критериями отбора субъектов Российской Федерации для предоставления субсидии на реализацию мероприятия, указанного в подпункте "а" пункта 2 настоящих Правил, является наличие по состоянию на 1 марта 2023 г. в субъекте Российской Федерации субъектов предпринимательской деятельности, а также физических лиц, применяющих специальный налоговый режим "Налог на профессиональный доход", пострадавших в результате обстрелов со стороны вооруженных формирований Украины и террористических актов.

Критерием отбора субъектов Российской Федерации для предоставления субсидии на реализацию мероприятия, указанного в подпункте "б" пункта 2 настоящих Правил, является доля субъектов предпринимательской деятельности, а также физических лиц, применяющих специальный налоговый режим "Налог на профессиональный доход", зарегистрированных на территории i-го субъекта Российской Федерации и пострадавших в результате обстрелов со стороны вооруженных формирований Украины и террористических актов, в общем количестве субъектов предпринимательской деятельности, а также физических лиц, применяющих специальный налоговый режим "Налог на профессиональный доход", пострадавших в результате обстрелов со стороны вооруженных формирований Украины и террористических актов, всех субъектов Российской Федерации в размере не менее 50 процентов по состоянию на 1 марта 2023 г.

9. Размер субсидии, предоставляемой бюджету i-го субъекта Российской Федерации в очередном финансовом году (), определяется по формуле:

,

где:

- размер субсидии, предоставляемой бюджету i-го субъекта Российской Федерации в 2023 году в целях софинансирования расходных обязательств субъекта Российской Федерации, возникающих при реализации мероприятия, указанного в подпункте "а" пункта 2 настоящих Правил;

- размер субсидии, предоставляемой бюджету i-го субъекта Российской Федерации в 2023 году в целях софинансирования расходных обязательств субъекта Российской Федерации, возникающих при реализации мероприятия, указанного в подпункте "б" пункта 2 настоящих Правил.

10. Размер субсидии, предоставляемой бюджету i-го субъекта Российской Федерации в 2023 году в целях софинансирования расходных обязательств субъекта Российской Федерации, возникающих при реализации мероприятия, указанного в подпункте "а" пункта 2 настоящих Правил (), определяется в 2 этапа по формуле:

,

где - размер субсидии i-му субъекту Российской Федерации, распределенной на первом этапе по формуле:

где - сумма ущерба, причиненного субъектам предпринимательской деятельности, пострадавшим в результате обстрелов со стороны вооруженных формирований Украины и террористических актов, i-го субъекта Российской Федерации, в случае если сумма ущерба, причиненного субъектам предпринимательской деятельности, зарегистрированным на территории i-го субъекта Российской Федерации и пострадавшим в результате обстрелов со стороны вооруженных формирований Украины и террористических актов, составляет менее средней суммы ущерба в расчете на одного пострадавшего субъекта предпринимательской деятельности.

Размер субсидии i-му субъекту Российской Федерации на втором этапе () рассчитывается по формуле:

,

где:

- общий размер субсидии, распределяемой между субъектами Российской Федерации в 2023 году в целях софинансирования расходных обязательств субъектов Российской Федерации на реализацию мероприятия, указанного в подпункте "а" пункта 2 настоящих Правил;

- размер субсидии i-му субъекту Российской Федерации, распределенной на первом этапе;

- доля субъектов предпринимательской деятельности, пострадавших в результате обстрелов со стороны вооруженных формирований Украины и террористических актов, i-го субъекта Российской Федерации в общем количестве юридических лиц и индивидуальных предпринимателей в субъекте Российской Федерации по состоянию на 1 марта 2023 г., по данным Федеральной налоговой службы Российской Федерации;

- сумма причиненного ущерба в расчете на одного субъекта предпринимательской деятельности, пострадавшего в результате обстрелов со стороны вооруженных формирований Украины и террористических актов, i-го субъекта Российской Федерации;

- предельный уровень софинансирования расходных обязательств субъекта Российской Федерации, установленный в соответствии с положениями Правил формирования, предоставления и распределения субсидий.

11. Размер субсидии, предоставляемой бюджету i-го субъекта Российской Федерации в 2023 году в целях софинансирования расходных обязательств субъекта Российской Федерации, возникающих при реализации мероприятия, указанного в подпункте "б" пункта 2 настоящих Правил (), определяется по формуле:

,

где:

- общий размер субсидии, распределяемой между субъектами Российской Федерации в 2023 году в целях софинансирования расходных обязательств субъектов Российской Федерации, на реализацию мероприятия, указанного в подпункте "б" пункта 2 настоящих Правил;

- объем бюджетных ассигнований, необходимых для исполнения расходных обязательств i-го субъекта Российской Федерации, в целях софинансирования которых предоставляются субсидии, в соответствии с заявкой субъекта Российской Федерации на получение субсидии, но не может превышать 10 процентов лимитов бюджетных обязательств, доведенных в 2023 году в установленном порядке до Министерства экономического развития Российской Федерации как получателя средств федерального бюджета на предоставление субсидий в соответствии с пунктом 1 настоящих Правил.

12. Предоставление субсидии осуществляется на основании соглашения, заключаемого в государственной интегрированной информационной системе управления общественными финансами "Электронный бюджет" в соответствии с типовой формой соглашения, утвержденной Министерством финансов Российской Федерации.

13. Перечисление субсидий осуществляется в установленном порядке на единые счета бюджетов, открытые финансовым органам субъектов Российской Федерации в территориальных органах Федерального казначейства.

14. Порядок и условия возврата средств из бюджета субъекта Российской Федерации в федеральный бюджет в случае нарушения субъектом Российской Федерации обязательств по достижению значений результатов использования субсидии, предусмотренных соглашением, а также основания для освобождения субъекта Российской Федерации от применения мер финансовой ответственности определяются в соответствии с пунктами 16 - 18 и 20 Правил формирования, предоставления и распределения субсидий.

15. В случае нарушения субъектом Российской Федерации целей, установленных при предоставлении субсидии, а также при невыполнении условий соглашения к нему применяются бюджетные меры принуждения, предусмотренные бюджетным законодательством Российской Федерации.

16. Высший исполнительный орган субъекта Российской Федерации представляет в Министерство экономического развития Российской Федерации отчеты, предусмотренные соглашением.

Отчеты, предусмотренные соглашением, составляются нарастающим итогом по состоянию на 1-е число месяца, следующего за отчетным кварталом, и представляются до 10-го числа месяца, следующего за отчетным кварталом, в случае осуществления кассового расхода бюджета субъекта Российской Федерации, софинансируемого из федерального бюджета, при этом отчеты за IV квартал представляются до 20 января 2024 г. независимо от факта осуществления кассового расхода бюджета субъекта Российской Федерации, софинансируемого из федерального бюджета, отчеты о достижении значений результатов использования субсидии представляются в срок до 1 апреля 2024 г. Субъекты Российской Федерации обеспечивают представление отчетов, предусмотренных соглашением, в Министерство экономического развития Российской Федерации в указанные сроки в электронном виде в государственной интегрированной информационной системе управления общественными финансами "Электронный бюджет".

17. Министерство экономического развития Российской Федерации в порядке, предусмотренном соглашением, осуществляет контроль за выполнением субъектами Российской Федерации обязательств по достижению результатов использования субсидий в отчетном году на основании отчетов, представленных субъектами Российской Федерации.

18. Контроль за соблюдением субъектами Российской Федерации условий предоставления субсидий осуществляется Министерством экономического развития Российской Федерации и органами государственного финансового контроля.

19. Результатом использования субсидии на реализацию мероприятия, указанного в подпункте "а" пункта 2 настоящих Правил, является количество субъектов предпринимательской деятельности, а также физических лиц, применяющих специальный налоговый режим "Налог на профессиональный доход", получивших гранты на восстановление и (или) поддержание деятельности.

20. Результатом использования субсидии на реализацию мероприятия, указанного в подпункте "б" пункта 2 настоящих Правил, является количество субъектов малого и среднего предпринимательства, а также физических лиц, применяющих специальный налоговый режим "Налог на профессиональный доход", получивших поддержку при содействии государственной микрофинансовой организации.

21. Оценка эффективности использования субсидии осуществляется Министерством экономического развития Российской Федерации путем сравнения фактически достигнутых и плановых значений результатов использования субсидии, установленных соглашением.

22. Поддержка, указанная в подпункте "а" пункта 2 настоящих Правил, не оказывается субъектам предпринимательской деятельности, а также физическим лицам, применяющим специальный налоговый режим "Налог на профессиональный доход", осуществляющим в качестве основного вида деятельность в сфере сельского хозяйства.

Субъекты Российской Федерации вправе устанавливать региональными нормативными актами приоритетные виды деятельности для предоставления поддержки, указанной в подпункте "а" пункта 2 настоящих Правил.

23. У субъектов предпринимательской деятельности, субъектов малого и среднего предпринимательства, физических лиц, применяющих специальный налоговый режим "Налог на профессиональный доход", претендующих на получение поддержки, указанной пункте 2 настоящих Правил, за счет средств субсидии, не проверяется отсутствие просроченной задолженности по возврату в бюджет бюджетной системы Российской Федерации субсидий, бюджетных инвестиций, предоставленных в том числе в соответствии с иными правовыми актами Российской Федерации, и иной просроченной задолженности перед бюджетами бюджетной системы Российской Федерации.

24. Субъекты Российской Федерации обеспечивают реализацию мероприятия, указанного в подпункте "б" пункта 2 настоящих Правил, в соответствии с требованиями, установленными Министерством экономического развития Российской Федерации к деятельности государственных микрофинансовых организаций, в части, не противоречащей настоящим Правилам:

срок рассмотрения заявки на получение микрозайма составляет не более 1 рабочего дня;

процентная ставка за пользование микрозаймом при наличии или отсутствии залогового имущества не превышает 1 процент годовых.

25. Субъекты Российской Федерации несут ответственность за достоверность представляемых в рамках настоящих Правил информации и документов.

Приложение
к Правилам предоставления
и распределения в 2023 году
субсидий из федерального бюджета
бюджетам субъектов Российской
Федерации, на территориях
которых введен средний уровень
реагирования, на предоставление
государственной поддержки субъектам
предпринимательской деятельности,
субъектам малого и среднего
предпринимательства, а также
физическим лицам, применяющим
специальный налоговый режим "Налог
на профессиональный доход"

(форма)

Министерство экономического
развития Российской Федерации

ЗАЯВКА СУБЪЕКТА РОССИЙСКОЙ ФЕДЕРАЦИИ НА ПОЛУЧЕНИЕ СУБСИДИИ В 2023 ГОДУ ИЗ ФЕДЕРАЛЬНОГО БЮДЖЕТА БЮДЖЕТАМ СУБЪЕКТОВ РОССИЙСКОЙ ФЕДЕРАЦИИ, НА ТЕРРИТОРИЯХ КОТОРЫХ ВВЕДЕН СРЕДНИЙ УРОВЕНЬ РЕАГИРОВАНИЯ, НА ПРЕДОСТАВЛЕНИЕ ГОСУДАРСТВЕННОЙ ПОДДЕРЖКИ СУБЪЕКТАМ ПРЕДПРИНИМАТЕЛЬСКОЙ ДЕЯТЕЛЬНОСТИ, СУБЪЕКТАМ МАЛОГО И СРЕДНЕГО ПРЕДПРИНИМАТЕЛЬСТВА, А ТАКЖЕ ФИЗИЧЕСКИМ ЛИЦАМ, ПРИМЕНЯЮЩИМ СПЕЦИАЛЬНЫЙ НАЛОГОВЫЙ РЕЖИМ "НАЛОГ НА ПРОФЕССИОНАЛЬНЫЙ ДОХОД"

(в ред. Постановления Правительства РФ от 20.04.2023 N 628)

В соответствии с Правилами предоставления и распределения в 2023 году субсидий из федерального бюджета бюджетам субъектов Российской Федерации, на территориях которых введен средний уровень реагирования, на предоставление государственной поддержки субъектам предпринимательской деятельности, субъектам малого и среднего предпринимательства, а также физическим лицам, применяющим специальный налоговый режим "Налог на профессиональный доход", в рамках государственной программы Российской Федерации "Экономическое развитие и инновационная экономика", утвержденной постановлением Правительства Российской Федерации от 15 апреля 2014 г. N 316 "Об утверждении государственной программы Российской Федерации "Экономическое развитие и инновационная экономика" (далее - субсидия), выражаю согласие с условиями предоставления и распределения субсидии и обязуюсь обеспечить предельный уровень софинансирования расходного обязательства субъекта Российской Федерации, установленный в соответствии с положениями Правил формирования, предоставления и распределения субсидий из федерального бюджета бюджетам субъектов Российской Федерации, утвержденных постановлением Правительства Российской Федерации от 30 сентября 2014 г. N 999 "О формировании, предоставлении и распределении субсидий из федерального бюджета бюджетам субъектов Российской Федерации", на реализацию следующих мероприятий и в следующих объемах:

,
(перечисляются мероприятия, указанные в пункте 2 Правил предоставления и распределения в 2023 году субсидий из федерального бюджета бюджетам субъектов Российской Федерации, на территориях которых введен средний уровень реагирования, на предоставление государственной поддержки субъектам предпринимательской деятельности, субъектам малого и среднего предпринимательства, а также физическим лицам, применяющим специальный налоговый режим "Налог на профессиональный доход", в рамках государственной программы Российской Федерации "Экономическое развитие и инновационная экономика", утвержденной постановлением Правительства Российской Федерации от 15 апреля 2014 г. N 316 "Об утверждении государственной программы Российской Федерации "Экономическое развитие и инновационная экономика", предполагаемый объем субсидии из федерального бюджета на реализацию каждого мероприятия (млн. рублей) 
также обязуюсь обеспечить внесение соответствующих изменений в государственную программу (подпрограмму субъекта Российской Федерации) 
 
(указываются реквизиты и наименование нормативного акта) 
и бюджет субъекта Российской Федерации на ____ год и плановый период 
.
(указываются реквизиты и наименование нормативного акта) 

    
(должность высшего должностного лица субъекта Российской Федерации) (подпись) (ф.и.о.)

М.П.

Приложение N 44
к государственной программе
Российской Федерации
"Экономическое развитие
и инновационная экономика"

ПРАВИЛА ПРЕДОСТАВЛЕНИЯ ИНЫХ МЕЖБЮДЖЕТНЫХ ТРАНСФЕРТОВ ИЗ ФЕДЕРАЛЬНОГО БЮДЖЕТА БЮДЖЕТАМ ДОНЕЦКОЙ НАРОДНОЙ РЕСПУБЛИКИ, ЛУГАНСКОЙ НАРОДНОЙ РЕСПУБЛИКИ, ЗАПОРОЖСКОЙ ОБЛАСТИ И ХЕРСОНСКОЙ ОБЛАСТИ В ЦЕЛЯХ СОФИНАНСИРОВАНИЯ В ПОЛНОМ ОБЪЕМЕ РАСХОДНЫХ ОБЯЗАТЕЛЬСТВ ДОНЕЦКОЙ НАРОДНОЙ РЕСПУБЛИКИ, ЛУГАНСКОЙ НАРОДНОЙ РЕСПУБЛИКИ, ЗАПОРОЖСКОЙ ОБЛАСТИ И ХЕРСОНСКОЙ ОБЛАСТИ, ВОЗНИКАЮЩИХ ПРИ РЕАЛИЗАЦИИ МЕРОПРИЯТИЙ, НАПРАВЛЕННЫХ НА ГОСУДАРСТВЕННУЮ ПОДДЕРЖКУ МАЛОГО И СРЕДНЕГО ПРЕДПРИНИМАТЕЛЬСТВА, ФИЗИЧЕСКИХ ЛИЦ, ПРИМЕНЯЮЩИХ СПЕЦИАЛЬНЫЙ НАЛОГОВЫЙ РЕЖИМ "НАЛОГ НА ПРОФЕССИОНАЛЬНЫЙ ДОХОД", И ФИЗИЧЕСКИХ ЛИЦ, ЗАИНТЕРЕСОВАННЫХ В НАЧАЛЕ ОСУЩЕСТВЛЕНИЯ ПРЕДПРИНИМАТЕЛЬСКОЙ ДЕЯТЕЛЬНОСТИ, В 2023 ГОДУ

(в ред. Постановлений Правительства РФ от 13.06.2023 N 972, от 05.10.2023 N 1642)

1. Настоящие Правила устанавливают цели, условия и порядок предоставления иных межбюджетных трансфертов из федерального бюджета бюджетам Донецкой Народной Республики, Луганской Народной Республики, Запорожской области и Херсонской области в целях софинансирования в полном объеме расходных обязательств Донецкой Народной Республики, Луганской Народной Республики, Запорожской области и Херсонской области, возникающих при реализации мероприятий, направленных на государственную поддержку малого и среднего предпринимательства, физических лиц, применяющих специальный налоговый режим "Налог на профессиональный доход", и физических лиц, заинтересованных в начале осуществления предпринимательской деятельности, в 2023 году (далее соответственно - субъекты Российской Федерации, иные межбюджетные трансферты).

2. Иные межбюджетные трансферты предоставляются бюджетам субъектов Российской Федерации в пределах лимитов бюджетных обязательств, доведенных в установленном порядке до Министерства экономического развития Российской Федерации как получателя средств федерального бюджета на предоставление иных межбюджетных трансфертов на цели, предусмотренные пунктом 1 настоящих Правил.

3. Иные межбюджетные трансферты предоставляются в целях софинансирования в полном объеме расходных обязательств субъектов Российской Федерации, возникающих при реализации следующих мероприятий:

а) создание и (или) развитие инфраструктуры поддержки субъектов малого и среднего предпринимательства, направленной на оказание комплекса услуг, сервисов и мер поддержки субъектам малого и среднего предпринимательства, физическим лицам, применяющим специальный налоговый режим "Налог на профессиональный доход", и физическим лицам, заинтересованным в начале осуществления предпринимательской деятельности, в центрах "Мой бизнес";

б) создание и (или) развитие государственных микрофинансовых организаций;

в) создание и (или) развитие фондов содействия кредитованию (гарантийных фондов, фондов поручительств) (далее - региональные гарантийные организации) для обеспечения возможности привлечения финансирования при отсутствии обеспечения;

г) поддержка субъектов малого и среднего предпринимательства, осуществляющих социально значимые виды деятельности. (в ред. Постановления Правительства РФ от 05.10.2023 N 1642)

4. В настоящих Правилах под государственной микрофинансовой организацией понимается микрофинансовая организация, одним из учредителей (участников, акционеров) которой является субъект Российской Федерации, которая предоставляет микрозаймы субъектам малого и среднего предпринимательства, а также физическим лицам, применяющим специальный налоговый режим "Налог на профессиональный доход", и отвечает критериям, установленным в соответствии с Федеральным законом "О развитии малого и среднего предпринимательства в Российской Федерации" (далее - Федеральный закон).

5. В рамках мероприятия, указанного в подпункте "а" пункта 3 настоящих Правил, субъекты Российской Федерации обеспечивают создание и (или) развитие инфраструктуры поддержки субъектов малого и среднего предпринимательства, к которой относятся центры поддержки предпринимательства, центры народно-художественных промыслов, ремесленной деятельности, сельского и экологического туризма, центры инноваций социальной сферы, многофункциональные центры для бизнеса и центры кластерного развития, а также центры "Мой бизнес", в соответствии с требованиями, предусмотренными частью 3 статьи 15 Федерального закона.

6. В рамках мероприятия, указанного в подпункте "б" пункта 3 настоящих Правил, субъекты Российской Федерации обеспечивают в соответствии с требованиями, предусмотренными частью 3 статьи 15 Федерального закона, создание и (или) развитие государственных микрофинансовых организаций, предоставляющих микрозаймы субъектам малого и среднего предпринимательства и физическим лицам, применяющим специальный налоговый режим "Налог на профессиональный доход", которые (за исключением 2023 года): (в ред. Постановления Правительства РФ от 05.10.2023 N 1642)

а) не имеют по состоянию на любую дату в течение периода, равного 30 календарным дням, предшествующего дате заключения договора (соглашения) о предоставлении микрозайма, просроченной задолженности по налогам, сборам и иным обязательным платежам в бюджеты бюджетной системы Российской Федерации, превышающей 50 тыс. рублей;

б) не имеют задолженности перед работниками (персоналом) по заработной плате, срок невыплаты которой составляет более 3 месяцев.

7. В рамках мероприятия, указанного в подпункте "в" пункта 3 настоящих Правил, субъекты Российской Федерации обеспечивают в соответствии с требованиями, предусмотренными частью 3 статьи 15 Федерального закона, создание и (или) развитие региональных гарантийных организаций, предоставляющих поручительства и (или) независимые гарантии субъектам малого и среднего предпринимательства, а также физическим лицам, применяющим специальный налоговый режим "Налог на профессиональный доход", которые (за исключением 2023 года):

а) не имеют по состоянию на любую дату в течение периода, равного 30 календарным дням, предшествующего дате заключения договора (соглашения) о предоставлении поручительства и (или) независимой гарантии, просроченной задолженности по налогам, сборам и иным обязательным платежам в бюджеты бюджетной системы Российской Федерации, превышающей 50 тыс. рублей;

б) не имеют задолженности перед работниками (персоналом) по заработной плате, срок невыплаты которой составляет более 3 месяцев.

7(1). В рамках мероприятия, указанного в подпункте "г" пункта 3 настоящих Правил, субъекты Российской Федерации обеспечивают в соответствии с требованиями, установленными статьей 14 Федерального закона, предоставление грантов в форме субсидий на реализацию проекта, относящегося к социально значимым видам деятельности по перечню согласно приложению N 1 в соответствии с Общероссийским классификатором видов экономической деятельности ОК 029-2014 (КДЕС Ред. 2) (далее соответственно - грант, социально значимый проект), субъектам малого и среднего предпринимательства, которые: (в ред. Постановления Правительства РФ от 05.10.2023 N 1642)

осуществляют в качестве основного вида деятельности один из социально значимых видов деятельности в соответствии с Общероссийским классификатором видов экономической деятельности ОК 029-2014 (КДЕС Ред. 2), указанных в приложении N 1 к настоящим Правилам; (в ред. Постановления Правительства РФ от 05.10.2023 N 1642)

прошли обучение основам предпринимательской деятельности с использованием цифровой платформы с механизмом адресного подбора и возможностью дистанционного получения мер поддержки и специальных сервисов субъектами малого и среднего предпринимательства и самозанятыми гражданами (https://мсп.рф); (в ред. Постановления Правительства РФ от 05.10.2023 N 1642)

принимают на себя обязательство по сохранению в течение года с даты заключения соглашения о предоставлении гранта не менее 80 процентов численности работников, по данным расчета по страховым взносам и персонифицированным сведениям о физических лицах, представленным субъектом малого и среднего предпринимательства в электронной форме в информационный сервис Федеральной налоговой службы по итогам II квартала 2023 г., или по созданию не менее 2 новых рабочих мест в случае, если число работников составляет менее 2, либо в случае отсутствия наемных работников, либо в случае отсутствия данных о расчете по страховым взносам и персонифицированным сведениям о физических лицах, представленных субъектом малого и среднего предпринимательства в электронной форме в информационный сервис Федеральной налоговой службы по итогам II квартала 2023 г.; (в ред. Постановления Правительства РФ от 05.10.2023 N 1642)

не имеют задолженности перед работниками (персоналом) по заработной плате, срок невыплаты которой составляет более 3 месяцев, на дату подачи заявки на получение гранта. (в ред. Постановления Правительства РФ от 05.10.2023 N 1642)

7(2). Размер гранта определяется конкурсной комиссией пропорционально размеру расходов субъекта малого и среднего предпринимательства, предусмотренных бизнес-планом на реализацию нового социально значимого проекта или на расширение своей деятельности при реализации ранее созданного социально значимого проекта. (в ред. Постановления Правительства РФ от 05.10.2023 N 1642)

Грант предоставляется при условии софинансирования субъектом малого и среднего предпринимательства расходов, связанных с реализацией социально значимого проекта, в размере не менее 5 процентов размера расходов, предусмотренных бизнес-планом на реализацию такого проекта и указанных в пункте 7(4) настоящих Правил. (в ред. Постановления Правительства РФ от 05.10.2023 N 1642)

Максимальный размер гранта не превышает 300 тыс. рублей на одного субъекта малого и среднего предпринимательства. (в ред. Постановления Правительства РФ от 05.10.2023 N 1642)

7(3). Грант предоставляется субъекту малого и среднего предпринимательства однократно в полном объеме на конкурсной основе в соответствии с решением конкурсной комиссии, сформированной субъектом Российской Федерации. (в ред. Постановления Правительства РФ от 05.10.2023 N 1642)

7(4). Грант предоставляется в целях финансового обеспечения следующих расходов, связанных с реализацией социально значимого проекта: (в ред. Постановления Правительства РФ от 05.10.2023 N 1642)

а) аренда нежилого помещения; (в ред. Постановления Правительства РФ от 05.10.2023 N 1642)

б) ремонт нежилого помещения, включая приобретение строительных материалов, оборудования, необходимого для ремонта помещения; (в ред. Постановления Правительства РФ от 05.10.2023 N 1642)

в) аренда и (или) приобретение оргтехники, оборудования (в том числе инвентаря, мебели); (в ред. Постановления Правительства РФ от 05.10.2023 N 1642)

г) выплата, связанная с передачей прав на франшизу (паушальный платеж); (в ред. Постановления Правительства РФ от 05.10.2023 N 1642)

д) технологическое присоединение к объектам инженерной инфраструктуры (электрические сети, газоснабжение, водоснабжение, водоотведение, теплоснабжение); (в ред. Постановления Правительства РФ от 05.10.2023 N 1642)

е) оплата коммунальных услуг и услуг электроснабжения; (в ред. Постановления Правительства РФ от 05.10.2023 N 1642)

ж) оформление результатов интеллектуальной деятельности; (в ред. Постановления Правительства РФ от 05.10.2023 N 1642)

з) приобретение основных средств (за исключением приобретения зданий, сооружений, земельных участков, автомобилей); (в ред. Постановления Правительства РФ от 05.10.2023 N 1642)

и) переоборудование транспортных средств для перевозки маломобильных групп населения, в том числе инвалидов; (в ред. Постановления Правительства РФ от 05.10.2023 N 1642)

к) оплата услуг связи, в том числе информационно - телекоммуникационной сети "Интернет"; (в ред. Постановления Правительства РФ от 05.10.2023 N 1642)

л) приобретение программного обеспечения и неисключительных прав на программное обеспечение (расходы, связанные с получением прав по лицензионному соглашению, расходы на адаптацию, настройку, внедрение и модификацию программного обеспечения, расходы на сопровождение программного обеспечения); (в ред. Постановления Правительства РФ от 05.10.2023 N 1642)

м) приобретение сырья, расходных материалов, необходимых для производства продукции и оказания услуг; (в ред. Постановления Правительства РФ от 05.10.2023 N 1642)

н) приобретение комплектующих изделий при производстве и (или) реализации медицинской техники, протезно-ортопедических изделий, программного обеспечения, а также технических средств, которые могут быть использованы исключительно для профилактики инвалидности или реабилитации (абилитации) инвалидов. (в ред. Постановления Правительства РФ от 05.10.2023 N 1642)

7(5). Не допускается направление гранта на финансирование затрат, связанных с уплатой налогов, сборов и иных обязательных платежей в бюджеты бюджетной системы Российской Федерации и бюджеты государственных внебюджетных фондов, уплатой процентов по займам, предоставленным государственными микрофинансовыми организациями, а также по кредитам, привлеченным в кредитных организациях. (в ред. Постановления Правительства РФ от 05.10.2023 N 1642)

7(6). Получатель гранта - субъект малого и среднего предпринимательства обязуется в течение 30 календарных дней после истечения календарного года с даты заключения соглашения о предоставлении гранта представить в исполнительный орган субъекта Российской Федерации, ответственный за реализацию мероприятия, указанного в пункте 3 настоящих Правил, информацию о выполнении обязательства, предусмотренного абзацем четвертым пункта 7(1) настоящих Правил. (в ред. Постановления Правительства РФ от 05.10.2023 N 1642)

В случае невыполнения субъектом малого и среднего предпринимательства обязательства, предусмотренного абзацем четвертым пункта 71 настоящих Правил, или непредставления информации, предусмотренной абзацем первым настоящего пункта, за исключением случаев, когда надлежащее исполнение обязательства оказалось невозможным вследствие наступления обстоятельств непреодолимой силы, грант подлежит возврату в соответствующий бюджет бюджетной системы Российской Федерации. (в ред. Постановления Правительства РФ от 05.10.2023 N 1642)

8. Софинансирование предусмотренных пунктом 1 настоящих Правил расходных обязательств субъектов Российской Федерации из федерального бюджета осуществляется исходя из уровня софинансирования в размере 100 процентов.

9. Министерство экономического развития Российской Федерации:

а) устанавливает формы, сроки и порядок представления субъектами Российской Федерации документов, предусматривающих направления расходов (сметы), ключевые показатели эффективности реализации мероприятий, указанных в пункте 3 настоящих Правил и их фактическое исполнение;

б) осуществляет экспертизу комплектов документов, представляемых субъектами Российской Федерации.

10. Критериями отбора субъектов Российской Федерации для предоставления иных межбюджетных трансфертов являются:

а) потребность субъектов Российской Федерации в осуществлении мероприятий, указанных в пункте 3 настоящих Правил;

б) соответствие мероприятий, указанных в заявке субъекта Российской Федерации на предоставление иного межбюджетного трансферта по форме согласно приложению N 2 (далее - заявка), мероприятиям, указанным в пункте 3 настоящих Правил. (в ред. Постановления Правительства РФ от 05.10.2023 N 1642)

11. Иные межбюджетные трансферты предоставляются при соблюдении субъектами Российской Федерации следующих условий:

а) наличие государственной программы (подпрограммы) субъекта Российской Федерации, в которой мероприятия, указанные в пункте 3 настоящих Правил, обособлены в виде отдельных структурных элементов, или обязательства субъекта Российской Федерации по обеспечению внесения соответствующих изменений в государственную программу (подпрограмму) субъекта Российской Федерации;

б) представление уполномоченным исполнительным органом субъекта Российской Федерации заявки в Министерство экономического развития Российской Федерации по форме, предусмотренной приложением N 2 к настоящим Правилам; (в ред. Постановления Правительства РФ от 05.10.2023 N 1642)

в) заключение соглашения между Министерством экономического развития Российской Федерации и высшим исполнительным органом субъекта Российской Федерации о предоставлении иного межбюджетного трансферта (далее - соглашение);

г) в отношении иных межбюджетных трансфертов, предоставляемых в целях софинансирования расходных обязательств субъектов Российской Федерации, возникающих при реализации мероприятий, предусмотренных подпунктом "г" пункта 3 настоящих Правил, - наличие нормативных правовых актов субъекта Российской Федерации, устанавливающих правила предоставления субъектам малого и среднего предпринимательства грантов, содержащие положения, предусмотренные пунктами 7(2) - 7(6) настоящих Правил. (в ред. Постановления Правительства РФ от 05.10.2023 N 1642)

12. При заключении соглашения высший исполнительный орган субъекта Российской Федерации формирует и представляет в Министерство экономического развития Российской Федерации отчет об исполнении условий предоставления иного межбюджетного трансферта, установленных подпунктами "а", "б" и "г" пункта 11 настоящих Правил. (в ред. Постановления Правительства РФ от 05.10.2023 N 1642)

13. Размер иного межбюджетного трансферта, предоставляемого бюджету i-го субъекта Российской Федерации в целях софинансирования в полном объеме расходных обязательств субъекта Российской Федерации (), определяется по формуле:

,

где:

- общий объем бюджетных ассигнований федерального бюджета, предусмотренных на предоставление иного межбюджетного трансферта на 2023 год;

- объем потребности в финансовом обеспечении соответствующих мероприятий, необходимый для исполнения расходных обязательств субъектов Российской Федерации, в целях софинансирования которых предоставляется иной межбюджетный трансферт;

n - общее количество субъектов Российской Федерации, которым предоставляются иные межбюджетные трансферты. (в ред. Постановления Правительства РФ от 05.10.2023 N 1642)

14. Распределение иного межбюджетного трансферта между субъектами Российской Федерации утверждается актом Правительства Российской Федерации.

15. Для предоставления иного межбюджетного трансферта субъект Российской Федерации представляет в Министерство экономического развития Российской Федерации следующие документы:

а) заявка (включающая обязательство субъекта Российской Федерации об обеспечении функционирования и целевого назначения организаций, образующих инфраструктуру поддержки субъектов малого и среднего предпринимательства, в целях создания и (или) развития которых предоставляется иной межбюджетный трансферт, в течение 10 лет с даты их создания за счет иного межбюджетного трансферта);

б) документ об определении исполнительного органа субъекта Российской Федерации, уполномоченного высшим исполнительным органом субъекта Российской Федерации на взаимодействие с Министерством экономического развития Российской Федерации по реализации мероприятий, указанных в пункте 3 настоящих Правил (далее - уполномоченный орган);

в) выписка из государственной программы (подпрограммы) субъекта Российской Федерации, в которой мероприятия, указанные в пункте 3 настоящих Правил, обособлены в виде отдельных структурных элементов, или обязательство субъекта Российской Федерации по обеспечению внесения соответствующих изменений в государственную программу (подпрограмму) субъекта Российской Федерации, включенное в заявку.

16. Документы, указанные в пункте 15 настоящих Правил, заполняются уполномоченным органом в бумажном виде.

17. Документы, указанные в пункте 15 настоящих Правил, представляются субъектами Российской Федерации в сроки, указанные Министерством экономического развития Российской Федерации в извещении о приеме документов субъектов Российской Федерации для предоставления иных межбюджетных трансфертов, направленном субъектам Российской Федерации на официальный адрес электронной почты высших исполнительных органов субъектов Российской Федерации.

18. Предоставление иного межбюджетного трансферта бюджету субъекта Российской Федерации осуществляется на основании соглашения, подготавливаемого (формируемого) и заключенного с использованием государственной интегрированной информационной системы управления общественными финансами "Электронный бюджет" в соответствии с типовой формой соглашения, утвержденной Министерством финансов Российской Федерации.

19. Перечисление иных межбюджетных трансфертов осуществляется в установленном порядке на единые счета бюджетов, открытые финансовым органам субъектов Российской Федерации в территориальных органах Федерального казначейства.

20. Уполномоченный орган представляет в Министерство экономического развития Российской Федерации отчеты, предусмотренные соглашением.

Отчеты, предусмотренные соглашением, составляются нарастающим итогом по состоянию на 1-е число месяца, следующего за отчетным кварталом, и представляются до 10-го числа месяца, следующего за отчетным кварталом, в случае осуществления кассового расхода бюджета субъекта Российской Федерации, в целях софинансирования которого предоставляется иной межбюджетный трансферт, при этом отчеты за IV квартал представляются до 20 января года, следующего за годом предоставления иного межбюджетного трансферта, независимо от факта осуществления кассового расхода бюджета субъекта Российской Федерации, в целях софинансирования которого предоставляется иной межбюджетный трансферт, отчеты о достижении значений результатов предоставления иного межбюджетного трансферта представляются в порядке и сроки, которые установлены соглашением.

21. Субъекты Российской Федерации обеспечивают представление отчетов, предусмотренных соглашением, в Министерство экономического развития Российской Федерации в указанные в пункте 20 настоящих Правил сроки в электронном виде с использованием государственной интегрированной информационной системы управления общественными финансами "Электронный бюджет".

22. Министерство экономического развития Российской Федерации в порядке, предусмотренном соглашением, осуществляет контроль за выполнением субъектами Российской Федерации обязательств по достижению результатов предоставления иных межбюджетных трансфертов в отчетном году на основании отчетов, представленных субъектами Российской Федерации.

23. В рамках мероприятия, указанного в подпункте "а" пункта 3 настоящих Правил, эффективность использования иных межбюджетных трансфертов оценивается Министерством экономического развития Российской Федерации на основании сравнения фактически достигнутого субъектом Российской Федерации значения результата предоставления иного межбюджетного трансферта - количества начинающих и действующих предпринимателей, физических лиц, применяющих специальный налоговый режим "Налог на профессиональный доход", и физических лиц, заинтересованных в начале осуществления предпринимательской деятельности, получивших услуги, и значения указанного результата, установленного соглашением.

24. В рамках мероприятия, указанного в подпункте "б" пункта 3 настоящих Правил, эффективность использования иных межбюджетных трансфертов оценивается Министерством экономического развития Российской Федерации на основании сравнения фактически достигнутого субъектом Российской Федерации значения результата предоставления иного межбюджетного трансферта - объема выданных микрозаймов государственной микрофинансовой организацией, и значения указанного результата, установленного соглашением.

25. В рамках мероприятия, указанного в подпункте "в" пункта 3 настоящих Правил, эффективность использования иных межбюджетных трансфертов оценивается Министерством экономического развития Российской Федерации на основании сравнения фактически достигнутого субъектом Российской Федерации значения результата предоставления иного межбюджетного трансферта - объема финансовой поддержки, оказанной субъектам малого и среднего предпринимательства, а также физическим лицам, применяющим специальный налоговый режим "Налог на профессиональный доход", при гарантийной поддержке региональных гарантийных организаций и значения указанного результата, установленного соглашением.

25(1). В рамках мероприятия, указанного в подпункте "г" пункта 3 настоящих Правил, эффективность использования иных межбюджетных трансфертов оценивается Министерством экономического развития Российской Федерации на основании сравнения фактически достигнутого субъектом Российской Федерации значения результата предоставления иного межбюджетного трансферта - количества субъектов малого и среднего предпринимательства, осуществляющих социально значимые виды деятельности, которым предоставлена поддержка, и его значения, установленного соглашением. (в ред. Постановления Правительства РФ от 05.10.2023 N 1642)

26. В случае если субъектом Российской Федерации по состоянию на 31 декабря текущего финансового года допущено недостижение значения результата предоставления иного межбюджетного трансферта, предусмотренного пунктами 23 - 25(1) настоящих Правил, и до первой даты представления отчетности о достижении значения результата предоставления иного межбюджетного трансферта в соответствии с соглашением в году, следующем за годом предоставления иного межбюджетного трансферта, указанные нарушения не устранены, размер средств, подлежащих возврату из бюджета субъекта Российской Федерации в федеральный бюджет до 1 июня года, следующего за годом предоставления иного межбюджетного трансферта (), определяется по формуле: (в ред. Постановления Правительства РФ от 05.10.2023 N 1642)

,

где:

- размер иного межбюджетного трансферта, предоставленного бюджету субъекта Российской Федерации;

D - индекс, отражающий уровень недостижения значения результата предоставления иного межбюджетного трансферта.

При расчете размера средств, подлежащих возврату из бюджета субъекта Российской Федерации в федеральный бюджет, в размере иного межбюджетного трансферта, предоставленного бюджету субъекта Российской Федерации (), не учитывается размер остатка иного межбюджетного трансферта, не использованного по состоянию на 1 января текущего финансового года.

Индекс, отражающий уровень недостижения i-го результата предоставления иного межбюджетного трансферта (), определяется по формуле:

,

где:

- фактически достигнутое значение i-го результата предоставления иного межбюджетного трансферта на отчетную дату;

- плановое значение i-го результата предоставления иного межбюджетного трансферта, установленное соглашением.

27. Требование о возврате иного межбюджетного трансферта в размере, рассчитанном в соответствии с пунктом 26 настоящих Правил, направляется Министерством экономического развития Российской Федерации высшему должностному лицу субъекта Российской Федерации (председателю высшего исполнительного органа субъекта Российской Федерации) в течение 30 рабочих дней со дня обнаружения нарушения, связанного с исполнением обязательств по обеспечению достижения значений результатов предоставления иного межбюджетного трансферта, предусмотренных соглашением.

27(1). При невыполнении субъектом Российской Федерации условий соглашения Министерство экономического развития Российской Федерации определяет в установленном бюджетным законодательством Российской Федерации порядке размер средств, подлежащих возврату из бюджета субъекта Российской Федерации в федеральный бюджет, и направляет требование о возврате иного межбюджетного трансферта в федеральный бюджет. (в ред. Постановления Правительства РФ от 05.10.2023 N 1642)

28. В случае нарушения субъектом Российской Федерации целей, установленных при предоставлении иного межбюджетного трансферта, применяются бюджетные меры принуждения, предусмотренные бюджетным законодательством Российской Федерации.

29. Ответственность за достоверность представляемых в Министерство экономического развития Российской Федерации информации и документов, предусмотренных настоящими Правилами и соглашением, возлагается на высший исполнительный орган субъекта Российской Федерации.

30. Основанием для освобождения субъектов Российской Федерации от применения мер ответственности, предусмотренных пунктом 26 настоящих Правил, является документально подтвержденное наступление следующих обстоятельств непреодолимой силы, препятствующих исполнению соответствующих обязательств:

а) установление регионального (межмуниципального) и (или) местного уровня реагирования на чрезвычайную ситуацию, подтвержденное правовым актом органа государственной власти субъекта Российской Федерации и (или) органа местного самоуправления;

б) установление карантина и (или) иных ограничений, направленных на предотвращение распространения и ликвидацию очагов заразных и иных болезней животных, подтвержденное правовым актом органа государственной власти субъекта Российской Федерации;

в) аномальные погодные условия, подтвержденные справкой территориального органа федерального органа исполнительной власти, осуществляющего функции по оказанию государственных услуг в области гидрометеорологии и смежных с ней областях;

г) наличие вступившего в законную силу в году предоставления иного межбюджетного трансферта решения арбитражного суда о признании несостоятельной (банкротом) организации, деятельность которой оказывала влияние на исполнение обязательств, предусмотренных соглашением.

31. Контроль за соблюдением субъектами Российской Федерации условий предоставления иных межбюджетных трансфертов осуществляется Министерством экономического развития Российской Федерации и органами государственного финансового контроля.

Министерство экономического развития Российской Федерации вправе запрашивать у субъектов Российской Федерации необходимые документы и материалы в целях осуществления контроля за соблюдением субъектами Российской Федерации условий предоставления иных межбюджетных трансфертов и других обязательств, предусмотренных соглашением, в том числе данные бухгалтерского учета и первичную документацию, связанные с реализацией субъектами Российской Федерации мероприятий, указанных в пункте 3 настоящих Правил.

Приложение N 1
к Правилам предоставления иных
межбюджетных трансфертов
из федерального бюджета бюджетам
Донецкой Народной Республики,
Луганской Народной Республики,
Запорожской области и Херсонской
области в целях софинансирования
в полном объеме расходных
обязательств Донецкой Народной
Республики, Луганской Народной
Республики, Запорожской области
и Херсонской области, возникающих
при реализации мероприятий,
направленных на государственную
поддержку малого и среднего
предпринимательства, физических лиц,
применяющих специальный налоговый
режим "Налог на профессиональный
доход", и физических лиц,
заинтересованных в начале
осуществления предпринимательской
деятельности, в 2023 году

ПЕРЕЧЕНЬ СОЦИАЛЬНО ЗНАЧИМЫХ ВИДОВ ДЕЯТЕЛЬНОСТИ

(в ред. Постановления Правительства РФ от 05.10.2023 N 1642)

Сфера деятельности, наименование вида экономической деятельностиКод ОКВЭД 2
Производство изделий народных художественных промыслов32.99.8
Деятельность по предоставлению мест для краткосрочного проживания55.20
Издание книг, периодических публикаций и другие виды издательской деятельности58.1
Деятельность в области демонстрации кинофильмов59.14
Издание музыкальных и нотных тетрадей, в том числе для слепых59.20.3
Образование общее85.1
Образование профессиональное85.2
Обучение профессиональное85.3
Образование дополнительное85.4
Деятельность больничных организаций86.10
Медицинская и стоматологическая практика86.2
Деятельность в области медицины прочая86.90
Деятельность по медицинскому уходу с обеспечением проживания87.1
Деятельность по оказанию помощи на дому для лиц с ограниченными возможностями развития, душевнобольным и наркозависимым87.2
Деятельность по уходу с обеспечением проживания прочая87.90
Предоставление прочих социальных услуг без обеспечения проживания88.9
Деятельность учреждений клубного типа, клубов, дворцов и домов культуры, домов народного творчества90.04.3
Деятельность библиотек, архивов, музеев и прочих объектов культуры91
Деятельность в области спорта93.11
Деятельность спортивных клубов93.12
Деятельность фитнес-центров93.13
Деятельность в области спорта прочая93.19
Деятельность прочих общественных организаций и некоммерческих организаций, кроме религиозных и политических организаций94.99

 
Приложение N 2
к Правилам предоставления иных
межбюджетных трансфертов
из федерального бюджета бюджетам
Донецкой Народной Республики,
Луганской Народной Республики,
Запорожской области и Херсонской
области в целях софинансирования
в полном объеме расходных
обязательств Донецкой Народной
Республики, Луганской Народной
Республики, Запорожской области
и Херсонской области, возникающих
при реализации мероприятий,
направленных на государственную
поддержку малого и среднего
предпринимательства, физических лиц,
применяющих специальный налоговый
режим "Налог на профессиональный
доход", и физических лиц,
заинтересованных в начале
осуществления предпринимательской
деятельности, в 2023 году

(форма)

Министерство экономического развития
Российской Федерации

ЗАЯВКА НА ПРЕДОСТАВЛЕНИЕ ИНОГО МЕЖБЮДЖЕТНОГО ТРАНСФЕРТА ИЗ ФЕДЕРАЛЬНОГО БЮДЖЕТА БЮДЖЕТАМ ДОНЕЦКОЙ НАРОДНОЙ РЕСПУБЛИКИ, ЛУГАНСКОЙ НАРОДНОЙ РЕСПУБЛИКИ, ЗАПОРОЖСКОЙ ОБЛАСТИ И ХЕРСОНСКОЙ ОБЛАСТИ В ЦЕЛЯХ СОФИНАНСИРОВАНИЯ В ПОЛНОМ ОБЪЕМЕ РАСХОДНЫХ ОБЯЗАТЕЛЬСТВ ДОНЕЦКОЙ НАРОДНОЙ РЕСПУБЛИКИ, ЛУГАНСКОЙ НАРОДНОЙ РЕСПУБЛИКИ, ЗАПОРОЖСКОЙ ОБЛАСТИ И ХЕРСОНСКОЙ ОБЛАСТИ, ВОЗНИКАЮЩИХ ПРИ РЕАЛИЗАЦИИ МЕРОПРИЯТИЙ, НАПРАВЛЕННЫХ НА ГОСУДАРСТВЕННУЮ ПОДДЕРЖКУ МАЛОГО И СРЕДНЕГО ПРЕДПРИНИМАТЕЛЬСТВА, ФИЗИЧЕСКИХ ЛИЦ, ПРИМЕНЯЮЩИХ СПЕЦИАЛЬНЫЙ НАЛОГОВЫЙ РЕЖИМ "НАЛОГ НА ПРОФЕССИОНАЛЬНЫЙ ДОХОД", И ФИЗИЧЕСКИХ ЛИЦ, ЗАИНТЕРЕСОВАННЫХ В НАЧАЛЕ ОСУЩЕСТВЛЕНИЯ ПРЕДПРИНИМАТЕЛЬСКОЙ ДЕЯТЕЛЬНОСТИ, В 2023 ГОДУ

(в ред. Постановлений Правительства РФ от 13.06.2023 N 972, от 05.10.2023 N 1642)

(наименование субъекта Российской Федерации)

В соответствии с Правилами предоставления иных межбюджетных трансфертов из федерального бюджета бюджетам Донецкой Народной Республики, Луганской Народной Республики, Запорожской области и Херсонской области в целях софинансирования в полном объеме расходных обязательств Донецкой Народной Республики, Луганской Народной Республики, Запорожской области и Херсонской области, возникающих при реализации мероприятий, направленных на государственную поддержку малого и среднего предпринимательства, физических лиц, применяющих специальный налоговый режим "Налог на профессиональный доход", и физических лиц, заинтересованных в начале осуществления предпринимательской деятельности, в 2023 году, предусмотренными приложением N 44 к государственной программе Российской Федерации "Экономическое развитие и инновационная экономика", утвержденной постановлением Правительства Российской Федерации от 15 апреля 2014 г. N 316 "Об утверждении государственной программы Российской Федерации "Экономическое развитие и инновационная экономика" (далее - иной межбюджетный трансферт), выражаю согласие с условиями предоставления иного межбюджетного трансферта в отношении следующих мероприятий и в следующих объемах:

(перечисляются мероприятия, указанные в пункте 3 указанных Правил, предполагаемая сумма иного межбюджетного трансферта

,
на реализацию каждого мероприятия (млн. рублей) 

также обязуюсь обеспечить внесение соответствующих изменений в государственную программу (подпрограмму) субъекта Российской Федерации

(указываются реквизиты и наименование нормативного акта)

и бюджет субъекта Российской Федерации на ___________ год и плановый период

.
(указываются реквизиты и наименование нормативного акта) 

Обязуюсь обеспечить функционирование и целевое назначение организаций, образующих инфраструктуру поддержки субъектов малого и среднего предпринимательства, в целях создания и (или) развития которых предоставляется иной межбюджетный трансферт, в течение 10 лет с даты их создания за счет иного межбюджетного трансферта.

    
(должность высшего должностного лица субъекта Российской Федерации) (подпись) (ф.и.о. (последнее - при наличии)
МП    

Приложение N 45
к государственной программе
Российской Федерации
"Экономическое развитие
и инновационная экономика"

ПРАВИЛА ПРЕДОСТАВЛЕНИЯ СУБСИДИЙ ИЗ ФЕДЕРАЛЬНОГО БЮДЖЕТА БЮДЖЕТАМ СУБЪЕКТОВ РОССИЙСКОЙ ФЕДЕРАЦИИ НА ВОЗМЕЩЕНИЕ ЗАТРАТ НА СОЗДАНИЕ, МОДЕРНИЗАЦИЮ И (ИЛИ) РЕКОНСТРУКЦИЮ ОБЪЕКТОВ ИНФРАСТРУКТУРЫ ОСОБЫХ ЭКОНОМИЧЕСКИХ ЗОН

(в ред. Постановления Правительства РФ от 16.03.2024 N 309)

I. Общие положения

1. Настоящие Правила устанавливают цели, условия и порядок предоставления субсидий из федерального бюджета субъектам Российской Федерации в целях софинансирования расходных обязательств субъектов Российской Федерации, возникающих при реализации мероприятий по возмещению затрат на создание, модернизацию и (или) реконструкцию объектов инфраструктуры особых экономических зон (далее - субсидии).

Субсидии предоставляются в целях возмещения затрат субъектов Российской Федерации на создание, модернизацию и (или) реконструкцию объектов инфраструктуры особых экономических зон, включенных в перечень проектов, утверждаемый Правительством Российской Федерации в соответствии с пунктом 22 Правил отбора субъектов Российской Федерации, имеющих право на получение государственной поддержки в форме субсидий из федерального бюджета бюджетам субъектов Российской Федерации на возмещение части затрат на создание, модернизацию и (или) реконструкцию объектов инфраструктуры индустриальных парков, промышленных технопарков, технопарков в сфере высоких технологий, особых экономических зон, утвержденных постановлением Правительства Российской Федерации от 30 октября 2014 г. N 1119 "Об отборе субъектов Российской Федерации, имеющих право на получение государственной поддержки в форме субсидий на возмещение затрат на создание, модернизацию и (или) реконструкцию объектов инфраструктуры индустриальных парков, промышленных технопарков и технопарков в сфере высоких технологий, особых экономических зон" (далее соответственно - Правила отбора субъектов Российской Федерации, перечень, объекты инфраструктуры).

2. Термины в настоящих Правилах применяются в значениях, установленных Правилами отбора субъектов Российской Федерации.

3. Распределение субсидий между субъектами Российской Федерации утверждается Правительством Российской Федерации. Предельный уровень софинансирования расходных обязательств субъектов Российской Федерации, в целях возмещения затрат субъектов Российской Федерации по которым предоставляются субсидии, составляет 99 процентов.

4. Субсидии не предоставляются в случаях, если:

а) создание, модернизация и (или) реконструкция объектов инфраструктуры осуществляются за счет средств субъектов естественных монополий или объекты инфраструктуры включены в инвестиционные программы субъектов естественных монополий, за исключением случаев, если создание, модернизация и (или) реконструкция объектов инфраструктуры осуществляются за счет средств заявителя, уплаченных в качестве платы за технологическое присоединение объектов инфраструктуры;

б) создание объектов инфраструктуры предназначено для обеспечения деятельности юридических лиц и индивидуальных предпринимателей, осуществляющих хозяйственную деятельность в сфере добычи и торговли сырой нефтью, природным газом, производства и торговли жидким топливом, подакцизными товарами, за исключением автомобилей легковых и мотоциклов, а также юридических лиц и индивидуальных предпринимателей, осуществляющих производство нефтепродуктов из тяжелых нефтяных остатков (нефтяных фракций, начало температуры кипения которых выше 500 градусов Цельсия) на установках замедленного коксования, гидрокрекинга тяжелых нефтяных остатков и гидроконверсии тяжелых нефтяных остатков;

в) создание, модернизация и (или) реконструкция объектов инфраструктуры осуществляются субъектом Российской Федерации в соответствии с обязательствами, принятыми на основании концессионного соглашения, соглашения о государственно-частном партнерстве, а также соглашения о муниципально-частном партнерстве;

г) создание, модернизация и (или) реконструкция объектов инфраструктуры осуществляются или осуществлены субъектом Российской Федерации в качестве исполнения условия по уровню софинансирования из бюджета субъекта Российской Федерации;

д) создание, модернизация и (или) реконструкция объектов инфраструктуры осуществляются или осуществлены за счет средств федерального бюджета на основании иных нормативных правовых актов Российской Федерации;

е) создание, модернизация и (или) реконструкция объектов инфраструктуры осуществляются на территориях земельных участков, расположенных в границах индустриальных парков, промышленных технопарков, технопарков в сфере высоких технологий, при условии, что создание, модернизация и (или) реконструкция объектов инфраструктуры в границах таких земельных участков осуществлены с привлечением средств федерального бюджета на основании иных нормативных правовых актов Российской Федерации (за исключением случаев, когда отсутствуют пересечения территорий индустриальных парков, промышленных технопарков, технопарков в сфере высоких технологий с границами территорий особых экономических зон, а также когда резидентами индустриальных парков, промышленных технопарков, технопарков в сфере высоких технологий и особых экономических зон являются разные юридические лица);

ж) создание, модернизация и (или) реконструкция объектов инфраструктуры осуществляются или осуществлены резидентом особой экономической зоны.

5. Субсидии предоставляются субъектам Российской Федерации, включенным в перечень, в размере, не превышающем объем фактически уплаченных резидентами особой экономической зоны налоговых и таможенных платежей в федеральный бюджет, в пределах лимитов бюджетных обязательств, доведенных до Министерства экономического развития Российской Федерации как получателя средств федерального бюджета на предоставление субсидий на цели, указанные в пункте 1 настоящих Правил.

Результатом использования субсидии является достижение значения сводного расчетного показателя эффективности функционирования особой экономической зоны, указанного в пункте 7.5 Правил оценки эффективности функционирования особых экономических зон, утвержденных постановлением Правительства Российской Федерации от 7 июля 2016 г. N 643 "О порядке оценки эффективности функционирования особых экономических зон", за отчетный год и (или) за весь период функционирования особой экономической зоны на уровне не менее 80 процентов (далее - результат использования субсидии).

6. Размер предоставляемых согласно настоящим Правилам субсидий обусловлен поступлением доходов федерального бюджета от федеральных налогов и таможенных пошлин, уплачиваемых резидентами особых экономических зон, определенными заявителем, за предыдущие четыре квартала.

При расчете размера субсидии учитываются налог на прибыль организаций, налог на добавленную стоимость и акцизы на автомобили легковые и мотоциклы, подлежащие зачислению в федеральный бюджет (далее - федеральные налоги), а также ввозные таможенные пошлины, подлежащие зачислению в федеральный бюджет (далее - таможенные пошлины), уплаченные резидентами особой экономической зоны, определенными заявителем, в расчетном периоде.

Величина уплаченных в федеральный бюджет федеральных налогов и таможенных пошлин определяется исходя из поступивших федеральных налогов, подтвержденных Федеральной налоговой службой, и таможенных пошлин, подтвержденных Федеральной таможенной службой.

7. Субсидии предоставляются при выполнении следующих условий:

а) наличие правовых актов субъекта Российской Федерации, утверждающих перечень мероприятий (результатов), при реализации которых возникают расходные обязательства субъекта Российской Федерации, в целях софинансирования которых предоставляются субсидии;

б) наличие соглашений о предоставлении субсидии бюджету субъекта Российской Федерации, заключенных между Министерством экономического развития Российской Федерации и высшими исполнительными органами субъектов Российской Федерации (далее - соглашение), в соответствии с пунктом 10 Правил формирования, предоставления и распределения субсидий из федерального бюджета бюджетам субъектов Российской Федерации, утвержденных постановлением Правительства Российской Федерации от 30 сентября 2014 г. N 999 "О формировании, предоставлении и распределении субсидий из федерального бюджета бюджетам субъектов Российской Федерации";

в) наличие в бюджете субъекта Российской Федерации бюджетных ассигнований на исполнение расходного обязательства субъекта Российской Федерации, возмещение которого осуществляется из федерального бюджета, в объеме, необходимом для его исполнения.

8. Дополнительно к условиям, указанным в пункте 7 настоящих Правил, субсидии предоставляются при условии соответствия заявителя следующим критериям:

а) включение проекта в перечень;

б) определение исполнительного органа субъекта Российской Федерации, на который возлагаются функции и ответственность за исполнение соглашения (далее - уполномоченный орган), осуществление координации проекта в субъекте Российской Федерации, взаимодействие с Министерством экономического развития Российской Федерации и представление отчетности, предусмотренной соглашением;

в) соответствие размера фактически понесенных затрат из бюджета субъекта Российской Федерации на создание, модернизацию и (или) реконструкцию объектов инфраструктуры в рамках реализации проекта размеру затрат, указанному в прогнозе размера субсидии бюджету субъекта Российской Федерации на очередной финансовый год и плановый период;

г) неотрицательное значение разницы между суммой федеральных налогов и таможенных пошлин, уплаченных резидентами особой экономической зоны, определенными заявителем, в федеральный бюджет со дня начала реализации проекта, рассчитанной в соответствии с пунктом 9 Правил отбора субъектов Российской Федерации, и размером средств федерального бюджета, предоставленных на реализацию проекта со дня начала реализации проекта, по состоянию на первый год предоставления субсидии.

9. Субсидия предоставляется бюджету субъекта Российской Федерации на основании соглашения, подготавливаемого (формируемого) и заключаемого в государственной интегрированной информационной системе управления общественными финансами "Электронный бюджет", в котором в том числе предусматриваются:

а) перечень мероприятий по созданию, модернизации и (или) реконструкции объектов инфраструктуры, а также объектов транспортной инфраструктуры на территории, прилегающей к границам территории особой экономической зоны, которые осуществлены субъектом Российской Федерации, с указанием объема расходов бюджета субъекта Российской Федерации на их реализацию, а также перечень объектов инфраструктуры, на создание, модернизацию и (или) реконструкцию которых были направлены расходы субъекта Российской Федерации;

б) условия расторжения соглашения, включая условие его одностороннего расторжения;

в) условия возврата субъектом Российской Федерации субсидии в федеральный бюджет в случае недостижения результата использования субсидии;

г) порядок и сроки представления ежегодной отчетности о достижении значения результата использования субсидии, а также сроки представления отчетности об исполнении условий предоставления субсидии (срок представления такой отчетности - не позднее 5 июля года, следующего за отчетным);

д) обязательство субъекта Российской Федерации по организации ежегодного мониторинга достижения значения результата использования субсидии;

е) обязательство субъекта Российской Федерации по исполнению прогноза размера субсидии бюджету субъекта Российской Федерации;

ж) наименование уполномоченного органа;

з) перечень документов, представляемых заявителем для получения субсидии;

и) условие корректировки прогноза размера субсидии бюджету субъекта Российской Федерации в случае корректировки в установленном порядке плановых значений паспорта комплексного инвестиционного проекта;

к) условие уменьшения размера субсидии бюджету субъекта Российской Федерации на долю недостижения субъектом Российской Федерации результата прогноза размера субсидии бюджету субъекта Российской Федерации;

л) планируемый срок подачи уполномоченным органом первой заявки на получение субсидии в соответствии с настоящими Правилами;

м) обязательство субъекта Российской Федерации по направлению субсидии на дальнейшее развитие особой экономической зоны и включению средств на финансирование соответствующих мероприятий в бюджет субъекта Российской Федерации;

и) иные условия, регулирующие порядок предоставления субсидии.

10. Для заключения соглашения заявитель представляет в Министерство экономического развития Российской Федерации заявку на заключение соглашения в одном экземпляре на бумажном носителе и ее копию в виде электронного документа на электронном носителе или в электронном виде посредством межведомственной системы электронного документооборота.

11. Заявка на заключение соглашения включает:

а) письмо за подписью руководителя уполномоченного органа или лица, исполняющего его обязанности, о намерении заключить соглашение с приложением расчета запрашиваемого размера субсидии, рассчитанного в соответствии с Правилами отбора субъектов Российской Федерации;

б) документы, подтверждающие полномочия лиц по совершению сделок от имени высшего исполнительного органа субъекта Российской Федерации;

в) перечень мероприятий по созданию, модернизации и (или) реконструкции объектов инфраструктуры, которые осуществлены субъектом Российской Федерации, с указанием объема расходов бюджета субъекта Российской Федерации на их реализацию, а также перечень объектов инфраструктуры, на создание, модернизацию и (или) реконструкцию которых были направлены затраты субъекта Российской Федерации;

г) прогноз размера субсидии бюджету субъекта Российской Федерации на текущий финансовый год и плановый период.

12. Министерство экономического развития Российской Федерации при получении заявок на заключение соглашений:

а) проверяет правильность оформления и комплектность документов, предусмотренных пунктом 11 настоящих Правил;

б) рассматривает заявки на заключение соглашений в течение 30 рабочих дней со дня их получения в порядке поступления на предмет их соответствия требованиям, установленным пунктами 4, 5, 7 и 8 настоящих Правил, и принимает решение о заключении соглашения либо об отказе в его заключении;

в) направляет субъекту Российской Федерации решение о заключении соглашения о предоставлении субсидии либо об отказе в его заключении в течение 5 рабочих дней со дня принятия решения.

13. Решение об отказе в заключении соглашения принимается в следующих случаях:

а) несоответствие (представление не в полном объеме) представленных документов требованиям, установленным пунктами 4, 5, 7, 8 и 11 настоящих Правил;

б) установление факта недостоверности представленной информации, содержащейся в документах;

в) превышение запрашиваемого размера субсидии, указанного в заявке на заключение соглашения, над запланированным размером субсидии в рамках перечня.

II. Порядок перечисления субсидий

14. Субсидии предоставляются ежегодно, начиная с IV квартала года подачи заявителем первой заявки на предоставление субсидии. Для получения субсидии уполномоченный орган:

а) представляет в Федеральную налоговую службу и Федеральную таможенную службу до 15 октября текущего года, но не ранее окончания III квартала текущего года, письмо за подписью высшего должностного лица субъекта Российской Федерации (председателя высшего исполнительного органа субъекта Российской Федерации) или лица, исполняющего обязанности высшего должностного лица субъекта Российской Федерации (председателя высшего исполнительного органа субъекта Российской Федерации) с приложением к нему перечня определенных заявителем резидентов особой экономической зоны (с указанием полного наименования резидента особой экономической зоны, идентификационного номера налогоплательщика и даты регистрации в качестве резидента особой экономической зоны);

б) представляет в Министерство экономического развития Российской Федерации не позднее 15 ноября текущего года:

письмо за подписью руководителя уполномоченного органа или лица, исполняющего его обязанности, с заявкой на получение субсидии с приложением справки об отсутствии на начало IV квартала текущего года просроченной задолженности бюджета субъекта Российской Федерации перед федеральным бюджетом;

акты о вводе в эксплуатацию объектов инфраструктуры, на создание, модернизацию и (или) реконструкцию которых были использованы средства бюджета субъекта Российской Федерации, либо иной документ, подтверждающий факт создания, модернизации и (или) реконструкции объектов инфраструктуры за счет средств бюджета субъекта Российской Федерации в размере, указанном в расчете размера субсидии на текущий финансовый год, предусмотренном подпунктом "а" пункта 11 настоящих Правил;

выписку из закона субъекта Российской Федерации о бюджете субъекта Российской Федерации (сводной бюджетной росписи бюджета субъекта Российской Федерации) с указанием его реквизитов, подтверждающую наличие бюджетных ассигнований, которые являлись источником финансового обеспечения затрат на создание, модернизацию и (или) реконструкцию объектов инфраструктуры, на основании размера которых произведен расчет размера субсидии на текущий финансовый год, предусмотренный подпунктом "а" пункта 11 настоящих Правил, а также выписку из иных нормативных правовых актов субъекта Российской Федерации, подтверждающую направление средств бюджета субъекта Российской Федерации на указанные цели.

При необходимости дополнительно может быть представлена копия документа, подтверждающего осуществленные расходы бюджета субъекта Российской Федерации;

пояснительную записку с описанием использования средств бюджета субъекта Российской Федерации на создание, модернизацию и (или) реконструкцию объектов инфраструктуры в размере, на основании которого произведен расчет размера субсидии на текущий финансовый год, предусмотренный подпунктом "а" пункта 11 настоящих Правил.

15. В случае формирования за предыдущие четыре квартала у отдельных резидентов особой экономической зоны, определенных заявителем, отрицательных значений по уплаченным федеральным налогам и таможенным пошлинам запрашиваемый размер субсидии, указанный в заявке на получение субсидии, должен быть сформирован с учетом таких отрицательных значений.

16. Предоставление субсидии осуществляется после представления в соответствии с пунктами 57 и 59 Правил отбора субъектов Российской Федерации Федеральной налоговой службой и Федеральной таможенной службой информации о сумме федеральных налогов и таможенных пошлин, указанных в пункте 6 настоящих Правил, фактически уплаченных резидентами особой экономической зоны, определенными заявителем, в федеральный бюджет в размере, не превышающем суммы указанных доходов за четыре квартала, предшествующие кварталу предоставления субсидии.

17. Основаниями для отказа в предоставлении субсидии являются:

а) несоответствие представленных в соответствии с подпунктом "б" пункта 14 настоящих Правил документов целям предоставления субсидии, предусмотренным пунктом 1 настоящих Правил, а также условиям соглашения;

б) представление неполного комплекта документов, указанных в подпункте "б" пункта 14 настоящих Правил;

в) наличие у субъекта Российской Федерации по состоянию на начало IV квартала текущего финансового года просроченной задолженности перед федеральным бюджетом;

г) установление факта недостоверности представленной уполномоченным органом информации, содержащейся в документах, предусмотренных подпунктом "б" пункта 14 настоящих Правил;

д) несоответствие срока подачи первой заявки на получение субсидии сроку, указанному в соглашении;

е) отсутствие информации от Федеральной налоговой службы и Федеральной таможенной службы о сумме федеральных налогов и таможенных пошлин, указанных в пункте 8 Правил отбора субъектов Российской Федерации, фактически уплаченных резидентами особой экономической зоны, определенными заявителем, в федеральный бюджет за предыдущие четыре квартала;

ж) превышение запрашиваемого размера субсидии, указанного в заявке на заключение соглашения, над запланированным размером субсидии в рамках перечня.

18. Министерство экономического развития Российской Федерации в течение 10 рабочих дней рассматривает представленные в соответствии с пунктом 14 настоящих Правил документы и принимает решение о предоставлении субсидий или об отказе в их предоставлении и уведомляет в письменной форме о принятом решении уполномоченный орган.

Субсидии распределяются в пределах лимитов бюджетных обязательств, доведенных в установленном порядке до Министерства экономического развития Российской Федерации как получателя средств федерального бюджета на предоставление субсидий на цели, указанные в пункте 1 настоящих Правил, между субъектами Российской Федерации в соответствии с консолидированным прогнозом размера субсидии на очередной финансовый год и плановый период, формируемым Министерством экономического развития Российской Федерации на основании сводных данных паспортов комплексных инвестиционных проектов, ежегодно представляемых заявителями в Министерство экономического развития Российской Федерации в соответствии с Правилами отбора субъектов Российской Федерации.

При формировании консолидированного прогноза, указанного в абзаце втором настоящего пункта, Министерством экономического развития Российской Федерации учитывается сумма уплаченных в i-м периоде определенными заявителем резидентами особой экономической зоны федеральных налогов и таможенных пошлин, определяемая по формуле, предусмотренной пунктом 9 Правил отбора субъектов Российской Федерации с учетом установленного пунктом 3 настоящих Правил предельного уровня софинансирования расходных обязательств субъектов Российской Федерации, в целях возмещения затрат субъектов Российской Федерации по которым предоставляются субсидии.

19. Операции по кассовым расходам бюджетов субъектов Российской Федерации, источником финансового обеспечения которых являются субсидии, учитываются Министерством экономического развития Российской Федерации при формировании прогноза кассовых выплат из федерального бюджета, необходимого для составления в установленном порядке кассового плана исполнения федерального бюджета.

20. Уполномоченный орган размещает в сроки, установленные соглашением, в государственной интегрированной информационной системе управления общественными финансами "Электронный бюджет" отчет о расходах, в целях софинансирования которых предоставляется субсидия, а также отчет о достижении значения результата использования субсидии.

Уполномоченный орган также представляет в Министерство экономического развития Российской Федерации отчет о соответствии критериям отбора субъектов Российской Федерации для предоставления субсидии, указанным в пункте 8 настоящих Правил, и отчет о динамике достижения результата использования субсидии по форме согласно приложению к настоящим Правилам.

21. Контроль за соблюдением субъектами Российской Федерации условий предоставления субсидий осуществляется Министерством экономического развития Российской Федерации и уполномоченными органами государственного финансового контроля.

22. Субъект Российской Федерации в соответствии с законодательством Российской Федерации несет ответственность за достоверность сведений, содержащихся в документах, представляемых в соответствии с настоящими Правилами в территориальные органы Федерального казначейства, Федеральную налоговую службу, Федеральную таможенную службу, Министерство финансов Российской Федерации и Министерство экономического развития Российской Федерации.

23. Перечисление субсидии на возмещение затрат по завершенным мероприятиям осуществляется в установленном порядке на казначейские счета для осуществления и отражения операций по учету и распределению поступлений, открытые территориальным органам Федерального казначейства, на основании заявки высшего исполнительного органа субъекта Российской Федерации о перечислении субсидии, предоставляемой главному распорядителю средств федерального бюджета.

24. Порядок и условия возврата средств из бюджета субъекта Российской Федерации в федеральный бюджет в случае нарушения субъектом Российской Федерации обязательств, предусмотренных соглашением, а также основания для освобождения субъекта Российской Федерации от применения мер финансовой ответственности установлены пунктами 16 - 18 и 20 Правил формирования, предоставления и распределения субсидий из федерального бюджета бюджетам субъектов Российской Федерации, утвержденных постановлением Правительства Российской Федерации от 30 сентября 2014 г. N 999 "О формировании, предоставлении и распределении субсидий из федерального бюджета бюджетам субъектов Российской Федерации".

25. Оценка эффективности использования субсидии в отчетном финансовом году осуществляется Министерством экономического развития Российской Федерации путем сравнения планового значения прогноза размера субсидии с фактическим значением размера субсидии за отчетный период.

26. В случае нарушения субъектом Российской Федерации целей, установленных при предоставлении субсидии, применяются бюджетные меры принуждения, предусмотренные бюджетным законодательством Российской Федерации.

Приложение
к Правилам предоставления субсидий
из федерального бюджета бюджетам
субъектов Российской Федерации
на возмещение затрат на создание,
модернизацию и (или) реконструкцию
объектов инфраструктуры
особых экономических зон

(форма)

ОТЧЕТ О ДИНАМИКЕ ДОСТИЖЕНИЯ РЕЗУЛЬТАТА ИСПОЛЬЗОВАНИЯ СУБСИДИИ БЮДЖЕТУ СУБЪЕКТА РОССИЙСКОЙ ФЕДЕРАЦИИ НА СОФИНАНСИРОВАНИЕ РАСХОДНЫХ ОБЯЗАТЕЛЬСТВ, ВОЗНИКАЮЩИХ ПРИ РЕАЛИЗАЦИИ МЕРОПРИЯТИЙ ПО ВОЗМЕЩЕНИЮ ЗАТРАТ НА СОЗДАНИЕ, МОДЕРНИЗАЦИЮ И (ИЛИ) РЕКОНСТРУКЦИЮ ОБЪЕКТОВ ИНФРАСТРУКТУРЫ ОСОБЫХ ЭКОНОМИЧЕСКИХ ЗОН ЗА ______ ГОД

(в ред. Постановления Правительства РФ от 16.03.2024 N 309)

1. Описание достигнутых результатов в ходе исполнения обязательств по соглашению о предоставлении субсидии

Наименование показателяЗначение показателя
Плановое значение прогноза размера субсидии за отчетный период (млн. рублей) 
Фактическое значение размера субсидии за отчетный период (млн. рублей) 
Доля фактического значения размера субсидии в плановом значении прогноза размера субсидии (процентов) 
Размер субсидии, направленной из бюджета субъекта Российской Федерации на дальнейшее развитие особой экономической зоны (млн. рублей) 

2. Сведения о достижении результата использования субсидии

Наименование результата использования субсидииЕдиница измеренияПоказатель достижения результата использования субсидии
за отчетный годза период функционирования особой экономической зоны
план.факт.план.факт.
Сводный расчетный показатель эффективностипроцентов80 - 100 80 - 100 


Приложение N 46
к государственной программе
Российской Федерации "Экономическое
развитие и инновационная экономика"

ПРАВИЛА ПРЕДОСТАВЛЕНИЯ И РАСПРЕДЕЛЕНИЯ В 2024 ГОДУ СУБСИДИЙ ИЗ ФЕДЕРАЛЬНОГО БЮДЖЕТА, ИСТОЧНИКОМ ФИНАНСОВОГО ОБЕСПЕЧЕНИЯ КОТОРЫХ ЯВЛЯЮТСЯ БЮДЖЕТНЫЕ АССИГНОВАНИЯ РЕЗЕРВНОГО ФОНДА ПРАВИТЕЛЬСТВА РОССИЙСКОЙ ФЕДЕРАЦИИ, БЮДЖЕТАМ ДОНЕЦКОЙ НАРОДНОЙ РЕСПУБЛИКИ, ЛУГАНСКОЙ НАРОДНОЙ РЕСПУБЛИКИ, ЗАПОРОЖСКОЙ ОБЛАСТИ И ХЕРСОНСКОЙ ОБЛАСТИ В ЦЕЛЯХ СОФИНАНСИРОВАНИЯ РАСХОДНЫХ ОБЯЗАТЕЛЬСТВ УКАЗАННЫХ СУБЪЕКТОВ РОССИЙСКОЙ ФЕДЕРАЦИИ, ВОЗНИКАЮЩИХ ПРИ РЕАЛИЗАЦИИ МЕРОПРИЯТИЙ, НАПРАВЛЕННЫХ НА ГОСУДАРСТВЕННУЮ ПОДДЕРЖКУ МАЛОГО И СРЕДНЕГО ПРЕДПРИНИМАТЕЛЬСТВА, ФИЗИЧЕСКИХ ЛИЦ, ПРИМЕНЯЮЩИХ СПЕЦИАЛЬНЫЙ НАЛОГОВЫЙ РЕЖИМ "НАЛОГ НА ПРОФЕССИОНАЛЬНЫЙ ДОХОД", И ФИЗИЧЕСКИХ ЛИЦ, ЗАИНТЕРЕСОВАННЫХ В НАЧАЛЕ ОСУЩЕСТВЛЕНИЯ ПРЕДПРИНИМАТЕЛЬСКОЙ ДЕЯТЕЛЬНОСТИ

(в ред. Постановления Правительства РФ от 16.05.2024 N 607)

1. Настоящие Правила устанавливают цели, условия и порядок предоставления и распределения в 2024 году субсидий из федерального бюджета, источником финансового обеспечения которых являются бюджетные ассигнования резервного фонда Правительства Российской Федерации, бюджетам Донецкой Народной Республики, Луганской Народной Республики, Запорожской области и Херсонской области в целях софинансирования расходных обязательств указанных субъектов Российской Федерации, возникающих при реализации мероприятий, направленных на государственную поддержку малого и среднего предпринимательства, физических лиц, применяющих специальный налоговый режим "Налог на профессиональный доход", и физических лиц, заинтересованных в начале осуществления предпринимательской деятельности, в рамках государственной программы Российской Федерации "Экономическое развитие и инновационная экономика" (далее соответственно - субъекты Российской Федерации, субсидии).

2. Субсидии предоставляются бюджетам субъектов Российской Федерации в пределах лимитов бюджетных обязательств, доведенных в установленном порядке до Министерства экономического развития Российской Федерации как получателя средств федерального бюджета на предоставление субсидий на цели, предусмотренные пунктом 1 настоящих Правил.

3. Субсидии предоставляются в целях софинансирования расходных обязательств субъектов Российской Федерации, возникающих при реализации следующих мероприятий:

а) создание и (или) развитие инфраструктуры поддержки субъектов малого и среднего предпринимательства, направленной на оказание комплекса услуг, сервисов и мер поддержки субъектам малого и среднего предпринимательства, физическим лицам, применяющим специальный налоговый режим "Налог на профессиональный доход", и физическим лицам, заинтересованным в начале осуществления предпринимательской деятельности, в центрах "Мой бизнес";

б) создание и (или) развитие государственных микрофинансовых организаций;

в) создание и (или) развитие фондов содействия кредитованию (гарантийных фондов, фондов поручительств) (далее - региональные гарантийные организации) для обеспечения возможности привлечения финансирования при отсутствии обеспечения.

4. В настоящих Правилах под государственной микрофинансовой организацией понимается микрофинансовая организация, одним из учредителей (участников, акционеров) которой является субъект Российской Федерации, которая предоставляет микрозаймы субъектам малого и среднего предпринимательства и физическим лицам, применяющим специальный налоговый режим "Налог на профессиональный доход", и отвечает критериям, установленным в соответствии с Федеральным законом "О развитии малого и среднего предпринимательства в Российской Федерации" (далее - Федеральный закон).

5. В рамках мероприятия, указанного в подпункте "а" пункта 3 настоящих Правил, субъекты Российской Федерации обеспечивают создание и (или) развитие инфраструктуры поддержки субъектов малого и среднего предпринимательства, к которой относятся центры поддержки предпринимательства, центры народно-художественных промыслов, ремесленной деятельности, сельского и экологического туризма, центры инноваций социальной сферы, многофункциональные центры для бизнеса и центры кластерного развития, а также центры "Мой бизнес", в соответствии с требованиями, предусмотренными частью 3 статьи 15 Федерального закона.

6. В рамках мероприятия, указанного в подпункте "б" пункта 3 настоящих Правил, субъекты Российской Федерации обеспечивают в соответствии с требованиями, предусмотренными частью 3 статьи 15 Федерального закона, создание и (или) развитие государственных микрофинансовых организаций, предоставляющих микрозаймы субъектам малого и среднего предпринимательства и физическим лицам, применяющим специальный налоговый режим "Налог на профессиональный доход", которые:

а) не имеют по состоянию на любую дату в течение периода, равного 30 календарным дням, предшествующего дате заключения договора (соглашения) о предоставлении микрозайма, просроченной задолженности по налогам, сборам и иным обязательным платежам в бюджеты бюджетной системы Российской Федерации, превышающей 50 тыс. рублей;

б) не имеют задолженности перед работниками (персоналом) по заработной плате, срок невыплаты которой составляет более 3 месяцев.

7. В рамках мероприятия, указанного в подпункте "в" пункта 3 настоящих Правил, субъекты Российской Федерации обеспечивают в соответствии с требованиями, предусмотренными частью 3 статьи 15 Федерального закона, создание и (или) развитие региональных гарантийных организаций, предоставляющих поручительства и (или) независимые гарантии субъектам малого и среднего предпринимательства и физическим лицам, применяющим специальный налоговый режим "Налог на профессиональный доход", которые:

а) не имеют по состоянию на любую дату в течение периода, равного 30 календарным дням, предшествующего дате заключения договора (соглашения) о предоставлении поручительства и (или) независимой гарантии, просроченной задолженности по налогам, сборам и иным обязательным платежам в бюджеты бюджетной системы Российской Федерации, превышающей 50 тыс. рублей;

б) не имеют задолженности перед работниками (персоналом) по заработной плате, срок невыплаты которой составляет более 3 месяцев.

8. Министерство экономического развития Российской Федерации:

а) устанавливает формы, сроки и порядок представления субъектами Российской Федерации документов, предусматривающих направления расходов (сметы), ключевые показатели эффективности реализации мероприятий, указанных в пункте 3 настоящих Правил, и их фактическое исполнение;

б) осуществляет экспертизу комплектов документов, представляемых субъектами Российской Федерации, при этом может привлекать к работе экспертов из числа представителей федеральных органов исполнительной власти, независимых представителей общественных, деловых объединений и иных организаций (экспертная группа);

в) формирует экспертную группу, утверждает ее состав и определяет порядок ее работы.

9. Субсидии предоставляются при соблюдении субъектами Российской Федерации следующих условий:

а) наличие в бюджете субъекта Российской Федерации бюджетных ассигнований на исполнение расходного обязательства субъекта Российской Федерации, софинансирование которого осуществляется из федерального бюджета, в объеме, необходимом для его исполнения, включающем размер планируемой субсидии;

б) заключение соглашения о предоставлении субсидии между Министерством экономического развития Российской Федерации и высшим исполнительным органом субъекта Российской Федерации в соответствии с пунктом 10 Правил формирования, предоставления и распределения субсидий из федерального бюджета бюджетам субъектов Российской Федерации, утвержденных постановлением Правительства Российской Федерации от 30 сентября 2014 г. N 999 "О формировании, предоставлении и распределении субсидий из федерального бюджета бюджетам субъектов Российской Федерации" (далее соответственно - соглашение, Правила формирования, предоставления и распределения субсидий);

в) наличие правовых актов субъекта Российской Федерации, утверждающих перечень мероприятий (результатов), при реализации которых возникают расходные обязательства субъекта Российской Федерации, в целях софинансирования которых предоставляются субсидии, в соответствии с требованиями нормативных правовых актов Российской Федерации.

10. Критериями отбора субъектов Российской Федерации для предоставления субсидий являются:

а) потребность субъектов Российской Федерации в осуществлении мероприятий, указанных в пункте 3 настоящих Правил;

б) соответствие мероприятий, указанных в заявке субъекта Российской Федерации на предоставление субсидии по форме согласно приложению (далее - заявка), мероприятиям, указанным в пункте 3 настоящих Правил.

11. Расчетный размер субсидии, предоставляемой бюджету i-го субъекта Российской Федерации (), определяется по формуле:

,

где:

- общий размер субсидии, распределяемой между субъектами Российской Федерации в 2024 году в целях софинансирования расходных обязательств субъектов Российской Федерации, возникающих при реализации мероприятия, указанного в подпункте "а" пункта 3 настоящих Правил;

- общий размер субсидии, распределяемой между субъектами Российской Федерации в 2024 году в целях софинансирования расходных обязательств субъектов Российской Федерации, возникающих при реализации мероприятия, указанного в подпункте "б" пункта 3 настоящих Правил;

- общий размер субсидии, распределяемой между субъектами Российской Федерации в 2024 году в целях софинансирования расходных обязательств субъектов Российской Федерации, возникающих при реализации мероприятия, указанного в подпункте "в" пункта 3 настоящих Правил;

- объем потребности i-го субъекта Российской Федерации в финансовом обеспечении за счет средств федерального бюджета соответствующих мероприятий, необходимый для исполнения расходных обязательств субъекта Российской Федерации, возникающих при реализации мероприятия, указанного в подпункте "а" пункта 3 настоящих Правил;

- объем потребности i-го субъекта Российской Федерации в финансовом обеспечении за счет средств федерального бюджета соответствующих мероприятий, необходимый для исполнения расходных обязательств субъекта Российской Федерации, возникающих при реализации мероприятия, указанного в подпункте "б" пункта 3 настоящих Правил;

- объем потребности i-го субъекта Российской Федерации в финансовом обеспечении за счет средств федерального бюджета соответствующих мероприятий, необходимый для исполнения расходных обязательств субъекта Российской Федерации, возникающих при реализации мероприятия, указанного в подпункте "в" пункта 3 настоящих Правил;

- предельный уровень софинансирования расходных обязательств i-го субъекта Российской Федерации, определяемый в соответствии с пунктом 13 Правил формирования, предоставления и распределения субсидий;

n - общее количество субъектов Российской Федерации, которым предоставляются субсидии.

12. Распределение субсидий между субъектами Российской Федерации на 2024 год утверждается актом Правительства Российской Федерации.

13. Для предоставления субсидии субъект Российской Федерации представляет в Министерство экономического развития Российской Федерации следующие документы:

а) заявка (включающая обязательство субъекта Российской Федерации об обеспечении функционирования и целевого назначения организаций, образующих инфраструктуру поддержки субъектов малого и среднего предпринимательства, в целях создания и (или) развития которых предоставляется субсидия, в течение 10 лет с даты их создания за счет субсидии);

б) документ об определении исполнительного органа субъекта Российской Федерации, уполномоченного высшим исполнительным органом субъекта Российской Федерации на взаимодействие с Министерством экономического развития Российской Федерации в реализации мероприятий, указанных в пункте 3 настоящих Правил (далее - уполномоченный орган);

в) выписка из закона о бюджете субъекта Российской Федерации на текущий финансовый год и плановый период (сводной бюджетной росписи бюджета субъекта Российской Федерации), подтверждающая наличие в бюджете субъекта Российской Федерации бюджетных ассигнований на исполнение расходных обязательств субъекта Российской Федерации, в целях софинансирования которых предоставляется субсидия.

В случае отсутствия в бюджете субъекта Российской Федерации на текущий финансовый год и плановый период (сводной бюджетной росписи бюджета субъекта Российской Федерации) бюджетных ассигнований на исполнение расходных обязательств субъекта Российской Федерации, в целях софинансирования которых предоставляется субсидия, субъект Российской Федерации включает в заявку обязательство по обеспечению внесения соответствующих изменений в закон о бюджете субъекта Российской Федерации на текущий финансовый год и плановый период (сводную бюджетную роспись бюджета субъекта Российской Федерации).

14. Документы, указанные в пункте 13 настоящих Правил, заполняются уполномоченным органом в бумажном виде.

15. Документы, указанные в пункте 13 настоящих Правил, представляются субъектами Российской Федерации в сроки, указанные Министерством экономического развития Российской Федерации в извещении о приеме документов субъектов Российской Федерации для предоставления субсидий, направленном субъектам Российской Федерации на официальный адрес электронной почты высших исполнительных органов субъектов Российской Федерации.

16. В случае включения субъектом Российской Федерации в заявку обязательства, предусмотренного подпунктом "в" пункта 13 настоящих Правил, субъект Российской Федерации представляет в Министерство экономического развития Российской Федерации выписку из закона о бюджете субъекта Российской Федерации на текущий финансовый год и плановый период (сводной бюджетной росписи бюджета субъекта Российской Федерации), подтверждающую наличие в бюджете субъекта Российской Федерации бюджетных ассигнований на исполнение расходных обязательств субъекта Российской Федерации, в целях софинансирования которых предоставляется субсидия, не позднее 15 рабочих дней со дня принятия закона о бюджете субъекта Российской Федерации на текущий финансовый год и плановый период или закона о внесении соответствующих изменений в него (утверждения сводной бюджетной росписи бюджета субъекта Российской Федерации или внесения соответствующих изменений в нее).

17. Предоставление субсидии осуществляется на основании соглашения, заключаемого в государственной интегрированной информационной системе управления общественными финансами "Электронный бюджет" в соответствии с типовой формой соглашения, утвержденной Министерством финансов Российской Федерации.

18. Перечисление субсидий осуществляется в установленном порядке на единые счета бюджетов, открытые финансовым органам субъектов Российской Федерации в территориальных органах Федерального казначейства.

19. Порядок и условия возврата средств из бюджета субъекта Российской Федерации в федеральный бюджет в случае невыполнения условий соглашения, в том числе нарушения субъектом Российской Федерации обязательств по достижению значений результатов использования субсидии, предусмотренных соглашением, а также основания для освобождения субъекта Российской Федерации от применения мер финансовой ответственности определяются в соответствии с пунктами 16 - 20 Правил формирования, предоставления и распределения субсидий.

20. В случае нарушения целей, установленных при предоставлении субсидии, применяются бюджетные меры принуждения, предусмотренные бюджетным законодательством Российской Федерации.

21. Высший исполнительный орган субъекта Российской Федерации представляет в Министерство экономического развития Российской Федерации отчеты, предусмотренные соглашением.

Отчеты, предусмотренные соглашением, составляются нарастающим итогом по состоянию на 1-е число месяца, следующего за отчетным кварталом, и представляются до 10-го числа месяца, следующего за отчетным кварталом, в случае осуществления кассового расхода бюджета субъекта Российской Федерации, софинансируемого из федерального бюджета, при этом отчеты за IV квартал представляются до 20 января года, следующего за годом предоставления субсидии, независимо от факта осуществления кассового расхода бюджета субъекта Российской Федерации, софинансируемого из федерального бюджета, отчеты о достижении значений результатов использования субсидии представляются в порядке и сроки, которые установлены соглашением.

Субъекты Российской Федерации обеспечивают представление отчетов, предусмотренных соглашением, в Министерство экономического развития Российской Федерации в указанные сроки в электронном виде в государственной интегрированной информационной системе управления общественными финансами "Электронный бюджет".

22. Министерство экономического развития Российской Федерации в порядке, предусмотренном соглашением, осуществляет контроль за выполнением субъектами Российской Федерации обязательств по достижению результатов использования субсидий в отчетном году на основании отчетов, представленных субъектами Российской Федерации.

23. Контроль за соблюдением субъектами Российской Федерации условий предоставления субсидий осуществляется Министерством экономического развития Российской Федерации и уполномоченными органами государственного финансового контроля.

24. Оценка эффективности использования субсидии в рамках мероприятия, указанного в подпункте "а" пункта 3 настоящих Правил, осуществляется Министерством экономического развития Российской Федерации путем сравнения фактически достигнутого субъектом Российской Федерации значения результата использования субсидии - количества начинающих и действующих предпринимателей, физических лиц, применяющих специальный налоговый режим "Налог на профессиональный доход", и физических лиц, заинтересованных в начале осуществления предпринимательской деятельности, получивших услуги, и значения указанного результата, установленного соглашением.

25. Оценка эффективности использования субсидии в рамках мероприятия, указанного в подпункте "б" пункта 3 настоящих Правил, осуществляется Министерством экономического развития Российской Федерации путем сравнения фактически достигнутого субъектом Российской Федерации значения результата использования субсидии - объема выданных микрозаймов государственной микрофинансовой организацией и значения указанного результата, установленного соглашением.

26. Оценка эффективности использования субсидии в рамках мероприятия, указанного в подпункте "в" пункта 3 настоящих Правил, осуществляется Министерством экономического развития Российской Федерации путем сравнения фактически достигнутого субъектом Российской Федерации значения результата использования субсидии - объема финансовой поддержки, оказанной субъектам малого и среднего предпринимательства и физическим лицам, применяющим специальный налоговый режим "Налог на профессиональный доход", при гарантийной поддержке региональных гарантийных организаций и значения указанного результата, установленного соглашением.

27. Субъекты Российской Федерации несут ответственность за достоверность представляемых в рамках настоящих Правил информации и документов.

28. Министерство экономического развития Российской Федерации вправе запрашивать у субъектов Российской Федерации необходимые документы и материалы в целях осуществления контроля за соблюдением субъектами Российской Федерации условий предоставления субсидий и других обязательств, предусмотренных соглашением, в том числе данные бухгалтерского учета и первичную документацию, связанные с реализацией субъектами Российской Федерации мероприятий, указанных в пункте 3 настоящих Правил.

Приложение
к Правилам предоставления и распределения
в 2024 году субсидий из федерального
бюджета, источником финансового
обеспечения которых являются бюджетные
ассигнования резервного фонда
Правительства Российской Федерации,
бюджетам Донецкой Народной Республики,
Луганской Народной Республики, Запорожской
области и Херсонской области в целях
софинансирования расходных обязательств
указанных субъектов Российской Федерации,
возникающих при реализации мероприятий,
направленных на государственную поддержку
малого и среднего предпринимательства,
физических лиц, применяющих специальный
налоговый режим "Налог на профессиональный
доход", и физических лиц, заинтересованных
в начале осуществления
предпринимательской деятельности

                                                           (форма)
 
                          Министерство экономического развития
                                  Российской Федерации
 
                                ЗАЯВКА
__________________________________________________________________
         (наименование субъекта Российской Федерации)
 
   (в ред. Постановления Правительства РФ от 16.05.2024 N 607)
 
  на предоставление в 2024 году субсидии из федерального бюджета,
  источником финансового обеспечения которой являются бюджетные
 ассигнования резервного фонда Правительства Российской Федерации,
    бюджетам Донецкой Народной Республики, Луганской Народной
  Республики, Запорожской области и Херсонской области в целях
  софинансирования расходных обязательств указанных субъектов
  Российской Федерации, возникающих при реализации мероприятий,
  направленных на государственную поддержку малого и среднего
  предпринимательства, физических лиц, применяющих специальный
 налоговый режим "Налог на профессиональный доход", и физических
 лиц, заинтересованных в начале осуществления предпринимательской
                            деятельности
 
В  соответствии  с Правилами предоставления и распределения в 2024
году  субсидий  из  федерального  бюджета,  источником финансового
обеспечения  которых  являются  бюджетные  ассигнования резервного
фонда   Правительства   Российской   Федерации,  бюджетам Донецкой
Народной  Республики,  Луганской  Народной Республики, Запорожской
области  и  Херсонской  области в целях софинансирования расходных
обязательств указанных субъектов Российской Федерации, возникающих
при   реализации   мероприятий,   направленных  на государственную
поддержку  малого  и среднего предпринимательства, физических лиц,
применяющих специальный налоговый режим "Налог на профессиональный
доход",  и физических лиц, заинтересованных в начале осуществления
предпринимательской  деятельности,  предусмотренными приложением N
46 к государственной программе Российской Федерации "Экономическое
развитие  и  инновационная экономика", утвержденной постановлением
Правительства  Российской Федерации от 15 апреля 2014 г. N 316 "Об
утверждении   государственной   программы   Российской   Федерации
"Экономическое   развитие   и   инновационная  экономика", выражаю
согласие с условиями предоставления субсидии в отношении следующих
мероприятий и в следующих объемах:
 
__________________________________________________________________
(перечисляются мероприятия, указанные в пункте 3 указанных Правил,
                предполагаемый размер субсидии
_________________________________________________________________.
       на реализацию каждого мероприятия (млн. рублей)
 
    Также    обязуюсь    обеспечить    внесение    соответствующих
изменений  в  бюджет  субъекта  Российской  Федерации  на ____ год
и плановый период __________________________________________  <*>.
                    (указываются реквизиты и наименование
                              нормативного акта)
 
Обязуюсь   обеспечить   функционирование   и   целевое  назначение
организаций,  образующих инфраструктуру поддержки субъектов малого
и  среднего предпринимательства, в целях создания и (или) развития
которых  предоставляется  субсидия,  в  течение  10  лет с даты их
создания за счет субсидии.
 
___________________________ _________ ____________________________
     (должность высшего     (подпись)          (ф. и. о.
должностного лица субъекта             (последнее - при наличии)
  Российской Федерации)
 

 
Приложение N 47
к государственной программе
Российской Федерации "Экономическое
развитие и инновационная экономика"

ПРАВИЛА ПРЕДОСТАВЛЕНИЯ И РАСПРЕДЕЛЕНИЯ В 2024 ГОДУ СУБСИДИЙ ИЗ ФЕДЕРАЛЬНОГО БЮДЖЕТА, ИСТОЧНИКОМ ФИНАНСОВОГО ОБЕСПЕЧЕНИЯ КОТОРЫХ ЯВЛЯЮТСЯ БЮДЖЕТНЫЕ АССИГНОВАНИЯ РЕЗЕРВНОГО ФОНДА ПРАВИТЕЛЬСТВА РОССИЙСКОЙ ФЕДЕРАЦИИ, БЮДЖЕТАМ ДОНЕЦКОЙ НАРОДНОЙ РЕСПУБЛИКИ, ЛУГАНСКОЙ НАРОДНОЙ РЕСПУБЛИКИ, ЗАПОРОЖСКОЙ ОБЛАСТИ И ХЕРСОНСКОЙ ОБЛАСТИ В ЦЕЛЯХ СОФИНАНСИРОВАНИЯ РАСХОДНЫХ ОБЯЗАТЕЛЬСТВ УКАЗАННЫХ СУБЪЕКТОВ РОССИЙСКОЙ ФЕДЕРАЦИИ, ВОЗНИКАЮЩИХ ПРИ РЕАЛИЗАЦИИ МЕРОПРИЯТИЙ, НАПРАВЛЕННЫХ НА ПОДДЕРЖКУ СУБЪЕКТОВ МАЛОГО И СРЕДНЕГО ПРЕДПРИНИМАТЕЛЬСТВА, ОСУЩЕСТВЛЯЮЩИХ СОЦИАЛЬНО ЗНАЧИМЫЕ ВИДЫ ДЕЯТЕЛЬНОСТИ

(в ред. Постановления Правительства РФ от 13.06.2024 N 800)

1. Настоящие Правила устанавливают цели, условия и порядок предоставления и распределения в 2024 году субсидий из федерального бюджета, источником финансового обеспечения которых являются бюджетные ассигнования резервного фонда Правительства Российской Федерации, бюджетам Донецкой Народной Республики, Луганской Народной Республики, Запорожской области и Херсонской области в целях софинансирования расходных обязательств указанных субъектов Российской Федерации, возникающих при реализации мероприятий, направленных на поддержку субъектов малого и среднего предпринимательства, осуществляющих социально значимые виды деятельности, в рамках государственной программы Российской Федерации "Экономическое развитие и инновационная экономика" (далее соответственно - субъекты Российской Федерации, субсидии).

2. Субсидии предоставляются бюджетам субъектов Российской Федерации в пределах лимитов бюджетных обязательств, доведенных в установленном порядке до Министерства экономического развития Российской Федерации как получателя средств федерального бюджета на предоставление субсидий на цели, предусмотренные пунктом 1 настоящих Правил.

3. В рамках мероприятия, указанного в пункте 1 настоящих Правил, субъекты Российской Федерации обеспечивают в соответствии с требованиями, установленными статьей 14 Федерального закона "О развитии малого и среднего предпринимательства в Российской Федерации", предоставление грантов в форме субсидий на реализацию проекта, относящегося к социально значимым видам деятельности в соответствии с Общероссийским классификатором видов экономической деятельности ОК 029-2014 (КДЕС Ред. 2) по перечню согласно приложению N 1 (далее соответственно - грант, социально значимый проект), субъектам малого и среднего предпринимательства, которые:

а) осуществляют в качестве основного вида деятельности один из социально значимых видов деятельности в соответствии с Общероссийским классификатором видов экономической деятельности ОК 029-2014 (КДЕС Ред. 2), указанных в приложении N 1 к настоящим Правилам;

б) прошли обучение (руководитель юридического лица или индивидуальный предприниматель) основам предпринимательской деятельности с использованием цифровой платформы с механизмом адресного подбора и возможностью дистанционного получения мер поддержки и специальных сервисов субъектами малого и среднего предпринимательства и самозанятыми гражданами (://мсп.рф);

в) принимают на себя обязательство по сохранению в течение года с даты заключения соглашения о предоставлении гранта не менее 80 процентов численности работников согласно данным о расчете по страховым взносам и персонифицированным сведениям о физических лицах, представленным субъектом малого и среднего предпринимательства в электронной форме в информационный сервис Федеральной налоговой службы за I квартал 2024 г., или по созданию не менее 2 новых рабочих мест в случае, если число работников составляет менее 2, либо в случае отсутствия наемных работников, либо в случае отсутствия данных о расчете по страховым взносам и персонифицированным сведениям о физических лицах, представленных субъектом малого и среднего предпринимательства в электронной форме в информационный сервис Федеральной налоговой службы за I квартал 2024 г.;

г) не имеют задолженности перед работниками (персоналом) по заработной плате, срок невыплаты которой составляет более 3 месяцев, на дату подачи заявки на получение гранта.

4. Размер гранта определяется конкурсной комиссией, сформированной субъектом Российской Федерации, пропорционально размеру расходов субъекта малого и среднего предпринимательства, предусмотренных бизнес-планом на реализацию нового социально значимого проекта или на расширение своей деятельности при реализации ранее созданного социально значимого проекта.

Грант предоставляется при условии софинансирования субъектом малого и среднего предпринимательства расходов, связанных с реализацией социально значимого проекта, в размере не менее 5 процентов размера расходов, предусмотренных бизнес-планом на реализацию социально значимого проекта и указанных в пункте 6 настоящих Правил.

Максимальный размер гранта не превышает 300 тыс. рублей на одного субъекта малого и среднего предпринимательства.

5. Грант предоставляется субъекту малого и среднего предпринимательства однократно в полном объеме на конкурсной основе в соответствии с решением конкурсной комиссии, сформированной субъектом Российской Федерации, в порядке, определенном нормативным правовым актом субъекта Российской Федерации.

6. Грант предоставляется в целях финансового обеспечения следующих расходов, связанных с реализацией социально значимого проекта:

а) аренда нежилого помещения;

б) ремонт нежилого помещения, включая приобретение строительных материалов, оборудования, необходимого для ремонта помещения;

в) аренда и (или) приобретение оргтехники, оборудования (в том числе инвентаря, мебели);

г) выплата, связанная с передачей прав на франшизу (паушальный платеж);

д) технологическое присоединение к объектам инженерной инфраструктуры (электрические сети, газоснабжение, водоснабжение, водоотведение, теплоснабжение);

е) оплата коммунальных услуг и услуг электроснабжения;

ж) оформление результатов интеллектуальной деятельности;

з) приобретение основных средств (за исключением приобретения зданий, сооружений, земельных участков, автомобилей);

и) переоборудование транспортных средств для перевозки маломобильных групп населения, в том числе инвалидов;

к) оплата услуг связи, в том числе информационно-телекоммуникационной сети "Интернет";

л) приобретение программного обеспечения и неисключительных прав на программное обеспечение (расходы, связанные с получением прав по лицензионному соглашению, расходы на адаптацию, настройку, внедрение и модификацию программного обеспечения, расходы на сопровождение программного обеспечения);

м) приобретение сырья, расходных материалов, необходимых для производства продукции и оказания услуг;

н) приобретение комплектующих изделий при производстве и (или) реализации медицинской техники, протезно-ортопедических изделий, программного обеспечения, а также технических средств, которые могут быть использованы исключительно для профилактики инвалидности или реабилитации (абилитации) инвалидов.

7. Не допускается направление гранта на финансирование затрат, связанных с уплатой налогов, сборов и иных обязательных платежей в бюджеты бюджетной системы Российской Федерации и бюджеты государственных внебюджетных фондов, уплатой процентов по займам, предоставленным государственными микрофинансовыми организациями, а также по кредитам, привлеченным в кредитных организациях.

8. Получатель гранта - субъект малого и среднего предпринимательства обязуется в течение 30 календарных дней после истечения календарного года с даты заключения соглашения о предоставлении гранта представить в исполнительный орган субъекта Российской Федерации, ответственный за реализацию мероприятия, указанного в пункте 1 настоящих Правил, информацию о выполнении обязательства, предусмотренного подпунктом "в" пункта 3 настоящих Правил.

В случае невыполнения субъектом малого и среднего предпринимательства обязательства, предусмотренного подпунктом "в" пункта 3 настоящих Правил, или непредставления информации, предусмотренной абзацем первым настоящего пункта, за исключением случаев, когда надлежащее исполнение обязательства оказалось невозможным вследствие наступления обстоятельств непреодолимой силы, грант подлежит возврату в соответствующий бюджет бюджетной системы Российской Федерации.

9. Министерство экономического развития Российской Федерации:

а) устанавливает формы, сроки и порядок представления субъектами Российской Федерации документов, предусматривающих направления расходов (сметы), ключевые показатели эффективности реализации мероприятия, указанного в пункте 1 настоящих Правил, и его фактическое исполнение;

б) осуществляет экспертизу комплектов документов, представляемых субъектами Российской Федерации.

10. Субсидии предоставляются при соблюдении субъектами Российской Федерации следующих условий:

а) наличие в бюджете субъекта Российской Федерации бюджетных ассигнований на исполнение расходного обязательства субъекта Российской Федерации, софинансирование которого осуществляется из федерального бюджета, в объеме, необходимом для его исполнения, включающем размер планируемой к предоставлению из федерального бюджета субсидии;

б) заключение соглашения о предоставлении субсидии из федерального бюджета бюджету субъекта Российской Федерации между Министерством экономического развития Российской Федерации и высшим исполнительным органом субъекта Российской Федерации в соответствии с пунктом 10 Правил формирования, предоставления и распределения субсидий из федерального бюджета бюджетам субъектов Российской Федерации, утвержденных постановлением Правительства Российской Федерации от 30 сентября 2014 г. N 999 "О формировании, предоставлении и распределении субсидий из федерального бюджета бюджетам субъектов Российской Федерации" (далее соответственно - соглашение, Правила формирования, предоставления и распределения субсидий);

в) наличие правовых актов субъекта Российской Федерации, утверждающих перечень мероприятий (результатов), при реализации которых возникают расходные обязательства субъекта Российской Федерации, в целях софинансирования которых предоставляются субсидии, в соответствии с требованиями нормативных правовых актов Российской Федерации.

11. Критериями отбора субъектов Российской Федерации для предоставления субсидии являются:

а) потребность субъектов Российской Федерации в осуществлении мероприятия, указанного в пункте 1 настоящих Правил;

б) соответствие мероприятия, указанного в заявке субъекта Российской Федерации на предоставление субсидии по форме согласно приложению N 2 (далее - заявка), мероприятию, указанному в пункте 1 настоящих Правил.

12. Размер субсидии, предоставляемой бюджету i-го субъекта Российской Федерации (), определяется по формуле:

,

где:

- общий размер субсидии, распределяемой между субъектами Российской Федерации в 2024 году в целях софинансирования расходных обязательств субъектов Российской Федерации, возникающих при реализации мероприятия, указанного в пункте 1 настоящих Правил;

- объем потребности i-го субъекта Российской Федерации в финансовом обеспечении за счет средств федерального бюджета соответствующих мероприятий, необходимый для исполнения расходных обязательств субъектов Российской Федерации, возникающих при реализации мероприятия, указанного в пункте 1 настоящих Правил;

- предельный уровень софинансирования расходных обязательств i-го субъекта Российской Федерации, определяемый в соответствии с пунктом 13 Правил формирования, предоставления и распределения субсидий;

n - общее количество субъектов Российской Федерации, которым предоставляются субсидии.

13. Для предоставления субсидии субъект Российской Федерации представляет в Министерство экономического развития Российской Федерации следующие документы:

а) заявка;

б) документ об определении исполнительного органа субъекта Российской Федерации, уполномоченного высшим исполнительным органом субъекта Российской Федерации на взаимодействие с Министерством экономического развития Российской Федерации по реализации мероприятия, указанного в пункте 1 настоящих Правил (далее - уполномоченный орган);

в) выписка из закона о бюджете субъекта Российской Федерации на текущий финансовый год и плановый период (сводной бюджетной росписи бюджета субъекта Российской Федерации), подтверждающая наличие в бюджете субъекта Российской Федерации бюджетных ассигнований на исполнение расходных обязательств субъекта Российской Федерации, в целях софинансирования которых предоставляется субсидия.

В случае отсутствия в бюджете субъекта Российской Федерации на текущий финансовый год и плановый период (сводной бюджетной росписи бюджета субъекта Российской Федерации) бюджетных ассигнований на исполнение расходных обязательств субъекта Российской Федерации, в целях софинансирования которых предоставляется субсидия, субъект Российской Федерации включает в заявку обязательство по обеспечению внесения соответствующих изменений в закон о бюджете субъекта Российской Федерации на текущий финансовый год и плановый период (сводную бюджетную роспись бюджета субъекта Российской Федерации).

14. Документы, указанные в пункте 13 настоящих Правил, заполняются уполномоченным органом в бумажном виде.

15. Документы, указанные в пункте 13 настоящих Правил, представляются субъектами Российской Федерации в сроки, указанные Министерством экономического развития Российской Федерации в извещении о приеме документов субъектов Российской Федерации для предоставления субсидии, направленном субъектам Российской Федерации на официальный адрес электронной почты высших исполнительных органов субъектов Российской Федерации.

16. В случае включения субъектом Российской Федерации в заявку обязательства, предусмотренного подпунктом "в" пункта 13 настоящих Правил, субъект Российской Федерации представляет в Министерство экономического развития Российской Федерации выписку из закона о бюджете субъекта Российской Федерации на текущий финансовый год и плановый период (сводной бюджетной росписи бюджета субъекта Российской Федерации), подтверждающую наличие в бюджете субъекта Российской Федерации бюджетных ассигнований на исполнение расходных обязательств субъекта Российской Федерации, в целях софинансирования которых предоставляется субсидия, не позднее 15 рабочих дней со дня принятия закона о бюджете субъекта Российской Федерации на текущий финансовый год и плановый период или закона о внесении соответствующих изменений в него (утверждения сводной бюджетной росписи бюджета субъекта Российской Федерации или внесения соответствующих изменений в нее) соответственно.

17. Предоставление субсидии осуществляется на основании соглашения, заключаемого в государственной интегрированной информационной системе управления общественными финансами "Электронный бюджет" в соответствии с типовой формой соглашения, утверждаемой Министерством финансов Российской Федерации.

18. Перечисление субсидий осуществляется в установленном порядке на единые счета бюджетов, открытые финансовым органам субъектов Российской Федерации в территориальных органах Федерального казначейства.

19. Порядок и условия возврата средств из бюджета субъекта Российской Федерации в федеральный бюджет в случае невыполнения условий соглашения, в том числе нарушения субъектом Российской Федерации обязательств по достижению значения результатов использования субсидии, предусмотренного соглашением, а также основания для освобождения субъекта Российской Федерации от применения мер финансовой ответственности определяются в соответствии с пунктами 16 - 20 Правил формирования, предоставления и распределения субсидий.

20. В случае нарушения субъектом Российской Федерации целей, установленных при предоставлении субсидии, применяются бюджетные меры принуждения, предусмотренные бюджетным законодательством Российской Федерации.

21. Уполномоченные высшим исполнительным органом субъекта Российской Федерации исполнительные органы субъекта Российской Федерации размещают в сроки, установленные соглашением, в государственной интегрированной информационной системе управления общественными финансами "Электронный бюджет" отчет о расходах, в целях софинансирования которых предоставляется субсидия, а также отчет о достижении значений результатов использования субсидии.

Отчеты, предусмотренные соглашением, составляются нарастающим итогом по состоянию на 1-е число месяца, следующего за отчетным кварталом, и представляются до 10-го числа месяца, следующего за отчетным кварталом, в случае осуществления кассового расхода бюджета субъекта Российской Федерации, софинансируемого из федерального бюджета, при этом отчеты за IV квартал представляются до 20 января года, следующего за годом предоставления субсидии, независимо от факта осуществления кассового расхода бюджета субъекта Российской Федерации, софинансируемого из федерального бюджета, отчеты о достижении значений результатов использования субсидии представляются в порядке и сроки, которые установлены соглашением.

22. Министерство экономического развития Российской Федерации в порядке, предусмотренном соглашением, осуществляет контроль за выполнением субъектами Российской Федерации обязательств по достижению результатов использования субсидий в отчетном году на основании отчетов, представленных субъектами Российской Федерации.

23. Контроль за соблюдением субъектами Российской Федерации условий предоставления субсидий осуществляется Министерством экономического развития Российской Федерации и уполномоченными органами государственного финансового контроля.

24. Оценка эффективности использования субсидии в рамках мероприятия, указанного в пункте 1 настоящих Правил, осуществляется Министерством экономического развития Российской Федерации путем сравнения фактически достигнутого субъектом Российской Федерации значения результата использования субсидии - количества субъектов малого и среднего предпринимательства, осуществляющих социально значимые виды деятельности, которым предоставлена поддержка, и значения указанного результата, установленного соглашением.

25. Субъекты Российской Федерации несут ответственность за достоверность представляемых в рамках настоящих Правил информации и документов.

26. Министерство экономического развития Российской Федерации вправе запрашивать у субъектов Российской Федерации необходимые документы и материалы в целях осуществления контроля за соблюдением субъектами Российской Федерации условий предоставления субсидии и других обязательств, предусмотренных соглашением, в том числе данные бухгалтерского учета и первичную документацию, связанные с реализацией субъектами Российской Федерации мероприятия, указанного в пункте 1 настоящих Правил.

Приложение N 1
к Правилам предоставления
и распределения в 2024 году субсидий
из федерального бюджета, источником
финансового обеспечения которых являются
бюджетные ассигнования резервного фонда
Правительства Российской Федерации,
бюджетам Донецкой Народной Республики,
Луганской Народной Республики,
Запорожской области и Херсонской области
в целях софинансирования расходных
обязательств указанных субъектов
Российской Федерации, возникающих
при реализации мероприятий, направленных
на поддержку субъектов малого и среднего
предпринимательства, осуществляющих
социально значимые виды деятельности

ПЕРЕЧЕНЬ СОЦИАЛЬНО ЗНАЧИМЫХ ВИДОВ ДЕЯТЕЛЬНОСТИ

(в ред. Постановления Правительства РФ от 13.06.2024 N 800)

Сфера деятельности, наименование вида экономической деятельностиКод ОКВЭД 2
Производство изделий народных художественных промыслов32.99.8
Деятельность по предоставлению мест для краткосрочного проживания55.20
Издание книг, периодических публикаций и другие виды издательской деятельности58.1
Деятельность в области демонстрации кинофильмов59.14
Издание музыкальных и нотных тетрадей, в том числе для слепых59.20.3
Образование общее85.1
Образование профессиональное85.2
Обучение профессиональное85.3
Образование дополнительное85.4
Деятельность больничных организаций86.10
Медицинская и стоматологическая практика86.2
Деятельность в области медицины прочая86.90
Деятельность по медицинскому уходу с обеспечением проживания87.1
Деятельность по оказанию помощи на дому для лиц с ограниченными возможностями развития, душевнобольным и наркозависимым87.2
Деятельность по уходу с обеспечением проживания прочая87.90
Предоставление прочих социальных услуг без обеспечения проживания88.9
Деятельность учреждений клубного типа, клубов, дворцов и домов культуры, домов народного творчества90.04.3
Деятельность библиотек, архивов, музеев и прочих объектов культуры91
Деятельность спортивных объектов93.11
Деятельность спортивных клубов93.12
Деятельность фитнес-центров93.13
Деятельность в области спорта прочая93.19
Деятельность прочих общественных организаций и некоммерческих организаций, кроме религиозных и политических организаций94.99

Приложение N 2
к Правилам предоставления
и распределения в 2024 году субсидий
из федерального бюджета, источником
финансового обеспечения которых являются
бюджетные ассигнования резервного фонда
Правительства Российской Федерации,
бюджетам Донецкой Народной Республики,
Луганской Народной Республики,
Запорожской области и Херсонской области
в целях софинансирования расходных
обязательств указанных субъектов
Российской Федерации, возникающих
при реализации мероприятий, направленных
на поддержку субъектов малого и среднего
предпринимательства, осуществляющих
социально значимые виды деятельности

(форма)

Министерство экономического
развития Российской Федерации

ЗАЯВКА

(наименование субъекта Российской Федерации)

НА ПРЕДОСТАВЛЕНИЕ В 2024 ГОДУ СУБСИДИИ ИЗ ФЕДЕРАЛЬНОГО БЮДЖЕТА, ИСТОЧНИКОМ ФИНАНСОВОГО ОБЕСПЕЧЕНИЯ КОТОРОЙ ЯВЛЯЮТСЯ БЮДЖЕТНЫЕ АССИГНОВАНИЯ РЕЗЕРВНОГО ФОНДА ПРАВИТЕЛЬСТВА РОССИЙСКОЙ ФЕДЕРАЦИИ, БЮДЖЕТАМ ДОНЕЦКОЙ НАРОДНОЙ РЕСПУБЛИКИ, ЛУГАНСКОЙ НАРОДНОЙ РЕСПУБЛИКИ, ЗАПОРОЖСКОЙ ОБЛАСТИ И ХЕРСОНСКОЙ ОБЛАСТИ В ЦЕЛЯХ СОФИНАНСИРОВАНИЯ РАСХОДНЫХ ОБЯЗАТЕЛЬСТВ УКАЗАННЫХ СУБЪЕКТОВ РОССИЙСКОЙ ФЕДЕРАЦИИ, ВОЗНИКАЮЩИХ ПРИ РЕАЛИЗАЦИИ МЕРОПРИЯТИЙ, НАПРАВЛЕННЫХ НА ПОДДЕРЖКУ СУБЪЕКТОВ МАЛОГО И СРЕДНЕГО ПРЕДПРИНИМАТЕЛЬСТВА, ОСУЩЕСТВЛЯЮЩИХ СОЦИАЛЬНО ЗНАЧИМЫЕ ВИДЫ ДЕЯТЕЛЬНОСТИ

(в ред. Постановления Правительства РФ от 13.06.2024 N 800)

В соответствии с Правилами предоставления и распределения в 2024 году субсидий из федерального бюджета, источником финансового обеспечения которых являются бюджетные ассигнования резервного фонда Правительства Российской Федерации, бюджетам Донецкой Народной Республики, Луганской Народной Республики, Запорожской области и Херсонской области в целях софинансирования расходных обязательств указанных субъектов Российской Федерации, возникающих при реализации мероприятий, направленных на поддержку субъектов малого и среднего предпринимательства, осуществляющих социально значимые виды деятельности, приведенными в приложении N 47 к государственной программе Российской Федерации "Экономическое развитие и инновационная экономика", утвержденной постановлением Правительства Российской Федерации от 15 апреля 2014 г. N 316 "Об утверждении государственной программы Российской Федерации "Экономическое развитие и инновационная экономика", выражаю согласие с условиями предоставления субсидии в отношении мероприятия

                             
(указывается мероприятие в соответствии с пунктом 1 указанных Правил)
и в объеме                          .
  (предполагаемая сумма субсидии на реализацию мероприятия (млн. рублей) 
Обязуюсь также обеспечить внесение соответствующих изменений в бюджет субъекта Российской Федерации на ______ год и плановый период         
                           <*>.
(указываются реквизиты и наименование нормативного акта)  

    
(должность высшего должностного лица субъекта Российской Федерации) (подпись) (ф.и.о. (последнее - при наличии)
МП    

<*> Абзац включается субъектом Российской Федерации в заявку в случае отсутствия в бюджете субъекта Российской Федерации на текущий финансовый год и плановый период (сводной бюджетной росписи бюджета субъекта Российской Федерации) бюджетных ассигнований на исполнение расходных обязательств субъекта Российской Федерации, в целях софинансирования которых предоставляется субсидия.

Приложение N 48
к государственной программе
Российской Федерации "Экономическое
развитие и инновационная экономика"

ПРАВИЛА ПРЕДОСТАВЛЕНИЯ И РАСПРЕДЕЛЕНИЯ СУБСИДИЙ ИЗ ФЕДЕРАЛЬНОГО БЮДЖЕТА БЮДЖЕТАМ СУБЪЕКТОВ РОССИЙСКОЙ ФЕДЕРАЦИИ НА ГОСУДАРСТВЕННУЮ ПОДДЕРЖКУ МАЛОГО И СРЕДНЕГО ПРЕДПРИНИМАТЕЛЬСТВА В СУБЪЕКТАХ РОССИЙСКОЙ ФЕДЕРАЦИИ

(в ред. Постановлений Правительства РФ от 05.12.2024 N 1724, от 30.04.2025 N 587)

1. Настоящие Правила устанавливают цели, условия и порядок предоставления и распределения начиная с 2025 года субсидий из федерального бюджета бюджетам субъектов Российской Федерации на государственную поддержку малого и среднего предпринимательства в субъектах Российской Федерации в рамках государственной программы Российской Федерации "Экономическое развитие и инновационная экономика" (далее - субсидия).

2. Субсидии предоставляются в целях софинансирования расходных обязательств субъектов Российской Федерации, возникающих при реализации региональных проектов, обеспечивающих достижение целей, показателей и результатов федерального проекта "Малое и среднее предпринимательство и поддержка индивидуальной предпринимательской инициативы", входящего в состав национального проекта "Эффективная и конкурентная экономика" (далее соответственно - национальный проект, федеральный проект, региональный проект), предусматривающих оказание поддержки субъектам малого и среднего предпринимательства.

3. Субсидии предоставляются в целях софинансирования расходных обязательств субъектов Российской Федерации, возникающих при реализации региональных проектов в рамках федерального проекта, включающего мероприятия, по результатам реализации которых:

а) субъектам малого и среднего предпринимательства обеспечен льготный доступ к производственным площадям и помещениям индустриальных (промышленных) парков, агропромышленных парков, бизнес-парков, технопарков, промышленных технопарков в целях создания и (или) развития производственных и инновационных компаний;

б) субъектам малого и среднего предпринимательства и гражданам, желающим вести бизнес, обеспечено оказание услуг и мер поддержки организациями инфраструктуры поддержки малого и среднего предпринимательства.

4. Понятия, используемые в настоящих Правилах, означают следующее:

"бизнес-парк" - совокупность объектов межотраслевой инфраструктуры, включающая в себя объекты недвижимого имущества, в том числе земельные участки, административные, производственные, складские и иные помещения и объекты технической, технологической, транспортной и коммунальной инфраструктуры, а также центры коллективного пользования оборудованием, обеспечивающие деятельность бизнес-парка, предназначенные для стимулирования (развития) производственной и инновационной деятельности и предоставления условий для работы его резидентов - субъектов малого и среднего предпринимательства и управляемые управляющей компанией - коммерческой организацией, созданной в соответствии с законодательством Российской Федерации; (в ред. Постановления Правительства РФ от 30.04.2025 N 587)

"резидент (потенциальный резидент)" - юридическое лицо или индивидуальный предприниматель, заключившие (планирующие заключить) с управляющей компанией - коммерческой организацией, созданной в соответствии с законодательством Российской Федерации, или организацией, привлеченной управляющей компанией - коммерческой организацией, созданной в соответствии с законодательством Российской Федерации, на договорной основе, договор аренды (соглашение о намерениях или предварительный договор аренды и (или) купли-продажи) объектов инфраструктуры и (или) их частей, расположенных на территории индустриальных (промышленных) парков, агропромышленных парков, бизнес-парков, технопарков, промышленных технопарков, и (или) договор аренды и (или) договор купли-продажи (соглашение о намерениях или предварительный договор аренды и (или) договор купли-продажи) земельных участков и (или) их частей, входящих в состав территории индустриального (промышленного) парка, агропромышленного парка, бизнес-парка, технопарка или промышленного технопарка, и не состоящие с управляющей компанией - коммерческой организацией, созданной в соответствии с законодательством Российской Федерации, или с иными резидентами (потенциальными резидентами) в одной группе лиц, определенной в соответствии с Федеральным законом "О защите конкуренции"; (в ред. Постановления Правительства РФ от 30.04.2025 N 587)

"технопарк" - совокупность объектов технологической инфраструктуры, включающая в себя объекты недвижимого имущества, в том числе земельные участки, офисные здания, лабораторные и производственные помещения, объекты инженерной, транспортной инфраструктуры, созданные для осуществления деятельности субъектов малого и среднего предпринимательства в сфере высоких технологий, инновационной деятельности, креативных индустрий, научно-технического и производственного предпринимательства, и управляемые управляющей компанией коммерческой организацией, созданной в соответствии с законодательством Российской Федерации; (в ред. Постановления Правительства РФ от 30.04.2025 N 587)

"требования к реализации мероприятий, направленных на достижение целей, показателей и результатов региональных проектов" - требования, установленные Министерством экономического развития Российской Федерации для реализации субъектами Российской Федерации мероприятий региональных проектов, предусматривающие основные направления расходов при реализации мероприятий, ключевые показатели эффективности реализации мероприятий, в том числе требования к организациям, образующим инфраструктуру поддержки субъектов малого и среднего предпринимательства.

В настоящих Правилах понятия "индустриальный (промышленный) парк", "промышленный технопарк" используются в значениях, определенных Федеральным законом "О промышленной политике в Российской Федерации", понятие "агропромышленный парк" используется в значении, определенном в требованиях к индустриальным (промышленным) паркам и управляющим компаниям индустриальных (промышленных) парков в целях применения к ним мер стимулирования деятельности в сфере промышленности, утвержденных постановлением Правительства Российской Федерации от 4 августа 2015 г. N 794 "Об индустриальных (промышленных) парках и управляющих компаниях индустриальных (промышленных) парков".

В рамках настоящих Правил индустриальный (промышленный) парк, агропромышленный парк, бизнес-парк, технопарк, промышленный технопарк создаются для обеспечения достижения результата, указанного в подпункте "а" пункта 3 настоящих Правил.

5. Предоставление субсидий осуществляется в пределах лимитов бюджетных обязательств, доведенных в установленном порядке до Министерства экономического развития Российской Федерации как получателя средств федерального бюджета на предоставление субсидий на цели, указанные в пунктах 1 и 2 настоящих Правил.

6. Министерство экономического развития Российской Федерации:

а) вносит на рассмотрение в проектный комитет по национальному проекту "Эффективная и конкурентная экономика" (далее - проектный комитет) или в случаях, установленных законодательством Российской Федерации, куратору национального проекта предложения о согласовании изменения размеров субсидий, в том числе в части проектов по созданию и (или) развитию индустриального (промышленного) парка, агропромышленного парка, бизнес-парка, технопарка или промышленного технопарка (далее - проект по созданию и (или) развитию парка), сформированные на основании заявок субъектов Российской Федерации на получение субсидии по форме согласно приложению (далее - заявка);

б) определяет:

перечень и формы документов, а также сроки и порядок представления документов субъектами Российской Федерации в Министерство экономического развития Российской Федерации для рассмотрения (согласования) мероприятий;

формы, сроки и порядок представления в Министерство экономического развития Российской Федерации субъектами Российской Федерации документов, предусматривающих направления расходов (сметы), ключевые показатели эффективности реализации мероприятий и их фактическое исполнение;

формы графика выполнения мероприятия по созданию и (или) развитию индустриального (промышленного) парка, агропромышленного парка, бизнес-парка, технопарка или промышленного технопарка и отчета об исполнении графика выполнения мероприятия по созданию и (или) развитию индустриального (промышленного) парка, агропромышленного парка, бизнес-парка, технопарка или промышленного технопарка;

в) осуществляет экспертизу комплектов документов, представляемых субъектами Российской Федерации, при этом может привлекать к работе экспертов из числа представителей федеральных органов исполнительной власти, независимых представителей общественных, деловых объединений и иных организаций (далее - экспертная группа);

г) формирует экспертную группу, утверждает ее состав и определяет порядок ее работы.

7. Субсидии из федерального бюджета предоставляются при соблюдении субъектом Российской Федерации условий, предусмотренных в абзацах втором - четвертом пункта 8 Правил формирования, предоставления и распределения субсидий из федерального бюджета бюджетам субъектов Российской Федерации, утвержденных постановлением Правительства Российской Федерации от 30 сентября 2014 г. N 999 "О формировании, предоставлении и распределении субсидий из федерального бюджета бюджетам субъектов Российской Федерации" (далее - Правила формирования, предоставления и распределения субсидий). (в ред. Постановления Правительства РФ от 30.04.2025 N 587)

8. Критериями отбора субъектов Российской Федерации для предоставления субсидии являются соответствие мероприятий, указанных в заявке, мероприятиям, указанным в пункте 3 настоящих Правил, а также наличие юридического лица, наделенного функциями единого органа управления организациями, образующими инфраструктуру поддержки субъектов малого и среднего предпринимательства, созданного в соответствии с требованиями, установленными Министерством экономического развития Российской Федерации.

9. Расчетный размер субсидии, предоставляемой бюджету i-го субъекта Российской Федерации в очередном финансовом году (), определяется по формуле:

,

где:

- расчетный размер субсидии, предоставляемой бюджету i-го субъекта Российской Федерации в очередном финансовом году в целях софинансирования расходных обязательств субъекта Российской Федерации, возникающих при реализации мероприятия, указанного в подпункте "а" пункта 3 настоящих Правил;

- расчетный размер субсидии, предоставляемой бюджету i-го субъекта Российской Федерации в очередном финансовом году в целях софинансирования расходных обязательств субъекта Российской Федерации, возникающих при реализации мероприятия, указанного в подпункте "б" пункта 3 настоящих Правил.

10. В рамках реализации мероприятия, указанного в подпункте "а" пункта 3 настоящих Правил, субсидии предоставляются в целях софинансирования расходных обязательств субъектов Российской Федерации, возникающих при реализации проектов по созданию и (или) развитию парков управляющими компаниями - коммерческим организациями, созданными в соответствии с законодательством Российской Федерации (далее - управляющая компания), в состав учредителей (участников), и (или) акционеров, и (или) держателей долей которых не входят Российская Федерация, субъект Российской Федерации и (или) муниципальное образование.

11. Субъекты Российской Федерации делятся на группы в зависимости от уровня расчетной бюджетной обеспеченности субъектов Российской Федерации до распределения дотаций, рассчитываемой Министерством финансов Российской Федерации в соответствии с методикой распределения дотаций на выравнивание бюджетной обеспеченности субъектов Российской Федерации, утвержденной постановлением Правительства Российской Федерации от 22 ноября 2004 г. N 670 "О распределении дотаций на выравнивание бюджетной обеспеченности субъектов Российской Федерации" (далее - уровень расчетной бюджетной обеспеченности):

к группе 1 относятся субъекты Российской Федерации, имеющие уровень расчетной бюджетной обеспеченности менее 0,55 в году, предшествующем году предоставления субсидии, по данным Министерства финансов Российской Федерации, и субъекты Российской Федерации, входящие в состав Дальневосточного федерального округа;

к группе 2 относятся субъекты Российской Федерации, имеющие уровень расчетной бюджетной обеспеченности не менее 0,55, но менее 0,9 в году, предшествующем году предоставления субсидии, по данным Министерства финансов Российской Федерации;

к группе 3 относятся субъекты Российской Федерации, имеющие уровень расчетной бюджетной обеспеченности не менее 0,9, но менее 1,2 в году, предшествующем году предоставления субсидии, по данным Министерства финансов Российской Федерации;

к группе 4 относятся субъекты Российской Федерации, имеющие уровень расчетной бюджетной обеспеченности не менее 1,2 в году, предшествующем году предоставления субсидии, по данным Министерства финансов Российской Федерации.

12. Субъект Российской Федерации может представить в Министерство экономического развития Российской Федерации в составе заявки несколько проектов по созданию и (или) развитию парков, реализация которых за счет средств субсидии рассчитана на срок, не превышающий 2 лет. Для субъектов Российской Федерации, входящих в состав Дальневосточного федерального округа, а также территорий субъектов Российской Федерации, входящих в Арктическую зону Российской Федерации, срок реализации проектов по созданию и (или) развитию парков за счет средств субсидии может быть увеличен до 3 лет включительно. (в ред. Постановления Правительства РФ от 30.04.2025 N 587)

13. Для предоставления субсидии субъектам Российской Федерации, относящимся к группам 1 и 2, определенным в соответствии с пунктом 11 настоящих Правил, Министерством экономического развития Российской Федерации для каждого субъекта Российской Федерации может быть отобрано не более 3 проектов по созданию и (или) развитию парков на год предоставления субсидии и не более 5 проектов по созданию и (или) развитию парков за весь период реализации федерального проекта.

14. Размер бюджетных ассигнований, предусмотренных для предоставления субсидии субъектам Российской Федерации, относящимся к группе 4, определенной в соответствии с пунктом 11 настоящих Правил, на финансирование проектов по созданию и (или) развитию парков , которые введены в эксплуатацию с 2025 года, на год предоставления субсидии должен составлять не менее 15 процентов и не более 20 процентов общего размера бюджетных ассигнований, предусмотренных на предоставление субсидии бюджетам субъектов Российской Федерации в целях софинансирования расходных обязательств субъекта Российской Федерации, возникающих при реализации мероприятия, указанного в подпункте "а" пункта 3 настоящих Правил. (в ред. Постановления Правительства РФ от 30.04.2025 N 587)

15. Предметом отбора проектов по созданию и (или) развитию парков является определение наиболее качественных и экономически обоснованных проектов по созданию и (или) развитию парков, прошедших предварительную оценку субъектом Российской Федерации на соответствие проекта по созданию и (или) развитию парка критериям оценки, предусмотренным пунктами 16 и 17 настоящих Правил.

16. Критериями оценки проекта по созданию и (или) развитию парка для субъекта Российской Федерации, относящегося к группе 1, 2 или 3, определенной в соответствии с пунктом 11 настоящих Правил, являются:

а) полнота и качество представленной обосновывающей документации, в том числе предпроектной документации и проектной документации;

б) количество действующих на территории субъекта Российской Федерации индустриальных (промышленных) парков, агропромышленных парков, бизнес-парков, технопарков, промышленных технопарков (по данным государственной информационной системы промышленности), за исключением включенного в заявку индустриального (промышленного) парка, агропромышленного парка, бизнес-парка, технопарка или промышленного технопарка;

в) доля подтвержденного внебюджетного (частного) софинансирования проекта по созданию и (или) развитию парка - не менее 30 процентов его общей стоимости;

г) количество резидентов (потенциальных резидентов), размещенных (планирующихся к размещению) на 10-й год со дня ввода индустриального (промышленного) парка, агропромышленного парка, бизнес-парка, технопарка или промышленного технопарка в эксплуатацию, - не менее 12 единиц;

д) технологическое присоединение (подключение) индустриального (промышленного) парка, агропромышленного парка, бизнес-парка, технопарка или промышленного технопарка к объектам электро-, газо-, тепло-, водоснабжения, водоотведения и линиям связи;

е) доступность транспортной инфраструктуры (технологического комплекса, обеспечивающего функционирование объектов транспортной сети или путей сообщения (дорог, железнодорожных путей, воздушных коридоров, водных путей, мостов, тоннелей, автомобильных остановок, железнодорожных станций, аэропортов, портов);

ж) наличие документально подтвержденного взаимодействия резидентов (потенциальных резидентов) индустриального (промышленного) парка, агропромышленного парка, бизнес-парка, технопарка или промышленного технопарка между собой;

з) значение соотношения размера привлекаемых внебюджетных инвестиций резидентов (потенциальных резидентов) и управляющей компании, в случае если она является субъектом малого и среднего предпринимательства, к размеру средств федерального бюджета и бюджета субъекта Российской Федерации, планируемых на реализацию проекта по созданию и (или) развитию парка;

и) размещение индустриального (промышленного) парка, агропромышленного парка, бизнес-парка, технопарка или промышленного технопарка на территории особой экономической зоны, и (или) территории инновационного научно-технологического центра, и (или) территории креативного кластера, и (или) территориях Донецкой Народной Республики, Луганской Народной Республики, Запорожской области и Херсонской области.

17. Критериями оценки проекта по созданию и (или) развитию парка для субъекта Российской Федерации, относящегося к группе 4, определенной в соответствии с пунктом 11 настоящих Правил, являются:

а) доля подтвержденного внебюджетного (частного) софинансирования проекта по созданию и (или) развитию парка - не менее 30 процентов его общей стоимости;

б) количество резидентов (потенциальных резидентов), размещенных (планирующихся к размещению) на 10-й год со дня ввода индустриального (промышленного) парка, агропромышленного парка, бизнес-парка, технопарка или промышленного технопарка в эксплуатацию, - от 12 единиц, не менее 80 процентов которых являются субъектами малого и среднего предпринимательства.

18. Расчетный размер субсидии, предоставляемой бюджету i-го субъекта Российской Федерации в целях софинансирования расходных обязательств субъекта Российской Федерации, возникающих при реализации мероприятия, указанного в подпункте "а" пункта 3 настоящих Правил (), определяется по формуле:

,

где:

- общий размер бюджетных ассигнований, предусмотренных в федеральном бюджете на предоставление субсидии в очередном финансовом году в целях софинансирования расходных обязательств субъектов Российской Федерации, возникающих при реализации мероприятия, указанного в подпункте "а" пункта 3 настоящих Правил;

g - количество проектов по созданию и (или) развитию парков i-го субъекта Российской Федерации, в отношении которых принято решение о предоставлении субсидии в очередном финансовом году;

j - проект по созданию и (или) развитию парка i-го субъекта Российской Федерации;

- размер субсидии, предоставляемой бюджету i-го субъекта Российской Федерации в очередном финансовом году на реализацию j-го проекта по созданию и (или) развитию парка, отобранного в соответствии с настоящими Правилами.

19. Размер субсидии, предоставляемой бюджету i-го субъекта Российской Федерации в очередном финансовом году на реализацию j-го проекта по созданию и (или) развитию парка, отобранного в соответствии с настоящими Правилами (), определяется по формуле:

,

где:

- количественная оценка затрат средств федерального бюджета и бюджета i-го субъекта Российской Федерации на реализацию j-го проекта по созданию и (или) развитию парка. При этом количественная оценка затрат средств федерального бюджета и бюджета i-го субъекта Российской Федерации на реализацию j-го проекта по созданию и (или) развитию парка на плановый период осуществляется на основании предварительных заявок и актуализируется при формировании проекта федерального закона о федеральном бюджете на очередной финансовый год и плановый период по итогам конкурсного отбора проектов по созданию и (или) развитию парков;

- предельный уровень софинансирования расходных обязательств i-го субъекта Российской Федерации, установленный в соответствии с положениями Правил формирования, предоставления и распределения субсидий с учетом пункта 38 настоящих Правил. При этом расчетный размер субсидии, предоставляемой бюджету i-го субъекта Российской Федерации в целях софинансирования расходных обязательств субъекта Российской Федерации, возникающих при реализации мероприятия, указанного в подпункте "а" пункта 3 настоящих Правил (), не может превышать сумму субсидии на реализацию такого мероприятия, указанную субъектом Российской Федерации в заявке.

20. Оценка проектов по созданию и (или) развитию парков субъектов Российской Федерации, относящихся к группам 1, 2 и 3, определенным в соответствии с пунктом 11 настоящих Правил, осуществляется экспертной группой по балльной системе в соответствии с критериями, указанными в пункте 16 настоящих Правил.

21. Итоговый балл по j-му проекту по созданию и (или) развитию парка () определяется по формуле:

,

где:

- показатель, характеризующий оценку j-го проекта по созданию и (или) развитию парка по критерию, предусмотренному подпунктом "а" пункта 16 настоящих Правил;

- показатель, характеризующий оценку j-го проекта по созданию и (или) развитию парка по критерию, предусмотренному подпунктом "б" пункта 16 настоящих Правил, равный:

1, - при наличии на территории i-го субъекта Российской Федерации не более 5 действующих индустриальных (промышленных) парков, агропромышленных парков, бизнес-парков, технопарков или промышленных технопарков;

0, - при наличии на территории i-го субъекта Российской Федерации более 5 действующих индустриальных (промышленных) парков, агропромышленных парков, бизнес-парков, технопарков или промышленных технопарков;

- показатель, характеризующий оценку j-го проекта по созданию и (или) развитию парка по критерию, предусмотренному подпунктом "в" пункта 16 настоящих Правил, равный:

1, - при уровне внебюджетного (частного) софинансирования j-го проекта по созданию и (или) развитию парка более 40 процентов;

0,5, - при уровне внебюджетного (частного) софинансирования j-го проекта по созданию и (или) развитию парка от 30 до 40 процентов включительно;

- показатель, характеризующий оценку j-го проекта по созданию и (или) развитию парка по критерию, предусмотренному подпунктом "д" пункта 16 настоящих Правил, равный:

1, - при наличии у индустриального (промышленного) парка, агропромышленного парка, бизнес-парка, технопарка или промышленного технопарка не менее одного технологического присоединения (подключения) к объектам электро-, газо-, тепло-, водоснабжения и водоотведения, линиям связи;

0, - при отсутствии у индустриального (промышленного) парка, агропромышленного парка, бизнес-парка, технопарка или промышленного технопарка готового технологического присоединения (подключения) ко всем объектам электро-, газо-, тепло-, водоснабжения и водоотведения, линиям связи;

- показатель, характеризующий оценку j-го проекта по созданию и (или) развитию парка по критерию, предусмотренному подпунктом "г" пункта 16 настоящих Правил, равный:

1, - при количестве резидентов (потенциальных резидентов), размещенных (планируемых к размещению) в индустриальном (промышленном) парке, агропромышленном парке, бизнес-парке, технопарке или промышленном технопарке, более 20;

0,5, - при количестве резидентов (потенциальных резидентов), размещенных (планируемых к размещению) в индустриальном (промышленном) парке, агропромышленном парке, бизнес-парке, технопарке или промышленном технопарке, от 12 до 20;

- показатель, характеризующий оценку j-го проекта по созданию и (или) развитию парка по критерию, предусмотренному подпунктом "е" пункта 16 настоящих Правил, равный:

1, - в случае если территория индустриального (промышленного) парка, агропромышленного парка, бизнес-парка, технопарка или промышленного технопарка обеспечена доступом не менее чем к одному объекту транспортной инфраструктуры;

0, - в случае если территория индустриального (промышленного) парка, агропромышленного парка, бизнес-парка, технопарка или промышленного технопарка не обеспечена доступом к транспортной инфраструктуре;

- показатель, характеризирующий оценку j-го проекта по созданию и (или) развитию парка по критерию, предусмотренному подпунктом "ж" пункта 16 настоящих Правил, равный:

1, - при наличии документально подтвержденного взаимодействия резидентов (потенциальных резидентов) индустриального (промышленного) парка, агропромышленного парка, бизнес-парка, технопарка или промышленного технопарка между собой;

0, - при отсутствии документально подтвержденного взаимодействия резидентов (потенциальных резидентов) индустриального (промышленного) парка, агропромышленного парка, бизнес-парка, технопарка или промышленного технопарка между собой;

- показатель, характеризирующий оценку j-го проекта по созданию и (или) развитию парка по критерию, предусмотренному подпунктом "з" пункта 16 настоящих Правил, равный:

1, - в случае если значение отношения планируемого размера привлекаемых внебюджетных инвестиций резидентов (потенциальных резидентов) и управляющей компании, в случае если она является субъектом малого и среднего предпринимательства, накопленным итогом в течение 10 лет со дня ввода j-го индустриального (промышленного) парка, агропромышленного парка, бизнес-парка, технопарка или промышленного технопарка в эксплуатацию к размеру средств федерального бюджета и средств бюджета субъекта Российской Федерации, планируемых на реализацию j-го проекта по созданию и (или) развитию парка на день подачи заявки i-го субъекта Российской Федерации, более или равно медианному значению, рассчитанному по всем проектам по созданию и (или) развитию парков;

0, - в случае если значение отношения планируемого размера привлекаемых внебюджетных инвестиций резидентов (потенциальных резидентов) и управляющей компании, в случае если она является субъектом малого и среднего предпринимательства, в течение 10 лет со дня ввода индустриального (промышленного) парка, агропромышленного парка, бизнес-парка, технопарка или промышленного технопарка в эксплуатацию к планируемому размеру средств федерального бюджета и средств бюджета субъекта Российской Федерации, направленных на реализацию j-го проекта по созданию и (или) развитию парка, на день подачи заявки i-го субъекта Российской Федерации, менее медианного значения, рассчитанного по всем проектам по созданию и (или) развитию парков;

- показатель, характеризующий оценку j-го проекта по созданию и (или) развитию парка по критерию, предусмотренному подпунктом "и" пункта 16 настоящих Правил, равный:

1, - в случае если j-й проект по созданию и (или) развитию парка предусматривает размещение индустриального (промышленного) парка, агропромышленного парка, бизнес-парка, технопарка или промышленного технопарка на территории особой экономической зоны, и (или) территории инновационного научно-технологического центра, и (или) территории креативного кластера, и (или) территориях Донецкой Народной Республики, Луганской Народной Республики, Запорожской области и Херсонской области;

0, - в случае если j-й проект по созданию и (или) развитию парка не предусматривает размещения индустриального (промышленного) парка, агропромышленного парка, бизнес-парка, технопарка или промышленного технопарка на территории особой экономической зоны, и (или) территории инновационного научно-технологического центра, и (или) территории креативного кластера, и (или) территориях Донецкой Народной Республики, Луганской Народной Республики, Запорожской области и Херсонской области.

22. Показатель, характеризующий оценку j-го проекта по созданию и (или) развитию парка по критерию, предусмотренному подпунктом "а" пункта 16 настоящих Правил (), определяется по формуле:

,

где:

- экспертная оценка полноты и качества представленной субъектом Российской Федерации обосновывающей документации, в том числе предпроектной документации (пояснительная записка, бизнес-план, мастер-план, финансовый план), и проектной документации j-го проекта по созданию и (или) развитию парка, которая может принимать значения от 0,25 до 1 балла с шагом 0,25 балла;

- коэффициент наличия в составе представленной субъектом Российской Федерации обосновывающей документации, в том числе предпроектной документации, и проектной документации j-го проекта по созданию и (или) развитию парка, равный:

0,5, - при отсутствии проектной документации в составе заявки;

1, - при наличии проектной документации в составе заявки.

23. В целях применения настоящих Правил под медианным значением понимается значение показателя, которое делит пополам совокупность показателей проектов по созданию и (или) развитию парков. Половина проектов по созданию и (или) развитию парков имеет значение показателя ниже медианы, другая половина - выше медианы. При этом медианное значение () определяется по формуле:

,

где:

- нижняя граница медианного интервала (первого интервала, накопленная частота которого более или равна половине суммы всех частот);

- величина медианного интервала (первого интервала, накопленная частота которого более или равна половине суммы всех частот);

k - общее количество интервалов вариационного ряда;

- частота i-го интервала;

- сумма накопленных частот в интервале, предшествующем медианному интервалу;

- частота медианного интервала.

24. Наличие у индустриального (промышленного) парка, агропромышленного парка, бизнес-парка, технопарка или промышленного технопарка технологического присоединения (подключения) к объектам электро-, газо-, тепло-, водоснабжения и водоотведения, линиям связи подтверждается представлением следующих документов или их копий, заверенных подписью руководителя исполнительного органа субъекта Российской Федерации, уполномоченного высшим исполнительным органом субъекта Российской Федерации на взаимодействие с Министерством экономического развития Российской Федерации в целях реализации мероприятий, указанных в пункте 3 настоящих Правил (далее - уполномоченный орган субъекта Российской Федерации):

акты об осуществлении технологического присоединения к сетям электроснабжения, и (или) технические условия на техническое присоединение к сетям электроснабжения, и (или) выписки из Единого государственного реестра недвижимости и акты об осуществлении технологического присоединения к сетям электроснабжения, и (или) договоры на осуществление электроснабжения и акты об осуществлении технологического присоединения к сетям электроснабжения, и (или) акты разграничения балансовой принадлежности;

акты об осуществлении технологического присоединения к сетям газоснабжения и (или) теплоснабжения, и (или) технические условия на технологическое присоединение к сетям газоснабжения, и (или) теплоснабжения, и (или) выписки из Единого государственного реестра недвижимости и акты об осуществлении технического присоединения к сетям газоснабжения и (или) теплоснабжения, и (или) договоры на осуществление газоснабжения и (или) теплоснабжения и акты об осуществлении технологического присоединения к сетям газоснабжения и (или) теплоснабжения, и (или) акты разграничения балансовой принадлежности;

акты об осуществлении технологического присоединения к сетям водоснабжения и водоотведения, и (или) технические условия на технологическое присоединение к сетям водоснабжения и водоотведения, и (или) выписки из Единого государственного реестра недвижимости и акты об осуществлении технологического присоединения к сетям водоснабжения и водоотведения, и (или) договоры на осуществление водоснабжения и водоотведения и акты об осуществлении технологического присоединения к сетям водоснабжения и водоотведения, и (или) акты разграничения балансовой принадлежности.

24.1. Обеспеченность территории индустриального (промышленного) парка, агропромышленного парка, бизнес-парка, технопарка или промышленного технопарка доступностью к транспортной инфраструктуре (техническому комплексу, обеспечивающему функционирование объектов транспортной сети или путей сообщения (дорог, железнодорожных путей, воздушных коридоров, водных путей, мостов, тоннелей, автомобильных остановок, железнодорожных станций, аэропортов, портов) подтверждается представлением следующих документов или их копий, заверенных подписью руководителя уполномоченного органа субъекта Российской Федерации: (в ред. Постановления Правительства РФ от 30.04.2025 N 587)

а) схема движения общественного транспорта с указанием ближайшего к территории индустриального (промышленного) парка, агропромышленного парка, бизнес-парка, технопарка или промышленного технопарка остановочного пункта общественного транспорта, и (или) копии договоров купли-продажи и (или) аренды транспортного средства, и (или) копии договоров с организацией (организациями), привлекаемой в целях транспортного обслуживания территории индустриального (промышленного) парка, агропромышленного парка, бизнес-парка, технопарка или промышленного технопарка; (в ред. Постановления Правительства РФ от 30.04.2025 N 587)

б) акт о вводе в эксплуатацию объектов транспортной сети или путей сообщения индустриального (промышленного) парка, агропромышленного парка, бизнес-парка, технопарка или промышленного технопарка в случае, если объекты транспортной сети или путей сообщения принадлежат управляющей компании индустриального (промышленного) парка, агропромышленного парка, бизнес-парка, технопарка или промышленного технопарка; (в ред. Постановления Правительства РФ от 30.04.2025 N 587)

в) письмо за подписью главы или заместителя главы муниципального образования, на территории которого находится индустриальный (промышленный) парк, агропромышленный парк, бизнес-парк, технопарк или промышленный технопарк, подтверждающее наличие проложенных до границы территории индустриального (промышленного) парка, агропромышленного парка, бизнес-парка, технопарка или промышленного технопарка и введенных в эксплуатацию объектов транспортной сети или путей сообщения, примыкающих к дороге федерального, и (или) регионального, и (или) межмуниципального, и (или) местного значения, а также въезда на территорию индустриального (промышленного) парка, агропромышленного парка, бизнес-парка, технопарка или промышленного технопарка с указанными объектами транспортной сети или путей сообщения, в случае если объекты транспортной сети или путей сообщения находятся в федеральной, и (или) региональной, и (или) муниципальной, и (или) частной собственности. (в ред. Постановления Правительства РФ от 30.04.2025 N 587)

25. Оценка проектов по созданию и (или) развитию парков субъектов Российской Федерации, относящихся к группе 4, определенной в соответствии с пунктом 11 настоящих Правил, осуществляется экспертной группой по балльной системе в соответствии с критериями, указанными в пункте 17 настоящих Правил.

26. Итоговый балл по j-му проекту по созданию и (или) развитию парка субъекта Российской Федерации, относящегося к группе 4, определенной в соответствии с пунктом 11 настоящих Правил (), определяется по формуле:

.

27. Министерство экономического развития Российской Федерации с учетом предложений экспертной группы осуществляет ранжирование проектов по созданию и (или) развитию парков субъектов Российской Федерации, относящихся к группам 1, 2 и 3, определенным в соответствии с пунктом 11 настоящих Правил, в порядке убывания суммы баллов.

Ранжирование проектов по созданию и (или) развитию парков субъектов Российской Федерации, относящихся к группе 4, определенной в соответствии с пунктом 11 настоящих Правил, осуществляется отдельно в порядке убывания суммы баллов.

В случае если в перечень отобранных проектов по созданию и (или) развитию парков попадают одновременно 2 проекта по созданию и (или) развитию парков, локализованных в пределах одной производственной площадки (индустриального (промышленного) парка, промышленного технопарка, особой экономической зоны, территории инновационного научно-технологического центра, креативного кластера), приоритет отдается проекту по созданию и (или) развитию парка, набравшему наибольшее количество баллов при оценке качества проекта по созданию и (или) развитию парка, при этом второй проект по созданию и (или) развитию парка такой производственной площадки исключается из перечня.

В случае равенства баллов среди прочих проектов по созданию и (или) развитию парков приоритетными считаются проекты по созданию и (или) развитию парков с более высоким значением отношения размера привлекаемых внебюджетных инвестиций резидентов (потенциальных резидентов) и управляющей компании, в случае если она является субъектом малого и среднего предпринимательства, к размеру средств федерального бюджета и средств бюджета субъекта Российской Федерации, планируемых на реализацию проекта по созданию и (или) развитию парка.

Министерством экономического развития Российской Федерации может быть отобрано для предоставления субсидии субъектам Российской Федерации: (в ред. Постановления Правительства РФ от 30.04.2025 N 587)

относящимся к группе 1, определенной в соответствии с пунктом 11 настоящих Правил, не более 8 проектов по созданию и (или) развитию парков на год предоставления субсидии (в случае предоставления субсидии в течение 2 лет проект учитывается только в первый год предоставления субсидии) и не более 25 проектов по созданию и (или) развитию парков за весь период реализации федерального проекта; (в ред. Постановления Правительства РФ от 30.04.2025 N 587)

относящимся к группам 2 и 3, определенным в соответствии с пунктом 11 настоящих Правил, не более 25 проектов по созданию и (или) развитию парков на год предоставления субсидии и не более 60 проектов по созданию и (или) развитию парков за весь период реализации федерального проекта. (в ред. Постановления Правительства РФ от 30.04.2025 N 587)

Субсидия, предусмотренная пунктом 10 настоящих Правил, не предоставляется субъектам, имеющим неисполненные обязательства и (или) допустившим нарушения исполнения обязательств при реализации проектов по созданию и (или) развитию парков, финансирование которых осуществлялось в рамках национального проекта "Малое и среднее предпринимательство и поддержка индивидуальной предпринимательской инициативы" и федерального проекта в предыдущие годы.

Субсидия, предусмотренная пунктом 10 настоящих Правил, не предоставляется субъектам Российской Федерации, возвратившим в федеральный бюджет средства субсидии, предоставленные бюджету субъекта Российской Федерации в 2019 - 2024 годах в рамках национального проекта "Малое и среднее предпринимательство и поддержка индивидуальной предпринимательской инициативы" на реализацию мероприятия, указанного в абзаце четвертом подпункта "в" пункта 3 Правил предоставления и распределения субсидий из федерального бюджета бюджетам субъектов Российской Федерации, за исключением Донецкой Народной Республики, Луганской Народной Республики, Запорожской области и Херсонской области, на государственную поддержку малого и среднего предпринимательства, а также физических лиц, применяющих специальный налоговый режим "Налог на профессиональный доход", в субъектах Российской Федерации, приведенных в приложении N 35 к государственной программе Российской Федерации "Экономическое развитие и инновационная экономика", утвержденной постановлением Правительства Российской Федерации от 15 апреля 2014 г. N 316 "Об утверждении государственной программы Российской Федерации "Экономическое развитие и инновационная экономика", в течение 2 лет со дня возврата указанных средств субсидии в федеральный бюджет.

Субсидия, предусмотренная пунктом 10 настоящих Правил, не предоставляется субъектам Российской Федерации, возвратившим в федеральный бюджет средства субсидии, предоставленные бюджету субъекта Российской Федерации в рамках реализации мероприятия, указанного в подпункте "а" пункта 3 настоящих Правил, в течение одного года с даты возврата указанных средств субсидии в федеральный бюджет.

Предельный размер субсидии, предоставляемой на реализацию одного проекта по созданию и (или) развитию парка, не может превышать:

500 млн. рублей - при реализации проекта по созданию и (или) развитию парка субъектами Российской Федерации, относящимися к группе 1, определенной в соответствии с пунктом 11 настоящих Правил;

350 млн. рублей - при реализации проекта по созданию и (или) развитию парка субъектами Российской Федерации, относящимися к группе 2, определенной в соответствии с пунктом 11 настоящих Правил;

200 млн. рублей - при реализации проекта по созданию и (или) развитию парка субъектами Российской Федерации, относящимися к группе 3, определенной в соответствии с пунктом 11 настоящих Правил;

50 млн. рублей - при реализации проекта по созданию и (или) развитию парка субъектами Российской Федерации, относящимися к группе 4, определенной в соответствии с пунктом 11 настоящих Правил.

В случае если субъекты Российской Федерации, относящиеся к группе 4, определенной в соответствии с пунктом 11 настоящих Правил, не представили заявок и (или) не прошли отбора проектов по созданию и (или) развитию парков, высвободившиеся бюджетные ассигнования на предоставление субсидии, предусмотренной пунктом 10 настоящих Правил, перераспределяются с учетом предложений экспертной группы между проектами по созданию и (или) развитию парков субъектов Российской Федерации, относящихся к группам 1, 2 и 3, определенным в соответствии с пунктом 11 настоящих Правил.

Субсидия, указанная в пункте 10 настоящих Правил, предоставляется субъекту Российской Федерации на проект по созданию и (или) развитию парка однократно за весь период реализации федерального проекта.

Субсидии, предусмотренные пунктом 10 настоящих Правил, распределяются среди отобранных проектов по созданию и (или) развитию парков в порядке убывания суммы баллов. В случае если образуется остаток менее размера субсидии, рассчитанного для очередного проекта по созданию и (или) развитию парка субъекта Российской Федерации, такой проект по созданию и (или) развитию парка считается последним в перечне проектов, на реализацию которых предоставляется субсидия в очередном финансовом году.

В случае если расчетный размер субсидии, предоставляемой в целях софинансирования расходных обязательств субъектов Российской Федерации, возникающих при реализации отобранных проектов по созданию и (или) развитию парков, менее общего размера субсидии, предусмотренной для распределения по результатам отбора проектов по созданию и (или) развитию парков, соответствующий остаток бюджетных ассигнований на предоставление субсидии на реализацию мероприятия, указанного в подпункте "а" пункта 3 настоящих Правил, распределяется между субъектами Российской Федерации на реализацию мероприятия, указанного в подпункте "б" пункта 3 настоящих Правил.

Высвободившиеся или не востребованные субъектами Российской Федерации бюджетные ассигнования на предоставление субсидии, предусмотренной пунктом 10 настоящих Правил, перераспределяются с учетом предложений экспертной группы между проектами по созданию и (или) развитию парков, соответствующими требованиям и не включенными в перечень отобранных проектов по созданию и (или) развитию парков.

28. Неотъемлемой частью соглашения о предоставлении субсидии из федерального бюджета бюджету субъекта Российской Федерации, заключенного между Министерством экономического развития Российской Федерации и высшим исполнительным органом субъекта Российской Федерации в соответствии с пунктом 10 Правил формирования, предоставления и распределения субсидий (далее - соглашение о предоставлении субсидии), предусматривающего реализацию мероприятия, указанного в подпункте "а" пункта 3 настоящих Правил, является график выполнения мероприятия по созданию и (или) развитию индустриального (промышленного) парка, агропромышленного парка, бизнес-парка, технопарка или промышленного технопарка, составляемый по форме, утвержденной Министерством экономического развития Российской Федерации. (в ред. Постановления Правительства РФ от 30.04.2025 N 587)

При реализации проекта по созданию и (или) развитию парка субъект Российской Федерации представляет в Министерство экономического развития Российской Федерации в срок до 1 апреля года предоставления субсидии утвержденную в соответствии с законодательством Российской Федерации проектную документацию или типовую проектную документацию (при наличии такой документации), а также документы, предусмотренные пунктом 52 настоящих Правил. Кассовое исполнение федерального бюджета по расходам на предоставление субсидии, предусмотренной пунктом 10 настоящих Правил, до представления в Министерство экономического развития Российской Федерации указанных документов не допускается.

Министерство экономического развития Российской Федерации в соответствии с подпунктом "а" пункта 6 настоящих Правил вносит на рассмотрение в проектный комитет или в случаях, установленных законодательством Российской Федерации, куратору национального проекта предложение об обеспечении субъектом Российской Федерации возврата в полном объеме субсидии, предусмотренной пунктом 10 настоящих Правил, в случаях непредставления по состоянию на 1 апреля года предоставления субсидии субъектом Российской Федерации в Министерство экономического развития Российской Федерации документов, предусмотренных абзацем вторым настоящего пункта, и (или) отклонения от графика выполнения мероприятия по созданию и (или) развитию индустриального (промышленного) парка, агропромышленного парка, бизнес-парка, технопарка или промышленного технопарка более чем на 40 процентов по состоянию на 1 июля года, следующего за годом предоставления субсидии или по состоянию на 1 октября второго года, следующего за годом предоставления субсидии.

29. Расчетный размер субсидии, предоставляемой бюджету i-го субъекта Российской Федерации в очередном финансовом году в целях софинансирования расходных обязательств субъекта Российской Федерации, возникающих при реализации мероприятия, указанного в подпункте "б" пункта 3 настоящих Правил (), определяется по формуле:

,

где:

- фиксированный размер субсидии, предоставляемой i-му субъекту Российской Федерации, коэффициент, характеризующий уровень расчетной бюджетной обеспеченности i-го субъекта Российской Федерации в году, предшествующем году предоставления субсидии (), которого равен 1, равный 3 млн. рублей;

- общий размер бюджетных ассигнований, предусмотренных в федеральном бюджете на предоставление субсидии в очередном финансовом году в целях софинансирования расходных обязательств субъекта Российской Федерации, возникающих при реализации мероприятия, указанного в подпункте "б" пункта 3 настоящих Правил;

n - общее количество субъектов Российской Федерации, отобранных для предоставления субсидий;

- предельный уровень софинансирования расходных обязательств субъекта Российской Федерации, установленный с учетом предельного уровня софинансирования, определенного в порядке, предусмотренном пунктом 13 Правил формирования, предоставления и распределения субсидий;

- коэффициент, характеризующий долю субъектов малого и среднего предпринимательства i-го субъекта Российской Федерации в общем количестве субъектов малого и среднего предпринимательства Российской Федерации по состоянию на 10 июля года, предшествующего году предоставления субсидии, по данным Федеральной налоговой службы;

- коэффициент, характеризующий уровень расчетной бюджетной обеспеченности i-го субъекта Российской Федерации в году, предшествующем году предоставления субсидии, равный:

1, - в случае если уровень расчетной бюджетной обеспеченности i-го субъекта Российской Федерации не превышает 0,55 в году, предшествующем году предоставления субсидии, по данным Министерства финансов Российской Федерации;

0, - в случае если уровень расчетной бюджетной обеспеченности i-го субъекта Российской Федерации более 0,55 в году, предшествующем году предоставления субсидии, по данным Министерства финансов Российской Федерации.

При этом расчетный размер субсидии, предоставляемой бюджету i-го субъекта Российской Федерации в очередном финансовом году в целях софинансирования расходных обязательств субъекта Российской Федерации, возникающих при реализации мероприятия, указанного в подпункте "б" пункта 3 настоящих Правил (, не может превышать сумму субсидии на реализацию такого мероприятия, указанную субъектом Российской Федерации в заявке.

30. В целях предоставления субсидии субъектом Российской Федерации представляются в Министерство экономического развития Российской Федерации следующие документы:

а) заявка (включающая обязательство субъекта Российской Федерации об обеспечении функционирования и целевого назначения организаций, образующих инфраструктуру поддержки субъектов малого и среднего предпринимательства, в целях создания и (или) развития которых предоставляется субсидия, в течение 10 лет с даты их создания за счет субсидии, а также обязательство о вводе в эксплуатацию индустриального (промышленного) парка, агропромышленного парка, бизнес-парка, технопарка или промышленного технопарка в соответствии со сроком, установленным графиком выполнения мероприятия по созданию и (или) развитию индустриального (промышленного) парка, агропромышленного парка, бизнес-парка, технопарка или промышленного технопарка);

б) документ об определении уполномоченного органа субъекта Российской Федерации;

в) документ о наделении юридического лица функциями единого органа управления организациями, образующими инфраструктуру поддержки субъектов малого и среднего предпринимательства;

г) выписка из государственной программы (подпрограммы государственной программы) субъекта Российской Федерации, в которой региональный проект, соответствующий федеральному проекту, обособлен в виде отдельного структурного элемента, или обязательство субъекта Российской Федерации по обеспечению внесения соответствующих изменений в государственную программу (подпрограмму государственной программы) субъекта Российской Федерации, включенное в заявку;

д) выписка из закона о бюджете субъекта Российской Федерации на текущий финансовый год и плановый период (сводной бюджетной росписи бюджета субъекта Российской Федерации), или выписка из закона о бюджете субъекта Российской Федерации на очередной финансовый год и плановый период (сводной бюджетной росписи бюджета субъекта Российской Федерации), подтверждающая наличие в бюджете субъекта Российской Федерации бюджетных ассигнований на исполнение расходных обязательств субъекта Российской Федерации, в целях софинансирования которых предоставляется субсидия, или обязательство субъекта Российской Федерации по обеспечению внесения соответствующих изменений в закон о бюджете субъекта Российской Федерации на текущий финансовый год и плановый период (сводную бюджетную роспись бюджета субъекта Российской Федерации), включенное в заявку, или обязательство субъекта Российской Федерации по обеспечению внесения соответствующих изменений в закон о бюджете субъекта Российской Федерации на очередной финансовый год и плановый период (сводную бюджетную роспись бюджета субъекта Российской Федерации), включенное в заявку;

е) иные документы, предусмотренные пунктом 52 настоящих Правил.

31. Документы, указанные в пункте 30 настоящих Правил, представляются уполномоченным органом субъекта Российской Федерации в бумажном виде.

32. Документы, указанные в пункте 30 настоящих Правил, представляются субъектами Российской Федерации в сроки, указанные Министерством экономического развития Российской Федерации в извещении о приеме документов субъектов Российской Федерации для предоставления субсидии, направленном субъектам Российской Федерации.

33. В случае включения субъектом Российской Федерации в заявку обязательства, предусмотренного подпунктом "г" пункта 30 настоящих Правил, субъект Российской Федерации представляет в Министерство экономического развития Российской Федерации выписку из государственной программы (подпрограммы государственной программы) субъекта Российской Федерации, в которой региональный проект, соответствующий федеральному проекту, обособлен в виде отдельного структурного элемента, не позднее 15-го рабочего дня со дня утверждения такой государственной программы (подпрограммы государственной программы) субъекта Российской Федерации.

34. В случае включения субъектом Российской Федерации в заявку одного из обязательств, предусмотренных подпунктом "д" пункта 30 настоящих Правил, субъект Российской Федерации представляет в Министерство экономического развития Российской Федерации выписку из закона о бюджете субъекта Российской Федерации на текущий финансовый год и плановый период (сводной бюджетной росписи бюджета субъекта Российской Федерации) либо выписку из закона о бюджете субъекта Российской Федерации на очередной финансовый год и плановый период (сводной бюджетной росписи бюджета субъекта Российской Федерации), подтверждающие наличие в бюджете субъекта Российской Федерации бюджетных ассигнований на исполнение расходных обязательств субъекта Российской Федерации, в целях софинансирования которых предоставляется субсидия, не позднее 15-го рабочего дня со дня принятия закона о бюджете субъекта Российской Федерации на текущий финансовый год и плановый период или закона о внесении соответствующих изменений в него (утверждения сводной бюджетной росписи бюджета субъекта Российской Федерации или внесения соответствующих изменений в нее) либо со дня принятия закона о бюджете субъекта Российской Федерации на очередной финансовый год и плановый период или закона о внесении соответствующих изменений в него (утверждения сводной бюджетной росписи бюджета субъекта Российской Федерации или внесения соответствующих изменений в нее) соответственно.

35. Распределение субсидий между субъектами Российской Федерации на плановый период осуществляется на основании значений показателей и данных, используемых при расчете субсидии на очередной финансовый год.

36. Перераспределение бюджетных ассигнований на предоставление субсидий в целях софинансирования расходных обязательств субъектов Российской Федерации, возникающих при реализации мероприятий, указанных в пункте 3 настоящих Правил, осуществляется в соответствии с бюджетным законодательством Российской Федерации.

37. Предоставление субсидии осуществляется на основании соглашения о предоставлении субсидии, заключаемого в государственной интегрированной информационной системе управления общественными финансами "Электронный бюджет", в соответствии с типовой формой соглашения о предоставлении субсидии, утвержденной Министерством финансов Российской Федерации.

38. В соглашении о предоставлении субсидии допускается установление различных уровней софинансирования расходного обязательства субъекта Российской Федерации из федерального бюджета по отдельным мероприятиям в случае предоставления субсидии по нескольким мероприятиям, указанным в пункте 3 настоящих Правил.

Уровень софинансирования расходного обязательства субъекта Российской Федерации из федерального бюджета по мероприятию, указанному в подпункте "а" пункта 3 настоящих Правил, устанавливается в размере 80 процентов, но не более предельного уровня софинансирования расходного обязательства i-го субъекта Российской Федерации, установленного в соответствии с положениями Правил формирования, предоставления и распределения субсидий.

39. Перечисление субсидий осуществляется в установленном порядке на единые счета бюджетов, открытые финансовым органам субъектов Российской Федерации в территориальных органах Федерального казначейства.

40. В случае нарушения целей, установленных при предоставлении субсидии, применяются бюджетные меры принуждения, предусмотренные бюджетным законодательством Российской Федерации.

41. В случае нецелевого использования субсидии и (или) нарушения субъектом Российской Федерации условий предоставления субсидий, предусмотренных настоящими Правилами, и (или) условий соглашения о предоставлении субсидии Министерство экономического развития Российской Федерации в течение 30 дней со дня выявления одного или нескольких таких нарушений направляет соответствующую информацию в федеральный орган исполнительной власти, осуществляющий функции по контролю и надзору в финансово-бюджетной сфере, Счетную палату Российской Федерации и Министерство финансов Российской Федерации для принятия в установленном порядке соответствующего решения.

42. Порядок и условия возврата средств из бюджета субъекта Российской Федерации в федеральный бюджет в случае нарушения обязательств, предусмотренных соглашением о предоставлении субсидии, а также основания для освобождения субъекта Российской Федерации от применения мер финансовой ответственности определяются в соответствии с пунктами 16 - 20 Правил формирования, предоставления и распределения субсидий.

43. Уполномоченный орган субъекта Российской Федерации размещает в сроки, установленные соглашением о предоставлении субсидии, в государственной интегрированной информационной системе управления общественными финансами "Электронный бюджет" отчетность об осуществлении расходов бюджета субъекта Российской Федерации, в целях софинансирования которых предоставляется субсидия, а также отчеты о достижении значений результатов использования субсидии.

Отчеты формируются уполномоченным органом субъекта Российской Федерации и, подписанные руководителем уполномоченного органа субъекта Российской Федерации в соответствии с абзацем четвертым подпункта "б" пункта 6 настоящих Правил, представляются на бумажном носителе по запросу Министерства экономического развития Российской Федерации.

Отчетность об осуществлении расходов бюджета субъекта Российской Федерации, в целях софинансирования которых предоставляется субсидия, предусмотренная соглашением о предоставлении субсидии, а также отчеты, предусмотренные абзацем четвертым подпункта "б" пункта 6 настоящих Правил, формируются нарастающим итогом по состоянию на 1-е число месяца, следующего за отчетным кварталом, и представляются до 10-го числа месяца, следующего за отчетным кварталом, в случае осуществления кассового расхода бюджета субъекта Российской Федерации, софинансируемого из федерального бюджета. При этом отчеты за IV квартал представляются до 20 января года, следующего за годом предоставления субсидии, независимо от факта осуществления кассового расхода бюджета субъекта Российской Федерации, софинансируемого из федерального бюджета.

Отчеты о достижении значений результатов использования субсидии представляются в порядке и сроки, которые установлены соглашением о предоставлении субсидии.

44. Министерство экономического развития Российской Федерации в порядке, предусмотренном соглашением о предоставлении субсидии, осуществляет контроль за выполнением субъектами Российской Федерации обязательств по достижению результатов использования субсидий в отчетном году и графика выполнения мероприятия по созданию и (или) развитию индустриального (промышленного) парка, агропромышленного парка, бизнес-парка, технопарка или промышленного технопарка на основании отчетности, представленной субъектами Российской Федерации.

45. Контроль за соблюдением субъектами Российской Федерации условий предоставления субсидий осуществляется Министерством экономического развития Российской Федерации и уполномоченными органами государственного финансового контроля Российской Федерации.

46. Оценка эффективности использования субсидии в рамках мероприятий, указанных в пункте 3 настоящих Правил, осуществляется Министерством экономического развития Российской Федерации путем сравнения фактически достигнутых субъектом Российской Федерации значений следующих результатов использования субсидии и их значений, установленных соглашением о предоставлении субсидии:

а) количество субъектов малого и среднего предпринимательства, которые стали резидентами индустриальных (промышленных) парков, агропромышленных парков, бизнес-парков, технопарков или промышленных технопарков в результате реализации мероприятия, указанного в подпункте "а" пункта 3 настоящих Правил;

б) количество субъектов малого и среднего предпринимательства и граждан, желающих вести бизнес, которым оказаны услуги и меры поддержки организациями инфраструктуры поддержки малого и среднего предпринимательства, в результате реализации мероприятия, указанного в подпункте "б" пункта 3 настоящих Правил.

47. Субъекты Российской Федерации несут ответственность за достоверность представляемых в рамках настоящих Правил информации и документов.

48. Министерство экономического развития Российской Федерации вправе запрашивать у субъектов Российской Федерации необходимые документы и материалы в целях осуществления контроля за соблюдением субъектами Российской Федерации условий предоставления субсидии и других обязательств, предусмотренных соглашением о предоставлении субсидии, в том числе данные бухгалтерского учета и первичную документацию, связанные с реализацией субъектами Российской Федерации мероприятий, указанных в пункте 3 настоящих Правил.

49. Субъекты Российской Федерации обеспечивают реализацию мероприятий, указанных в пункте 3 настоящих Правил, в соответствии с требованиями к реализации мероприятий, направленных на достижение целей, показателей и результатов региональных проектов, а также представляют документы по перечню, определенному Министерством экономического развития Российской Федерации.

50. Мероприятие, указанное в подпункте "а" пункта 3 настоящих Правил, включает в себя реализацию субъектами Российской Федерации следующих проектов по созданию и (или) развитию парков:

создание и (или) развитие индустриальных (промышленных) парков, агропромышленного парка, бизнес-парка;

создание и (или) развитие технопарка, промышленного технопарка.

51. Субсидия не может предоставляться в целях софинансирования расходов бюджета субъекта Российской Федерации, совпадающих по форме, срокам и виду с расходами, осуществленными субъектом Российской Федерации в соответствии с Правилами отбора субъектов Российской Федерации, имеющих право на получение государственной поддержки в форме субсидий из федерального бюджета бюджетам субъектов Российской Федерации на возмещение части затрат на создание, модернизацию и (или) реконструкцию объектов инфраструктуры индустриальных парков, промышленных технопарков, технопарков в сфере высоких технологий, особых экономических зон, утвержденными постановлением Правительства Российской Федерации от 30 октября 2014 г. N 1119 "Об отборе субъектов Российской Федерации, имеющих право на получение государственной поддержки в форме субсидий на возмещение затрат на создание, модернизацию и (или) реконструкцию объектов инфраструктуры индустриальных парков, промышленных технопарков и технопарков в сфере высоких технологий, особых экономических зон", и (или) Правилами предоставления субсидий из федерального бюджета российским организациям - управляющим компаниям индустриальных (промышленных) парков и (или) промышленных технопарков на возмещение части затрат на уплату процентов по кредитам, полученным в российских кредитных организациях и государственной корпорации развития "ВЭБ.РФ" в 2020 - 2022 годах на реализацию инвестиционных проектов создания, расширения или развития индустриальных (промышленных) парков и (или) промышленных технопарков, утвержденными постановлением Правительства Российской Федерации от 11 августа 2015 г. N 831 "Об утверждении Правил предоставления субсидий из федерального бюджета российским организациям - управляющим компаниям индустриальных (промышленных) парков и (или) промышленных технопарков на возмещение части затрат на уплату процентов по кредитам, полученным в российских кредитных организациях и государственной корпорации развития "ВЭБ.РФ" в 2020 - 2022 годах на реализацию инвестиционных проектов создания, расширения или развития индустриальных (промышленных) парков и (или) промышленных технопарков", а также Правилами предоставления субсидий из федерального бюджета бюджетам субъектов Российской Федерации в целях софинансирования расходных обязательств субъектов Российской Федерации по возмещению части затрат управляющих компаний индустриальных (промышленных) парков, промышленных технопарков, технопарков в сфере высоких технологий частной формы собственности на создание, увеличение площади или реиндустриализацию индустриальных (промышленных) парков, промышленных технопарков, технопарков в сфере высоких технологий, приведенными в приложении N 18 к государственной программе Российской Федерации "Развитие промышленности и повышение ее конкурентоспособности", утвержденной постановлением Правительства Российской Федерации от 15 апреля 2014 г. N 328 "Об утверждении государственной программы Российской Федерации "Развитие промышленности и повышение ее конкурентоспособности".

52. Для получения субсидии, предоставляемой в целях софинансирования расходных обязательств субъекта Российской Федерации, возникающих при реализации мероприятия, указанного в подпункте "а" пункта 3 настоящих Правил, субъекты Российской Федерации, относящиеся к группам 1, 2 и 3, определенным в соответствии с пунктом 11 настоящих Правил, представляют в Министерство экономического развития Российской Федерации следующие документы:

а) документы об утверждении проектно-сметной документации (при ее наличии);

б) копия положительного заключения государственной экспертизы проектной документации, проведенной в объеме проверки достоверности определения сметной стоимости строительства, реконструкции, и результатов инженерных изысканий, выполненных для подготовки такой проектной документации (при наличии); (в ред. Постановления Правительства РФ от 30.04.2025 N 587)

в) копии документов, подтверждающих осуществление затрат застройщика или управляющей компании на создание и (или) развитие объекта капитального строительства за 3-летний период, предшествующий году представления документов (при наличии). Понятие "застройщик" для целей настоящих Правил используется в значении, определенном пунктом 16 статьи 1 Градостроительного кодекса Российской Федерации; (в ред. Постановления Правительства РФ от 30.04.2025 N 587)

г) копии сводных сметных расчетов стоимости строительства (реконструкции, в том числе с элементами реставрации, технического перевооружения) объектов капитального строительства (при наличии); (в ред. Постановления Правительства РФ от 30.04.2025 N 587)

д) локальная смета на закупку материально-технических ресурсов (в отношении объектов капитального строительства, по которым планируется закупка материально-технических ресурсов);

е) копия разрешения на ввод объекта в эксплуатацию (при развитии действующего индустриального (промышленного) парка, агропромышленного парка, бизнес-парка, промышленного технопарка или технопарка, введенного в эксплуатацию) или обязательство субъекта Российской Федерации о представлении в Министерство экономического развития Российской Федерации копии разрешения на ввод объекта в эксплуатацию (при создании нового индустриального (промышленного) парка, агропромышленного парка, бизнес-парка, промышленного технопарка или технопарка), включенное в заявку; (в ред. Постановления Правительства РФ от 30.04.2025 N 587)

ж) копия правоустанавливающего документа, свидетельствующего о наличии права собственности управляющей компании или застройщика на земельный участок, или копия зарегистрированного в соответствии с законодательством Российской Федерации договора долгосрочной аренды земельного участка (части земельного участка) (со сроком аренды более 5 лет на дату представления документов), заключенного управляющей компанией или застройщиком с органами государственной власти субъекта Российской Федерации, или органами местного самоуправления на территории такого субъекта Российской Федерации, или публично-правовой компанией "Фонд развития территорий", в случае если индустриальный (промышленный) парк, агропромышленный парк, бизнес-парк, промышленный технопарк или технопарк размещен на территориях Донецкой Народной Республики, Луганской Народной Республики, Запорожской области и Херсонской области, или органами управления особыми экономическими зонами, созданными в соответствии с Федеральным законом "Об особых экономических зонах в Российской Федерации", а также выписка из Единого государственного реестра недвижимости на такой земельный участок; (в ред. Постановления Правительства РФ от 30.04.2025 N 587)

ж.1) копия зарегистрированного в соответствии с законодательством Российской Федерации договора долгосрочной аренды (субаренды) земельного участка (части земельного участка) (со сроком аренды более 5 лет на дату представления документов), заключенного управляющей компанией или застройщиком с фондом инновационного научно-технологического центра или управляющей компанией инновационного научно-технологического центра, созданными в соответствии с Федеральным законом "Об инновационных научно-технологических центрах и о внесении изменений в отдельные законодательные акты Российской Федерации", в случае если индустриальный (промышленный) парк, агропромышленный парк, бизнес-парк, промышленный технопарк или технопарк размещен на территориях инновационных научно-технологических центров, а также выписка из Единого государственного реестра недвижимости на такой земельный участок; (в ред. Постановления Правительства РФ от 30.04.2025 N 587)

з) соглашение о реализации проекта и (или) развитии парка, заключенное между исполнительным органом субъекта Российской Федерации, ответственным за реализацию мероприятия, указанного в подпункте "а" пункта 3 настоящих Правил, и управляющей компанией, включающее в себя плановые показатели доли внебюджетного (частного) софинансирования в общей стоимости проекта по созданию и (или) развитию парка, процента заполнения площади объекта резидентами на 1 января каждого года реализации федерального проекта, и иные показатели, а также календарный график выполнения работ и финансирования;

и) копия правового акта субъекта Российской Федерации, утверждающего порядок отбора резидентов (потенциальных резидентов) индустриального (промышленного) парка, агропромышленного парка, бизнес-парка, технопарка или промышленного технопарка;

к) сопроводительное письмо за подписью высшего должностного лица субъекта Российской Федерации с указанием плановых показателей деятельности индустриального (промышленного) парка, агропромышленного парка, бизнес-парка, технопарка или промышленного технопарка на 10-летний период с даты ввода в эксплуатацию такого парка, по прогнозным данным, представленным резидентами (потенциальными резидентами) и управляющей компанией, содержащее в том числе:

количество резидентов (потенциальных резидентов);

количество рабочих мест, созданных резидентами (потенциальными резидентами) - субъектами малого и среднего предпринимательства;

размер внебюджетных инвестиций резидентов (потенциальных резидентов) и управляющей компании, в случае если она является субъектом малого и среднего предпринимательства.

52.1. В случае включения субъектом Российской Федерации в заявку обязательства, предусмотренного подпунктом "е" пункта 52 настоящих Правил, субъект Российской Федерации представляет в Министерство экономического развития Российской Федерации заверенную в установленном порядке копию разрешения на ввод объекта в эксплуатацию не позднее 15 рабочих дней со дня его получения. (в ред. Постановления Правительства РФ от 30.04.2025 N 587)

53. Для получения субсидии, предоставляемой в целях софинансирования расходных обязательств субъекта Российской Федерации, возникающих при реализации мероприятия, указанного в подпункте "а" пункта 3 настоящих Правил, субъекты Российской Федерации, относящиеся к группе 4, определенной в соответствии с пунктом 11 настоящих Правил, представляют в Министерство экономического развития Российской Федерации документы, предусмотренные подпунктами "д" - "ж.1" и "к" пункта 52 настоящих Правил. (в ред. Постановления Правительства РФ от 30.04.2025 N 587)

53.1. В случае предоставления субъекту Российской Федерации субсидии в целях софинансирования расходных обязательств субъекта Российской Федерации, возникающих при реализации мероприятия, указанного в подпункте "а" пункта 3 настоящих Правил, субъекты Российской Федерации, относящиеся к группе 4, определенной в соответствии с пунктом 11 настоящих Правил, представляют в Министерство экономического развития Российской Федерации документы, подтверждающие завершение реализации проекта по созданию и (или) развитию парка, в течение 15 рабочих дней со дня их подписания. (в ред. Постановления Правительства РФ от 30.04.2025 N 587)

54. Субъекты Российской Федерации обеспечивают создание и (или) развитие индустриальных (промышленных) парков, агропромышленных парков, бизнес-парков, технопарков, промышленных технопарков согласно требованиям, установленным в соответствии с частью 3 статьи 15 Федерального закона "О развитии малого и среднего предпринимательства в Российской Федерации".

55. В целях реализации мероприятия, указанного в подпункте "б" пункта 3 настоящих Правил, субъекты Российской Федерации обеспечивают создание и (или) развитие инфраструктуры поддержки субъектов малого и среднего предпринимательства, к которой относятся центры поддержки предпринимательства, центры поддержки экспорта, центры народно-художественных промыслов, ремесленной деятельности, сельского и экологического туризма, центры инноваций социальной сферы, многофункциональные центры для бизнеса, инжиниринговые центры, центры прототипирования, центры сертификации, стандартизации и испытаний (коллективного пользования), центры кластерного развития, центры молодежного инновационного творчества и центры "Мой бизнес", согласно требованиям, установленным в соответствии с частью 3 статьи 15 Федерального закона "О развитии малого и среднего предпринимательства в Российской Федерации".

Субсидия не может быть предоставлена на софинансирование расходных обязательств субъектов Российской Федерации, возникающих при организации деятельности инжиниринговых центров, центров прототипирования, центров сертификации, стандартизации и испытаний (коллективного пользования), центров кластерного развития, софинансирование которых осуществляется в соответствии с Правилами предоставления субсидий из федерального бюджета российским организациям на компенсацию части затрат на реализацию пилотных проектов в области инжиниринга и промышленного дизайна в рамках подпрограммы "Развитие инжиниринговой деятельности и промышленного дизайна" государственной программы Российской Федерации "Развитие промышленности и повышение ее конкурентоспособности", утвержденными постановлением Правительства Российской Федерации от 22 февраля 2014 г. N 134 "Об утверждении Правил предоставления субсидий из федерального бюджета российским организациям на компенсацию части затрат на реализацию пилотных проектов в области инжиниринга и промышленного дизайна в рамках подпрограммы "Развитие инжиниринговой деятельности и промышленного дизайна" государственной программы Российской Федерации "Развитие промышленности и повышение ее конкурентоспособности".

Приложение
к Правилам предоставления
и распределения субсидий
из федерального бюджета бюджетам
субъектов Российской Федерации
на государственную поддержку
малого и среднего предпринимательства
в субъектах Российской Федерации

(форма)

Министерство экономического
развития Российской Федерации

ЗАЯВКА

(в ред. Постановления Правительства РФ от 30.04.2025 N 587)

(наименование субъекта Российской Федерации)
на получение субсидии из федерального бюджета бюджетам субъектов Российской Федерации на государственную поддержку малого и среднего предпринимательства в субъектах Российской Федерации

В соответствии с Правилами предоставления и распределения субсидий из федерального бюджета бюджетам субъектов Российской Федерации на государственную поддержку малого и среднего предпринимательства в субъектах Российской Федерации, приведенными в приложении N 48 к государственной программе Российской Федерации "Экономическое развитие и инновационная экономика", утвержденной постановлением Правительства Российской Федерации от 15 апреля 2014 г. N 316 "Об утверждении государственной программы Российской Федерации "Экономическое развитие и инновационная экономика" (далее соответственно - Правила, субсидия), выражаю согласие с условиями предоставления и распределения субсидии и обязуюсь обеспечить предельный уровень софинансирования расходного обязательства субъекта Российской Федерации, установленный в соответствии с положениями Правил формирования, предоставления и распределения субсидий из федерального бюджета бюджетам субъектов Российской Федерации, утвержденных постановлением Правительства Российской Федерации от 30 сентября 2014 г. N 999 "О формировании, предоставлении и распределении субсидий из федерального бюджета бюджетам субъектов Российской Федерации", в отношении следующих мероприятий в следующих объемах:

(перечисляются мероприятия, указанные в пункте 3 Правил,
.
указывается предполагаемая сумма субсидии на реализацию мероприятия (млн. рублей) 

В целях получения субсидии по мероприятию, указанному в подпункте "а" пункта 3 Правил, представляю проект (проекты):

(указывается наименование проекта (проектов) по созданию и (или) развитию парков,
.
предполагаемая сумма субсидии на реализацию каждого проекта по созданию и (или) развитию парка (млн. рублей) 

и обязуюсь обеспечить уровень софинансирования расходного обязательства субъекта Российской Федерации в соответствии с пунктом 38 Правил и обеспечить ввод в эксплуатацию индустриального (промышленного) парка, агропромышленного парка, бизнес-парка, технопарка или промышленного технопарка

(указывается наименование индустриального (промышленного) парка, агропромышленного парка, бизнес-парка, технопарка или промышленного технопарка)

в соответствии со сроком, установленным графиком выполнения мероприятия по созданию и (или) развитию индустриального (промышленного) парка, агропромышленного парка, бизнес-парка, технопарка или промышленного технопарка.

Обязуюсь представить в Министерство экономического развития Российской Федерации копию разрешения на ввод объекта в эксплуатацию в течение 15 рабочих дней с даты его получения <*>.

Гарантирую, что управляющая компания не состоит в одной группе лиц с резидентами (потенциальными резидентами)

(указывается наименование индустриального (промышленного) парка, агропромышленного парка, бизнес-парка, технопарка или промышленного технопарка)

в соответствии с Федеральным законом "О защите конкуренции".

Обязуюсь обеспечить функционирование и целевое назначение организаций, образующих инфраструктуру поддержки субъектов малого и среднего предпринимательства, в целях создания и (или) развития которых предоставляется субсидия, в течение 10 лет с даты создания таких организаций за счет субсидии.

Обязуюсь обеспечить внесение соответствующих изменений в государственную программу (подпрограмму) субъекта Российской Федерации

(указываются реквизиты и наименование нормативного акта)
и бюджет субъекта Российской Федерации на   год и плановый период                     <**>.
                (указываются реквизиты и наименование
нормативного акта)
  

    
(должность высшего должностного лица субъекта Российской Федерации) (подпись) (ф.и.о. (последнее - при наличии)
МП    

<*> Абзац включается субъектом Российской Федерации в заявку в случае создания нового индустриального (промышленного) парка, агропромышленного парка, бизнес-парка, промышленного технопарка или технопарка.

<**> Абзац включается субъектом Российской Федерации в заявку в случае отсутствия в бюджете субъекта Российской Федерации на текущий финансовый год и плановый период (сводной бюджетной росписи бюджета субъекта Российской Федерации) бюджетных ассигнований на исполнение расходных обязательств субъекта Российской Федерации, в целях софинансирования которых предоставляется субсидия.

Приложение N 49
к государственной программе
Российской Федерации "Экономическое
развитие и инновационная экономика"

ПРАВИЛА ПРЕДОСТАВЛЕНИЯ И РАСПРЕДЕЛЕНИЯ СУБСИДИЙ ИЗ ФЕДЕРАЛЬНОГО БЮДЖЕТА БЮДЖЕТАМ СУБЪЕКТОВ РОССИЙСКОЙ ФЕДЕРАЦИИ В ЦЕЛЯХ ДОСТИЖЕНИЯ РЕЗУЛЬТАТОВ ФЕДЕРАЛЬНОГО ПРОЕКТА "ПРОИЗВОДИТЕЛЬНОСТЬ ТРУДА"

(в ред. Постановления Правительства РФ от 05.12.2024 N 1725)

1. Настоящие Правила устанавливают цели, порядок и условия предоставления и распределения начиная с 2025 года субсидий из федерального бюджета бюджетам субъектов Российской Федерации в целях достижения результатов федерального проекта "Производительность труда" (далее соответственно - субсидии, федеральный проект) в рамках государственной программы Российской Федерации "Экономическое развитие и инновационная экономика".

2. Субсидии предоставляются в целях софинансирования расходных обязательств субъектов Российской Федерации, возникающих при реализации следующих мероприятий:

а) создание и обеспечение деятельности региональных центров компетенций в сфере производительности труда (далее - региональные центры компетенций);

б) создание и обеспечение деятельности "фабрики процессов", представляющей собой площадку, обеспечивающую практическое обучение принципам и инструментам бережливого производства посредством имитации реальных производственных и вспомогательных процессов, но не более одной в субъекте Российской Федерации (далее - "фабрика процессов") (в случае если в региональном проекте субъекта Российской Федерации - получателя субсидии установлен результат по реализации проектов по повышению производительности труда по направлению "Бережливое производство" с помощью созданной региональной инфраструктуры обеспечения повышения производительности труда на предприятиях - участниках федерального проекта).

3. Критерием отбора субъектов Российской Федерации для предоставления субсидии (далее - отбор) является наличие гарантийного обязательства (в письменной форме), подписанного высшим должностным лицом субъекта Российской Федерации (руководителем высшего исполнительного органа субъекта Российской Федерации) либо уполномоченным им должностным лицом, о том, что в бюджет субъекта Российской Федерации будут заложены бюджетные ассигнования на исполнение расходных обязательств субъекта Российской Федерации, в целях софинансирования которых предоставляется субсидия.

4. Для участия в отборе субъекты Российской Федерации представляют в Министерство экономического развития Российской Федерации заявку на участие в отборе, подписанную высшим должностным лицом субъекта Российской Федерации (руководителем высшего исполнительного органа субъекта Российской Федерации) либо уполномоченным им должностным лицом, по форме согласно приложению (далее - заявка на участие в отборе).

Отбор проводится путем рассмотрения комиссией заявок на участие в отборе.

Комиссия состоит из председателя комиссии, членов комиссии и секретаря комиссии. Состав комиссии утверждается Министерством экономического развития Российской Федерации.

Заседание комиссии проводится не позднее 30-го рабочего дня после завершения сроков подачи заявок на участие в отборе.

Решения комиссии принимаются на заседании комиссии простым большинством голосов присутствующих на заседании членов комиссии. Кворум для проведения заседания комиссии составляет не менее двух третей общего количества членов комиссии. При голосовании каждый член комиссии имеет право на один голос. В случае равенства количества голосов присутствующих на заседании членов комиссии голос председателя комиссии является решающим.

Решения комиссии оформляются не позднее 3-го рабочего дня после проведения заседания комиссии в форме протокола, который подписывается председателем комиссии.

Секретарь комиссии не позднее 5-го рабочего дня после оформления решения направляет его копию в субъекты Российской Федерации, участвующие в отборе.

5. Министерство экономического развития Российской Федерации размещает на едином портале бюджетной системы Российской Федерации и (или) на своем официальном сайте в информационно-телекоммуникационной сети "Интернет" объявление о проведении отбора.

Подача заявок на участие в отборе осуществляется субъектами Российской Федерации в течение 5 рабочих дней со дня размещения Министерством экономического развития Российской Федерации указанного объявления.

6. Субсидия предоставляется при соблюдении субъектом Российской Федерации следующих условий:

а) наличие правового акта субъекта Российской Федерации, утверждающего перечень мероприятий (результатов), при реализации которых возникают расходные обязательства субъекта Российской Федерации, в целях софинансирования которых предоставляется субсидия;

б) наличие в бюджете субъекта Российской Федерации бюджетных ассигнований на исполнение расходного обязательства субъекта Российской Федерации, софинансирование которого осуществляется из федерального бюджета, в объеме, необходимом для его исполнения, включающем размер планируемой к предоставлению из федерального бюджета субсидии;

в) заключение соглашения о предоставлении субсидии между высшим исполнительным органом субъекта Российской Федерации и Министерством экономического развития Российской Федерации в соответствии с пунктом 10 Правил формирования, предоставления и распределения субсидий из федерального бюджета бюджетам субъектов Российской Федерации, утвержденных постановлением Правительства Российской Федерации от 30 сентября 2014 г. N 999 "О формировании, предоставлении и распределении субсидий из федерального бюджета бюджетам субъектов Российской Федерации" (далее - соглашение).

7. Субсидии предоставляются в пределах лимитов бюджетных обязательств, доведенных до Министерства экономического развития Российской Федерации как получателя средств федерального бюджета на предоставление субсидий на цели, указанные в пункте 2 настоящих Правил.

8. Размер субсидии (), предоставляемой бюджету i-го субъекта Российской Федерации, определяется по формуле:

,

где:

- размер субсидии, предоставляемой бюджету i-го субъекта Российской Федерации на создание регионального центра компетенций в субъекте Российской Федерации;

- размер субсидии, предоставляемой бюджету i-го субъекта Российской Федерации на создание "фабрики процессов" в субъекте Российской Федерации;

- размер субсидии, предоставляемой бюджету i-го субъекта Российской Федерации на обеспечение деятельности "фабрики процессов" и регионального центра компетенций в субъекте Российской Федерации.

9. Размер субсидии, предоставляемой бюджету i-го субъекта Российской Федерации на создание регионального центра компетенций в субъекте Российской Федерации (), определяется по формуле:

,

где:

- плановая численность сотрудников создаваемого регионального центра компетенций в i-м субъекте Российской Федерации, рассчитываемая пропорционально установленному федеральным проектом субъекту Российской Федерации в следующем финансовом году количеству запланированных к реализации проектов по повышению производительности труда по направлению "Бережливое производство" с помощью созданной региональной инфраструктуры обеспечения повышения производительности труда на предприятиях - участниках федерального проекта;

- предельная стоимость содержания одной штатной единицы регионального центра компетенций, создаваемого в субъекте Российской Федерации, но не более 3 млн. рублей (выплата предоставляется единоразово в год создания регионального центра компетенций в субъекте Российской Федерации в размере указанной стоимости);

Yi - предельный уровень софинансирования расходного обязательства i-го субъекта Российской Федерации из федерального бюджета, утвержденный Правительством Российской Федерации на соответствующий финансовый год.

10. Размер субсидии, предоставляемой бюджету i-го субъекта Российской Федерации на создание "фабрики процессов" в субъекте Российской Федерации (), определяется по формуле (рассчитывается, если в региональном проекте субъекта Российской Федерации - получателя субсидии установлен результат по реализации проектов в рамках соглашений о сотрудничестве с предприятиями - участниками федерального проекта в целях реализации федерального проекта на соответствующий год и если в субъекте Российской Федерации "фабрика процессов" не создавалась в ходе реализации федерального проекта "Адресная поддержка повышения производительности труда на предприятиях" в период с 2019 по 2024 год):

,

где:

- количество "фабрик процессов", создаваемых в i-м субъекте Российской Федерации в год предоставления субсидии;

- предельная стоимость создания "фабрики процессов" в субъекте Российской Федерации, но не более 4,5 млн. рублей (выплата в размере указанной стоимости предоставляется единоразово).

11. Размер субсидии, предоставляемой бюджету i-го субъекта Российской Федерации на обеспечение деятельности "фабрики процессов" и регионального центра компетенций в субъекте Российской Федерации (), определяется по формуле:

,

где:

- общий объем бюджетных ассигнований, предусмотренный в федеральном бюджете на предоставление субсидий на соответствующий финансовый год на цели, указанные в пункте 2 настоящих Правил;

- количество запланированных к реализации проектов по повышению производительности труда по направлению "Бережливое производство" с помощью созданной региональной инфраструктуры обеспечения повышения производительности труда на предприятиях - участниках федерального проекта (кроме г. Москвы), установленное соглашением о реализации регионального проекта;

n - количество субъектов Российской Федерации.

12. Предоставление субсидий осуществляется на основании соглашения, которое подготавливается (формируется) и заключается с использованием государственной интегрированной информационной системы управления общественными финансами "Электронный бюджет" в соответствии с типовой формой, утвержденной Министерством финансов Российской Федерации.

13. Перечисление субсидий осуществляется в установленном порядке на единые счета бюджетов, открытые финансовым органом субъектов Российской Федерации в территориальных органах Федерального казначейства.

14. Оценка эффективности использования субсидий осуществляется Министерством экономического развития Российской Федерации на основании сравнения установленного соглашением и фактически достигнутого субъектом Российской Федерации за отчетный год результата использования субсидий с соответствующими результатами федерального проекта.

Результатом использования субсидий являются реализованные проекты по повышению производительности труда по направлению "Бережливое производство" с помощью созданной региональной инфраструктуры обеспечения повышения производительности труда на предприятиях - участниках федерального проекта.

15. Исполнительный орган субъекта Российской Федерации, уполномоченный высшим исполнительным органом субъекта Российской Федерации, размещает в государственной интегрированной информационной системе управления общественными финансами "Электронный бюджет":

а) отчетность об осуществлении расходов бюджета субъекта Российской Федерации, в целях софинансирования которых предоставляется субсидия, по форме, установленной соглашением, - ежеквартально, не позднее 10-го числа месяца, следующего за отчетным;

б) отчетность о достижении значений результата использования субсидии и обязательствах, принятых в целях его достижения, по форме, установленной соглашением, - ежегодно в порядке и сроки, которые установлены соглашением.

16. Основания и порядок применения мер финансовой ответственности к субъекту Российской Федерации при невыполнении им условий соглашения, а также основания для освобождения субъекта Российской Федерации от применения мер финансовой ответственности определяются в соответствии с пунктами 16 - 18 и 20 Правил формирования, предоставления и распределения субсидий из федерального бюджета бюджетам субъектов Российской Федерации, утвержденных постановлением Правительства Российской Федерации от 30 сентября 2014 г. N 999 "О формировании, предоставлении и распределении субсидий из федерального бюджета бюджетам субъектов Российской Федерации".

17. Ответственность за достоверность представляемых в Министерство экономического развития Российской Федерации информации и документов возлагается на высшее должностное лицо субъекта Российской Федерации (руководителя высшего исполнительного органа субъекта Российской Федерации) либо уполномоченное им должностное лицо.

18. Контроль за соблюдением субъектами Российской Федерации условий предоставления субсидий осуществляется Министерством экономического развития Российской Федерации и уполномоченными органами государственного финансового контроля.

19. В случае нарушения субъектом Российской Федерации целей, установленных при предоставлении субсидий, к нему применяются бюджетные меры принуждения, предусмотренные бюджетным законодательством Российской Федерации.

20. Министерство экономического развития Российской Федерации в порядке, предусмотренном соглашением, осуществляет контроль за выполнением субъектами Российской Федерации обязательств по достижению результата использования субсидий в отчетном году на основании отчетности, представленной субъектами Российской Федерации.

Приложение
к Правилам предоставления
и распределения субсидий
из федерального бюджета бюджетам
субъектов Российской Федерации
в целях достижения результатов
федерального проекта
"Производительность труда"

                                                           (форма)
 
                              ЗАЯВКА
на   участие   в   отборе   субъектов   Российской   Федерации для
предоставления субсидии из федерального бюджета бюджетам субъектов
Российской  Федерации  в целях достижения результатов федерального
               проекта "Производительность труда"
 
__________________________________________________________________
          (наименование субъекта Российской Федерации)
на  предоставление  в  _________  году  субсидии  из  федерального
бюджета  бюджету  субъекта Российской Федерации в целях достижения
результатов федерального проекта "Производительность труда".
 
__________________________________________________________________
(высшее    должностное    лицо    субъекта    Российской Федерации
(руководитель  высшего  исполнительного органа субъекта Российской
        Федерации) либо уполномоченное им должностное лицо)
информирует о соответствии следующему критерию:
предоставлено  гарантийное  обязательство  (в  письменной  форме),
подписанное высшим должностным лицом субъекта Российской Федерации
(руководителем  высшего исполнительного органа субъекта Российской
Федерации)  либо уполномоченным им должностным лицом, о том, что в
бюджете   субъекта   Российской   Федерации   в год предоставления
субсидии  из  федерального  бюджета  бюджетам субъектов Российской
Федерации  в  целях  достижения  результатов  федерального проекта
"Производительность    труда"    будут    предусмотрены  бюджетные
ассигнования   на   исполнение   расходных   обязательств субъекта
Российской    Федерации,    в    целях    софинансирования которых
предоставляется субсидия.
__________________________________________________________________
(высшее    должностное    лицо    субъекта    Российской Федерации
(руководитель  высшего  исполнительного органа субъекта Российской
       Федерации) либо уполномоченное им должностное лицо)
 
______________________________ МП		 ______________________________
            (подпись)                         (дата)

Приложение N 50
к государственной программе
Российской Федерации
"Экономическое развитие
и инновационная экономика"

ПРАВИЛА ПРЕДОСТАВЛЕНИЯ И РАСПРЕДЕЛЕНИЯ СУБСИДИЙ ИЗ ФЕДЕРАЛЬНОГО БЮДЖЕТА БЮДЖЕТАМ СУБЪЕКТОВ РОССИЙСКОЙ ФЕДЕРАЦИИ В ЦЕЛЯХ РЕАЛИЗАЦИИ МЕРОПРИЯТИЙ ИНДИВИДУАЛЬНЫХ ПРОГРАММ СОЦИАЛЬНО-ЭКОНОМИЧЕСКОГО РАЗВИТИЯ СУБЪЕКТОВ РОССИЙСКОЙ ФЕДЕРАЦИИ В 2025 - 2030 ГОДАХ

(в ред. Постановления Правительства РФ от 17.12.2024 N 1806)

1. Настоящие Правила устанавливают порядок и условия предоставления и распределения субсидий из федерального бюджета бюджетам субъектов Российской Федерации в целях софинансирования расходных обязательств субъектов Российской Федерации, возникающих при реализации мероприятий индивидуальных программ социально-экономического развития субъектов Российской Федерации с низким уровнем социально-экономического развития в 2025 - 2030 годах, направленных на достижение показателей федерального проекта "Развитие субъектов Российской Федерации и отдельных территорий" государственной программы Российской Федерации "Экономическое развитие и инновационная экономика", установленных в заключенном соглашении, определенном абзацем третьим пункта 28 Положения о системе управления государственными программами Российской Федерации, утвержденного постановлением Правительства Российской Федерации от 26 мая 2021 г. N 786 "О системе управления государственными программами Российской Федерации", которые предоставляются в форме единой субсидии (далее соответственно - показатели, нефинансовое соглашение, индивидуальные программы, субсидия).

Показателями являются:

количество новых рабочих мест, созданных в рамках реализации индивидуальных программ (нарастающим итогом) (тыс. единиц);

объем привлеченных инвестиций в основной капитал (без бюджетных инвестиций) в рамках реализации индивидуальных программ (нарастающим итогом) (млрд. рублей).

2. Мероприятия (результаты) индивидуальных программ, обеспечивающие достижение показателей, определяются субъектами Российской Федерации самостоятельно с учетом решений Правительства Российской Федерации об утверждении индивидуальных программ.

3. Субсидия предоставляется в пределах лимитов бюджетных обязательств, доведенных в установленном порядке до Министерства экономического развития Российской Федерации как получателя средств федерального бюджета на цели, предусмотренные пунктом 1 настоящих Правил.

4. Адресное (пообъектное) распределение субсидии по объектам капитального строительства определяется в соответствии с пунктом 5 Правил формирования, предоставления и распределения субсидий из федерального бюджета бюджетам субъектов Российской Федерации, утвержденных постановлением Правительства Российской Федерации от 30 сентября 2014 г. N 999 "О формировании, предоставлении и распределении субсидий из федерального бюджета бюджетам субъектов Российской Федерации" (далее - Правила формирования, предоставления и распределения субсидий).

5. Субсидия предоставляется на основании соглашения о предоставлении субсидии, заключенного между Министерством экономического развития Российской Федерации и высшим исполнительным органом субъекта Российской Федерации, подготовленного (сформированного) с использованием государственной интегрированной информационной системы управления общественными финансами "Электронный бюджет" (далее - система "Электронный бюджет") в соответствии с типовой формой, утвержденной Министерством финансов Российской Федерации (далее - соглашение о предоставлении субсидии).

6. Критерием отбора субъектов Российской Федерации для предоставления субсидии является решение Председателя Правительства Российской Федерации.

7. Субсидия предоставляется с учетом предельного уровня софинансирования расходного обязательства субъекта Российской Федерации из федерального бюджета, определяемого в соответствии с пунктом 13 Правил формирования, предоставления и распределения субсидий.

8. Распределение субсидий между субъектами Российской Федерации осуществляется исходя из потребности в объемах финансового обеспечения реализации мероприятий индивидуальных программ с учетом предельного уровня софинансирования расходного обязательства субъекта Российской Федерации из федерального бюджета, утверждаемого в соответствии с Правилами формирования, предоставления и распределения субсидий.

9. Условиями предоставления субсидии являются:

а) заключение нефинансового соглашения;

б) наличие утвержденного субъектом Российской Федерации и размещенного в системе "Электронный бюджет" плана по достижению показателей, установленных в нефинансовом соглашении (далее - план по достижению показателей);

в) наличие в бюджете субъекта Российской Федерации бюджетных ассигнований на исполнение соответствующих расходных обязательств субъекта Российской Федерации, софинансирование которых осуществляется из федерального бюджета, в объеме, необходимом для их исполнения;

г) заключение соглашения о предоставлении субсидии в соответствии с пунктом 10 Правил формирования, предоставления и распределения субсидий.

10. Перечисление субсидии осуществляется в установленном порядке на единые счета бюджетов, открытые финансовым органам субъектов Российской Федерации в территориальных органах Федерального казначейства.

11. Результатом использования субсидии является достижение плановых значений показателей.

12. Формирование плана по достижению показателей осуществляется с соблюдением общих требований, утвержденных Министерством финансов Российской Федерации.

Внесение изменений в план по достижению показателей осуществляется субъектом Российской Федерации в системе "Электронный бюджет" с учетом индивидуальной программы и с уведомлением Министерства экономического развития Российской Федерации в течение 5 рабочих дней со дня утверждения таких изменений.

13. Представление отчета о реализации плана по достижению показателей осуществляется субъектом Российской Федерации в сроки, определенные соглашением о предоставлении субсидии.

14. Высший исполнительный орган субъекта Российской Федерации ежеквартально представляет в Министерство экономического развития Российской Федерации с использованием системы "Электронный бюджет" в порядке, установленном соглашением о предоставлении субсидии, отчетность об осуществлении расходов бюджета субъекта Российской Федерации, в целях софинансирования которых предоставляется субсидия, а также в порядке и в сроки, которые установлены соглашением о предоставлении субсидии, отчет о достижении значений результатов использования субсидии.

15. Оценка эффективности использования субъектами Российской Федерации субсидии осуществляется Министерством экономического развития Российской Федерации путем сравнения установленных нефинансовым соглашением и фактически достигнутых субъектом Российской Федерации по итогам отчетного финансового года значений показателей.

16. Порядок и условия возврата средств из бюджета субъекта Российской Федерации в федеральный бюджет в случае невыполнения им условий соглашения о предоставлении субсидии, в том числе нарушения субъектом Российской Федерации обязательств по достижению значений результатов использования субсидии, предусмотренных нефинансовым соглашением, а также основания для освобождения субъекта Российской Федерации от применения мер финансовой ответственности установлены пунктами 16 - 19 и 20 Правил формирования, предоставления и распределения субсидий.

17. Ответственность за достоверность представляемых в Министерство экономического развития Российской Федерации сведений и соблюдение условий, установленных настоящими Правилами и соглашением о предоставлении субсидии, возлагается на высший исполнительный орган субъекта Российской Федерации, с которым заключено такое соглашение.

18. Контроль за соблюдением субъектами Российской Федерации условий предоставления субсидии осуществляется Министерством экономического развития Российской Федерации и уполномоченными органами государственного финансового контроля.

19. В случае нарушения субъектом Российской Федерации целей, установленных при предоставлении субсидии, применяются бюджетные меры принуждения, предусмотренные бюджетным законодательством Российской Федерации.